Effects of Ultra-High-Pressure Treatment on Chemical Composition and Biological Activities of Free, Esterified and Bound Phenolics from Phyllanthus emblica L. Fruits
Abstract
1. Introduction
2. Results and Discussion
2.1. Characterization of Phenolic Compounds in Different Fractions of PEFs
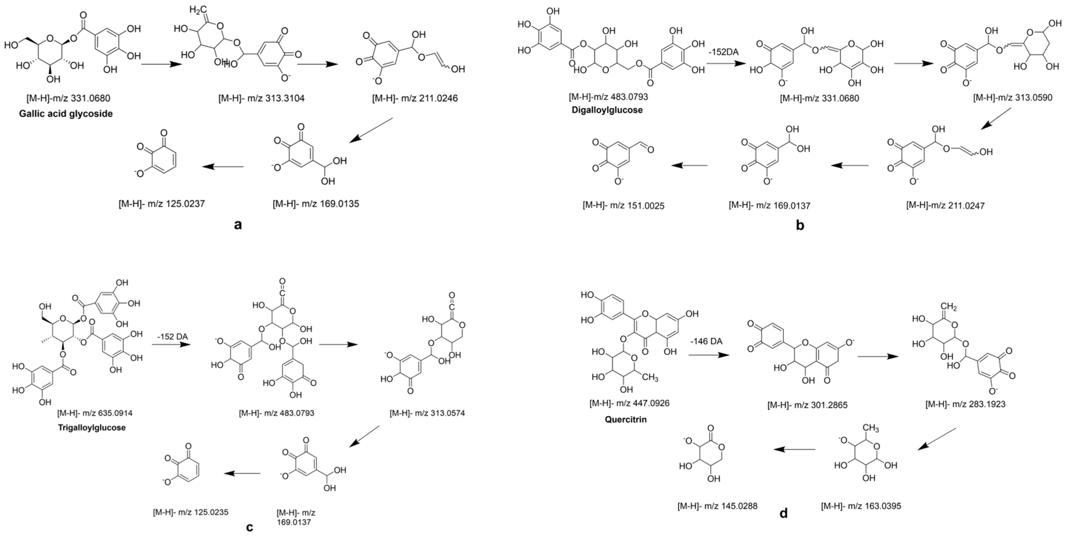
2.1.1. Phenolic Acids
2.1.2. Tannins
2.1.3. Flavonoids
2.1.4. Others
2.2. Determination of Total Phenolic, Total Flavonoid and Total Tannin Contents
2.3. Antioxidant Activities
2.3.1. DPPH Radical-Scavenging Activity
2.3.2. ABTS Radical-Scavenging Capacity
2.3.3. FRAP Evaluation
2.4. Protective Effect on H2O2-Induced Oxidative Stress in HepG2 Cells In Vitro
2.4.1. Cytotoxic Activities
2.4.2. Effect of Different Phenolic Fractions from PEFs on Intracellular Antioxidant Enzyme Activities
2.4.3. Inhibitory Effect of Different Phenolic Fractions from PEFs on Intracellular ROS Generation
2.5. Enzyme Inhibitory Activity of Different Phenolic Fractions from PEFs
2.6. Multivariate Analysis
2.7. Correlation Network
3. Material and Methods
3.1. Chemical and Reagents
3.2. Preliminary Treatment
3.3. Extraction of Different Phenolic Fractions from PEFs
3.4. Determination of Total Phenolics, Flavonoids and Tannins Contents
3.5. Identification of Phenolics by UHPLC-ESI-HRMS/MS
3.6. Evaluation of Antioxidant Activity
3.6.1. DPPH Free Radical-Scavenging Assay
3.6.2. ABTS Radical-Scavenging Activity
3.6.3. Ferric-Reducing Antioxidant Power (FRAP) Assay
3.7. Cytoprotective Effect of Different Phenolic Fractions in H2O2-Induced HepG2 Cells
3.7.1. Cell Culture and Cytotoxic Assay
3.7.2. Inhibition of Different Phenolic Fractions on Reactive Oxygen Species (ROS) Generation in H2O2-Induced HepG2 Cells
3.7.3. Spectrophotometric Determination of GSH and SOD Levels
3.8. Enzyme Inhibitory Assay
3.8.1. Inhibition Assay of α-Glycosidase Activity
3.8.2. Inhibition Assay of α-Amylase Enzyme Activity
3.8.3. Pancreatic Lipase Inhibition Assay
3.9. Statistical Analysis
4. Conclusions
Supplementary Materials
Author Contributions
Funding
Institutional Review Board Statement
Informed Consent Statement
Data Availability Statement
Conflicts of Interest
Abbreviations
References
- Ma, Q.G.; Wang, L.; Liu, R.H.; Yuan, J.B.; Xiao, H.; Shen, Z.Y.; Li, J.X.; Guo, J.Z.; Cao, L.; Huang, H.L.; et al. Phyllanthus emblica Linn: A comprehensive review of botany, traditional uses, phytonutrients, health benefits, quality markers, and applications. Food Chem. 2024, 446, 138891. [Google Scholar] [CrossRef]
- Liu, Y.; Li, H.; Xu, L.; Li, J.; Guo, H.; Peng, Y.; Xiao, P. Modern research overview and application prospect analysis on Phyllanthus emblica both as diet and medicine. Chin. Tradit. Herb. Drugs 2013, 44, 1700–1706. [Google Scholar]
- Zhang, W.; Zheng, H.; Feng, Y.; Xu, J.; Hou, B.; Liu, L.; Zhang, H. Microencapsulation of Phyllanthus emblica L. Fruit Juice. Food Sci. 2015, 36, 25–29. [Google Scholar]
- Zhang, Y.J.; Abe, T.; Tanaka, T.; Yang, C.R.; Kouno, I. Phyllanemblinins A-F, new ellagitannins from Phyllanthus emblica. J. Nat. Prod. 2001, 64, 1527–1532. [Google Scholar] [CrossRef]
- Wu, S.T.; Shen, D.Y.; Wang, R.H.; Li, Q.Y.; Mo, R.H.; Zheng, Y.W.; Zhou, Y.; Liu, Y.H. Phenolic profiles and antioxidant activities of free, esterified and bound phenolic compounds in walnut kernel. Food Chem. 2021, 350, 129217. [Google Scholar] [CrossRef]
- Xing, M.X.; Xie, F.; Zeng, J.Y.; Zhu, Z.J.; Wang, G.Q.; Xia, Y.J.; Zhang, H.; Song, Z.B.; Ai, L.Z. Inhibitory activities and mechanisms of free and bound phenolics on α-glucosidase in fresh fruits of Phyllanthus emblica Linn. using spectroscopy and molecular docking. Food Funct. 2024, 15, 6028–6041. [Google Scholar] [CrossRef]
- Gulati, R.K.; Agarwal, S.; Agrawal, S.S. Hepatoprotective studies on Phyllanthus emblica Linn. and quercetin. Indian J. Exp. Biol. 1995, 33, 261–268. [Google Scholar]
- D’Souz, J.J.; D’Souza, P.P.; Fazal, F.; Kumar, A.; Bhat, H.P.; Baliga, M.S. Anti-diabetic effects of the Indian indigenous fruit Emblica officinalis Gaertn: Active constituents and modes of action. Food Funct. 2014, 5, 635–644. [Google Scholar]
- Liu, X.L.; Cui, C.; Zhao, M.M.; Wang, J.S.; Luo, W.; Yang, B.; Jiang, Y.M. Identification of phenolics in the fruit of emblica (Phyllanthus emblica L.) and their antioxidant activities. Food Chem. 2008, 109, 909–915. [Google Scholar] [CrossRef] [PubMed]
- Jung, M.Y.; Jeon, B.S.; Bock, J.Y. Free, esterified, and insoluble-bound phenolic acids in white and red Korean ginsengs (Panax ginseng C.A. Meyer). Food Chem. 2002, 79, 105–111. [Google Scholar] [CrossRef]
- Zhang, B.; Zhang, Y.J.; Li, H.Y.; Deng, Z.Y.; Tsao, R. A review on insoluble-bound phenolics in plant-based food matrix and their contribution to human health with future perspectives. Trends Food Sci. Technol. 2020, 105, 347–362. [Google Scholar] [CrossRef]
- Sauceda-Gálvez, J.N.; Roca-Couso, R.; Martinez-Garcia, M.; Hernández-Herrero, M.M.; Gervilla, R.; Roig-Sagués, A.X. Inactivation of ascospores of Talaromyces macrosporus and Neosartorya spinosa by UV-C, UHPH and their combination in clarified apple juice. Food Control 2019, 98, 120–125. [Google Scholar] [CrossRef]
- Melhem, L.C.D.; Do Rosario, D.K.A.; Monteiro, M.L.G.; Conte, C.A. High-Pressure Processing and Natural Antimicrobials Combined Treatments on Bacterial Inactivation in Cured Meat. Sustainability 2022, 14, 10503. [Google Scholar] [CrossRef]
- Boasiako, T.A.; Boateng, I.D.; Ekumah, J.N.; Johnson, N.A.N.; Appiagyei, J.; Murtaza, M.S.; Mubeen, B.; Ma, Y.K. Advancing Sustainable Innovations in Mulberry Vinegar Production: A Critical Review on Non-Thermal Pre-Processing Technologies. Sustainability 2024, 16, 1185. [Google Scholar] [CrossRef]
- Chen, X.Q.; Zhao, Y.L.; Zhao, Y.; Hu, Y.X.; Wang, C.Y.; Zhang, K.; Wang, C.T.; Wu, Z.Q. Effect of ultra-high pressure treatment on the characteristics of a tea polysaccharide conjugate aqueous solution. Ind. Crops Prod. 2021, 171, 113859. [Google Scholar] [CrossRef]
- Zhang, L.; Liu, P.Z.; Li, L.L.; Huang, Y.; Pu, Y.F.; Hou, X.J.; Song, L.J. Identification and Antioxidant Activity of Flavonoids Extracted from Xinjiang Jujube (Ziziphus jujube Mill.) Leaves with Ultra-High Pressure Extraction Technology. Molecules 2019, 24, 122. [Google Scholar] [CrossRef] [PubMed]
- Gallego, R.; Bueno, M.; Chourio, A.M.; Ibáñez, E.; Saldaña, M.D.A.; Herrero, M. Use of high and ultra-high pressure based-processes for the effective recovery of bioactive compounds from Nannochloropsis oceanica microalgae. J. Supercrit. Fluids 2021, 167, 105039. [Google Scholar] [CrossRef]
- Zhang, J.; Wang, Y.D.; Xue, Q.W.; Zhao, T.R.; Khan, A.; Wang, Y.F.; Liu, Y.P.; Cao, J.X.; Cheng, G.G. The effect of ultra-high pretreatment on free, esterified and insoluble-bound phenolics from mango leaves and their antioxidant and cytoprotective activities. Food Chem. 2022, 368, 130864. [Google Scholar] [CrossRef]
- Pan, Y.; Gao, Z.; Huang, X.Y.; Chen, J.J.; Geng, C.A. Chemical and biological comparison of different parts of Paeonia suffruticosa (Mudan) based on LCMS-IT-TOF and multi-evaluation in vitro. Ind. Crops Prod. 2020, 144, 112028. [Google Scholar] [CrossRef]
- Guo, W.W.; Jiang, Y.; Chen, X.Q.; Yu, P.; Wang, M.; Wu, X.; Zhang, D.Y. Identification and quantitation of major phenolic compounds from penthorum chinense pursh. by HPLC with tandem mass spectrometry and HPLC with diode array detection. J. Sep. Sci. 2015, 38, 2789–2796. [Google Scholar] [CrossRef]
- Santos, S.A.O.; Freire, C.S.R.; Domingues, M.R.M.; Silvestre, A.J.D.; Neto, C.P. Characterization of Phenolic Components in Polar Extracts of Eucalyptus globulus Labill. Bark by High-Performance Liquid Chromatography-Mass Spectrometry. J. Agric. Food Chem. 2011, 59, 9386–9393. [Google Scholar] [CrossRef]
- Escobar-Avello, D.; Mardones, C.; Saéz, V.; Riquelme, S.; von Baer, D.; Lamuela-Raventós, R.M.; Vallverdú-Queralt, A. Pilot-plant scale extraction of phenolic compounds from grape canes: Comprehensive characterization by LC-ESI-LTQ-Orbitrap-MS. Food Res. Int. 2021, 143, 110265. [Google Scholar] [CrossRef] [PubMed]
- Zhang, Y.J.; Tanaka, T.; Yang, C.R.; Kouno, I. New phenolic constituents from the fruit juice of Phyllanthus emblica. Chem. Pharm. Bull. 2001, 49, 537–540. [Google Scholar] [CrossRef] [PubMed]
- Enomoto, H. Mass Spectrometry Imaging of Flavonols and Ellagic Acid Glycosides in Ripe Strawberry Fruit. Molecules 2020, 25, 4600. [Google Scholar] [CrossRef]
- Yisimayili, Z.; Abdulla, R.; Tian, Q.; Wang, Y.Y.; Chen, M.C.; Sun, Z.L.; Li, Z.X.; Liu, F.; Aisa, H.A.; Huang, C.G. A comprehensive study of pomegranate flowers polyphenols and metabolites in rat biological samples by high-performance liquid chromatography quadrupole time-of-flight mass spectrometry. J. Chromatogr. A 2019, 1604, 460472. [Google Scholar] [CrossRef] [PubMed]
- Yu, S.T.; Liu, H.X.; Li, K.; Qin, Z.G.; Qin, X.M.; Zhu, P.; Li, Z.Y. Rapid characterization of the absorbed constituents in rat serum after oral administration and action mechanism of Naozhenning granule using LC-MS and network pharmacology. J. Pharm. Biomed. Anal. 2019, 166, 281–290. [Google Scholar] [CrossRef]
- Gök, H.N.; Luca, S.V.; Ay, S.T.; Komsta, L.; Salmas, R.E.; Orhan, I.E.; Skalicka-Wozniak, K. Profiling the annual change of the neurobiological and antioxidant effects of five Origanum species in correlation with their phytochemical composition. Food Chem. 2022, 368, 130775. [Google Scholar] [CrossRef]
- Abu-Reidah, I.M.; Ali-Shtayeh, M.S.; Jamous, R.M.; Arráez-Román, D.; Segura-Carretero, A. Comprehensive metabolite profiling of Arum palaestinum (Araceae) leaves by using liquid chromatography-tandem mass spectrometry. Food Res. Int. 2015, 70, 74–86. [Google Scholar] [CrossRef]
- Refaat, J.; Samy, M.N.; Desoukey, S.Y.; Ramadan, M.A.; Sugimoto, S.; Matsunami, K.; Kamel, M.S. Chemical constituents from Chorisia chodatii flowers and their biological activities. Med. Chem. Res. 2015, 24, 2939–2949. [Google Scholar] [CrossRef]
- Deng, X.; Qiu, M.; Huang, H.; Fan, S.; Zhang, D.; Luo, C.; Han, L.; Lin, J. Effect of decocting time on chemical composition and anti-fatigue effect of Triphala decoction. Nat. Prod. Res. Dev. 2023, 35, 1212–1221. [Google Scholar]
- Zhou, K.; Jian, P.; Liang, W.; Liang, L.; Cui, Y.; Ye, T.; Zhang, L. Research Process of Chemical Constituents and Pharmacological Effects of Tibetan Medicine Triphala. Mod. Tradit. Chin. Med. Mater. Medica -World Sci. Technol. 2018, 20, 1608–1614. [Google Scholar]
- Yisimayili, Z.; Guo, X.Z.; Liu, H.; Xu, Z.; Abdulla, R.; Aisa, H.A.; Huang, C.G. Metabolic profiling analysis of corilagin in vivo and in vitro using high-performance liquid chromatography quadrupole time-of-flight mass spectrometry. J. Pharm. Biomed. Anal. 2019, 165, 251–260. [Google Scholar] [CrossRef]
- Grassia, M.; Sarghini, F.; Bruno, M.; Cinquanta, L.; Scognamiglio, M.; Pacifico, S.; Fiorentino, A.; Geraci, A.; Schicchi, R.; Corona, O. Chemical composition and microencapsulation suitability of sumac (Rhus coriaria L.) fruit extract. Eur. Food Res. Technol. 2021, 247, 1133–1148. [Google Scholar] [CrossRef]
- Da Costa, J.D.; Motta, E.V.S.; Barreto, F.; de Araujo, B.V.; Derendorf, H.; Bastos, J.K. Development and Validation of a Sensitive UFLC-MS/MS Method for Quantification of Quercitrin in Plasma: Application to a Tissue Distribution Study. ACS Omega 2019, 4, 3527–3533. [Google Scholar] [CrossRef]
- Liu, X.; Zhao, M. Antioxidant Activities and Functional Composition Content of Selected L. Fruits Juice. Food Ferment. Ind. 2006, 32, 151–154. [Google Scholar]
- Zhou, J.X.; Ma, Y.L.; Jia, Y.J.; Pang, M.J.; Cheng, G.G.; Cai, S.B. Phenolic profiles, antioxidant activities and cytoprotective effects of different phenolic fractions from oil palm (Elaeis guineensis Jacq.) fruits treated by ultra-high pressure. Food Chem. 2019, 288, 68–77. [Google Scholar] [CrossRef]
- Oey, I.; Lille, M.; Van Loey, A.; Hendrickx, M. Effect of high-pressure processing on colour, texture and flavour of fruit- and vegetable-based food products: A review. Trends Food Sci. Technol. 2008, 19, 320–328. [Google Scholar] [CrossRef]
- Ho, I.Y.M.; Aziz, A.A.; Junit, S.M. Evaluation of Anti-proliferative Effects of Barringtonia racemosa and Gallic Acid on Caco-2 Cells. Sci. Rep. 2020, 10, 9987. [Google Scholar] [CrossRef]
- Permal, R.; Chang, W.L.; Seale, B.; Hamid, N.; Kam, R. Converting industrial organic waste from the cold-pressed avocado oil production line into a potential food preservative. Food Chem. 2020, 306, 125635. [Google Scholar] [CrossRef] [PubMed]
- Gu, C.Z.; Yang, M.L.; Zhou, Z.H.; Khan, A.; Cao, J.X.; Cheng, G.G. Purification and characterization of four benzophenone derivatives from Mangifera indica L. leaves and their antioxidant, immunosuppressive and α-glucosidase inhibitory activities. J. Funct. Foods 2019, 52, 709–714. [Google Scholar] [CrossRef]
- Li, C.Y.; Wei, M.L.; Ge, Y.H.; Zhao, J.R.; Chen, Y.R.; Hou, J.B.; Cheng, Y.; Chen, J.X.; Li, J.R. The role of glucose-6-phosphate dehydrogenase in reactive oxygen species metabolism in apple exocarp induced by acibenzolar-S-methyl. Food Chem. 2020, 308, 125663. [Google Scholar] [CrossRef]
- Bonetta, R. Potential Therapeutic Applications of MnSODs and SOD-Mimetics. Chem. Eur. J. 2018, 24, 5032–5041. [Google Scholar] [CrossRef] [PubMed]
- Yasui, K.; Baba, A. Therapeutic potential of superoxide dismutase (SOD) for resolution of inflammation. Inflamm. Res. 2006, 55, 359–363. [Google Scholar] [CrossRef] [PubMed]
- Lee, S.E.; Park, Y.S. The Emerging Roles of Antioxidant Enzymes by Dietary Phytochemicals in Vascular Diseases. Life 2021, 11, 199. [Google Scholar] [CrossRef]
- Brune, M.; Rossander, L.; Hallberg, L. Iron absorption and phenolic compounds: Importance of different phenolic structures. Eur. J. Clin. Nutr. 1989, 43, 547–557. [Google Scholar] [PubMed]
- Tanriöven, D.; Eksi, A. Phenolic compounds in pear juice from different cultivars. Food Chem. 2005, 93, 89–93. [Google Scholar] [CrossRef]
- Duan, J.Y.; Liu, Y.H.; Zhang, C.P.; Wei, X.Y.; Zong, Z.M.; Yao, H.K.; Li, Y. Flavonoids from the Chinese Fern Polypodiun hastatum Thunb. and Relevant Antioxidative Activity. Lat. Am. J. Pharm. 2014, 33, 696–700. [Google Scholar]
- Chen, X.N.; Fan, J.F.; Yue, X.; Wu, X.R.; Li, L.T. Radical scavenging activity and phenolic compounds in persimmon (Diospyros kaki L. cv. Mopan). J. Food Sci. 2008, 73, C24–C28. [Google Scholar] [CrossRef]
- Khorsandi, K.; Kianmehr, Z.; Hosseinmardi, Z.; Hosseinzadeh, R. Anti-cancer effect of gallic acid in presence of low level laser irradiation: ROS production and induction of apoptosis and ferroptosis. Cancer Cell Int. 2020, 20, 18. [Google Scholar] [CrossRef] [PubMed]
- Gao, J.Y.; Hu, J.X.; Hu, D.Y.; Yang, X. A Role of Gallic Acid in Oxidative Damage Diseases: A Comprehensive Review. Nat. Prod. Commun. 2019, 14, 1934578X19874174. [Google Scholar] [CrossRef]
- Nisar, J.; Shah, S.M.A.; Akram, M.; Ayaz, S.; Rashid, A. Phytochemical Screening, Antioxidant, and Inhibition Activity of Picrorhiza kurroa Against α-Amylase and α-Glucosidase. Dose-Response 2022, 20, 15593258221095960. [Google Scholar] [CrossRef]
- Yang, M.L.; Ma, Y.L.; Wang, Z.Y.; Khan, A.; Zhou, W.B.; Zhao, T.R.; Cao, J.X.; Cheng, G.G.; Cai, S.B. Phenolic constituents, antioxidant and cytoprotective activities of crude extract and fractions from cultivated artichoke inflorescence. Ind. Crops Prod. 2020, 143, 111433. [Google Scholar] [CrossRef]
- Vosnjak, M.; Persic, M.; Veberic, R.; Usenik, V. Soluble tannins in plum fruit (Prunus domestica L.). Eur. J. Hortic. Sci. 2020, 85, 439–446. [Google Scholar] [CrossRef]
- Zhen, L.; He, S.Y.; Xue, Q.W.; Liu, Y.P.; Cao, J.X.; Zhao, T.R.; Cheng, G.G.; Wang, Y.D. Influence of Ultra-High-Pressure Pretreatment Method on Chemical Constituents, Antioxidant and Cytoprotective Activities of Free, Esterified, and Bound Phenolics from Anneslea Fragrans Wall. Leaves. Plant Foods Hum. Nutr. 2023, 78, 407–418. [Google Scholar] [CrossRef]
- Sun, D.; Huang, S.Q.; Cai, S.B.; Cao, J.X.; Han, P. Digestion property and synergistic effect on biological activity of purple rice (Oryza sativa L.) anthocyanins subjected to a simulated gastrointestinal digestion in vitro. Food Res. Int. 2015, 78, 114–123. [Google Scholar] [CrossRef] [PubMed]
- Zhuang, Y.; Ma, Q.; Guo, Y.; Sun, L. Protective effects of rambutan (Nephelium lappaceum) peel phenolics on H2O2-induced oxidative damages in HepG2 cells and d-galactose-induced aging mice. Food Chem. Toxicol. 2017, 108, 554–562. [Google Scholar] [CrossRef] [PubMed]
- Lordan, S.; Smyth, T.J.; Soler-Vila, A.; Stanton, C.; Ross, R.P. The α-amylase and α-glucosidase inhibitory effects of Irish seaweed extracts. Food Chem. 2013, 141, 2170–2176. [Google Scholar] [CrossRef]
- Nampoothiri, S.V.; Prathapan, A.; Cherian, O.L.; Raghu, K.G.; Venugopalan, V.V.; Sundaresan, A. In vitro antioxidant and inhibitory potential of Terminalia bellerica and Emblica officinalis fruits against LDL oxidation and key enzymes linked to type 2 diabetes. Food Chem. Toxicol. 2011, 49, 125–131. [Google Scholar] [CrossRef] [PubMed]
- Simao, A.A.; Marques, T.R.; Marcussi, S.; Corrêa, A.D. Aqueous extract of Psidium guajava leaves: Phenolic compounds and inhibitory potential on digestive enzymes. An. Acad. Bras. Cienc. 2017, 89, 2155–2165. [Google Scholar] [CrossRef] [PubMed]










| Peak | RT | [M-H]- (m/z) | Molecular Formula | Error ppm | MS/MS | Compound | Reference |
|---|---|---|---|---|---|---|---|
| 1 | 1.14 | 209.0302 | C6H8O7 | 0.251 | 191.0126 | Mucic acid | Standard |
| 2 | 1.21 | 355.0317 | C12H22O11 | 3.214 | 151.0394, 336.7523 | Chebulic acid | Standard |
| 3 | 1.76 | 331.0680 | C13H16O10 | 6.183 | 169.0136 | Gallic acid glycoside | [19] |
| 4 | 2.41 | 169.0137 | C12H22O11 | 5.332 | 125.0333 | Gallic acid | Standard |
| 5 | 3.19 | 343.0316 | C13H12O11 | 5.838 | 123.0088, 169.0143 | 5-O-galloyl-1,4-galactarolactone | HMDB |
| 6 | 8.92 | 183.0295 | C8H5O5 | 6.754 | 169.0.24, 124.0153 | Methyl gallate | Standard |
| 7 | 9.39 | 483.0793 | C20H20O14 | 2.163 | 151.0037, 169.0137, 331.0574 | Digalloylglucose | [6] |
| 8 | 9.42 | 321.0261 | C14H10O9 | 0.458 | 125.0235, 169.0138 | Digallic acid | Standard |
| 9 | 9.78 | 291.0156 | C13H8O8 | 1.768 | 191.0347, 219.0300, 247.0253 | Brevifolin carboxylic acid | [20] |
| 10 | 10.00 | 635.0914 | C27H24O18 | 5.365 | 169.0137, 313.0574, 465.0690 | Trigalloylglucose | [6] |
| 11 | 10.10 | 633.0775 | C27H22O18 | 6.423 | 301.0135, 463.1024 | Galloyl-HHDP-glucose | [6,21] |
| 12 | 10.26 | 635.0914 | C27H24O18 | 3.431 | 169.0137, 313.0574, 465.0690 | Trigalloylglucose (isomer) | [6] |
| 13 | 10.96 | 197.0453 | C9H10O5 | 6.258 | 69.0335, 125.0325, 162.8386 | Gallic acid ethyl ester | [22] |
| 14 | 11.07 | 357.0479 | C14H14O11 | 3.925 | 169.0132 | Mucic acid lactone methyl ester gallate | [6,23] |
| 15 | 11.61 | 300.9998 | C14H6O8 | 4.856 | 257.0099, 283.9971 | Ellagic acid | Standard |
| 16 | 11.45 | 447.0926 | C21H20O11 | 5.894 | 283.1923, 301.2865 | Quercitrin | [24,25] |
| 17 | 11.89 | 187.0973 | C9H16O4 | 4.553 | 125.0964, 169.0864 | Azelaic acid | [26] |
| 18 | 12.48 | 303.2186 | C15H10O7 | 2.305 | 127.3785; 153.0151 | Tricetin | [25] |
| 19 | 12.67 | 399.0943 | C17H18O11 | 5.443 | 125.0235, 169.0137 | Unknown | - |
| 20 | 14.13 | 301.2030 | C15H9O7 | 4.594 | 125.0961, 243.0125 | Quercetin | Standard |
| 21 | 14.39 | 287.2235 | C16H32O4 | 6.455 | 207.1757, 251.1664 | Dihydroxyhexadecanoic acid | [27] |
| 22 | 15.05 | 285.2080 | C15H10O6 | 1.025 | 151.0031, 267.0293 | Kaempferol | Standard |
| 23 | 18.54 | 329.2343 | C18H34O5 | 4.562 | 171.1018, 211.1348, | Trihydroxy-10-trans-octadecenoic acid | [28] |
| 24 | 19.31 | 433.2608 | C25H38O6 | 6.258 | 163.0395, 287.2235 | Unknown | - |
| 25 | 20.04 | 433.2607 | C25H38O6 | 6.843 | 163.0395, 287.2237 | Unknown | - |
| 26 | 22.37 | 277.1452 | C16H22O4 | 6.583 | 121.0284, 147.0082 | Mono-octyl phthalate | [29] |
| 27 | 23.02 | 311.2238 | C18H32O4 | 6.268 | 183.0118 | Hydroperoxy-octadecadienoic acid | [28] |
| Enzyme | Positive Control & | EP # | FP # | BP # | |||
|---|---|---|---|---|---|---|---|
| N * | U * | N | U | N | U | ||
| Pancreatic lipase & | 46.43 ± 1.3 f | 241.25 ± 8.21 c | 214.17 ± 9.31 d | 62.92 ± 2.34 e | 48.73 ± 3.28 f | 613.89 ± 9.83 a | 439.34 ± 12.25 b |
| α-glucosidase ^ | 0.89 ± 0.10 f | 312.4 ± 2.21 a | 19.72 ± 0.81 d | 19.68 ± 1.01 d | 1.74 ± 0.19 e | 87.65 ± 3.42 b | 36.82 ± 1.09 c |
| α-amylase ^ | 2.41 ± 0.19 d | 6.74 ± 0.42 a | 5.82 ± 0.72 a | 4.32 ± 0.29 b | 4.09 ± 0.31 b | 3.89 ± 0.15 b | 3.48 ± 0.27 c |
Disclaimer/Publisher’s Note: The statements, opinions and data contained in all publications are solely those of the individual author(s) and contributor(s) and not of MDPI and/or the editor(s). MDPI and/or the editor(s) disclaim responsibility for any injury to people or property resulting from any ideas, methods, instructions or products referred to in the content. |
© 2024 by the authors. Licensee MDPI, Basel, Switzerland. This article is an open access article distributed under the terms and conditions of the Creative Commons Attribution (CC BY) license (https://creativecommons.org/licenses/by/4.0/).
Share and Cite
Chen, T.; He, S.; Zhang, J.; Wang, H.; Jia, Y.; Liu, Y.; Xie, M.; Cheng, G. Effects of Ultra-High-Pressure Treatment on Chemical Composition and Biological Activities of Free, Esterified and Bound Phenolics from Phyllanthus emblica L. Fruits. Molecules 2024, 29, 3181. https://doi.org/10.3390/molecules29133181
Chen T, He S, Zhang J, Wang H, Jia Y, Liu Y, Xie M, Cheng G. Effects of Ultra-High-Pressure Treatment on Chemical Composition and Biological Activities of Free, Esterified and Bound Phenolics from Phyllanthus emblica L. Fruits. Molecules. 2024; 29(13):3181. https://doi.org/10.3390/molecules29133181
Chicago/Turabian StyleChen, Taiming, Shuyue He, Jing Zhang, Huangxin Wang, Yiqing Jia, Yaping Liu, Mingjun Xie, and Guiguang Cheng. 2024. "Effects of Ultra-High-Pressure Treatment on Chemical Composition and Biological Activities of Free, Esterified and Bound Phenolics from Phyllanthus emblica L. Fruits" Molecules 29, no. 13: 3181. https://doi.org/10.3390/molecules29133181
APA StyleChen, T., He, S., Zhang, J., Wang, H., Jia, Y., Liu, Y., Xie, M., & Cheng, G. (2024). Effects of Ultra-High-Pressure Treatment on Chemical Composition and Biological Activities of Free, Esterified and Bound Phenolics from Phyllanthus emblica L. Fruits. Molecules, 29(13), 3181. https://doi.org/10.3390/molecules29133181

