A Squaramide-Based Organocatalyst as a Novel Versatile Chiral Solvating Agent for Carboxylic Acids
Abstract
1. Introduction
2. Results
2.1. Synthesis
2.2. Enantiodiscrimination Experiments on Amino Acid Derivatives
2.3. Enantiodiscrimination Experiments on Mandelic Acid and Its Analogs
2.4. Enantiodiscrimination Experiments on Other Acidic Systems
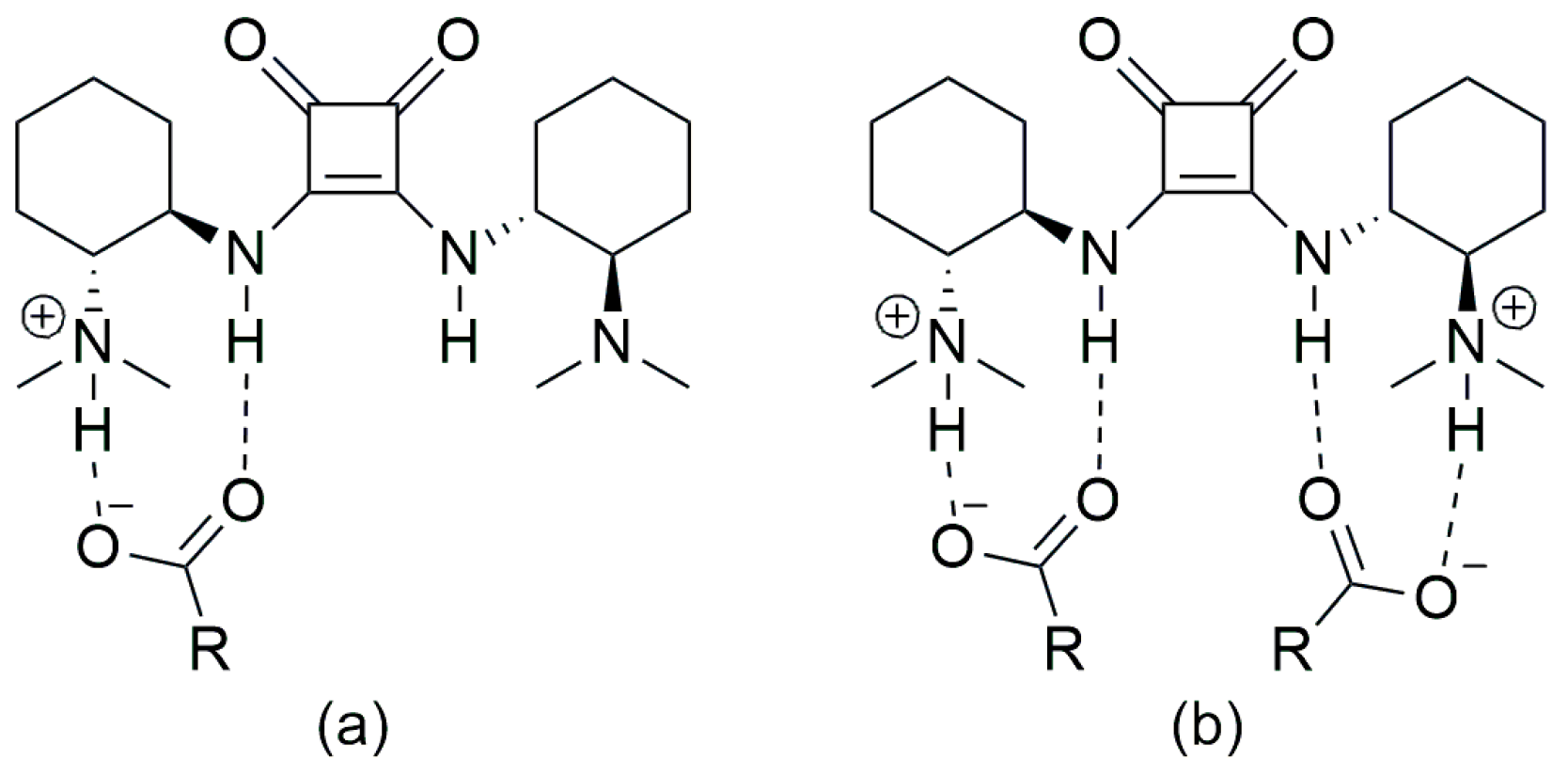
2.5. Interaction Mechanism
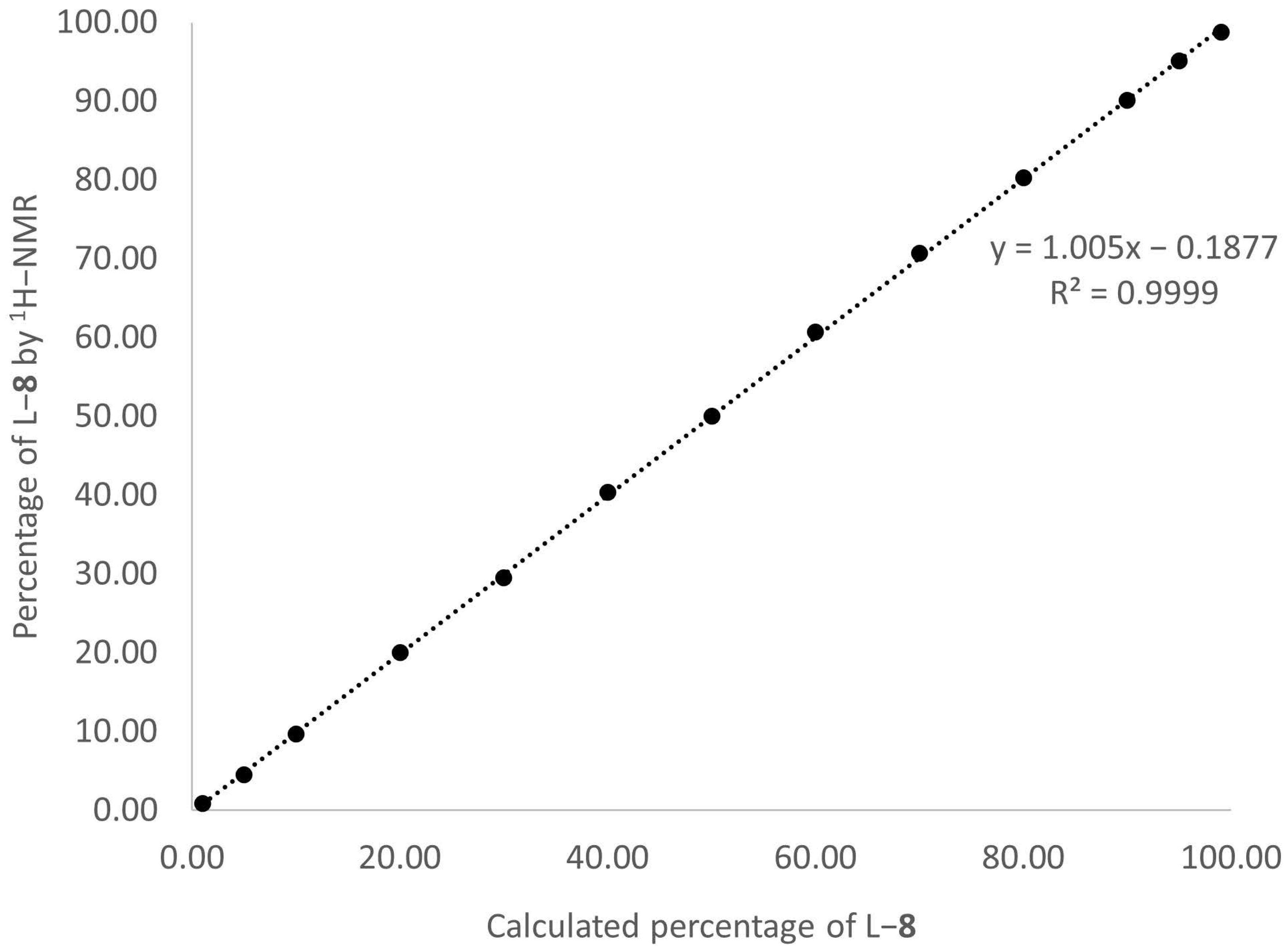
3. Materials and Methods
3.1. Materials
3.2. NMR Methods
4. Conclusions
Supplementary Materials
Author Contributions
Funding
Institutional Review Board Statement
Informed Consent Statement
Data Availability Statement
Acknowledgments
Conflicts of Interest
References
- De Luca, C.; Felletti, S.; Franchina, F.A.; Bozza, D.; Compagnin, G.; Nosengo, C.; Pasti, L.; Cavazzini, A.; Catani, M. Recent Developments in the High-Throughput Separation of Biologically Active Chiral Compounds via High Performance Liquid Chromatography. J. Pharm. Biomed. Anal. 2024, 238, 115794. [Google Scholar] [CrossRef] [PubMed]
- Qian, H.-L.; Xu, S.-T.; Yan, X.-P. Recent Advances in Separation and Analysis of Chiral Compounds. Anal. Chem. 2023, 95, 304–318. [Google Scholar] [CrossRef]
- Peluso, P.; Chankvetadze, B. Recognition in the Domain of Molecular Chirality: From Noncovalent Interactions to Separation of Enantiomers. Chem. Rev. 2022, 122, 13235–13400. [Google Scholar] [CrossRef] [PubMed]
- Wenzel, T.J. Enantiomeric Purity Studied Using NMR. In Encyclopedia of Spectroscopy and Spectrometry, 3rd ed.; Lindon, J.C., Tranter, G.E., Koppenaal, D.W., Eds.; Academic Press: Oxford, UK, 2017; pp. 490–502. ISBN 978-0-12-803224-4. [Google Scholar]
- Wenzel, T. Differentiation of Chiral Compounds Using NMR Spectroscopy, 2nd ed.; John Wiley & Sons: Hoboken, NJ, USA, 2018; ISBN 978-1-119-32476-8. [Google Scholar]
- Balzano, F.; Uccello-Barretta, G.; Aiello, F. Chapter 9-Chiral Analysis by NMR Spectroscopy: Chiral Solvating Agents. In Chiral Analysis, 2nd ed.; Polavarapu, P.L., Ed.; Elsevier: Amsterdam, The Netherlands, 2018; pp. 367–427. ISBN 978-0-444-64027-7. [Google Scholar]
- Nath, N.; Bordoloi, P.; Barman, B.; Baishya, B.; Chaudhari, S.R. Insight into Old and New Pure Shift Nuclear Magnetic Resonance Methods for Enantiodiscrimination. Magn. Reson. Chem 2018, 56, 876–892. [Google Scholar] [CrossRef] [PubMed]
- Kumar Vashistha, V. Chiral Analysis of Pharmaceuticals Using NMR Spectroscopy: A Review. Asian J. Org. Chem. 2022, 11, e202200544. [Google Scholar] [CrossRef]
- Lesot, P.; Aroulanda, C.; Berdagué, P.; Meddour, A.; Merlet, D.; Farjon, J.; Giraud, N.; Lafon, O. Multinuclear NMR in Polypeptide Liquid Crystals: Three Fertile Decades of Methodological Developments and Analytical Challenges. Prog. Nucl. Magn. Reson. Spectrosc. 2020, 116, 85–154. [Google Scholar] [CrossRef] [PubMed]
- Aroulanda, C.; Lesot, P. Molecular Enantiodiscrimination by NMR Spectroscopy in Chiral Oriented Systems: Concept, Tools, and Applications. Chirality 2022, 34, 182–244. [Google Scholar] [CrossRef]
- Deshmukh, M.; Duñach, E.; Juge, S.; Kagan, H.B. A Convenient Family of Chiral Shift Reagents for Measurement of Enantiomeric Excesses of Sulfoxides. Tetrahedron Lett. 1984, 25, 3467–3470. [Google Scholar] [CrossRef]
- Holakovský, R.; März, M.; Cibulka, R. Urea Derivatives Based on a 1,1′-Binaphthalene Skeleton as Chiral Solvating Agents for Sulfoxides. Tetrahedron Asymmetry 2015, 26, 1328–1334. [Google Scholar] [CrossRef]
- Bian, G.; Fan, H.; Yang, S.; Yue, H.; Huang, H.; Zong, H.; Song, L. A Chiral Bisthiourea as a Chiral Solvating Agent for Carboxylic Acids in the Presence of DMAP. J. Org. Chem. 2013, 78, 9137–9142. [Google Scholar] [CrossRef]
- Bian, G.; Yang, S.; Huang, H.; Zong, H.; Song, L. A Bisthiourea-Based 1H NMR Chiral Sensor for Chiral Discrimination of a Variety of Chiral Compounds. Sens. Actuators B Chem. 2016, 231, 129–134. [Google Scholar] [CrossRef]
- Balzano, F.; Iuliano, A.; Uccello-Barretta, G.; Zullo, V. Renewable Resources for Enantiodiscrimination: Chiral Solvating Agents for NMR Spectroscopy from Isomannide and Isosorbide. J. Org. Chem. 2022, 87, 12698–12709. [Google Scholar] [CrossRef]
- Bai, L.; Chen, P.; Xiang, J.; Sun, J.; Lei, X. Enantiomeric NMR Discrimination of Carboxylic Acids Using Actinomycin D as a Chiral Solvating Agent. Org. Biomol. Chem. 2019, 17, 1466–1470. [Google Scholar] [CrossRef]
- Cuřínová, P.; Hájek, P.; Janků, K.; Holakovský, R. Method for Determination of Optical Purity of 2-Arylpropanoic Acids Using Urea Derivatives Based on a 1,1′-Binaphthalene Skeleton as Chiral NMR Solvating Agents: Advantages and Limitations Thereof. Chirality 2019, 31, 410–417. [Google Scholar] [CrossRef]
- Genc, H.N. Novel Chiral Oxa-Bridged Calix[2]Arene[2]Triazine Derivatives as NMR Chiral Reagents for Enantioselective Recognition of α-Racemic Carboxylic Acids. J. Incl. Phenom. Macrocycl. Chem. 2019, 94, 75–83. [Google Scholar] [CrossRef]
- Gupta, R.; Gonnade, R.G.; Bedekar, A.V. Effect of Substituent of Roof Shape Amines on the Molecular Recognition of Optically Active Acids by NMR Spectroscopy. ChemistrySelect 2020, 5, 13183–13190. [Google Scholar] [CrossRef]
- Raval, H.B.; Bedekar, A.V. Synthesis And Study of Fluorine Containing Kagan’s Amides as Chiral Solvating Agents for Enantiodiscrimination of Acids by NMR Spectroscopy. ChemistrySelect 2020, 5, 6927–6932. [Google Scholar] [CrossRef]
- Li, G.; Ma, M.; Wang, G.; Wang, X.; Lei, X. Efficient Enantiodifferentiation of Carboxylic Acids Using BINOL-Based Amino Alcohol as a Chiral NMR Solvating Agent. Front. Chem. 2020, 8, 336. [Google Scholar] [CrossRef]
- Prasad, D.; Mogurampelly, S.; Chaudhari, S.R. R-VAPOL-Phosphoric Acid Based 1H and 13C-NMR for Sensing of Chiral Amines and Acids. RSC Adv. 2020, 10, 2303–2312. [Google Scholar] [CrossRef]
- Li, G.-W.; Wang, X.-J.; Cui, D.-D.; Zhang, Y.-F.; Xu, R.-Y.; Shi, S.-H.; Liu, L.-T.; Wang, M.-C.; Liu, H.-M.; Lei, X.-X. Azaheterocyclic Diphenylmethanol Chiral Solvating Agents for the NMR Chiral Discrimination of Alpha-Substituted Carboxylic Acids. RSC Adv. 2020, 10, 34605–34611. [Google Scholar] [CrossRef]
- Erol Gunal, S.; Teke Tuncel, S.; Dogan, I. Enantiodiscrimination of Carboxylic Acids Using Single Enantiomer Thioureas as Chiral Solvating Agents. Tetrahedron 2020, 76, 131141. [Google Scholar] [CrossRef]
- Recchimurzo, A.; Micheletti, C.; Uccello-Barretta, G.; Balzano, F. Thiourea Derivative of 2-[(1R)-1-Aminoethyl]Phenol: A Flexible Pocket-like Chiral Solvating Agent (CSA) for the Enantiodifferentiation of Amino Acid Derivatives by NMR Spectroscopy. J. Org. Chem. 2020, 85, 5342–5350. [Google Scholar] [CrossRef]
- Recchimurzo, A.; Micheletti, C.; Uccello-Barretta, G.; Balzano, F. A Dimeric Thiourea CSA for the Enantiodiscrimination of Amino Acid Derivatives by NMR Spectroscopy. J. Org. Chem. 2021, 86, 7381–7389. [Google Scholar] [CrossRef]
- Recchimurzo, A.; Balzano, F.; Uccello Barretta, G.; Gherardi, L. Bis-Thiourea Chiral Sensor for the NMR Enantiodiscrimination of N-Acetyl and N-Trifluoroacetyl Amino Acid Derivatives. J. Org. Chem. 2022, 87, 11968–11978. [Google Scholar] [CrossRef]
- Zheng, X.; Tang, T.; Li, L.; Xu, L.-W.; Huang, S.; Zhao, Y. Application of Aromatic Amide-Derived Atropisomers as Chiral Solvating Agents for Discrimination of Optically Active Mandelic Acid Derivatives in 1H Nuclear Magnetic Resonance Spectroscopy. Magn. Reson. Chem. 2022, 60, 86–92. [Google Scholar] [CrossRef]
- Dwivedi, A.M.; Bedekar, A.V. Determination of Enantiodiscrimination of Chiral Acids and Tetrahydropyrimidine Derivatives by Bis-Thiourea Derived Chiral Solvating Agents by NMR Spectroscopy. Tetrahedron 2023, 141, 133501. [Google Scholar] [CrossRef]
- Cefalì, F.; Iuliano, A.; Balzano, F.; Uccello Barretta, G.; Zullo, V.; Baldassari, C. Isohexide-Based Tunable Chiral Platforms as Amide- and Thiourea-Chiral Solvating Agents for the NMR Enantiodiscrimination of Derivatized Amino Acids. Molecules 2024, 29, 1307. [Google Scholar] [CrossRef]
- Marchetti, L.A.; Kumawat, L.K.; Mao, N.; Stephens, J.C.; Elmes, R.B.P. The Versatility of Squaramides: From Supramolecular Chemistry to Chemical Biology. Chem 2019, 5, 1398–1485. [Google Scholar] [CrossRef]
- Picci, G.; Montis, R.; Lippolis, V.; Caltagirone, C. Squaramide-Based Receptors in Anion Supramolecular Chemistry: Insights into Anion Binding, Sensing, Transport and Extraction. Chem. Soc. Rev. 2024, 53, 3952–3975. [Google Scholar] [CrossRef]
- Chauhan, P.; Mahajan, S.; Kaya, U.; Hack, D.; Enders, D. Bifunctional Amine-Squaramides: Powerful Hydrogen-Bonding Organocatalysts for Asymmetric Domino/Cascade Reactions. Adv. Synth. Catal. 2015, 357, 253–281. [Google Scholar] [CrossRef]
- Hou, X.-Q.; Du, D.-M. Recent Advances in Squaramide-Catalyzed Asymmetric Mannich Reactions. Adv. Synth. Catal. 2020, 362, 4487–4512. [Google Scholar] [CrossRef]
- Tsakos, M.; Kokotos, C.G. Primary and Secondary Amine-(Thio)Ureas and Squaramides and Their Applications in Asymmetric Organocatalysis. Tetrahedron 2013, 69, 10199–10222. [Google Scholar] [CrossRef]
- Alemán, J.; Parra, A.; Jiang, H.; Jørgensen, K.A. Squaramides: Bridging from Molecular Recognition to Bifunctional Organocatalysis. Chem. Eur. J. 2011, 17, 6890–6899. [Google Scholar] [CrossRef]
- Storer, R.I.; Aciro, C.; Jones, L.H. Squaramides: Physical Properties, Synthesis and Applications. Chem. Soc. Rev. 2011, 40, 2330–2346. [Google Scholar] [CrossRef]
- Quiñonero, D.; Frontera, A.; Ballester, P.; Deyà, P.M. A Theoretical Study of Aromaticity in Squaramide and Oxocarbons. Tetrahedron Lett. 2000, 41, 2001–2005. [Google Scholar] [CrossRef]
- Quiñonero, D.; Prohens, R.; Garau, C.; Frontera, A.; Ballester, P.; Costa, A.; Deyà, P.M. A Theoretical Study of Aromaticity in Squaramide Complexes with Anions. Chem. Phys. Lett. 2002, 351, 115–120. [Google Scholar] [CrossRef]
- Busschaert, N.; Kirby, I.L.; Young, S.; Coles, S.J.; Horton, P.N.; Light, M.E.; Gale, P.A. Squaramides as Potent Transmembrane Anion Transporters. Angew. Chem. Int. Ed. 2012, 51, 4426–4430. [Google Scholar] [CrossRef]
- Amendola, V.; Fabbrizzi, L.; Mosca, L.; Schmidtchen, F.-P. Urea-, Squaramide-, and Sulfonamide-Based Anion Receptors: A Thermodynamic Study. Chem. Eur. J. 2011, 17, 5972–5981. [Google Scholar] [CrossRef]
- Kucherenko, A.S.; Kostenko, A.A.; Komogortsev, A.N.; Lichitsky, B.V.; Fedotov, M.Y.; Zlotin, S.G. C2-Symmetric Chiral Squaramide, Recyclable Organocatalyst for Asymmetric Michael Reactions. J. Org. Chem. 2019, 84, 4304–4311. [Google Scholar] [CrossRef]
- Evans, R. The Interpretation of Small Molecule Diffusion Coefficients: Quantitative Use of Diffusion-Ordered NMR Spectroscopy. Prog. Nucl. Magn. Reson. Spectrosc. 2020, 117, 33–69. [Google Scholar] [CrossRef]
- Pérez-Trujillo, M.; Parella, T.; Kuhn, L.T. NMR-Aided Differentiation of Enantiomers: Signal Enantioresolution. Anal. Chim. Acta 2015, 876, 63–70. [Google Scholar] [CrossRef]
- Prohens, R.; Tomàs, S.; Morey, J.; Deyà, P.M.; Ballester, P.; Costa, A. Squaramido-Based Receptors: Molecular Recognition of Carboxylate Anions in Highly Competitive Media. Tetrahedron Lett. 1998, 39, 1063–1066. [Google Scholar] [CrossRef]
- Recchimurzo, A.; Maccabruni, F.; Uccello Barretta, G.; Balzano, F. Quinine as a Highly Responsive Chiral Sensor for the 1H and 19F NMR Enantiodiscrimination of N-Trifluoroacetyl Amino Acids with Free Carboxyl Functions. Analyst 2022, 147, 1669–1677. [Google Scholar] [CrossRef]














| Sample | D (×1010 m2/s) | |||
|---|---|---|---|---|
| DDABCO | Dd-1 | Dl-1 | DCSA | |
| DABCO | 16.3 ± 0.3 | |||
| DABCO/1 | 9.0 ± 0.2 | 7.0 ± 0.1 | 7.0 ± 0.1 | |
| DABCO/1/CSA | 13.1 ± 0.2 | 5.8 ± 0.1 | 6.6 ± 0.1 | 6.4 ± 0.1 |
| 1/CSA | 5.4 ± 0.1 | 5.8 ± 0.1 | 6.5 ± 0.1 | |
| CSA/Substrate | ΔΔδ (ppm) | ||
|---|---|---|---|
| NH | CH | Ac | |
| 1:1 | 0.158 (1.6) | 0.116 (1.0) | 0.023 (3.5) |
| 1:2 | 0.012 (0.1) | 0.064 (0.5) | 0.014 (2.1) |
| Substrate | ΔΔδ (ppm) | |
|---|---|---|
| NH | CF3 | |
| 3 | 0.100 (1.5) | 0.047 (3.1) |
| 4 | 0.201 (3.0) | 0.110 (9.2) |
| 5 | 0.147 (2.6) | 0.052 (3.8) |
| 6 | 0.056 (1.0) | 0.098 (7.6) |
| 7 | 0.091 (1.4) | 0.025 (1.5) |
| 8 | 0.279 (3.9) | 0.113 (8.8) |
| Substrate | CSA/Substrate | ΔΔδ (ppm) |
|---|---|---|
| 9 | 1:2 | 0.044 (4.1) |
| 1:3 | 0.053 (4.8) | |
| 1:4 | 0.047 (4.1) | |
| 10 | 1:2 | 0.057 (5.2) |
| 1:3 | 0.060; 0.258 * (5.6; 1.5 *) | |
| 1:4 | 0.050 (4.9) | |
| 11 | 1:2 | 0.046 (3.1) |
| 1:3 | 0.061 (3.7) | |
| 1:4 | 0.056 (4.5) | |
| 12 | 1.3 | 0.078 (6.0) |
| 13 | 1:3 | 0.079; 0.021 * (6.2; 1.6 *) |
| 14 | 1:1.5 ** | 0.009 (0.9) |
| Substrate | CSA/Substrate | ΔΔδ (ppm) | |||
|---|---|---|---|---|---|
| CH | Ar-CHo | Ar-CHp | Ar-CHm | ||
| 26 | 1:1 | 0.076 (1.5) | 0.016 (0.2) | 0.004 (n.d.) * | 0.008 (0.1) |
| 1:2 | 0.081 (7.2) | 0.012 (0.2) | 0.013 (0.1) | 0.008 (0.1) | |
| 1:3 | 0.036 (4.2) | 0.014 (0.2) | 0.010 (0.1) | 0.003 (n.d.) * | |
| 1:4 | 0.017 (2.4) | 0.014 (0.2) | 0.008 (0.1) | 0.003 (n.d.) * | |
| 2:1 ** | 0.030 (0.7) | 0.040 (0.7) | 0.020 (0.2) | 0.025 (0.3) | |
| 27 | CHA *** | CHB *** | CH3 (hf) *** | CH3 (lf) *** | |
| 1:1 | 0.081 (1.0) | 0.022 (0.3) | 0.015 (1.6) | 0.018 (1.9) | |
| 1:2 | 0.009 (0.1) | 0.020 (0.2) | 0.004 (0.4) | 0.007 (0.8) | |
Disclaimer/Publisher’s Note: The statements, opinions and data contained in all publications are solely those of the individual author(s) and contributor(s) and not of MDPI and/or the editor(s). MDPI and/or the editor(s) disclaim responsibility for any injury to people or property resulting from any ideas, methods, instructions or products referred to in the content. |
© 2024 by the authors. Licensee MDPI, Basel, Switzerland. This article is an open access article distributed under the terms and conditions of the Creative Commons Attribution (CC BY) license (https://creativecommons.org/licenses/by/4.0/).
Share and Cite
Spiaggia, F.; Uccello Barretta, G.; Iuliano, A.; Baldassari, C.; Aiello, F.; Balzano, F. A Squaramide-Based Organocatalyst as a Novel Versatile Chiral Solvating Agent for Carboxylic Acids. Molecules 2024, 29, 2389. https://doi.org/10.3390/molecules29102389
Spiaggia F, Uccello Barretta G, Iuliano A, Baldassari C, Aiello F, Balzano F. A Squaramide-Based Organocatalyst as a Novel Versatile Chiral Solvating Agent for Carboxylic Acids. Molecules. 2024; 29(10):2389. https://doi.org/10.3390/molecules29102389
Chicago/Turabian StyleSpiaggia, Fabio, Gloria Uccello Barretta, Anna Iuliano, Carlo Baldassari, Federica Aiello, and Federica Balzano. 2024. "A Squaramide-Based Organocatalyst as a Novel Versatile Chiral Solvating Agent for Carboxylic Acids" Molecules 29, no. 10: 2389. https://doi.org/10.3390/molecules29102389
APA StyleSpiaggia, F., Uccello Barretta, G., Iuliano, A., Baldassari, C., Aiello, F., & Balzano, F. (2024). A Squaramide-Based Organocatalyst as a Novel Versatile Chiral Solvating Agent for Carboxylic Acids. Molecules, 29(10), 2389. https://doi.org/10.3390/molecules29102389

