TG-DSC and TG-FTIR Studies of Annelated Triazinylacetic Acid Ethyl Esters—Potential Anticancer Agents
Abstract
:1. Introduction
2. Results and Discussion
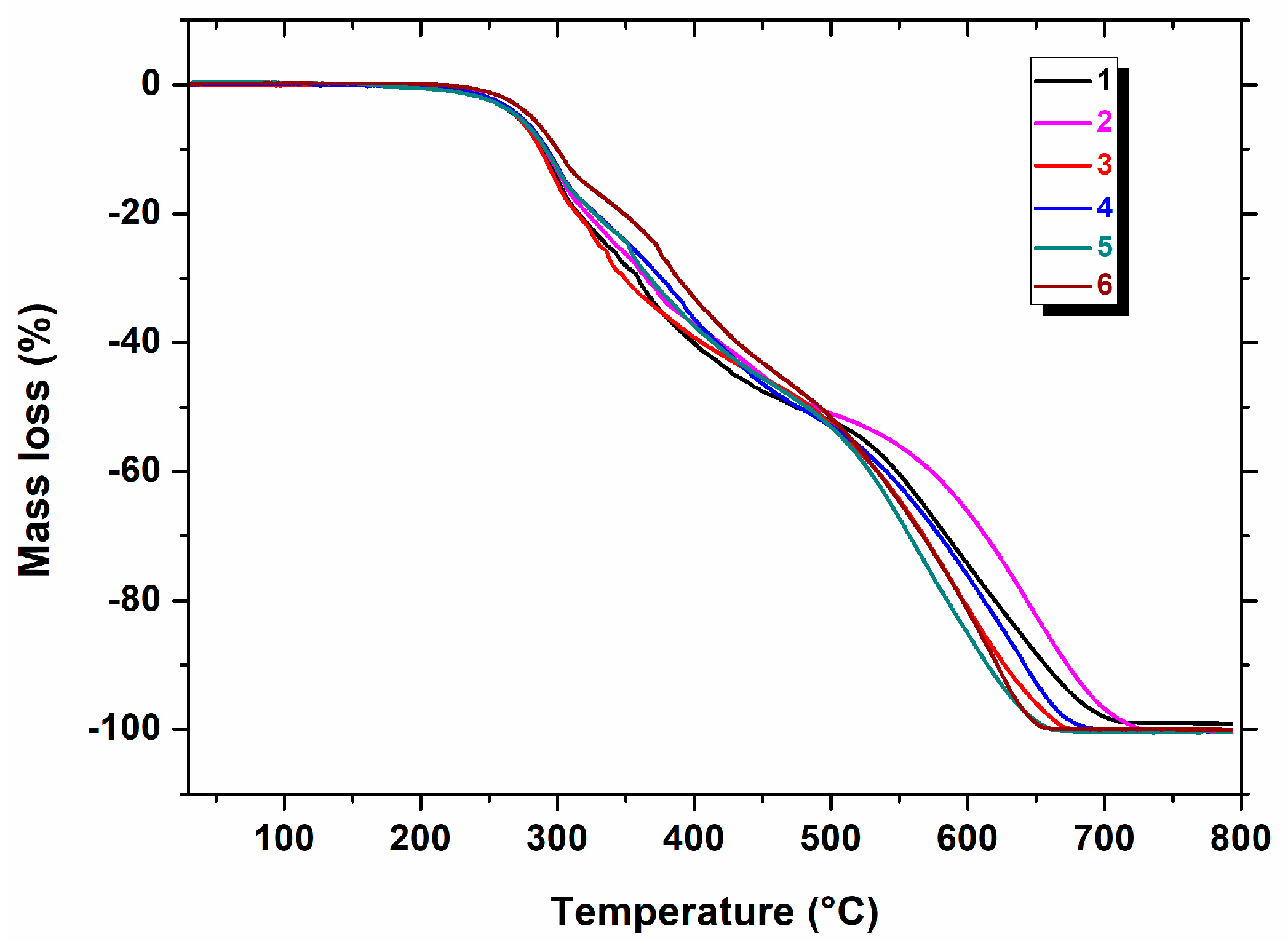
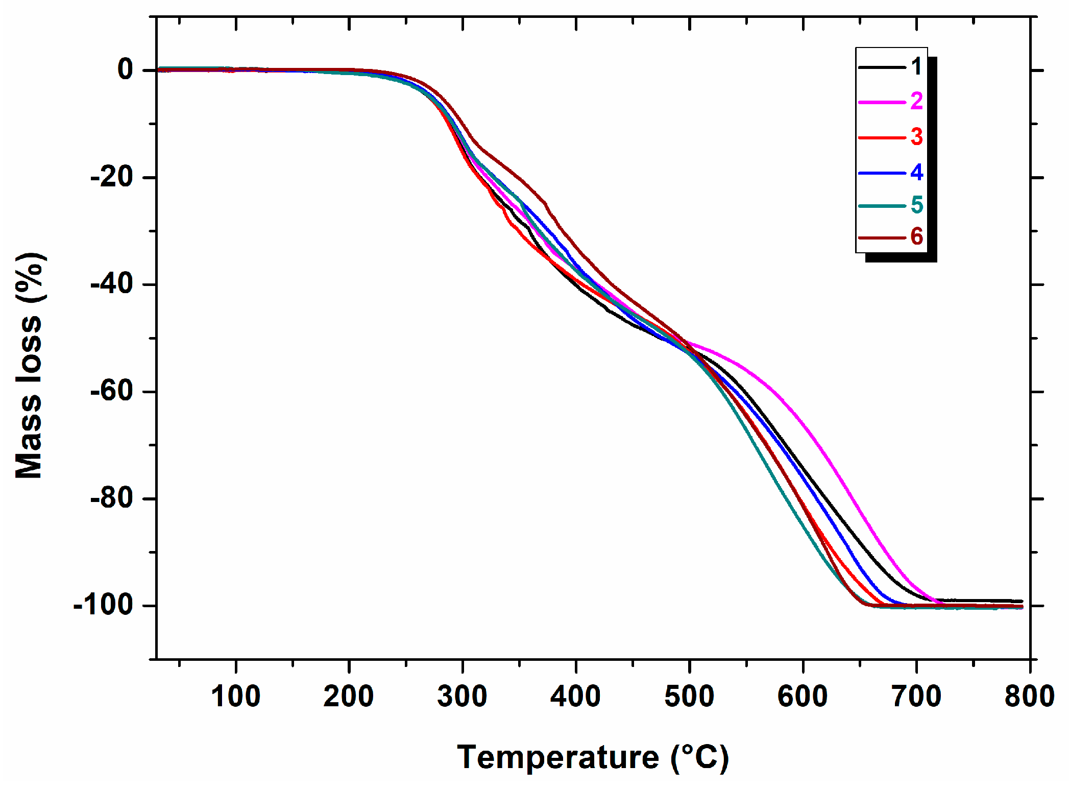
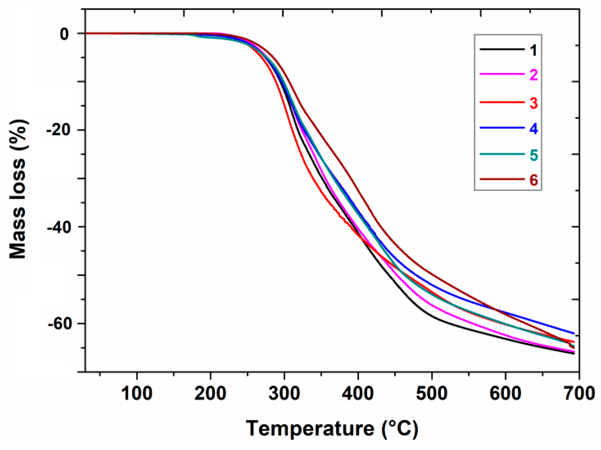
2.1. Thermal Behaviours of Compounds 1–6 in an Oxidative Atmosphere
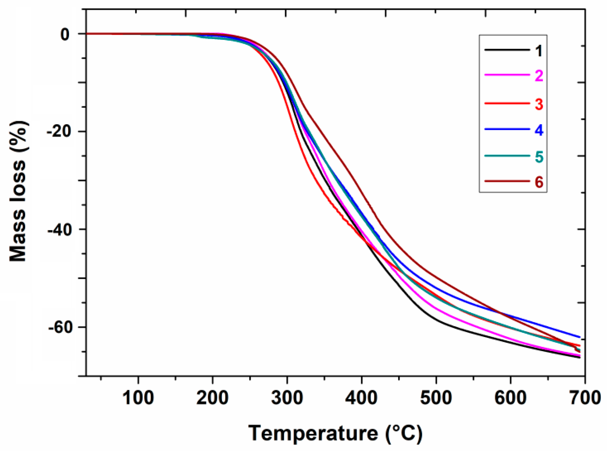
2.2. TG-FTIR Analysis of Compounds 1–6 in a Nitrogen Atmosphere
2.3. Assessment of the Risk of Side Effects and the Impact on Red Blood Cells of the Investigated Compounds (1–6)
3. Materials and Methods
3.1. Short Description of the Investigated Compounds (1–6)
3.2. Thermal Analysis Methods
4. Conclusions
Supplementary Materials
Author Contributions
Funding
Institutional Review Board Statement
Informed Consent Statement
Data Availability Statement
Conflicts of Interest
Sample Availability
References
- Patrick, G.L. An Introduction to Medicinal Chemistry, 6th ed.; Oxford University Press Inc.: New York, NY, USA, 2017. [Google Scholar]
- Sztanke, K.; Sztanke, M. Ethyl Esters of 2-(4-oxo-4,6,7,8-tetrahydroimidazo[2,1-c][1,2,4]triazin-3-yl)acetic Acids, Process for Their Preparation and Medical Use. Polish Patent PL 219424, 30 April 2015. [Google Scholar]
- Sztanke, M.; Rzymowska, J.; Sztanke, K. Synthesis, structure elucidation and in vitro anticancer activities of novel derivatives of diethyl (2E)-2-[(2E)-(1-arylimidazolidin-2-ylidene)hydrazono]succinate and ethyl (4-oxo-8-aryl-4,6,7,8-tetrahydroimidazo[2,1-c][1,2,4]triazin-3-yl)acetate. Bioorg. Med. Chem. 2013, 21, 7465–7480. [Google Scholar] [CrossRef] [PubMed]
- Janicka, M.; Sztanke, M.; Sztanke, K. Predicting the blood-brain barrier permeability of new drug-like compounds via HPLC with various stationary phases. Molecules 2020, 25, 487. [Google Scholar] [CrossRef] [PubMed]
- Stępniowska, A.; Sztanke, M.; Tuzimski, T.; Korolczuk, M.; Sztanke, K. A simple stripping voltammetric method for the determination of a new anticancer prodrug in serum. Biosens. Bioelectron. 2017, 94, 584–588. [Google Scholar] [CrossRef]
- Craig, D.Q.M.; Reading, M. Thermal Analysis of Pharmaceuticals; CRC Press: Boca Raton, FL, USA, 2006; pp. 53–78. [Google Scholar]
- Thakur, S.S. Introduction to Pharmaceutical Thermal Analysis: A Teaching Tool. ETD Archive. 2011. 745. Available online: https://engagedscholarship.csuohio.edu/etdarchive/745 (accessed on 17 October 2022).
- Ramos, P. Application of Thermal Analysis to Evaluate Pharmaceutical Preparations Containing Theophylline. Pharmaceuticals 2022, 15, 1268. [Google Scholar] [CrossRef] [PubMed]
- Fragnito, A.; Bianco, N.; Iasiello, M.; Mauro, G.M.; Mongibello, L. Experimental and numerical analysis of a phase change material-based shell-and-tube heat exchanger for cold thermal energy storage. J. Energy Storage 2022, 56, 105975. [Google Scholar] [CrossRef]
- Bianco, N.; Fragnito, A.; Iasiello, M.; Mauro, G.M.; Mongibello, L. Multi-objective optimization of a phase change material-based shell-and-tube heat exchanger for cold thermal energy storage: Experiments and numerical modeling. Appl. Therm. Eng. 2022, 215, 119047. [Google Scholar] [CrossRef]
- Alamro, F.S.; Tolan, D.A.; El-Nahas, A.M.; Ahmed, H.A.; El-Atawy, M.A.; Al-Kadhi, N.S.; Aziz, S.G.; Shibl, M.F. Wide Nematogenic azomethine/ester liquid crystals based on new biphenyl derivatives: Mesomorphic and computational studies. Molecules 2022, 27, 4150. [Google Scholar] [CrossRef]
- Worzakowska, M.; Sztanke, M.; Sztanke, K. Decomposition course of anticancer active imidazolidine-based hybrids with diethyl butanedioate studied by TG/FTIR/QMS-coupled method. J. Anal. Appl. Pyrolysis 2019, 143, 104686. [Google Scholar] [CrossRef]
- Howell, B.A.; Sun, W. Thermal degradation of esters/ethers derived from tartaric acid. J. Therm. Anal. Calorim. 2015, 122, 1167–1175. [Google Scholar] [CrossRef]
- Patel, C.B.; Dhaduk, B.B.; Parsania, P.H. Thermal studies of some biologically active new aryl esters of 1,1′-bis(4-hydroxyphenyl)cyclohexane. J. Chem. Pharm. Res. 2015, 7, 20–26. [Google Scholar]
- Sikorska-Iwan, M.; Modzelewska-Banachiewicz, B. Thermal behaviour of 1,2,4-triazole and 1,2,4-triazine derivatives. J. Therm. Anal. Calorim. 2005, 81, 119–123. [Google Scholar] [CrossRef]
- Epishina, M.A.; Kulikov, A.S.; Fershtat, L.L. Revisiting the synthesis of functionally substituted 1,4-dihydrobenzo[e][1,2,4]triazines. Molecules 2022, 27, 2575. [Google Scholar] [CrossRef]
- Shamsipur, M.; Pourmortazavi, S.M.; Beigi, A.A.M.; Heydari, R.; Khatibi, M. Thermal stability and decomposition kinetic studies of acyclovir and zidovudine drug compounds. AAPS PharmSciTech 2013, 14, 287–293. [Google Scholar] [CrossRef]
- Yoshida, M.I.; Gomes, E.C.; Soares, C.D.; Oliveira, M.A. Thermal behavior study and decomposition kinetics of amiodarone hydrochloride under isothermal conditions. Drug Dev. Ind. Pharm. 2011, 37, 638–647. [Google Scholar] [CrossRef]
- Elguero, J. Polymorphism and desmotropy in heterocyclic crystal structures. Cryst. Growth Des. 2011, 11, 4731–4738. [Google Scholar] [CrossRef]
- Juribašić, M.; Bregović, N.; Stilinović, V.; Tomišić, V.; Cindrić, M.; Sket, P.; Plavec, J.; Rubčić, M.; Užarević, K. Supramolecular stabilization of metastable tautomers in solution and the solid state. Chem.-A Eur. J. 2014, 20, 17333–17345. [Google Scholar] [CrossRef]
- Brugger, M.; Wamhoff, H.; Korte, F. 1.2.4-Triazine. II. Kondensierte 1,2,4-Triazinone durch Umsetzung von heterocyclischen Amidrazonen mit ungesättigten Dicarbonsäureestern. Justus Liebigs Ann. Chem. 1972, 757, 100–108. [Google Scholar] [CrossRef]
- Łyszczek, R.; Bartyzel, A.; Głuchowska, H.; Mazur, L.; Sztanke, M.; Sztanke, K. Thermal investigations of biologically important fused azaisocytosine-containing congeners and the crystal structure of one representative. J. Anal. Appl. Pyrolysis 2018, 135, 141–151. [Google Scholar] [CrossRef]
- Worzakowska, M.; Sztanke, M.; Sztanke, K. Pyrolysis and oxidative decomposition mechanism of trifluoromethylated fused triazinones. J. Anal. Appl. Pyrolysis 2021, 157, 105226. [Google Scholar] [CrossRef]
- Van Scheltinga, J.T.; Ligterink, N.F.W.; Boogert, A.C.A.; van Dishoeck, E.F.; Linnartz, H. Infrared spectra of complex organic molecules in astronomically relevant ice matrices. I. Acetaldehyde, ethanol, and dimethyl ether. A&A 2018, 611, A35. [Google Scholar] [CrossRef]
- Łyszczek, R.; Rusinek, I.; Sienkiewicz-Gromiuk, J.; Iwan, M.; Pavlyuk, O. 3-D lanthanide coordination polymers with the flexible 1,3-phenylenediacetate linker: Spectroscopic, structural and thermal investigations. Polyhedron 2019, 159, 93–101. [Google Scholar] [CrossRef]
- Łyszczek, R.; Vlasyuk, D.; Podkościelna, B.; Głuchowska, H.; Piramidowicz, R.; Jusza, A. A Top-down approach and thermal characterization of luminescent hybrid BPA.DA-MMA@Ln2L3 materials based on lanthanide(III) 1H-pyrazole-3,5-dicarboxylates. Materials 2022, 15, 8826. [Google Scholar] [CrossRef] [PubMed]
- Sikorska-Iwan, M.; Mrozek-Łyszczek, R. Application of coupled TG-FTIR system in studies of thermal stability of manganese(II) complexes with amino acids. J. Therm. Anal. Calorim. 2004, 78, 487–500. [Google Scholar] [CrossRef]
- Vlasyuk, D.; Łyszczek, R. Effect of different synthesis approaches on structural and thermal properties of lanthanide(III) metal-organic frameworks based on the 1H-pyrazole-3,5-dicarboxylate linker. J. Inorg. Organomet. Polym. 2021, 31, 3534–3548. [Google Scholar] [CrossRef]
- Mrozek-Łyszczek, R. Thermal investigations of cefadroxil complexes with transition metals. J. Therm. Anal. Calorim. 2004, 78, 473–486. [Google Scholar] [CrossRef]
- Mukherjee, M.; Bandyopadhyay, B.; Biswas, P.; Chakraborty, T. Amine inversion effects on the IR spectra of aniline in the gas phase and cold inert gas matrixes. Indian J. Phys. 2012, 86, 201–208. [Google Scholar] [CrossRef]
- Silverstein, R.M.; Webster, F.X.; Kiemle, D.J.; Bryce, D.L. Spectrometric Identification of Organic Compounds, 8th ed.; Wiley: Hoboken, NY, USA, 2015; pp. 72–108. [Google Scholar]








| Sample | Melting Process | Decomposition Process | |||||||
|---|---|---|---|---|---|---|---|---|---|
| Tonset [°C] | Tpeak [°C] | ΔHm [kJ·mol−1] | Step 1 | Step 2 | Step 3 | ||||
| ΔT1 [°C] | Δm1 [%] | ΔT2 [°C] | Δm2 [%] | ΔT3 [°C] | Δm3 [%] | ||||
| 1 | 172 | 175 | 26.31 | 200–328 | 23.26 | 328–484 | 27.33 | 484–718 | 48.71 |
| 2 | 202 | 206 | 24.87 | 216–338 | 23.70 | 338–502 | 27.48 | 502–765 | 48.72 |
| 3 | 172 | 177 | 29.90 | 197–315 | 20.55 | 315–454 | 25.33 | 454–692 | 54.09 |
| 4 | 131 143 | 135 147 | 6.75 11.36 | 195–336 | 21.83 | 336–476 | 28.25 | 476–705 | 49.87 |
| 5 | 172 | 176 | 25.21 | 206–339 | 22.57 | 339–448 | 23.13 | 448–680 | 54.18 |
| 6 | 171 | 176 | 19.79 | 211–324 | 16.04 | 324–450 | 27.22 | 450–671 | 56.65 |
Disclaimer/Publisher’s Note: The statements, opinions and data contained in all publications are solely those of the individual author(s) and contributor(s) and not of MDPI and/or the editor(s). MDPI and/or the editor(s) disclaim responsibility for any injury to people or property resulting from any ideas, methods, instructions or products referred to in the content. |
© 2023 by the authors. Licensee MDPI, Basel, Switzerland. This article is an open access article distributed under the terms and conditions of the Creative Commons Attribution (CC BY) license (https://creativecommons.org/licenses/by/4.0/).
Share and Cite
Ostasz, A.; Łyszczek, R.; Sztanke, K.; Sztanke, M. TG-DSC and TG-FTIR Studies of Annelated Triazinylacetic Acid Ethyl Esters—Potential Anticancer Agents. Molecules 2023, 28, 1735. https://doi.org/10.3390/molecules28041735
Ostasz A, Łyszczek R, Sztanke K, Sztanke M. TG-DSC and TG-FTIR Studies of Annelated Triazinylacetic Acid Ethyl Esters—Potential Anticancer Agents. Molecules. 2023; 28(4):1735. https://doi.org/10.3390/molecules28041735
Chicago/Turabian StyleOstasz, Agnieszka, Renata Łyszczek, Krzysztof Sztanke, and Małgorzata Sztanke. 2023. "TG-DSC and TG-FTIR Studies of Annelated Triazinylacetic Acid Ethyl Esters—Potential Anticancer Agents" Molecules 28, no. 4: 1735. https://doi.org/10.3390/molecules28041735
APA StyleOstasz, A., Łyszczek, R., Sztanke, K., & Sztanke, M. (2023). TG-DSC and TG-FTIR Studies of Annelated Triazinylacetic Acid Ethyl Esters—Potential Anticancer Agents. Molecules, 28(4), 1735. https://doi.org/10.3390/molecules28041735

