New Bicyclic Pyridine-Based Hybrids Linked to the 1,2,3-Triazole Unit: Synthesis via Click Reaction and Evaluation of Neurotropic Activity and Molecular Docking
Abstract
1. Introduction
2. Results and Discussion
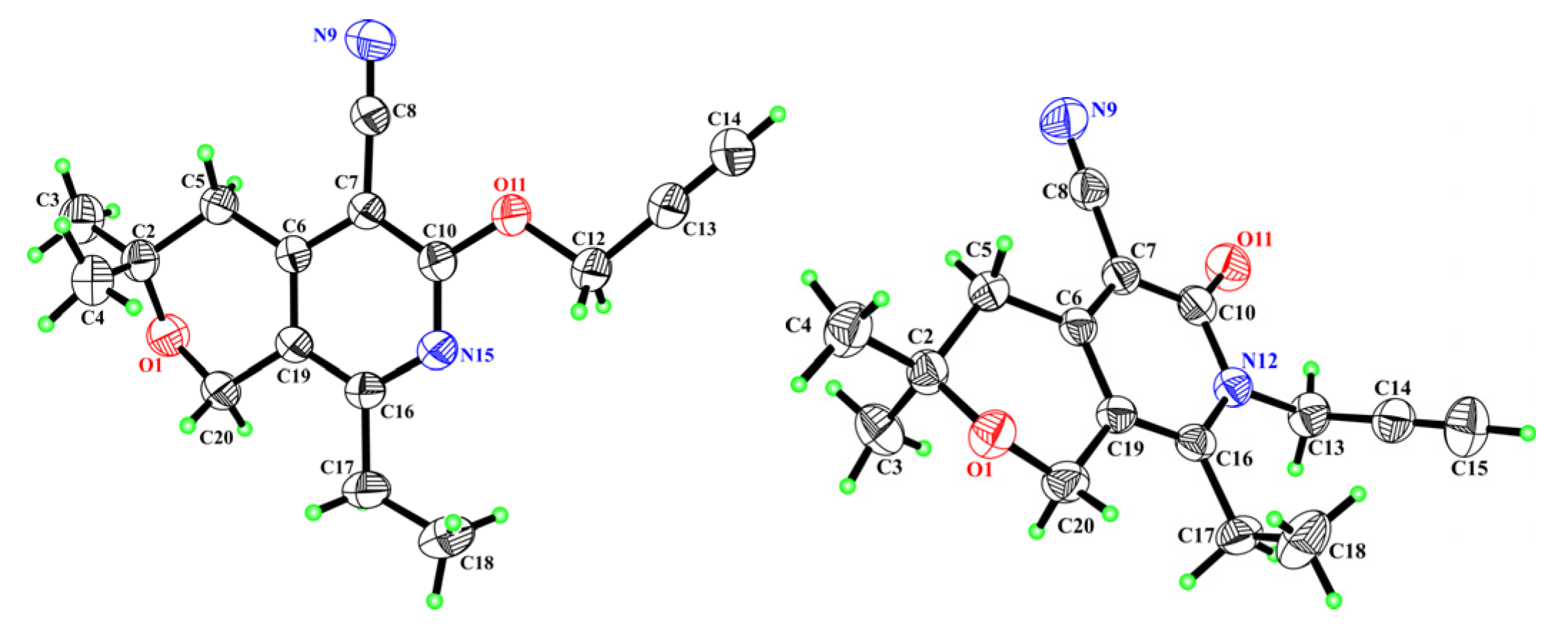
2.1. Chemistry
2.2. Biological Evaluation
2.3. Molecular Docking
2.3.1. Docking Studies for Prediction of the Mechanism of Anticonvulsant and Anxiolytic Activity (Docking to GABAA Receptor)
2.3.2. Docking to the SERT Transporter and the 5-HT1A Receptor
2.4. Drug Likeness
3. Materials and Methods
3.1. Chemistry
3.1.1. General Information
3.1.2. General Procedure for the Synthesis of Propargylated Derivatives 2b, d, f, g–I, and 3f
3.1.3. Procedure for the Synthesis of 6-[4-(Chloroacetyl)piperazin-1-yl]-3,3,8-trimethyl-3,4-dihydro-1H-pyrano [3,4-c]pyridine-5-carbonitrile (5a)
3.1.4. Procedure for the Synthesis of 6-[4-(Azidoacetyl)piperazin-1-yl]-3,3,8-trimethyl-3,4-dihydro-1H-pyrano [3,4-c]pyridine-5-carbonitrile (6a)
3.1.5. General Procedure for the Synthesis of 1,2,3-Triazoles 7a, c–g, i–n, p–u
3.2. Biological Evaluation
3.2.1. Evaluation of the Anticonvulsant Activity of the Synthesized Compounds
3.2.2. Evaluation of the Psychotropic Properties of the Synthesized Compounds
3.2.3. Evaluation of Coordination of Movement in the Rotating Rod Test
3.3. Docking Studies
3.4. Drug Likeness
4. Conclusions
Supplementary Materials
Author Contributions
Funding
Institutional Review Board Statement
Informed Consent Statement
Data Availability Statement
Conflicts of Interest
Sample Availability
References
- World Health Organization. Fact Sheets: Epilepsy. Available online: https://www.who.int/news-room/fact-sheets/detail/epilepsy (accessed on 9 February 2022).
- Forsgren, L.; Beghi, E.; Oun, A.; Sillanpä, M. The epidemiology of epilepsy in Europe—A systematic review. Eur. J. Neurol. 2005, 12, 245–253. [Google Scholar] [CrossRef]
- Park, K.M.; Kim, S.E.; Lee, B.I. Antiepileptic drug therapy in patients with drug-resistant epilepsy. J. Epilepsy Res. 2019, 9, 14–26. [Google Scholar] [CrossRef] [PubMed]
- Voronkova, K.V.; Golosnaya, G.S.; Lemeshko, I.D.; Petrukhin, A.S. Advantages of broad spectrum antiepileptic drugs in treatment of epilepsy. Epilepsy Paroxysmal Cond. 2017, 9, 79–85. (In Russian) [Google Scholar] [CrossRef]
- Robert, M.A. Hirschfeld: Guideline Watch: Practice Guideline for the Treatment of Patients with Bipolar Disorder, 2nd ed.; American Psychiatric Association: Arlington, VA, USA, 2002; pp. 1–9. [Google Scholar]
- Meunier, B. Hybrid molecules with a dual mode of action: Dream or reality? Acc. Chem. Res. 2008, 41, 69–77. [Google Scholar] [CrossRef] [PubMed]
- Congreve, M.; Chessari, G.; Tisi, D.; Woodhead, A.J. Recent developments in fragment-based drug discovery. J. Med. Chem. 2008, 51, 3661–3680. [Google Scholar] [CrossRef]
- Tietze, L.F.; Bell, H.P.; Chandrasekhar, S. Natural product hybrids as new leads for drug discovery. Angew. Chem. Int. Ed. 2003, 42, 3996–4028. [Google Scholar] [CrossRef]
- Mehta, G.; Singh, V. Hybrid systems through natural product leads: An approach towards new molecular entities. Chem. Soc. Rev. 2002, 31, 324–334. [Google Scholar] [CrossRef] [PubMed]
- Tsogoeva, S.B. Recent progress in the development of synthetic hybrids of natural or unnatural bioactive compounds for medicinal chemistry. Mini-Rev. Med. Chem. 2010, 10, 773–793. [Google Scholar] [CrossRef] [PubMed]
- Arndt, S.; Emde, U.; Bäuerle, S.; Friedrich, T.; Grubert, L.; Koert, U. Quinone–annonaceous acetogenins: Synthesis and complex I inhibition studies of a new class of natural product hybrids. Chem. Eur. J. 2001, 7, 993–1005. [Google Scholar] [CrossRef] [PubMed]
- Horwedel, C.; Tsogoeva, S.B.; Wei, S.; Efferth, T. Cytotoxicity of artesunic acid homo- and heterodimer molecules toward sensitive and multidrug-resistant CCRF-CEM leukemia cells. J. Med. Chem. 2010, 53, 4842–4848. [Google Scholar] [CrossRef]
- Reiter, C.; Herrmann, A.; Çapci, A.; Efferth, T.; Tsogoeva, S.B. New artesunic acid homodimers: Potent reversal agents of multidrug resistance in leukemia cells. Bioorg. Med. Chem. 2012, 20, 5637–5641. [Google Scholar] [CrossRef] [PubMed]
- Sirakanyan, S.N.; Hrubša, M.; Spinelli, D.; Dias, P.; Kartsev, V.; Carazo, A.; Hovakimyan, A.A.; Pourová, J.; Hakobyan, E.K.; Karlíčková, J.; et al. Synthesis of 3,3-dimethyl-6-oxopyrano [3,4-c]pyridines and their antiplatelet and vasodilatory activity. J. Pharm. Pharmacol. 2022, 74, 887–895. [Google Scholar] [CrossRef] [PubMed]
- Sirakanyan, S.N.; Akopyan, E.K.; Paronikyan, R.G.; Nazaryan, I.M.; Akopyan, A.G.; Ovakimyan, A.A. Synthesis and neurotropic activity of piperazino-derivatives of pyrano [3,4-c]pyridines. Pharm. Chem. J. 2019, 53, 495–499. [Google Scholar] [CrossRef]
- Sirakanyan, S.N.; Noravyan, A.S.; Dzhagatspanyan, I.A.; Nazaryan, I.M.; Ovakimyan, A.A.; Akopyan, A.G.; Avetisyan, N.G. Synthesis and neurotropic activity of new derivatives of piperazino-substituted pyrano [3,4-c]pyridines. Pharm. Chem. J. 2013, 46, 591–594. [Google Scholar] [CrossRef]
- Sirakanyan, S.N.; Kartsev, V.G.; Spinelli, D.; Geronikaki, A.; Petrou, A.; Ivanov, M.; Glamoclija, J.; Sokovic, M.; Hakobyan, E.; Hovakimyan, A.A. Synthesis and antimicrobial activity of new 2-piperazin-1-yl-N-1,3-thiazol-2-ylacetamides of cyclopenta[c]pyridines and pyrano[3,4-c]pyridines. Arch. Pharm. 2021, 354, 2000208. [Google Scholar] [CrossRef] [PubMed]
- Gonnet, L.; Baron, M.; Baltas, M. Synthesis of biologically relevant 1,2,3- and 1,3,4-triazoles: From classical pathway to green chemistry. Molecules 2021, 26, 5667. [Google Scholar] [CrossRef]
- Pereira, D.; Pinto, M.; Correia-da-Silva, M.; Cidade, H. Recent advances in bioactive flavonoid hybrids linked by 1,2,3-triazole ring obtained by click chemistry. Molecules 2022, 27, 230. [Google Scholar] [CrossRef] [PubMed]
- Agalave, S.G.; Maujan, S.R.; Pore, V.S. Click chemistry: 1,2,3-triazoles as pharmacophores. Chem. Asian J. 2011, 6, 2696–2718. [Google Scholar] [CrossRef]
- Ramachary, D.B.; Shashank, A.B.; Karthik, S. An organocatalytic azide–aldehyde [3+2] cycloaddition: High-yielding regioselective synthesis of 1,4-disubstituted 1,2,3-triazoles. Angew. Chem. Int. Ed. 2014, 53, 10420–10424. [Google Scholar] [CrossRef]
- Quan, Z.-J.; Xu, Q.; Zhang, Z.; Da, Y.-X.; Wang, X.-C. Copper-catalyzed click synthesis of functionalized 1,2,3-triazoles with 3,4-dihydropyrimidinone or amide group via a one-pot four-component reaction. Tetrahedron 2013, 69, 881–887. [Google Scholar] [CrossRef]
- Seus, N.; Saraiva, M.T.; Alberto, E.E.; Savegnago, L.; Alves, D. Selenium compounds in Click Chemistry: Copper catalyzed 1,3-dipolar cycloaddition of azidomethyl arylselenides and alkynes. Tetrahedron 2012, 68, 10419–10425. [Google Scholar] [CrossRef]
- Sirakanyan, S.N.; Ghochikyan, T.V.; Spinelli, D.; Galstyan, A.S.; Geronikaki, A.; Samvelyan, M.A.; Hakobyan, E.K.; Hovakimyan, A.A. Synthesis of novel 1,2,3-triazole-based hybrids via click reaction. Arkivoc 2022, part ii, 7–21. [Google Scholar] [CrossRef]
- Sirakanyan, S.N.; Geronikaki, A.; Kartsev, V.; Hakobyan, E.K.; Hovakimyan, A.A. One-pot synthesis of 3-oxocycloalka[c]pyridines. Russ. J. Org. Chem. 2021, 57, 1748–1752. [Google Scholar] [CrossRef]
- Sirakanyan, S.N.; Spinelli, D.; Kartsev, V.; Geronikaki, A.; Hakobyan, E.K.; Ayvazyan, A.G.; Tamazyan, R.A.; Hovakimyan, A.A. A study of the regiochemistry in the synthesis of pyrano[3,4-c]pyridines. Curr. Org. Chem. 2021, 25, 1704–1714. [Google Scholar] [CrossRef]
- Sirakanyan, S.N.; Spinelli, D.; Geronikaki, A.; Zuppiroli, L.; Zuppiroli, R.; Kartsev, V.; Hakobyan, E.K.; Yegoryan, H.A.; Hovakimyan, A.A. Synthesis of 1-amino-3-oxo-2,7-naphthyridines via Smiles rearrangement: A new approach in the field of chemistry of heterocyclic compounds. Inter. J. Mol. Sci. 2022, 23, 5904. [Google Scholar] [CrossRef]
- Sirakanyan, S.N.; Spinelli, D.; Geronikaki, A.; Kartsev, V.; Hakobyan, E.K.; Petrou, A.; Paronikyan, R.G.; Nazaryan, I.M.; Akopyan, H.H.; Hovakimyan, A.A. Synthesis and neurotropic activity of new heterocyclic systems: Pyridofuro[3,2-d]pyrrolo[1,2-a]pyrimidines, pyridofuro[3,2-d]pyrido[1,2-a]pyrimidines and pyridofuro[3′,2′:4,5]pyrimido[1,2-a]azepines. Molecules 2021, 26, 3320. [Google Scholar] [CrossRef]
- Vogel, H.G.; Vogel, W.H. Psychotropic and neurotropic activity. In Drug Discovery and Evaluation: Pharmacological Assays; Vogel, H.E., Ed.; Springer: Berlin/Heidelberg, Germany, 2008; pp. 569–874. [Google Scholar]
- Loscher, W.; Schmidt, D. Which animal models should be used in the search for new antiepileptic drugs? A proposal based on experimental and clinical considerations. Epilepsy Res. 1988, 2, 145–181. [Google Scholar] [CrossRef] [PubMed]
- Swinyard, E.A. Experimental Models of Epilepsy; Purpura, D.P., Penry, J.K., Tower, D., Woodbury, D.M., Walter, R., Eds.; Raven Press: New York, NY, USA, 1992; pp. 433–458. [Google Scholar]
- Katzung, B. Drugs Used in Generalized Seizures, Basic and Clinical pharmacology, Large Medical Books, 9th ed.; McGraw-Hill: New York, NY, USA, 2003. [Google Scholar]
- Yuen, E.; Troconiz, I. Can pentylenetetrazole and maximal electroshock rodent seizure models quantitatively predict antiepileptic efficacy in humans? Seizure 2015, 24, 21–27. [Google Scholar] [CrossRef]
- Luszczki, J.J.; Kominek, M.; Florek-Luszczki, M.; Tchaytchian, D.A.; Kocharov, S.L.; Zolkowska, D. Influence of N-hydroxymethyl-p-isopropoxyphenylsuccinimide on the anticonvulsant action of different classical antiepileptic drugs in the mouse maximal electroshock-induced seizure model. Epilepsy Res. 2012, 100, 27–36. [Google Scholar] [CrossRef]
- Löscher, W.; Fassbender, C.; Nolting, B. The role of technical, biological and pharmacological factors in the laboratory evaluation of anticonvulsant drugs. II. Maximal electroshock seizure models. Epilepsy Res. 1991, 8, 79–94. [Google Scholar] [CrossRef]
- Litchfield, J.T.; Wilcoxon, F.J. A simplified method of evaluating dose-effect experiments. Pharmacol. Exp. Ther. 1949, 96, 99–113. Available online: https://jpet.aspetjournals.org/content/96/2/99 (accessed on 22 December 2022).
- Mashkovsky, M.D. Medicines, 16th ed.; New Wave: Moscow, Russia, 2021; p. 1216. [Google Scholar]
- File, S.E. Factors controlling measures of anxiety and responses to novelty in the mouse. Behav. Brain Res. 2001, 125, 151–157. [Google Scholar] [CrossRef] [PubMed]
- Prut, L.; Belzung, C. The open field as a paradigm to measure the effects of drugs on anxiety-like behaviors: A review. Eur. J. Pharmacol. 2003, 463, 3–33. [Google Scholar] [CrossRef] [PubMed]
- Pellow, S.; Chopin, P.; File, S.E.; Briley, M. Validation of open: Closed arm entries in an elevated plus-maze as a measure of anxiety in the rat. J. Neurosci. Methods 1985, 14, 149–167. [Google Scholar] [CrossRef] [PubMed]
- Graeff, F.G.; Netto, C.F.; Zangrossi, H., Jr. The elevated T-maze as an experimental model of anxiety. Neurosci. Biobehav. Rev. 1998, 23, 237–246. [Google Scholar] [CrossRef] [PubMed]
- Porsolt, R.D.; Anton, G.; Blavet, N.; Jalfre, M. Behavioural despair in rats: A new model sensitive to antidepressant treatments. Eur. J. Pharmacol. 1978, 47, 379–391. [Google Scholar] [CrossRef]
- Buresh, Y.; Bureshova, O.; Houston, D.P. Methods and Basic Experiments for Investigation of the Brain and Behavior; Vysshaya Shkola: Moscow, Russia, 1991; pp. 175–189. (In Russian) [Google Scholar]
- Rogawski, M.A.; Löscher, W. The neurobiology of antiepileptic drugs. Nat. Rev. Neurosci. 2004, 5, 553–564. [Google Scholar] [CrossRef]
- Kammerer, M.; Rassner, M.P.; Freiman, T.M.; Feuerstein, T.J. Effects of antiepileptic drugs on GABA release from rat and human neocortical synaptosomes. Naunyn-Schmiedeberg’s Arch. Pharmacol. 2011, 384, 47–57. [Google Scholar] [CrossRef]
- Miller, P.S.; Aricescu, A.R. Crystal structure of a human GABAA receptor. Nature 2014, 512, 270–275. [Google Scholar] [CrossRef]
- Saier, M.H., Jr. A functional-phylogenetic classification system for transmembrane solute transporters. Microbiol. Mol. Biol. Rev. 2000, 64, 354–411. [Google Scholar] [CrossRef]
- Perrone, R.; Berardi, F.; Colabufo, N.A.; Lacivita, E.; Larizza, C. Design and synthesis of long-chain arylpiperazines with mixed affinity for serotonin transporter (SERT) and 5-HT1A receptor. J. Pharm. Pharmacol. 2005, 57, 1319–1327. [Google Scholar] [CrossRef] [PubMed]
- Blier, P. Pharmacology of rapid-onset antidepressant treatment strategies. J. Clin. Psychiatry 2001, 62 (Suppl. S15), 12–17. [Google Scholar] [PubMed]
- Singh, S.K.; Piscitelli, C.L.; Yamashita, A.; Gouaux, E. A competitive inhibitor traps LeuT in an open-to-out conformation. Science 2008, 322, 1655–1661. [Google Scholar] [CrossRef] [PubMed]
- Kuipers, W.; Link, R.; Standaar, P.J.; Stoit, A.R.; Van Wijngaarden, I.; Leurs, R.; Ijzerman, A.P. Study of the interaction between aryloxypropanolamines and Asn386 in helix VII of the human 5-hydroxytryptamine1A receptor. Mol. Pharmacol. 1997, 51, 889–896. [Google Scholar] [CrossRef]
- Wacker, D.; Fenalti, G.; Brown, M.A.; Katritch, V.; Abagyan, R.; Cherezov, V.; Stevens, R.C. Conserved Binding Mode of Human β2 Adrenergic Receptor Inverse Agonists and Antagonist Revealed by X-ray Crystallography. J. Am. Chem. Soc. 2010, 132, 11443–11445. [Google Scholar] [CrossRef]
- Sheldrick, G.M. Crystal structure refinement with SHELXL. Acta Cryst. 2015, C71, 3–8. [Google Scholar] [CrossRef]
- Bandaru, S.; Tiwari, G.; Akka, J.; Marri, V.K.; Alvala, M.; Gutlapalli, V.R.; Nayarisseri, A.; Mundluru, H.P. Identification of high affinity bioactive Salbutamol conformer directed against mutated (Thr164Ile) beta 2 adrenergic receptor. Curr. Top. Med. Chem. 2015, 15, 50–56. [Google Scholar] [CrossRef]
- Accelrys Discovery Studio® Visualizer 3.5.0.12158, (Copyright© 2005-12, Accelrys Software Inc.) was used for molecular visualizations; Accelrys Software Inc.: San Diego, CA, USA, 2005.
- Molsoft Software. Available online: https://molsoft.com/mprop/ (accessed on 22 December 2022).
- Yang, H. admetSAR 2.0: Web-service for prediction and optimization of chemical ADMET properties. Bioinformatics 2018, 35, 1067–1069. [Google Scholar] [CrossRef]

















| Compound | X | n | R1 | R2 | Yield (%) |
|---|---|---|---|---|---|
| 2a | CH2 | 0 | H | i-Pr | 73 |
| 2b | CH2 | 1 | H | Me | 71 |
| 2c | CH2 | 1 | H | i-Pr | 78 |
| 2d | CH2 | 1 | H | 2-furyl | 74 |
| 2e | O | 1 | Me | Me | 75 |
| 2f | O | 1 | Me | Et | 70 |
| 2g | O | 1 | Me | n-Pr | 76 |
| 2h | N-Pri | 1 | H | (CH2)3N(CH2)3 | 72 |
| 2i | N-Bn | 1 | H | (CH2)3N(CH2)3 | 73 |
| 3f | O | 1 | Me | Et | 10 |
| Crystal Data | ||
|---|---|---|
| Compound | 2f | 3f |
| Formula | C16H18N2O2 | C16H18N2O2 |
| Formula Weight | 270.32 | 270.32 |
| Crystal System | Triclinic | Monoclinic |
| Space group | P-1 | P21/c |
| a, b, c (Å) | 8.8582(18), 9.0602(18), 10.082(2) | 8.0680(16), 13.635(3), 12.783(3) |
| α, β, γ (deg) | 95.69(3), 113.99(3), 90.94(3) | 90, 90.72(3), 90 |
| V (Å3) | 734.2(3) | 1406.1(5) |
| Z | 2 | 4 |
| D(calc) (g/cm3) | 1.223 | 1.277 |
| μ(MoKa) (mm−1) | 0.082 | 0.085 |
| F(000) | 288 | 576 |
| Crystal Size (mm) | 0.44 × 0.38 × 0.32 | 0.36 × 0.30 × 0.26 |
| Data Collection | ||
| Temperature (K) | 295 | 293 |
| Radiation (Å) | MoKα 0.71073 | MoKα 0.71073 |
| θmin, θmax (Deg) | 2.2, 30.0 | 2.2, 30.0 |
| Dataset | 0 ≤ h ≤ 12; −12 ≤ k ≤ 12; −14 ≤ l ≤ 12 | 0 ≤ h ≤ 11; 0 ≤ k ≤ 19; −17 ≤ l ≤ 17 |
| Tot., Uniq. Data, R (int) | 4526, 4271, 0.010 | 4355, 4094, 0.021 |
| Observed data (I > 2.0 σ(I)) | 3175 | 2555 |
| Refinement | ||
| Nref, Npar | 4271, 253 | 4094, 253 |
| R, wR2, S | 0.0470, 0.1454, 1.02 | 0.0523, 0.1502, 1.03 |
| No | Hybrids | No | Hybrids |
|---|---|---|---|
| 7a | ![]() | 7l | ![]() |
| 7b | ![]() | 7m | ![]() |
| 7c | ![]() | 7n | ![]() |
| 7d | ![]() | 7o | ![]() |
| 7e | ![]() | 7p | ![]() |
| 7f | ![]() | 7q | ![]() |
| 7g | ![]() | 7r | ![]() |
| 7h | ![]() | 7s | ![]() |
| 7i | ![]() | 7t | ![]() |
| 7j | ![]() | 7u | ![]() |
| 7k | ![]() |
| Compound | ED50 * mg/kg (by PTZ antagonism) | TD50 * mg/kg | LD50 * mg/kg | TI | Latency of Convulsions, Induced by TSC, min | |
|---|---|---|---|---|---|---|
| M ± M | I ** | |||||
| Control | − | − | – | 10.0 ± 2.59 | 1.0 | |
| 7a | 20 (16.5 ÷ 24) | >500 | 890 (742 ÷ 1068) | 44.5 | 43.0 ± 5.2 | 4.3 |
| 7c | 35 (23.0 ÷ 52.5) | >500 | 650 (542 ÷ 780) | 18.6 | 25.0 ± 4.1 | 2.5 |
| 7d | 16 (13.1 ÷ 19.5) | >500 | 800 (672 ÷ 952) | 44.4 | 41.2 ± 1.61 | 4.12 |
| 7f | 28 (22.2 ÷ 35.3) | >500 | 810 (686 ÷ 956) | 28.9 | 40.6 ± 1.11 | 4.06 |
| 7g | 18 (10.6 ÷ 30.6) | >500 | 680 (571 ÷ 809) | 37.8 | 28.4 ± 0.67 | 2.84 |
| 7h | 27 (18.4 ÷ 39.7) | >500 | 720 (590 ÷ 878) | 26.7 | 15.2 ± 1.2 | 1.5 |
| 7i | 34 (13.1 ÷ 19.5) | >500 | 695 (579 ÷ 834) | 20.4 | 41.0 ± 1.75 | 4.1 |
| 7j | 22 (18.6 ÷ 26) | >500 | 930 (775 ÷ 1116) | 42.3 | 41.0 ± 3.95 | 4.1 |
| 7m | 15 (12.5 ÷ 18) | >500 | 820 (572 ÷ 1000) | 54.7 | 36.6 ± 1.11 | 3.66 |
| 7n | 26 (18.6 ÷ 36.4) | >500 | 820 (689 ÷ 976) | 31.5 | 41.2 ± 1.61 | 4.12 |
| 7o | 28 (22.8 ÷ 34.4) | >500 | 800 (696 ÷ 920) | 28.6 | 30.4 ± 1.1 | 3.04 |
| 7q | 42 (33.6 ÷ 52.5) | >500 | 790 (648 ÷ 964) | 18.8 | 22.0 ± 2.2 | 2.2 |
| 7r | 26 (20.8 ÷ 32.5) | >500 | 710 (597 ÷ 845) | 27.3 | 39.4 ± 1.11 | 3.94 |
| 7t | 30 (24.2 ÷ 42) | >500 | 768 (640 ÷ 922) | 25.6 | 43.8 ± 4.34 | 4.38 |
| 7u | 32 (26.2 ÷ 39) | >500 | 680 (562 ÷ 823) | 21.3 | 43.8 ± 1.03 | 4.38 |
| Ethosuximide | 155 (117.5 ÷ 204.5) | 520 (413 ÷ 655) | 1325 (1200 ÷ 1462) | 8.5 | 17.0 ± 1.4 | 1.7 |
| Diazepam | 0.5 (0.4 ÷ 0.7) | 2.7 (1.4 ÷ 5.5) | 180 (128.5 ÷ 252) | 360 | 9.0 ± 2.5 | 0.9 |
| Compound, Dose 50 mg/kg | Amount (Absolute Data during 5 min) * | ||
|---|---|---|---|
| Horizontal Displacement | Vertical Displacement | Cells Examination | |
| Control | 21.6 ± 2.25 | 7.0 ± 2.14 | 2.4 ± 0.67 |
| 7a | 44.4 ± 10.1 ** | 6.8 ± 3.42 | 8.6 ± 1.89 ** |
| 7c | 57.2 ± 12.85 ** | 6.2 ± 1.03 | 4.2 ± 0.56 ** |
| 7d | 38.6 ± 5.18 ** | 14.4 ± 3.98 ** | 6.2 ±0.38** |
| 7f | 39.2 ± 4.92 ** | 10.8 ± 3.67 | 3.2 ± 1.03 |
| 7g | 49.0 ± 7.16 ** | 9.0 ± 2.34 | 10.0 ± 3.56 ** |
| 7h | 63.8 ± 14.02 ** | 6.0 ± 0.89 | 6.8 ± 3.12 ** |
| 7i | 50.2 ± 5.5 ** | 15.0 ± 4.28 ** | 3.4 ± 1.89 |
| 7j | 54.6 ± 10.03 ** | 10 ± 3.39 | 9.8 ± 3.53 ** |
| 7m | 59.8 ± 9.58 ** | 12 ± 3.95 ** | 13.4 ± 5.56 ** |
| 7n | 52.2 ± 12.2 ** | 11.6 ± 2.5 ** | 3.0 ± 0.89 |
| 7o | 73.0 ± 13.37 ** | 9.6 ± 3.89 | 8.6 ± 3.25 ** |
| 7q | 60.2 ± 4.61 ** | 8.8 ± 1.61 | 7.4 ± 2.42 ** |
| 7r | 30.0 ± 2.48 ** | 2.2 ± 1.36 | 4.4 ± 1.89 ** |
| 7t | 46.0 ± 7.37 ** | 10.6 ± 3.84 | 2.6 ± 0.79 |
| 7u | 41.8 ± 6.12 ** | 3.6 ± 0.67 | 2.2 ± 1.03 |
| Ethosuximide (200 mg/kg) | 26.8 ± 5.51 | 5.6 ± 1.8 | 0.6 ± 0.5 |
| Diazepam (2 mg/kg) | 33.6 ± 6.1 ** | 6.4 ± 1.4 ** | 5.0 ±1.2 ** |
| Compound, 50 mg/kg | Time Spent in Closed Arms /s/ * | Number of Entries into the Closed Arms * | Time Spent in the Center /s/ * | Time Spent in the Open Arms /s/ * |
|---|---|---|---|---|
| Control | 269.2 ± 10.4 | 9.4 ± 1.6 | 28.2 ± 3.12 | 2.6 ± 1.6 |
| 7a | 262.6 ± 14.6 | 5.6 ± 2.1 ** | 22.4 ± 3.99 | 15.0 ± 2.1 ** |
| 7c | 244.0 ± 10.67 | 2.6 ± 1.4 ** | 45.4 ± 4.7 ** | 10.6 ± 2.1 ** |
| 7d | 264 ± 8.12 | 1.36 ± 0.8 ** | 15.0 ± 3.62 | 21.0 ± 3.2 ** |
| 7f | 264.0 ± 13.48 | 3.0 ± 0.89 ** | 22.0 ± 6.32 | 16.0 ± 2.09 ** |
| 7g | 237.8 ± 12.5 | 6.0 ± 1.67 ** | 53.4 ± 3.53 ** | 6.6 ± 2.3 ** |
| 7h | 246.6 ± 21.9 | 4.8 ± 1.34 ** | 28.4 ± 2.38 | 30.0 ± 2.4 ** |
| 7i | 242.0 ± 16.46 | 2.2 ± 0.61 ** | 16.0 ± 5.2 | 42.0 ± 8.43 ** |
| 7j | 261.2 ± 20.8 | 5.9 ± 2.1 ** | 19.2 ± 4.15 | 19.6 ± 3.5 ** |
| 7m | 175.4 ± 6.23 | 6.4 ± 1.11 ** | 48.8 ± 5.14 ** | 66.4 ± 7.78 ** |
| 7n | 204.0 ± 14.2 | 1.4 ± 1.2 ** | 82.0 ± 15.2 ** | 12.0 ± 1.4 ** |
| 7o | 229.0 ± 11.2 | 5.8 ± 1.03 ** | 61.0 ± 3.68 ** | 10.0 ± 2.78 ** |
| 7q | 225.2 ± 13.87 | 5.0 ± 2.19 ** | 50.8 ± 3.4 ** | 24.0 ± 2.5 ** |
| 7r | 210.4 ± 10.3 | 3.4 ± 1.59 ** | 83.0 ± 5.1 ** | 7.0 ± 2.59 ** |
| 7t | 268.0 ± 5.56 | 1.6 ± 0.67 ** | 9.0 ± 2.2 | 23.0 ± 5.51 ** |
| 7u | 243.8 ± 20.7 | 4.4 ± 2.1 ** | 36.2 ± 2.38 ** | 20.0 ± 3.12 ** |
| Ethosuximide (200 mg/kg) | 247.2 ± 27.6 | 8.1 ± 2.5 | 52.8 ± 4.7 ** | – |
| Diazepam (2 mg/kg) | 257.5 ± 25.2 | 5.5 ± 1.1 ** | 42.5 ± 3.9 ** | 57.0 ± 4.2 ** |
| Compound, Dose 50 mg/kg | Latent Period First Immobilization (s) | Total Time of Active Swimming (s) * | Total Time of Immobilization (s) * |
|---|---|---|---|
| Control | 52.0 ± 5.4 | 318.0 ± 8.36 | 42.0 ± 7.24 |
| 7a | 79.0 ± 7.8 ** | 341.4 ± 6.2 ** | 18.6 ± 3.2 ** |
| 7c | 67.0 ± 5.3 ** | 350.0 ± 11.62 ** | 10.0 ± 4.1 ** |
| 7d | 48.0 ± 6.2 | 300.0 ± 29.2 | 77.4 ± 7.1 |
| 7f | 52.0 ± 6.3 | 296.0 ± 16.85 | 66.0 ± 4.48 |
| 7g | 72.0 ± 6.3 ** | 357.0 ± 13.5 ** | 3.0 ± 0.6 ** |
| 7h | 73.0 ± 5.8 ** | 358.0 ± 8.2 ** | 2.0 ± 0.8 ** |
| 7i | 58.0 ± 7.1 | 300.0 ± 19.35 | 62.0 ± 5.04 |
| 7j | 66.9 ± 5.3 ** | 346.0 ± 11.35 ** | 14.0 ± 3.37 ** |
| 7m | 68.0 ± 7.2 ** | 355.0 ± 5.0 ** | 5.0 ± 1.2 ** |
| 7n | 53.0 ± 7.4 | 324.0 ± 22.4 | 42.0 ± 12.04 |
| 7o | 72.0 ± 6.1 ** | 358.0 ± 12.0 ** | 2.0 ± 0.4 ** |
| 7q | 68.5 ± 7.2 ** | 336.0± 25.3 ** | 24.0 ± 2.9 ** |
| 7r | 50.0 ± 7.3 | 324.0 ± 18.55 | 36.0 ± 5.55 |
| 7t | 55.0 ± 5.2 | 298.0 ± 16.64 | 62.0 ± 6.77 |
| 7u | 46.0 ± 4.1 | 276.0 ± 26.0 | 84.0 ± 12.5 |
| Ethosuximide (200 mg/kg) | 55.0 ± 10.1 | 262 ± 25.0 | 98.0 ± 9.2 |
| Diazepam (2 mg/kg) | 74.0 ± 8.7 ** | 336.0 ± 8.1 ** | 24.0 ± 8.2 ** |
| Compound, Dose 50 mg/kg | The Time Spent in the Light Chamber during the Training of the CRPA (s), First Day | The Time Spent in the Light Chamber When Playing CRPA + MESH after 24 h, Second Day |
|---|---|---|
| Control | 280.0 ± 7.5 | 281.0 ± 6.1 |
| 7a | 286.0 ± 4.3 | 298.0 ± 6.9 ** |
| 7d | 284.0 ± 6.8 | 299.0 ± 7.2 ** |
| 7g | 283.0 ± 5.2 | 297.0 ± 7.2 ** |
| 7i | 286.0 ± 6.3 | 299.0 ± 6.3 ** |
| 7j | 293.0 ± 7.2 | 120.0 ± 5.8 ** |
| 7m | 282.0 ± 6.8 | 296.0 ± 5.4 ** |
| 7n | 283.0 ± 7.1 | 297.0 ± 6.8 ** |
| Diazepam, (2 mg/kg) | 187.0 ± 6.7 * | 126.0 ± 6.5 ** |
| Piracetam (1000 mg/kg) | 158.0 ± 5.9 * | 243.7 ± 8.4 ** |
| No | Est. Binding Energy (kcal/mol) | I–H | Residues Involved in Hydrogen Bond Formation | Hydrophobic Interactions | Aromatic Interactions |
|---|---|---|---|---|---|
| 7a | −8.51 | 2 | Thr202 (N···H, 2.64Å), Tyr205 (N···H, 2.77Å) | Ala25, Tyr62, Leu99, Phe200 | Phe200 |
| 7d | −7.10 | 1 | Thr202 (N···H, 3.26Å) | Tyr62, Leu99, Phe200 | - |
| 7g | −7.90 | 1 | Thr202 (N···H, 3.30Å) | Thr176, Phe200, Ala201 | - |
| 7j | −10.36 | 3 | Tyr97 (N···H, 3.31Å), Thr202 (N···H, 3.13Å), Tyr205 (N···H, 2.95Å) | Thr176, Ala201, Phe200 | - |
| 7m | −7.20 | - | - | Ty157, Tyr205 | - |
| Diazepam | −8.90 | 1 | Thr202 (N···H, 2.67Å) | Tyr62, Thr176, Phe200, Ala201, Tyr205 | Phe200 |
| No | Est. Binding Energy (kcal/mol) | I–H | Residues Involved in Hydrogen Bond Formation | Residues Involved in Hydrophobic Interactions | Residues Involved in Aromatic Interactions |
|---|---|---|---|---|---|
| 7a | −9.92 | 3 | Arg11 (N···H, 2.53Å), Lys443 (N···H, 2.42Å), | - | - |
| 7d | −7.10 | 1 | Arg7 (N···H, 2.62Å), | Gly432, Gly433, Lys436 | Lys264 |
| 7g | −5.24 | - | - | Arg7, Arg431 | - |
| 7j | −7.23 | 1 | Gln266 (N···H, 2.74Å), | Asp267, Gly432, Gly433 | - |
| 7m | −6.95 | 1 | Arg7 (N···H, 3.23Å), | Asp267, Gly433 | Lys264 |
| No | Est. Binding Energy (kcal/mol) | I–H | Residues Involved in Hydrogen Bond Formation | Residues Involved in Hydrophobic Interactions |
|---|---|---|---|---|
| 7a | −11.23 | 5 | Tyr118 (O···H, 2.73Å), Tyr199 (N···H, 2.64Å), Ser204 (N···H, 3.54Å), Asn312 (N···H, 3.17Å), Tyr316 (N···H, 3.76 Å) | Trp109, Ile309, Tyr308, Phe193, Val114, Tyr110, Ile201, Val297, Ala200 |
| 7d | −7.24 | 1 | Tyr308 (N···H, 3.88Å) | Trp286, Asn312 |
| 7g | −8.27 | 1 | Asn312 (N···H, 2.82Å) | Phe108, Tyr308 |
| 7j | −9.22 | 1 | Tyr316 (N···H, 2.59Å) | Thr118, Ala200, Asn312 |
| 7m | −5.60 | - | - | Ser207, Phe108, Asn312 |
| Alprenolol | −13.19 | 4 | Asp113, Asn312, Tyr316 | Tyr118, Ala200, Tyr308 |
| No | Absorption | Distribution | Drug-Likeness Model Score | ||||
|---|---|---|---|---|---|---|---|
| Human Intestinal Absorption (HIA) | Human Oral Bioavailability (HOB) | Caco-2 Permeability | Plasma Protein Binding (PPB) | P-Glycoprotein Inhibitor, Substrate | Blood-Brain Barrier Penetration (BBB) | ||
| 7a | (+) 0.99 | (−) 0.62 | (−) 0.81 | 0.63 | (+) 0.74, (+) 0.71 | (+) 0.82 | 0.83 |
| 7b | (+) 0.99 | (−) 0.63 | (−) 0.82 | 0.57 | (+) 0.75, (+) 0.72 | (+) 0.82 | 0.67 |
| 7c | (+) 0.99 | (−) 0.64 | (−) 0.82 | 0.55 | (+) 0.75, (+) 0.71 | (+) 0.80 | 0.65 |
| 7d | (+) 0.99 | (−) 0.55 | (−) 0.82 | 0.55 | (+) 0.75, (+) 0.65 | (+) 0.77 | 0.51 |
| 7e | (+) 0.99 | (−) 0.55 | (−) 0.82 | 0.56 | (+) 0.75, (+) 0.70 | (+) 0.82 | 0.66 |
| 7f | (+) 0.99 | (−) 0.61 | (−) 0.82 | 0.57 | (+) 0.75, (+) 0.73 | (+) 0.82 | 0.80 |
| 7g | (+) 0.99 | (−) 0.64 | (−) 0.82 | 0.56 | (+) 0.75, (+) 0.71 | (+) 0.82 | 0.80 |
| 7h | (+) 0.99 | (−) 0.62 | (−) 0.82 | 0.53 | (+) 0.75, (+) 0.73 | (+) 0.82 | 0.65 |
| 7i | (+) 0.99 | (−) 0.64 | (−) 0.82 | 0.50 | (+) 0.74, (+) 0.71 | (+) 0.80 | 0.63 |
| 7j | (+) 0.99 | (−) 0.57 | (−) 0.83 | 0.75 | (+) 0.78, (+) 0.70 | (+) 0.77 | 0.64 |
| 7k | (+) 0.99 | (−) 0.57 | (−) 0.83 | 0.74 | (+) 0.78, (+) 0.73 | (+) 0.80 | 0.65 |
| 7l | (+) 0.99 | (−) 0.61 | (−) 0.83 | 0.72 | (+) 0.78, (+) 0.76 | (+) 0.80 | 0.78 |
| 7m | (+) 0.99 | (−) 0.58 | (−) 0.82 | 0.54 | (+) 0.75, (+) 0.61 | (+) 0.77 | 0.35 |
| 7n | (+) 0.99 | (−) 0.58 | (−) 0.83 | 0.54 | (+) 0.75, (+) 0.68 | (+) 0.80 | 0.51 |
| 7o | (+) 0.99 | (−) 0.62 | (−) 0.83 | 0.63 | (+) 0.75, (+) 0.71 | (+) 0.80 | 0.66 |
| 7p | (+) 0.99 | (−) 0.58 | (−) 0.83 | 0.56 | (+) 0.75, (+) 0.67 | (+) 0.80 | 0.51 |
| 7q | (+) 0.99 | (−) 0.60 | (−) 0.83 | 0.58 | (+) 0.75, (+) 0.66 | (+) 0.80 | 0.33 |
| 7r | (+) 0.99 | (−) 0.62 | (−) 0.83 | 0.62 | (+) 0.75, (+) 0.72 | (+) 0.80 | 0.50 |
| 7s | (+) 0.99 | (−) 0.62 | (−) 0.83 | 0.66 | (+) 0.75, (+) 0.70 | (+) 0.80 | 0.66 |
| 7t | (+) 0.99 | (−) 0.62 | (−) 0.83 | 0.64 | (+) 0.75, (+) 0.72 | (+) 0.80 | 0.50 |
| 7u | (+) 0.99 | (−) 0.64 | (−) 0.83 | 0.61 | (+) 0.75, (+) 0.70 | (+) 0.80 | 0.47 |
Disclaimer/Publisher’s Note: The statements, opinions and data contained in all publications are solely those of the individual author(s) and contributor(s) and not of MDPI and/or the editor(s). MDPI and/or the editor(s) disclaim responsibility for any injury to people or property resulting from any ideas, methods, instructions or products referred to in the content. |
© 2023 by the authors. Licensee MDPI, Basel, Switzerland. This article is an open access article distributed under the terms and conditions of the Creative Commons Attribution (CC BY) license (https://creativecommons.org/licenses/by/4.0/).
Share and Cite
Sirakanyan, S.N.; Spinelli, D.; Petrou, A.; Geronikaki, A.; Kartsev, V.G.; Hakobyan, E.K.; Yegoryan, H.A.; Zuppiroli, L.; Zuppiroli, R.; Ayvazyan, A.G.; et al. New Bicyclic Pyridine-Based Hybrids Linked to the 1,2,3-Triazole Unit: Synthesis via Click Reaction and Evaluation of Neurotropic Activity and Molecular Docking. Molecules 2023, 28, 921. https://doi.org/10.3390/molecules28030921
Sirakanyan SN, Spinelli D, Petrou A, Geronikaki A, Kartsev VG, Hakobyan EK, Yegoryan HA, Zuppiroli L, Zuppiroli R, Ayvazyan AG, et al. New Bicyclic Pyridine-Based Hybrids Linked to the 1,2,3-Triazole Unit: Synthesis via Click Reaction and Evaluation of Neurotropic Activity and Molecular Docking. Molecules. 2023; 28(3):921. https://doi.org/10.3390/molecules28030921
Chicago/Turabian StyleSirakanyan, Samvel N., Domenico Spinelli, Anthi Petrou, Athina Geronikaki, Victor G. Kartsev, Elmira K. Hakobyan, Hasmik A. Yegoryan, Luca Zuppiroli, Riccardo Zuppiroli, Armen G. Ayvazyan, and et al. 2023. "New Bicyclic Pyridine-Based Hybrids Linked to the 1,2,3-Triazole Unit: Synthesis via Click Reaction and Evaluation of Neurotropic Activity and Molecular Docking" Molecules 28, no. 3: 921. https://doi.org/10.3390/molecules28030921
APA StyleSirakanyan, S. N., Spinelli, D., Petrou, A., Geronikaki, A., Kartsev, V. G., Hakobyan, E. K., Yegoryan, H. A., Zuppiroli, L., Zuppiroli, R., Ayvazyan, A. G., Paronikyan, R. G., Arakelyan, T. A., & Hovakimyan, A. A. (2023). New Bicyclic Pyridine-Based Hybrids Linked to the 1,2,3-Triazole Unit: Synthesis via Click Reaction and Evaluation of Neurotropic Activity and Molecular Docking. Molecules, 28(3), 921. https://doi.org/10.3390/molecules28030921






















