Design and Synthesis of New Modified Flexible Purine Bases as Potential Inhibitors of Human PNP
Abstract
1. Introduction
2. Results and Discussion
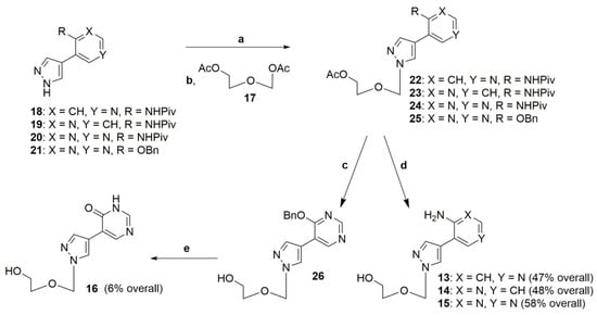
2.1. Chemistry
2.2. Inhibition Studies
2.3. Molecular Modeling
3. Materials and Methods
3.1. Chemistry
3.1.1. General Method for the Synthesis of Compounds 10–12 and 5-(1H-pyrrol-3-yl)pyrimidin-4(3H)-one 1
3.1.2. General Method for the Synthesis of Compounds 2–4
3.1.3. General Method for the Synthesis of Compounds 22–25
3.1.4. General Method for the Synthesis of Compounds 13–15
3.2. Enzyme Inhibition
3.3. Molecular Modelling and Docking Studies
4. Conclusions
Supplementary Materials
Author Contributions
Funding
Institutional Review Board Statement
Informed Consent Statement
Data Availability Statement
Conflicts of Interest
References
- Rabuffetti, M.; Rinaldi, F.; Lo Bianco, A.; Speranza, G.; Ubiali, D.; de Moraes, M.C.; Rodrigues Pereira da Silva, L.C.; Massolini, G.; Calleri, E.; Lavecchia, A. Discovery of a Novel Inhibitor of Human Purine Nucleoside Phosphorylase by a Simple Hydrophilic Interaction Liquid Chromatography Enzymatic Assay. ChemMedChem 2021, 16, 1325–1334. [Google Scholar] [CrossRef] [PubMed]
- Bantia, S.; Parker, C.; Upshaw, R.; Cunningham, A.; Kotian, P.; Kilpatrick, J.M.; Morris, P.; Chand, P.; Babu, Y.S. Potent orally bioavailable purine nucleoside phosphorylase inhibitor BCX-4208 induces apoptosis in B- and T-lymphocytes—A novel treatment approach for autoimmune diseases, organ transplantation and hematologic malignancies. Int. Immunopharmacol. 2010, 10, 784–790. [Google Scholar] [CrossRef] [PubMed]
- Glavas-Obrovac, L.; Suver, M.; Hikishima, S.; Hashimoto, M.; Yokomatsu, T.; Magnowska, L.; Bzowska, A. Antiproliferative activity of purine nucleoside phosphorylase multisubstrate analogue inhibitors containing difluoromethylene phosphonic acid against leukaemia and lymphoma cells. Chem. Biol. Drug Des. 2010, 75, 392–399. [Google Scholar] [CrossRef] [PubMed]
- Bennett, L.L., Jr.; Allan, P.W.; Noker, P.E.; Rose, L.M.; Niwas, S.; Montgomery, J.A.; Erion, M.D. Purine nucleoside phosphorylase inhibitors: Biochemical and pharmacological studies with 9-benzyl-9-deazaguanine and related compounds. J. Pharmacol. Exp. Ther. 1993, 266, 707–714. [Google Scholar]
- Miles, R.W.; Tyler, P.C.; Furneaux, R.H.; Bagdassarian, C.K.; Schramm, V.L. One-third-the-sites transition-state inhibitors for purine nucleoside phosphorylase. Biochemistry 1998, 37, 8615–8621. [Google Scholar] [CrossRef] [PubMed]
- Kicska, G.A.; Long, L.; Horig, H.; Fairchild, C.; Tyler, P.C.; Furneaux, R.H.; Schramm, V.L.; Kaufman, H.L.; Immucillin, H. a powerful transition-state analog inhibitor of purine nucleoside phosphorylase, selectively inhibits human T lymphocytes. Proc. Natl. Acad. Sci. USA 2001, 98, 4593–4598. [Google Scholar] [CrossRef] [PubMed]
- Evans, G.B.; Schramm, V.L.; Tyler, P.C. The transition to magic bullets—Transition state analogue drug design. Medchemcomm 2018, 9, 1983–1993. [Google Scholar] [CrossRef] [PubMed]
- Evans, G.B.; Tyler, P.C.; Schramm, V.L. Immucillins in Infectious Diseases. ACS Infect. Dis. 2018, 4, 107–117. [Google Scholar] [CrossRef] [PubMed]
- Khandazhinskaya, A.; Eletskaya, B.; Fateev, I.; Kharitonova, M.; Konstantinova, I.; Barai, V.; Azhayev, A.; Hyvonen, M.T.; Keinanen, T.A.; Kochetkov, S.; et al. Novel fleximer pyrazole-containing adenosine analogues: Chemical, enzymatic and highly efficient biotechnological synthesis. Org. Biomol. Chem. 2021, 19, 7379–7389. [Google Scholar] [CrossRef] [PubMed]
- Khandazhinskaya, A.; Fateev, I.; Konstantinova, I.; Esipov, R.; Polyakov, K.; Seley-Radtke, K.; Kochetkov, S.; Matyugina, E. Synthesis of New 5’-Norcarbocyclic Aza/Deaza Purine Fleximers—Noncompetitive Inhibitors of E. coli Purine Nucleoside Phosphorylase. Front. Chem. 2022, 10, 867587. [Google Scholar] [CrossRef]
- Seley, K.L.; Salim, S.; Zhang, L.; O’Daniel, P.I. “Molecular chameleons”. Design and synthesis of a second series of flexible nucleosides. J. Org. Chem. 2005, 70, 1612–1619. [Google Scholar] [CrossRef] [PubMed]
- Thames, J.E.; Waters, C.D., 3rd; Valle, C.; Bassetto, M.; Aouadi, W.; Martin, B.; Selisko, B.; Falat, A.; Coutard, B.; Brancale, A.; et al. Synthesis and biological evaluation of novel flexible nucleoside analogues that inhibit flavivirus replication in vitro. Bioorg. Med. Chem. 2020, 28, 115713. [Google Scholar] [CrossRef] [PubMed]
- Peters, H.L.; Jochmans, D.; de Wilde, A.H.; Posthuma, C.C.; Snijder, E.J.; Neyts, J.; Seley-Radtke, K.L. Design, synthesis and evaluation of a series of acyclic fleximer nucleoside analogues with anti-coronavirus activity. Bioorg. Med. Chem. Lett. 2015, 25, 2923–2926. [Google Scholar] [CrossRef] [PubMed]
- Yates, M.K.; Raje, M.R.; Chatterjee, P.; Spiropoulou, C.F.; Bavari, S.; Flint, M.; Soloveva, V.; Seley-Radtke, K.L. Flex-nucleoside analogues—Novel therapeutics against filoviruses. Bioorg. Med. Chem. Lett. 2017, 27, 2800–2802. [Google Scholar] [CrossRef] [PubMed]
- Timofeev, V.I.; Zhukhlistova, N.E.; Abramchik, Y.A.; Fateev, I.I.; Kostromina, M.A.; Muravieva, T.I.; Esipov, R.S.; Kuranova, I.P. Crystal structure of Escherichia coli purine nucleoside phosphorylase in complex with 7-deazahypoxanthine. Acta Crystallogr. F Struct. Biol. Commun. 2018, 74 Pt 6, 355–362. [Google Scholar] [CrossRef]
- dos Santos, D.M.; Canduri, F.; Pereira, J.H.; Vinicius Bertacine Dias, M.; Silva, R.G.; Mendes, M.A.; Palma, M.S.; Basso, L.A.; de Azevedo, W.F.; Santos, D.S. Crystal structure of human purine nucleoside phosphorylase complexed with acyclovir. Biochem. Biophys. Res. Commun. 2003, 308, 553–559. [Google Scholar] [CrossRef] [PubMed]
- Matyugina, E.S.; Khandazhinskaya, A.L.; Kochetkov, S.N.; Seley-Radtke, K.L. Synthesis of 3-hetarylpyrroles by Suzuki–Miyaura cross-coupling. Mendeleev Commun. 2020, 30, 231–232. [Google Scholar] [CrossRef]
- Caceres, R.A.; Timmers, L.F.; Pauli, I.; Gava, L.M.; Ducati, R.G.; Basso, L.A.; Santos, D.S.; de Azevedo, W.F., Jr. Crystal structure and molecular dynamics studies of human purine nucleoside phosphorylase complexed with 7-deazaguanine. J. Struct. Biol. 2010, 169, 379–388. [Google Scholar] [CrossRef]
- Ferreira de Freitas, R.; Schapira, M. A systematic analysis of atomic protein-ligand interactions in the PDB. Medchemcomm 2017, 8, 1970–1981. [Google Scholar] [CrossRef]
- Canduri, F.; dos Santos, D.M.; Silva, R.G.; Mendes, M.A.; Basso, L.A.; Palma, M.S.; de Azevedo, W.F.; Santos, D.S. Structures of human purine nucleoside phosphorylase complexed with inosine and ddI. Biochem. Biophys. Res. Commun. 2004, 313, 907–914. [Google Scholar] [CrossRef]
- Fricker, P.C.; Gastreich, M.; Rarey, M. Automated drawing of structural molecular formulas under constraints. J. Chem. Inf. Comput. Sci. 2004, 44, 1065–1078. [Google Scholar] [CrossRef]
- Stierand, K.; Maass, P.C.; Rarey, M. Molecular complexes at a glance: Automated generation of two-dimensional complex diagrams. Bioinformatics 2006, 22, 1710–1716. [Google Scholar] [CrossRef] [PubMed]
- Froimowitz, M. Hyperchem(TM)—A Software Package for Computational Chemistry and Molecular Modeling. Biotechniques 1993, 14, 1010–1013. [Google Scholar] [PubMed]
- Grosdidier, A.; Zoete, V.; Michielin, O. Fast docking using the CHARMM force field with EADock DSS. J. Comput. Chem. 2011, 32, 2149–2159. [Google Scholar] [CrossRef] [PubMed]
- Grosdidier, A.; Zoete, V.; Michielin, O. SwissDock, a protein-small molecule docking web service based on EADock DSS. Nucleic Acids Res. 2011, 39, W270–W277. [Google Scholar] [CrossRef] [PubMed]
- Pettersen, E.F.; Goddard, T.D.; Huang, C.C.; Couch, G.S.; Greenblatt, D.M.; Meng, E.C.; Ferrin, T.E. UCSF Chimera—A visualization system for exploratory research and analysis. J. Comput. Chem. 2004, 25, 1605–1612. [Google Scholar] [CrossRef]
- Draper-Joyce, C.J.; Khoshouei, M.; Thal, D.M.; Liang, Y.L.; Nguyen, A.T.N.; Furness, S.G.B.; Venugopal, H.; Baltos, J.A.; Plitzko, J.M.; Danev, R.; et al. Structure of the adenosine-bound human adenosine A. Nature 2018, 558, 559–563. [Google Scholar] [CrossRef] [PubMed]
- Hevener, K.E.; Zhao, W.; Ball, D.M.; Babaoglu, K.; Qi, J.; White, S.W.; Lee, R.E. Validation of Molecular Docking Programs for Virtual Screening against Dihydropteroate Synthase. J. Chem. Inf. Model. 2009, 49, 444–460. [Google Scholar] [CrossRef] [PubMed]




| Compound | KM, mM | Ki, mM |
|---|---|---|
| Inosine | 0.13 ± 0.02 | - |
| 1 | - | 1.0 ± 0.2 |
| 2 | - | 0.70 ± 0.09 |
| 3 | - | 0.86 ± 0.13 |
| 4 | - | 1.9 ± 0.2 |
| 7DG | 0.2 [18] |
| Model | Cluster | Energy (Kcal/mol) | ΔG (Kcal/mol) | Contacting Protein Residues with Type of Interactions | ||
|---|---|---|---|---|---|---|
| Conventional Hydrogen Bond | Pi-Pi Staked | Pi-Alkyl | ||||
| 7DG | 1 | −11.94 | −6.327 | Glu201; Asn243 | Phe 200 | Ala116; Val260 |
| A | 1 | 7.44 | −6.517 | Thr242, Asn243 | Ala117, Phe 200 | Ala116, Met219, Val217 |
| B | 10 | 12.46 | −5.023 | Thr242, Asn243, Glu201 | Val217, Phe200, Ala116 | Met219 |
| C | 13 | 19.75 | −5.570 | Ala116, Glu201 | Ala117, Phe200 | Val217, Val260 |
Disclaimer/Publisher’s Note: The statements, opinions and data contained in all publications are solely those of the individual author(s) and contributor(s) and not of MDPI and/or the editor(s). MDPI and/or the editor(s) disclaim responsibility for any injury to people or property resulting from any ideas, methods, instructions or products referred to in the content. |
© 2023 by the authors. Licensee MDPI, Basel, Switzerland. This article is an open access article distributed under the terms and conditions of the Creative Commons Attribution (CC BY) license (https://creativecommons.org/licenses/by/4.0/).
Share and Cite
Khandazhinskaya, A.; Fateev, I.; Eletskaya, B.; Maslova, A.; Konstantinova, I.; Seley-Radtke, K.; Kochetkov, S.; Matyugina, E. Design and Synthesis of New Modified Flexible Purine Bases as Potential Inhibitors of Human PNP. Molecules 2023, 28, 928. https://doi.org/10.3390/molecules28030928
Khandazhinskaya A, Fateev I, Eletskaya B, Maslova A, Konstantinova I, Seley-Radtke K, Kochetkov S, Matyugina E. Design and Synthesis of New Modified Flexible Purine Bases as Potential Inhibitors of Human PNP. Molecules. 2023; 28(3):928. https://doi.org/10.3390/molecules28030928
Chicago/Turabian StyleKhandazhinskaya, Anastasia, Ilja Fateev, Barbara Eletskaya, Anna Maslova, Irina Konstantinova, Katherine Seley-Radtke, Sergey Kochetkov, and Elena Matyugina. 2023. "Design and Synthesis of New Modified Flexible Purine Bases as Potential Inhibitors of Human PNP" Molecules 28, no. 3: 928. https://doi.org/10.3390/molecules28030928
APA StyleKhandazhinskaya, A., Fateev, I., Eletskaya, B., Maslova, A., Konstantinova, I., Seley-Radtke, K., Kochetkov, S., & Matyugina, E. (2023). Design and Synthesis of New Modified Flexible Purine Bases as Potential Inhibitors of Human PNP. Molecules, 28(3), 928. https://doi.org/10.3390/molecules28030928

