Activity Enhancement of Ferrierite in Dimethyl Ether Carbonylation Reactions through Recrystallization with Sodium Oleate
Abstract
1. Introduction
2. Results and Discussion
2.1. Structure and Texture of Ferrierites
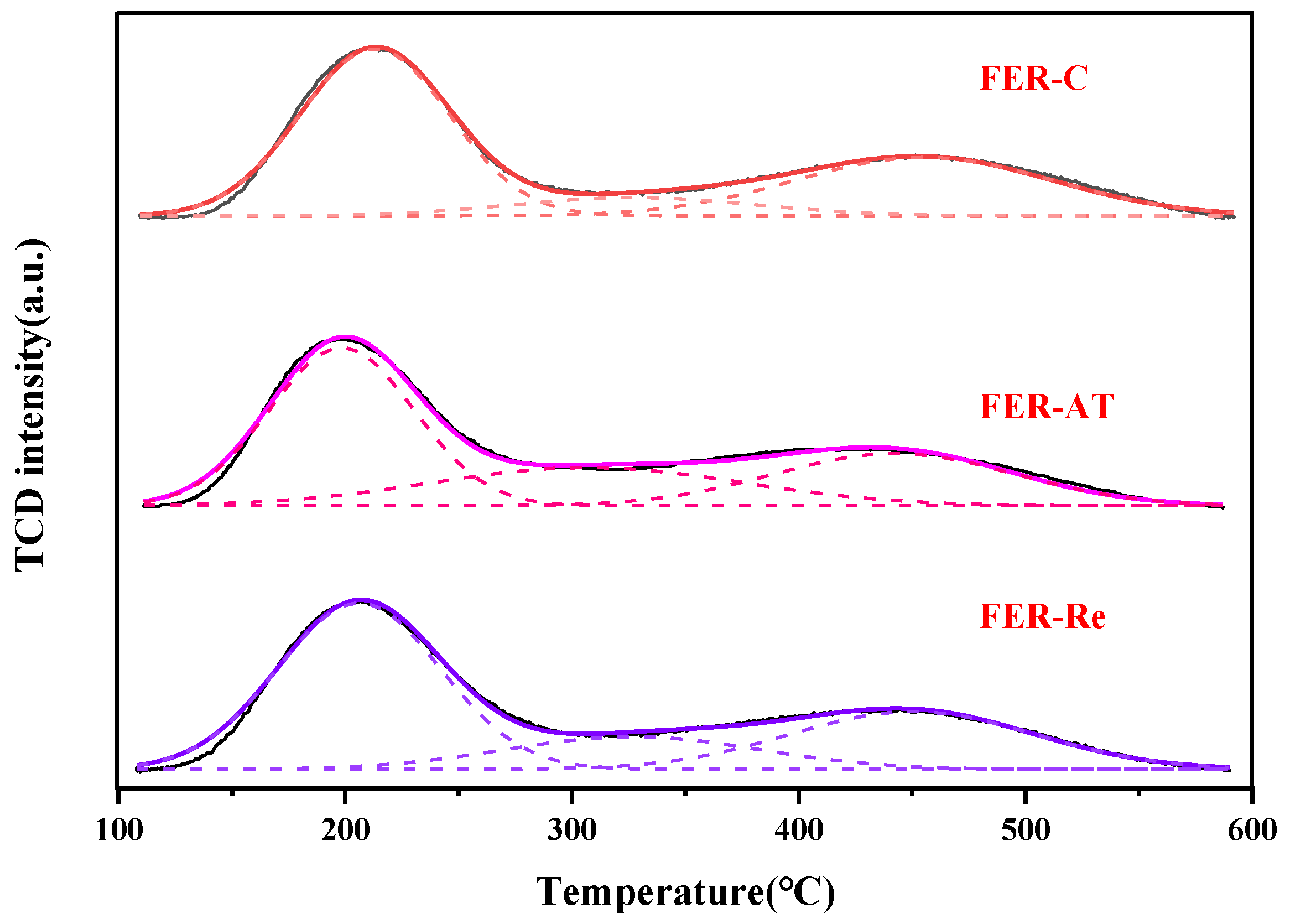
2.2. Acid Properties of Ferrierites
2.3. Catalytic Activity Test
3. Materials and Methods
3.1. Catalyst Preparation
3.2. Catalyst Characterization
3.3. Catalytic Experiments
4. Conclusions
Author Contributions
Funding
Institutional Review Board Statement
Informed Consent Statement
Data Availability Statement
Conflicts of Interest
Sample Availability
References
- Li, X.; Liu, X.; Liu, S.; Xie, S.; Zhu, X.; Chen, F.; Xu, L. Activity enhancement of ZSM-35 in dimethyl ether carbonylation reaction through alkaline modifications. Rsc. Adv. 2013, 3, 16549–16557. [Google Scholar] [CrossRef]
- Haynes, A. Catalytic Methanol Carbonylation. Adv. Catal. 2010, 53, 1–45. [Google Scholar]
- Li, X.; Chen, X.; Yang, Z.; Zhu, X.; Xu, S.; Xie, S.; Liu, S.; Liu, X.; Xu, L. Seed-assisted synthesis of FER/MOR composite zeolite and its specific catalytic application in carbonylation reaction. Microporous Mesoporous Mater. 2018, 257, 79–84. [Google Scholar] [CrossRef]
- Wang, S.; Yin, S.; Guo, W.; Liu, Y.; Zhu, L.; Wang, X. Influence of inlet gas composition on dimethyl ether carbonylation and the subsequent hydrogenation of methyl acetate in two-stage ethanol synthesis. New J. Chem. 2016, 40, 6460–6466. [Google Scholar] [CrossRef]
- Lu, P.; Yang, G.; Tanaka, Y.; Tsubaki, N. Ethanol direct synthesis from dimethyl ether and syngas on the combination of noble metal impregnated zeolite with Cu/ZnO catalyst. Catal. Today 2014, 232, 22–26. [Google Scholar] [CrossRef]
- He, T.; Ren, P.; Liu, X.; Xu, S.; Han, X.; Bao, X. Direct observation of DME carbonylation in the different channels of H-MOR zeolite by continuous-flow solid-state NMR spectroscopy. Chem. Commun. 2015, 51, 16868–16870. [Google Scholar] [CrossRef] [PubMed]
- Jung, W.; Lee, S.; Kim, H.; Kim, W.-J.; Lee, J. Indirect methyl acetate production process based on dimethyl ether using seed-derived ferrierite from shale gas. Fuel 2022, 310, 122408. [Google Scholar] [CrossRef]
- Li, X.; San, X.; Zhang, Y.; Ichii, T.; Meng, M.; Tan, Y.; Tsubaki, N. Direct Synthesis of Ethanol from Dimethyl Ether and Syngas over Combined H-Mordenite and Cu/ZnO Catalysts. Chemsuschem 2010, 3, 1192–1199. [Google Scholar] [CrossRef]
- Wang, S.; Guo, W.; Zhu, L.; Wang, H.; Qiu, K.; Cen, K. Methyl Acetate Synthesis from Dimethyl Ether Carbonylation over Mordenite Modified by Cation Exchange. J. Phys. Chem. C 2014, 119, 524–533. [Google Scholar] [CrossRef]
- Kim, S.; Jung, H.S.; Lee, W.B.; Bae, J.W.; Park, M.-J. Process modeling of syngas conversion to ethanol and acetic acid via the production of dimethyl ether and its carbonylation. Korean J. Chem. Eng. 2022, 39, 3204–3213. [Google Scholar] [CrossRef]
- Kumari, N.; Sarmah, B.J.; Dutta, D.K. Dicarbonylrhodium(I) complexes of functionalized pyridine ligands and their catalytic activities. J. Mol. Catal. A Chem. 2007, 266, 260–266. [Google Scholar] [CrossRef]
- Sardesai, A.; Lee, S.; Tartamella, T. Synthesis of methyl acetate from dimethyl ether using group VIII metal salts of phosphotungstic acid. Energy Sources 2002, 24, 301–317. [Google Scholar] [CrossRef]
- Cheung, P.; Bhan, A.; Sunley, G.J.; Iglesia, E. Selective carbonylation of dimethyl ether to methyl acetate catalyzed by acidic zeolites. Angew. Chem. -Int. Ed. 2006, 45, 1617–1620. [Google Scholar] [CrossRef] [PubMed]
- Cheung, P.; Bhan, A.; Sunley, G.J.; Law, D.J.; Iglesia, E. Site requirements and elementary steps in dimethyl ether carbonylation catalyzed by acidic zeolites. J. Catal. 2007, 245, 110–123. [Google Scholar] [CrossRef]
- Diemer, R.B.; Luyben, W.L. Design and Control of a Methyl Acetate Process Using Carbonylation of Dimethyl Ether. Ind. Eng. Chem. Res. 2010, 49, 12224–12241. [Google Scholar] [CrossRef]
- Blasco, T.; Boronat, M.; Concepcion, P.; Corma, A.; Law, D.; Vidal-Moya, J.A. Carbonylation of methanol on metal-acid zeolites: Evidence for a mechanism involving a multisite active center. Angew. Chem. -Int. Ed. 2007, 46, 3938–3941. [Google Scholar] [CrossRef]
- Liu, J.; Xue, H.; Huang, X.; Wu, P.-H.; Huang, S.-J.; Liu, S.-B.; Shen, W. Stability Enhancement of H-Mordenite in Dimethyl Ether Carbonylation to Methyl Acetate by Pre-adsorption of Pyridine. Chin. J. Catal. 2010, 31, 729–738. [Google Scholar] [CrossRef]
- Xu, F.; Hong, Z.; Lv, J.; Chen, C.; Zhao, G.; Miao, L.; Yang, W.; Zhu, Z. Mg enhances the catalytic selectivity and stability of mordenite for carbonylation of dimethyl ether. Appl. Catal. A-Gen. 2022, 648, 118928. [Google Scholar] [CrossRef]
- Boronat, M.; Martinez, C.; Corma, A. Mechanistic differences between methanol and dimethyl ether carbonylation in side pockets and large channels of mordenite. Phys. Chem. Chem. Phys. 2011, 13, 2603–2612. [Google Scholar] [CrossRef]
- Vaughan, P.A. The crystal structure of the zeolite ferrierite. Acta Crystallogr. 1966, 21, 983–990. [Google Scholar] [CrossRef]
- Xiong, Z.; Qi, G.; Bai, L.; Zhan, E.; Chu, Y.; Xu, J.; Ta, N.; Hao, A.; Deng, F.; Shen, W. Preferential population of Al atoms at the T4 site of ZSM-35 for the carbonylation of dimethyl ether. Catal. Sci. Technol. 2022, 12, 4993–4997. [Google Scholar] [CrossRef]
- Bhan, A.; Allian, A.D.; Sunley, G.J.; Law, D.J.; Iglesia, E. Specificity of sites within eight-membered ring zeolite channels for carbonylation of methyls to acetyls. J. Am. Chem. Soc. 2007, 129, 4919–4924. [Google Scholar] [CrossRef] [PubMed]
- Feng, P.; Zhang, G.; Chen, X.; Zang, K.; Li, X.; Xu, L. Specific zone within 8-membered ring channel as catalytic center for carbonylation of dimethyl ether and methanol over FER zeolite. Appl. Catal. a-Gen. 2018, 557, 119–124. [Google Scholar] [CrossRef]
- Lusardi, M.; Chen, T.T.; Kale, M.; Kang, J.H.; Neurock, M.; Davis, M.E. Carbonylation of Dimethyl Ether to Methyl Acetate over SSZ-13. Acs Catal. 2020, 10, 842–851. [Google Scholar] [CrossRef]
- Boronat, M.; Martinez-Sanchez, C.; Law, D.; Corma, A. Enzyme-like Specificity in Zeolites: A Unique Site Position in Mordenite for Selective Carbonylation of Methanol and Dimethyl Ether with CO. J. Am. Chem. Soc. 2008, 130, 16316–16323. [Google Scholar] [CrossRef]
- Li, B.; Xu, J.; Han, B.; Wang, X.; Qi, G.; Zhang, Z.; Wang, C.; Deng, F. Insight into Dimethyl Ether Carbonylation Reaction over Mordenite Zeolite from in-Situ Solid-State NMR Spectroscopy. J. Phys. Chem. C 2013, 117, 5840–5847. [Google Scholar] [CrossRef]
- Liu, R.; Fan, B.; Zhi, Y.; Liu, C.; Xu, S.; Yu, Z.; Liu, Z. Dynamic Evolution of Aluminum Coordination Environments in Mordenite Zeolite and Their Role in the Dimethyl Ether (DME) Carbonylation Reaction. Angew. Chem. -Int. Ed. 2022, 61, e202210658. [Google Scholar] [CrossRef]
- Jung, H.S.; Xuan, N.T.; Bae, J.W. Carbonylation of dimethyl ether on ferrierite zeolite: Effects of crystallinity to coke distribution and deactivation. Microporous Mesoporous Mater. 2021, 310, 110669. [Google Scholar] [CrossRef]
- Jung, H.S.; Ham, H.; Bae, J.W. Highly stable seed-derived ferrierite for carbonylation of dimethyl ether to methyl acetate: Effects of seed content to catalytic stability. Catal. Today 2020, 339, 79–85. [Google Scholar] [CrossRef]
- Roman-Leshkov, Y.; Moliner, M.; Davis, M.E. Impact of Controlling the Site Distribution of Al Atoms on Catalytic Properties in Ferrierite-Type Zeolites. J. Phys. Chem. C 2011, 115, 1096–1102. [Google Scholar] [CrossRef]
- Huang, Z.; Wen, X.; Tang, Z.; Deng, X.; Zhu, C.; Qing, B. Synthesis and Characterization of Porous Aluminum Hydroxide Materials Using Oleic Acids. J. Comput. Theor. Nanosci. 2016, 13, 2874–2877. [Google Scholar] [CrossRef]
- Chen, X.; Todorova, T.; Vimont, A.; Ruaux, V.; Qin, Z.; Gilson, J.-P.; Valtchev, V. In situ and post-synthesis control of physicochemical properties of FER-type crystals. Microporous Mesoporous Mater. 2014, 200, 334–342. [Google Scholar] [CrossRef]
- Emeis, C.A. Determination of Integrated Molar Extinction Coefficients for Infrared Absorption Bands of Pyridine Adsorbed on Solid Acid Catalysts. J. Catal. 1993, 141, 347–354. [Google Scholar] [CrossRef]
- Sarv, P.; Wichterlová, B.; Čejka, J. Multinuclear MQMAS NMR study of NH4/Na-ferrierites. J. Phys. Chem. B 2001, 102, 1372–1378. [Google Scholar] [CrossRef]
- Bhan, A.; Iglesia, E. A link between reactivity and local structure in acid catalysis on zeolites. Acc. Chem. Res. 2008, 41, 559–567. [Google Scholar] [CrossRef] [PubMed]
- Ham, H.; Jung, H.S.; Kim, H.S.; Kim, J.; Cho, S.J.; Lee, W.B.; Park, M.-J.; Bae, J.W. Gas-Phase Carbonylation of Dimethyl Ether on the Stable Seed-Derived Ferrierite. Acs Catal. 2020, 10, 5135–5146. [Google Scholar] [CrossRef]







| Samples | Relative Crystallinity a | Si/Al b | N2 Sorption | ||||
|---|---|---|---|---|---|---|---|
| Surface Area (m2/g) | Pore Volume (cm3/g) | ||||||
| SBET | Smic | Sext | Vmicro | Vmeso | |||
| FER-C | 1.0 | 20.7 | 342.35 | 330.44 | 41.91 | 0.130 | 0.136 |
| FER-AT | 0.80 | 18.9 | 289.24 | 230.14 | 59.10 | 0.104 | 0.178 |
| FER-Re | 0.96 | 20.3 | 330.09 | 279.08 | 51.01 | 0.124 | 0.160 |
| Samples | 27Al NMR a | NH3-TPD | Py-IR b | B Sites in 8 MR c | ||
|---|---|---|---|---|---|---|
| EFAL | Total Acid /(mmol/g) | Weak/Medium/Strong (mmol/g) | Brønsted (mmol/g) | Lewis (mmol/g) | ||
| FER-C | 7.3 | 1.123 | 0.630/0.113/0.380 | 0.163 | 0.0056 | 0.217 |
| FER-AT | 21.3 | 1.040 | 0.502/0.261/0.277 | 0.093 | 0.0087 | 0.184 |
| FER-Re | 8.3 | 1.221 | 0.666/0.157/0.398 | 0.144 | 0.0090 | 0.254 |
Disclaimer/Publisher’s Note: The statements, opinions and data contained in all publications are solely those of the individual author(s) and contributor(s) and not of MDPI and/or the editor(s). MDPI and/or the editor(s) disclaim responsibility for any injury to people or property resulting from any ideas, methods, instructions or products referred to in the content. |
© 2023 by the authors. Licensee MDPI, Basel, Switzerland. This article is an open access article distributed under the terms and conditions of the Creative Commons Attribution (CC BY) license (https://creativecommons.org/licenses/by/4.0/).
Share and Cite
Lv, J.; Chen, L.; Chen, C.; Wang, Y.; Wang, D.; Sun, H.; Yang, W. Activity Enhancement of Ferrierite in Dimethyl Ether Carbonylation Reactions through Recrystallization with Sodium Oleate. Molecules 2023, 28, 5279. https://doi.org/10.3390/molecules28135279
Lv J, Chen L, Chen C, Wang Y, Wang D, Sun H, Yang W. Activity Enhancement of Ferrierite in Dimethyl Ether Carbonylation Reactions through Recrystallization with Sodium Oleate. Molecules. 2023; 28(13):5279. https://doi.org/10.3390/molecules28135279
Chicago/Turabian StyleLv, Jiangang, Long Chen, Chong Chen, Yunzheng Wang, Di Wang, Huaqian Sun, and Weimin Yang. 2023. "Activity Enhancement of Ferrierite in Dimethyl Ether Carbonylation Reactions through Recrystallization with Sodium Oleate" Molecules 28, no. 13: 5279. https://doi.org/10.3390/molecules28135279
APA StyleLv, J., Chen, L., Chen, C., Wang, Y., Wang, D., Sun, H., & Yang, W. (2023). Activity Enhancement of Ferrierite in Dimethyl Ether Carbonylation Reactions through Recrystallization with Sodium Oleate. Molecules, 28(13), 5279. https://doi.org/10.3390/molecules28135279

