Biogenic Synthesis of Copper Nanoparticles: A Systematic Review of Their Features and Main Applications
Abstract
1. Introduction
2. Results and Discussions
2.1. The Antioxidant Effect of CuNPs
2.2. The Antitumoral Effect of CuNPs
2.2.1. Anticancer Activity of CuNPs
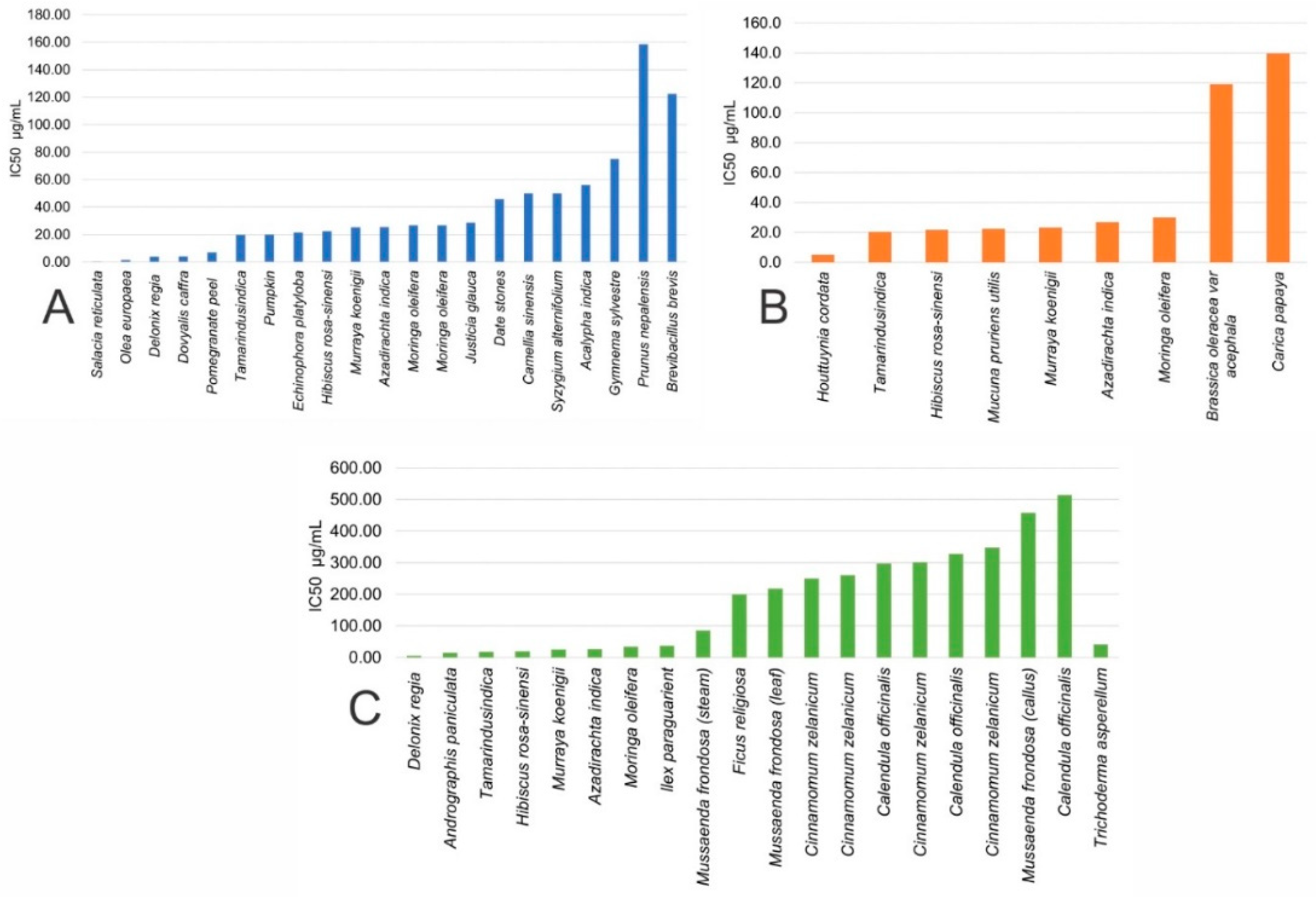
2.2.2. Cytotoxic Effect of CuNPs on Cancer Cell Lines
- (a)
- CuNPs against breast cancer
- (b)
- CuNPs against cervical cancer
- (c)
- Copper/copper oxide NPs against lung cancer
- (d)
- Copper/copper oxide NPs against ovarian cancer
- (e)
- CuNPs against other cancer cells lines
| Plant | Part | Metallic Concentration | Cell Line | Size (nm) | Assay | IC50 (µg·mL−1) | Reference |
|---|---|---|---|---|---|---|---|
| Breast cancer | |||||||
| Copper sulfate | |||||||
| Syzygium alternifolium | Stem bark | 5 mM | (MDA-MB-231) | 5–13 | MTT | 50 | [81] |
| Olea europaea | Leaves | 2 mM | (AMJ-13) | 20–50 | MTT, AE-EB | 1.47 | [72] |
| Justicia glauca | Leaves | 0.1 M | (MCF-7) | 19.72 | MTT | 28.72 | [82] |
| Dovyalis caffra | Leaves | 1 mM | (MCF-7) | 30–50 | MTT | 4.04 | [58] |
| Punica granatum | Peel | 1.0 M | (MCF7) | 6 | MTT | 7.1 | [83] |
| Phoenix dactylifera | Pits | 1.0 M | (MCF7) | 20 | MTT | 45.7 | [83] |
| Prunus nepalensis | Fruit | 1 mM | (MCF-7) | 35–50 | MTT | 158.5 | [56] |
| Cystoseira myrica | Algae | 1 mM | (MCF-7) | 21 | MTT | - | [84] |
| Delonix regia | Leaves | 5 mM | (MCF-7) | 69–108 | MTT | 3.77 | [85] |
| Acalypha indica | Leaves | - | (MCF-7) | 26–30 | MTT | 56.16 | [86] |
| Copper acetate | |||||||
| Cucurbita spp. | Seed | 3 mM | (MDA-MB-231) | 20 | MTT, AO-EB, ROS, MMP | 20 | [61] |
| Hibiscus rosa-sinensi | Leaves | 0.2 M | (MCF-7) | 12 | MTT, Hoechst 33258 | 22.45 | [19] |
| Murraya koenigii | Leaves | 0.2 M | (MCF-7) | 12 | MTT, Hoechst 33258 | 25.32 | [19] |
| Moringa oleifera | Leaves | 0.2 M | (MCF-7) | 12 | MTT, Hoechst 33258 | 26.71 | [19] |
| Tamarindusindica | Leaves | 0.2 M | (MCF-7) | 12 | MTT, Hoechst 33258 | 19.77 | [19] |
| Brevibacillus brevis | Biomass | 100 ul | (T47D) | 2–28 | MTT | 122.3 | [67] |
| Camellia sinensis | Leaves | (MCF-7) | 22 | MTT | 50 | [87] | |
| Azadirachta indica | Leaves | 0.2 M | (MCF-7) | 12 | MTT, Hoechst 33258 | 25.55 | [19] |
| Copper nitrate | |||||||
| Salacia reticulata | Leaves | 1 mM | (MCF-7) | 42 | MTT | 0.42 | [88] |
| Echinophora platyloba | - | 0.1 M | (MCF-7) | 10 | MTT, AO/BE | 21.44 | [66] |
| Cervical cancer | |||||||
| Copper sulfate | |||||||
| Houttuynia cordata | Plant | 3 mM | (HeLa) | 40–45 | MTT, AO/EtBr | 5 | [69] |
| Black beans | Beans | 10 mM | (HeLa) | 26 | SRB, ROS, MMD, Clonogenic survival | - | [68] |
| Brassica oleracea var acephala | Leaves | 1 mM | (HeLa) | 60–100 | MTT | 119.0 | [89] |
| Carica papaya | Leaves | 5 mM | (HeLa) | 77 | MTT | 139. | [90] |
| Mucuna pruriens utilis | Seed | 2.5 gr | (HeLa) | 28 | MTT | 22.48 | [91] |
| Copper acetate | |||||||
| Azadirachta indica | Leaves | 0.2 M | (HeLa) | 12 | MTT, Hoechst 33258 | 26.73 | [19] |
| Hibiscus rosa-sinensi | Leaves | 0.2 M | (HeLa) | 12 | MTT, Hoechst 33258 | 21.63 | [19] |
| Murraya koenigii | Leaves | 0.2 M | (HeLa) | 12 | MTT, Hoechst 33258 | 23.22 | [19] |
| Moringa oleifera | Leaves | 0.2 M | (HeLa) | 12 | MTT, Hoechst 33258 | 30.08 | [19] |
| Tamarindusindica | Leaves | 0.2 M | (HeLa) | 12 | MTT, Hoechst 33258 | 20.32 | [19] |
| Epithelioma | |||||||
| Copper acetate | |||||||
| Moringa oleifera | Leaves | 0.2 M | (Hep-2) | 12 | MTT, Hoechst 33258 | 29.58 | [19] |
| Tamarindusindica | Leaves | 0.2 M | (Hep-2) | 12 | MTT, Hoechst 33258 | 21.66 | [19] |
| Azadirachta indica | Leaves | 0.2 M | (Hep-2) | 12 | MTT, Hoechst 33258 | 28.59 | [19] |
| Hibiscus rosa-sinensi | Leaves | 0.2 M | (Hep-2) | 12 | MTT, Hoechst 33258 | 22.59 | [19] |
| Murraya koenigii | Leaves | 0.2 M | (Hep-2) | 12 | MTT, Hoechst 33258 | 25.59 | [19] |
| Hepatocellular carcinoma | |||||||
| Copper acetate | |||||||
| Eclipta prostrata | Leaves | 3 mM | (HepG2) | 23–57 | MTT | - | [20] |
| Curcuma longa | Root | 6 gr | (HepG2) | 27 | MTT | 64.10 | [92] |
| Azadirachta indica | Leaves | 2 gr | (HepG2) | 15–16 | MTT | - | [93] |
| Cylindrospermum stagnale (cyanobacteria) | Biomass | 1 mM | (HepG2) | 12 | MTT | - | [76] |
| Copper sulfate | |||||||
| Cystoseira myrica | Brown alga | 1 mM | (HepG2) | 21 | MTT | - | [84] |
| Momordica cochinchinensis | Leaves | 0.01 M | (HepG2) | 56 | MTT, ROS | 75 | [94] |
| Lung carcinoma | |||||||
| Copper acetate | |||||||
| Andrographis paniculata | Leaves | 0.5 M | (A549) | 23 | MTT | 14.76 | [59] |
| Tamarindusindica | Leaves | 0.2 M | (A549) | 12 | MTT, Hoechst 33258 | 18.11 | [19] |
| Murraya koenigii | Leaves | 0.2 M | (A549) | 12 | MTT, Hoechst 33258 | 25.05 | [19] |
| Moringa oleifera | Leaves | 0.2 M | (A549) | 12 | MTT, Hoechst 33258 | 34.37 | [19] |
| Azadirachta indica | Leaves | 0.2 M | (A549) | 12 | MTT, Hoechst 33258 | 26.03 | [19] |
| Hibiscus rosa-sinensi | Leaves | 0.2 M | (A549) | 12 | MTT, Hoechst 33258 | 20.15 | [19] |
| Copper sulfate | |||||||
| Ficus religiosa | Leaf | 5 mM | (A549) | 577 | MTT, AO/BE | 200 | [70] |
| Delonix regia | Leaves | 5 mM | (A549) | 69–108 | MTT | 4.70 | [85] |
| llex paraguariensist | Leaves | 1 mM | (A549) | 26–40 | MTT | 36.89 | [95] |
| Copper nitrate | |||||||
| Trichoderma asperellum | Cell-freeextract | 5 mM | (A549) | 110 | WST-1 | 40.625 | [96] |
| Cinnamomum zelanicum | Leaves | 0.3 M | (NCI-H2126II, NCI-H1437.III, NCI-H1573.IV, NCI-H661) | 9–69 | MTT | 250, 348, 301, and 261 | [97] |
| Mussaenda frondosa | Leaf, stem and callus | - | (A549) | 2–10 | MTT, Dual AO/EB | 85.66–458.35 | [98] |
| Calendula officinalis | Leaves | 0.3 M | (LC-2/ad, PC-14, HLC-1) | 19–39 | MTT | 328, 297 and 514 | [55] |
| Colorectal cancer | |||||||
| Carica papaya | Leaves | Copper sulfate 5 mM | (HT-29) | 77 | MTT | 93. | [90] |
| Ormocarpum cochinchinense | Leaves | Copper chloride 0.003 M | (HCT-116) | 1–2 | MTT | 40 | [99] |
| Cucurbita maxima | Seed | Copper acetate 3 mM | (HCT-116) | 20 | MTT, AO/BE | 25 | [73] |
| Ovarian cancer | |||||||
| Olea europaea | Leaves | Copper sulfate 2 mM | (SKOV-3) | 20–50 | MTT, AO-EB | 2.27 | [72] |
| Camellia sinensis | Leaves | Copper chloride 1.7 gr | (CAOV-3, SW-626, and SK-OV-3) | 10–20 | MTT | 263, 208 and 315 | [53] |
| Cressa spp. | Leaves | Copper sulfate | (SKOV3) | 6–15 | MTT | 20 | [71] |
| Other types of cancer | |||||||
| Brassica oleracea | - | Copper sulfate 5 mM | Prostate cancer (PC-3) | 4 | - | - | [100] |
| Echinophora platyloba | - | Copper nitrate 0.1 M | Raji Burkitt’s Lymphoma | 10 | MTT, AO/BE | 10.79 | [66] |
| Allium noeanum | Leaves | Copper nitrate 1 mM | Endometrial Cancer (Ishikawa, HEC-1-A, HEC-1-B,and KLE) | 10–12 | MTT | 357, 356, 331 and 411 | [28] |
| Vibrio spp. | Bacteria | Copper nitrate | Esophageal Cancer (KYSE30) | 8 | MTT | 18.26 | [75] |
| Rhus punjabensis | - | - | Leukemia (HL-60) | 31–36 | SRB | 1.82 | [101] |
| Citrus aurantifolia | Enzyme | Copper sulfate 1 mM | Melanoma (SK MEL 28) | 4 | MTT | 56.6 | [102] |
| Quisqualis indica | Floral | Copper acetate 5.0 mM | Melanoma (B16F10) | 39 | MTT, LDH | 102 | [74] |
| Arbustus unedo | Leaves | Copper sulfate 0.01 mM | Nasopharynx cancer (KB) | 30 | MTT | - | [103] |
| Aerva javanica | Leaves | Copper chloride 4 mM | Neuroblastoma (Neuro2A) | 15–23 | MTT | - | [57] |
| Rhus punjabensis | - | - | Prostate adenocarcinoma (PC-3) | 31–36 | SRB | 19.25 | [101] |
2.3. The Antibacterial Effect of CuNPs
2.4. The Catalytic Effect of CuNPs
2.4.1. Reducing and Capping Agents in the Synthesis of CuNPs
2.4.2. Factors That Affect the Synthesis and Catalysis of CuNPs
- (a)
- Particle size: Most of the papers reviewed have synthesized nanoparticles with a maximum size of 100 nm, noting that decreasing particle size will increase catalytic activity [185] and that the solvent concentration affects the particles’ size and shape [186]. Furthermore, it has been discovered that a larger extract volume is required to produce nanoparticles with a narrower size range [155];
- (b)
- Temperature: The temperature of the reaction is an essential factor to consider when synthesizing nanoparticles. Some of the papers reviewed emphasized the importance of a high temperature for synthesis;
- (c)
| Scientific Name | Source | Concentration | Size (nm) | Catalytic Application/Results | Reference | |
|---|---|---|---|---|---|---|
| Compound Synthesis, Degradation/Yield (%) | Compound Removal/Yield (%) | |||||
| Copper nitrate | ||||||
| Carica papaya | Fruit peels | 0.004 M | 28.0 | Palm oil effluents degradation: 66%. | ND | [190] |
| Sacha inchi | Leaves | 0.01 M | 8–32 | ND | MB degradation: 78.90%. | [155] |
| Camelia sinensis and Prunus africana | Leaves | 0.0005 M | 6–8 | ND | MB degradation: 83–85% | [191] |
| Aglaia elaeagnoidea | Flowers | 0.001 M | 20–45 | Reduction of 4-NP to 4-AP: ~99%. | MB degradation: yield ~99%. CR degradation: yield ~99%. | [171] |
| Achyranthes aspera and Crotalaria verrucosa | Leaves | 0.003 M | 10–20 | ND | RhB degradation: 91–96%. | [192] |
| Cordia sebestena | Flowers | 0.1 M | 20–35 | Synthesis of pyrimidinones: 98%. DHPM derivatives synthesis: 98% (case VIII). | BTB dye degradation: ~99% | [131] |
| Solanum nigrum | Leaves | 0.1 M | 25 | ND | MB degradation: 97%. | [26] |
| Moringa oleifera | Leaves | 0.1 M | 28 | ND | Pararosaniline dye degradation: 96.4%. | [184] |
| Passiflora edulis | Leaves | 0.1 M | 60–65 | ND | MB degradation: 93%. | [131] |
| Citrofortunella microcarpa | Leaves | 1 M | 54–68 | ND | Rhodamine degradation: 98.31%. | [193] |
| P. emblica | Leaves | 26.7 M | 80 | ND | As (V) removal: 98.9% | [194] |
| Musaenda frondosa | Callus | - | 2.2 | ND | MB degradation: 88–97% | [98] |
| Rauvolfia serpentina | Leaves | - | 10–20 | ND | TB dye degradation: ~99% | [134] |
| Copper acetate | ||||||
| Syzygium jambos (L.) Alston | Leaves | 0.001 M | 7.62 | Ipso-Hydroxylation of aryl boronic acids:100% (case IV,XIV). | ND | [195] |
| I. tinctoria | Leaves | 0.001 M | 10–30 | Synthesis of 2-(benzo[d]thiazol-2-ylthio) benzoic acid: 65–80% (case II). | ND | [196] |
| Thymbra spicata | Leaves | 0.001 M | 10–20 | Reaction of aniline with 4-chlorobromobenzene: 96% | ND | [197] |
| Stachys Lavandulifolia | Flowers | 0.001 M | 20–35 | Thyoldibenzene synthesis: 96%. Benzenethiol synthesis: 98%. | ND | [198] |
| Salvia hispanica | Leaves | 0.1 M | 30 | Cycloaddition of alkyl halides: 93% for CuO NPs, 99% for Cu2O NPs | MB degradation: ~99% | [43] |
| Ocimum tenuiflorum | Leaves | 0.1 M | 6–18 | ND | MO degradation: 96.4%. | [87] |
| Mimosa pudica | Leaves | 0.1 M | 8 | Reduction of p-nitrophenol: ~99% | ND | [199] |
| Quercus infectoria | Fruit | 0.2 M | 26 | ND | BV 3 dye degradation: 86% | [177] |
| Citrus limon | Juice | 0.3 M | 5–20 | ND | Cr (VI) adsorption: 98.3 ± 0.6% | [200] |
| Lantana camara | Flowers | 0.4 M | 13–28 | Aza Michael reaction: 80%. Enamine production: 90% (case VI). | ND | [189] |
| Andrographis paniculata | - | 0.5 M | 23 | ND | MB degradation: 98%. | [59] |
| Psidium guajava | Leaves | 2 M | 2–6 | ND | NB degradation: 97%. RY160 degradation: 80%. | [201] |
| Copper chloride | ||||||
| Gundelia tournefortii | Leaves | 0.003 M | ND | Hydration of cyanamides: 89%. Reduction of 4-nitrophenol: ~99% | ND | [202] |
| Tamarix galica | Leaves | 0.003 M | Various sizes | N-arylation of triazoles: 92% (case XII) | ND | [174] |
| Anthemis nobilis | Flowers | 0.003 M | 38.6 | A3 coupling reaction with piperidine: 89% | ND | [203] |
| Thymus vulgaris L. | Leaves | 0.003 M | 30 | N-arylation of indoles: 97% (case V) | ND | [204] |
| Jatropha curcas | Leaves | 0.003 M | 10 | ND | MB catalysis: ~99%. | [205] |
| Ageratum houstonianum | Leaves | 0.003 M | 200 | ND | CR degradation: ~99% | [206] |
| Euphorbia esula L. | Leaves | 0.005 M | 20–110 | 4 nitrophenol reduction: ~99%. | ND | [207] |
| Ginkgo biloba L. | Leaves | 0.005 M | 15–20 | Reaction of benzyl azide with phenyl acetylene: 98% (case X). | ND | [208] |
| Otostegia persica | Leaves | 0.005 M | ND | Synthesis of 1,2,3-triazoles: 93% | ND | [209] |
| Plantago asiatica | Leaves | 0.005 M | 7–35 | Aldehyde cyanation: 93% (case IX). | ND | [210] |
| Brassica oleraceae, Pisum sativum and Solanum tuberosum | Peels | 0.01 M | 22–31 | ND | MB degradation: 79–96% | [211] |
| Coffea Arabica | Beans | 0.1 M | 5–8 | ND | AB 10B reduction: ~99%, MB and XO reduction: ~99%, | [179] |
| Camellia sinensis | Leaves | 0.2 M | 10–20 | pyrano[2,3-d] pyrimidines synthesis: 90–98% (case XIII). | ND | [53] |
| Punica granatum | Seeds | 1 M | 40–80 | ND | MB degradation: 87.1% | [212] |
| T. Cordifolia | Leaves | 90 | ND | Direct green, Eosin and Safranine and reactive dye: 90% | [213] | |
| Copper sulfate | ||||||
| Convolvulus percicus | Leaves | 0.001 M | 15–30 | Arylation for C−N and C−O coupling reactions: 92%. | ND | [157] |
| Odina wodier | Gum | 0.001 M | 60–100 | ND | Acid blue degradation: 96%. | [185] |
| Alchornea laxiflora | Leaves | 0.001 M | 3.2 | Oxidative Desulphurization: 63.92% (case XI). | ND | [214] |
| Cystoseira trinodis (algae) | Biomass | 0.001 M | 7–10 | ND | MB degradation: 98%. | [42] |
| Euphorbia maculata | Leaves | 0.001 M | 18.02 | ND | MB degradation: 96%, CR degradation: 85%, RhB degradation: 89% | [178] |
| Rosmarinus officinalis | Leaves | 0.001 M | ND | ND | MB degradation: 97.4%. | [215] |
| Myrtus communis | Leaves | 0.001 M | 55 | 4-nitrophenol (4-NP) reduction: ~99%. | ND | [188] |
| Duranta erecta | Fruits | 0.005 M | 70 | ND | MO reduction: 96%, CR reduction: 90.35% | [216] |
| C. epigaeus | Rhizomes | 0.005 M | 65–80 | ND | MB degradation: 90%. | [98] |
| Manilkara zapota | Leaves | 0.005 M | 18.79 | ND | MV, MG, CBB degradation: 92.2%, 94.9%, 78.8%. | [172] |
| A. muricata | Leaves | 0.005 M | 30–40 | ND | RR120 and MO degradation: 90%, 95% | [217] |
| Escherichia sp. SINT7 | Biomass | 0.005 M | 30 | ND | CR, MG, DB-1, RB-5 degradation: 97.0%, 90.5%, 88.4% and 83.6% | [182] |
| Bergenia ciliata | Rhizomes | 0.005 M | 50 | ND | MB and MR degradation: 92%, 85%. | [176] |
| Coccinia grandis | Fruits | 0.01 M | 40–50 | Reducing para-nitrophenol (PNP) to para-amino phenol (PAP): ~97%. | ND | [218] |
| Aloe vera | Leaves | 0.01 M | 24–61 | ND | MB degradation: ~99%. | [186] |
| Coccinia grandis | Flowers | 0.01 M | 40–50 | Reduction of 4-nitroaniline into amino compound: 97.9%. | ND | [219] |
| Pterolobium hexapetalum | Leaves | 0.01 M | 10–50 | ND | RB 5 degradation: 98%. | [156] |
| Triticum aestivum | Seeds | 0.01 M | 22 | Nitrophenol reduction: ~99%. | ND | [220] |
| Diospyros montana | Leaves | 0.01 M | 5.9–21.8 | ND | MB degradation. ~99%. | [221] |
| Cardiospermum halicacabum | Leaves | 0.01 M | 14.9 | ND | MB degradation: 93.6%. | [222] |
| Mentha piperita, Citrus sinensis | Leaves | 0.01 M | 150 | ND | % Cd (II), Ni (II) and Pb (II) removal: 18%, 52.5%, 84% | [223] |
| Impatiens balsamina | Leaves | 0.02 M | 5–10 | ND | MB degradation: ~85%, CR degradation: ~80% | [224] |
| Z. spina-christi | Fruit | 0.02 M | 9 | ND | CV removal: 93.7% | [225] |
| Citrus grandis | Peel | 0.04 M | 22–27 | ND | MR reduction: 96%. | [187] |
| Elsholtzia blanda | Leaves | 0.05 M | 32–49 | ND | Degradation of CR dye: 74–94% | [226] |
| Solanum lycopersicum | Leaves | 0.1 M | 20–40 | ND | Crystal 271 violet degradation: ~97%. | [146] |
| Salvia hispanica | Leaves | 0.1 M | 35 | Cycloaddition of benzyl chloride: 99% | MB degradation: ~99% | [43] |
| Centella asiatica | Leaves | 0.1 M | 20–30 | ND | MR and MO reduction: 98%, PR reduction:99.62% | [227] |
| Aegle marmelos | Peel | 0.1 M | 20 | ND | MB degradation: ~99%. | [180] |
| Clitoria Ternatea | Flowers | 0.1 M | 18 | ND | Cristal violet (CV), direct red DR degradation: 88.3%, 65% | [228] |
| Citrus aurantifolia | Leaves | 0.3 M | 55 | ND | RhB dye degradation: 91% | [155] |
| Musa balbisiana | Peel | 1 M | 50–90 | 4-nitrophenol to 4-aminophenol conversion: 96% (case I). | ND | [229] |
| Euphorbia maculata | Leaves | 1 M | 18 | C-S cross-coupling reaction: 89% (case VII) | ND | [230] |
| Aloe vera | Leaves | - | 80–120 | ND | CR reduction: 70–75% | [231] |
- (d)
- Reaction time: The reaction time was screened in all synthesis and dye removal papers. Regarding synthesis, most reviewed articles carried out a reaction time of 1 to 100 min. Reaction times of up to 200 to 500 min were also observed (Figure 4A). Regarding dye removal applications, most articles reported a time range of 1 to 200 min, and reaction times of up to 200 to 800 min were also observed. In both applications, most studies were successful in under 120 min (Figure 4B);
- (e)
- Salt concentration frequency: The frequency of salt concentration was also screened through all the papers reviewed for catalytic application. The four main metallic salts synthesizing CuNPs were copper sulfate, copper acetate, copper nitrate, and copper chloride (Figure 4C). Copper sulfate was the most used salt, followed by copper chloride, copper nitrate, and copper acetate. The most frequently used concentration for copper sulfate was 0.01 M, copper acetate was 0.001 M, copper chloride was 0.003 M, and copper nitrate was 0.1 M. The concentration range for the most used salts, copper sulfate, and copper chloride ranged from 1 mM to 10 mM (Figure 4D).
2.4.3. Mechanism of Compound Reduction Using CuNPs as a Catalyst
2.4.4. Mechanism of Degradation of Toxic Organic Dyes by Biogenically Synthesized CuNPs
3. Materials and Methods
3.1. Search Strategy
3.2. Search Criteria
3.3. Study Selection, Data Extraction, and Quality Assessment
- For the antitumoral analysis, the following keywords in the title and abstract were used in the research fields: Green synthesis, Biogenic, Cancer, Anticarcinogenic, Antitumoral, and Cytotoxic; they were also used as keywords to collect data that might be under one of these terms;
- For the antioxidant analysis, the following keywords in the title and abstract were used in the research fields: Green synthesis, Biogenic, Antioxidant, and Oxidative, and these were also used to collect data that might fall under one of these terms;
- For the antibacterial analysis, the following keywords in the title and abstract were used in the research fields: Nanoparticles, Copper, Antibacterial, Green synthesis, antimicrobial, and biogenic, which were also used as keywords to collect data that might fall under one of these terms;
- For the catalytic effect and dye removal analysis, the following keywords in the title and abstract were used in the research fields: Green synthesis, Catalytic, Photocatalytic, and Biogenic, which were also used as keywords to collect data that might fall under one of these terms.
3.4. Data Analysis
4. Conclusions
Supplementary Materials
Author Contributions
Funding
Institutional Review Board Statement
Informed Consent Statement
Data Availability Statement
Acknowledgments
Conflicts of Interest
Sample Availability
References
- Santhoshkumar, J.; Agarwal, H.; Menon, S.; Rajeshkumar, S.; Venkat Kumar, S. A Biological Synthesis of Copper Nanoparticles and Its Potential Applications. In Green Synthesis, Characterization and Applications of Nanoparticles; School of Biosciences and Technology, Vellore Institute of Technology: Vellore, India, 2018; pp. 199–221. [Google Scholar]
- Nourbakhsh, S.; Habibi, S.; Rahimzadeh, M. Copper Nano-Particles for Antibacterial Properties of Wrinkle Resistant Cotton Fabric. In Proceedings of the Materials Today: Proceedings; Elsevier Ltd.: Amsterdam, The Netherlands, 2017; Volume 4, pp. 7032–7037. [Google Scholar]
- Tiwari, M.; Jain, P.; Chandrashekhar Hariharapura, R.; Narayanan, K.; Bhat, K.U.; Udupa, N.; Rao, J.V. Biosynthesis of Copper Nanoparticles Using Copper-Resistant Bacillus Cereus, a Soil Isolate. Process. Biochem. 2016, 51, 1348–1356. [Google Scholar] [CrossRef]
- Abdelbasir, S.M.; McCourt, K.M.; Lee, C.M.; Vanegas, D.C. Waste-Derived Nanoparticles: Synthesis Approaches, Environmental Applications, and Sustainability Considerations. Front. Chem. 2020, 8, 782. [Google Scholar] [CrossRef] [PubMed]
- Frejo, M.; Díaz, M.; Lobo, M.; García, J.; Capó, M. Nanotoxicología Ambiental: Retos Actuales. Med. Balear. 2011, 26, 36–46. [Google Scholar]
- Singh, P.; Kim, Y.J.; Zhang, D.; Yang, D.C. Biological Synthesis of Nanoparticles from Plants and Microorganisms. Trends Biotechnol. 2016, 34, 588–599. [Google Scholar] [CrossRef] [PubMed]
- Kalimuthu, K.; Suresh Babu, R.; Venkataraman, D.; Bilal, M.; Gurunathan, S. Biosynthesis of Silver Nanocrystals by Bacillus Licheniformis. Colloids Surf. B Biointerfaces 2008, 65, 150–153. [Google Scholar] [CrossRef] [PubMed]
- Ahmad, S.; Munir, S.; Zeb, N.; Ullah, A.; Khan, B.; Ali, J.; Bilal, M.; Omer, M.; Alamzeb, M.; Salman, S.M.; et al. Green Nanotechnology: A Review on Green Synthesis of Silver Nanoparticles—An Ecofriendly Approach. Int. J. Nanomed. 2019, 14, 5087–5107. [Google Scholar] [CrossRef]
- Jadoun, S.; Arif, R.; Jangid, N.K.; Meena, R.K. Green Synthesis of Nanoparticles Using Plant Extracts: A Review. Environ. Chem. Lett. 2021, 19, 355–374. [Google Scholar] [CrossRef]
- Rajesh, K.M.; Ajitha, B.; Reddy, Y.A.K.; Suneetha, Y.; Reddy, P.S. Assisted Green Synthesis of Copper Nanoparticles Using Syzygium Aromaticum Bud Extract: Physical, Optical and Antimicrobial Properties. Optik 2018, 154, 593–600. [Google Scholar] [CrossRef]
- Patel, B.H.; Channiwala, M.Z.; Chaudhari, S.B.; Mandot, A.A. Biosynthesis of Copper Nanoparticles; Its Characterization and Efficacy against Human Pathogenic Bacterium. J. Environ. Chem. Eng. 2016, 4, 2163–2169. [Google Scholar] [CrossRef]
- Chen, C.W.; Hsu, C.Y.; Lai, S.M.; Syu, W.J.; Wang, T.Y.; Lai, P.S. Metal Nanobullets for Multidrug Resistant Bacteria and Biofilms. Adv. Drug. Deliv. Rev. 2014, 78, 88–104. [Google Scholar] [CrossRef]
- Zazo, H.; Colino, C.I.; Lanao, J.M. Current Applications of Nanoparticles in Infectious Diseases. J. Control. Release 2016, 224, 86–102. [Google Scholar] [CrossRef]
- Rajeshkumar, S.; Menon, S.; Venkat Kumar, S.; Tambuwala, M.M.; Bakshi, H.A.; Mehta, M.; Satija, S.; Gupta, G.; Chellappan, D.K.; Thangavelu, L.; et al. Antibacterial and Antioxidant Potential of Biosynthesized Copper Nanoparticles Mediated through Cissus Arnotiana Plant Extract. J. Photochem. Photobiol. B 2019, 197, 111531. [Google Scholar] [CrossRef] [PubMed]
- Vincent, J.; Lau, K.S.; Evyan, Y.C.Y.; Chin, S.X.; Sillanpää, M.; Chia, C.H. Biogenic Synthesis of Copper-Based Nanomaterials Using Plant Extracts and Their Applications: Current and Future Directions. Nanomaterials 2022, 12, 3312. [Google Scholar] [CrossRef]
- Rajeshkumar, S.; Rinitha, G. Nanostructural Characterization of Antimicrobial and Antioxidant Copper Nanoparticles Synthesized Using Novel Persea Americana Seeds. OpenNano 2018, 3, 18–27. [Google Scholar] [CrossRef]
- Mahjouri, S.; Movafeghi, A.; Divband, B.; Kosari-Nasab, M. Toxicity Impacts of Chemically and Biologically Synthesized CuO Nanoparticles on Cell Suspension Cultures of Nicotiana Tabacum. Plant. Cell. Tissue Organ. Cult. 2018, 135, 223–234. [Google Scholar] [CrossRef]
- Alavi, M.; Karimi, N.; Valadbeigi, T. Antibacterial, Antibiofilm, Antiquorum Sensing, Antimotility, and Antioxidant Activities of Green Fabricated Ag, Cu, TiO2, ZnO, and Fe3O4 NPs via Protoparmeliopsis Muralis Lichen Aqueous Extract against Multi-Drug-Resistant Bacteria. ACS Biomater. Sci. Eng. 2019, 5, 4228–4243. [Google Scholar] [CrossRef]
- Rehana, D.; Mahendiran, D.; Kumar, R.S.; Rahiman, A.K. Evaluation of Antioxidant and Anticancer Activity of Copper Oxide Nanoparticles Synthesized Using Medicinally Important Plant Extracts. Biomed. Pharmacother. 2017, 89, 1067–1077. [Google Scholar] [CrossRef] [PubMed]
- Chung, I.; Rahuman, A.A.; Marimuthu, S.; Kirthi, A.V.; Anbarasan, K.; Padmini, P.; Rajakumar, G. Green Synthesis of Copper Nanoparticles Using Eclipta Prostrata Leaves Extract and Their Antioxidant and Cytotoxic Activities. Exp. Ther. Med. 2017, 14, 18–24. [Google Scholar] [CrossRef] [PubMed]
- Ali, J.S.; Mannan, A.; Nasrullah, M.; Ishtiaq, H.; Naz, S.; Zia, M. Antimicrobial, Antioxidative, and Cytotoxic Properties of Monotheca Buxifolia Assisted Synthesized Metal and Metal Oxide Nanoparticles. Inorg. Nano-Met. Chem. 2020, 50, 770–782. [Google Scholar] [CrossRef]
- Venugopalan, R.; Pitchai, S.; Devarayan, K.; Swaminathan, V.C. Biogenic Synthesis of Copper Nanoparticles Using Borreria Hispida (Linn.) Extract and Its Antioxidant Activity. Mater. Today Proc. 2020, 33, 4023–4025. [Google Scholar] [CrossRef]
- Thakar, M.A.; Saurabh Jha, S.; Phasinam, K.; Manne, R.; Qureshi, Y.; Hari Babu, V. V X Ray Diffraction (XRD) Analysis and Evaluation of Antioxidant Activity of Copper Oxide Nanoparticles Synthesized from Leaf Extract of Cissus Vitiginea. Mater. Today Proc. 2021, 51, 319–324. [Google Scholar] [CrossRef]
- Hasheminya, S.-M.; Dehghannya, J. Green Synthesis and Characterization of Copper Nanoparticles Using Eryngium Caucasicum Trautv Aqueous Extracts and Its Antioxidant and Antimicrobial Properties. Part. Sci. Technol. 2020, 38, 1019–1026. [Google Scholar] [CrossRef]
- Asemani, M.; Anarjan, N. Green Synthesis of Copper Oxide Nanoparticles Using Juglans Regia Leaf Extract and Assessment of Their Physico-Chemical and Biological Properties. Green. Process. Synth. 2019, 8, 557–567. [Google Scholar] [CrossRef]
- Muthuvel, A.; Jothibas, M.; Manoharan, C. Synthesis of Copper Oxide Nanoparticles by Chemical and Biogenic Methods: Photocatalytic Degradation and in Vitro Antioxidant Activity. Nanotechnol. Environ. Eng. 2020, 5, 14. [Google Scholar] [CrossRef]
- Dobrucka, R. Antioxidant and Catalytic Activity of Biosynthesized CuO Nanoparticles Using Extract of Galeopsidis Herba. J. Inorg. Organomet. Polym. Mater. 2018, 28, 812–819. [Google Scholar] [CrossRef]
- Chinnathambi, A.; Awad Alahmadi, T.; Ali Alharbi, S. Biogenesis of Copper Nanoparticles (Cu-NPs) Using Leaf Extract of Allium Noeanum, Antioxidant and in-Vitro Cytotoxicity. Artif. Cells Nanomed. Biotechnol. 2021, 49, 500–510. [Google Scholar] [CrossRef]
- Ijaz, F.; Shahid, S.; Khan, S.A.; Ahmad, W.; Zaman, S. Green Synthesis of Copper Oxide Nanoparticles Using Abutilon Indicum Leaf Extract: Antimicrobial, Antioxidant and Photocatalytic Dye Degradation Activities. Trop. J. Pharm. Res. 2017, 16, 743–753. [Google Scholar] [CrossRef]
- Velsankar, K.; Aswin Kumara, R.M.; Preethi, R.; Muthulakshmi, V.; Sudhahar, S. Green Synthesis of CuO Nanoparticles via Allium Sativum Extract and Its Characterizations on Antimicrobial, Antioxidant, Antilarvicidal Activities. J. Environ. Chem. Eng. 2020, 8, 104123. [Google Scholar] [CrossRef]
- Velsankar, K.; Vinothini, V.; Sudhahar, S.; Kumar, M.K.; Mohandas, S. Green Synthesis of CuO Nanoparticles via Plectranthus Amboinicus Leaves Extract with Its Characterization on Structural, Morphological, and Biological Properties. Appl. Nanosci. 2020, 10, 3953–3971. [Google Scholar] [CrossRef]
- Udayabhanu; Nethravathi, P.C.; Pavan Kumar, M.A.; Suresh, D.; Lingaraju, K.; Rajanaika, H.; Nagabhushana, H.; Sharma, S.C. Tinospora Cordifolia Mediated Facile Green Synthesis of Cupric Oxide Nanoparticles and Their Photocatalytic, Antioxidant and Antibacterial Properties. Mater. Sci. Semicond. Process. 2015, 33, 81–88. [Google Scholar] [CrossRef]
- Abbasifar, A.; Shahrabadi, F.; ValizadehKaji, B. Effects of Green Synthesized Zinc and Copper Nano-Fertilizers on the Morphological and Biochemical Attributes of Basil Plant. J. Plant. Nutr. 2020, 43, 1104–1118. [Google Scholar] [CrossRef]
- Rajeshkumar, S.; Nandhini, N.T.; Manjunath, K.; Sivaperumal, P.; Krishna Prasad, G.; Alotaibi, S.S.; Roopan, S.M. Environment Friendly Synthesis Copper Oxide Nanoparticles and Its Antioxidant, Antibacterial Activities Using Seaweed (Sargassum Longifolium) Extract. J. Mol. Struct. 2021, 1242, 130724. [Google Scholar] [CrossRef]
- Erci, F.; Cakir-Koc, R.; Yontem, M.; Torlak, E. Synthesis of Biologically Active Copper Oxide Nanoparticles as Promising Novel Antibacterial-Antibiofilm Agents. Prep. Biochem. Biotechnol. 2020, 50, 538–548. [Google Scholar] [CrossRef]
- Sepasgozar, S.M.E.; Mohseni, S.; Feizyzadeh, B.; Morsali, A. Green Synthesis of Zinc Oxide and Copper Oxide Nanoparticles Using Achillea Nobilis Extract and Evaluating Their Antioxidant and Antibacterial Properties. Bull. Mater. Sci. 2021, 44, 129. [Google Scholar] [CrossRef]
- Dashtizadeh, Z.; Jookar Kashi, F.; Ashrafi, M. Phytosynthesis of Copper Nanoparticles Using Prunus mahaleb L. and Its Biological Activity. Mater. Today Commun. 2021, 27, 102456. [Google Scholar] [CrossRef]
- Wu, S.; Rajeshkumar, S.; Madasamy, M.; Mahendran, V. Green Synthesis of Copper Nanoparticles Using Cissus Vitiginea and Its Antioxidant and Antibacterial Activity against Urinary Tract Infection Pathogens. Artif. Cells Nanomed. Biotechnol. 2020, 48, 1153–1158. [Google Scholar] [CrossRef]
- Rani, H.; Singh, S.P.; Yadav, T.P.; Khan, M.S.; Ansari, M.I.; Singh, A.K. In-Vitro Catalytic, Antimicrobial and Antioxidant Activities of Bioengineered Copper Quantum Dots Using Mangifera indica (L.) Leaf Extract. Mater. Chem. Phys. 2020, 239, 122052. [Google Scholar] [CrossRef]
- Zangeneh, M.M.; Ghaneialvar, H.; Akbaribazm, M.; Ghanimatdan, M.; Abbasi, N.; Goorani, S.; Pirabbasi, E.; Zangeneh, A. Novel Synthesis of Falcaria Vulgaris Leaf Extract Conjugated Copper Nanoparticles with Potent Cytotoxicity, Antioxidant, Antifungal, Antibacterial, and Cutaneous Wound Healing Activities under in Vitro and in Vivo Condition. J. Photochem. Photobiol. B 2019, 197, 111556. [Google Scholar] [CrossRef] [PubMed]
- Jadhav, M.S.; Kulkarni, S.; Raikar, P.; Barretto, D.A.; Vootla, S.K.; Raikar, U.S. Green Biosynthesis of CuO & Ag-CuO Nanoparticles from Malus Domestica Leaf Extract and Evaluation of Antibacterial, Antioxidant and DNA Cleavage Activities. New. J. Chem. 2018, 42, 204–213. [Google Scholar] [CrossRef]
- Gu, H.; Chen, X.; Chen, F.; Zhou, X.; Parsaee, Z. Ultrasound-Assisted Biosynthesis of CuO-NPs Using Brown Alga Cystoseira Trinodis: Characterization, Photocatalytic AOP, DPPH Scavenging and Antibacterial Investigations. Ultrason. Sonochem 2018, 41, 109–119. [Google Scholar] [CrossRef]
- Ghadiri, A.M.; Rabiee, N.; Bagherzadeh, M.; Kiani, M.; Fatahi, Y.; Di Bartolomeo, A.; Dinarvand, R.; Webster, T.J. Green Synthesis of CuO- And Cu2O-NPs in Assistance with High-Gravity- And Flowering of Nanobiotechnology. Nanotechnology 2020, 31, 425101. [Google Scholar] [CrossRef]
- Pandit, R.; Gaikwad, S.; Rai, M. Biogenic Fabrication of CuNPs, Cu Bioconjugates and in Vitro Assessment of Antimicrobial and Antioxidant Activity. IET Nanobiotechnol. 2017, 11, 568–575. [Google Scholar] [CrossRef] [PubMed]
- Hayat, K.; Ali, S.; Ullah, S.; Fu, Y.; Hussain, M. Green Synthesized Silver and Copper Nanoparticles Induced Changes in Biomass Parameters, Secondary Metabolites Production, and Antioxidant Activity in Callus Cultures of Artemisia absinthium L. Green. Process. Synth. 2021, 10, 61–72. [Google Scholar] [CrossRef]
- Alavi, M.; Karimi, N. Characterization, Antibacterial, Total Antioxidant, Scavenging, Reducing Power and Ion Chelating Activities of Green Synthesized Silver, Copper and Titanium Dioxide Nanoparticles Using Artemisia Haussknechtii Leaf Extract. Artif. Cells Nanomed. Biotechnol. 2018, 46, 2066–2081. [Google Scholar] [CrossRef]
- Hassan, S.E.-D.; Fouda, A.; Radwan, A.A.; Salem, S.S.; Barghoth, M.G.; Awad, M.A.; Abdo, A.M.; El-Gamal, M.S. Endophytic Actinomycetes Streptomyces Spp Mediated Biosynthesis of Copper Oxide Nanoparticles as a Promising Tool for Biotechnological Applications. J. Biol. Inorg. Chem. 2019, 24, 377–393. [Google Scholar] [CrossRef] [PubMed]
- Bulut Kocabas, B.; Attar, A.; Peksel, A.; Altikatoglu Yapaoz, M. Phytosynthesis of CuONPs via Laurus Nobilis: Determination of Antioxidant Content, Antibacterial Activity, and Dye Decolorization Potential. Biotechnol. Appl. Biochem. 2021, 68, 889–895. [Google Scholar] [CrossRef] [PubMed]
- Lung, I.; Opriş, O.; Soran, M.-L.; Culicov, O.; Ciorîță, A.; Stegarescu, A.; Zinicovscaia, I.; Yushin, N.; Vergel, K.; Kacso, I.; et al. The Impact Assessment of Cuo Nanoparticles on the Composition and Ultrastructure of Triticum aestivum L. Int. J. Environ. Res. Public. Health 2021, 18, 6739. [Google Scholar] [CrossRef] [PubMed]
- El-Batal, A.I.; Al-Hazmi, N.E.; Mosallam, F.M.; El-Sayyad, G.S. Biogenic Synthesis of Copper Nanoparticles by Natural Polysaccharides and Pleurotus Ostreatus Fermented Fenugreek Using Gamma Rays with Antioxidant and Antimicrobial Potential towards Some Wound Pathogens. Microb. Pathog. 2018, 118, 159–169. [Google Scholar] [CrossRef]
- Kalia, A.; Kaur, M.; Shami, A.; Jawandha, S.K.; Alghuthaymi, M.A.; Thakur, A.; Abd-Elsalam, K.A. Nettle-Leaf Extract Derived Zno/Cuo Nanoparticle-Biopolymer-Based Antioxidant and Antimicrobial Nanocomposite Packaging Films and Their Impact on Extending the Post-Harvest Shelf Life of Guava Fruit. Biomolecules 2021, 11, 224. [Google Scholar] [CrossRef]
- Jasrotia, T.; Chaudhary, S.; Kaushik, A.; Kumar, R.; Chaudhary, G.R. Green Chemistry-Assisted Synthesis of Biocompatible Ag, Cu, and Fe2O3 Nanoparticles. Mater. Today Chem. 2020, 15, 100214. [Google Scholar] [CrossRef]
- Dou, L.; Zhang, X.; Zangeneh, M.M.; Zhang, Y. Efficient Biogenesis of Cu2O Nanoparticles Using Extract of Camellia Sinensis Leaf: Evaluation of Catalytic, Cytotoxicity, Antioxidant, and Anti-Human Ovarian Cancer Properties. Bioorg Chem. 2021, 106, 104468. [Google Scholar] [CrossRef]
- Bloomberg Precious and Industial Metals. Available online: https://www.bloomberg.com/markets/commodities/futures/metals (accessed on 13 June 2023).
- Gu, J.; Aidy, A.; Goorani, S. Anti-Human Lung Adenocarcinoma, Cytotoxicity, and Antioxidant Potentials of Copper Nanoparticles Green-Synthesized by Calendula Officinalis. J. Exp. Nanosci. 2022, 17, 285–296. [Google Scholar] [CrossRef]
- Biresaw, S.S.; Taneja, P. Copper Nanoparticles Green Synthesis and Characterization as Anticancer Potential in Breast Cancer Cells (MCF7) Derived from Prunus Nepalensis Phytochemicals. In Proceedings of the Materials Today: Proceedings; Elsevier Ltd.: Amsterdam, The Netherlands, 2020; Volume 49, pp. 3501–3509. [Google Scholar]
- Amin, F.; Fozia; Khattak, B.; Alotaibi, A.; Qasim, M.; Ahmad, I.; Ullah, R.; Bourhia, M.; Gul, A.; Zahoor, S.; et al. Green Synthesis of Copper Oxide Nanoparticles Using Aerva Javanica Leaf Extract and Their Characterization and Investigation of in Vitro Antimicrobial Potential and Cytotoxic Activities. Evid. Based Complement. Altern. Med. 2021, 2021, 5589703. [Google Scholar] [CrossRef] [PubMed]
- Adeyemi, J.O.; Onwudiwe, D.C.; Oyedeji, A.O. Biogenic Synthesis of CuO, ZnO, and CuO–ZnO Nanoparticles Using Leaf Extracts of Dovyalis Caffra and Their Biological Properties. Molecules 2022, 27, 3206. [Google Scholar] [CrossRef]
- Kannan, K.; Radhika, D.; Vijayalakshmi, S.; Sadasivuni, K.K.; Ojiaku, A.A.; Verma, U. Facile Fabrication of CuO Nanoparticles via Microwave-Assisted Method: Photocatalytic, Antimicrobial and Anticancer Enhancing Performance. Int. J. Environ. Anal. Chem. 2022, 102, 1095–1108. [Google Scholar] [CrossRef]
- Jafar Ahamed, A.; Vijaya Kumar, P.; Loganathan, K.; Karthikeyan, C.; Haja Hameed, A.S. Synthesis, Characterization and Cytotoxicity Studies of CuO Nanoparticles by Using Gymnema Sylvestre Leaf Extracts. J. Indian. Chem. Soc. 2016, 93, 655–660. [Google Scholar]
- Zughaibi, T.A.; Mirza, A.A.; Suhail, M.; Jabir, N.R.; Zaidi, S.K.; Wasi, S.; Zawawi, A.; Tabrez, S. Evaluation of Anticancer Potential of Biogenic Copper Oxide Nanoparticles (CuO NPs) against Breast Cancer. J. Nanomater. 2022, 2022, 5326355. [Google Scholar] [CrossRef]
- Jiang, W.; Kim, B.Y.S.; Rutka, J.T.; Chan, W.C.W. Nanoparticle-Mediated Cellular Response Is Size-Dependent. Nat. Nanotechnol. 2008, 3, 145–150. [Google Scholar] [CrossRef]
- Mohammadyari, A.; Razavipour, S.T.; Mohammadbeigi, M.; Negahdary, M.; Ajdary, M. Explore In-Vivo Toxicity Assessment of Copper Oxide Nanoparticle in Wistar Rats. J. Biol. Today’s World 2014, 3, 124–128. [Google Scholar]
- Decuzzi, P.; Godin, B.; Tanaka, T.; Lee, S.-Y.; Chiappini, C.; Liu, X.; Ferrari, M. Size and Shape Effects in the Biodistribution of Intravascularly Injected Particles. J. Control. Release 2010, 141, 320–327. [Google Scholar] [CrossRef] [PubMed]
- Kumari, P.; Panda, P.K.; Jha, E.; Pramanik, N.; Nisha, K.; Kumari, K.; Soni, N.; Mallick, M.A.; Verma, S.K. Molecular Insight to in Vitro Biocompatibility of Phytofabricated Copper Oxide Nanoparticles with Human Embryonic Kidney Cells. Nanomedicine 2018, 13, 2415–2433. [Google Scholar] [CrossRef] [PubMed]
- Shahabadi, N.; Zendehcheshm, S.; Khademi, F. Green Synthesis, in Vitro Cytotoxicity, Antioxidant Activity and Interaction Studies of CuO Nanoparticles with DNA, Serum Albumin, Hemoglobin and Lysozyme. ChemistrySelect 2022, 7, 2365–6549. [Google Scholar] [CrossRef]
- Fouda, A.; Hassan, S.E.D.; Eid, A.M.; Awad, M.A.; Althumayri, K.; Badr, N.F.; Hamza, M.F. Endophytic Bacterial Strain, Brevibacillus Brevis-Mediated Green Synthesis of Copper Oxide Nanoparticles, Characterization, Antifungal, in Vitro Cytotoxicity, and Larvicidal Activity. Green. Process. Synth. 2022, 11, 931–950. [Google Scholar] [CrossRef]
- Nagajyothi, P.C.; Muthuraman, P.; Sreekanth, T.V.M.; Kim, D.H.; Shim, J. Green Synthesis: In-Vitro Anticancer Activity of Copper Oxide Nanoparticles against Human Cervical Carcinoma Cells. Arab. J. Chem. 2017, 10, 215–225. [Google Scholar] [CrossRef]
- Chen, H.; Feng, X.; Gao, L.; Mickymaray, S.; Paramasivam, A.; Abdulaziz Alfaiz, F.; Almasmoum, H.A.; Ghaith, M.M.; Almaimani, R.A.; Aziz Ibrahim, I.A. Inhibiting the PI3K/AKT/MTOR Signalling Pathway with Copper Oxide Nanoparticles from Houttuynia Cordata Plant: Attenuating the Proliferation of Cervical Cancer Cells. Artif. Cells Nanomed. Biotechnol. 2021, 49, 240–249. [Google Scholar] [CrossRef] [PubMed]
- Sankar, R.; Maheswari, R.; Karthik, S.; Shivashangari, K.S.; Ravikumar, V. Anticancer Activity of Ficus Religiosa Engineered Copper Oxide Nanoparticles. Mater. Sci. Eng. C 2014, 44, 234–239. [Google Scholar] [CrossRef] [PubMed]
- Hui, H.; Esmaeili, E.; Tayebee, R.; He, Q.; Abbaspour, S.; Akram, M.; Jalili, Z.; Mahdizadeh, N.; Ahmadi, A. Biosynthesis, Characterization, and Application of Cu2O Nanoparticles Originated from Cressa Leaf Extract as an Efficient Green Catalyst in the Synthesis of Some Chromenes. J. Iran. Chem. Soc. 2022, 19, 1261–1270. [Google Scholar] [CrossRef]
- Sulaiman, G.M.; Tawfeeq, A.T.; Jaaffer, M.D. Biogenic Synthesis of Copper Oxide Nanoparticles Using Olea Europaea Leaf Extract and Evaluation of Their Toxicity Activities: An in Vivo and in Vitro Study. Biotechnol. Prog. 2018, 34, 218–230. [Google Scholar] [CrossRef] [PubMed]
- Tabrez, S.; Khan, A.U.; Mirza, A.A.; Suhail, M.; Jabir, N.R.; Zughaibi, T.A.; Alam, M. Biosynthesis of Copper Oxide Nanoparticles and Its Therapeutic Efficacy against Colon Cancer. Nanotechnol. Rev. 2022, 11, 1322–1331. [Google Scholar] [CrossRef]
- Mukhopadhyay, R.; Kazi, J.; Debnath, M.C. Synthesis and Characterization of Copper Nanoparticles Stabilized with Quisqualis Indica Extract: Evaluation of Its Cytotoxicity and Apoptosis in B16F10 Melanoma Cells. Biomed. Pharmacother. 2018, 97, 1373–1385. [Google Scholar] [CrossRef] [PubMed]
- Nakhaeepour, Z.; Mashreghi, M.; Matin, M.M.; NakhaeiPour, A.; Housaindokht, M.R. Multifunctional CuO Nanoparticles with Cytotoxic Effects on KYSE30 Esophageal Cancer Cells, Antimicrobial and Heavy Metal Sensing Activities. Life Sci. 2019, 234, 116758. [Google Scholar] [CrossRef] [PubMed]
- Sonbol, H.; AlYahya, S.; Ameen, F.; Alsamhary, K.; Alwakeel, S.; Al-Otaibi, S.; Korany, S. Bioinspired Synthesize of CuO Nanoparticles Using Cylindrospermum Stagnale for Antibacterial, Anticancer and Larvicidal Applications. Appl. Nanosci. 2021, 13, 917–927. [Google Scholar] [CrossRef]
- Raghav, P.K.; Mann, Z.; Ahlawat, S.; Mohanty, S. Mesenchymal Stem Cell-Based Nanoparticles and Scaffolds in Regenerative Medicine. Eur. J. Pharm. 2022, 918, 174657. [Google Scholar] [CrossRef]
- Shen, Q.; Qi, Y.; Kong, Y.; Bao, H.; Wang, Y.; Dong, A.; Wu, H.; Xu, Y. Advances in Copper-Based Biomaterials with Antibacterial and Osteogenic Properties for Bone Tissue Engineering. Front. Bioeng. Biotechnol. 2022, 9, 1526. [Google Scholar] [CrossRef] [PubMed]
- Teno, J.; Corral, A.; Gorrasi, G.; Sorrentino, A.; Benito, J.G. Fibrous Nanocomposites Based on EVA40 Filled with Cu Nanoparticles and Their Potential Antibacterial Action. Mater. Today Commun. 2019, 20, 100581. [Google Scholar] [CrossRef]
- Wang, Y.; Zhang, W.; Yao, Q. Copper-Based Biomaterials for Bone and Cartilage Tissue Engineering. J. Orthop. Transl. 2021, 29, 60–71. [Google Scholar] [CrossRef] [PubMed]
- Yugandhar, P.; Vasavi, T.; Uma Maheswari Devi, P.; Savithramma, N. Bioinspired Green Synthesis of Copper Oxide Nanoparticles from Syzygium Alternifolium (Wt.) Walp: Characterization and Evaluation of Its Synergistic Antimicrobial and Anticancer Activity. Appl. Nanosci. 2017, 7, 417–427. [Google Scholar] [CrossRef]
- Agila, A.; Vimala, J.R.; Bharathy, M.; Dayana Jeyaleela, G.; Sheela, S.M. Anti-Oxidant and Anti-Cancer Activities of Biogenic Synthesized Copper Oxide Nanoparticles. Biomed. Biotechnol. Res. J. (BBRJ) 2022, 6, 341. [Google Scholar] [CrossRef]
- Mahmoud, N.M.R.; Mohamed, H.I.; Ahmed, S.B.; Akhtar, S. Efficient Biosynthesis of CuO Nanoparticles with Potential Cytotoxic Activity. Chem. Pap. 2020, 74, 2825–2835. [Google Scholar] [CrossRef]
- Mohamed, R.M.; Fawzy, E.M.; Shehab, R.A.; Ali, D.M.; Salah, R.A.; Din, E.; Abd, H.M.; Fatah, E. Green Biosynthesis, Structural Characterization and Anticancer Activity of Copper Oxide Nanoparticles from the Brown Alga Cystoseira Myrica. Egypt. J. Aquatic Biol. Fisheries 2021, 25, 341–358. [Google Scholar] [CrossRef]
- Siddiquee, M.A.; ud din Parray, M.; Kamli, M.R.; Malik, M.A.; Mehdi, S.H.; Imtiyaz, K.; Rizvi, M.M.A.; Rajor, H.K.; Patel, R. Biogenic Synthesis, in-Vitro Cytotoxicity, Esterase Activity and Interaction Studies of Copper Oxide Nanoparticles with Lysozyme. J. Mater. Res. Technol. 2021, 13, 2066–2077. [Google Scholar] [CrossRef]
- Sivaraj, R.; Rahman, P.K.S.M.; Rajiv, P.; Narendhran, S.; Venckatesh, R. Biosynthesis and Characterization of Acalypha Indica Mediated Copper Oxide Nanoparticles and Evaluation of Its Antimicrobial and Anticancer Activity. Spectrochim. Acta A Mol. Biomol. Spectrosc. 2014, 129, 255–258. [Google Scholar] [CrossRef] [PubMed]
- Sharma, S.; Kumar, K.; Thakur, N.; Chauhan, S.; Chauhan, M.S. Eco-Friendly Ocimum Tenuiflorum Green Route Synthesis of CuO Nanoparticles: Characterizations on Photocatalytic and Antibacterial Activities. J. Environ. Chem. Eng. 2021, 9, 105395. [Google Scholar] [CrossRef]
- Sabeena, G.; Rajaduraipandian, S.; Pushpalakshmi, E.; Alhadlaq, H.A.; Mohan, R.; Annadurai, G.; Ahamed, M. Green and Chemical Synthesis of CuO Nanoparticles: A Comparative Study for Several in Vitro Bioactivities and in Vivo Toxicity in Zebrafish Embryos. J. King Saud. Univ. Sci. 2022, 34, 102092. [Google Scholar] [CrossRef]
- Sundaram, C.S.; Sivakumar, J.; Suresh Kumar, S.; Ramesh, P.L.N.; Zin, T.; Mahadeva Rao, U.S. Antibacterial and Anticancer Potential of Brassica Oleracea Var Acephala Using Biosynthesised Copper Nanoparticles. Med. J. Malays. 2020, 75, 677–684. [Google Scholar]
- Dulta, K.; Ağçeli, G.K.; Chauhan, P.; Chauhan, P.K. Biogenic Production and Characterization of CuO Nanoparticles by Carica Papaya Leaves and Its Biocompatibility Applications. J. Inorg. Organomet. Polym. Mater. 2021, 31, 1846–1857. [Google Scholar] [CrossRef]
- Gamedze, N.P.; Mthiyane, D.M.N.; Babalola, O.O.; Singh, M.; Onwudiwe, D.C. Physico-Chemical Characteristics and Cytotoxicity Evaluation of CuO and TiO2 Nanoparticles Biosynthesized Using Extracts of Mucuna Pruriens Utilis Seeds. Heliyon 2022, 8, e10187. [Google Scholar] [CrossRef]
- Faisal, S.; Al-Radadi, N.S.; Jan, H.; Abdullah; Shah, S.A.; Shah, S.; Rizwan, M.; Afsheen, Z.; Hussain, Z.; Uddin, M.N.; et al. Curcuma Longa Mediated Synthesis of Copper Oxide, Nickel Oxide and Cu-Ni Bimetallic Hybrid Nanoparticles: Characterization and Evaluation for Antimicrobial, Anti-Parasitic and Cytotoxic Potentials. Coatings 2021, 11, 849. [Google Scholar] [CrossRef]
- Fakhar-e-Alam, M.; Shafiq, Z.; Mahmood, A.; Atif, M.; Anwar, H.; Hanif, A.; Yaqub, N.; Farooq, W.A.; Fatehmulla, A.; Ahmad, S.; et al. Assessment of Green and Chemically Synthesized Copper Oxide Nanoparticles against Hepatocellular Carcinoma. J. King Saud. Univ. Sci. 2021, 33, 101669. [Google Scholar] [CrossRef]
- Liu, Y.; Zeng, Z.; Jiang, O.; Li, Y.X.; Xu, Q.; Jiang, L.J.; Yu, J.; Xu, D. Green Synthesis of CuO NPs, Characterization and Their Toxicity Potential against HepG2 Cells. Mater. Res. Express 2021, 8, 15011. [Google Scholar] [CrossRef]
- Majid, A.; Faraj, H.R. Green Synthesis of Copper Nanoparticles Using Aqueous Extract of Yerba Mate (Llex Paraguarients St. Hill) and Its Anticancer Activity. Int. J. Nanosci. Nanotechnol. 2022, 18, 99–108. [Google Scholar]
- Saravanakumar, K.; Shanmugam, S.; Varukattu, N.B.; MubarakAli, D.; Kathiresan, K.; Wang, M.H. Biosynthesis and Characterization of Copper Oxide Nanoparticles from Indigenous Fungi and Its Effect of Photothermolysis on Human Lung Carcinoma. J. Photochem. Photobiol. B 2019, 190, 103–109. [Google Scholar] [CrossRef] [PubMed]
- Liu, H.; Wang, G.; Liu, J.; Nan, K.; Zhang, J.; Guo, L.; Liu, Y. Green Synthesis of Copper Nanoparticles Using Cinnamomum Zelanicum Extract and Its Applications as a Highly Efficient Antioxidant and Anti-Human Lung Carcinoma. J. Exp. Nanosci. 2021, 16, 411–423. [Google Scholar] [CrossRef]
- Manasa, D.J.; Chandrashekar, K.R.; Madhu Kumar, D.J.; Niranjana, M.; Navada, K.M. Mussaenda frondosa L. Mediated Facile Green Synthesis of Copper Oxide Nanoparticles—Characterization, Photocatalytic and Their Biological Investigations. Arab. J. Chem. 2021, 14, 103184. [Google Scholar] [CrossRef]
- Gnanavel, V.; Palanichamy, V.; Roopan, S.M. Biosynthesis and Characterization of Copper Oxide Nanoparticles and Its Anticancer Activity on Human Colon Cancer Cell Lines (HCT-116). J. Photochem. Photobiol. B 2017, 171, 133–138. [Google Scholar] [CrossRef] [PubMed]
- Prasad, P.R.; Kanchi, S.; Naidoo, E.B. In-Vitro Evaluation of Copper Nanoparticles Cytotoxicity on Prostate Cancer Cell Lines and Their Antioxidant, Sensing and Catalytic Activity: One-Pot Green Approach. J. Photochem. Photobiol. B 2016, 161, 375–382. [Google Scholar] [CrossRef] [PubMed]
- Naz, S.; Tabassum, S.; Freitas Fernandes, N.; Mujahid, M.; Zia, M.; Carcache de Blanco, E.J. Anticancer and Antibacterial Potential of Rhus Punjabensis and CuO Nanoparticles. Nat. Prod. Res. 2020, 34, 720–725. [Google Scholar] [CrossRef]
- Vincent, J.; Lekha, N.C. Bio-Engineered Copper Oxide Nanoparticles Using Citrus Aurantifolia Enzyme Extract and Its Anticancer Activity. J. Clust. Sci. 2022, 33, 45–53. [Google Scholar] [CrossRef]
- Yu, Y.; Fei, Z.; Cui, J.; Miao, B.; Lu, Y.; Wu, J. Biosynthesis of Copper Oxide Nanoparticles and Their in Vitro Cytotoxicity towards Nasopharynx Cancer (KB Cells) Cell Lines. Int. J. Pharmacol. 2018, 14, 609–614. [Google Scholar] [CrossRef]
- Yugandhar, P.; Savithramma, N. Biosynthesis, Characterization and Antimicrobial Studies of Green Synthesized Silver Nanoparticles from Fruit Extract of Syzygium Alternifolium (Wt.) Walp. an Endemic, Endangered Medicinal Tree Taxon. Appl. Nanosci. 2016, 6, 223–233. [Google Scholar] [CrossRef]
- Stoimenov, P.K.; Klinger, R.L.; Marchin, G.L.; Klabunde, K.J. Metal Oxide Nanoparticles as Bactericidal Agents. Langmuir 2002, 18, 6679–6686. [Google Scholar] [CrossRef]
- Baiker, A.; Monti, D.; Fan, Y.S. Deactivation of Copper, Nickel, and Cobalt Catalysts by Interaction with Aliphatic Amines. J. Catal. 1984, 88, 81–88. [Google Scholar] [CrossRef]
- Guo, Z.; Chen, G.; Liu, L.; Zeng, G.; Huang, Z.; Chen, A.; Hu, L. Activity Variation of Phanerochaete Chrysosporium under Nanosilver Exposure by Controlling of Different Sulfide Sources. Sci. Rep. 2016, 6, 20813. [Google Scholar] [CrossRef]
- Bogdanović, U.; Lazić, V.; Vodnik, V.; Budimir, M.; Marković, Z.; Dimitrijević, S. Copper Nanoparticles with High Antimicrobial Activity. Mater. Lett. 2014, 128, 75–78. [Google Scholar] [CrossRef]
- Meghana, S.; Kabra, P.; Chakraborty, S.; Padmavathy, N. Understanding the Pathway of Antibacterial Activity of Copper Oxide Nanoparticles. RSC Adv. 2015, 5, 12293–12299. [Google Scholar] [CrossRef]
- Raja, S.; Ramesh, V.; Thivaharan, V. Green Biosynthesis of Silver Nanoparticles Using Calliandra Haematocephala Leaf Extract, Their Antibacterial Activity and Hydrogen Peroxide Sensing Capability. Arab. J. Chem. 2017, 10, 253–261. [Google Scholar] [CrossRef]
- Ul-Hamid, A.; Dafalla, H.; Hakeem, A.S.; Haider, A.; Ikram, M. In-Vitro Catalytic and Antibacterial Potential of Green Synthesized CuO Nanoparticles against Prevalent Multiple Drug Resistant Bovine Mastitogen Staphylococcus Aureus. Int. J. Mol. Sci. 2022, 23, 2335. [Google Scholar] [CrossRef] [PubMed]
- Gold, K.; Slay, B.; Knackstedt, M.; Gaharwar, A.K. Antimicrobial Activity of Metal and Metal-oxide Based Nanoparticles. Adv. Ther. 2018, 1, 1700033. [Google Scholar] [CrossRef]
- Ghosh, S.; Kaushik, R.; Nagalakshmi, K.; Hoti, S.L.; Menezes, G.A.; Harish, B.N.; Vasan, H.N. Antimicrobial Activity of Highly Stable Silver Nanoparticles Embedded in Agar–Agar Matrix as a Thin Film. Carbohydr. Res. 2010, 345, 2220–2227. [Google Scholar] [CrossRef]
- Li, Y.; Yang, D.; Cui, J. Graphene Oxide Loaded with Copper Oxide Nanoparticles as an Antibacterial Agent against Pseudomonas Syringae Pv. Tomato. RSC Adv. 2017, 7, 38853–38860. [Google Scholar] [CrossRef]
- Silva, C.J.; Barbosa, L.C.A.; Demuner, A.J.; Montanari, R.M.; Pinheiro, A.L.; Dias, I.; Andrade, N.J. Chemical Composition and Antibacterial Activities from the Essential Oils of Myrtaceae Species Planted in Brazil. Quim. Nova 2010, 33, 104–108. [Google Scholar] [CrossRef]
- Arunkumar, B.; Jeyakumar, S.J.; Jothibas, M. A Sol-Gel Approach to the Synthesis of CuO Nanoparticles Using Lantana Camara Leaf Extract and Their Photo Catalytic Activity. Optik 2019, 183, 698–705. [Google Scholar] [CrossRef]
- Deans, S.G.; Ritchie, G. Antibacterial Properties of Plant Essential Oils. Int. J. Food Microbiol. 1987, 5, 165–180. [Google Scholar] [CrossRef]
- Suresh, S.; Vennila, S.; Anita Lett, J.; Fatimah, I.; Mohammad, F.; Al-Lohedan, H.A.; Alshahateet, S.F.; Motalib Hossain, M.A.; Rafie Johan, M. Star Fruit Extract-Mediated Green Synthesis of Metal Oxide Nanoparticles. Inorg. Nano-Met. Chem. 2022, 52, 173–180. [Google Scholar] [CrossRef]
- Nieto-Maldonado, A.; Bustos-Guadarrama, S.; Espinoza-Gomez, H.; Flores-López, L.Z.; Ramirez-Acosta, K.; Alonso-Nuñez, G.; Cadena-Nava, R.D. Green Synthesis of Copper Nanoparticles Using Different Plant Extracts and Their Antibacterial Activity. J. Environ. Chem. Eng. 2022, 10, 107130. [Google Scholar] [CrossRef]
- Vinu, D.; Govindaraju, K.; Vasantharaja, R.; Amreen Nisa, S.; Kannan, M.; Vijai Anand, K. Biogenic Zinc Oxide, Copper Oxide and Selenium Nanoparticles: Preparation, Characterization and Their Anti-Bacterial Activity against Vibrio Parahaemolyticus. J. Nanostructure Chem. 2021, 11, 271–286. [Google Scholar] [CrossRef]
- Shehabeldine, A.M.; Amin, B.H.; Hagras, F.A.; Ramadan, A.A.; Kamel, M.R.; Ahmed, M.A.; Atia, K.H.; Salem, S.S. Potential Antimicrobial and Antibiofilm Properties of Copper Oxide Nanoparticles: Time-Kill Kinetic Essay and Ultrastructure of Pathogenic Bacterial Cells. Appl. Biochem. Biotechnol. 2022, 195, 467–485. [Google Scholar] [CrossRef]
- Sharma, S.; Kumar, K. Aloe-Vera Leaf Extract as a Green Agent for the Synthesis of CuO Nanoparticles Inactivating Bacterial Pathogens and Dye. J. Dispers. Sci. Technol. 2020, 42, 1950–1962. [Google Scholar] [CrossRef]
- Emima Jeronsia, J.; Allwin Joseph, L.; Annie Vinosha, P.; Jerline Mary, A.; Jerome Das, S. Camellia Sinensis Leaf Extract Mediated Synthesis of Copper Oxide Nanostructures for Potential Biomedical Applications. Mater. Today Proc. 2019, 8, 214–222. [Google Scholar] [CrossRef]
- Sackey, J.; Razanamahandry, L.C.; Ntwampe, S.K.O.; Mlungisi, N.; Fall, A.; Kaonga, C.; Nuru, Z.Y. Biosynthesis of CuO Nanoparticles Using Mimosa Hamata Extracts. Mater. Today Proc. 2019, 36, 540–548. [Google Scholar] [CrossRef]
- Nagore, P.; Ghotekar, S.; Mane, K.; Ghoti, A.; Bilal, M.; Roy, A. Structural Properties and Antimicrobial Activities of Polyalthia Longifolia Leaf Extract-Mediated CuO Nanoparticles. Bionanoscience 2021, 11, 579–589. [Google Scholar] [CrossRef]
- Arya, A.; Gupta, K.; Chundawat, T.S.; Vaya, D. Biogenic Synthesis of Copper and Silver Nanoparticles Using Green Alga Botryococcus Braunii and Its Antimicrobial Activity. Bioinorg. Chem. Appl. 2018, 2018, 7879403. [Google Scholar] [CrossRef]
- Nadeem, A.; Sumbal; Ali, J.S.; Latif, M.; Rizvi, Z.F.; Naz, S.; Mannan, A.; Zia, M. Green Synthesis and Characterization of Fe, Cu and Mg Oxide Nanoparticles Using Clematis Orientalis Leaf Extract: Salt Concentration Modulates Physiological and Biological Properties. Mater. Chem. Phys. 2021, 271, 124900. [Google Scholar] [CrossRef]
- Shanmugapriya, J.; Reshma, C.A.; Srinidhi, V.; Harithpriya, K.; Ramkumar, K.M.; Umpathy, D.; Gunasekaran, K.; Subashini, R. Green Synthesis of Copper Nanoparticles Using Withania Somnifera and Its Antioxidant and Antibacterial Activity. J. Nanomater. 2022, 2022, 7967294. [Google Scholar] [CrossRef]
- Razavi, R.; Molaei, R.; Moradi, M.; Tajik, H.; Ezati, P.; Shafipour Yordshahi, A. Biosynthesis of Metallic Nanoparticles Using Mulberry Fruit (Morus alba L.) Extract for the Preparation of Antimicrobial Nanocellulose Film. Appl. Nanosci. 2020, 10, 465–476. [Google Scholar] [CrossRef]
- Raveesha, H.R.; Bharath, H.L.; Vasudha, D.R.; Sushma, B.K.; Pratibha, S.; Dhananjaya, N. Antibacterial and Antiproliferation Activity of Green Synthesized Nanoparticles from Rhizome Extract of Alpinia galangal (L.) Wild. Inorg. Chem. Commun. 2021, 132, 108854. [Google Scholar] [CrossRef]
- Prakash, S.; Elavarasan, N.; Venkatesan, A.; Subashini, K.; Sowndharya, M.; Sujatha, V. Green Synthesis of Copper Oxide Nanoparticles and Its Effective Applications in Biginelli Reaction, BTB Photodegradation and Antibacterial Activity. Adv. Powder Technol. 2018, 29, 3315–3326. [Google Scholar] [CrossRef]
- Naseer, M.; Ramadan, R.; Xing, J.; Samak, N.A. Facile Green Synthesis of Copper Oxide Nanoparticles for the Eradication of Multidrug Resistant Klebsiella Pneumonia and Helicobacter Pylori Biofilms. Int. Biodeterior. Biodegrad. 2021, 159, 105201. [Google Scholar] [CrossRef]
- Naika, H.R.; Lingaraju, K.; Manjunath, K.; Kumar, D.; Nagaraju, G.; Suresh, D.; Nagabhushana, H. Green Synthesis of CuO Nanoparticles Using Gloriosa superba L. Extract and Their Antibacterial Activity. J. Taibah Univ. Sci. 2015, 9, 7–12. [Google Scholar] [CrossRef]
- Lingaraju, K.; Raja Naika, H.; Manjunath, K.; Nagaraju, G.; Suresh, D.; Nagabhushana, H. Rauvolfia Serpentina-Mediated Green Synthesis of CuO Nanoparticles and Its Multidisciplinary Studies. Acta Metall. Sin. (Engl. Lett.) 2015, 28, 1134–1140. [Google Scholar] [CrossRef]
- Kumar, P.P.N.V.; Shameem, U.; Kollu, P.; Kalyani, R.L.; Pammi, S.V.N. Green Synthesis of Copper Oxide Nanoparticles Using Aloe Vera Leaf Extract and Its Antibacterial Activity Against Fish Bacterial Pathogens. Bionanoscience 2015, 5, 135–139. [Google Scholar] [CrossRef]
- Kalaiyan, G.; Suresh, S.; Thambidurai, S.; Prabu, K.M.; Kumar, S.K.; Pugazhenthiran, N.; Kandasamy, M. Green Synthesis of Hierarchical Copper Oxide Microleaf Bundles Using Hibiscus Cannabinus Leaf Extract for Antibacterial Application. J. Mol. Struct. 2020, 1217, 128379. [Google Scholar] [CrossRef]
- Velsankar, K.; Suganya, S.; Muthumari, P.; Mohandoss, S.; Sudhahar, S. Ecofriendly Green Synthesis, Characterization and Biomedical Applications of CuO Nanoparticles Synthesized Using Leaf Extract of Capsicum Frutescens. J. Environ. Chem. Eng. 2021, 9, 106299. [Google Scholar] [CrossRef]
- Aziz, W.J.; Abid, M.A.; Hussein, E.H. Biosynthesis of CuO Nanoparticles and Synergistic Antibacterial Activity Using Mint Leaf Extract. Mater. Technol. 2020, 35, 447–451. [Google Scholar] [CrossRef]
- Angeline Mary, A.P.; Thaminum Ansari, A.; Subramanian, R. Sugarcane Juice Mediated Synthesis of Copper Oxide Nanoparticles, Characterization and Their Antibacterial Activity. J. King Saud. Univ. Sci. 2019, 31, 1103–1114. [Google Scholar] [CrossRef]
- Andualem, W.W.; Sabir, F.K.; Mohammed, E.T.; Belay, H.H.; Gonfa, B.A. Synthesis of Copper Oxide Nanoparticles Using Plant Leaf Extract of Catha Edulis and Its Antibacterial Activity. J. Nanotechnol. 2020, 2020, 2932434. [Google Scholar] [CrossRef]
- Alishah, H.; Pourseyedi, S.; Ebrahimipour, S.Y.; Mahani, S.E.; Rafiei, N. Green Synthesis of Starch-Mediated CuO Nanoparticles: Preparation, Characterization, Antimicrobial Activities and in Vitro MTT Assay against MCF-7 Cell Line. Rend. Lincei 2017, 28, 65–71. [Google Scholar] [CrossRef]
- Das, P.; Ghosh, S.; Ghosh, R.; Dam, S.; Baskey, M. Madhuca Longifolia Plant Mediated Green Synthesis of Cupric Oxide Nanoparticles: A Promising Environmentally Sustainable Material for Waste Water Treatment and Efficient Antibacterial Agent. J. Photochem. Photobiol. B 2018, 189, 66–73. [Google Scholar] [CrossRef] [PubMed]
- Bocarando-Chacón, J.; Vargas-Vazquez, D.; Martinez-Suarez, F.; Flores-Juárez, C.; Cortez-Valadez, M. Surface-Enhanced Raman Scattering and Antibacterial Properties from Copper Nanoparticles Obtained by Green Chemistry. Appl. Phys. A Mater. Sci. Process. 2020, 126, 530. [Google Scholar] [CrossRef]
- Vasantharaj, S.; Shivakumar, P.; Sathiyavimal, S.; Senthilkumar, P.; Vijayaram, S.; Shanmugavel, M.; Pugazhendhi, A. Antibacterial Activity and Photocatalytic Dye Degradation of Copper Oxide Nanoparticles (CuONPs) Using Justicia Gendarussa. Appl. Nanosci. 2021, 13, 2295–2302. [Google Scholar] [CrossRef]
- Vasantharaj, S.; Sathiyavimal, S.; Saravanan, M.; Senthilkumar, P.; Gnanasekaran, K.; Shanmugavel, M.; Manikandan, E.; Pugazhendhi, A. Synthesis of Ecofriendly Copper Oxide Nanoparticles for Fabrication over Textile Fabrics: Characterization of Antibacterial Activity and Dye Degradation Potential. J. Photochem. Photobiol. B 2019, 191, 143–149. [Google Scholar] [CrossRef]
- Vaidehi, D.; Bhuvaneshwari, V.; Bharathi, D.; Sheetal, B.P. Antibacterial and Photocatalytic Activity of Copper Oxide Nanoparticles Synthesized Using Solanum Lycopersicum Leaf Extract. Mater. Res. Express 2018, 5, 85403. [Google Scholar] [CrossRef]
- Tamil Elakkiya, V.; Meenakshi, R.V.; Senthil Kumar, P.; Karthik, V.; Ravi Shankar, K.; Sureshkumar, P.; Hanan, A. Green Synthesis of Copper Nanoparticles Using Sesbania Aculeata to Enhance the Plant Growth and Antimicrobial Activities. Int. J. Environ. Sci. Technol. 2022, 19, 1313–1322. [Google Scholar] [CrossRef]
- Tahvilian, R.; Zangeneh, M.M.; Falahi, H.; Sadrjavadi, K.; Jalalvand, A.R.; Zangeneh, A. Green Synthesis and Chemical Characterization of Copper Nanoparticles Using Allium Saralicum Leaves and Assessment of Their Cytotoxicity, Antioxidant, Antimicrobial, and Cutaneous Wound Healing Properties. Appl. Organomet. Chem. 2019, 33, 268–2605. [Google Scholar] [CrossRef]
- Taherzadeh Soureshjani, P.; Shadi, A.; Mohammadsaleh, F. Algae-Mediated Route to Biogenic Cuprous Oxide Nanoparticles and Spindle-like CaCO3: A Comparative Study, Facile Synthesis, and Biological Properties. RSC Adv. 2021, 11, 10599–10609. [Google Scholar] [CrossRef]
- Sivaraj, R.; Rahman, P.K.S.M.; Rajiv, P.; Salam, H.A.; Venckatesh, R. Biogenic Copper Oxide Nanoparticles Synthesis Using Tabernaemontana Divaricate Leaf Extract and Its Antibacterial Activity against Urinary Tract Pathogen. Spectrochim. Acta A Mol. Biomol. Spectrosc. 2014, 133, 178–181. [Google Scholar] [CrossRef]
- Shende, S.; Ingle, A.P.; Gade, A.; Rai, M. Green Synthesis of Copper Nanoparticles by Citrus Medica Linn. (Idilimbu) Juice and Its Antimicrobial Activity. World J. Microbiol. Biotechnol. 2015, 31, 865–873. [Google Scholar] [CrossRef]
- Seetha, J.; Mallavarapu, U.; Mesa, A. In Situ Green Synthesis of Antibacterial Copper Nanocomposite Cotton Fabrics Using Achyranthes Aspera Leaf Extract. J. Appl. Pharm. Sci. 2020, 10, 104–109. [Google Scholar] [CrossRef]
- Roy, K.; Sarkar, C.K.; Ghosh, C.K. Antibacterial Mechanism of Biogenic Copper Nanoparticles Synthesized Using Heliconia Psittacorum Leaf Extract. Nanotechnol. Rev. 2016, 5, 529–536. [Google Scholar] [CrossRef]
- Ramzan, M.; Obodo, R.M.; Mukhtar, S.; Ilyas, S.Z.; Aziz, F.; Thovhogi, N. Green Synthesis of Copper Oxide Nanoparticles Using Cedrus Deodara Aqueous Extract for Antibacterial Activity. Mater. Today Proc. 2019, 36, 576–581. [Google Scholar] [CrossRef]
- Rafique, M.; Tahir, M.B.; Irshad, M.; Nabi, G.; Gillani, S.S.A.; Iqbal, T.; Mubeen, M. Novel Citrus Aurantifolia Leaves Based Biosynthesis of Copper Oxide Nanoparticles for Environmental and Wastewater Purification as an Efficient Photocatalyst and Antibacterial Agent. Optik 2020, 219, 165138. [Google Scholar] [CrossRef]
- Nagaraj, E.; Karuppannan, K.; Shanmugam, P.; Venugopal, S. Exploration of Bio-Synthesized Copper Oxide Nanoparticles Using Pterolobium Hexapetalum Leaf Extract by Photocatalytic Activity and Biological Evaluations. J. Clust. Sci. 2019, 30, 1157–1168. [Google Scholar] [CrossRef]
- Hosseinzadeh, R.; Mohadjerani, M.; Mesgar, S. Green Synthesis of Copper Oxide Nanoparticles Using Aqueous Extract of Convolvulus percicus L. as Reusable Catalysts in Cross-Coupling Reactions and Their Antibacterial Activity. IET Nanobiotechnol. 2017, 11, 725–730. [Google Scholar] [CrossRef]
- Gopalakrishnan, V.; Muniraj, S. Neem Flower Extract Assisted Green Synthesis of Copper Nanoparticles—Optimisation, Characterisation and Anti-Bacterial Study. Mater. Today Proc. 2019, 36, 832–836. [Google Scholar] [CrossRef]
- Gholami, M.; Azarbani, F.; Hadi, F.; Murthy, H.C.A. Eco-Friendly Synthesis of Copper Nanoparticles Using Mentha Pulegium Leaf Extract: Characterisation, Antibacterial and Cytotoxic Activities. Mater. Technol. 2022, 37, 1523–1531. [Google Scholar] [CrossRef]
- Fernandez, A.C.; KM, A.; Rajagopal, R. Green Synthesis, Characterization, Catalytic and Antibacterial Studies of Copper Iodide Nanoparticles Synthesized Using Brassica Oleracea Var. Capitata f. Rubra Extract. Chem. Data Collect. 2020, 29, 100538. [Google Scholar] [CrossRef]
- Fatma, S.; Kalainila, P.; Fatma, S.; Renganathan, S. Green Synthesis of Copper Nanoparticle from Passiflora Foetida Leaf Extract and Its Antibacterial Activity. Asian J. Pharm. Clin. Res. 2017, 10, 79–83. [Google Scholar] [CrossRef]
- Zaman, M.B.; Poolla, R.; Singh, P.; Gudipati, T. Biogenic Synthesis of CuO Nanoparticles Using Tamarindus indica L. and a Study of Their Photocatalytic and Antibacterial Activity. Environ. Nanotechnol. Monit. Manag. 2020, 14, 100346. [Google Scholar] [CrossRef]
- Velmurugan, P.; Jang, S.H.; Hong, S.C.; Yi, P.I.; Jung, E.S.; Park, J.S.; Sivakumar, S. Green Crystallization and Characterization of Copper Oxide (CuO) Nanoparticles Using Anacardium Occidentale Shell Liquid and Their Biomedical Applications. J. Nano Res. 2016, 40, 167–173. [Google Scholar] [CrossRef]
- Taha, J.H.; Abbas, N.K.; Al-Attraqchi, A.A.F. Green Synthesis and Evaluation of Copper Oxide Nanoparticles Using Fig Leaves and Their Antifungal and Antibacterial Activities. Int. J. Drug. Deliv. Technol. 2020, 10, 378–382. [Google Scholar] [CrossRef]
- Sharma, P.; Pant, S.; Dave, V.; Tak, K.; Sadhu, V.; Reddy, K.R. Green Synthesis and Characterization of Copper Nanoparticles by Tinospora Cardifolia to Produce Nature-Friendly Copper Nano-Coated Fabric and Their Antimicrobial Evaluation. J. Microbiol. Methods 2019, 160, 107–116. [Google Scholar] [CrossRef]
- Reddeppa, M.; Reddy, R.C.K.; Raj, Y.P.; Rani, T.S. Green Synthesis of Copper Nanoparticles: Evaluation of Catalytic and Antibacterial Activity. Asian J. Chem. 2019, 31, 622–626. [Google Scholar] [CrossRef]
- Jain, V.; Khusnud, A.; Tiwari, J.; Mishra, M.; Mishra, P.K. Biogenic Proceedings and Characterization of Copper-Gold Nanoalloy: Evaluation of Their Innate Antimicrobial and Catalytic Activities. Inorg. Nano-Met. Chem. 2021, 51, 230–238. [Google Scholar] [CrossRef]
- Fazal, A.; Ara, S.; Ishaq, M.T.; Sughra, K. Green Fabrication of Copper Oxide Nanoparticles: A Comparative Antibacterial Study Against Gram-Positive and Gram-Negative Bacteria. Arab. J. Sci. Eng. 2022, 47, 523–533. [Google Scholar] [CrossRef]
- Benassai, E.; Del Bubba, M.; Ancillotti, C.; Colzi, I.; Gonnelli, C.; Calisi, N.; Salvatici, M.C.; Casalone, E.; Ristori, S. Green and Cost-Effective Synthesis of Copper Nanoparticles by Extracts of Non-Edible and Waste Plant Materials from Vaccinium Species: Characterization and Antimicrobial Activity. Mater. Sci. Eng. C. 2021, 119, 111453. [Google Scholar] [CrossRef]
- Suramwar, N.V.; Thakare, S.R.; Karade, N.N.; Khaty, N.T. Green Synthesis of Predominant (1 1 1) Facet CuO Nanoparticles: Heterogeneous and Recyclable Catalyst for N-Arylation of Indoles. J. Mol. Catal. A Chem. 2012, 359, 28–34. [Google Scholar] [CrossRef]
- Manjari, G.; Saran, S.; Arun, T.; Vijaya Bhaskara Rao, A.; Devipriya, S.P. Catalytic and Recyclability Properties of Phytogenic Copper Oxide Nanoparticles Derived from Aglaia Elaeagnoidea Flower Extract. J. Saudi Chem. Soc. 2017, 21, 610–618. [Google Scholar] [CrossRef]
- Kiriyanthan, R.M.; Sharmili, S.A.; Balaji, R.; Jayashree, S.; Mahboob, S.; Al-Ghanim, K.A.; Al-Misned, F.; Ahmed, Z.; Govindarajan, M.; Vaseeharan, B. Photocatalytic, Antiproliferative and Antimicrobial Properties of Copper Nanoparticles Synthesized Using Manilkara Zapota Leaf Extract: A Photodynamic Approach. Photodiagnosis Photodyn. Ther. 2020, 32, 102058. [Google Scholar] [CrossRef]
- Wang, Z.L. Characterizing the Structure and Properties of Individual Wire-Like Nanoentities. Adv. Mater. 2000, 12, 1295–1298. [Google Scholar] [CrossRef]
- Nasrollahzadeh, M.; Sajadi, S.M.; Maham, M. Tamarix Gallica Leaf Extract Mediated Novel Route for Green Synthesis of CuO Nanoparticles and Their Application for N-Arylation of Nitrogen-Containing Heterocycles under Ligand-Free Conditions. RSC Adv. 2015, 5, 40628–40635. [Google Scholar] [CrossRef]
- Selvam, K.; Sudhakar, C.; Selvankumar, T.; Senthilkumar, B.; Selva Kumar, R.; Kannan, N. Biomimetic Synthesis of Copper Nanoparticles Using Rhizome Extract of Corallocarbus Epigaeus and Their Bactericidal with Photocatalytic Activity. SN Appl. Sci. 2020, 2, 1–7. [Google Scholar] [CrossRef]
- Dulta, K.; Koşarsoy Ağçeli, G.; Chauhan, P.; Jasrotia, R.; Chauhan, P.K.; Ighalo, J.O. Multifunctional CuO Nanoparticles with Enhanced Photocatalytic Dye Degradation and Antibacterial Activity. Sustain. Environ. Res. 2022, 32, 1–15. [Google Scholar] [CrossRef]
- Sorbiun, M.; Shayegan Mehr, E.; Ramazani, A.; Taghavi Fardood, S. Green Synthesis of Zinc Oxide and Copper Oxide Nanoparticles Using Aqueous Extract of Oak Fruit Hull (Jaft) and Comparing Their Photocatalytic Degradation of Basic Violet 3. Int. J. Environ. Res. 2018, 12, 29–37. [Google Scholar] [CrossRef]
- Pakzad, K.; Alinezhad, H.; Nasrollahzadeh, M. Green Synthesis of Ni/Fe3O4 and CuO Nanoparticles Using Euphorbia Maculata Extract as Photocatalysts for the Degradation of Organic Pollutants under UV-Irradiation. Ceram. Int. 2019, 45, 17173–17182. [Google Scholar] [CrossRef]
- Wang, G.; Zhao, K.; Gao, C.; Wang, J.; Mei, Y.; Zheng, X.; Zhu, P. Green Synthesis of Copper Nanoparticles Using Green Coffee Bean and Their Applications for Efficient Reduction of Organic Dyes. J. Environ. Chem. Eng. 2021, 9, 105331. [Google Scholar] [CrossRef]
- Kushwah, M.; Yadav, R.; Gaur, M.S.; Berlina, A.N. Copper Nanoparticles-Catalysed Reduction of Methylene Blue and High-Sensitive Chemiluminescence Detection of Mercury. Int. J. Environ. Anal. Chem. 2021, 103, 2385–2401. [Google Scholar] [CrossRef]
- Subha, V.; Thulasimuthu, E.; Ilangovan, R. Bactericidal Action of Copper Nanoparticles Synthesized from Methanolic Root Extract of Asparagus Racemosus. Mater. Today Proc. 2022, 64, 1761–1767. [Google Scholar] [CrossRef]
- Noman, M.; Shahid, M.; Ahmed, T.; Niazi, M.B.K.; Hussain, S.; Song, F.; Manzoor, I. Use of Biogenic Copper Nanoparticles Synthesized from a Native Escherichia Sp. as Photocatalysts for Azo Dye Degradation and Treatment of Textile Effluents. Environ. Pollut. 2020, 257, 113514. [Google Scholar] [CrossRef] [PubMed]
- Kumar, B.; Smita, K.; Debut, A.; Cumbal, L. Andean Sacha Inchi (Plukenetiavolubilis L.) Leaf-Mediated Synthesis of Cu2O Nanoparticles: A Low-Cost Approach. Bioengineering 2020, 7, 54. [Google Scholar] [CrossRef]
- Surendhiran, S.; Gowthambabu, V.; Balamurugan, A.; Sudha, M.; Senthil Kumar, V.B.; Suresh, K.C. Rapid Green Synthesis of CuO Nanoparticles and Evaluation of Its Photocatalytic and Electrochemical Corrosion Inhibition Performance. Mater. Today Proc. 2021, 47, 1011–1016. [Google Scholar] [CrossRef]
- Subha, V.; Kirubanandan, S.; Arulmozhi, M.; Renganathan, S. Green Synthesis of Copper Nanoparticles Using o Dina Woider Gum Extract and Their Effect on Photocatalytic Dye Degradation. Chemist 2018, 91, 9–19. [Google Scholar]
- Kerour, A.; Boudjadar, S.; Bourzami, R.; Allouche, B. Eco-Friendly Synthesis of Cuprous Oxide (Cu2O) Nanoparticles and Improvement of Their Solar Photocatalytic Activities. J. Solid. State Chem. 2018, 263, 79–83. [Google Scholar] [CrossRef]
- Sinha, T.; Ahmaruzzaman, M. Biogenic Synthesis of Cu Nanoparticles and Its Degradation Behavior for Methyl Red. Mater. Lett. 2015, 159, 168–171. [Google Scholar] [CrossRef]
- Al-Jubouri, A.K.; Al-Saadi, N.H.; Kadhim, M.A. Green Synthesis of Copper Nanoparticles from Myrtus Communis Leaves Extract: Characterization, Antioxidant and Catalytic Activity. Iraqi J. Agric. Sci. 2022, 53, 471–486. [Google Scholar] [CrossRef]
- Chowdhury, R.; Khan, A.; Rashid, M.H. Green Synthesis of CuO Nanoparticles Using: Lantana Camara Flower Extract and Their Potential Catalytic Activity towards the Aza-Michael Reaction. RSC Adv. 2020, 10, 14374–14385. [Google Scholar] [CrossRef]
- Phang, Y.-K.; Aminuzzaman, M.; Akhtaruzzaman, M.; Muhammad, G.; Ogawa, S.; Watanabe, A.; Tey, L.-H. Green Synthesis and Characterization of CuO Nanoparticles Derived from Papaya Peel Extract for the Photocatalytic Degradation of Palm Oil Mill Effluent (POME). Sustainability 2021, 13, 1–15. [Google Scholar] [CrossRef]
- Ssekatawa, K.; Byarugaba, D.K.; Angwe, M.K.; Wampande, E.M.; Ejobi, F.; Nxumalo, E.; Maaza, M.; Sackey, J.; Kirabira, J.B. Phyto-Mediated Copper Oxide Nanoparticles for Antibacterial, Antioxidant and Photocatalytic Performances. Front. Bioeng. Biotechnol. 2022, 10, 820218. [Google Scholar] [CrossRef] [PubMed]
- Haseena, S.; Shanavas, S.; Duraimurugan, J.; Ahamad, T.; Alshehri, S.M.; Acevedo, R.; Jayamani, N. Investigation on Photocatalytic and Antibacterial Ability of Green Treated Copper Oxide Nanoparticles Using Artabotrys Hexapetalus and Bambusa Vulgaris Plant Extract. Mater. Res. Express 2019, 6. [Google Scholar] [CrossRef]
- Rafique, M.; Shafiq, F.; Ali Gillani, S.S.; Shakil, M.; Tahir, M.B.; Sadaf, I. Eco-Friendly Green and Biosynthesis of Copper Oxide Nanoparticles Using Citrofortunella Microcarpa Leaves Extract for Efficient Photocatalytic Degradation of Rhodamin B Dye Form Textile Wastewater. Optik 2020, 208, 164053. [Google Scholar] [CrossRef]
- Saif, S.; Adil, S.F.; Khan, M.; Hatshan, M.R.; Khan, M.; Bashir, F. Adsorption Studies of Arsenic(V) by Cuo Nanoparticles Synthesized by Phyllanthus Emblica Leaf-Extract-Fueled Solution Combustion Synthesis. Sustainability 2021, 13, 2017. [Google Scholar] [CrossRef]
- Borah, R.; Saikia, E.; Bora, S.J.; Chetia, B. On-Water Synthesis of Phenols Using Biogenic Cu2O Nanoparticles without Using H2O2. RSC Adv. 2016, 6, 100443–100447. [Google Scholar] [CrossRef]
- Priya, D.D.; Roopan, S.M.; Singh, S.; Bansal, J.; Shanavas, S.; Khan, M.R.; Al-Dhabi, N.A.; Arasu, M.V.; Duraipandiyan, V. Phyto-Synthesis of CuO Nano-Particles and Its Catalytic Application in C-S Bond Formation. Mater. Lett. 2020, 266, 127486. [Google Scholar] [CrossRef]
- Veisi, H.; Hemmati, S.; Javaheri, H. N-Arylation of Indole and Aniline by a Green Synthesized CuO Nanoparticles Mediated by Thymbra Spicata Leaves Extract as a Recyclable and Heterogeneous Nanocatalyst. Tetrahedron Lett. 2017, 58, 3155–3159. [Google Scholar] [CrossRef]
- Veisi, H.; Karmakar, B.; Tamoradi, T.; Hemmati, S.; Hekmati, M.; Hamelian, M. Biosynthesis of CuO Nanoparticles Using Aqueous Extract of Herbal Tea (Stachys Lavandulifolia) Flowers and Evaluation of Its Catalytic Activity. Sci. Rep. 2021, 11, 1–13. [Google Scholar] [CrossRef]
- Singh, H.P.; Sharma, S.; Sharma, S.K.; Sharma, R.K. Biogenic Synthesis of Metal Nanocatalysts Using Mimosa Pudica Leaves for Efficient Reduction of Aromatic Nitrocompounds. RSC Adv. 2014, 4, 37816–37825. [Google Scholar] [CrossRef]
- Mohan, S.; Singh, Y.; Verma, D.K.; Hasan, S.H. Synthesis of CuO Nanoparticles through Green Route Using Citrus Limon Juice and Its Application as Nanosorbent for Cr(VI) Remediation: Process Optimization with RSM and ANN-GA Based Model. Process. Saf. Environ. Prot. 2015, 96, 156–166. [Google Scholar] [CrossRef]
- Singh, J.; Kumar, V.; Kim, K.-H.; Rawat, M. Biogenic Synthesis of Copper Oxide Nanoparticles Using Plant Extract and Its Prodigious Potential for Photocatalytic Degradation of Dyes. Environ. Res. 2019, 177, 108569. [Google Scholar] [CrossRef] [PubMed]
- Nasrollahzadeh, M.; Maham, M.; Mohammad Sajadi, S. Green Synthesis of CuO Nanoparticles by Aqueous Extract of Gundelia Tournefortii and Evaluation of Their Catalytic Activity for the Synthesis of N-Monosubstituted Ureas and Reduction of 4-Nitrophenol. J. Colloid. Interface Sci. 2015, 455, 245–253. [Google Scholar] [CrossRef] [PubMed]
- Nasrollahzadeh, M.; Mohammad Sajadi, S.; Rostami-Vartooni, A. Green Synthesis of CuO Nanoparticles by Aqueous Extract of Anthemis Nobilis Flowers and Their Catalytic Activity for the A3 Coupling Reaction. J. Colloid. Interface Sci. 2015, 459, 183–188. [Google Scholar] [CrossRef]
- Nasrollahzadeh, M.; Sajadi, S.M.; Rostami-Vartooni, A.; Hussin, S.M. Green Synthesis of CuO Nanoparticles Using Aqueous Extract of Thymus vulgaris L. Leaves and Their Catalytic Performance for N-Arylation of Indoles and Amines. J. Colloid. Interface Sci. 2016, 466, 113–119. [Google Scholar] [CrossRef]
- Ghosh, M.K.; Sahu, S.; Gupta, I.; Ghorai, T.K. Green Synthesis of Copper Nanoparticles from an Extract OfJatropha Curcasleaves: Characterization, Optical Properties, CT-DNA Binding and Photocatalytic Activity. RSC Adv. 2020, 10, 22027–22035. [Google Scholar] [CrossRef]
- Chandraker, S.K.; Lal, M.; Ghosh, M.K.; Tiwari, V.; Ghorai, T.K.; Shukla, R. Green Synthesis of Copper Nanoparticles Using Leaf Extract of Ageratum Houstonianum Mill. and Study of Their Photocatalytic and Antibacterial Activities. Nano Express 2020, 1, 010033. [Google Scholar] [CrossRef]
- Nasrollahzadeh, M.; Sajadi, S.M.; Khalaj, M. Green Synthesis of Copper Nanoparticles Using Aqueous Extract of the Leaves of Euphorbia Esula L and Their Catalytic Activity for Ligand-Free Ullmann-Coupling Reaction and Reduction of 4-Nitrophenol. RSC Adv. 2014, 4, 47313–47318. [Google Scholar] [CrossRef]
- Nasrollahzadeh, M.; Mohammad Sajadi, S. Green Synthesis of Copper Nanoparticles Using Ginkgo biloba L. Leaf Extract and Their Catalytic Activity for the Huisgen [3+2] Cycloaddition of Azides and Alkynes at Room Temperature. J. Colloid. Interface Sci. 2015, 457, 141–147. [Google Scholar] [CrossRef]
- Nasrollahzadeh, M.; Sajadi, S.M.; Mirzaei, Y. An Efficient One-Pot Synthesis of 1,4-Disubstituted 1,2,3-Triazoles at Room Temperature by Green Synthesized Cu NPs Using Otostegia Persica Leaf Extract. J. Colloid. Interface Sci. 2016, 468, 156–162. [Google Scholar] [CrossRef] [PubMed]
- Nasrollahzadeh, M.; Momeni, S.S.; Sajadi, S.M. Green Synthesis of Copper Nanoparticles Using Plantago Asiatica Leaf Extract and Their Application for the Cyanation of Aldehydes Using K 4 Fe(CN) 6. J. Colloid. Interface Sci. 2017, 506, 471–477. [Google Scholar] [CrossRef]
- Ullah, H.; Ullah, Z.; Fazal, A.; Irfan, M. Use of Vegetable Waste Extracts for Controlling Microstructure of CuO Nanoparticles: Green Synthesis, Characterization, and Photocatalytic Applications. J. Chem. 2017, 2017, 2721798. [Google Scholar] [CrossRef]
- Nazar, N.; Bibi, I.; Kamal, S.; Iqbal, M.; Nouren, S.; Jilani, K.; Umair, M.; Ata, S. Cu Nanoparticles Synthesis Using Biological Molecule of P. Granatum Seeds Extract as Reducing and Capping Agent: Growth Mechanism and Photo-Catalytic Activity. Int. J. Biol. Macromol. 2018, 106, 1203–1210. [Google Scholar] [CrossRef]
- Sharma, P.; Pant, S.; Poonia, P.; Kumari, S.; Dave, V.; Sharma, S. Green Synthesis of Colloidal Copper Nanoparticles Capped with Tinospora Cordifolia and Its Application in Catalytic Degradation in Textile Dye: An Ecologically Sound Approach. J. Inorg. Organomet. Polym. Mater. 2018, 28, 2463–2472. [Google Scholar] [CrossRef]
- Olajire, A.A.; Ifediora, N.F.; Bello, M.D.; Benson, N.U. Green Synthesis of Copper Nanoparticles Using Alchornea Laxiflora Leaf Extract and Their Catalytic Application for Oxidative Desulphurization of Model Oil. Iran. J. Sci. Technol. Trans. A Sci. 2018, 42, 1935–1946. [Google Scholar] [CrossRef]
- Bagherzadeh, M.; Safarkhani, M.; Ghadiri, A.M.; Kiani, M.; Fatahi, Y.; Taghavimandi, F.; Daneshgar, H.; Abbariki, N.; Makvandi, P.; Varma, R.S.; et al. Bioengineering of CuO Porous (Nano)Particles: Role of Surface Amination in Biological, Antibacterial, and Photocatalytic Activity. Sci. Rep. 2022, 12, 15351. [Google Scholar] [CrossRef]
- Ismail, M.; Gul, S.; Khan, M.I.; Khan, M.A.; Asiri, A.M.; Khan, S.B. Green Synthesis of Zerovalent Copper Nanoparticles for Efficient Reduction of Toxic Azo Dyes Congo Red and Methyl Orange. Green. Process. Synth. 2019, 8, 135–143. [Google Scholar] [CrossRef]
- Kayalvizhi, S.; Sengottaiyan, A.; Selvankumar, T.; Senthilkumar, B.; Sudhakar, C.; Selvam, K. Eco-Friendly Cost-Effective Approach for Synthesis of Copper Oxide Nanoparticles for Enhanced Photocatalytic Performance. Optik 2020, 202, 163507. [Google Scholar] [CrossRef]
- Devi, T.B.; Ahmaruzzaman, M. Facile Preparation of Copper Nanaoparticles Using Coccinia Grandis Fruit Extract and Its Application towards the Reduction of Toxic Nitro Compound. Mater. Today Proc. 2018, 5, 2098–2104. [Google Scholar] [CrossRef]
- Devi, T.B.; Ahmaruzzaman, M. Removal of Perilous Nitrocompound from Aqueous Phase Using Biogenic Copper Nanoparticles as a Catalyst. Indian. J. Chem. Technol. 2018, 25, 561–564. [Google Scholar]
- Buazar, F.; Sweidi, S.; Badri, M.; Kroushawi, F. Biofabrication of Highly Pure Copper Oxide Nanoparticles Using Wheat Seed Extract and Their Catalytic Activity: A Mechanistic Approach. Green. Process. Synth. 2019, 8, 691–702. [Google Scholar] [CrossRef]
- Siddiqi, K.S.; Rashid, M.; Rahman, A.; Tajuddin; Husen, A.; Rehman, S. Green Synthesis, Characterization, Antibacterial and Photocatalytic Activity of Black Cupric Oxide Nanoparticles. Agric. Food Secur. 2020, 9, 17. [Google Scholar] [CrossRef]
- Karuppannan, S.K.; Ramalingam, R.; Mohamed Khalith, S.B.; Dowlath, M.J.H.; Darul Raiyaan, G.I.; Arunachalam, K.D. Characterization, Antibacterial and Photocatalytic Evaluation of Green Synthesized Copper Oxide Nanoparticles. Biocatal. Agric. Biotechnol. 2021, 31, 101904. [Google Scholar] [CrossRef]
- Mahmoud, A.E.D.; Al-Qahtani, K.M.; Alflaij, S.O.; Al-Qahtani, S.F.; Alsamhan, F.A. Green Copper Oxide Nanoparticles for Lead, Nickel, and Cadmium Removal from Contaminated Water. Sci. Rep. 2021, 11, 12547. [Google Scholar] [CrossRef]
- Roy, K.; Ghosh, C.K.; Sarkar, C.K. Degradation of Toxic Textile Dyes and Detection of Hazardous Hg2+ by Low-Cost Bioengineered Copper Nanoparticles Synthesized Using Impatiens Balsamina Leaf Extract. Mater. Res. Bull. 2017, 94, 257–262. [Google Scholar] [CrossRef]
- Khani, R.; Roostaei, B.; Bagherzade, G.; Moudi, M. Green Synthesis of Copper Nanoparticles by Fruit Extract of Ziziphus Spina-Christi (L.) Willd.: Application for Adsorption of Triphenylmethane Dye and Antibacterial Assay. J. Mol. Liq. 2018, 255, 541–549. [Google Scholar] [CrossRef]
- Roselyn Maheo, A.; Scholastica Mary Vithiya, B.; Augustine Arul Prasad, T.; Tamizhdurai, P.; Mangesh, V.L. Biosynthesis, Characterization, Biological and Photo Catalytic Investigations of Elsholtzia Blanda and Chitosan Mediated Copper Oxide Nanoparticles: Biosynthesis, Characterization, Biological and Photo Catalytic Investigations. Arab. J. Chem. 2022, 15, 103661. [Google Scholar] [CrossRef]
- Raina, S.; Roy, A.; Bharadvaja, N. Degradation of Dyes Using Biologically Synthesized Silver and Copper Nanoparticles. Environ. Nanotechnol. Monit. Manag. 2020, 13, 100278. [Google Scholar] [CrossRef]
- Prabhu, S.; Thangadurai, T.D.; Bharathy, P.V.; Kalugasalam, P. Investigation on the Photocatalytic and Antibacterial Activities of Green Synthesized Cupric Oxide Nanoparticles Using Clitoria Ternatea. Iran. J. Catal. 2022, 12, 1–11. [Google Scholar] [CrossRef]
- Tamuly, C.; Saikia, I.; Hazarika, M.; Das, M.R. Reduction of Aromatic Nitro Compounds Catalyzed by Biogenic CuO Nanoparticles. RSC Adv. 2014, 4, 53229–53236. [Google Scholar] [CrossRef]
- Alinezhad, H.; Pakzad, K. C-S Cross-Coupling Reaction Using Novel and Green Synthesized CuO Nanoparticles Assisted by Euphorbia Maculata Extract. Appl. Organomet. Chem. 2019, 33, e5144. [Google Scholar] [CrossRef]
- Batool, M.; Qureshi, M.Z.; Hashmi, F.; Mehboob, N.; Daoush, W.M. Adsorption of Congo Red (Acid Red 28) Azodye on Biosynthesized Copper Oxide Nanoparticles. Asian J. Chem. 2019, 31, 707–713. [Google Scholar] [CrossRef]
- Reddeppa, M.; Srujana, P.; Chenna Krishna Reddy, R.; Reddy, T.V.; Rani, T.S. Phyto-Mediated Green Synthesis of Copper Nanoparticles: Study of Catalytic Performance and Antibacterial Activity. Rasayan J. Chem. 2020, 13, 1885–1893. [Google Scholar] [CrossRef]
- Nasrollahzadeh, M.; Sajadi, S.M.; Maham, M.; Dasmeh, H.R. In Situ Green Synthesis of Cu Nanoparticles Supported on Natural Natrolite Zeolite for the Reduction of 4-Nitrophenol, Congo Red and Methylene Blue. IET Nanobiotechnol. 2017, 11, 538–545. [Google Scholar] [CrossRef]
- Hussain, N.; Gogoi, P.; Azhaganand, V.K.; Shelke, M.V.; Das, M.R. Green Synthesis of Stable Cu(0) Nanoparticles onto Reduced Graphene Oxide Nanosheets: A Reusable Catalyst for the Synthesis of Symmetrical Biaryls from Arylboronic Acids under Base-Free Conditions. Catal. Sci. Technol. 2015, 5, 1251–1260. [Google Scholar] [CrossRef]
- Pary, F.F.; Addanki Tirumala, R.T.; Andiappan, M.; Nelson, T.L. Copper(i) Oxide Nanoparticle-Mediated C-C Couplings for Synthesis of Polyphenylenediethynylenes: Evidence for a Homogeneous Catalytic Pathway. Catal. Sci. Technol. 2021, 11, 2414–2421. [Google Scholar] [CrossRef]
- Ley, S.V.; Thomas, A.W. Modern Synthetic Methods for Copper-Mediated C(Aryl)-O, C(Aryl)-N, and C(Aryl)-S Bond Formation. Angew. Chem. Int. Ed. 2003, 42, 5400–5449. [Google Scholar] [CrossRef]
- Barman, K.; Dutta, P.; Chowdhury, D.; Baruah, P.K. Green Biosynthesis of Copper Oxide Nanoparticles Using Waste Colocasia Esculenta Leaves Extract and Their Application as Recyclable Catalyst Towards the Synthesis of 1,2,3-Triazoles. Bionanoscience 2021, 11, 189–199. [Google Scholar] [CrossRef]
- Borah, R.; Saikia, E.; Bora, S.J.; Chetia, B. Banana Pulp Extract Mediated Synthesis of Cu2O Nanoparticles: An Efficient Heterogeneous Catalyst for the Ipso-Hydroxylation of Arylboronic Acids. Tetrahedron Lett. 2017, 58, 1211–1215. [Google Scholar] [CrossRef]
- Wang, B.; Xu, M.; Chi, C.; Wang, C.; Mneg, D. Degradation of Methyl Orange Using Dielectric Barrier Discharge Water Falling Film Reactor. J. Adv. Oxid. Technol. 2017, 20, 20170021. [Google Scholar] [CrossRef]
- Yadav, S.; Chauhan, M.; Mathur, D.; Jain, A.; Malhotra, P. Sugarcane Bagasse-Facilitated Benign Synthesis of Cu2O Nanoparticles and Its Role in Photocatalytic Degradation of Toxic Dyes: A Trash to Treasure Approach. Environ. Dev. Sustain. 2021, 23, 2071–2091. [Google Scholar] [CrossRef]
- Yasin, A.; Fatima, U.; Shahid, S.; Mansoor, S.; Inam, H.; Javed, M.; Iqbal, S.; Alrbyawi, H.; Somaily, H.H.; Pashameah, R.A.; et al. Fabrication of Copper Oxide Nanoparticles Using Passiflora edulis Extract for the Estimation of Antioxidant Potential and Photocatalytic Methylene Blue Dye Degradation. Agronomy 2022, 12, 2315. [Google Scholar] [CrossRef]
- Zhuang, X.; Kang, Y.; Zhao, L.; Guo, S. Design and Synthesis of Copper Nanoparticles for the Treatment of Human Esophageal Cancer: Introducing a Novel Chemotherapeutic Supplement. J Exp. Nanosci. 2022, 17, 274–284. [Google Scholar] [CrossRef]






| Plant | Salt Concentration (mM) | Part of the Plant | Results | Reference | |
|---|---|---|---|---|---|
| Antioxidant Activity (%) a | IC50 (µg/mL) | ||||
| Copper acetate | |||||
| Azadirachta indica | 200 | Leaves | - | - | [19] |
| Eclipta prostrata | 3 | Leaves | 53 | - | [20] |
| Monotheca buxifolia | 50 | Leaves | 53.40 | - | [21] |
| Borreria hispida | 10 | Plant | - | 0.6 | [22] |
| Cissus vitiginea | - | Leaves | - | 45.2 | [23] |
| Copper nitrate | |||||
| Eryngium caucasicum | 10 | Leaves | 40.02 | - | [24] |
| Juglans regia | - | Leaves | 78.80–90 | - | [25] |
| Solanum nigrum | 100 | Leaves | 90 | - | [26] |
| Galeopsidis herba | - | Extract | - | 4.12 | [27] |
| Allium noeanum | 0.1 | Leaves | - | 160 | [28] |
| Abutilon indicum | - | Leaves | - | 84 | [29] |
| Allium sativum | 100 | Extract | - | 40 | [30] |
| Plectranthus amboinicus | 100 | Leaves | - | 40.10 | [31] |
| Solanum nigrum | 10 | Leaves | - | 60 | [26] |
| Tinospora cordifolia | - | Leaves | - | 566 | [32] |
| Copper sulfate | |||||
| Ocimum basilicum | 100 | Extract | - | - | [33] |
| Sargassum longifolium | 10 | Seaweed | - | - | [34] |
| Thymbra spicata | 1 | Leaves | - | - | [35] |
| Berberis thunbergii | 200 | Leaves | - | - | [17] |
| Achillea nobilis | 100 | Branch | 44–48 | - | [36] |
| Prunus mahaleb | 50 | Leaves | 15.90 | - | [37] |
| Cissus vitiginea | 10 | Leaves | 21 | - | [38] |
| Persea americana | - | Seed | 23 | - | [16] |
| Mangifera indica | 3 | Leaves | 36.9 | - | [39] |
| Cissus arnotiana | 10 | Leaves | 21 | - | [14] |
| Protoparmeliopsis muralis | 100 | Lichen | 31.02 | - | [18] |
| Falcaria vulgaris | 40 | Leaves | - | 190 | [40] |
| Malus domestica | 1000 | Leaves | - | 45.90 | [41] |
| Cystoseira trinodis (algae) | - | - | - | 543 | [42] |
| Salvia hispanica | 100 | Leaves | - | - | [43] |
| Zingiber officinale | 280 | Rhizome | 81 | - | [44] |
| Moringa oleifera | Leaves | 60–70 | - | [45] | |
| Artemisia haussknechtii | 100 | Leaves | 74.45 | - | [46] |
| Actin- omycetes (bacteria) | 20 | - | - | - | [47] |
| Actin- omycetes (bacteria) | 20 | - | - | - | [47] |
| Laurus nobilis | 1 | Leaves | - | - | [48] |
| Triticum aestivum | 40 | Herb | - | - | [49] |
| Pleurotus ostreatus | 2 | Seed | - | - | [50] |
| Urtica dioica | 10 | Leaves | - | - | [51] |
| Pleurotus ostreatus | 2 | Biomass | - | - | [50] |
| Copper chloride | |||||
| Koelreuteria paniculata | 10 | Seeds | 14.54 | - | [52] |
| Camellia sinensis | 250 | Leaves | - | 14 | [53] |
| Natural Extract Source | Part of the Plant | Size (nm) | Shape | NP Concentration | Micro-Organisms | Reference |
|---|---|---|---|---|---|---|
| Copper acetate | ||||||
| Sargassum swartzii | Whole | 32 | Spherical | 25 μg/mL | V. parahaemolyticus | [120] |
| Averrhoa carambola | Fruit | 15 | Spherical, square, and hexagonal | 20 μg/mL | S. aureus, Bacillius spp., Pseudomona spp. | [118] |
| Cylindrospermum stagnale | Biomass | 100 | Spherical | 8 mM | C. albicans, K. pneumonia, E. cloacae, P. aeruginosa, E. coli | [76] |
| Penicillium chrysogenum | Filtrate | 10–190 | Crystalline | 50 μg/mL | K. oxytoca, E. coli, S. aureus, B. cereus | [121] |
| Ocimum tenuiflorum | Leaves | 12–44 | Spherical | 3125–12,500 μg/mL | B. subtilis, S. aureus, E.coli | [87] |
| Aloe-vera | Leaves | 45–95 | Elliptical | 1562 μg/mL | B. subtilis, S. aureus, E.coli | [122] |
| Camellia Sinensis | Leaves | 25–32 | Crystalline | 1000 µg/mL | S. aureus, B. subtilis, E. coli, K. pneumonia | [123] |
| Mimosa hamata | Flower | 40 | - | 0.1 g/mL | E. coli and B. cereus | [124] |
| Polyalthia longifolia | Leaves | 50–60 | Quasi-spherical | 100–1000 µg/mL | S. pyogenes, S. aureus, E. coli, and P. aeruginosa, E. floccosum, C. albicans, A. niger, A. clavatus | [125] |
| Botryococcus braunii | Biomass | 10–70 | Spherical and cubical | 250 µg/mL | P. aeruginosa, E. coli, K. pneumoniae, S. aureus, F. oxysporum | [126] |
| Clematis orientalis | Leaves | 13–53 | Crystalline | 0.25 M | S. aureus, B. subtilis, E. coli, P. aeruginosa, K. pneumoniae | [127] |
| Copper nitrate | ||||||
| Allium sativum | Root | 20–40 | Circular | 150 μg/mL | E. coli, S. aureus, B. subtilis, S. pyogenes, P. aeruginosa, K. pneumoniae | [30] |
| Zingiber officinale and Allium sativum | Root | 20–45 | Spherical, agglomerated | 1000 μg/mL | MDR S. aureus | [111] |
| Tinospora cordifolia | Leaves | 10 | Spherical | 1001 μg/mL | K. aerogenes, E. coli, P. desmolyticum, S. aureus | [32] |
| Withania somnifera | Root | 5–9 | Spherical | 100 μg/mL | E. coli and S. aureus | [128] |
| Morus alba L. | Fruit | 50–200 | Spherical and non-regular | 2500 μg/mL | E.coli and L. monocytogenes | [129] |
| Alpinia galangal | Rhizome | 20–60 | Irregular spherical | 10 mg/mL | S. mutans, B. cereus, P. vulgaris, S. marcences | [130] |
| Cordia sebestena | Flower | 20–35 | Spherical | 75 µg/mL | B. subtilis, S. aureus and E. coli, K. pneumoniae | [131] |
| Cassia fistula and Melia azedarach | Leaves | 43.8 | Spherical | 0.5 mg/mL | K. pneumonia and H. pylori | [132] |
| Gloriosa superba L. | Leaves | 5–10 | Spherical | 1000 µg/mL | K. aerogenes, P. desmolyticum, E. coli, S. aureus | [133] |
| Solanum nigrum | Leaves | 25 | Spherical | 100 μg/mL | B. subtilis, S. saprohyticus, E. coli, P. aeruginosa | [26] |
| Rauvolfia serpentina | Leaves | 10–20 | Crystalline | 1000 μg/mL | E. coli, P. desmolyticum, S. aureus | [134] |
| Aloe vera | Leaves | 20 | Crystalline | 100 μg/mL | A. hydrophila, P. fluorescens, F. branchiophilum | [135] |
| Hibiscus cannabinus | Leaves | 10–40 | Crystalline | 5–31 mg/mL | B. cereus, S. aureus, E. coli, K. pneumoniae | [136] |
| Capsicum frutescens | Leaves | 20–40 | Spherical and rectangular | 150 μg/mL | K. pneumoniae, B. anthracis, L. monocytogenes | [137] |
| Eryngium caucasicum | Leaves | 40 | Spherical | 30–100 μg/mL | E. coli, S. typhimurium, B. cereus and S. aureus | [24] |
| Menthe | Biomass | 22–25 | Cubic, crystalline | 250 µg/mL | E. coli, B. subtilis | [138] |
| Saccharum officinarum | Stem | 5–140 | Spherical | 100 µg/mL | E. coli, P. aeruginosa, S. aureus, B. subtilis | [139] |
| Catha edulis | Leaves | 28 | Crystalline | 40 mg/mL | S. aureus, S. pyogenes, E. coli, K. pneumonia | [140] |
| Solanum tuberosum | Tuber | 54 | Spherical | 200–1000 µg/mL | B. cereus, S sonnei, S. aureus, S. epidermidis, Enterococcus spp., P. aeruginosa, E. coli | [141] |
| Madhuca longifolia | Flower/seeds | 30–100 | Spherical | 10 mg/mL | E.coli, B. subtilis, S. aureus | [142] |
| Opuntia ficus-indica | Leaves | 3–10 | Spherical | 100 µg/mL | E. coli | [143] |
| Copper sulfate | ||||||
| Falcaria vulgaris | Leaf | 20–25 | Spherical | 2 mg/mL | S. pneumonia, B. subtilis, C. guilliermondii, C. krusei | [40] |
| 4 mg/mL | P. aeruginosa, S. aureus, C. albicans, C. glabrata | |||||
| 8 mg/mL | S. typhimurium, E. coli | |||||
| 4 mg/mL | S. pneumonia, B. subtilis, C. guilliermondii, C. kruse | |||||
| 8 mg/mL | P. aeruginosa, S. aureus, C. albicans, C. glabrata | |||||
| 16 mg/mL | S. typhimurium, E. coli | |||||
| Syzygium alternifolium | Barks | 50–100 | Spherical | 20 μg/mL | B. subtilis, S. aureus, E.coli, K. pneumonia, P. vulgaris, P. aeruginosa, S. typhimurium | [81] |
| A. solani, A. flavus, A. niger, P. chrysogenum, T. harzianum | ||||||
| 80 μg/mL | Bacteria and fungi tested | |||||
| Cissus vitiginea | Leaves | 5–20 | Spherical | 75 μg/mL | E. coli, Enterococcus sp., Proteus sp., Klebsiella sp. | [38] |
| Citrus Aurantifolia | Leaves | 10 | Spherical-crystalline | 50 μg/mL | K. pneumoniae, S. aureus | [102] |
| Illicium verum | Fruit | 150–220 | Undefined | 100 μg/mL | S. aureus | [102] |
| Myristica fragrans | Fruit | 210–270 | Undefined | 100 μg/mL | S. aureus | [102] |
| Justicia gendarussa | Leaves | 50–100 | Flower-shaped | 75 μg/mL | E. coli, S. aureus | [144] |
| Ruellia tuberosa | Leaves | 82 | Spherical, cylindrical, and cubical | 75 μg/mL | S. aureus, K. pneumoniae, E. coli | [145] |
| Solanum lycopersicum | Leaves | 20–40 | Spherical | 300 μg/mL | B. subtilis, S. aureus, E.coli | [146] |
| Sesbania aculeata | Leaves | - | - | 40 μg/mL | P. destructive and C. lunata | [147] |
| Allium saralicum | Leaves | 45–50 | Spherical | 8 mg/mL | C. albicans, C. glabrata, C. krusei, C. guilliermondii, P. aeruginosa, E.coli, B. subtilis, S. aureus, S. typhimurium, S. pneumoniae | [148] |
| Cystoseira myrica, Sargassum latifolium and Padina australis | Leaves | 40 | Spherical | 250 μg/mL | E. coli and S. aureus | [149] |
| Tabernaemontana divaricate | Leaves | 46 | Spherical | 25 μg/mL | E. coli | [150] |
| Acalypha indica | Leaves | 26 | Spherical | 25 μg/ml | A. indica and C. albicans | [86] |
| Citrus medica | Fruits | 10–60 | - | 100 mM | E. coli, P. acne, K. pneumoniae, S. typhi, and P. aeruginosa, F. oxysporum, F. graminearum and F. culmorum | [151] |
| Achillea Nobilis | Flower | 15–25 | Hexagonal | 50 μg/mL | E. coli and S. aureus | [36] |
| Achyranthes aspera | Leaves | 95 | Spherical | 250 mM | S. aureus and Gram-negative P. aeruginosa | [152] |
| Heliconia psittacorum | Flower | 12 | Spherical | 50 μg/mL | S. aureus, P. putida, E. coli | [153] |
| Cedrus deodara | Leaves | - | Spherical | 150 μg/mL | E. Coli, S. Aureus, S. Enterica, L. Monocytogenes | [154] |
| Sargassum longifolium | Biomass | 40–60 | Spherical | 100 μg/mL | A. hydrophilla, V. harveyi, V. parahaemolyticus, S. marcescens | [34] |
| Cissus arnotiana | Leaves | 60–90 | Spherical | 50 μg/mL | E. coli, Streptococcus sp., Rhizobium sp., Klebsiella sp. | [14] |
| Citrus aurantifolia | Leaves | 22 | Crystalline | 150 μg/mL | S. aureus and E. coli | [155] |
| Pterolobium hexapetalum | Leaves | 10–50 | Crystalline | 50 µg/mL | S. aureus, B. subtilis, E. coli | [156] |
| Convolvulus percicus L. | Leaves | 15–30 | Crystalline | 6.25 μg/mL | S. aureus, E. coli | [157] |
| Cystoseira trinodis | Biomass | 6–7.8 | Crystalline | 10 μg/mL | E.coli, E. faecalis, S. typhimurium, S. aureus, B. subtilis, S. faecalis | [42] |
| Azadirachta indica | Flower | 5 | Spherical | 40 μg/mL | E. faecalis, P. mirabilis, K. pneumonia, S. aureus. | [158] |
| Mentha pulegium | Leaves | 21–48 | Spherical | 1000 μg/mL | S. aureus, B. cereus, E.coli, K. pneumoniae | [159] |
| Brassica oleracea var. capitata f. rubra | Leaves | 77.5 | Spherical | 50 μg/mL | E. coli, S. aureus | [160] |
| Passiflora foetida | 24.5 | Crystalline | 1000 µg/mL | E.coli, S. typhimurium, A. aceti | [161] | |
| Thymbra spicata | Leaves | 21–26.8 | Spherical | 100 µg/mL | B. cereus, S. aureus, E.coli, S. typhimurium | [35] |
| Prunus mahaleb L. | Whole | 10–50 | Spherical | 0.5–2 mg/mL | S. aureus, K. pneumonia, P. aeruginosa, E. coli, P. aeruginosa | [37] |
| Artemisia haussknechtii | Leaves | 35 | Spherical | 0.1 M | E. coli, S. aureus | [46] |
| Copper chloride | ||||||
| Tamarindus indica L. | Fruit and leaves | 50–100 | Spherical | 60 μL NP | L. acidophilus | [162] |
| 60 μL NP | E. coli | |||||
| 40 μL NP | S. typhi | |||||
| Anacardium occidentale | Shell | 100 | 40 μg/mL | B. linens, P. acnes, B. cereus, S. epidermidis | [163] | |
| Ficus carica | Leaves | 41.5 | Spherical | 200 μg/mL | Candida spp., Aspergillus spp., S aureus, A. baumanii | [164] |
| Tinospora cardifolia | Leaves | 63–143 | Spherical | 175 μg/mL | S. aureus and E. coli | [165] |
| Vitex negundo | Root | 40–60 | Spherical, cubic and hexagonal | 500 μg/mL | B. subtilis, S. aureus, E. coli, P. aeruginosa | [166] |
| Cardiospermum halicacabum | Leaves | 40 | Hexagonal | 50 µg/mL | P. aeruginosa, E. coli, S. aureus | [98] |
| Aspergillus niger | Biomass | 23–199 | Crystalline | 2.5 mg/mL | P. aeruginosa, E. faecalis, E. coli, K. pneumonia, P. vulgari, S. aureus, C. albicans, A. niger | [167] |
| Brassica oleracea, Solanum tuberosum, Pisum sativum | Peels | 32.5, 40.75, 47.2 | Spherical and cubical | 45 µg/mL | P. aeruginosa, E. coli, B. subtilus, S. aureus | [168] |
| Vaccinium myrtillus L. | Fruit | 2–10 | Spherical | 3.125 mM | E. coli, C. albicans, S. cerevisiae | [169] |
| N° | Item |
| 1 | Was an ‘‘a priori’’ design provided? |
| 2 | Was there duplicate study selection and data extraction? |
| 3 | Was a comprehensive literature search performed? |
| 4 | Was the status of publication (i.e., grey literature) used as an inclusion criterion? |
| 5 | Was a list of studies (included and excluded) provided? |
| 6 | Were the characteristics of the included studies provided? |
| 7 | Was the scientific quality of the included studies assessed and documented? |
| 8 | Was the scientific quality of the included studies used appropriately in formulating the conclusions? |
| 9 | Were the methods used to combine the findings of studies appropriate? |
| 10 | Was the likelihood of publication bias assessed? |
| 11 | Were potential conflicts of interest included? |
Disclaimer/Publisher’s Note: The statements, opinions and data contained in all publications are solely those of the individual author(s) and contributor(s) and not of MDPI and/or the editor(s). MDPI and/or the editor(s) disclaim responsibility for any injury to people or property resulting from any ideas, methods, instructions or products referred to in the content. |
© 2023 by the authors. Licensee MDPI, Basel, Switzerland. This article is an open access article distributed under the terms and conditions of the Creative Commons Attribution (CC BY) license (https://creativecommons.org/licenses/by/4.0/).
Share and Cite
Luque-Jacobo, C.M.; Cespedes-Loayza, A.L.; Echegaray-Ugarte, T.S.; Cruz-Loayza, J.L.; Cruz, I.; de Carvalho, J.C.; Goyzueta-Mamani, L.D. Biogenic Synthesis of Copper Nanoparticles: A Systematic Review of Their Features and Main Applications. Molecules 2023, 28, 4838. https://doi.org/10.3390/molecules28124838
Luque-Jacobo CM, Cespedes-Loayza AL, Echegaray-Ugarte TS, Cruz-Loayza JL, Cruz I, de Carvalho JC, Goyzueta-Mamani LD. Biogenic Synthesis of Copper Nanoparticles: A Systematic Review of Their Features and Main Applications. Molecules. 2023; 28(12):4838. https://doi.org/10.3390/molecules28124838
Chicago/Turabian StyleLuque-Jacobo, Cristina M., Andrea L. Cespedes-Loayza, Talia S. Echegaray-Ugarte, Jacqueline L. Cruz-Loayza, Isemar Cruz, Júlio Cesar de Carvalho, and Luis Daniel Goyzueta-Mamani. 2023. "Biogenic Synthesis of Copper Nanoparticles: A Systematic Review of Their Features and Main Applications" Molecules 28, no. 12: 4838. https://doi.org/10.3390/molecules28124838
APA StyleLuque-Jacobo, C. M., Cespedes-Loayza, A. L., Echegaray-Ugarte, T. S., Cruz-Loayza, J. L., Cruz, I., de Carvalho, J. C., & Goyzueta-Mamani, L. D. (2023). Biogenic Synthesis of Copper Nanoparticles: A Systematic Review of Their Features and Main Applications. Molecules, 28(12), 4838. https://doi.org/10.3390/molecules28124838

