Extracts from European Propolises as Potent Tyrosinase Inhibitors
Abstract
1. Introduction
2. Results and Discussion
2.1. Analysis of Propolis Extracts by UHPLC–DAD–MS/MS (Ultra High Performance Liquid Chromatography Coupled with Diode Array Detection and Tandem Mass Spectrometry)
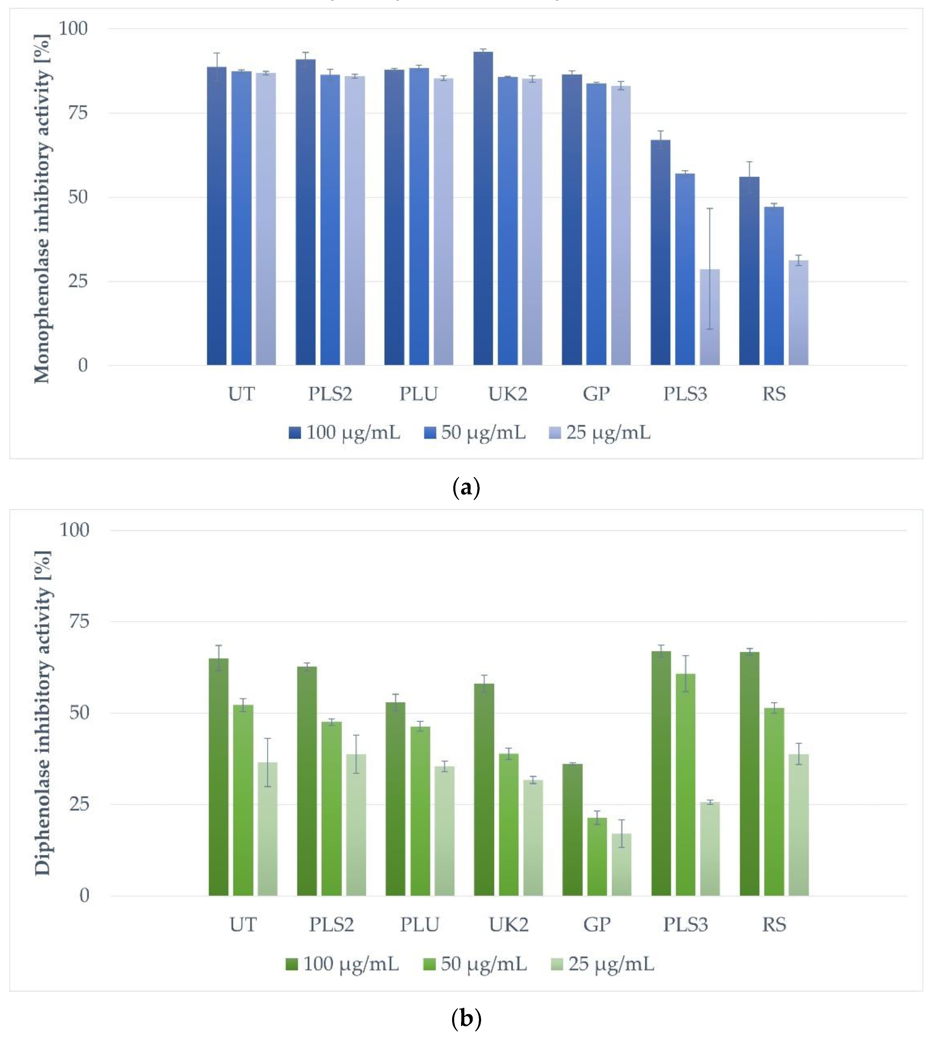
2.2. Tyrosinase Inhibitory Activity of Tested Extracts of Propolis
2.3. Antioxidant Activity of Tested Propolis Extracts
2.4. Impact of Antioxidant Activity of Propolis Extracts and Their Components on Tyrosinase Inhibitory Activity
3. Materials and Methods
3.1. Propolis Samples
3.2. Extraction of Propolis Samples
3.3. UHPLC–DAD–MS/MS Analysis of Propolis Extracts
3.4. Mushroom Tyrosinase Inhibitory Assay
3.5. Antioxidant Activity Assay
3.6. Statistical Analysis
4. Conclusions
Supplementary Materials
Author Contributions
Funding
Institutional Review Board Statement
Informed Consent Statement
Data Availability Statement
Acknowledgments
Conflicts of Interest
Sample Availability
References
- Bogdanov, S. Propolis: Chemical composition, biological properties and therapeutic activity. Apidologie 1995, 26, 1–21. [Google Scholar] [CrossRef]
- Arung, E.T.; Syafrizal, S.; Pasedan, W.F.; Tandirogang, N.; Sukemi, S.; Allam, A.E.; Amen, Y.; Shimizu, K.; Ishikawa, H. Prenylated flavonoids as antioxidant and melanin inhibitors from stingless bee (wallacetrigona incisa) propolis. Nat. Prod. Commun. 2020, 15, 1–6. [Google Scholar] [CrossRef]
- Ratnasari, N.; Rezkitha, Y.A.A.; Adnyana, I.K.; Alfaray, R.I.; Fauzia, K.A.; Doohan, D.; Miftahussurur, M. Anti-helicobacter pylori effects of propolis ethanol extract on clarithromycin and metronidazole resistant strains. Syst. Rev. Pharm. 2020, 11, 429–434. [Google Scholar] [CrossRef]
- Khalil, M.L. Biological activity of bee propolis in health and disease. Asian Pac. J. Cancer Prev. 2006, 7, 22–29. [Google Scholar] [PubMed]
- Stavropoulou, M.I.; Stathopoulou, K.; Cheilari, A.; Benaki, D.; Gardikis, K.; Chinou, I.; Aligiannis, N. NMR metabolic profiling of Greek propolis samples: Comparative evaluation of their phytochemical compositions and investigation of their anti-ageing and Sta properties. J. Pharm. Biomed. Anal. 2021, 194, 113814. [Google Scholar] [CrossRef] [PubMed]
- Romero, M.; Freire, J.; Pastene, E.; García, A.; Aranda, M.; González, C. Propolis polyphenolic compounds affect the viability and structure of helicobacter pylori in vitro. Rev. Bras. Pharmacogn. 2019, 29, 325–332. [Google Scholar] [CrossRef]
- El-Guendouz, S.; Aazza, S.; Lyoussi, B.; Antunes, M.D.; Faleiro, M.L.; Miguel, M.G. Anti-acetylcholinesterase, antidiabetic, anti-inflammatory, antityrosinase and antixanthine oxidase activities of moroccan propolis. Int. J. Food Sci. Technol 2016, 51, 1762–1773. [Google Scholar] [CrossRef]
- Kim, Y.J.; Uyama, H. Tyrosinase inhibitors from natural and synthetic sources: Structure, inhibition mechanism and perspective for the future. Cell. Mol. Life Sci. 2005, 62, 1707–1723. [Google Scholar] [CrossRef]
- Sadangrit, P.; Phuwapraisirisan, P.; Puthong, S.; Ramadhan, R.; Chanchao, C. Effect of Plant Compounds on in vitro Tyrosinase Activity and Cell Viability of B16F10 Melanoma Cells. Rsucon. Rsu. Ac. Th. 2019, 450–457. [Google Scholar] [CrossRef]
- Strzępek-Gomółka, M.; Gaweł-Bęben, K.; Angelis, A.; Antosiewicz, B.; Sakipova, Z.; Kozhanova, K.; Kukula-Koch, W. Identification of mushroom and murine tyrosinase inhibitors from achillea biebersteinii afan. extract. Molecules 2021, 26, 964. [Google Scholar] [CrossRef]
- Lee, J.-Y.; Choi, H.-J.; Chung, T.-W.; Kim, C.-H.; Jeong, H.-S.; Ha, K.-T. Caffeic acid phenethyl ester inhibits alpha-melanocyte stimulating hormone-induced melanin synthesis through suppressing transactivation activity of microphthalmia-associated transcription factor. J. Nat. Prod 2013, 76, 1399–1405. [Google Scholar] [CrossRef]
- Xie, L.; Chen, Q.; Huang, H.; Wang, H.; Zhang, R. Inhibitory effects of some flavonoids on the activity of mushroom tyrosinase. Biochemistry 2003, 68, 487–491. [Google Scholar] [CrossRef] [PubMed]
- Fan, M.; Ding, H.; Zhang, G.; Hu, X.; Gong, D. Relationships of dietary flavonoid structure with its tyrosinase inhibitory activity and affinity. LWT 2019, 107, 25–34. [Google Scholar] [CrossRef]
- Smith, N.; Vicanova, J.; Pavel, S. The hunt for natural skin whitening agents. Int. J. Mol. Sci 2009, 10, 5326–5349. [Google Scholar] [CrossRef] [PubMed]
- Widelski, J.; Okińczyc, P.; Paluch, E.; Mroczek, T.; Szperlik, J.; Żuk, M.; Sroka, Z.; Sakipova, Z.; Chinou, I.; Skalicka-Woźniak, K.; et al. The antimicrobial properties of poplar and aspen–poplar propolises and their active components against selected microorganisms, including Helicobacter pylori. Pathogens 2022, 11, 191. [Google Scholar] [CrossRef]
- Okińczyc, P.; Widelski, J.; Szperlik, J.; Żuk, M.; Mroczek, T.; Skalicka-Woźniak, K.; Sakipova, Z.; Widelska, G.; Kuś, P.M. Impact of plant origin on eurasian propolis on phenolic profile and classical antioxidant activity. Biomolecules 2021, 11, 68. [Google Scholar] [CrossRef]
- Pillaiyar, T.; Manickam, M.; Namasivayam, V. Skin whitening agents: Medicinal chemistry perspective of tyrosinase inhibitors. J. Enzym. Inhib. Med. Chem. 2017, 32, 403–425. [Google Scholar] [CrossRef]
- Fu, B.; Li, H.; Wang, X.; Lee, F.S.C.; Cui, S. Isolation and identification of flavonoids in licorice and a study of their inhibitory effects on tyrosinase. J. Agric. Food Chem 2005, 53, 7408–7414. [Google Scholar] [CrossRef]
- Senol Deniz, F.S.; Orhan, I.E.; Duman, H. Profiling cosmeceutical effects of various herbal extracts through elastase, collagenase, tyrosinase inhibitory and antioxidant assays. Phytochem. Lett. 2021, 45, 171–183. [Google Scholar] [CrossRef]
- Kurek-Górecka, A.; Keskin, Ş.; Bobis, O.; Felitti, R.; Górecki, M.; Otręba, M.; Rzepecka-Stojko, A. Comparison of the antioxidant activity of propolis samples from different geographical regions. Plants 2022, 11, 1203. [Google Scholar] [CrossRef]
- Touzani, S.; Imtara, H.; Katekhaye, S.; Mechchate, H.; Ouassou, H.; Alqahtani, A.S.; Lyoussi, B. Determination of phenolic compounds in various propolis samples collected from an african and an asian region and their impact on antioxidant and antibacterial activities. Molecules 2021, 26, 4589. [Google Scholar] [CrossRef]
- Zolghadri, S.; Bahrami, A.; Hassan Khan, M.T.; Munoz-Munoz, J.; Garcia-Molina, F.; Garcia-Canovas, F.; Saboury, A.A. A comprehensive review on tyrosinase inhibitors. J. Enzyme Inhib. Med. Chem. 2019, 34, 279–309. [Google Scholar] [CrossRef]
- Mapunya, M.B.; Hussein, A.A.; Rodriguez, B.; Lall, N. Tyrosinase activity of greyia flanaganii (bolus) constituents. Phytomedicine 2011, 18, 1006–1012. [Google Scholar] [CrossRef] [PubMed]
- Kubo, I.; Kinst-Hori, I.; Chaudhuri, S.K.; Kubo, Y.; Sánchez, Y.; Ogura, T. Flavonols from Heterotheca inuloides: Tyrosinase inhibitory activity and structural criteria. Bioorganic. Med. Chem. 2000, 8, 1749–1755. [Google Scholar] [CrossRef] [PubMed]
- Kaleta, J. The physicochemical analysis of propolis and the possibility of its standardization [in Polish: Analiza fizykochemiczna propolisu i możliwości jego standaryzacji]. Doctoral Dissertation, Jagiellonian University in Kraków, Kraków, Poland, 2007. [Google Scholar]
- Wang, Y.; Hao, M.-M.; Sun, Y.; Wang, L.-F.; Wang, H.; Zhang, Y.-J.; Li, H.-Y.; Zhuang, P.-W.; Yang, Z. Synergistic Promotion on Tyrosinase Inhibition by Antioxidants. Molecules 2018, 23, 106. [Google Scholar] [CrossRef]
- Uchida, R.; Ishikawa, S.; Tomoda, H. Inhibition of tyrosinase activity and melanin pigmentation by 2-hydroxytyrosol. Acta Pharm. Sin. B 2014, 4, 141–145. [Google Scholar] [CrossRef] [PubMed]
- Matejic, J.S.; Džami´c, A.M.; Mihajilov-Krstev, T.M.; Ran elovi´c, V.N.; Krivošej, Z.D.; Marin, P.D. Total phenolic and flavonoid content, antioxidant and antimicrobial activity of extracts from Tordylium maximum. J. Appl. Pharm. Sci. 2013, 3, 55–59. [Google Scholar] [CrossRef]
- Re, R.; Pellegrini, N.; Proteggente, A.; Pannala, A.; Yang, M.; Rice-Evans, C. Antioxidant activity applying an improved ABTS radical cation decolorization assay. Free Radic. Biol. Med. 1999, 26, 1231–1237. [Google Scholar] [CrossRef]



| EC50 (µg/mL) | ||
|---|---|---|
| DPPH Scavenging | ABTS scavenging | |
| UT | 11.16 ± 0.54 | 2.47 ± 0.27 |
| PLS2 | 19.05 ± 0.54 | 2.41 ± 0.49 |
| PLU | 32.22 ± 0.36 | 2.43 ± 0.32 |
| UK2 | 9.85 ± 0.26 | 2.37 ± 0.43 |
| GP | 20.50 ± 0.34 | 5.12 ± 0.18 |
| PLS3 | 9.34 ± 0.22 | 2.43 ± 0.43 |
| RS | 13.48 ± 0.57 | 2.12 ± 0.29 |
| Vit C | 1.45 ± 0.29 | 0.70 ± 0.02 |
| Abbreviation | Country | State/Region |
|---|---|---|
| UK2 | Ukraine | Khmelnitsky Village |
| UT | Ukraine | Ternopil |
| PLS2 | Poland | Lower Silesia |
| PLS3 | Poland | Lower Silesia |
| PLU | Poland | Lublin |
| GP | Greece | Parga |
| RS | Russia | Saratov Oblast |
Disclaimer/Publisher’s Note: The statements, opinions and data contained in all publications are solely those of the individual author(s) and contributor(s) and not of MDPI and/or the editor(s). MDPI and/or the editor(s) disclaim responsibility for any injury to people or property resulting from any ideas, methods, instructions or products referred to in the content. |
© 2022 by the authors. Licensee MDPI, Basel, Switzerland. This article is an open access article distributed under the terms and conditions of the Creative Commons Attribution (CC BY) license (https://creativecommons.org/licenses/by/4.0/).
Share and Cite
Widelski, J.; Gaweł-Bęben, K.; Czech, K.; Paluch, E.; Bortkiewicz, O.; Kozachok, S.; Mroczek, T.; Okińczyc, P. Extracts from European Propolises as Potent Tyrosinase Inhibitors. Molecules 2023, 28, 55. https://doi.org/10.3390/molecules28010055
Widelski J, Gaweł-Bęben K, Czech K, Paluch E, Bortkiewicz O, Kozachok S, Mroczek T, Okińczyc P. Extracts from European Propolises as Potent Tyrosinase Inhibitors. Molecules. 2023; 28(1):55. https://doi.org/10.3390/molecules28010055
Chicago/Turabian StyleWidelski, Jarosław, Katarzyna Gaweł-Bęben, Karolina Czech, Emil Paluch, Olga Bortkiewicz, Solomiia Kozachok, Tomasz Mroczek, and Piotr Okińczyc. 2023. "Extracts from European Propolises as Potent Tyrosinase Inhibitors" Molecules 28, no. 1: 55. https://doi.org/10.3390/molecules28010055
APA StyleWidelski, J., Gaweł-Bęben, K., Czech, K., Paluch, E., Bortkiewicz, O., Kozachok, S., Mroczek, T., & Okińczyc, P. (2023). Extracts from European Propolises as Potent Tyrosinase Inhibitors. Molecules, 28(1), 55. https://doi.org/10.3390/molecules28010055

