Synthesis of Some Mono- and Disaccharide-Grafting Phthalazine Derivatives and Some New Se-Nucleoside Analogues: Antibacterial Properties, Quantum Chemical Calculations, and Cytotoxicity
Abstract
1. Introduction
2. Results and Discussion
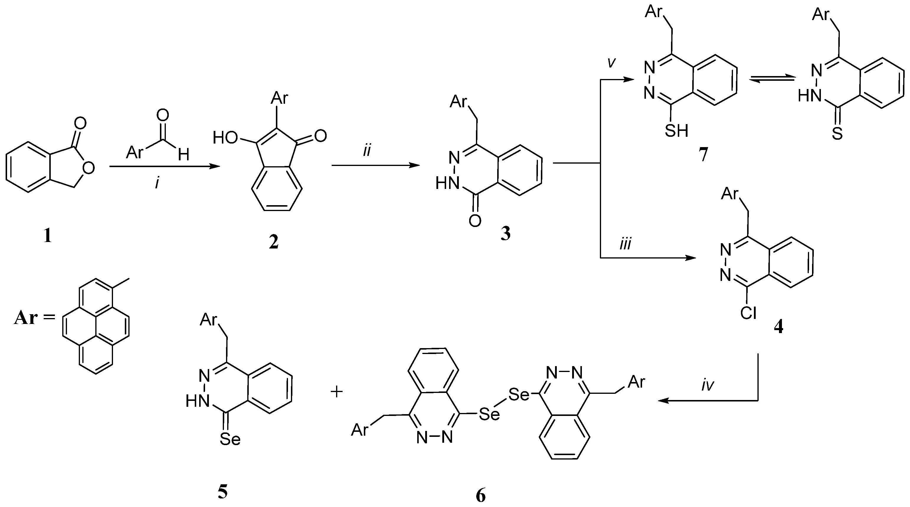
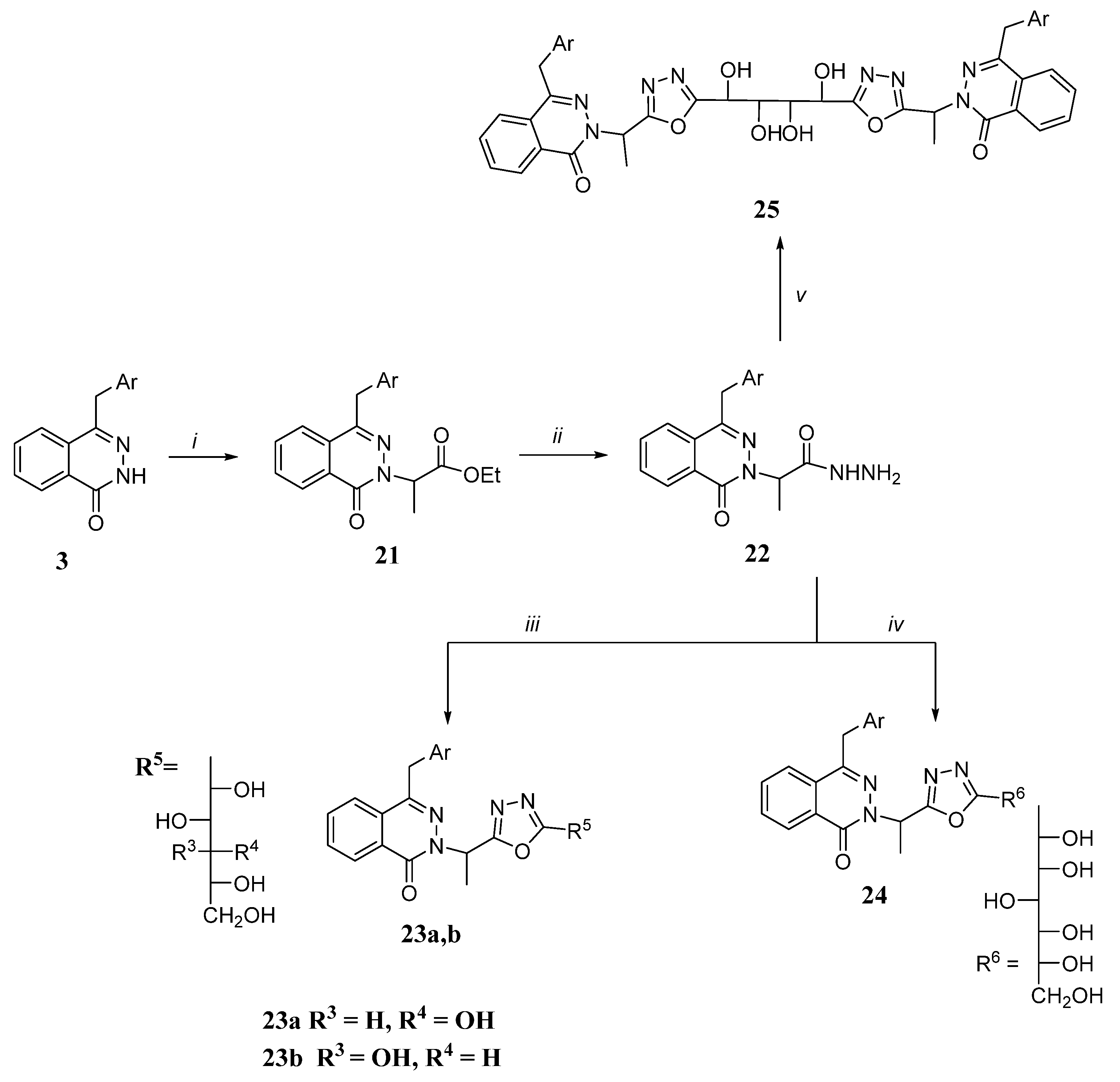
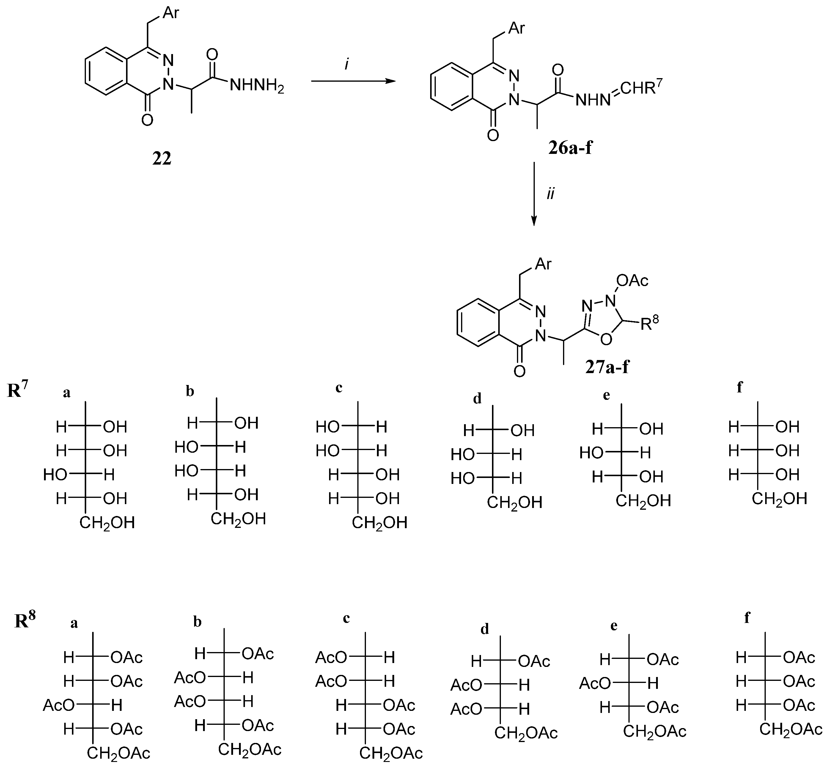
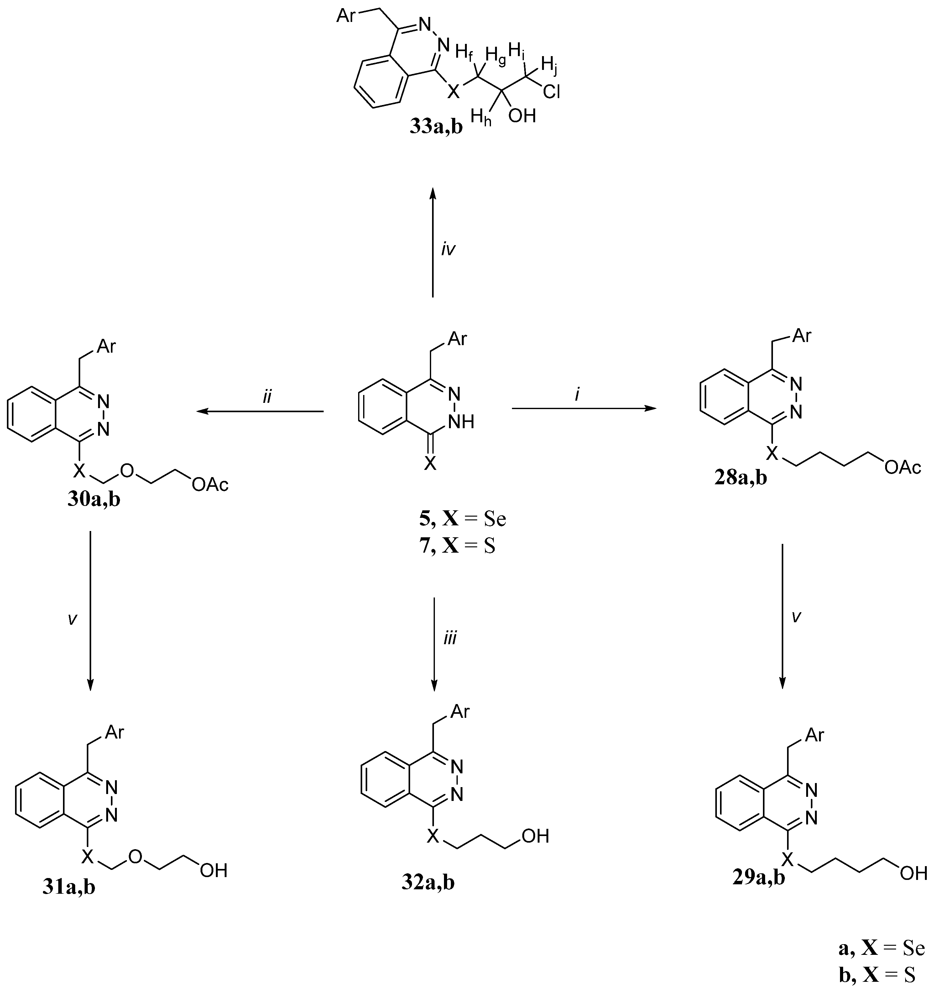
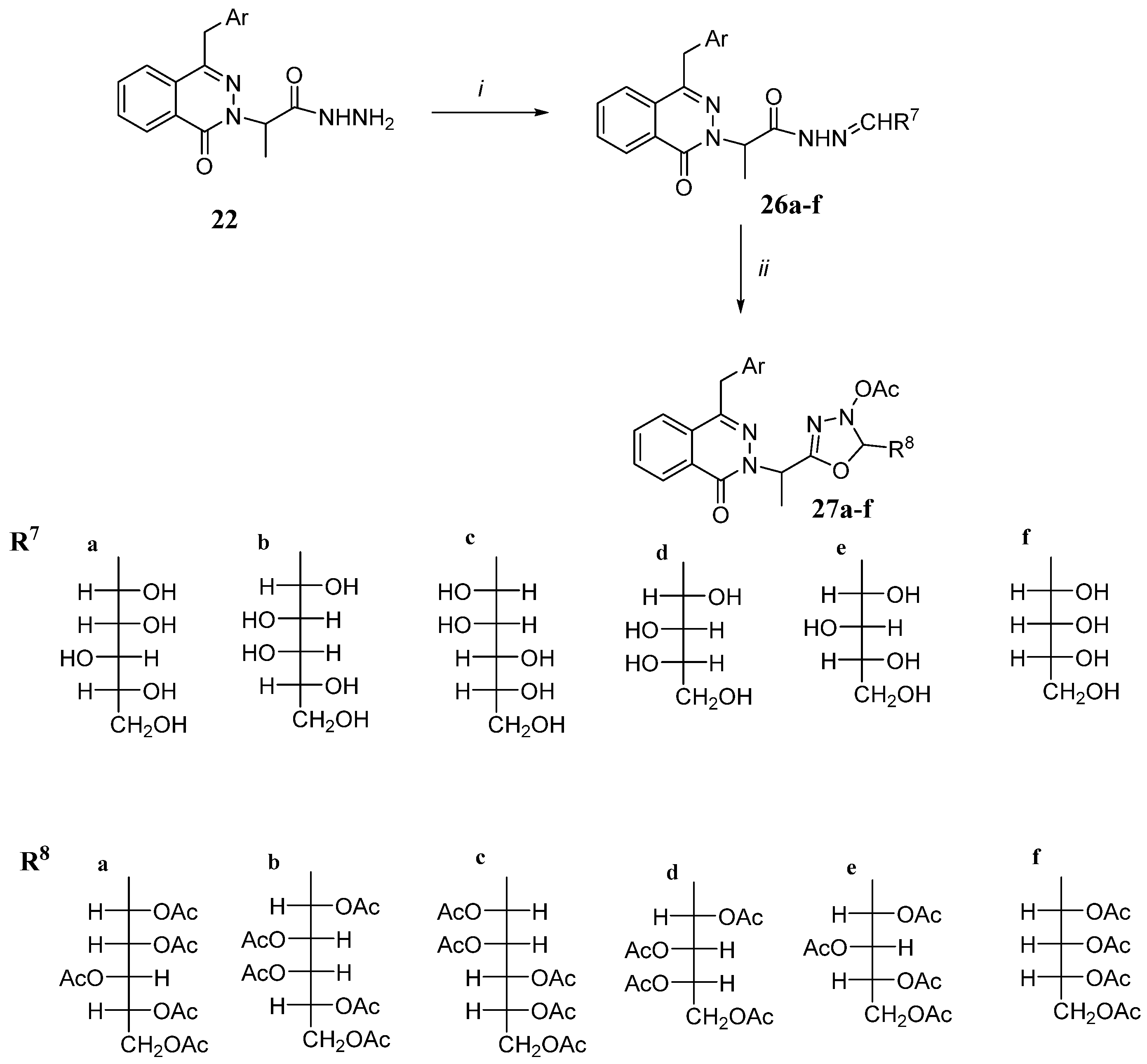
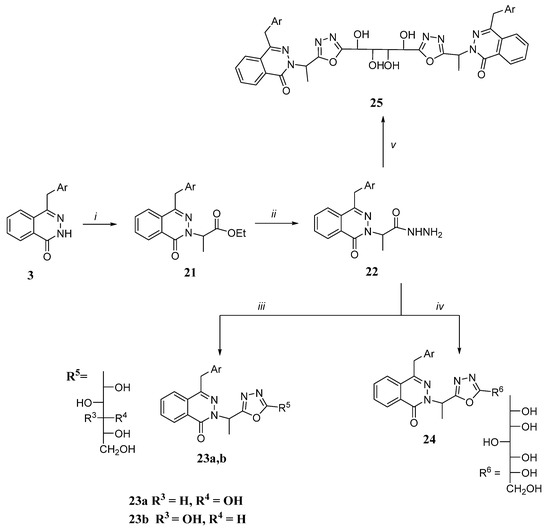
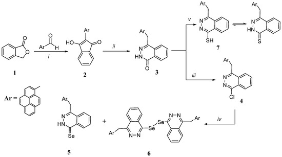
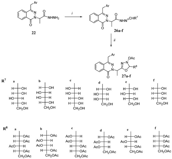
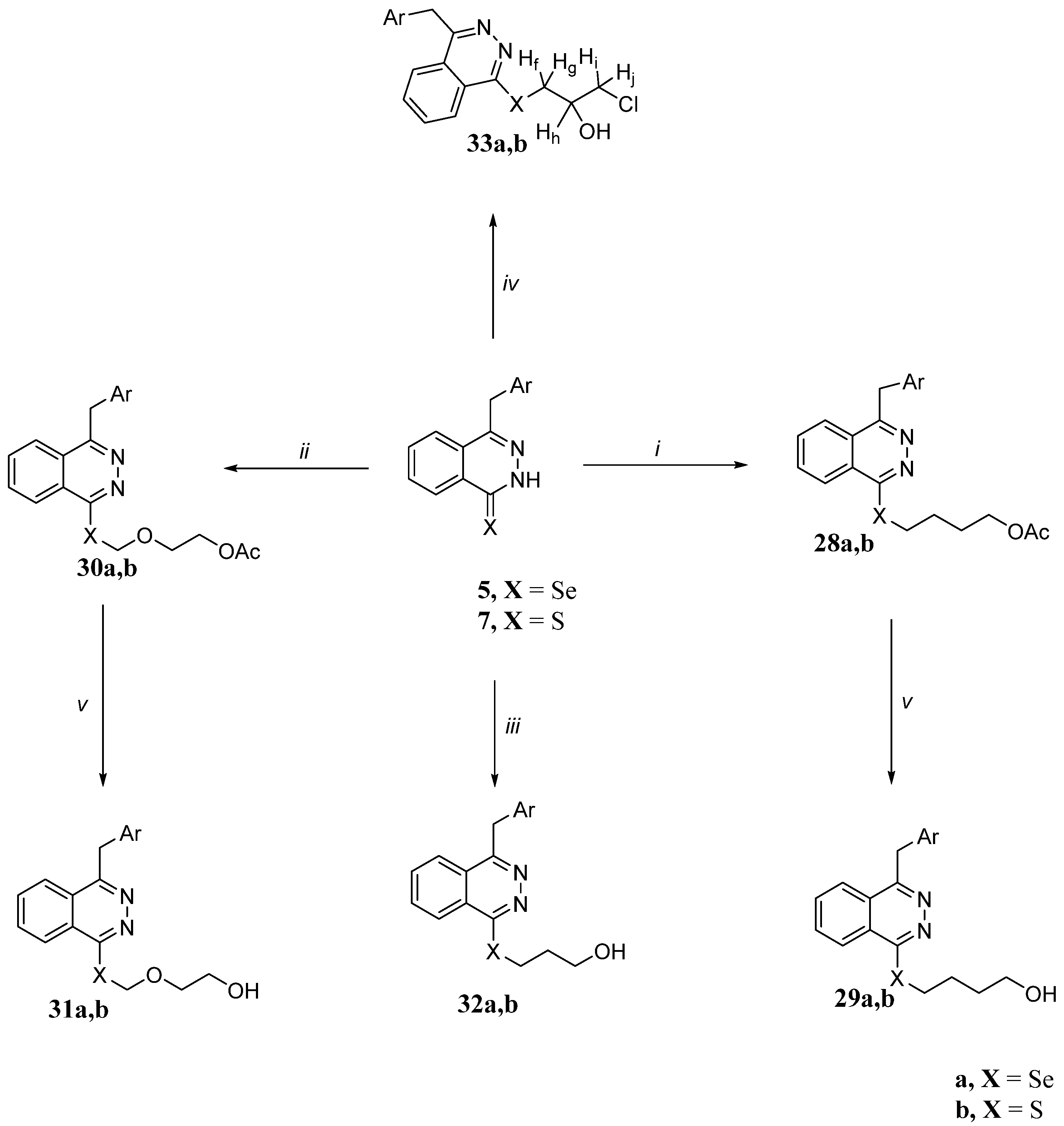
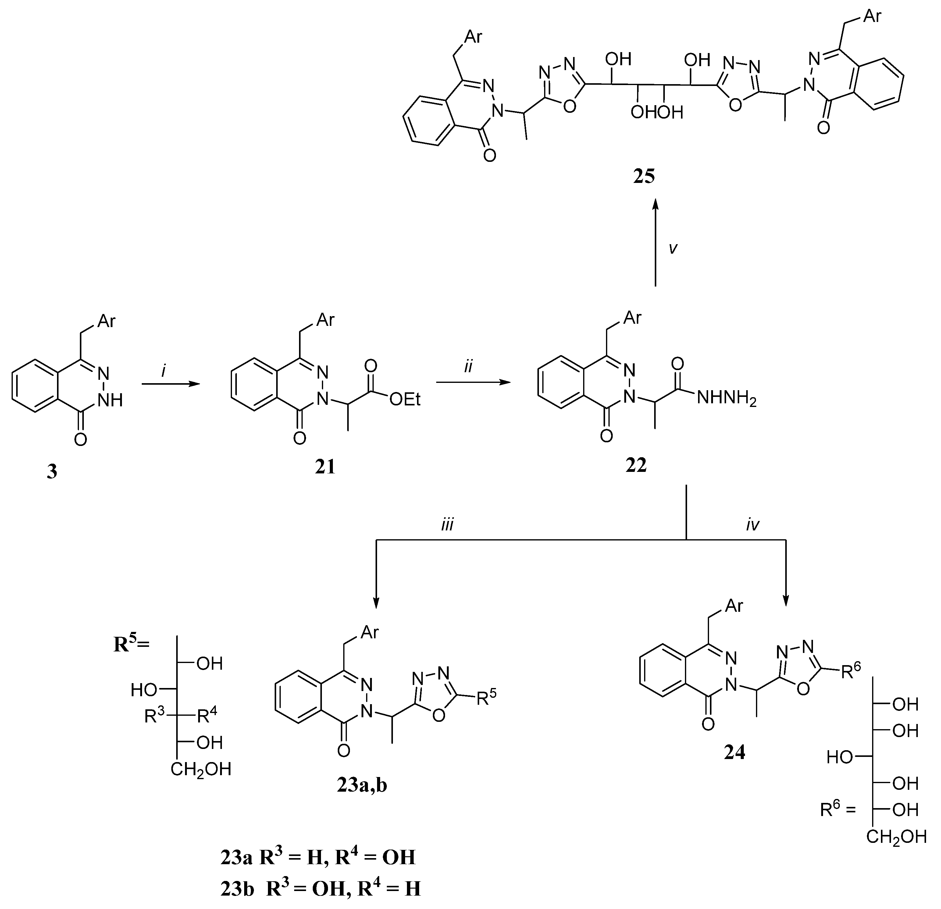
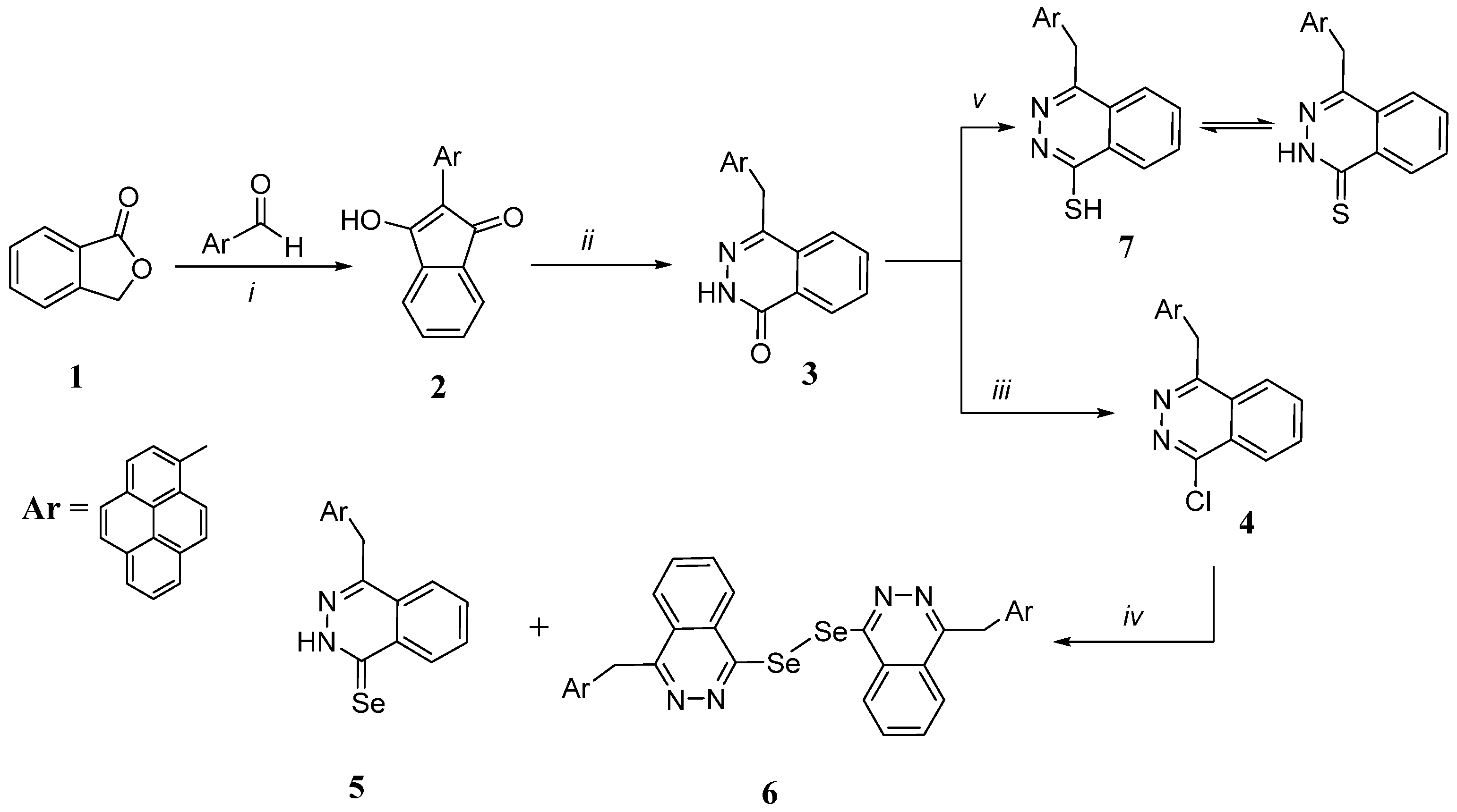
2.1. Synthesis of Different Intermediates
2.2. Antimicrobial Activity of the Prepared Compounds
2.3. Minimum Inhibitory Concentration (MIC)
2.4. Cytotoxicity Activity
2.5. Frontier Molecular Orbitals
2.6. Chemical Reactivity of Descriptors
2.7. Molecular Electrostatic Potential
3. Material and Methods
3.1. Materials
3.2. Methods
4. Characterization
4.1. Antimicrobial Activity
4.2. Cytotoxicity Activity
4.3. Computational Method
5. Conclusions
Supplementary Materials
Author Contributions
Funding
Institutional Review Board Statement
Informed Consent Statement
Data Availability Statement
Conflicts of Interest
Sample Availability
References
- Romeo, G.; Iannazzo, D.; Piperno, A.; Romeo, R.; Saglimbeni, M.; Chiacchio, M.A.; Balestrieri, E.B.; Macchi, A.; Mastino, A. Synthesis and biological evaluation of phosphonated dihydroisoxazole nucleosides. Bioorg. Med. Chem. 2006, 14, 3818–3824. [Google Scholar] [CrossRef] [PubMed][Green Version]
- Chong, Y.; Gumina, G.; Chu, C.K. A divergent synthesis of d- and l-carbocyclic 4′-fluoro-2′,3′-dideoxynucleosides as potential antiviral agents. Tetrahedron Asymmetry 2000, 11, 4853–4875. [Google Scholar] [CrossRef]
- Kren, V.; Martínková. L. Glycosides in medicine: “The role of glycosidic residue in biological activity”. Curr. Med. Chem. 2001, 8, 1303–1328. [Google Scholar] [CrossRef]
- Rashad, A.E.; Mahmoud, A.E.; Ali, M.M. Synthesis and anticancer effects of some novel pyrazolo[3,4-d]pyrimidine derivatives by generating reactive oxygen species in human breast adenocarcinoma cells. Eur. J. Med. Chem. 2011, 46, 1019–1026. [Google Scholar] [CrossRef] [PubMed]
- Saad, H.A.; Moustafa, A.H. Synthesis and anticancer activity of some new S-glycosyl and S-alkyl 1,2,4-triazinone derivatives. Molecules 2011, 16, 5682–5700. [Google Scholar] [CrossRef] [PubMed]
- Al-Mutairi, M.S.; Al-Abdullah, E.S.; Haiba, M.E.; Khedr, M.A.; Zaghary, W.A. Synthesis, molecular docking and preliminary in-vitro cytotoxic evaluation of some substituted tetrahydro-naphthalene (2′,3′,4′,6′-tetra-O-acetyl-β-D-gluco/-galactopyranosyl) derivatives. Molecules 2012, 17, 4717–4732. [Google Scholar] [CrossRef] [PubMed]
- Abdel-Mohsen, A.M.; Aly, A.S.; Hrdina, R. A novel method for the preparation of silver /chitosan-O-methoxy polyethylene glycol core shell nanoparticles. J. Polym. Environ. 2012, 20, 459–468. [Google Scholar] [CrossRef]
- Soliman, A.Y.; Mohamed, F.K.; Abdel-Motaleb, R.M.; Abdel-Rahman, R.M.; Abdel-Mohsen, A.M.; Fouda, M.M.G.; Al-Deyab, S.S.; Mohamed, A.S. Reaction and Antibacterial efficacy of active methylene compounds with coumarin derivatives. J. Pure Appl. Microbiol. 2013, 7, 435–439. [Google Scholar]
- Abdel-Rahman, R.M.; Abdel-Mohsen, A.M.; Fouda, M.M.G.; Al-Deyab, S.S.; Mohamed, A.S. Finishing of cellulosic fabrics with Chitosan/polyethylene glycol-siloxane to improve their Performance and antibacterial properties. Life Sci. J. 2013, 10, 834–839. [Google Scholar]
- Abu-Zaied, M.A.; El-Telbani, E.M.; Nawwar, G.A.M. Synthesis and in vitro anti-tumor activity of new oxadiazole thioglycosides. Eur. J. Med. Chem. 2011, 46, 229–235. [Google Scholar] [CrossRef]
- El-Shamy, I.E.; Abdel-Mohsen, A.M.; Alsheikh, A.A.; Fouda, M.M.G.; Al-Deyab, S.S.; El-Hashash, M.A. Synthesis and antimicrobial activities of S-nucleosides of 4-mesitylphthalazine-1-thiol and some new selenium-containing nucleoside analogues. Tetrahedron Lett. 2015, 56, 1183–1188. [Google Scholar] [CrossRef]
- El-Shamy, I.E.; Abdel-Mohsen, A.M.; Alsheikh, A.A.; Fouda, M.M.G.; Al-Deyab, S.S.; El-Hashash, M.A.; Jancar, J. Synthesis, biological, anti-inflammatory activities and quantum chemical calculation of some [4-(2,4,6-trimethylphenyl)-1(2H)-oxo-phthalazin-2yl] acetic acid hydrazide derivatives. Dye. Pigment. 2015, 113, 357–371. [Google Scholar] [CrossRef]
- El-Hashash, M.A.; El-Kady, A.Y.; Taha, M.A.; El-Shamy, I.E. Synthesis and antimicrobial activity of some condensed [4-(2,4,6-trimethylphenyl)-1(2H)-oxo-phthalazin-2-yl]acetic acid hydrazide. Chin. J. Chem. 2012, 30, 616–626. [Google Scholar] [CrossRef]
- El-Hashash, M.A.; Soliman, A.Y.; El-Shamy. I.E. Synthesis and antimicrobial evaluation of some annelated phthalazine derivatives and acyclo C-nucleosides from 1-chloro-4-(2,4,6-trimethylphenyl) phthalazine precursor. Turk. J. Chem. 2012, 36, 347–366. [Google Scholar]
- El-Shamy, I.E.; Abdel-Mohsen, A.M.; Fouda, M.M.G.; Al-Deyab, S.S.; Abdel-Megeed, A.; El-Hashash, M.A. Synthesis and Antimicrobial Evaluation of Some New 2-(5,6-Dihydro-4H-1,2,4-triazolo[4,3-a]benz[F]azepin-1-yl)methyl)-4-substituted Phthalazin-1(2H)-ones. Asian J. Chem. 2014, 26, 7828–7832. [Google Scholar] [CrossRef]
- El-Shamy, I.E.; Abdel-Mohsen, A.M.; Fouda, M.M.G.; Al-Deyab, S.S.; El-Hashash, M.A. Synthesis of Some Biologically Active Pyrazolylphthalazine Derivatives and Acyclo-C-nucleosides of 6-(2,4,6-trimethylphenyl)-1,2,4-triazolo[3,4-a]phthalazine. Asian J. Chem. 2014, 26, 4405–4415. [Google Scholar] [CrossRef]
- El-Shamy, I.E.; Abdel-Mohsen, A.M.; Al-Shehri, M.M.; El-Hashash, M.A.; Al-Shamrani, K.M. Selenium containing heterocycles: Synthesis and antimicrobial evaluation of some new 4-substituted-2-(4-phenyl-2-(piperidin-1-yl)-1,3-selenazol-5-yl) phthalazin-1(2H)-ones. Life Sci. J. 2014, 11, 385–391. [Google Scholar]
- Mohamed, F.K.; Soliman, A.Y.; Abdel-Motaleb, R.M.; Abdel-Rahman, R.M.; Abdel-Mohsen, A.M.; Fouda, M.M.G.; Al-Deyab, S.S.; Hrdina, R. Synthesis and antibacterial activity of new quinoline derivatives started from coumarin compounds. J. Pure Appl. Microbiol. 2013, 7, 453–458. [Google Scholar]
- Loh, V.M., Jr.; Cockcroft, X.; Dillon, K.J.; Dixon, L.; Drzewiecki, J.; Eversley, P.J.; Gomez, S.; Hoare, J.; Kerrigan, F.; Matthews, I.T.W. Phthalazinones. Part 1: The design and synthesis of a novel series of potent inhibitors of poly (ADP-ribose)polymerase. Bioorg. Med. Chem. Lett. 2005, 15, 2235–2239. [Google Scholar] [CrossRef]
- Aly, A.S.; Abdel-Mohsen, A.M.; Hrdina, R.; Abou-Okeil, A. Preparation and characterization of polyethylene glycol/dimethyl siloxane adduct and its utilization as finishing agent for cotton fabric. J. Nat. Fibers 2011, 8, 176–188. [Google Scholar] [CrossRef]
- Mohamed, F.K.; Soliman, A.Y.; Abdel-Rahman, R.M.; Abdel-Mohsen, A.M.; Fouda, M.M.G.; Almonasy, N.; Mohamed, A.S. Synthesis and antibacterial activity of 3-arylidene chromen-2,4-dione derivatives. Life Sci. J. 2013, 10, 840–845. [Google Scholar]
- Hamamto, Y.; Nagai, K.; Muto, M.; Asagami, C. Inhibitory effect of azelastine, a potent antiallergic agent, on release of tumor necrosis factor-alpha from activated human peripheral blood mononuclear cells and U937 cells. Exp. Dermatol. 1993, 2, 231–235. [Google Scholar] [CrossRef] [PubMed]
- Del Olmo, E.; Barboza, B.; Ybarra, M.I.; Lopez-Perez, J.L.; Carron, R.; Sevilla, M.A. Vasorelaxant activity of phthalazinones and related compounds. Bioorg Med. Chem. Lett. 2006, 16, 2786–2790. [Google Scholar] [CrossRef] [PubMed]
- El-Shamy, I.E.; Bakeer, H.M.; Abdel-Mohsen, A.M.; Al-Shehri, M.M.; Al-Shamrani, K.M. Synthesis of some new N-glycosyl and 4-aryl-2-((1-(piperidin-1-ylmethyl)-1H-benzo[d]imidazol-2-yl) methyl) phthalazin-1(2H)-one. Life Sci. J. 2014, 11, 94–99. [Google Scholar]
- Mirali, M.; Jafariazar, Z.; Mirzaei, M. Loading Tacrine Alzheimer’s Drug at the Carbon Nanotube: DFT Approach. Lab-in-Silico 2021, 2, 3–8. [Google Scholar]
- Hleli, E.; Mbarek, M.; Gouid, Z.; Ulbricsht, C.; Romdhane, S.; Said, R.B.; Guesmi, M.; Egbe, D.A.M.; Bouchriha, H. DFT study of optical and electronic properties of anthracene containing PPE-PPVs. J. Phys. Chem. Solids 2020, 136, 109157. [Google Scholar] [CrossRef]
- Ben Salah, Y.; Altowyan, A.S.; Mbarek, M.; Alimi, K. Complementary Study Based on DFT of Optical and Electronic Properties of New Copolymer PVK-F8T2. Polym. J. 2021, 13, 1805. [Google Scholar] [CrossRef]
- El-Sayed, H.A.; Moustafa, A.H.; Haikal, A.Z.; El Ashry, E.H. Synthesis, antitumor and antimicrobial activities of 4-(4-chlorophenyl)-3-cyano-2-(β-O-glycosyloxy)-6-(thien-2-yl)-nicotinonitrile. Eur. J. Med. Chem. 2011, 46, 2948–2954. [Google Scholar] [CrossRef] [PubMed]
- Khalil, N.S. Efficient synthesis, structure, and antimicrobial activity of some novel N- and S-β-d-glucosides of 5-pyridin-3-yl-1,2,4-triazoles. Carbohydr. Res. 2006, 341, 2187–2199. [Google Scholar] [CrossRef]
- Awad, L.F.; El Ashry, E.H. Synthesis and conformational analysis of seco C-nucleosides and their diseco double-headed analogues of the 1,2,4-triazole, 1,2,4-triazolo[3,4-b]1,3,4-thiadiazole. Carbohydr. Res. 1998, 312, 9–22. [Google Scholar] [CrossRef]
- Hamed, A.; Abo-Amaym, E.R.; El Ashry, E.H. Synthesis of acyclo C-nucleosides of phenanthro [9,10-1,2,4] triazino[3,4-c]-[1,2,4] triazoles, and their precursors. Nucleosides Nucleotides 1998, 17, 1385–1407. [Google Scholar] [CrossRef] [PubMed]
- Soliman, A.Y.; Mohamed, F.K.; Abdel-Motaleb, R.M.; Abdel-Rahman, R.M.; Abdel-Mohsen, A.M.; Fouda, M.M.G.; Al Deyab, s.s.; Mohamed, A.S. Synthesis of new coumarin derivatives using Diels-Alder reaction. Life Sci. J. 2013, 10, 846–850. [Google Scholar]
- Koopmans, T. Uber die Zuordnung von Wellenfunktiomen und Eigenwerten zu den einzelnen Elektronen eines Atoms. Physica 1934, 1, 104–113. [Google Scholar] [CrossRef]
- Fleming, I. Frontier Orbitals and Organic Chemical Reactions; John Wiley and Sons: New York, NY, USA, 1976. [Google Scholar]
- Coulibaly, W.K.; N’dri, J.S.; Koné, M.G.-R.; Dago, C.D.; Ambeu, C.N.; Bazureau, J.P.; Ziao, N. Studies of the chemical reactivity of a series of rhodanine derivatives by approaches to quantum chemistry. Comput. Mol. Biosci. 2019, 9, 49. [Google Scholar] [CrossRef][Green Version]
- Das, R.; Vigneresse, J.L.; Chattaraj, P.K. Chemical reactivity through structure—Stability landscape. Int. J. Quantum Chem. 2014, 114, 1421. [Google Scholar] [CrossRef]
- Dennington, R.; Keith, T.; Millam, J. GaussView, Version 5.0.8; Semichem Inc.: Shawnee Mission, KS, USA, 2009. [Google Scholar]
- Hao, M.H. Theoretical Calculation of Hydrogen-Bonding Strength for Drug Molecules. J. Chem. Theory Comput. 2006, 2, 863–872. [Google Scholar] [CrossRef]
- El-Shamy, I.E.; Abdel-Mohsen, A.M.; Fouda, M.M.G.; Almonasy, N.; Al-Deyab, S.S.; El-Hashash, M.A. Selenium containing heterocyclic: Synthesis, antimicrobial of some new selenazole Substituted phthalazinone. Life Sci. J. 2013, 4, 799–809. [Google Scholar]
- Aly, A.S.; Abdel-Mohsen, A.M.; Hebeish, A. Innovative multi-finishing using chitosan-O-MPEG graft copolymer/citric acid aqueous system for preparation of medical textiles. J. Text. Inst. 2010, 101, 76–90. [Google Scholar] [CrossRef]
- Jaki, B.; Orjala, J.; Burji, H.R.; Sticher, O. Biological screening of cyanobacteria for antimicrobial and molluscicidal activity, brine shrimp lethality, and cytotoxicity. J. Pharm. Biol. 1999, 37, 138–143. [Google Scholar] [CrossRef]
- Orio, M.; Pantazis, D.A.; Neese, F. Density functional theory. Photosynth. Res. 2009, 102, 443–453. [Google Scholar] [CrossRef]
- Frisch, M.J.; Trucks, G.W.; Schlegel, H.B.; Scuseria, G.E.; Robb, M.A.; Cheeseman, J.R.; Scalmani, G.; Barone, V.; Petersson, G.A.; Nakatsuji, H. Gaussian 16, Revision, A.03; Gaussian Inc.: Wallingford, CT, USA, 2016. [Google Scholar]








| Compd. No. | Diameter of the Inhibition Zone a (mm) | |||||
|---|---|---|---|---|---|---|
| Bacteria | Fungi | |||||
| Staphylococcus epidermidis MTCCB 1824 | Staphylococcus aureus MTCCB 737 | Escherichia coli MTCCB 1652 | Aspergillus niger | Aspergillus fumigatus | Alternaria alternata | |
| 16 | 23 | 22 | 19 | 18 | 21 | 19 |
| 18 | 20 | 23 | 19 | 19 | 17 | 18 |
| 20 | 26 | 27 | 26 | 14 | 15 | 14 |
| 26a | 22 | 24 | 25 | 19 | 18 | 20 |
| 33a | 27 | 28 | 29 | 15 | 17 | 16 |
| Tetracycline b | 25 | 30 | 28 | - | - | - |
| Ketoconazole b | - | - | - | 20 | 18 | 21 |
| The Selected Organisms | Minimum Inhibitory Concentration (MIC) | |||||
|---|---|---|---|---|---|---|
| 16 | 18 | 20 | 26a | 33a | Standard a | |
| Staphylococcus aureus (MTCCB 737) | 50 | 50 | 25 | 50 | 50 | 6.25 |
| Escherichia coli (MTCCB 1652) | >100 | >100 | 12.5 | >100 | 25 | 12.5 |
| Aspergillus niger | 25 | >100 | 25 | 25 | 50 | 6.25 |
| Alternaria alternata | 25 | 50 | 50 | 25 | 50 | 6.25 |
| Samples | 95% Confidence Limit ppm | Regression Equation | X2 (df) | ||
|---|---|---|---|---|---|
| LC50 | Lower | Upper | |||
| 16 | 1.39 | 0.69 | 2.82 | y = 3.54 + 1.29x | 0.41 (2) |
| 18 | 2.31 | 1.30 | 4.10 | y = 4.36 + 1.78x | 0.32 (2) |
| 20 | 3.54 | 2.08 | 6.02 | y = 3.98 + 1.85x | 3.38 (2) |
| 26a | 0.58 | 0.19 | 1.77 | y = 4.08 + 1.22x | 0.20 (2) |
| 33a | 6.49 | 4.16 | 10.15 | y = 3.16 + 2.28x | 0.36 (2) |
| Bleomycin a | 0.41 | 0.27 | 0.62 | y = 3.16 + 2.98x | 0.62 (2) |
| Gallic acid a | 4.53 | 3.33 | 6.15 | y = 3.93 + 1.62x | 1.25 (2) |
| Compound Number | HOMO (eV) | LUMO (eV) | Gap Energy HOMO–LUMO (eV) |
|---|---|---|---|
| 1 | −7.55109 | −1.77795 | 5.77 |
| 16a | −5.32764 | −2.02581 | 3.30 |
| 18a | −5.3001 | −1.65888 | 3.64 |
| 20a | −5.30172 | −1.64781 | 3.65 |
| 26a | −5.26257 | −1.47582 | 3.78 |
| 29a | −5.28363 | −1.69722 | 3.58 |
| 33a | −5.45913 | −1.92429 | 3.53 |
| Compound Number | I (eV) | A (eV) | µ (eV) | ꭓ (eV) | η (eV) | σ (eV) | |
|---|---|---|---|---|---|---|---|
| 1 | 7.55 | 1.77 | −4.66 | 4.66 | 2.89 | 0.38 | 3.76 |
| 16a | 5.32 | 2.02 | −3.67 | 3.67 | 1.65 | 0.31 | 4.09 |
| 18a | 5.30 | 1.65 | −3.47 | 3.47 | 1.82 | 0.34 | 3.31 |
| 20a | 5.30 | 1.64 | −3.47 | 3.47 | 1.83 | 0.34 | 3.29 |
| 26a | 5.26 | 1.47 | −3.36 | 3.36 | 1.89 | 0.36 | 2.99 |
| 29a | 5.28 | 1.69 | −3.49 | 3.49 | 1.79 | 0.34 | 3.39 |
| 33a | 5.45 | 1.92 | −3.69 | 3.69 | 1.76 | 0.32 | 3.86 |
Disclaimer/Publisher’s Note: The statements, opinions and data contained in all publications are solely those of the individual author(s) and contributor(s) and not of MDPI and/or the editor(s). MDPI and/or the editor(s) disclaim responsibility for any injury to people or property resulting from any ideas, methods, instructions or products referred to in the content. |
© 2022 by the authors. Licensee MDPI, Basel, Switzerland. This article is an open access article distributed under the terms and conditions of the Creative Commons Attribution (CC BY) license (https://creativecommons.org/licenses/by/4.0/).
Share and Cite
El-Shamy, I.E.; Hleli, E.; Alsheikh, A.A.; Yawer, M.A.; El-Hashash, M.A.; Dybal, J.; Abdel-Mohsen, A.M. Synthesis of Some Mono- and Disaccharide-Grafting Phthalazine Derivatives and Some New Se-Nucleoside Analogues: Antibacterial Properties, Quantum Chemical Calculations, and Cytotoxicity. Molecules 2023, 28, 317. https://doi.org/10.3390/molecules28010317
El-Shamy IE, Hleli E, Alsheikh AA, Yawer MA, El-Hashash MA, Dybal J, Abdel-Mohsen AM. Synthesis of Some Mono- and Disaccharide-Grafting Phthalazine Derivatives and Some New Se-Nucleoside Analogues: Antibacterial Properties, Quantum Chemical Calculations, and Cytotoxicity. Molecules. 2023; 28(1):317. https://doi.org/10.3390/molecules28010317
Chicago/Turabian StyleEl-Shamy, I. E., E. Hleli, A. A. Alsheikh, M. A. Yawer, M. A. El-Hashash, J. Dybal, and A. M. Abdel-Mohsen. 2023. "Synthesis of Some Mono- and Disaccharide-Grafting Phthalazine Derivatives and Some New Se-Nucleoside Analogues: Antibacterial Properties, Quantum Chemical Calculations, and Cytotoxicity" Molecules 28, no. 1: 317. https://doi.org/10.3390/molecules28010317
APA StyleEl-Shamy, I. E., Hleli, E., Alsheikh, A. A., Yawer, M. A., El-Hashash, M. A., Dybal, J., & Abdel-Mohsen, A. M. (2023). Synthesis of Some Mono- and Disaccharide-Grafting Phthalazine Derivatives and Some New Se-Nucleoside Analogues: Antibacterial Properties, Quantum Chemical Calculations, and Cytotoxicity. Molecules, 28(1), 317. https://doi.org/10.3390/molecules28010317

