Evaluation of the Chemical Composition and Antioxidant Activity of Mulberry (Morus alba L.) Fruits from Different Varieties in China
Abstract
:1. Introduction
2. Results and Discussion
2.1. Total Phenolic and Flavonoid Contents in Mulberry
2.2. The Vitamin C, Reducing Sugar, and Titratable Acidity Contents
2.3. Determination of Main Anthocyanin Contents by HPLC
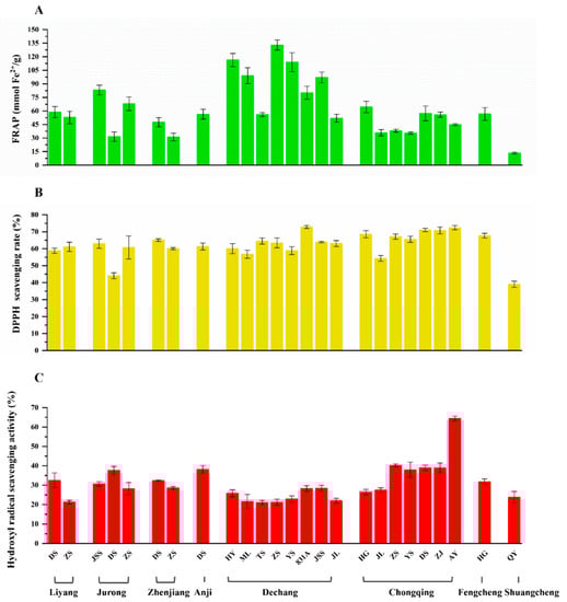
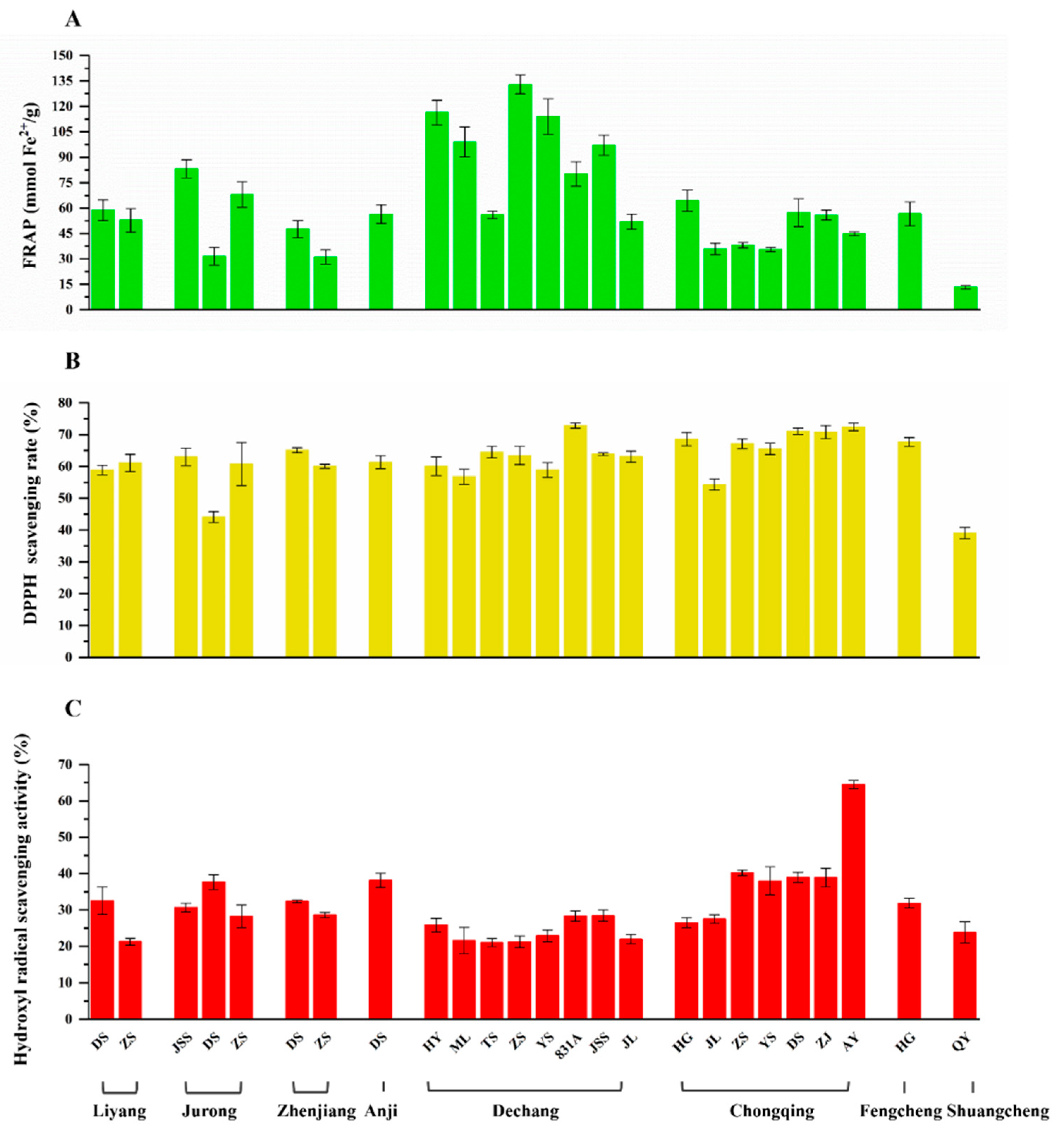
2.4. Antioxidant Capacity
2.5. Principal Component Analysis
0.327 OH scavenging + 0.870 C3G + 0.712 C3R
0.613 OH scavenging − 0.029 C3G − 0.197 C3R
3. Materials and Methods
3.1. Chemicals and Reagents
3.2. Plant Material
3.3. Extraction of the Mulberry Fruit
3.4. Total Phenolic Content
3.5. Total Flavonoid Content
3.6. Anthocyanin Content
3.6.1. Extraction of Mulberry Anthocyanins
3.6.2. HPLC Analysis
3.6.3. Method Validation
3.7. Vitamin C Content
3.8. Reducing Sugar Content
3.9. Titratable Acidity Content
3.10. Antioxidant Activity
3.10.1. Total Antioxidant Capacity-FRAP Assay
3.10.2. DPPH Radical-Scavenging Capacity
3.10.3. Hydroxyl Radical Scavenging Activity Assay
3.11. Statistical Analysis
4. Conclusions
Author Contributions
Funding
Institutional Review Board Statement
Informed Consent Statement
Data Availability Statement
Conflicts of Interest
Sample Availability
References
- Afrin, S.; Giampieri, F.; Forbes-Hernandez, T.Y.F.; Gasparrini, M.; Amici, A.; Cianciosi, D.; Quiles, J.L.; Battino, M. Manuka honey synergistically enhances the chemopreventive effect of 5-fluorouracil on human colon cancer cells by inducing oxidative stress and apoptosis, altering metabolic phenotypes and suppressing metastasis ability. Free Radic. Biol. Med. 2018, 126, 41–54. [Google Scholar] [CrossRef]
- Baranauskaite, J.; Kubiliene, A.; Marksa, M.; Petrikaite, V.; Vitkevicius, K.; Baranauskas, A.; Bernatoniene, J. The Influence of different oregano species on the antioxidant activity determined using HPLC postcolumn DPPH method and anticancer activity of carvacrol and rosmarinic acid. Biomed. Res. Int. 2017, 2017, 1681392. [Google Scholar] [CrossRef] [Green Version]
- Pan, P.; Huang, Y.W.; Oshima, K.; Yearsley, M.; Zhang, J.Y.; Yu, J.H.; Arnold, M.; Wang, L.S. An immunological perspective for preventing cancer with berries. J. Berry Res. 2018, 8, 163–175. [Google Scholar] [CrossRef]
- Santhakumar, A.B.; Battino, M.; Alvarez-Suarez, J.M. Dietary polyphenols: Structures, bioavailability and protective effects against atherosclerosis. Food Chem. Toxicol. 2018, 113, 49–65. [Google Scholar] [CrossRef]
- Zhang, H.X.; Ma, Z.F.; Luo, X.Q.; Li, X.L. Effects of mulberry fruit (Morus alba L.) consumption on health outcomes: A Mini-Review. Antioxidants 2018, 7, 69. [Google Scholar] [CrossRef] [Green Version]
- Bao, T.; Xu, Y.; Gowd, V.; Zhao, J.C.; Xie, J.H.; Liang, W.K.; Chen, W. Systematic study on phytochemicals and antioxidant activity of some new and common mulberry cultivars in China. J. Funct. Foods 2016, 25, 537–547. [Google Scholar] [CrossRef]
- Huang, H.P.; Ou, T.T.; Wang, C.J. Mulberry (sang shen zi) and its bioactive compounds, the chemoprevention effects and molecular mechanisms in vitro and in vivo. J. Tradit. Complement. Med. 2013, 3, 7–15. [Google Scholar] [CrossRef] [Green Version]
- Peng, C.H.; Liu, L.K.; Chuang, C.M.; Chyau, C.C.; Huang, C.N.; Wang, C.J. Mulberry water extracts possess an anti-obesity effect and ability to inhibit hepatic lipogenesis and promote lipolysis. J. Agric. Food Chem. 2011, 59, 2663–2671. [Google Scholar] [CrossRef]
- Gundogdu, M.; Muradoglu, F.; Sensoy, R.I.G.; Yilmaz, H. Determination of fruit chemical properties of Morus nigra L., Morus alba L. and Morus rubra L. by HPLC. Sci. Hortic. 2011, 132, 37–41. [Google Scholar] [CrossRef]
- Mikulic-Petkovsek, M.; Slatnar, A.; Stampar, F.; Veberic, R. HPLC-MSn identification and quantification of flavonol glycosides in 28 wild and cultivated berry species. Food Chem. 2012, 135, 2138–2146. [Google Scholar] [CrossRef]
- Natic, M.M.; Dabic, D.C.; Papetti, A.; Aksic, M.M.F.; Ognjanov, V.; Ljubojevic, M.; Tesic, Z.L. Analysis and characterisation of phytochemicals in mulberry (Morus alba L.) fruits grown in Vojvodina, North Serbia. Food Chem. 2015, 171, 128–136. [Google Scholar] [CrossRef]
- Veberic, R.; Slatnar, A.; Bizjak, J.; Stampar, F.; Mikulic-Petkovsek, M. Anthocyanin composition of different wild and cultivated berry species. Lwt-Food Sci. Technol. 2015, 60, 509–517. [Google Scholar] [CrossRef]
- Jin, Q.; Yang, J.F.; Ma, L.Y.; Wen, D.W.; Chen, F.; Li, J.M. Identification of polyphenols in mulberry (genus Morus) cultivars by liquid chromatography with time-of-flight mass spectrometer. J. Food Compos. Anal. 2017, 63, 55–64. [Google Scholar] [CrossRef]
- Konczak, I.; Zhang, W. Anthocyanins—More than nature’s colours. J. Biomed. Biotechnol. 2004, 5, 239–240. [Google Scholar] [CrossRef] [Green Version]
- Zafra-Stone, S.; Yasmin, T.; Bagchi, M.; Chatterjee, A.; Vinson, J.A.; Bagchi, D. Berry anthocyanins as novel antioxidants in human health and disease prevention. Mol. Nutr. Food Res. 2007, 51, 675–683. [Google Scholar] [CrossRef]
- Dugo, P.; Mondello, L.; Errante, G.; Zappia, G.; Dugo, G. Identification of anthocyanins in berries by narrow-bore high-performance liquid chromatography with electrospray ionization detection. J. Agric. Food Chem. 2001, 49, 3987–3992. [Google Scholar] [CrossRef]
- Kamiloglu, S.; Serali, O.; Unal, N.; Capanoglu, E. Antioxidant activity and polyphenol composition of black mulberry (Morus nigra L.) products. J. Berry Res. 2013, 3, 41–51. [Google Scholar] [CrossRef] [Green Version]
- Stefanut, M.N.; Cata, A.; Pop, R.; Mosoarca, C.; Zamfir, A.D. Anthocyanins HPLC-DAD and MS characterization, total phenolics, and antioxidant activity of some berries extracts. Anal. Lett. 2011, 44, 2843–2855. [Google Scholar] [CrossRef]
- Lee, J.; Rennaker, C.; Wrolstad, R.E. Correlation of two anthocyanin quantification methods: HPLC and spectrophotometric methods. Food Chem. 2008, 110, 782–786. [Google Scholar] [CrossRef]
- Zhang, D.Y.; Wan, Y.; Hao, J.Y.; Hu, R.Z.; Chen, C.; Yao, X.H.; Zhao, W.G.; Liu, Z.Y.; Li, L. Evaluation of the alkaloid, polyphenols, and antioxidant contents of various mulberry cultivars from different planting areas in eastern China. Ind. Crop Prod. 2018, 122, 298–307. [Google Scholar] [CrossRef]
- Zhang, D.Y.; Luo, M.; Wang, W.; Zhao, C.J.; Gu, C.B.; Zu, Y.G.; Fu, Y.J.; Yao, X.H.; Duan, M.H. Variation of active constituents and antioxidant activity in pyrola (P. incarnata Fisch.) from different sites in Northeast China. Food Chem. 2013, 141, 2213–2219. [Google Scholar] [CrossRef]
- Liang, L.H.; Wu, X.Y.; Zhu, M.M.; Zhao, W.G.; Li, F.; Zou, Y.; Yang, L.Q. Chemical composition, nutritional value, and antioxidant activities of eight mulberry cultivars from China. Pharmacogn. Mag. 2012, 8, 215–224. [Google Scholar] [CrossRef] [Green Version]
- Song, W.; Wang, H.J.; Bucheli, P.; Zhang, P.F.; Wei, D.Z.; Lu, Y.H. Phytochemical profiles of different mulberry (Morus sp.) species from China. J. Agric. Food Chem. 2009, 57, 9133–9140. [Google Scholar] [CrossRef]
- Jiang, Y.; Nie, W.J. Chemical properties in fruits of mulberry species from the Xinjiang province of China. Food Chem. 2015, 174, 460–466. [Google Scholar] [CrossRef]
- Yang, J.; Zhang, X.; Jin, Q.; Gu, L.; Liu, X.; Li, J.; Ni, Y. Effect of meteorological parameters and regions on accumulation pattern of phenolic compounds in different mulberry cultivars grown in China. Nat. Prod. Res. 2017, 31, 1091–1096. [Google Scholar] [CrossRef]
- Contessa, C.; Mellano, M.G.; Beccaro, G.L.; Giusiano, A.; Botta, R. Total antioxidant capacity and total phenolic and anthocyanin contents in fruit species grown in Northwest Italy. Sci. Hortic. 2013, 160, 351–357. [Google Scholar] [CrossRef]
- Imran, M.; Khan, H.; Shah, M.; Khan, R.; Khan, F. Chemical composition and antioxidant activity of certain Morus species. J. Zhejiang Univ. Sci. B 2010, 11, 973–980. [Google Scholar] [CrossRef]
- Calin-Sanchez, A.; Martinez-Nicolas, J.; Munera-Picazo, S.; Carbonell-Barrachina, A.; Legua, P.; Hernandez, F. Bioactive compounds and sensory quality of black and white mulberries grown in Spain. Plant Food Hum. Nutr. 2013, 68, 370–377. [Google Scholar] [CrossRef]
- Silva, E.D.; da Silva, E.G.P.; Silva, D.D.; Novaes, C.G.; Amorim, F.A.C.; dos Santos, M.J.S.; Bezerra, M.A. Evaluation of macro and micronutrient elements content from soft drinks using principal component analysis and Kohonen self-organizing maps. Food Chem. 2019, 273, 9–14. [Google Scholar] [CrossRef]
- Kim, I.; Lee, J. Variations in anthocyanin profiles and antioxidant activity of 12 genotypes of mulberry (Morus spp.) fruits and their changes during processing. Antioxidants 2020, 9, 242. [Google Scholar] [CrossRef] [Green Version]
- Wang, S.Y.; Fordham, I.M. Differences in chemical composition and antioxidant capacity among different genotypes of autumn olive (Elaeagnus umbellate Thunb.). Food Technol. Biotechnol. 2007, 45, 402–409. [Google Scholar]
- Sanchez-Salcedo, E.M.; Sendra, E.; Carbonell-Barrachina, A.A.; Martinez, J.J.; Hernandez, F. Fatty acids composition of Spanish black (Morus nigra L.) and white (Morus alba L.) mulberries. Food Chem. 2016, 190, 566–571. [Google Scholar] [CrossRef]
- Um, M.; Shin, G.J.; Lee, J.W. Extraction of total phenolic compounds from yellow poplar hydrolysate and evaluation of their antioxidant activities. Ind. Crop Prod. 2017, 97, 574–581. [Google Scholar] [CrossRef]
- Yao, X.H.; Zhang, D.Y.; Zu, Y.G.; Fu, Y.J.; Luo, M.; Gu, C.B.; Li, C.Y.; Mu, F.S.; Efferth, T. Free radical scavenging capability, antioxidant activity and chemical constituents of Pyrola incarnata Fisch leaves. Ind. Crop Prod. 2013, 49, 247–255. [Google Scholar] [CrossRef]
- Chinese Standard GB 5009.86; Determination of Ascorbic Acid in Food. Standards Press of China: Beijing, China, 2016.
- Chinese Standard GB 12293; Fruit and Vegetable Products—Determination of Titrate Acidity. Standards Press of China: Beijing, China, 1990.
- Wu, N.; Zu, Y.G.; Fu, Y.J.E.; Kong, Y.; Zhao, J.T.; Li, X.J.; Li, J.; Wink, M.; Efferth, T. Antioxidant activities and xanthine oxidase inhibitory effects of extracts and main polyphenolic compounds obtained from Geranium sibiricum L. J. Agric. Food Chem. 2010, 58, 4737–4743. [Google Scholar] [CrossRef]
- Wu, H.; Zhu, J.X.; Diao, W.C.; Wang, C.R. Ultrasound-assisted enzymatic extraction and antioxidant activity of polysaccharides from pumpkin (Cucurbita moschata). Carbohyd. Polym. 2014, 113, 314–324. [Google Scholar] [CrossRef]





| Varieties | Abbreviation |
|---|---|
| Dashi | DS |
| Zhongsang 5801 | ZS |
| Jushensang | JSS |
| Huayang | HY |
| Miaoli 1 | ML |
| Tongshan 3 | TS |
| Yunsang 2 | YS |
| 831A | 831A |
| Jialing 30 | JL |
| Hongguo 1 | HG |
| Zijin 6 | ZJ |
| Aoyv | AY |
| Qiuyv | QY |
| No. | Origins | Varieties | TPC (mg GAE/g) | TFC (mg RE/g) | MAC (mg/g) | VC (mg/100 g) | Reducing Sugar | Titratable Acidity |
|---|---|---|---|---|---|---|---|---|
| (%) | (%) | |||||||
| 1 | Liyang | DS | 2.393 ± 0.048 f,g | 0.934 ± 0.054 k,l | 3.061 ± 0.022 n | 11.696 ± 0.799 k | 4.242 ± 0.089 j | 2.494 ± 0.292 f |
| 2 | Liyang | ZS | 1.691 ± 0.212 h,i | 0.335 ± 0.051 m | 2.481 ± 0.059 o | 12.532 ± 0.378 k | 5.157 ± 0.036 h | 1.661 ± 0.379 j,k |
| 3 | Jurong | JSS | 2.329 ± 0.178 f,g | 1.132 ± 0.097 j,k | 3.285 ± 0.030 j,k | 30.589 ± 0.349 g,h | 2.960 ± 0.059 n | 2.291 ± 0.088 f,g |
| 4 | Jurong | DS | 2.724 ± 0.079 j | 1.427 ± 0.142 h,i | 3.237 ± 0.025 k,l | 29.552 ± 0.745 h | 7.041 ± 0.053 e | 2.563 ± 0.140 f |
| 5 | Jurong | ZS | 2.326 ± 0.260 f,g | 1.810 ± 0.152 f,g | 3.792 ± 0.012 g | 40.636 ± 1.240 b–d | 4.727 ± 0.183 i | 2.561 ± 0.284 f |
| 6 | Zhenjiang | DS | 2.478 ± 0.288 f | 0.948 ± 0.047 k,l | 3.334 ± 0.022 j | 18.539 ± 2.016 j | 4.661 ± 0.012 i | 1.951 ± 0.023 h |
| 7 | Zhenjiang | ZS | 2.016 ± 0.183 g,h | 0.769 ± 0.080 l | 5.565 ± 0.124 b | 33.062 ± 1.433 f,g | 2.842 ± 0.034 n,o | 1.791 ± 0.048 i |
| 8 | Anji | DS | 1.749 ± 0.109 h,i | 1.848 ± 0.106 f | 3.629 ± 0.017 h | 40.000 ± 1.404 c,d | 0.515 ± 0.027 t | 2.347 ± 0.122 f |
| 9 | Dechang | HY | 4.433 ± 0.120 c | 2.874 ± 0.134 b | 5.046 ± 0.058 c | 35.795 ± 2.571 e,f | 3.259 ± 0.018 m | 5.284 ± 0.379 b |
| 10 | Dechang | ML | 4.383 ± 0.137 c | 2.798 ± 0.301 b,c | 4.604 ± 0.019 e | 32.897 ± 1.721 f,g | 1.323 ± 0.123 q | 3.946 ± 0.664 d |
| 11 | Dechang | TS | 2.620 ± 0.115 f | 2.450 ± 0.243 d,e | 0.966 ± 0.009 q | 45.712 ± 2.775 a | 2.557 ± 0.122 p | 3.467 ± 0.191 e |
| 12 | Dechang | ZS | 6.307 ± 0.541 a | 3.662 ± 0.269 a | 5.737 ± 0.052 a | 38.162 ± 1.889 d,e | 6.718 ± 0.148 f | 1.903 ± 0.145 h |
| 13 | Dechang | YS | 4.406 ± 0.116 c | 2.585 ± 0.145 c,d | 4.884 ± 0.027 d | 43.498 ± 2.124 a,b | 9.346 ± 0.088 b | 1.702 ± 0.121 i |
| 14 | Dechang | 831A | 3.341 ± 0.194 d,e | 2.631 ± 0.252 b–d | 4.081 ± 0.043 f | 35.465 ± 1.838 e,f | 16.961 ± 0.037 a | 0.997 ± 0.050 l |
| 15 | Dechang | JSS | 2.362 ± 0.176 f,g | 1.862 ± 0.098 f | 5.657 ± 0.002 a | 25.830 ± 1.749 i | 7.594 ± 0.085 d | 3.362 ± 0.181 e |
| 16 | Dechang | JL | 1.430 ± 0.115 i | 1.950 ± 0.191 f | 3.306 ± 0.018 j,k | 29.093 ± 3.439 h | 8.527 ± 0.305 c | 0.397 ± 0.023 m |
| 17 | Chongqing | HG | 4.526 ± 0.280 c | 2.261 ± 0.037 e | 2.477 ± 0.004 o | 3.310 ± 0.736 l | 2.770 ± 0.023 o | 5.498 ± 0.286 b |
| 18 | Chongqing | JL | 2.233 ± 0.042 f,g | 0.719 ± 0.055 l | 3.156 ± 0.002 l,m | 38.928 ± 2.832 c,d | 5.546 ± 0.158 g | 2.552 ± 0.104 f |
| 19 | Chongqing | ZS | 3.551 ± 0.268 d | 0.840 ± 0.082 l | 3.627 ± 0.023 h | 31.213 ± 2.447 g,h | 4.136 ± 0.092 j,k | 2.271 ± 0.039 f,g |
| 20 | Chongqing | YS | 3.504 ± 0.089 d | 1.318 ± 0.166 i,j | 1.138 ± 0.008 p | 31.119 ± 0.711 g,h | 1.093 ± 0.038 r | 5.174 ± 0.525 b,c |
| 21 | Chongqing | DS | 4.929 ± 0.341 b | 1.593 ± 0.065 g,h | 3.186 ± 0.097 l,m | 28.209 ± 1.552 h,i | 5.569 ± 0.071 g | 4.762 ± 0.174 c |
| 22 | Chongqing | ZJ | 3.042 ± 0.236 e | 0.676 ± 0.107 l | 2.537 ± 0.026 o | 45.253 ± 2.611 a | 1.006 ± 0.031 r,s | 7.479 ± 0.495 a |
| 23 | Chongqing | AY | 2.487 ± 0.121 f | 0.746 ± 0.074 l | 3.126 ± 0.015 m,n | 42.155 ± 0.280 b,c | 3.909 ± 0.085 l | 7.327 ± 0.122 a |
| 24 | Fengcheng | HG | 3.083 ± 0.054 e | 1.463 ± 0.155 h,i | 3.523 ± 0.168 i | 40.506 ± 0.566 b–d | 0.884 ± 0.032 s | 1.628 ± 0.069 j,k |
| 25 | Shuangcheng | QY | 0.727 ± 0.101 j | 0.199 ± 0.023 m | 0.882 ± 0.006 q | 33.781 ± 0.896 f,g | 3.972 ± 0.015 k,l | 1.020 ± 0.126 l |
| No. | Origins | Varieties | Cyanidin-3-O-Glucoside (mg/g) | Pelargonidin-3-O-Rutinoside (mg/g) | Cyanidin-3-O-Rutinoside (mg/g) |
|---|---|---|---|---|---|
| 1 | Liyang | DS | 2.056 ± 0.041 k | 1.005 ± 0.050 f,g | - |
| 2 | Liyang | ZS | 1.791 ± 0.067 l | 0.691 ± 0.007 i,j | - |
| 3 | Jurong | JSS | 2.222 ± 0.069 i–k | 1.062 ± 0.044 e–g | - |
| 4 | Jurong | DS | 2.276 ± 0.032 i,j | 0.961 ± 0.009 g | - |
| 5 | Jurong | ZS | 2.612 ± 0.015 f,g | 1.180 ± 0.003 b–d | - |
| 6 | Zhenjiang | DS | 2.094 ± 0.037 k | 1.240 ± 0.022 b | - |
| 7 | Zhenjiang | ZS | 4.367 ± 0.243 a | 1.198 ± 0.134 b,c | - |
| 8 | Anji | DS | 2.545 ± 0.092 f–h | 1.083 ± 0.075 d–f | - |
| 9 | Dechang | HY | 3.885 ± 0.061 c | 1.161 ± 0.003 c–e | - |
| 10 | Dechang | ML | 3.524 ± 0.044 d | 1.080 ± 0.025 d–f | - |
| 11 | Dechang | TS | 0.966 ± 0.009 m | - | - |
| 12 | Dechang | ZS | 4.055 ± 0.100 b | 1.270 ± 0.031 b | 0.412 ± 0.018 a |
| 13 | Dechang | YS | 3.444 ± 0.174 d | 1.007 ± 0.152 f,g | 0.432 ± 0.038 a |
| 14 | Dechang | 831A | 2.914 ± 0.053 e | 0.763 ± 0.035 h,i | 0.404 ± 0.057 a |
| 15 | Dechang | JSS | 4.008 ± 0.014 b,c | 1.649 ± 0.013 a | - |
| 16 | Dechang | JL | 2.375 ± 0.028 h,i | 0.612 ± 0.014 j,k | 0.319 ± 0.014 a |
| 17 | Chongqing | HG | 2.121 ± 0.011 j,k | 0.356 ± 0.007 l | - |
| 18 | Chongqing | JL | 2.581 ± 0.031 f,g | 0.576 ± 0.033 k | - |
| 19 | Chongqing | ZS | 3.017 ± 0.060 e | 0.610 ± 0.036 j,k | - |
| 20 | Chongqing | YS | 0.871 ± 0.014 m | 0.268 ± 0.006 l,m | - |
| 21 | Chongqing | DS | 2.463 ± 0.132 g,h | 0.723 ± 0.036 h,i | - |
| 22 | Chongqing | ZJ | 1.854 ± 0.005 l | 0.683 ± 0.031 i,j | - |
| 23 | Chongqing | AY | 2.509 ± 0.003 g,h | 0.617 ± 0.018 j,k | - |
| 24 | Fengcheng | HG | 2.708 ± 0.293 f | 0.815 ± 0.134 h | - |
| 25 | Shuangcheng | QY | 0.656 ± 0.006 n | 0.226 ± 0.007 m | - |
| TPC | TFC | MAC | VC * | RS | TA | FRAP | DPPH | OH Scavenging | C3G | C3R | |
|---|---|---|---|---|---|---|---|---|---|---|---|
| TPC | 1.000 | 0.659 | 0.376 | 0.048 | 0.030 | 0.315 | 0.686 | 0.483 | −0.117 | 0.415 | 0.117 |
| TFC | 0.659 | 1.000 | 0.473 | 0.193 | 0.286 | −0.025 | 0.807 | 0.183 | −0.411 | 0.463 | 0.251 |
| MAC | 0.376 | 0.473 | 1.000 | 0.110 | 0.301 | −0.171 | 0.656 | 0.116 | −0.141 | 0.981 | 0.852 |
| VC | 0.048 | 0.193 | 0.110 | 1.000 | −0.028 | 0.083 | 0.124 | 0.014 | 0.152 | 0.133 | −0.038 |
| RS | 0.030 | 0.286 | 0.301 | −0.028 | 1.000 | −0.433 | 0.248 | 0.056 | −0.198 | 0.244 | 0.151 |
| TA | 0.315 | −0.025 | −0.171 | 0.083 | −0.433 | 1.000 | 0.037 | 0.398 | 0.556 | −0.102 | −0.180 |
| FRAP | 0.686 | 0.807 | 0.656 | 0.124 | 0.248 | 0.037 | 1.000 | 0.228 | −0.370 | 0.610 | 0.541 |
| DPPH | 0.483 | 0.183 | 0.116 | 0.014 | 0.056 | 0.398 | 0.228 | 1.000 | 0.349 | 0.144 | −0.014 |
| OH scavenging | −0.117 | −0.411 | −0.141 | 0.152 | −0.198 | 0.556 | −0.370 | 0.349 | 1.000 | −0.114 | −0.072 |
| C3G | 0.415 | 0.463 | 0.981 | 0.133 | 0.244 | −0.102 | 0.610 | 0.144 | −0.114 | 1.000 | 0.758 |
| C3R | 0.117 | 0.251 | 0.852 | −0.038 | 0.151 | −0.180 | 0.541 | −0.014 | −0.072 | 0.758 | 1.000 |
Publisher’s Note: MDPI stays neutral with regard to jurisdictional claims in published maps and institutional affiliations. |
© 2022 by the authors. Licensee MDPI, Basel, Switzerland. This article is an open access article distributed under the terms and conditions of the Creative Commons Attribution (CC BY) license (https://creativecommons.org/licenses/by/4.0/).
Share and Cite
Chen, T.; Shuang, F.-F.; Fu, Q.-Y.; Ju, Y.-X.; Zong, C.-M.; Zhao, W.-G.; Zhang, D.-Y.; Yao, X.-H.; Cao, F.-L. Evaluation of the Chemical Composition and Antioxidant Activity of Mulberry (Morus alba L.) Fruits from Different Varieties in China. Molecules 2022, 27, 2688. https://doi.org/10.3390/molecules27092688
Chen T, Shuang F-F, Fu Q-Y, Ju Y-X, Zong C-M, Zhao W-G, Zhang D-Y, Yao X-H, Cao F-L. Evaluation of the Chemical Composition and Antioxidant Activity of Mulberry (Morus alba L.) Fruits from Different Varieties in China. Molecules. 2022; 27(9):2688. https://doi.org/10.3390/molecules27092688
Chicago/Turabian StyleChen, Tao, Fei-Fan Shuang, Qing-Yue Fu, Yu-Xiong Ju, Chen-Man Zong, Wei-Guo Zhao, Dong-Yang Zhang, Xiao-Hui Yao, and Fu-Liang Cao. 2022. "Evaluation of the Chemical Composition and Antioxidant Activity of Mulberry (Morus alba L.) Fruits from Different Varieties in China" Molecules 27, no. 9: 2688. https://doi.org/10.3390/molecules27092688
APA StyleChen, T., Shuang, F.-F., Fu, Q.-Y., Ju, Y.-X., Zong, C.-M., Zhao, W.-G., Zhang, D.-Y., Yao, X.-H., & Cao, F.-L. (2022). Evaluation of the Chemical Composition and Antioxidant Activity of Mulberry (Morus alba L.) Fruits from Different Varieties in China. Molecules, 27(9), 2688. https://doi.org/10.3390/molecules27092688
