Asymmetric Epoxidation of Olefins with Sodium Percarbonate Catalyzed by Bis-amino-bis-pyridine Manganese Complexes
Abstract
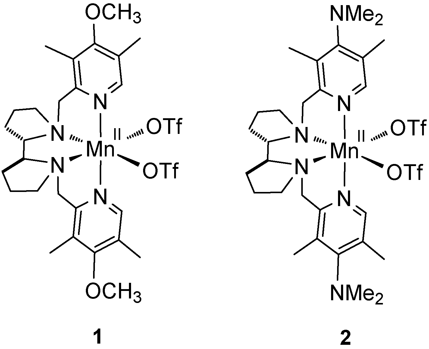
:1. Introduction
2. Results and Discussion
3. Materials and Methods
3.1. Materials
3.2. Instrumentation
3.3. General Procedure for the Catalytic Epoxidation of Olefins with Sodium Percarbonate
4. Conclusions
Supplementary Materials
Author Contributions
Funding
Institutional Review Board Statement
Informed Consent Statement
Data Availability Statement
Acknowledgments
Conflicts of Interest
Sample Availability
References
- Matsumoto, K.; Katsuki, T. Asymmetric Oxidations and Related Reactions. In Catalytic Asymmetric Synthesis, 3rd ed.; Ojima, I., Ed.; John Wiley & Sons: Hoboken, NJ, USA, 2010. [Google Scholar]
- Bryliakov, K.P. Environmentally Sustainable Catalytic asymmetric Oxidations; CRC Press: Boca Raton, FL, USA, 2014. [Google Scholar]
- Dalpozzo, R.; Lattanzi, A.; Pellissier, H. Applications of Chiral Three-membered Rings for Total Synthesis: A Review. Curr. Org. Chem. 2017, 21, 1143–1191. [Google Scholar] [CrossRef] [Green Version]
- Thibodeaux, C.J.; Chang, W.-C.; Liu, H.-W. Enzymatic Chemistry of Cyclopropane, Epoxide, and Aziridine Biosynthesis. Chem. Rev. 2012, 112, 1681–1709. [Google Scholar] [CrossRef] [Green Version]
- Ueberbacher, B.T.; Hall, M.; Faber, K. Electrophilic and nucleophilic enzymatic cascade reactions in biosynthesis. Nat. Prod. Rep. 2012, 29, 337–350. [Google Scholar] [CrossRef]
- Kolb, H.C.; Finn, M.G.; Sharpless, K.B. Click Chemistry: Diverse Chemical Function from a Few Good Reactions. Angew. Chem. Int. Ed. 2001, 40, 2004–2021. [Google Scholar] [CrossRef]
- Que, L., Jr.; Tolman, W.B. Biologically inspired oxidation catalysis. Nature 2008, 455, 333–340. [Google Scholar] [CrossRef]
- De Faveri, G.; Ilyashenko, G.; Watkinson, M. Recent advances in catalytic asymmetric epoxidation using the environmentally benign oxidant hydrogen peroxide and its derivatives. Chem. Soc. Rev. 2011, 40, 1722–1760. [Google Scholar] [CrossRef]
- Srour, H.; Le Maux, P.; Chevance, S.; Simonneaux, G. Metal Catalyzed Asymmetric Sulfoxidation, Epoxidation and Hydroxylation by Hydrogen Peroxide. Coord. Chem. Rev. 2013, 257, 3030–3050. [Google Scholar] [CrossRef] [Green Version]
- Radhika, S.; Aneeja, T.; Philip, R.M.; Anilkumar, G. Recent advances and trends in the biomimetic iron-catalyzed asymmetric epoxidation. Appl. Organomet. Chem. 2021, 35, e6217. [Google Scholar] [CrossRef]
- Bryliakov, K.P. Catalytic Asymmetric Oxygenations with the Environmentally Benign Oxidants H2O2 and O2. Chem. Rev. 2017, 117, 11406–11459. [Google Scholar] [CrossRef] [Green Version]
- Ottenbacher, R.V.; Talsi, E.P.; Bryliakov, K.P. Chiral Manganese Aminopyridine Complexes: The Versatile Catalysts of Chemo- and Stereoselective Oxidations with H2O2. Chem. Rec. 2018, 18, 78–90. [Google Scholar] [CrossRef]
- Vicens, L.; Olivo, G.; Costas, M. Rational Design of Bioinspired Catalysts for Selective Oxidations. ACS Catal. 2020, 10, 8611–8631. [Google Scholar] [CrossRef]
- Philip, R.M.; Radhika, S.; Abdulla, C.M.A.; Anilkumar, G. Recent Trends and Prospects in Homogeneous Manganese-Catalysed Epoxidation. Adv. Synth. Catal. 2021, 363, 1272–1289. [Google Scholar] [CrossRef]
- Chen, J.; Jiang, Z.K.; Fukuzumi, S.; Nam, W.; Wang, B. Artificial nonheme iron and manganese oxygenases for enantioselective olefin epoxidation and alkane hydroxylation reactions. Coord. Chem. Rev. 2020, 421, 213443. [Google Scholar] [CrossRef]
- Wu, M.; Wang, B.; Wang, S.; Xia, C.; Sun, W. Asymmetric Epoxidation of Olefins with Chiral Bioinspired Manganese Complexes. Org. Lett. 2009, 11, 3622–3625. [Google Scholar] [CrossRef]
- Wang, B.; Miao, C.; Wang, S.; Xia, C.; Sun, W. Manganese Catalysts with C1-Symmetric N4 Ligand for Enantioselective Epoxidation of Olefins. Chem. Eur. J. 2012, 18, 6750–6753. [Google Scholar] [CrossRef]
- Wang, B.; Miao, C.; Wang, S.; Kuhn, F.E.; Xia, C.; Sun, W. Non-heme manganese complexes of C1-symmetric N4 ligands: Synthesis, characterization and asymmetric epoxidations of α,β-enones. J. Organomet. Chem. 2012, 715, 9–12. [Google Scholar] [CrossRef]
- Shen, D.; Miao, C.; Wang, S.; Xia, C.; Sun, W. A Mononuclear Manganese Complex of a Tetradentate Nitrogen Ligand—Synthesis, Characterizations, and Application in the Asymmetric Epoxidation of Olefins. Eur. J. Inorg. Chem. 2014, 2014, 5777–5782. [Google Scholar] [CrossRef]
- Shen, D.; Qiu, B.; Xu, D.; Miao, C.; Xia, C.; Sun, W. Enantioselective Epoxidation of Olefins with H2O2 Catalyzed by Bioinspired Aminopyridine Manganese Complexes. Org. Lett. 2016, 18, 372–375. [Google Scholar] [CrossRef]
- Du, J.; Miao, C.; Xia, C.; Lee, Y.-M.; Nam, W.; Sun, W. Mechanistic Insights into the Enantioselective Epoxidation of Olefins by Bioinspired Manganese Complexes: Role of Carboxylic Acid and Nature of Active Oxidant. ACS Catal. 2018, 8, 4528–4538. [Google Scholar] [CrossRef]
- Lin, J.; Miao, C.; Wang, F.; Yang, P.; Sun, Q.; Sun, W. Effect of Ligand Topology on the Reactivity of Chiral Tetradentate Aminopyridine Manganese Complexes. ACS Catal. 2020, 10, 11857–11863. [Google Scholar] [CrossRef]
- Tian, J.; Lin, J.; Zhang, J.; Xia, C.; Sun, W. Asymmetric Epoxidation of Olefins Catalyzed by Substituted Aminobenzimidazole Manganese Complexes Derived from L-Proline. Adv. Synth. Catal. 2022, 364, 593–600. [Google Scholar] [CrossRef]
- Garcia-Bosch, I.; Gomez, L.; Polo, A.; Ribas, X.; Costas, M. Stereoselective Epoxidation of Alkenes with Hydrogen Peroxide using a Bipyrrolidine-Based Family of Manganese Complexes. Adv. Synth. Catal. 2012, 354, 65–70. [Google Scholar] [CrossRef]
- Cusso, O.; Garcia-Bosch, I.; Font, D.; Ribas, X.; Lloret-Fillol, J.; Costas, M. Highly Stereoselective Epoxidation with H2O2 Catalyzed by Electron-Rich Aminopyridine Manganese Catalysts. Org. Lett. 2013, 15, 6158–6161. [Google Scholar] [CrossRef]
- Claraso, C.; Vicens, L.; Polo, A.; Costas, M. Enantioselective Epoxidation of β,β-Disubstituted Enamides with a Manganese Catalyst and Aqueous Hydrogen Peroxide. Org. Lett. 2019, 21, 2430–2435. [Google Scholar] [CrossRef]
- Vicens, L.; Olivo, G.; Costas, M. Remote Amino Acid Recognition Enables Effective Hydrogen Peroxide Activation at a Manganese Oxidation Catalyst. Angew. Chem. Int. Ed. 2022, 61, e202114932. [Google Scholar] [CrossRef]
- Ottenbacher, R.V.; Bryliakov, K.P.; Talsi, E.P. Non-Heme Manganese Complexes Catalyzed Asymmetric Epoxidation of Olefins by Peracetic Acid and Hydrogen Peroxide. Adv. Synth. Catal. 2011, 353, 885–889. [Google Scholar] [CrossRef]
- Lyakin, O.Y.; Ottenbacher, R.V.; Bryliakov, K.P.; Talsi, E.P. Asymmetric Epoxidations with H2O2 on Fe and Mn Aminopyridine Catalysts: Probing the Nature of Active Species by Combined Electron Paramagnetic Resonance and Enantioselectivity Study. ACS Catal. 2012, 2, 1196–1202. [Google Scholar] [CrossRef]
- Ottenbacher, R.V.; Samsonenko, D.G.; Talsi, E.P.; Bryliakov, K.P. Highly Enantioselective Bioinspired Epoxidation of Electron-Deficient Olefins with H2O2 on Aminopyridine Mn Catalysts. ACS Catal. 2014, 4, 1599–1606. [Google Scholar] [CrossRef]
- Ottenbacher, R.V.; Samsonenko, D.G.; Talsi, E.P.; Bryliakov, K.P. Enantioselective Epoxidations of Olefins with Various Oxidants on Bioinspired Mn Complexes: Evidence for Different Mechanisms and Chiral Additive Amplification. ACS Catal. 2016, 6, 979–988. [Google Scholar] [CrossRef]
- Ottenbacher, R.V.; Kurganskiy, V.I.; Talsi, E.P.; Bryliakov, K.P. Manganese Catalyzed Enantioselective Epoxidation of α,β-Unsaturated Amides with H2O2. Adv. Synth. Catal. 2021, 363, 2778–2782. [Google Scholar] [CrossRef]
- Chen, X.; Gao, B.; Su, Y.; Huang, H. Enantioselective Epoxidation of Electron-Deficient Alkenes Catalyzed by Manganese Complexes with Chiral N4 Ligands Derived from Rigid Chiral Diamines. Adv. Synth. Catal. 2017, 359, 2535–2541. [Google Scholar] [CrossRef]
- Maity, N.C.; Bera, P.K.; Ghosh, D.; Abdi, S.H.R.; Kureshy, R.I.; Khan, N.H.; Bajaj, H.C.; Suresh, E. Manganese complexes with non-porphyrin N4 ligands as recyclable catalyst for the asymmetric epoxidation of olefins. Catal. Sci. Technol. 2014, 4, 208–217. [Google Scholar] [CrossRef]
- Dai, W.; Li, J.; Li, G.; Yang, H.; Wang, L.; Gao, S. Asymmetric Epoxidation of Alkenes Catalyzed by a Porphyrin-Inspired Manganese Complex. Org. Lett. 2013, 15, 4138–4141. [Google Scholar] [CrossRef]
- Xu, D.; Sun, Q.; Lin, J.; Sun, W. Ligand regulation for manganese-catalyzed enantioselective epoxidation of olefins without acid. Chem. Commun. 2020, 56, 13101–13104. [Google Scholar] [CrossRef]
- McKillop, A.; Sanderson, W.R. Sodium perborate and sodium percarbonate: Cheap, safe and versatile oxidising agents for organic synthesis. Tetrahedron 1995, 51, 6145–6166. [Google Scholar] [CrossRef]
- Ando, T.; Cork, D.G.; Kimura, T. “Sodium percarbonate” (SPC) as a hydrogen peroxide source for organic synthesis. Chem. Lett. 1986, 15, 665–666. [Google Scholar] [CrossRef]
- Page, P.C.B.; Buckley, B.R.; Heaney, H.; Blacker, A.J. Asymmetric Epoxidation of cis-Alkenes Mediated by Iminium Salts: Highly Enantioselective Synthesis of Levcromakalim. Org. Lett. 2005, 7, 375–377. [Google Scholar] [CrossRef]


![]() | ||||
|---|---|---|---|---|
| Entry | Oxidant Equiv. | Additive | Conversion/Yield, % | ee, % |
| 1 | 2.0 | AcOH | 99/97 | 82 |
| 2 | 2.0 | EBA | 83/81 | 94 |
| 3 | 2.5 | EBA | 94/92 | 94 |
| 4 | 2.0 2 | EBA | 100/97 | 94 |
![]() | ||||
|---|---|---|---|---|
| Entry | Substrate | Cat. Loadings, % | Conversion/Yield, % | ee, % |
| 1 | 3b | 0.2 | 100/100 | 62 |
| 2 | 3c | 0.2 | 100/99 | 79 |
| 3 | 3d | 0.2 | 95/95 | 63 |
| 4 | 3e | 0.2 | 98/84 | 51 |
| 5 | 3f | 0.2 | 99/99 | 95 |
| 6 2 | 3g | 0.2 | 47/47 | 87 |
| 7 | 3h | 0.2 | 83/83 | 80 |
| 8 | 3i | 0.2 | 83/83 | 87 |
| 9 3 | 3j | 0.5 | 60/60 | 99 |
| 10 | 3k | 0.2 | 100/100 | 86 |
| 11 | 3l | 0.2 | 96/96 | 94 |
| 12 | 3m | 0.5 | 86/69 | 79 |
![]() | ||||
|---|---|---|---|---|
| Entry | Substrate | Cat. Loadings, % | Conversion/Yield, % | ee, % |
| 1 | 3a | 0.2 | 99/96 | 96 |
| 2 | 3b | 0.2 | 75/75 | 67 |
| 3 | 3c | 0.2 | 71/71 | 82 |
| 4 | 3d | 0.2 | 100/98 | 71 |
| 5 | 3e | 0.2 | 100/100 | 60 |
| 6 | 3f | 0.2 | 100/100 | 95 |
| 7 2 | 3g | 0.2 | 77/77 | 82 |
| 8 | 3h | 0.2 | 61/61 | 86 |
| 9 | 3i | 0.2 | 46/46 | 87 |
| 10 3 | 3j | 0.5 | 100/100 | 97 |
| 11 | 3k | 0.2 | 98/98 | 84 |
| 12 | 3l | 0.2 | 84/84 | 95 |
| 13 | 3m | 0.5 | 90/90 | 82 |
Publisher’s Note: MDPI stays neutral with regard to jurisdictional claims in published maps and institutional affiliations. |
© 2022 by the authors. Licensee MDPI, Basel, Switzerland. This article is an open access article distributed under the terms and conditions of the Creative Commons Attribution (CC BY) license (https://creativecommons.org/licenses/by/4.0/).
Share and Cite
Drozd, V.A.; Ottenbacher, R.V.; Bryliakov, K.P. Asymmetric Epoxidation of Olefins with Sodium Percarbonate Catalyzed by Bis-amino-bis-pyridine Manganese Complexes. Molecules 2022, 27, 2538. https://doi.org/10.3390/molecules27082538
Drozd VA, Ottenbacher RV, Bryliakov KP. Asymmetric Epoxidation of Olefins with Sodium Percarbonate Catalyzed by Bis-amino-bis-pyridine Manganese Complexes. Molecules. 2022; 27(8):2538. https://doi.org/10.3390/molecules27082538
Chicago/Turabian StyleDrozd, Varvara A., Roman V. Ottenbacher, and Konstantin P. Bryliakov. 2022. "Asymmetric Epoxidation of Olefins with Sodium Percarbonate Catalyzed by Bis-amino-bis-pyridine Manganese Complexes" Molecules 27, no. 8: 2538. https://doi.org/10.3390/molecules27082538
APA StyleDrozd, V. A., Ottenbacher, R. V., & Bryliakov, K. P. (2022). Asymmetric Epoxidation of Olefins with Sodium Percarbonate Catalyzed by Bis-amino-bis-pyridine Manganese Complexes. Molecules, 27(8), 2538. https://doi.org/10.3390/molecules27082538




