Sign in to use this feature.

Years

Between: -

Subjects

remove_circle_outline
remove_circle_outline
remove_circle_outline
remove_circle_outline
remove_circle_outline
remove_circle_outline
remove_circle_outline
remove_circle_outline
remove_circle_outline

Journals

remove_circle_outline
remove_circle_outline
remove_circle_outline
remove_circle_outline
remove_circle_outline
remove_circle_outline

Article Types

Countries / Regions

remove_circle_outline
remove_circle_outline
remove_circle_outline
remove_circle_outline

Search Results (791)

Search Parameters:
Keywords = alkene

Order results
Result details
Results per page
Select all
Export citation of selected articles as:
20 pages, 4155 KB  
Review
Recent Advances in the High-Value Conversion of Alkenes Induced by Electrochemistry
by Xing’an Liang, Haolin Wang, Wei Xie, Zhenhua Liu and Dongmiao Qin
Molecules 2026, 31(6), 1027; https://doi.org/10.3390/molecules31061027 - 19 Mar 2026
Abstract
Over the past few decades, electrosynthesis has advanced significantly, enabling numerous valuable transformations for synthetic chemists. Olefins are inexpensive, readily available industrial feedstocks extensively used in organic synthesis. Therefore, achieving high-value transformation of olefins is of great value. However, the use of stoichiometric [...] Read more.
Over the past few decades, electrosynthesis has advanced significantly, enabling numerous valuable transformations for synthetic chemists. Olefins are inexpensive, readily available industrial feedstocks extensively used in organic synthesis. Therefore, achieving high-value transformation of olefins is of great value. However, the use of stoichiometric oxidants and the generation of stoichiometric waste hinder its broader application. Utilizing electrochemistry to achieve high-value transformations of olefins represents a green, environmentally friendly, and sustainable strategy, since it eliminates the need for external oxidants. This review discusses recent advances in the high-value conversion of alkenes induced by electrochemistry. The article introduces two modes of electrochemical olefin transformation, discussing both synthetic applications and mechanistic studies. It highlights their advantages and suggests future directions to tackle the existing challenges in this synthetic domain. Full article
Show Figures

Figure 1

22 pages, 2363 KB  
Article
Hydroformylation of Alkenylbenzenes Catalyzed by Rhodium-Phosphine Complexes: Mechanistic Features and Kinetic Behavior Resolved Through Bayesian Analysis
by Merlín Rosales, Mario Almanza-Caro, Rafael Galeano-Andrades, Juan Carlos Drosos-Ramírez and Otto Soto
Catalysts 2026, 16(3), 274; https://doi.org/10.3390/catal16030274 - 19 Mar 2026
Abstract
The hydroformylation of alkenylbenzenes remains insufficiently defined, despite the relevance of these substrates as biomass-derived aromatic feedstocks within sustainable chemical transformations. In this work, we present an experimental (catalytic and kinetic) study of their conversion into aldehydes under rhodium-phosphine catalysis, using complexes bearing [...] Read more.
The hydroformylation of alkenylbenzenes remains insufficiently defined, despite the relevance of these substrates as biomass-derived aromatic feedstocks within sustainable chemical transformations. In this work, we present an experimental (catalytic and kinetic) study of their conversion into aldehydes under rhodium-phosphine catalysis, using complexes bearing mono-, bi- and tridentate phosphine ligands, [Rh(H)(CO)2(PPh3)2], [Rh(H)(CO)(triphos)] and [Rh(H)(CO)2(dppe)], under mild reaction conditions (80 °C and 2–30 bar of syngas for eugenol; 80 °C and 20–50 bar of syngas for estragole and trans-anethole). The catalytic activity order of the complexes was Rh (PPh3) > Rh(triphos) > Rh(dppe), while the substrate reactivity followed the trend eugenol > estragole >> trans-anethole. Reaction rates were measured across a wide CO and H2 pressure range, revealing redistribution between the active monocarbonyl species and an off-cycle (acyl)dicarbonyl complex that becomes dominant at elevated p(CO). The kinetic behavior observed for eugenol hydroformylation with Rh(PPh3) was consistent with the established hydroformylation sequence involving alkene coordination, hydride migration to substrate and the CO-dependent re-coordination steps that determine catalyst speciation; the subsequent transfer of the alkyl group to the carbonyl ligand and hydrogenolysis complete the catalytic cycle; the H2 addition or the hydride transfer to the alkene was identified as the rate-determining step, depending on whether low or high p(H2) values were employed. To obtain statistically reliable kinetic parameters- often challenging in hydroformylation because of parameter covariance and restricted identifiability- we complemented conventional nonlinear regression with Bayesian inference based on the Markov Chain Monte Carlo approach. The resulting posterior distributions were well centered, exhibited realistic variance and provided parameter sets that are sufficiently robust to support mechanistic interpretation and subsequent kinetic modeling. Full article
Show Figures

Graphical abstract

13 pages, 2522 KB  
Article
Cavitand-Mediated Photodimerization of Chalcones: The Effect of Supramolecular Influences and Temperature on Reaction Selectivity
by Joydip Chatterjee, Mahesh Pattabiraman, Debajit Chakraborty, Aleksander L. Wysocki and Frank Kovacs
Molecules 2026, 31(6), 983; https://doi.org/10.3390/molecules31060983 - 15 Mar 2026
Viewed by 155
Abstract
The photocycloaddition (PCA) of chalcones represents an important reaction pathway for accessing substituted cyclobutanes, which is a molecular framework with utility in synthetic chemistry, materials science, and medicine. In the past, our group has demonstrated the utility of the large cavity of γ-CD [...] Read more.
The photocycloaddition (PCA) of chalcones represents an important reaction pathway for accessing substituted cyclobutanes, which is a molecular framework with utility in synthetic chemistry, materials science, and medicine. In the past, our group has demonstrated the utility of the large cavity of γ-CD as a container for encapsulating two photo reactants for directing the PCA of several classes of aryl alkenes with high stereo- and regioselectivity: the cavitand-mediated photodimerization (CMP) approach. The CMP of chalcones reported in this work further demonstrates the effectiveness of this approach as high yields of dimers were observed in the photoreactions, while they were non-reactive in the solid state and yielded only the isomerization product in homogeneous media. The γ-CD CMP of chalcones yielded predominantly dimerized products in very good to high yields (>70%), composed of a mixture of three dimers in different proportions with syn HH as the major product. Computational analysis of the ground state complex structures revealed a strong correlation between the stability of the complex and predominance of the stereoisomer in the mixture. Further insights were deduced from temperature-dependence studies, which showed a shift in dimer selectivity tending towards a single stereoisomer. Full article
(This article belongs to the Special Issue Recent Advances in Supramolecular and Surface Photochemistry)
Show Figures

Figure 1

7 pages, 679 KB  
Communication
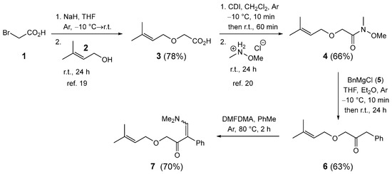
HAT-Initiated Fragmentation of 4-(Dimethylamino)-1-((3-methylbut-2-en-1-yl)oxy)-3-phenylbut-3-en-2-one
by Andrej Bogataj, Luka Ciber, Nejc Petek, Franc Požgan, Jurij Svete, Bogdan Štefane and Uroš Grošelj
Molbank 2026, 2026(2), M2149; https://doi.org/10.3390/M2149 - 11 Mar 2026
Viewed by 182
Abstract
An alkene-tethered enaminone 7 was synthesized in four steps from bromoacetic acid and 3,3-dimethylallyl alcohol. The enaminone was fully characterized, including UV-Vis spectra. TBADT-catalyzed HAT of the alkene-tethered enaminone initiated a fragmentation that yielded the literature-known phenylacetone-derived enaminone. Full article
(This article belongs to the Section Organic Synthesis and Biosynthesis)
Show Figures

Graphical abstract

13 pages, 1846 KB  
Article
Organized and Fugitive VOC Emissions from Typical Industrial Parks and Their Impact on Secondary Pollution
by Tao Liu, Xiaoning Li, Weidong Wu, Min Yan, Yanxin He, Xudong Quan, Peng Liu, Hongmei Xu and Zhenxing Shen
Toxics 2026, 14(3), 242; https://doi.org/10.3390/toxics14030242 - 10 Mar 2026
Viewed by 250
Abstract
Volatile organic compound (VOC) emissions from industrial parks are a crucial source of urban air pollution. This study assessed VOC emissions and their impact on secondary pollution from three key industries—packaging and printing, pharmaceutical manufacturing, and furniture manufacturing—in a typical industrial park in [...] Read more.
Volatile organic compound (VOC) emissions from industrial parks are a crucial source of urban air pollution. This study assessed VOC emissions and their impact on secondary pollution from three key industries—packaging and printing, pharmaceutical manufacturing, and furniture manufacturing—in a typical industrial park in the Guanzhong region of China. The results revealed considerable variation in organized outlet VOC concentrations between the different industries, with the highest level observed in furniture manufacturing (3449.9 ± 437.6 µg/m3) and the lowest level discovered for pharmaceutical manufacturing (410.9 ± 205.5 μg/m3). The VOCs were mainly aromatics (40.7%) and alkanes (21.8%), with pentane, isopentane, xylene, and ethylbenzene the most abundant species. Although organized emissions (1151.6 t/y) constituted the primary source of emissions, fugitive emissions (358.1 t/y) remained a major contributor and primarily contributed aromatics and alkanes. Critically, reactivity-based assessment demonstrated that alkenes and aromatics were the principal contributors to the ozone formation potential (>80%). With regard to the secondary organic aerosol formation potential, aromatics were overwhelmingly dominant, accounting for approximately 87% of the total potential, with xylene and ethylbenzene in furniture manufacturing alone contributing 72.9%. The findings highlight the importance of prioritizing controls on highly reactive alkenes and aromatics. Fugitive emission management during storage, mixing, and curing stages should be enhanced and solvents should be substituted to effectively control VOC emissions in industrial parks. Full article
(This article belongs to the Special Issue Volatile Organic Compounds (VOCs) Exposure and Human Health)
Show Figures

Figure 1

13 pages, 3220 KB  
Article
Effectiveness of Control Strategies for Spring Atmospheric VOCs at a Typical Urban Site in Beijing: Evidence from Compositional and Source Variations
by Anyu Liu, Rui Gao, Mei He and Yujie Zhang
Atmosphere 2026, 17(3), 280; https://doi.org/10.3390/atmos17030280 - 6 Mar 2026
Viewed by 235
Abstract
A retrospective analysis of atmospheric volatile organic compounds in urban Beijing during spring 2017–2019 and 2025 reveals a profound transition in pollution characteristics following long-term control policies. Integrating field observations with positive matrix factorization (PMF), results reveal a fundamental atmospheric transition toward mobile [...] Read more.
A retrospective analysis of atmospheric volatile organic compounds in urban Beijing during spring 2017–2019 and 2025 reveals a profound transition in pollution characteristics following long-term control policies. Integrating field observations with positive matrix factorization (PMF), results reveal a fundamental atmospheric transition toward mobile source predominance and reduced chemical reactivity. Total volatile organic compound concentrations declined by 31.0% (to 23.7 μg/m3), driven by a massive 90.7% reduction in aromatics. Conversely, gasoline vehicle exhaust surged to constitute 66.9% of total volatile organic compound mass. This shift altered the chemical reactivity pattern: alkenes replaced aromatics as the primary drivers of ozone formation potential (46.4%), yet residual aromatics continued to dominate secondary organic aerosol formation potential (83.3%). Crucially, a coordinated total volatile organic compounds:NOx reduction ratio of 0.48:1 compared to 2017 successfully lowered spring O3 levels by 8.4%. These findings substantiate the efficacy of past synergistic controls but emphasize that future deep abatement must prioritize targeting high-reactivity alkenes from mobile sources and residual solvent-based aromatics. Full article
Show Figures

Graphical abstract

15 pages, 2705 KB  
Article
Systematically Identifying and Investigating Key Active Component and Its Transformation Mechanism in the Process of Purifying TiCl4 with Organic Reagents
by Jiazhen Qiu, Xin Tian, Kaihua Li, Jiangqi Zhao, Shiqing Tian, Jinsong Liu, Xin Yang, Jun Li and Ying Liu
Materials 2026, 19(5), 959; https://doi.org/10.3390/ma19050959 - 2 Mar 2026
Viewed by 272
Abstract
The purity of titanium sponge is crucial for determining the performance of final titanium alloys, underscoring the importance of impurity control in its precursor, TiCl4. Among these impurities, VOCl3 is particularly challenging to remove due to its similar boiling point [...] Read more.
The purity of titanium sponge is crucial for determining the performance of final titanium alloys, underscoring the importance of impurity control in its precursor, TiCl4. Among these impurities, VOCl3 is particularly challenging to remove due to its similar boiling point and complete miscibility with TiCl4. Although organic reagents are widely employed for vanadium removal, their complex compositions complicate the identification of key active components. This study systematically compares the vanadium removal efficiency of six organic compounds bearing different functional groups. Results demonstrate that 1-dodecene exhibits superior performance, achieving a VOCl3 removal efficiency of 93.35%. Mechanistic studies reveal that 1-dodecene initially undergoes cyclization to form cyclododecane, followed by aromatization and subsequent carbonization through stacking, dehydrogenation, and coking, ultimately yielding partially graphitized amorphous carbon. In this process, VOCl3 interacts not only with the incompletely carbonized organic precursor but also directly with the alkenes. These findings elucidate the reaction pathway and central role of linear α-alkenes in vanadium removal, providing a theoretical foundation for developing efficient and stable vanadium removal agents. Full article
Show Figures

Figure 1

16 pages, 1714 KB  
Article
Pyrolysis of Recycled LLDPE/LDPE Polymer Blend: Optimization of Process Parameters for High Yield of Wax
by Oluwatobi Elijah Akindele, Jinfeng Zhang, Yuxin Liu and Uttandaraman Sundararaj
Recycling 2026, 11(3), 44; https://doi.org/10.3390/recycling11030044 - 1 Mar 2026
Viewed by 343
Abstract
This study evaluates the pyrolysis of recycled linear low-density and low-density polyethylene (rLLDPE/rLDPE) blends for producing wax suitable as a precursor for corrosion-resistant coatings. Experiments were performed in a horizontal quartz tubular reactor under argon, and we investigated different pyrolysis temperature (400, 450, [...] Read more.
This study evaluates the pyrolysis of recycled linear low-density and low-density polyethylene (rLLDPE/rLDPE) blends for producing wax suitable as a precursor for corrosion-resistant coatings. Experiments were performed in a horizontal quartz tubular reactor under argon, and we investigated different pyrolysis temperature (400, 450, 500 °C), residence time (45, 60, 75 min), and heating rate (3, 5, 10 °C min−1). Factorial design and response surface methodology (RSM) were applied to quantify factors and optimize wax yield. Analysis of Variance (ANOVA) indicated statistically significant models (p < 0.05), with heating rate having the highest standardized effect. The highest measured yield was 82% at 400 °C, 75 min, and 3 °C min−1; the DOE optimizer predicted an 84% yield at 400 °C, 45 min, and 3 °C min−1. Product quality was assessed by GC-MS analysis, which showed that the waxes were predominantly composed of 1-alkenes and n-alkanes (C9–C32), consistent with the literature and closely matching compositions of commercial waxes. Overall, slow heating at low temperature with short residence time maximized wax yield without compromising quality, confirming that pyrolysis of recycled PE is a viable route to produce high-yield, specification-consistent waxes suitable for protective coating applications. Full article
Show Figures

Graphical abstract

14 pages, 4617 KB  
Article
Generalized Additive Model (GAM) Applied to the Analysis of Ozone Pollution in a City in Eastern China
by Wenjing Li, Weifeng Wang, Liuyan Cao, Shengjie Li, Zechen Yu and Deming Han
Sustainability 2026, 18(4), 2134; https://doi.org/10.3390/su18042134 - 22 Feb 2026
Viewed by 322
Abstract
Ground-level ozone (O3) pollution remains persistently high in China, despite the implementation of stringent emission controls targeting primary pollutants. However, understanding of the drivers and formation mechanisms of this secondary pollutant remains limited. Herein, comprehensive field observations of O3 and [...] Read more.
Ground-level ozone (O3) pollution remains persistently high in China, despite the implementation of stringent emission controls targeting primary pollutants. However, understanding of the drivers and formation mechanisms of this secondary pollutant remains limited. Herein, comprehensive field observations of O3 and its precursors were conducted in a medium-sized city in eastern China. The average O3 concentration was 93.60 ± 61.98 μg·m−3, with severe pollution accounting for 47.05% (high-temperature, low-humidity conditions). The peak O3 concentration during pollution episodes (207.13 ± 34.93 μg·m−3) exceeded that of non-pollution periods (108.77 ± 43.99 μg·m−3) by more than twofold. A generalized additive model (GAM) was employed to identify the key drivers of O3 pollution, revealing relative humidity (RH) (F = 36.95) and volatile organic compounds (VOCs) (F = 8.03) as dominant drivers. Further interaction analysis using the GAM showed synergistic effects between RH and nitric oxide (NOx) as well as the temperature (T) and NOx on O3 evolution. O3 formation sensitivity analysis demonstrated that O3 production was primarily within a VOC-limited regime (VOCs/NOx < 5.5). Alkenes were found to be the most prominent component, contributing 41.20–45.38% to the in situ O3 formation potential (OFP), especially for ethylene and acetaldehyde (>10 μg·m−3). The toluene/benzene ratio indicated that Taizhou’s ambient VOCs were dominated by vehicle exhaust emissions, with minor contributions from solvents, oils, and gases, and LPG volatilization, making vehicle exhaust control the core of VOC reduction. The air mass transport from the Yellow Sea also significantly affected the local O3. This study quantifies the effects of multiple factors of summertime O3 pollution and provides scientific support for targeted O3 control strategies in a medium-sized city in eastern China. Full article
(This article belongs to the Special Issue Air Pollution: Causes, Monitoring and Sustainable Control)
Show Figures

Figure 1

6 pages, 733 KB  
Short Note
(E)-Methyl 3-(2-amino-4-chloro-6-morpholinopyrimidin-5-yl)acrylate
by Jorge Trilleras, Efraín Polo-Cuadrado and Jairo Quiroga
Molbank 2026, 2026(1), M2141; https://doi.org/10.3390/M2141 - 16 Feb 2026
Viewed by 428
Abstract
The synthesis of methyl (E)-3-(2-amino-4-chloro-6-morpholinopyrimidin-5-yl)acrylate 3 was accomplished using a Schlosser-modified Wittig reaction. Complete 1H and 13C NMR signal assignments confirm the formation of E-alkene. Full article
(This article belongs to the Collection Heterocycle Reactions)
Show Figures

Figure 1

18 pages, 8437 KB  
Article
Palladium as a Molecular Architect: Control of Hydrocarbon Chain Growth and Branching in Zeolite Catalysts for Fischer–Tropsch Synthesis
by Roman Yakovenko, Anastasia Chemes, Andrey Volik, Danila Ponomarev, Evgeniya Yakovenko, Alexander Astakhov, Victoria Marchenko, Andrey Nikolaev, Evgeniy Sadyrin, Roman Svetogorov and Marat Agliullin
Catalysts 2026, 16(2), 179; https://doi.org/10.3390/catal16020179 - 11 Feb 2026
Viewed by 532
Abstract
The effect of palladium addition to a hybrid Co/SiO2 + HZSM-5 + Al2O3 catalyst on the combined Fischer–Tropsch (FT) synthesis and hydrocarbon hydroconversion process was studied. Catalysts with a Pd content of 0.075–0.3 wt.% were characterized by a complex [...] Read more.
The effect of palladium addition to a hybrid Co/SiO2 + HZSM-5 + Al2O3 catalyst on the combined Fischer–Tropsch (FT) synthesis and hydrocarbon hydroconversion process was studied. Catalysts with a Pd content of 0.075–0.3 wt.% were characterized by a complex of physicochemical methods, including synchrotron radiation X-ray diffraction (SR-XRD), temperature-programmed reduction with hydrogen (H2-TPR), temperature-programmed desorption of hydrogen with oxygen titration (H2-TPD/O2 titration), IR spectroscopy of adsorbed pyridine, and STEM-EDX analysis. It was found that the addition of palladium decreases the cobalt oxide reduction temperature due to interphase hydrogen transfer. Tests in hydrocarbon synthesis at 240–250 °C, a pressure of 2 MPa, and an H2/CO ratio of 2 showed that the sample with 0.15% Pd exhibits the highest selectivity for C5+ hydrocarbons (66.8% at 240 °C) and stability for 150 h. Analysis of the synthesis products revealed a fivefold decrease in the proportion of alkenes and an increase in isoalkanes with increasing Pd concentration. This effect enables the in situ hydroprocessing of primary FT products in a single reactor. The results demonstrate that the targeted introduction of palladium into the hybrid system is an effective strategy for regulating its functionality, allowing for the one-stage production of high-quality fuels with a controlled hydrocarbon composition from syngas. Full article
Show Figures

Figure 1

30 pages, 4961 KB  
Article
Long-Term Change in Volatile Organic Compounds in Taiwan (2006–2024)—An Analytical Review
by Ming-Tsuen Hsieh, Peter Brimblecombe and Yonghang Lai
Environments 2026, 13(2), 94; https://doi.org/10.3390/environments13020094 - 10 Feb 2026
Viewed by 750
Abstract
This review examines 14 volatile organic compounds (VOCs) across nine Taiwanese Photochemical Assessment Monitoring Station sites over nearly two decades from 2006 to 2024, categorised as aromatic compounds, alkanes, and alkenes. Aromatic compounds and alkenes declined significantly (47.2–82.2%), reflecting regulatory success, while alkanes [...] Read more.
This review examines 14 volatile organic compounds (VOCs) across nine Taiwanese Photochemical Assessment Monitoring Station sites over nearly two decades from 2006 to 2024, categorised as aromatic compounds, alkanes, and alkenes. Aromatic compounds and alkenes declined significantly (47.2–82.2%), reflecting regulatory success, while alkanes showed variable trends, including a 2023 Tainan spike (ethane: 9.12 ppbC, propane: 9.10 ppbC). Urban sites (Wanhua and Tucheng) exhibited high VOC levels from traffic, industrial sites (Xiaogang, Qiaotou) showed petrochemical influences, and rural sites (Chaozhou, Puzi, Taixi) were more alkane-dominated. Winter peaks and rush-hour diurnal patterns were meteorologically driven, with isoprene peaking in summer due to biogenic emissions. Cluster analysis of raw and standardised data separated urban–industrial from rural sites and early (2006–2010) from later (2018–2024) years, revealing compositional shifts. Benzene posed cancer risks (range 2.2 × 10−6–7.8 × 10−6) across sites and periods; as an illustrative example, prior to 2010 the risk at industrial Xiaogang was 6.2 × 10−6, but since 2020 has halved to 3.2 × 10−6. Taken together, these long-term observations demonstrate how declining anthropogenic VOC emissions can coexist with compositional shifts and an increasing relative influence of biogenic compounds, while also highlighting the ongoing challenge of ozone. This shows the value of monitoring networks as tools for understanding evolving atmospheric chemical regimes, rather than solely for reporting trends. Full article
(This article belongs to the Special Issue Advances in Urban Air Pollution: 2nd Edition)
Show Figures

Graphical abstract

11 pages, 2687 KB  
Article
Energy-Saving Dehydration of Alcohols Through Modified Spanish Attapulgites as Catalysts for a Sustainable Synthesis of Industrially Relevant Alkene Chemicals
by Adil Allahverdiyev, Jonas Gurauskis, Vanesa Gil and Harald Gröger
Sustain. Chem. 2026, 7(1), 10; https://doi.org/10.3390/suschem7010010 - 3 Feb 2026
Viewed by 401
Abstract
A commercially available attapulgite sample (Red Attapulgite) was acid-pretreated to enhance its catalytic activity. It turned out to efficiently facilitate the dehydration of a range of substituted alcohols. The dehydration of the primary alcohol was conducted at 150–180 °C, which represents energy-saving conditions [...] Read more.
A commercially available attapulgite sample (Red Attapulgite) was acid-pretreated to enhance its catalytic activity. It turned out to efficiently facilitate the dehydration of a range of substituted alcohols. The dehydration of the primary alcohol was conducted at 150–180 °C, which represents energy-saving conditions when taking into account the typical dehydration conditions of primary alcohols with temperatures of >300 °C. The alkene yields obtained in this study were found to be comparable to those when utilizing commercially available montmorillonite as catalysts, thereby underscoring the potential of the acid-pretreated attapulgite as a catalyst for a variety of reactions. In a parallel study, dehydration catalyzed by a range of Brønsted acids was investigated. However, only two of these acids were found to be suitable for the dehydration of primary alcohols. Nevertheless, these acids lacked both dehydration activity and recyclability. Therefore, a recyclability study was conducted in the presence of the acid-pretreated attapulgite sample. It is remarkable that no loss of activity was found over five cycles. We hypothesize that after acid-pretreatment, a synergistic effect of the Brønsted and Lewis acid sites is the cause for the high catalytic activity of the sample. Full article
(This article belongs to the Collection Heterogeneous Catalysts Applied in Sustainable Chemistry)
Show Figures

Figure 1

13 pages, 810 KB  
Article
Toxicokinetic and Partial Mass Balance Assessment of 14C-Alpha Olefins in Rats
by Quan Shi, Jamie Dunn, Juan-Carlos Carrillo, Michael G. Penman, Robert H. Powrie, Corinne Haines, Hua Shen, Yuan Tian, Sophie Jia, Fabienne Hubert and Peter J. Boogaard
J. Xenobiot. 2026, 16(1), 26; https://doi.org/10.3390/jox16010026 - 2 Feb 2026
Viewed by 336
Abstract
Higher olefins are a class of alkenes widely used as intermediates in the production of essential consumer and industrial products. This radiolabel disposition and partial mass balance study investigated the distribution and excretion of four 14C-radiolabelled alpha higher olefins (i.e., 1-octene, 1-decene, [...] Read more.
Higher olefins are a class of alkenes widely used as intermediates in the production of essential consumer and industrial products. This radiolabel disposition and partial mass balance study investigated the distribution and excretion of four 14C-radiolabelled alpha higher olefins (i.e., 1-octene, 1-decene, 1-hexadecene, and 1-eicosene) in male Wistar rats following a single oral dose (100 mg/kg). Blood, liver, kidney, adipose tissue, urine, and faeces were collected and analysed for total 14C-derived radioactivity. Urinary elimination was rapid, with approximately 70% and 90% of total radioactivity recovered in urinary excreted within 24 and 48 h, respectively. Excretion patterns showed a clear chain-length-dependent trend: shorter-chain olefins (C8, C10) exhibited higher urinary excretion, indicating greater systemic absorption, while longer-chain olefins (C16, C20) were primarily eliminated via faeces, suggesting limited intestinal uptake. Tissue distribution was minimal in blood, liver, and kidney, but adipose tissue retention increased with chain length. Total recovery of administered radioactivity in the analysed matrices was low, ranging from 17% to 60%. Importantly, because exhaled 14CO2 and volatile parent compounds were not captured, the missing fraction cannot be quantified and the balance cannot be considered closed. All in all, the current study describes the partial disposition of higher olefins and highlights the influence of molecular size and lipophilicity on the biological fat, though further studies are required to fully characterise their metabolic profile and total elimination kinetics. Full article
Show Figures

Graphical abstract

19 pages, 4096 KB  
Article
Kinetics of Propene Oxidation to Acrolein over Bismuth Molybdates
by Tomislav Penović, Vesna Tomašić, Aleksandra Sander, Stanislav Kurajica and Zoran Gomzi
ChemEngineering 2026, 10(2), 22; https://doi.org/10.3390/chemengineering10020022 - 2 Feb 2026
Viewed by 448
Abstract
The conversion of alkanes/alkenes into useful intermediates is highly important in the chemical industry. In this study, the physicochemical properties and catalytically active forms of bismuth molybdates (BiMo) were investigated using the selective oxidation of propene to acrolein as a model reaction. The [...] Read more.
The conversion of alkanes/alkenes into useful intermediates is highly important in the chemical industry. In this study, the physicochemical properties and catalytically active forms of bismuth molybdates (BiMo) were investigated using the selective oxidation of propene to acrolein as a model reaction. The catalysts were prepared by two methods, coprecipitation and spray-drying, with emphasis on spray-drying. The catalysts were characterized using X-ray diffraction, N2 adsorption/desorption isotherms, scanning electron microscopy, and energy-dispersive X-ray spectroscopy. The catalytic properties of the BiMo samples were studied in a conventional fixed-bed reactor operated under different reaction conditions. The one-dimensional (1D) pseudohomogeneous model was applied to describe the obtained experimental results. The experimental kinetic data were correlated with two complex kinetic models based on multiple reactions (parallel and serial reaction systems). The proposed models were verified by comparing computer simulation data with experimental laboratory results. This study aimed to extend the understanding of the relationship between catalyst composition/structure and catalyst activity/selectivity for different BiMo structures, and to propose kinetic models using two approaches based on parallel and series reactions, in line with efforts to improve the valorization of light olefins. Full article
Show Figures

Figure 1

Back to TopTop