New C15 Acetogenins from Two Species of Laurencia from the Aegean Sea
Abstract
:1. Introduction
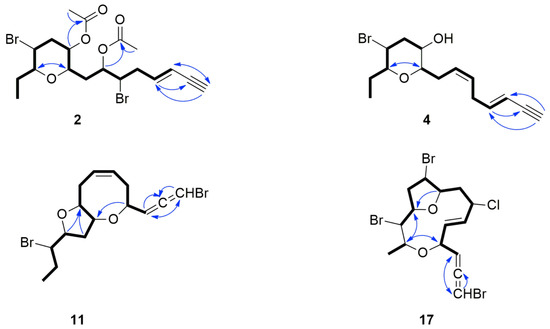
2. Results and Discussion
3. Materials and Methods
3.1. General Experimental Procedures
3.2. Biological Material
3.3. Extraction and Isolation
3.4. Evaluation of Antibacterial Activity
4. Conclusions
Supplementary Materials
Author Contributions
Funding
Data Availability Statement
Acknowledgments
Conflicts of Interest
References
- Guiry, M.D.; Guiry, G.M.; AlgaeBase. World-Wide Electronic Publication, National University of Ireland, Galway. 2021. Available online: http://www.algaebase.org (accessed on 5 October 2021).
- Harizani, M.; Ioannou, E.; Roussis, V. The Laurencia Paradox: An Endless Source of Chemodiversity. In Progress in the Chemistry of Organic Natural Products; Kinghorn, A.D., Falk, H., Gibbons, S., Kobayashi, J., Eds.; Springer International Publishing: Cham, Switzerland, 2016; Volume 102, pp. 91–252. [Google Scholar] [CrossRef]
- MarinLit. A Database of the Marine Natural Products Literature. Available online: http://pubs.rsc.org/marinlit/ (accessed on 5 October 2021).
- Campos, A.; Souza, C.B.; Lhullier, C.; Falkenberg, M.; Schenkel, E.P.; Ribeiro-do-Valle, R.M.; Siqueira, J.M. Anti-tumour effects of elatol, a marine derivative compound obtained from red algae Laurencia microcladia. J. Pharm. Pharmacol. 2012, 64, 1146–1154. [Google Scholar] [CrossRef] [PubMed]
- Matsuzawa, S.; Kawamura, T.; Mitsuhashi, S.; Suzuki, T.; Matsuo, Y.; Suzuki, M.; Mizuno, Y.; Kikuchi, K. Thyrsiferyl 23-acetate and its derivatives induce apoptosis in various T and B-leukemia cells. Bioorg. Med. Chem. 1999, 7, 381–387. [Google Scholar] [CrossRef]
- García-Davis, S.; Leal-López, K.; Molina-Torres, C.A.; Vera-Cabrera, L.; Díaz-Marrero, A.; Fernández, J.J.; Carranza-Rosales, P.; Viveros-Valdez, E. Antimycobacterial activity of laurenterol and aplysin from Laurencia johnstonii. Mar. Drugs 2020, 18, 287. [Google Scholar] [CrossRef] [PubMed]
- Sakemi, S.; Higa, T.; Jefford, C.W.; Bernardinelli, G. Venustatriol, a new antiviral triterpene tetracyclic ether from Laurencia venusta. Tetrahedron Lett. 1986, 27, 4287–4290. [Google Scholar] [CrossRef]
- dos Santos, A.O.; Veiga-Santos, P.; Ueda-Nakamura, T.; Dias, B.P.; Sudatti, D.B.; Bianco, E.M.; Pereira, R.C.; Nakamura, C.V. Effect of elatol, isolated from red seaweed Laurencia dendroidea, on Leishmania amazonensis. Mar. Drugs 2010, 8, 2733–2743. [Google Scholar] [CrossRef] [PubMed] [Green Version]
- Chatter, R.; Othman, R.B.; Rabhi, S.; Kladi, M.; Tarhouni, S.; Vagias, C.; Roussis, V.; Guizane-Tabbane, L.; Kharrat, R. In vivo and in vitro anti-inflammatory activity of neorogioltriol, a new diterpene extracted from the red algae Laurencia glandulifera. Mar. Drugs 2011, 9, 1293–1306. [Google Scholar] [CrossRef] [PubMed] [Green Version]
- Umezawa, T.; Oguri, Y.; Matsuura, H.; Yamazaki, S.; Suzuki, M.; Yoshimura, E.; Furuta, T.; Nogata, Y.; Serisawa, Y.; Matsuyama-Serisawa, K.; et al. Omaezallene from red alga Laurencia sp.: Structure elucidation, total synthesis and antifouling activity. Angew. Chem. Int. Ed. 2014, 53, 3909–3912. [Google Scholar] [CrossRef]
- Esselin, H.; Sutour, S.; Liberal, J.; Cruz, M.T.; Salgueiro, L.; Siegler, B.; Freuze, I.; Castola, V.; Paoli, M.; Bighelli, A.; et al. Chemical composition of Laurencia obtusa extract and isolation of a new C15-acetogenin. Molecules 2017, 22, 779. [Google Scholar] [CrossRef] [Green Version]
- Esselin, H.; Tomi, F.; Bighelli, A.; Sutour, S. New metabolites isolated from a Laurencia obtusa population collected in Corsica. Molecules 2018, 23, 720. [Google Scholar] [CrossRef] [Green Version]
- Guella, G.; Mancini, I.; Chiasera, G.; Pietra, F. On the unusual propensity by the red seaweed Laurencia microcladia of Il Rogiolo to form C15 oxepanes: Isolation of rogioloxepane A, B, C, and their likely biogenetic acyclic precursor, prerogioloxepane. Helv. Chim. Acta 1992, 75, 310–322. [Google Scholar] [CrossRef]
- Guella, G.; Pietra, F. Rogiolenyne A, B, and C: The first branched marine C15 acetogenins. Isolation from the red seaweed Laurencia microcladia or the sponge Spongia zimocca. Helv. Chim. Acta 1991, 74, 47–54. [Google Scholar] [CrossRef]
- Guella, G.; Mancini, I.; Chiasera, G.; Pietra, F. Rogiolenyne D, the likely intermediate precursor of rogiolenyne A and B, branced C15 acetogenins isolated from the red seaweed Laurencia microcladia of Il Rogiolo, conformation and absolute configuration in the whole series. Helv. Chim. Acta 1992, 75, 303–309. [Google Scholar] [CrossRef]
- González, A.G.; Martín, J.D.; Martín, V.S.; Norte, M.; Pérez, R.; Ruano, J.Z.; Drexler, S.A.; Clardy, J. Non-terpenoid C-15 metabolites from the red seaweed Laurencia pinnatifida. Tetrahedron 1982, 38, 1009–1014. [Google Scholar] [CrossRef] [Green Version]
- Norte, M.; González, A.G.; Cataldo, F.; Rodríguez, M.L.; Brito, I. New examples of acyclic and cyclic C-15 acetogenins from Laurencia pinnatifida. Reassignment of the absolute configuration for the E and Z pinnatifidienyne. Tetrahedron 1991, 47, 9411–9418. [Google Scholar] [CrossRef]
- Falshaw, C.P.; King, T.J.; Imre, S.; Islimyeli, S.; Thomson, R.H. Laurenyne, a new acetylene from Laurencia obtusa: Crystal structure and absolute configuration. Tetrahedron Lett. 1980, 21, 4951–4954. [Google Scholar] [CrossRef]
- Overman, L.E.; Thompson, A.S. Total synthesis of (-)-laurenyne, use of acetal-initiated cyclizations to prepare functionalized eight-membered cyclic ethers. J. Am. Chem. Soc. 1988, 110, 2248–2256. [Google Scholar] [CrossRef]
- Kokkotou, K.; Ioannou, E.; Nomikou, M.; Pitterl, F.; Vonaparti, A.; Siapi, E.; Zervou, M.; Roussis, V. An integrated approach using UHPLC-PDA-HRMS and 2D HSQC NMR for the metabolic profiling of the red alga Laurencia: Dereplication and tracing of natural products. Phytochemistry 2014, 108, 208–219. [Google Scholar] [CrossRef] [PubMed]
- Manzo, E.; Ciavatta, M.L.; Gavangin, M.; Puliti, R.; Mollo, E.; Guo, Y.-W.; Mattia, C.A.; Mazzarella, L.; Cimino, G. Structure and absolute stereochemistry of novel C15-halogenated acetogenins from the anaspidean mollusc Aplysia dactylomela. Tetrahedron 2005, 61, 7456–7460. [Google Scholar] [CrossRef]
- Cox, P.J.; Imre, S.; Islimyeli, S.; Thomson, R.H. Obtusallene I, a new halogenated allene from Laurencia obtusa. Tetrahedron Lett. 1982, 23, 579–580. [Google Scholar] [CrossRef]
- Cox, P.J.; Howie, R.A. X-ray structure analysis of obtusallene. Acta Crystallogr. B 1982, 38, 1368–1387. [Google Scholar] [CrossRef] [Green Version]
- Öztunç, A.; Imre, S.; Wagner, H.; Norte, M.; Fernández, J.J.; González, R. A new haloether from Laurencia possessing a lauroxacyclododecane ring. Structural and conformational studies. Tetrahedron 1991, 47, 2273–2276. [Google Scholar] [CrossRef]
- Guella, G.; Mancini, I.; Öztunç, A.; Pietra, F. Conformational bias in macrocyclic ethers and observation of high solvolytic reactivity at a masked furfuryl (=2-furylmethyl) C-atom. Helv. Chim. Acta 2000, 83, 336–348. [Google Scholar] [CrossRef]
- Braddock, D.C.; Millan, D.S.; Pérez-Fuertes, Y.; Pouwer, R.H.; Sheppard, R.N.; Solanki, S.; White, A.J.P. Bromonium ion induced transannular oxonium ion formation-fragmentation in model obtusallene systems and structural reassignment of obtusallenes V-VII. J. Org. Chem. 2009, 74, 1835–1841. [Google Scholar] [CrossRef] [Green Version]
- Guella, G.; Chiasera, G.; Mancini, I.; Öztunç, A.; Pietra, F. Twelve-membered O-bridged cyclic ethers of red seaweed in the genus Laurencia exist in solution as slowly interconverting conformers. Chem. Eur. J. 1997, 3, 1223–1231. [Google Scholar] [CrossRef]
- Ciavatta, M.L.; Gavagnin, M.; Puliti, R.; Cimino, G.; Martínez, E.; Ortea, J.; Mattia, C.A. Dactylallene: A novel dietary C15 bromoallene from the atlantic anaspidean mollusk Aplysia dactylomela. Tetrahedron 1997, 53, 17343–17350. [Google Scholar] [CrossRef]
- König, G.; Wright, A.D. New C15 acetogenins and sesquiterpenes from the red alga Laurencia sp. cf. L. gracilis. J. Nat. Prod. 1994, 57, 477–485. [Google Scholar] [CrossRef]
- Capon, R.; Ghisalberti, E.L.; Mori, T.A.; Jefferies, P.R. Sesquiterpenes from Laurencia spp. J. Nat. Prod. 1988, 51, 1302–1304. [Google Scholar] [CrossRef]
- Howard, B.M.; Fenical, W. α- and β-snyderol, new bromo-monocyclic sesquiterpenes from the seaweed Laurencia. Tetrahedron Lett. 1976, 17, 41–44. [Google Scholar] [CrossRef]
- Imre, S.; Islimyeli, S.; Öztunç, A.; Thomson, R.H. Obtusenol, a sesquiterpene from Laurencia obtusa. Phytochemistry 1981, 20, 833–834. [Google Scholar] [CrossRef]
- González, A.G.; Martín, J.D.; Pérez, C.; Ramírez, M.A.; Ravelo, F. Total synthesis of obtusenol. Tetrahedron Lett. 1981, 22, 5071–5072. [Google Scholar] [CrossRef]
- González, A.G.; Aguiar, J.M.; Darias, J.; González, E.; Martín, J.D.; Martín, V.S.; Pérez, C.; Fayos, J.; Martínez-Ripoli, M. Perforenol, a new polyhalogenated sesquiterpene from Laurencia perforata. Tetrahedron Lett. 1978, 19, 3931–3934. [Google Scholar] [CrossRef]
- Iliopoulou, D.; Vagias, C.; Galanakis, D.; Argyropoulos, D.; Roussis, V. Brasilane-type sesquiterpenoids from Laurencia obtusa. Org. Lett. 2002, 4, 3263–3266. [Google Scholar] [CrossRef] [PubMed]
- Cane, D.E.; Ha, H.-J.; McIlwaine, D.B.; Pascoe, K.O. The synthesis of (3R)-nerolidol. Tetrahedron Lett. 1990, 31, 7553–7554. [Google Scholar] [CrossRef]
- Díaz, J.G.; Goedken, V.L.; Herz, W. Sesquiterpene lactones and other constituents of Mikania rimachii and Mikania microptera. Phytochemistry 1992, 31, 597–608. [Google Scholar] [CrossRef]
- Wessels, M.; König, G.M.; Wright, A.D. New natural product isolation and comparison of the secondary metabolite content of three distinct samples of the sea hare Aplysia dactylomela from Tenerife. J. Nat. Prod. 2000, 63, 920–928. [Google Scholar] [CrossRef]
- Schmitz, F.J.; Michaud, D.P.; Schmidt, P.G. Marine Natural Products: Parguerol, deoxyparguerol and isoparguerol. New brominated diterpenes with modified pimarane skeletons from the sea hare Aplysia dactylomela. J. Am. Chem. Soc. 1982, 104, 6415–6423. [Google Scholar] [CrossRef]
- Koutsaviti, A.; Daskalaki, M.G.; Agusti, S.; Kampranis, S.C.; Tsatsanis, C.; Duarte, C.M.; Roussis, V.; Ioannou, E. Thuwalallenes A-E and thuwalenynes A-C: New C15 acetogenins with anti-inflammatory activity from a Saudi Arabian Red Sea Laurencia sp. Mar. Drugs 2019, 17, 644. [Google Scholar] [CrossRef] [Green Version]
- de Silva, E.D.; Schwartz, R.E.; Scheuer, P.J.; Shoolery, J.N. Srilankenyne, a new metabolite from the sea hare Aplysia oculifera. J. Org. Chem. 1983, 48, 395–396. [Google Scholar] [CrossRef]
- Lowe, G. The absolute configuration of allenes. J. Chem. Soc. Chem. Commun. 1965, 17, 411–413. [Google Scholar] [CrossRef]
- Elsevier, C.J.; Vermeer, P.; Gedanken, A.; Runge, W. Synthesis and absolute configurations of halogenoallenes. J. Org. Chem. 1985, 50, 364–367. [Google Scholar] [CrossRef]
- Dimou, Μ.; Ioannou, Ε.; Daskalaki, M.G.; Tziveleka, L.A.; Kampranis, S.C.; Roussis, V. Disulfides with anti-inflammatory activity from the brown alga Dictyopteris membranacea. J. Nat. Prod. 2016, 79, 584–589. [Google Scholar] [CrossRef] [PubMed]



| Position | 2 | 3 | 4 | 11 | 12 | 17 |
|---|---|---|---|---|---|---|
| 1 | 77.3 | 82.8 | 77.2 | 74.5 | 74.4 | 74.2 |
| 2 | 81.5 | 79.7 | 81.5 1 | 202.9 | 202.8 1 | 202.4 1 |
| 3 | 112.2 | 111.3 | 109.0 | 100.2 | 100.4 | 100.9 |
| 4 | 141.2 | 140.7 | 144.1 | 75.4 | 75.1 | 78.8 |
| 5 | 38.8 | 35.6 | 30.7 | 31.6 | 31.5 | 128.7 |
| 6 | 55.3 | 55.3 | 127.8 | 128.0 | 127.4 | 134.9 |
| 7 | 71.2 | 71.7 | 126.9 | 129.9 | 130.0 | 57.6 |
| 8 | 35.1 | 35.0 | 29.3 | 28.7 | 29.3 | 39.2 |
| 9 | 74.8 | 77.2 | 79.7 | 85.4 | 85.5 | 75.0 |
| 10 | 71.3 | 70.0 | 68.9 | 75.4 | 74.2 | 53.7 |
| 11 | 40.4 | 43.4 | 43.4 | 38.7 | 39.3 | 43.0 |
| 12 | 47.4 | 47.5 | 47.8 | 80.8 | 80.9 | 77.3 |
| 13 | 83.6 | 84.0 | 83.9 | 63.2 | 61.9 | 63.8 |
| 14 | 26.3 | 26.4 | 26.3 | 28.5 | 28.2 | 75.2 |
| 15 | 9.7 | 9.6 | 9.5 | 12.1 | 11.6 | 19.7 |
| 16 | 170.1 | 170.1 | ||||
| 17 | 20.9 | 20.9 | ||||
| 18 | 170.4 | |||||
| 19 | 21.1 |
| Position | 2 | 3 | 4 | 11 | 12 | 17 |
|---|---|---|---|---|---|---|
| 1 | 2.83 d (1.6) | 3.12 d (1.7) | 2.79 d (2.0) | 6.09 dd (5.6, 3.2) | 6.08 dd (5.4, 3.1) | 6.05 dd (5.8, 1.8) |
| 3 | 5.53 dd (15.8, 1.6) | 5.59 d (10.9, 1.7) | 5.50 m | 5.39 ddd (5.6, 4.3, 0.8) | 5.38 brt (5.4) | 5.52 dd (5.8, 5.8) |
| 4 | 6.19 ddd (15.8, 7.3, 6.5) | 6.06 ddd (10.9, 7.0, 7.0) | 6.21 ddd (16.0, 6.4, 6.4) | 4.85 m | 4.78 m | 4.52 ddd (8.6, 5.8, 1.8) |
| 5 | 2.66 ddd (15.7, 6.5, 5.5), 2.52 dd (15.7, 7.3) | 2.93 ddd (15.1, 7.0, 5.3), 2.79 ddd (15.1, 9.0, 7.0) | 2.88 t (6.4) | 2.71 dt (14.9, 4.7), 2.26 m | 2.63 dt (15.1, 4.5), 2.27 m | 5.88 m |
| 6 | 4.01 ddd (8.8, 5.5, 2.5) | 4.12 ddd (9.0, 5.3, 3.1) | 5.50 m | 5.85 m | 5.79 m | 5.91 m |
| 7 | 5.21 ddd (8.8, 2.5, 2.7) | 5.21 ddd (9.0, 3.1, 3.1) | 5.50 m | 5.82 m | 5.79 m | 4.86 m |
| 8 | 1.88 ddd (13.6, 10.5, 2.7), 1.72 m | 2.10 m, 1.77 ddd (14.7, 9.0, 2.0) | 2.29 t (6.8) | 2.55 m, 2.28 m | 2.57 td (12.0, 6.9), 2.25 m | 2.26 dd (15.5, 2.0), 2.17 ddd (15.5, 7.5, 3.9) |
| 9 | 3.50 d (10.5) | 3.45 dd (10.5, 2.0) | 3.44 ddd (6.8, 6.8, 0.8) | 4.07 ddd (11.5, 4.7, 2.8) | 3.90 dt (12.0, 3.6) | 3.64 dd (7.5, 2.0) |
| 10 | 4.80 brs | 3.63 brs | 3.67 brs | 4.24 dd (5.8, 2.8) | 4.19 dt (6.7, 3.6) | 4.44 m |
| 11 | β 2.56 m, α 2.15 m | β 2.57 ddd (13.7, 4.6, 3.4), α 2.10 m | β 2.57 ddd (13.7, 4.7, 3.4), α 2.06 m | 2.01 m | 2.35 dt (14.2, 6.7), 1.95 ddd (14.2, 4.7, 3.6) | 2.64 m |
| 12 | 3.88 ddd (12.7, 10.0, 4.4) | 3.96 ddd (12.3, 10.2, 4.6) | 3.98 ddd (12.5, 10.3, 4.7) | 4.31 m | 3.98 m | 4.09 m |
| 13 | 3.27 ddd (10.0, 8.7, 1.6) | 3.28 ddd (10.2, 9.2, 2.2) | 3.33 ddd (10.3, 9.0, 2.3) | 3.98 ddd (9.6, 6.6, 3.6) | 3.98 m | 4.03 m |
| 14 | 2.07 m, 1.49 ddq (15.5, 8.7, 7.4) | 2.05 m, 1.46 m | 2.02 m, 1.48 m | 1.96 m, 1.68 ddq (14.6, 9.6, 7.3) | 2.13 dqd (14.5, 7.2, 1.9), 1.74 ddq (14.5, 7.2, 7.2) | 4.27 q (6.5) |
| 15 | 0.99 t (7.4) | 0.98 t (7.4) | 0.96 t (7.4) | 1.04 t (7.3) | 1.05 t (7.2) | 1.26 d (6.5) |
| 17 | 2.12 s | 2.11 s | - | - | - | - |
| 19 | 2.11 s | - | - | - | - | - |
| OH | - | 1.88 brs | 1.79 brs | - | - | - |
Publisher’s Note: MDPI stays neutral with regard to jurisdictional claims in published maps and institutional affiliations. |
© 2022 by the authors. Licensee MDPI, Basel, Switzerland. This article is an open access article distributed under the terms and conditions of the Creative Commons Attribution (CC BY) license (https://creativecommons.org/licenses/by/4.0/).
Share and Cite
Harizani, M.; Diakaki, D.-I.; Perdikaris, S.; Roussis, V.; Ioannou, E. New C15 Acetogenins from Two Species of Laurencia from the Aegean Sea. Molecules 2022, 27, 1866. https://doi.org/10.3390/molecules27061866
Harizani M, Diakaki D-I, Perdikaris S, Roussis V, Ioannou E. New C15 Acetogenins from Two Species of Laurencia from the Aegean Sea. Molecules. 2022; 27(6):1866. https://doi.org/10.3390/molecules27061866
Chicago/Turabian StyleHarizani, Maria, Dafni-Ioanna Diakaki, Stamatios Perdikaris, Vassilios Roussis, and Efstathia Ioannou. 2022. "New C15 Acetogenins from Two Species of Laurencia from the Aegean Sea" Molecules 27, no. 6: 1866. https://doi.org/10.3390/molecules27061866
APA StyleHarizani, M., Diakaki, D.-I., Perdikaris, S., Roussis, V., & Ioannou, E. (2022). New C15 Acetogenins from Two Species of Laurencia from the Aegean Sea. Molecules, 27(6), 1866. https://doi.org/10.3390/molecules27061866

