Nitrification Progress of Nitrogen-Rich Heterocyclic Energetic Compounds: A Review
Abstract
:1. Introduction
2. Nitrification of Azoles Nitrogen-Rich Heterocyclic Energetic Compounds
2.1. Imidazoles
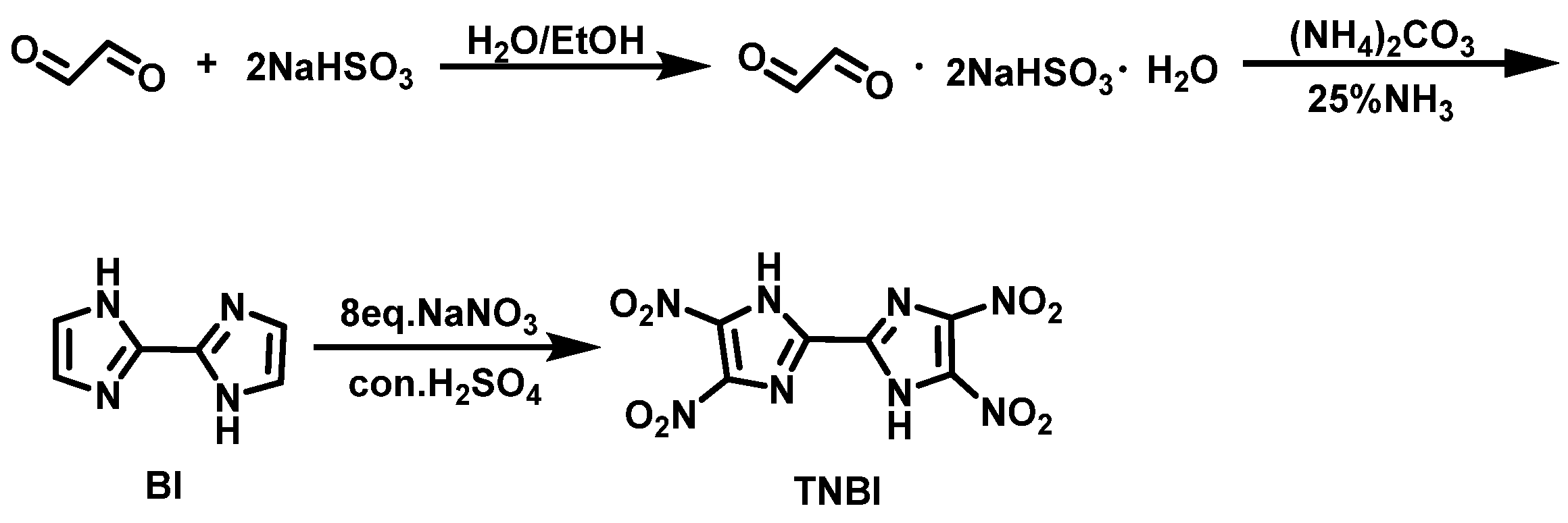
2.1.1. Nitrification of H on Imidazole Ring C
- (1)
- NaNO3/H2SO4 system
- (2)
- 80% HNO3/H2SO4 system
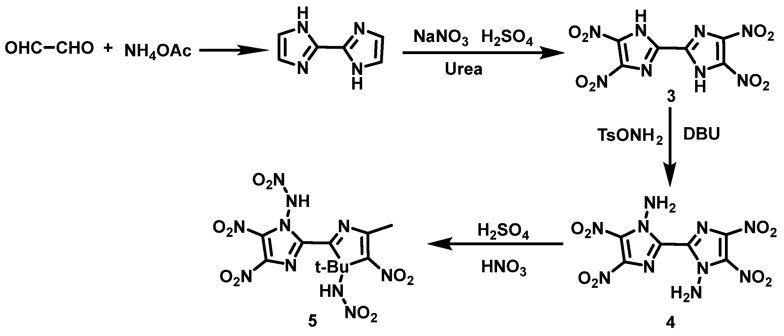
2.1.2. Nitration of -NH2 on Imidazole Ring C/N
2.1.3. Nitrification of H on Imidazole Ring N
- (1)
- HNO3/Ac2O system
2.2. Nitrification of Pyrazoles
2.2.1. Nitrification of H on Pyrazole Ring C
- (1)
- Bismuth nitrate/montmorillonite
- (2)
- HNO3/H2SO4 system
- (3)
- HNO3/P2O5 system
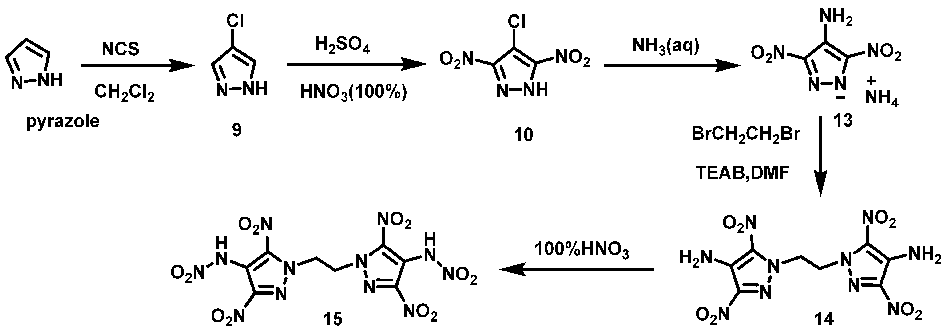
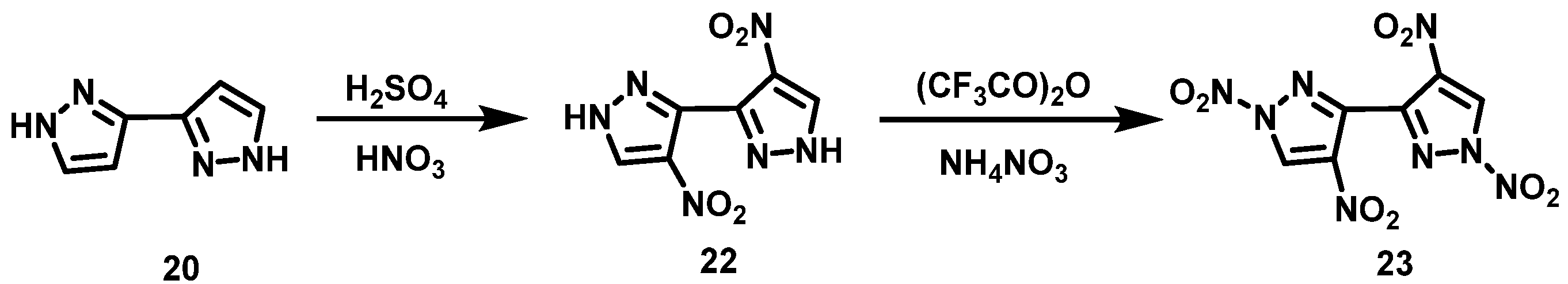
2.2.2. Nitrification of -NH on Pyrazole Ring C
- (1)
- 100% HNO3 system
- (2)
- 70% HNO3/H2SO4 system
- (3)
- HNO3/Ac2O system
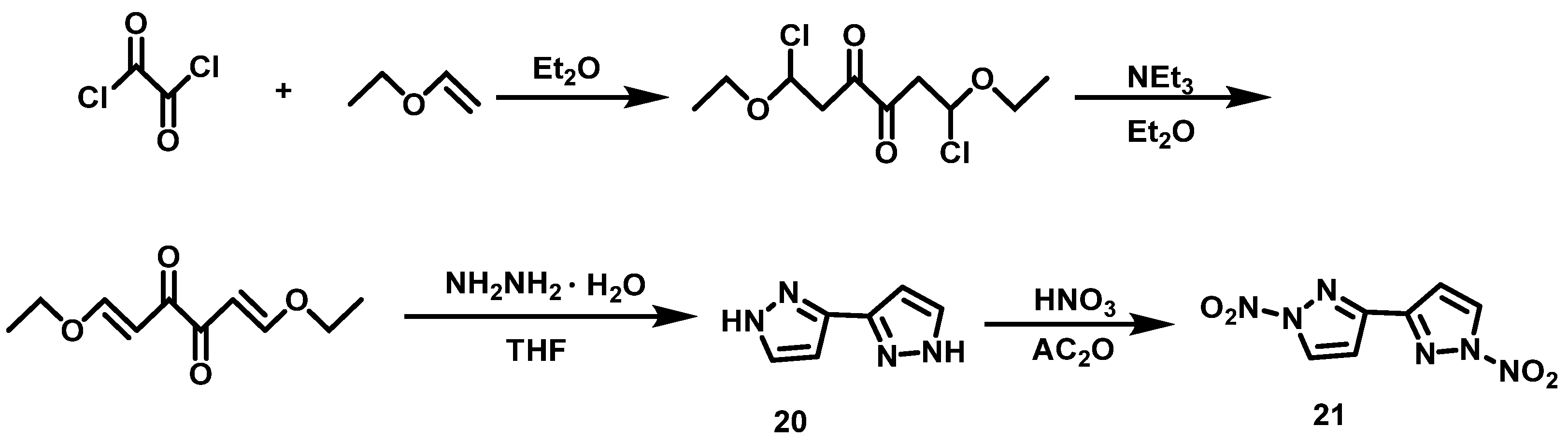
2.2.3. Nitrification of H on Pyrazole Ring N
- (1)
- HNO3/Ac2O system
- (2)
- NH4NO3/TFAA system
2.2.4. Nitrification of -NH2 Connected with the Pyrazole Ring N
2.3. Triazoles
2.3.1. Nitrification of H on 1,2,4-Triazole Ring C
- (1)
- 70% HNO3 system
- (2)
- HNO3/Ac2O system
2.3.2. Nitration of -NH2 on 1,2,4-Triazole Ring C
- (1)
- HNO3/concentrated H2SO4 system
- (2)
- HNO3/P2O5 system
2.3.3. Nitrification of H on 1,2,4-Triazole Ring N
- (1)
- HNO3/Ac2O system
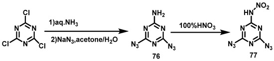
2.3.4. Nitrification of -NH2 on 1,2,4-Triazole Ring N
- (1)
- HNO3 system
2.3.5. Nitration of -NH2 Connected with 1,2,3-Triazole Ring C
2.3.6. Nitrification of H on 1,2,3-Triazole Ring N
2.4. Tetrazoles
2.4.1. Nitrification of -NH2 on Tetrazole C
- (1)
- NO2BF4 system
- (2)
- N2O5 system
- (3)
- 100% HNO3 system
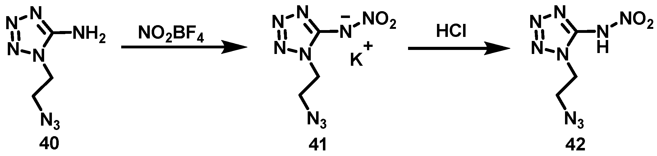
2.4.2. Nitrification of -NH2 Connected with Tetrazole Ring N
- (1)
- NO2BF4 system
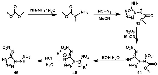
- (2)
- N2O5 system
2.5. Oxadiazoles
2.5.1. Nitration of -NH2 on 1,2,4-Oxadiazole Ring C
- (1)
- 100% HNO3 system
- (2)
- HNO3/Ac2O system
2.5.2. Nitrification of -NH2 on 1,3,4-Oxadiazole Ring C
- (1)
- 100% HNO3 system
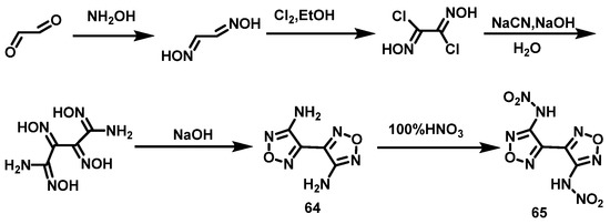
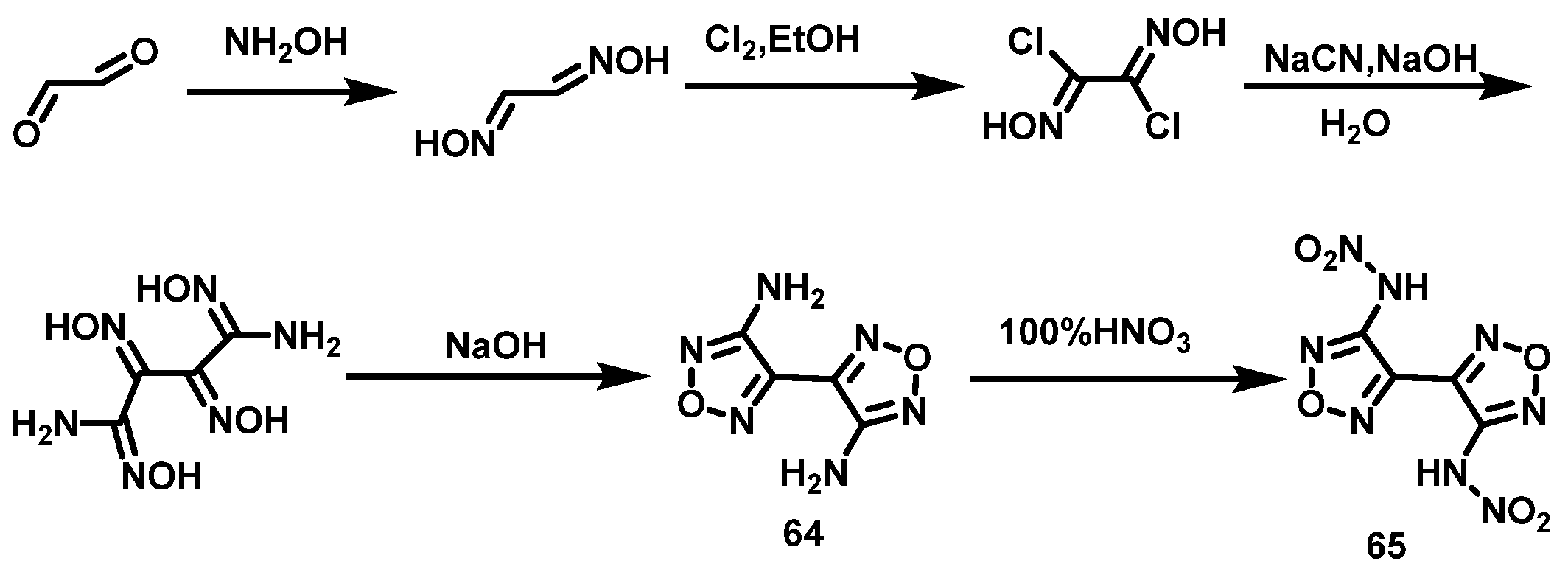
2.5.3. Nitration of -NH2 Connected with 1,2,5-Oxadiazole(Furazan) Ring C
- (1)
- N2O4/100% HNO3 system
- (2)
- NO2BF4 system
- (3)
- 100% HNO3 system
- (4)
- HNO3/Ac2O system
- (5)
- N2O5 system
3. Nitrification of Azines as Nitrogen-Rich Heterocyclic Energetic Compounds
3.1. Pyridazines
Nitrification of H on Pyridazine Ring C
- (1)
- 20% H2SO4/100% HNO3 system
- (2)
- 20% H2SO4/100% NaNO3 system
3.2. Pyrazines
Nitrification of H on Pyrazine Ring C
- (1)
- 20% H2SO4/100% HNO3 system
- (2)
- 100% HNO3/TMPSHSO4 system
- (3)
- H2SO4/95% HNO3 system
3.3. Nitrification of -NH2 Connected with Triazine Ring C
3.4. Nitrification of -NH2 on Tetrazine Ring C
4. Conclusions
- Nitramino-containing nitrogen-rich EMs have higher sensitivity, and these materials can be used as primary explosives. From the viewpoint of chemical reactivity, the nitro group attached to the heterocyclic carbon adjacent to the nitrogen on the heterocyclic ring is unstable to hydrolysis. The existence of adjacent C-amino groups will improve the stability of the ring, and the lone pair of electrons on the amino nitrogen provides electrons to the ring system, thus, the sensitivity of the nitro group to hydrolysis can be significantly reduced. In addition, the presence of amino and nitro groups will boost the formation enthalpy, oxygen balance, density, and stability of the compound, thereby enhancing the detonation and safety of the compound [6,20,55]. Therefore, when designing the molecular structure of EMs, it should be designed as far as possible with compounds where nitro and amino groups cross, such as 3,6-diamino-4,6-dinitropyridazine-1-oxide (Scheme 36) and 2,6-diamino-3,5-dinitropyrazine-1-oxide (LLM-105) (Scheme 37);
- Applying organic synthesis technologies, such as ultrasound and microwave, to the nitration process of nitrogen-rich heterocyclic energetic compounds to shorten the time and improve the overall yield is imperative;
- In view of the traditional methods for synthesizing nitro-containing heterocyclic energetic compounds, including a series of problems brought about by the application of oleum sulfuric acid and fuming nitric acid, it is necessary to continue research so as to discover new nitrification methods to adapt to new needs, especially paying more attention to the development of some low-toxic, cheap, efficient, and environmentally friendly nitrification strategies to adapt to the implementation of sustainable development strategies and the practical application of green chemistry.
Author Contributions
Funding
Institutional Review Board Statement
Informed Consent Statement
Data Availability Statement
Conflicts of Interest
References
- Zhang, C.; Chen, X.; Bai, Y.; Guo, Z.Q.; Song, J.R.; Ma, H.X. 6-((2H-tetrazol-5-yl)-amino)-1,2,4,5-tetrazin-3(2H)-one: High-nitrogen insensitive energetic compound stabilized by π-stacking and hydrogen-bonding interaction. Chin. J. Energetic Mater. 2020, 28, 182–189. [Google Scholar]
- Peng, F.; Yao, Y.; Liu, H.; Ma, Y. Crystalline LiN5 predicted from first-principles as a possible high-energy material. J. Phys. Chem. Lett. 2015, 6, 2363–2366. [Google Scholar] [CrossRef] [PubMed]
- Xu, Y.; Lin, Q.; Wang, P.; Lu, M. Syntheses, crystal structures and properties of a series of 3D metal-inorganic frameworks containing pentazolate anion. Chem. Asian J. 2018, 13, 2786–2790. [Google Scholar] [CrossRef] [PubMed]
- Zhang, C.; Sun, C.; Hu, B.; Yu, C.; Lu, M. Synthesis and characterization of the pentazolate anion cyclo-N5-in(N5)6(H3O)3(NH4)4Cl. Science 2017, 355, 374–376. [Google Scholar] [CrossRef]
- Chavez, D.E.; Parrish, D.A.; Mitchell, L. Energetic Trinitro- and Fluorodinitroethyl Ethers of 1,2,4,5-Tetrazines. Angew. Chem. Int. Ed. 2016, 55, 8666–8669. [Google Scholar] [CrossRef]
- Wang, Y.; Liu, Y.J.; Song, S.W.; Yang, Z.J.; Qi, X.J.; Wang, K.C.; Liu, Y.; Zhang, Q.H.; Tian, Y. Accelerating the discovery of insensitive high-energy-density materials by a materials genome approach. Nat. Commun. 2018, 9, 2444. [Google Scholar] [CrossRef]
- Thomas, M.K.; Carles, M.S. Nitrogen-Rich Tetrazolium Azotetrazolate Salts: A New Family of Insensitive Energetic Materials. Chem. Mater. 2008, 20, 1750–1763. [Google Scholar]
- Wang, Y.; Ye, J.; Yang, N.; Ma, H.X.; Zhang, Y.Z.; Guo, Z.Q. Strong intermolecular interaction induced methylene-bridged asymmetric heterocyclic explosives. CrystEngComm. 2021, 23, 7635–7642. [Google Scholar] [CrossRef]
- Fu, W.; Zhao, B.; Zhang, M.; Li, C.; Gao, H.; Zhang, J.; Zhou, Z. 3,4-Dinitro-1-(1H-tetrazol-5-yl)-1H-pyrazol-5-amine (HANTP) and its salts: Primary and secondary explosives. J. Mater. Chem. A 2017, 5, 5044–5054. [Google Scholar] [CrossRef]
- Huang, S.; Tian, J.; Qi, X.; Wang, K.; Zhan, Q. Synthesis of gem-dinitromethylated and fluorodinitromethylated derivatives of 5,5′-dinitro-bis-1,2,4-triazole as promising high-energy-density materials. Chem. Eur. J. 2017, 23, 12787–12794. [Google Scholar] [CrossRef]
- Xu, Y.; Wang, Q.; Shen, C.; Lin, Q.; Wang, P.; Lu, M. A series of energetic metal pen-tazolate hydrates. Nature 2017, 549, 78–81. [Google Scholar] [CrossRef] [PubMed]
- Yin, P.; Zhang, Q.; Shreeve, J.M. Dancing with energetic nitro-gen atoms: Versatile N-functionalization strategies for N-heterocyclic frameworks in high energy density materials. Acc. Chem. Res. 2016, 49, 14–16. [Google Scholar] [CrossRef] [PubMed]
- Dippold, A.A.; Klapötke, T.M. Synthesis and Characterization of 5-(1,2,4-Triazol-3-yl)tetrazoles with Various Energetic Functionalities. Chem. An. Asian J. 2013, 8, 1463–1471. [Google Scholar] [CrossRef]
- Klapötke, T.M.; Preimesser, A.; Stierstorfer, J. Energetic derivatives of 4,4’,5,5’-tetranitro-2,2′-bisimidazole(TNBI). Z. Anorg. Allg. Chem. 2012, 638, 1278–1286. [Google Scholar] [CrossRef]
- Li, Y.N.; Shu, Y.J.; Zhang, S.Y.; Wang, B.Z.; Zhai, L.J. Synthesis and Thermal Properties of 4,4′,5,5′-Tetranitro-2,2′-biimidazole and Its Energetic Ion Salts. Chin. J. Energ. Mater. 2017, 25, 298–303. [Google Scholar]
- Klapötke, T.M.; Preimesser, A.; Stierstorfer, J. Energetic Derivatives of 2-Nitrimino-5,6-dinitrobenzimidazole. Propell. Explos. Pyrot. 2015, 40, 60–66. [Google Scholar] [CrossRef]
- Yin, P.; He, C.; Shreeve, J.M. Fully C/N-Polynitro-Functionalized 2,2′-Biimidazole Derivatives as Nitrogen- and Oxygen-Rich Energetic Salts. Chem. Eur. J. 2016, 22, 2108–2113. [Google Scholar] [CrossRef]
- Chand, D.; He, C.; Mitchell, L.A.; Parrish, D.A.; Shreeve, J.M. Electrophilic iodination: A gateway to high iodine compounds and energetic materials. Dalton Trans. 2016, 45, 13827–13833. [Google Scholar] [CrossRef]
- Ravi, P.; Tewari, S.P. Facile and environmentally friendly synthesis of nitropyrazoles using montmorillonite K-10 impregnated with bismuth nitrate. Catal. Commun. 2012, 19, 37–41. [Google Scholar] [CrossRef]
- Fischer, D.; Gottfried, J.L.; Klapötke, T.M.; Karaghiosoff, K.; Stierstorfer, J.; Witkowski, T.G. Synthesis and Investigation of Advanced Energetic Materials Based on Bispyrazolylmethanes. Angew. Chem. Int. Ed. 2016, 55, 16132–16135. [Google Scholar] [CrossRef]
- Wang, G.L.; Lu, T.; Fan, G.J.; Li, C.; Yin, H. The Chemistry and Properties of Energetic Materials Bearing [1,2,4]Triazolo[4,3-b][1,2,4,5]tetrazine Fused Rings. Chem. Asian J. 2018, 13, 3718–3722. [Google Scholar] [CrossRef]
- Yin, P.; Zhang, J.H.; Parrish, D.A.; Shreeve, J.M. Energetic N,N′-Ethylene-Bridged Bis(nitropyrazoles): Diversified Functionalities and Properties. Chem. Eur. J. 2014, 20, 16529–16536. [Google Scholar] [CrossRef] [PubMed]
- Zhang, Y.Q.; Parrish, D.A.; Shreeve, J.M. 4-Nitramino-3,5-dinitropyrazole Based Energetic Salts. Chem. Eur. J. 2012, 18, 987–994. [Google Scholar] [CrossRef] [PubMed]
- He, C.L.; Zhang, J.H.; Parrish, D.A.; Shreeve, J.M. 4-Chloro-3,5-dinitropyrazole: A precursor for promising insensitive energetic compounds. Mater. Chem. A 2013, 1, 2863–2868. [Google Scholar] [CrossRef]
- Tang, Y.X.; Kumar, D.; Shreeve, J.M. Balancing Excellent Performance and High Thermal Stability in a Dinitropyrazole Fused 1,2,3,4-Tetrazine. J. Am. Chem. Soc. 2017, 139, 13684–13687. [Google Scholar] [CrossRef] [PubMed]
- Kumar, D.; Tang, Y.X.; He, C.L.; Imler, G.H.; Parrish, D.; Shreeve, J.M. Multipurpose Energetic Materials by Shuffling Nitro Groups on a 3,3′-Bipyrazole Moiety. Chem. Eur. J. 2018, 24, 17220–17224. [Google Scholar] [CrossRef]
- Yin, P.; Zhang, J.H.; Mitchell, L.A.; Parrish, D.A.; Shreeve, J.M. 3,6-Dinitropyrazolo[4,3-c]pyrazole-Based Multipurpose Energetic Materials through Versatile N-Functionalization Strategies. Angew. Chem. Int. Ed. 2016, 55, 12895–12897. [Google Scholar] [CrossRef]
- Ma, H.X.; Xiao, H.M.; Song, J.R.; Ju, X.H.; Zhu, W.; Yu, K.B. Molecular structure of 4-amino-1,2,4- triazol-5-one and a density-functional theoretical investigation of its dimers and crystal band structure. Chem. Phys. 2008, 344, 79–89. [Google Scholar] [CrossRef]
- Chang, P.; Zhou, C.; Wang, B.Z.; Huang, X.P.; Zhu, Y. Safety Analysis of Two NTO Synthesis Processes. J. Chem. Eng. Chin. Univ. 2018, 32, 1223–1227. (In Chinese) [Google Scholar]
- Huang, X.P.; Chang, P.; Wang, B.Z.; Li, P.R.; Wang, M.C.; Fan, X.Z.; Feng, H.L. Recycling use of waste acids in preparation of 3-nitro-1,2,4-triazol-5-one (NTO). Chin. J. Energ. Mater. 2013, 21, 363–366. (In Chinese) [Google Scholar]
- Aizikovich, A.; Shlomovich, A.; Cohen, A. The nitration pattern of energetic 3,6-diamino-1,2,4,5-tetrazine derivatives containing azole functional groups. Dalton Trans. 2015, 44, 13939–13946. [Google Scholar] [CrossRef] [PubMed] [Green Version]
- Astachov, A.M.; Revenko, V.A.; Buka, E.S. Comparative characteristics of two isomeric explosives: 4-nitro-5-nitrimino-1H-1,2,4-triazole and 3-nirro-5-nitrimino-1,4H-1,2,4-triazole. In Proceedings of the Seminar on New Trends in Research of Energetic Materials, Pardubice, Czech Republic, 20 April 2004. [Google Scholar]
- Dippold, A.A.; Klapötke, T.M. Nitrogen-Rich Bis-1,2,4-triazoles-A Comparative Study of Structural and Energetic Properties. Chem. Eur. J. 2012, 18, 16742–16753. [Google Scholar] [CrossRef] [PubMed]
- Yin, P.; Shreeve, J.M. From N-Nitro to N-Nitroamino: Preparation of High-Performance Energetic Materials by Introducing Nitrogen-Containing Ions. Angew. Chem. Int. Ed. 2015, 54, 14513–14517. [Google Scholar] [CrossRef] [PubMed]
- Klapötke, T.M.; Leroux, M.; Schmid, P.C.; Stierstorfer, J. Energetic Materials Based on 5,5′-Diamino-4,4′-dinitramino-3,3′-bi-1,2,4-triazole. Chem. Asian J. 2016, 11, 844–851. [Google Scholar] [CrossRef]
- Zhang, Y.Q.; Parrish, D.A.; Shreeve, J.M. Derivatives of 5-nitro-1,2,3-2H-triazole-high performance energetic materials. J. Mater. Chem. A 2013, 1, 585–593. [Google Scholar] [CrossRef]
- Thottempudi, V.; Forohor, F.; Parrish, D.A.; Shreeve, J.M. Tris(triazolo)benzene and Its Derivatives: High-Density Energetic Materials. Angew. Chem. Int. Ed. 2012, 51, 9881–9885. [Google Scholar] [CrossRef]
- Stierstorfer, J.; Tarantik, K.R.; Klapötke, T.M. New Energetic Materials: Functionalized 1-Ethyl-5-aminotetrazoles and 1-Ethyl-5-nitriminotetrazoles. Chem. Eur. J. 2009, 15, 5775–5792. [Google Scholar] [CrossRef]
- Fischer, D.; Klapötke, T.M.; Stierstorfer, J. 1,5-Di(nitramino)tetrazole: High Sensitivity and Superior Explosive Performance. Angew. Chem. Int. Ed. 2015, 54, 10299–10302. [Google Scholar] [CrossRef]
- Kumar, D.; Imler, G.H.; Parrish, D.A.; Shreeve, J.M. Aminoacetonitrile as precursor for nitrogen rich stable and insensitive asymmetric N-methylene-C linked tetrazole-based energetic compounds. Mater. Chem. A 2017, 5, 16767–16775. [Google Scholar] [CrossRef]
- Klapötke, T.M.; Martin, F.A.; Stierstorfer, J. N-Bound Primary Nitramines Based on 1,5-Diaminotetrazole. Chem. Eur. J. 2012, 18, 1487–1501. [Google Scholar] [CrossRef]
- Fischer, D.; Klapötke, T.M.; Stierstorfer, J.; Szimhardt, N. 1,1′-Nitramino-5,5′-bitetrazoles. Chem. Eur. J. 2016, 22, 4966–4970. [Google Scholar] [CrossRef] [PubMed]
- Tang, Y.X.; Gao, H.X.; Mitchell, L.A.; Parrish, D.A.; Shreeve, J.M. Syntheses and Promising Properties of Dense Energetic 5,5′-Dinitramino-3,3′-azo-1,2,4-oxadiazole and Its Salts. Angew. Chem. Int. Ed. 2016, 55, 3200–3203. [Google Scholar] [CrossRef] [PubMed] [Green Version]
- Tang, Y.X.; Gao, H.X.; Mitchell, L.A.; Parrish, D.A.; Shreeve, J.M. Enhancing Energetic Properties and Sensitivity by Incorporating Amino and Nitramino Groups into a 1,2,4-Oxadiazole Building Block. Angew. Chem. Int. Ed. 2016, 55, 1147–1150. [Google Scholar] [CrossRef] [PubMed]
- Hermann, T.S.; Karaghiosoff, K.; Klapötke, T.M.; Stierstorfer, J. Synthesis and Characterization of 2,2′-Dinitramino-5,5′-bi(1-oxa-3,4-diazole) and Derivatives as Economic and Highly Dense Energetic Materials. Chem. Eur. J. 2017, 23, 12087–12091. [Google Scholar] [CrossRef] [Green Version]
- Sheremetev, A.B.; Aleksandrova, N.S. Reactions of 3-amino-4-methylfurazan with nitrating agents. Russ. Chem. Bull. Int. Ed. 2005, 54, 1665–1669. [Google Scholar] [CrossRef]
- Fischer, D.; Klapötke, T.M.; Reymann, M.; Stierstorfer, J. Dense Energetic Nitraminofurazanes. Chem. Eur. J. 2014, 20, 6401–6411. [Google Scholar] [CrossRef]
- Zhang, J.H.; Dharavath, S.; Mitchell, L.A.; Parrish, D.A.; Shreeve, J.M. Bridged bisnitramide-substituted furazan-based energetic materials. J. Mater. Chem. A 2016, 4, 16961–16967. [Google Scholar] [CrossRef]
- Klapötke, T.M.; Schmid, P.C.; Stierstorfer, J. Crystal Structures of Furazanes. Crystals 2015, 5, 418–432. [Google Scholar] [CrossRef]
- Gospodinov, I.; Klapötke, T.M.; Stierstorfer, J. Energetic Functionalization of the Pyridazine Scaffold: Synthesis and Characterization of 3,5-Diamino-4,6- dinitropyridazine-1-Oxide. Eur. J. Org. Chem. 2018, 8, 1004–1010. [Google Scholar] [CrossRef]
- Zhou, X.L.; Liu, Z.L.; Cheng, J.; Zhao, X. Study on nitration reaction of 2,6-diacetamidopyrazine-1-oxide. Explos. Mater. 2014, 43, 16–21. (In Chinese) [Google Scholar]
- Liu, J.D.; Shen, C.; Wang, P.C.; Lu, M. Synthesis and Properties of 2,6-Bis(picryIamino)-3,5-dinitroPyrazine. Chin. J. Energetic Mater. 2017, 25, 486–492. [Google Scholar]
- Huang, Y.G.; Zhang, Y.Q.; Shreeve, J.M. Nitrogen-Rich Salts Based on Energetic Nitroaminodiazido [1,3,5]triazine and Guanazine. Chem. Eur. J. 2011, 17, 1538–1546. [Google Scholar] [CrossRef] [PubMed]
- Zhang, T.H.; Du, J.; Li, Z.M.; Lin, X.; Wang, L.; Yang, L.; Zhang, T.L. Alkali metal salts of 3,6-dinitramino-1,2,4,5-tetrazine: Promising nitrogen-rich energetic materials. Cryst. Eng. Comm. 2019, 21, 765–772. [Google Scholar] [CrossRef]
- Tang, Y.X.; He, C.L.; Imler, G.H.; Parrish, D.A.; Shreeve, J.M. A C–C bonded 5,6-fused bicyclic energetic molecule: Exploring an advanced energetic compound with improved performance. Chem. Commun. 2018, 54, 10566–10569. [Google Scholar] [CrossRef]








































| Nitrification System | Characteristic |
|---|---|
| HNO3 | Cheap. To nitrate different azole rings, different concentrations of HNO3 are required. |
| HNO3/H2SO4 | The nitration ability is stronger than that of HNO3, and it is often used for the nitration of a variety of azole compounds. According to the structural characteristics of different azole rings and the difficulty of the aromatic electrophilic substitution reaction, a suitable ratio of HNO3/H2SO4 should be selected for nitration. The reaction conditions are mostly mild, the required temperature range is generally from 20 °C to 100 °C, the reaction time is about 1 h to 2.5 h, and the yield can reach about 80% or higher. For some azole substrates with relatively inert reaction activity (such as the existence of strong electron-withdrawing group), the reaction rate is generally slow and the reaction time needs to be extended to 10–48 h. |
| HNO3/Ac2O | Compared with the nitrating reagent HNO3/H2SO4, the HNO3/Ac2O mixture has a weaker nitrification ability, but the acid anhydride can effectively reduce the oxidation of HNO3. |
| NO2BF4 | An environmentally friendly nitrating reagent without waste acid treatment. The reaction condition is relatively mild, and the temperature is easy to control. It is non-oxidizing and has high reaction selectivity. It can be used for the aromatic electrophilic nitration reaction of various azole rings, acetonitrile is often used as the solvent, the reaction time is generally 10 h, and the yield is 30–50%. |
| N2O5 | N2O5 is a green nitrification reagent that can be used for the nitration of sensitive compounds. Compared with nitration reagents such as HNO3, HNO3/H2SO4, HNO3/acid anhydride, it has the following advantages: no need for waste acid treatment, the reaction has less heat release and the temperature is easy to control, the post-treatment is simple as only the solvent needs to be evaporated, the reaction is usually carried out with CH2Cl2 as solvent, the temperature is generally from 20 °C to 100 °C, and the yield is about 90%. |
| HNO3/P2O5 | In this system, P2O5 is not only a dehydrating agent, but also a nitrification accelerator. The nitration system is suitable for the nitration of aromatics as well as amines. |
| Nitrate | Under catalysis, some nitrates can also act as nitrating reagents, which are mainly used in the synthesis of some nitropyrazole compounds. Their nitrating capacities are as follows: Bi(NO3)3 > AgNO3 > KNO3 > NaNO3 > NH4NO3 > Pb(NO3)2 > Ba(NO3)2. |
Publisher’s Note: MDPI stays neutral with regard to jurisdictional claims in published maps and institutional affiliations. |
© 2022 by the authors. Licensee MDPI, Basel, Switzerland. This article is an open access article distributed under the terms and conditions of the Creative Commons Attribution (CC BY) license (https://creativecommons.org/licenses/by/4.0/).
Share and Cite
Luo, Y.; Zheng, W.; Wang, X.; Shen, F. Nitrification Progress of Nitrogen-Rich Heterocyclic Energetic Compounds: A Review. Molecules 2022, 27, 1465. https://doi.org/10.3390/molecules27051465
Luo Y, Zheng W, Wang X, Shen F. Nitrification Progress of Nitrogen-Rich Heterocyclic Energetic Compounds: A Review. Molecules. 2022; 27(5):1465. https://doi.org/10.3390/molecules27051465
Chicago/Turabian StyleLuo, Yiming, Wanwan Zheng, Xuanjun Wang, and Fei Shen. 2022. "Nitrification Progress of Nitrogen-Rich Heterocyclic Energetic Compounds: A Review" Molecules 27, no. 5: 1465. https://doi.org/10.3390/molecules27051465
APA StyleLuo, Y., Zheng, W., Wang, X., & Shen, F. (2022). Nitrification Progress of Nitrogen-Rich Heterocyclic Energetic Compounds: A Review. Molecules, 27(5), 1465. https://doi.org/10.3390/molecules27051465
