Relative Stability of Boron Planar Clusters in Diatomic Molecular Model
Abstract
:1. Introduction
1.1. Synthesizing
1.2. Structure and Binding
1.3. Applications
2. Methodology
- −
- Cluster binding energy is the sum of energies of pair interactions between nearest neighboring in its structure atoms;
- −
- Assuming that relative deviations of bond lengths in the multi-atomic cluster structure from their values in corresponding diatomic molecules are small, pair interaction energies between neighboring atoms are approximated by their quadratic functions;
- −
- Valence-electron-density-redistribution-related corrections to the bond energies in the cluster can be expressed through effective static charges localized on pairs of nearest neighboring atoms;
- −
- Interatomic vibrations related corrections can be approximated by ground-state vibrational energies of corresponding diatomic molecules.
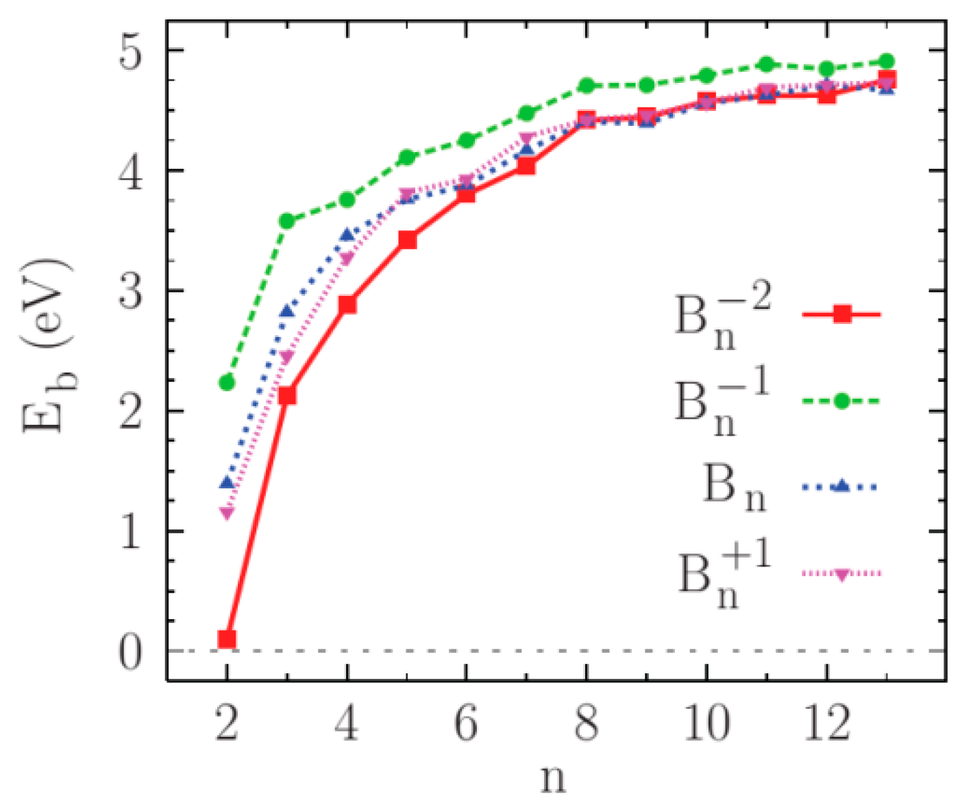
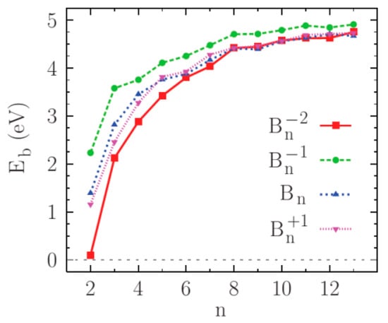
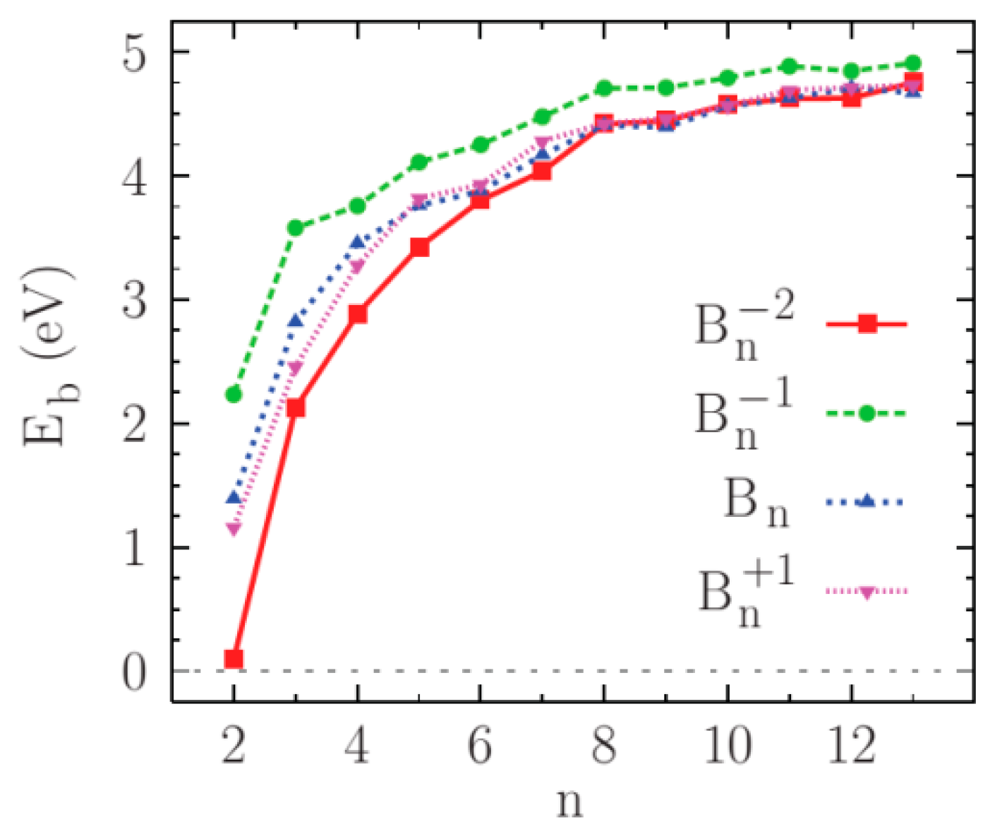
3. Results and Discussion
4. Conclusions
Funding
Institutional Review Board Statement
Informed Consent Statement
Data Availability Statement
Conflicts of Interest
Sample Availability
References
- Boustani, I. Towards novel boron nanostructural materials. Chem. Modell. 2011, 8, 1–44. [Google Scholar]
- Chkhartishvili, L. Micro- and nano-structured boron. In Boron: Compounds, Production and Application; Perkins, G.L., Ed.; Nova Sci. Publ.: New York, NY, USA, 2011; Chapter 6; pp. 221–294. [Google Scholar]
- Chkhartishvili, L. Nanoboron (An overview). Nano Studies 2011, 3, 227–314. [Google Scholar]
- Becker, R.; Chkhartishvili, L.; Martin, P. Boron, the new graphene? Vac. Technol. Coat. 2015, 16, 38–44. [Google Scholar]
- Chkhartishvili, L. All-boron nanostructures. In CRC Concise Encyclopedia of Nanotechnology; Kharisov, B.I., Kharissova, O.V., Ortiz–Mendez, U., Eds.; CRC Press: Boca Raton, FL, USA, 2016; Chapter 7; pp. 53–69. [Google Scholar]
- Li, D.; Gao, J.; Cheng, P.; He, J.; Yin, Y.; Hu, Y.; Chen, L.; Cheng, Y.; Zhao, J. 2D boron sheets: Structure, growth, and electronic and thermal transport properties. Adv. Funct. Mater. 2019, 30, 1904349. [Google Scholar] [CrossRef]
- Tian, Y.; Guo, Z.; Zhang, T.; Lin, H.; Li, Z.; Chen, J.; Deng, S.; Liu, F. Inorganic boron-based nanostructures: Synthesis, optoelectronic properties, and prospective applications. Nanomaterials 2019, 9, 538. [Google Scholar] [CrossRef] [PubMed] [Green Version]
- Boustani, I. Molecular Modelling and Synthesis of Nanomaterials. Applications in Carbon- and Boron-Based Nanotechnology; Springer Nature: Cham, Switzerland, 2020. [Google Scholar]
- Matsuda, I.; Wu, K. (Eds.) 2D Boron: Boraphene, Borophene, Boronene; Springer Nature: Cham, Switzerland, 2021. [Google Scholar]
- Alexandrova, A.N.; Boldyrev, A.I.; Zhai, H.-J.; Wang, L.-S. All-boron aromatic clusters as potential new inorganic ligands and building blocks in chemistry. Coord. Chem. Rev. 2006, 250, 2811–2866. [Google Scholar] [CrossRef]
- Li, W.-L.; Chen, Q.; Tian, W.-J.; Bai, H.; Zhao, Y.-F.; Hu, H.-S.; Li, J.; Zhai, H.-J.; Li, S.-D.; Wang, L.-S. The B35 cluster with a double-hexagonal vacancy: A new and more flexible structural motif for borophene. J. Am. Chem. Soc. 2014, 136, 12257–12260. [Google Scholar] [CrossRef]
- Kiran, B.; Bulusu, S.; Zhai, H.-J.; Yoo, S.; Zeng, X.C.; Wang, L.-S. Planar-to-tubular structural transition in boron clusters: B20 as the embryo of single-walled boron nanotubes. Proc. Natl. Acad. Sci. USA 2005, 102, 961–964. [Google Scholar] [CrossRef] [Green Version]
- Boustani, I. Structural transitions and properties of boron nanoclusters. In 17th International Symposium on Boron, Borides and Related Materials; Istanbul Tech. Univ.: Istanbul, Turkey, 2011; p. 49. [Google Scholar]
- Arvanitidis, A.G.; Tai, T.B.; Nguyen, M.T.; Ceulemans, A. Quantum rules for planar boron nanoclusters. Phys. Chem. Chem. Phys. 2014, 16, 18311–18318. [Google Scholar] [CrossRef]
- Verhaegen, G.; Drowart, J. Mass spectrometric determination of the heat of sublimation of boron and the dissociation energy of B2. J. Chem. Phys. 1962, 37, 1367–1368. [Google Scholar] [CrossRef]
- Mar, R.W.; Bedford, R.G. The sublimation of boron. High. Temp. Sci. 1976, 8, 365–376. [Google Scholar]
- Goltz, D.M.; Chakrabarti, C.L.; Sturgeon, R.E.; Hughes, D.M.; Gregoire, D.C. Investigation of the vaporization and atomization of boron in a graphite furnace using digital imaging techniques. Appl. Spectrosc. 1995, 49, 1006–1016. [Google Scholar] [CrossRef]
- Becker, R.C. Method for Generating a Boron Vapor. U.S. Patent # 5861630, 19 January 1999. [Google Scholar]
- Boustani, I.; Becker, R. Boron clusters, single- and multiwalled nanotubes: Theoretical prediction and experimental observation. In Proc. 9th Ann. Nanotechnol. Conf. & Trade Show; Nano Sci. & Technol. Inst.: Boston, MA, USA, 2006; MO 60.802. [Google Scholar]
- Medvedovski, E. Preparation of boron nitride-based coatings through thermal diffusion process. Adv. Appl. Ceram. 2018, 117, 221–230. [Google Scholar] [CrossRef]
- Unsal, H.; Grasso, S.; Kovalcikova, A.; Hanzel, O.; Tatarkova, M.; Dlouhy, I.; Tatarko, P. In-situ graphene platelets formation and its suppression during reactive spark plasma sintering of boron carbide/titanium diboride composites. J. Eur. Ceram. Soc. 2021, 41, 6281–6289. [Google Scholar] [CrossRef]
- Feldman, C.; Moorjani, K.; Blum, N.A. Mass-spectrometry, optical absorption, and electrical properties of boron amorphous films. In Boron–Obtaining, Structure, and Properties; Tsagareishvili, G.V., Tavadze, F.N., Eds.; Nauka: Moscow, Russia, 1974; pp. 130–138. (In Russian) [Google Scholar]
- Kutelia, E.R.; Dekanosidze, R.N.; Maisuradze, N.I.; Dzigrashvili, T.A.; Petrov, V.I. Electron microscopic investigation of the structure of ultrafine elementary boron. In Abs. 8th Int. Symp. Boron, Borides, Carbides, Nitrides & Rel. Comp.; Tsagareishvili, G.V., Ed.; Metsniereba: Tbilisi, Georgia, 1984; pp. 12–13. [Google Scholar]
- Kervalishvili, P.J.; Kutelia, E.R.; Dzigrashvili, T.A.; Dekanosidze, R.N.; Petrov, V.I. Electron-microscopic study of amorphous boron structure. Phys. Solid State 1985, 27, 1414–1418. (In Russian) [Google Scholar]
- Dzigrashvili, T.A.; Kutelia, E.R. On structural relaxation of small particles. Bull. Acad. Sci. Georgian SSR 1988, 129, 53–56. (In Russian) [Google Scholar]
- La Placa, S.J.; Roland, P.A.; Wynne, J.J. Boron clusters (Bn, n = 2–52) produced by laser ablation of hexagonal boron nitride. Chem. Phys. Lett. 1992, 190, 163–168. [Google Scholar] [CrossRef]
- Liu, C.H.; Peng, W.; Sheng, L.M. Carbon and boron nanoparticles by pulsed-laser vaporization of boron carbide in liquids. Carbon 2001, 39, 144–147. [Google Scholar] [CrossRef]
- Xu, S.-J.; Nilles, J.M.; Radisic, D.; Zheng, W.-J.; Stokes, S.; Bowen, K.H.; Becker, R.C.; Boustani, I. Boron cluster anions containing multiple B12 icosahedra. Chem. Phys. Lett. 2003, 379, 282–286. [Google Scholar] [CrossRef]
- Oger, E. Strukturaufklärung durch Mobilitätsmessungen an Massenselektierten Clusterionen in der Gasphase (Dissertation); KIT Sci. Publ.: Karlsruher, Germany, 2010. (In German) [Google Scholar]
- Atis, M.; Ozdogan, C.; Guvenc, Z.B. Structure and energetic of Bn (n = 2–12) clusters: Electronic structure calculations. Int. J. Quantum Chem. 2007, 107, 729–744. [Google Scholar] [CrossRef]
- Tai, T.B.; Grant, D.J.; Nguyen, M.T.; Dixon, D.A. Thermochemistry and electronic structure of small boron clusters (Bn, n = 5−13) and their anions. J. Phys. Chem. A 2010, 114, 994–1007. [Google Scholar] [CrossRef] [PubMed]
- Tai, T.B.; Nguyen, M.T. Electronic structure and photoelectron spectra of Bn with n = 26–29: An overview of structural characteristics and growth mechanism of boron clusters. Phys. Chem. Chem. Phys. 2015, 17, 13672–13679. [Google Scholar] [CrossRef] [PubMed]
- Wu, X.; Sai, L.; Zhou, S.; Zhou, P.; Chen, M.; Springborg, M.; Zhao, J. Competition between tubular, planar and cage geometries: A complete picture of structural evolution of Bn (n = 31–50) clusters. Phys. Chem. Chem. Phys. 2020, 22, 12959–12966. [Google Scholar] [CrossRef] [PubMed]
- Vedeneev, V.I.; Gurvich, L.V.; Kondrat’ev, V.N.; Medvedev, V.L.; Frankevich, E.L. Chemical Bonds Breaking Energy. Ionization Potentials and Electron Affinity (Handbook); Acad. Sci. USSR: Moscow, Russia, 1962. (In Russian) [Google Scholar]
- Graham, W.R.M.; Weltner, W. B atoms, B2 and H2BO molecules: ESR and optical spectra at 4 K. J. Chem. Phys. 1976, 65, 1516–1521. [Google Scholar] [CrossRef]
- Dupuis, M.; Liu, B. The ground electronic state of B2. J. Chem. Phys. 1978, 68, 2902–2910. [Google Scholar] [CrossRef]
- Martin, J.M.L.; Francois, J.P.; Gijbels, R. Ab initio study of boron, nitrogen, and boron–nitrogen clusters. I. Isomers and thermochemistry of B3, B2N, BN2, and N3. J. Chem. Phys. 1989, 90, 6469–6485. [Google Scholar] [CrossRef]
- Deutsch, P.W.; Curtiss, L.A.; Pople, J.A. Boron dimer: Dissociation energy and ionization potentials. Chem. Phys. Lett. 1990, 174, 33–36. [Google Scholar] [CrossRef]
- Huber, K.P.; Herzberg, H. Molecular Spectra and Molecular Structure. IV. Constants of Diatomic Molecules; van Nostrand Reinhold Co.: New York, NY, USA, 1979. [Google Scholar]
- Langhoff, S.R.; Bauschlicher, C.W. Theoretical study of the spectroscopy of B2. J. Chem. Phys. 1991, 95, 5882–5888. [Google Scholar] [CrossRef]
- Chkhartishvili, L.; Lezhava, D.; Tsagareishvili, O.; Gulua, D. Ground-state parameters of diatomic molecules B2, BC, BN, and BO. Proc. Georgian Police Acad. 1999, 1, 195–300. (In Russian) [Google Scholar]
- Chkhartishvili, L.; Lezhava, D.; Tsagareishvili, O. Quasi-classical determination of electronic energies and vibration frequencies in boron compounds. J. Solid State Chem. 2000, 154, 148–152. [Google Scholar] [CrossRef]
- Chkhartishvili, L. On quasi-classical estimations of boron nanotubes ground-state parameters. J. Phys. Conf. Ser. 2009, 176, 012013. [Google Scholar] [CrossRef]
- Chkhartishvili, L. Molar binding energy of the boron nanosystems. In Proc. 4th Int. Boron Symp.; Konuk, A., Kurama, H., Ak, H., Iphar, M., Eds.; Osmangazi Univ.–TMMOB: Ankara, Turkey, 2009; pp. 153–160. [Google Scholar]
- Chkhartishvili, L. Nanotubular boron: Ground-state estimates. In New Developments in Materials Science; Chikoidze, E., Tchelidze, T., Eds.; Nova Sci. Publ.: New York, NY, USA, 2013; Chapter 8; pp. 67–80. [Google Scholar]
- Bruna, P.J.; Wright, J.S. Strongly bound multiply excited states of B2+ and B2. J. Chem. Phys. 1989, 91, 1126–1136. [Google Scholar] [CrossRef]
- Mierzwa, G.; Gordon, A.J.; Berski, S. The nature of the triple B≡B, double B=B, single B–B, and one-electron B∙B boron–boron bonds from the topological analysis of Electron Localization Function (ELF) perspective. J. Mol. Str. 2020, 1221, 128530. [Google Scholar] [CrossRef]
- Boustani, I. New convex and spherical structures of bare boron clusters. J. Solid State Chem. 1997, 133, 182–189. [Google Scholar] [CrossRef]
- Boustani, I. New quasi-planar surfaces of bare boron. Surf. Sci. 1997, 370, 355–363. [Google Scholar] [CrossRef]
- Boustani, I.; Quandt, A. Boron in ab initio calculations. Comput. Mater. Sci. 1998, 11, 132–137. [Google Scholar] [CrossRef]
- Hernandez, R.; Simons, J. Electronic energies, geometries, and vibrational frequencies of the ground and low-lying excited states of the boron trimer. J. Chem. Phys. 1991, 94, 2961–2967. [Google Scholar] [CrossRef] [Green Version]
- Zhai, H.-J.; Wang, L.-S.; Alexandrova, A.N.; Boldyrev, A.I.; Zakrzewski, V.G. Photoelectron spectroscopy and ab initio study of B3− and B4− anions and their neutrals. J. Chem. Phys. A 2003, 107, 9319–9328. [Google Scholar] [CrossRef]
- Martin, J.M.L.; Francois, J.P.; Gijbels, R. Potential energy surface of B4 and total atomization energies of B2, B3, and B4. Chem. Phys. Lett. 1992, 189, 529–536. [Google Scholar] [CrossRef]
- Koutecky, J.; Pacchioni, G.; Jeung, G.H.; Hass, E.C. Comparative study of tetramers built from Ia, IIa, IIIa, and IVa atoms. Surf. Sci. 1985, 156, 650–669. [Google Scholar] [CrossRef]
- Li, Q.S.; Jin, H.W. Structure and stability of B5, B5+, and B5− clusters. J. Phys. Chem. A 2002, 106, 7042–7047. [Google Scholar] [CrossRef]
- Zhai, H.-J.; Wang, L.-S.; Alexandrova, A.N.; Boldyrev, A.I. Electronic structure and chemical bonding of B5− and B5 by photoelectron spectroscopy and ab initio calculations. J. Chem. Phys. 2002, 117, 7917–7924. [Google Scholar] [CrossRef]
- Alexandrova, A.N.; Boldyrev, A.I.; Zhai, H.-J.; Wang, L.-S.; Steiner, E.; Fowler, P.W. Structure and bonding in B6− and B6: Planarity and antiaromaticity. J. Phys. Chem. A 2003, 107, 1359–1369. [Google Scholar] [CrossRef]
- Alexandrova, A.N.; Boldyrev, A.I.; Zhai, H.-J.; Wang, L.-S. Electronic structure, isomerism, and chemical bonding in B7− and B7. J. Phys. Chem. A 2004, 108, 3509–3517. [Google Scholar] [CrossRef]
- Hanley, L.; Anderson, S.L. Production and collision-induced dissociation of small boron cluster ions. J. Phys. Chem. 1987, 91, 5161–5163. [Google Scholar] [CrossRef]
- Ray, A.K.; Howard, I.A.; Kanal, K.M. Structure and binding in small neutral and cationic boron clusters. Phys. Rev. B 1992, 45, 14247–14255. [Google Scholar] [CrossRef]
- Kato, H.; Tanaka, E. Stabilities of small Ben and Bn clusters (4 ≤ n ≤ 8) by vibrational analysis. J. Comput. Chem. 1991, 12, 1097–1109. [Google Scholar] [CrossRef]
- Zhai, H.-J.; Alexandrova, A.N.; Birch, K.A.; Boldyrev, A.I.; Wang, L.-S. Hepta- and octacoordinate boron in molecular wheels of eight- and nine-atom boron clusters: Observation and confirmation. Angew. Chem. Int. Ed. 2003, 42, 6004–6008. [Google Scholar] [CrossRef]
- Drummond, M.L.; Meunier, V.; Sumpter, B.G. Structure and stability of small boron and boron oxide clusters. J. Phys. Chem. A 2007, 111, 6539–6551. [Google Scholar] [CrossRef]
- Kato, H.; Yamashita, K.; Morokuma, K. Ab initio MO study of neutral and cationic boron clusters. Chem. Phys. Lett. 1992, 190, 361–366. [Google Scholar] [CrossRef]
- Bambakidis, G.; Wagner, R.P. Electronic structure and binding energy of the icosahedral boron cluster B12. J. Phys. Chem. Solids 1981, 42, 1023–1025. [Google Scholar] [CrossRef]
- Kawai, R.; Weare, J.H. Instability of the B12 icosahedral cluster: Rearrangement to a lower energy structure. J. Chem. Phys. 1991, 95, 1151–1159. [Google Scholar] [CrossRef]
- Bhattacharyya, P.; Boustani, I.; Shukla, A. First principles study of structural and optical properties of B12 isomers. arXiv 2018, arXiv:1802.01072. [Google Scholar] [CrossRef] [Green Version]
- Hanley, L.; Whitten, J.L.; Anderson, S.L. Collision-induced dissociation and ab initio studies of boron cluster ions: Determination of structures and stabilities. J. Phys. Chem. 1988, 92, 5803–5812. [Google Scholar] [CrossRef]
- Hanley, L.; Whitten, J.L.; Anderson, S.L. Collision-induced dissociation and ab initio studies of boron cluster ions: Determination of structures and stabilities [Erratum to document cited in CA109(18):156723t]. J. Phys. Chem. 1990, 94, 2218. [Google Scholar] [CrossRef]
- Akman, N.; Tas, M.; Ozdogan, C.; Boustani, I. Ionization energies, Coulomb explosion, fragmentation, geometric, and electronic structures of multicharged boron clusters Bn (n = 2–13). Phys. Rev. B 2011, 84, 075463. [Google Scholar] [CrossRef]
- Cao, P.-l.; Zhao, W.; Li, B.-X.; Song, B.; Zhou, X.-Y. A full-potential linear-muffin-tin-orbital molecular-dynamics study of B7, B10 and B13 clusters. J. Phys. Cond. Matter 2001, 13, 5065–5076. [Google Scholar] [CrossRef]
- Kato, H.; Yamashita, K.; Morokuma, K. Ab initio study of neutral and cationic B12 and B13 clusters. Bull. Chem. Soc. Jpn. 1993, 66, 3358–3361. [Google Scholar] [CrossRef]
- Gu, F.L.; Yang, X.; Tang, A.-C.; Jiao, H.; von Schleyer, P.R. Structure and stability of B13+ clusters. J. Comput. Chem. 1998, 19, 203–214. [Google Scholar] [CrossRef]
- Kiran, B.; Kumar, G.G.; Nguyen, M.T.; Kandalam, A.K.; Jena, P. Origin of the unusual stability of B12 and B13+ clusters. Inorg. Chem. 2009, 48, 9965–9967. [Google Scholar] [CrossRef]
- Kawai, R.; Weare, J.H. Anomalous stability of B13+ clusters. Chem. Phys. Lett. 1992, 191, 311–314. [Google Scholar] [CrossRef]
- Fowler, J.E.; Ugalde, J.M. The curiously stable B13+ cluster and its neutral and anionic counterparts: The advantages of planarity. J. Phys. Chem. A 2000, 104, 397–403. [Google Scholar] [CrossRef]
- Aihara, J.-I. B13+ is highly aromatic. J. Phys. Chem. A 2001, 105, 5486–5489. [Google Scholar] [CrossRef]
- Shinde, R.; Tayade, M. Optical absorption in B13cluster: A Time-dependent density functional approach. AIP Conf. Proc. 2012, G–163, 1–2. [Google Scholar]
- Boustani, I. Systematic LSD investigation on cationic boron clusters: Bn+ (n = 2–14). Int. J. Quant. Chem. 1994, 52, 1081–1111. [Google Scholar] [CrossRef]
- Boustani, I. A comparative study of ab initio SCF–CI and DFT. Example of small boron clusters. Chem. Phys. Lett. 1995, 233, 273–278. [Google Scholar] [CrossRef]
- Boustani, I. Structure and stability of small boron clusters. A density functional theoretical study. Chem. Phys. Lett. 1995, 240, 135–140. [Google Scholar] [CrossRef]
- Ricca, A.; Bauschlicher, C.W., Jr. The structure and stability of Bn+ clusters. Chem. Phys. 1996, 208, 233–242. [Google Scholar] [CrossRef]
- Boustani, I. Systematic ab initio investigation of bare boron clusters: Determination of the geometry and electronic structures of Bn (n = 2–14). Phys. Rev. B 1997, 55, 16426–16438. [Google Scholar] [CrossRef]
- Zhai, H.-J.; Kiran, B.; Li, J.; Wang, L.-S. Hydrocarbon analogues of boron clusters–Planarity, aromaticity and antiaromaticity. Nat. Mater. 2003, 2, 827–833. [Google Scholar] [CrossRef]
- Sergeeva, A.P.; Zubarev, D.Y.; Zhai, H.-J.; Boldyrev, A.I.; Wang, L.-S. A photoelectron spectroscopic and theoretical study of B16− and B162−: An all-boron naphthalene. J. Am. Chem. Soc. 2008, 130, 7244–7246. [Google Scholar] [CrossRef] [PubMed]
- Huang, W.; Sergeeva, A.P.; Zhai, H.-J.; Averkiev, B.B.; Wang, L.-S.; Boldyrev, A.I. A concentric planar doubly π-aromatic B19− cluster. Nat. Chem. 2010, 2, 202–206. [Google Scholar] [CrossRef] [PubMed]
- An, W.; Bulusu, S.; Gao, Y.; Zeng, X.C. Relative stability of planar versus double-ring tubular isomers of neutral and anionic boron cluster B20 and B20−. J. Chem. Phys. 2006, 124, 154310. [Google Scholar] [CrossRef] [PubMed] [Green Version]
- Oger, E.; Crawford, N.R.M.; Kelting, R.; Weis, P.; Kappes, M.M.; Ahlrichs, R. Boron cluster cations: Transition from planar to cylindrical structures. Angew. Chem. Int. Ed. 2007, 46, 8503–8506. [Google Scholar] [CrossRef]
- Chacko, S.; Kanhere, D.G.; Boustani, I. Ab initio density functional investigation of B24 clusters: Rings, tubes, planes, and cages. Phys. Rev. B 2003, 68, 035414. [Google Scholar] [CrossRef] [Green Version]
- Piazza, Z.A.; Popov, I.A.; Li, W.-L.; Pal, R.; Zeng, X.C.; Boldyrev, A.I.; Wang, L.-S. A photoelectron spectroscopy and ab initio study of the structures and chemical bonding of the B25− cluster. J. Chem. Phys. 2014, 141, 034303. [Google Scholar] [CrossRef] [Green Version]
- Li, W.-L.; Pal, R.; Piazza, Z.A.; Zeng, X.C.; Wang, L.-S. B27−: Appearance of the smallest planar boron cluster containing a hexagonal vacancy. J. Chem. Phys. 2015, 142, 204305. [Google Scholar] [CrossRef] [Green Version]
- Boustani, I.; Rubio, A.; Alonso, J.A. Ab initio study of B32 clusters: Competition between spherical, quasiplanar and tubular isomers. Chem. Phys. Lett. 1999, 311, 21–28. [Google Scholar] [CrossRef]
- Chen, Q.; Wei, G.-F.; Tian, W.-J.; Bai, H.; Liu, Z.-P.; Zhai, H.-J.; Li, S.-D. Quasi-planar aromatic B36 and B36− clusters: All-boron analogues of coronene. Phys. Chem. Chem. Phys. 2014, 16, 18282–18287. [Google Scholar] [CrossRef]
- Piazza, Z.A.; Hu, H.-S.; Li, W.-L.; Zhao, Y.-F.; Li, J.; Wang, L.-S. Planar hexagonal B36 as a potential basis for extended single-atom layer boron sheets. Nat. Commun. 2014, 5, 3113. [Google Scholar] [CrossRef]
- Bai, H.; Chen, T.-T.; Chen, Q.; Zhao, X.-Y.; Zhang, Y.-Y.; Chen, W.-J.; Li, W.-L.; Cheung, L.F.; Bai, B.; Cavanagh, J.; et al. Planar B41− and B42− clusters with double-hexagonal vacancies. Nanoscale 2019, 11, 23286–23295. [Google Scholar] [CrossRef] [PubMed]
- Mukhopadhyay, S.; He, H.; Pandey, R.; Yap, Y.K.; Boustani, I. Novel spherical boron clusters and structural transition from 2D quasi-planar structures to 3D double-rings. J. Phys. Conf. Ser. 2009, 176, 012028. [Google Scholar] [CrossRef] [Green Version]
- Oyaidzu, M.; Yoshikawa, A.; Kodama, H.; Oya, Y.; Sagara, A.; Noda, N.; Okuno, K. Preparation of pure boron coating film and its characterization by XPS and TDS. Appl. Surf. Sci. 2005, 244, 240–243. [Google Scholar] [CrossRef]
- Becker, R.C.; Bunker, S.N. Method for depositing boron-rich coatings. Patent Appl. # US 2005/0208218 A1, 22 September 2005. [Google Scholar]
- Becker, R.; Chkhartishvili, L.; Martin, P. Tribological applications for boron. Vac. Technol. Coat. 2015, 16, 36–41. [Google Scholar]
- Korbut, E.V.; Labunets, V.F.; Radko, O.V.; Zagrebelnyi, V.V.; Yakobchuk, O.E. Improve of the high-speed steel wear resistance using boron coating. In Proc. 5th Int. Conf. High Mat Tech; IPMS: Kyiv, Ukraine, 2015; p. 189. [Google Scholar]
- Zhu, Z.; Kwon, D.-G.; Kwon, Y.-K.; Tomanek, D. Enhancing mechanical toughness of aluminum surfaces by nano-boron implantation: An ab initio study. Chem. Phys. Lett. 2015, 620, 25–28. [Google Scholar] [CrossRef]
- Demirbas, A. Energy from boron and non-nuclear metallic fuels. Energy Sources A 2008, 30, 1108–1113. [Google Scholar] [CrossRef]
- Young, G.; Sullivan, K.; Zachariah, M.R.; Yu, K. Combustion characteristics of boron nanoparticles. Combust. Flame 2009, 156, 322–333. [Google Scholar] [CrossRef]
- Hussmann, B.; Pfitzner, M. Extended combustion model for single boron particles–Part I: Theory. Combust. Flame 2010, 157, 803–821. [Google Scholar] [CrossRef]
- Hussmann, B.; Pfitzner, M. Extended combustion model for single boron particles–Part II: Validation. Combust. Flame 2010, 157, 822–833. [Google Scholar] [CrossRef]
- Katoshevski, D.; Chkhartishvili, L. Manipulating grouping dynamics of nanoscale boron particles as basis for environmentally friendlier combustion and efficient filtration. In Nanotechnology in Environmental Science; Hussain, C.M., Mishra, A.K., Eds.; Wiley–VCH Verlag GmbH & Co. KGaA: Weinheim, Germany, 2018; Chapter 13; pp. 413–442. [Google Scholar]
- Ojha, P.K.; Karmakar, S. Boron for liquid fuel engines–A review on synthesis, dispersion stability in liquid fuel, and combustion aspects. Prog. Aerospace Sci. 2018, 100, 18–45. [Google Scholar] [CrossRef]
- Gan, Y.; Lim, Y.S.; Qiao, L. Combustion of nanofluid fuels with the addition of boron and iron particles at dilute and dense concentrations. Combust. Flame 2012, 159, 1732–1740. [Google Scholar] [CrossRef]
- Chintersingh, K.-L.; Schoenitz, M.; Dreizin, E.L. Combustion of boron and boron–iron composite particles in different oxidizers. Combust. Flame 2018, 192, 44–58. [Google Scholar] [CrossRef]
- Epshteyn, A.; Weismiller, M.R.; Huba, Z.J.; Maling, E.L.; Chaimowitz, A.S. Optimization of a high-energy Ti–Al–B nanopowder fuel. Energy Fuels 2017, 31, 1811–1819. [Google Scholar] [CrossRef]
- Hanley, L.; Anderson, S.L. Oxidation of small boron cluster ions (B1–13+) by oxygen. J. Chem. Phys. 1988, 89, 2848–2860. [Google Scholar] [CrossRef]
- Ruatta, S.A.; Hintz, P.A.; Anderson, S.L. Boron cluster ion oxidation: Reactions with CO2, dissociation of boron cluster oxide (BnO+) ions, and sequential oxidation. J. Chem. Phys. 1991, 94, 2833–2847. [Google Scholar] [CrossRef]
- Chkhartishvili, L.; Tsagareishvili, O.; Gabunia, D. 10B-based materials for neutron-shielding. In Proc. 1st Int. Conf. “Modern Technologies and Methods of Inorganic Materials Science”; Khantadze, J., Chkhartishvili, L., Gabunia, D., Ramazashvili, D., Eds.; Meridian: Tbilisi, Georgia, 2012; pp. 188–202. [Google Scholar]
- Chkhartishvili, L. Interaction between neutron-radiation and boron-containing materials. In Radiation Synthesis of Materials and Compounds; Kharisov, B.I., Kharissova, O.V., Mendez, U.O., Eds.; CRC Press–Taylor & Francis Group: Boca Raton, FL, USA, 2013; Chapter 3; pp. 43–80. [Google Scholar]
- Chkhartishvili, L. Boron-contained nanostructured materials for neutron-shields. In Nanostructured Materials for the Detection of CBRN; Bonca, J., Kruchinin, S., Eds.; Springer Science: Dordrecht, The Netherlands, 2018; Chapter 11; pp. 133–154. [Google Scholar]
- Chkhartishvili, L. Neutron-fluence nanosensors based on boron-containing materials. In Nanomaterials for Environmental Protection; Kharisov, B.I., Kharissova, O.V., Rasika Dias, H.V., Eds.; John Wiley & Sons Inc.: Hoboken, NJ, USA, 2014; Chapter 26; pp. 445–449. [Google Scholar]
- Chkhartishvili, L.; Tsagareishvili, O.; Tavadze, G. Neutron detectors based on 10B-containing nanomaterials. In Nuclear Radiation Nanosensors and Nanosensory Systems; Kervalishvili, P.J., Yannakopoulos, P.H., Eds.; Springer Science: Dordrecht, The Netherlands, 2016; Chapter 12; pp. 187–196. [Google Scholar]
- Chkhartishvili, L.; Murusidze, I. Band structure of all-boron 2D metallic crystals as a prospective electromagnetic shielding material. In Proc. Int. Conf. “Fundamental and Applied Nano Electromagnetics”; Belarusian State Univ.: Minsk, Belarus, 2012; p. 11. [Google Scholar]
- Wang, Y.-J.; Zhao, X.-Y.; Chen, Q.; Zhai, H.-J.; Li, S.-D. B11−: A moving subnanoscale tank tread. Nanoscale 2015, 7, 16054–16060. [Google Scholar] [CrossRef]
- He, C.-C.; Xu, S.-G.; Zhao, Y.-J.; Xu, H.; Yang, X.-B. All-boron planar ferromagnetic structures: From clusters to monolayers. Nanoscale 2021, 13, 9881–9887. [Google Scholar] [CrossRef]
- Wang, Z.-Q.; Lu, T.-Y.; Wang, H.-Q.; Feng, Y.P.; Zheng, J.-C. Review of borophene and its potential applications. Front. Phys. 2019, 14, 33403. [Google Scholar] [CrossRef] [Green Version]
- Fermi, E. Molecules and Crystals; Barth: Leipzig, Germany, 1938. [Google Scholar]
- Novikova, S.I. Thermal Expansion of Solids; Nauka: Moscow, Russia, 1974. (In Russian) [Google Scholar]
- Slutsker, A.I.; Gilyarov, V.L.; Luk’yanenko, A.S. Energy features of an adiabatically loaded anharmonic oscillator. Phys. Solid State 2006, 48, 1947–1953. [Google Scholar] [CrossRef]
- Chkhartishvili, L.; Becker, R.; Avci, R. Relative stability of boron quasi-planar clusters. In Proc. Int. Conf. “Advanced Materials and Technologies”; Darsavelidze, G., Guldamashvili, A., Chedia, R., Sichinava, A., Kadaria, M., Eds.; Universal: Tbilisi, Georgia, 2015; pp. 42–46. [Google Scholar]
- Chkhartishvili, L. Small elemental clusters in pair interaction approximation. In Proc. 4th Int. Conf. Exh. Adv. Nano Mater.; IAEMM: Montreal, QC, Canada, 2016; pp. 128–132. [Google Scholar]
- Chkhartishvili, L. Quasi-planar elemental clusters in pair interactions approximation. Open Phys. 2016, 14, 617–620. [Google Scholar] [CrossRef]
- Chkhartishvili, L. Planar clusters of identical atoms in equilibrium: 1. Diatomic model approach. Am. J. Nano Res. Appl. 2017, 5, 1–4. [Google Scholar]
- Chkhartishvili, L.; Becker, R. Effective atomic charges and dipole moment of small boron clusters. In Proc. 3rd Int. Conf. Exh. Adv. Nano Mater.; IAEMM: Ottawa, ON, Canada, 2015; pp. 130–147. [Google Scholar]
- Becker, R.; Chkhartishvili, L. Dipole moment of quasi-planar boron clusters. Nano Studies 2015, 11, 29–48. [Google Scholar]
- Chkhartishvili, L. Boron quasi-planar clusters. A mini-review on diatomic approach. In Proc. IEEE 7th Int. Conf. Nanomaterials: Applications & Properties (NAP–2017), Track: Nanomaterials for Electronics, Spintronics and Photonics; Sumy State Univ.: Sumy, Ukraine, 2017; Part 4; pp. 04NESP10-1–04NESP10-5. [Google Scholar]
- Chkhartishvili, L. Boron triangular sheet: Calculation of ground-state and electronic-structure parameters. In Proc. 7th Int. Conf. Exh. Adv. Nano Mater.; IAEMM: Montreal, QC, Canada, 2019; pp. 11–16. [Google Scholar]
- Chkhartishvili, L. Relative stability of planar clusters B11, B12, and B13 in neutral- and charged-states. Char. Appl. Nanomater. 2019, 2, 761-1–761-7. [Google Scholar] [CrossRef]
- Chkhartishvili, L.; Murusidze, I.; Becker, R. Electronic structure of boron flat holeless sheet. Condensed Matter 2019, 4, 28. [Google Scholar] [CrossRef] [Green Version]
- Chkhartishvili, L. Nanoclusters binding energy in diatomic model. Int. J. Adv. Nano Comput. Anal. 2021, 1, 80–83. [Google Scholar]




| Number of Atoms n | Structure | Number of Bonds N | Charge State | Charge Numbers in Dependence on Coordination Number | Parameter Z | Specific Binding Energy | Bonds Length, , Å | ||||
|---|---|---|---|---|---|---|---|---|---|---|---|
| 1 | 2 | 3 | 4 | 6 | |||||||
| 2 | ![]() | 1 | B20 | 0 | 1.48 | 1.59 | |||||
| B2+ | +0.2500 | 0.37 | 1.65 | ||||||||
| B2− | +0.2500 | 0.37 | 1.65 | ||||||||
| 3 | ![]() | 3 | B30 | 0 | 2.96 | 1.59 | |||||
| B3+ | +0.3333 | 1.96 | 1.62 | ||||||||
| B3− | +0.3333 | 1.96 | 1.62 | ||||||||
| 4 | ![]() | 5 | B40 | −0.1200 | 3.97 | 1.58 | |||||
| B4+ | +0.1700 | 3.31 | 1.60 | ||||||||
| B4− | +0.2500 | 3.13 | 1.60 | ||||||||
| 5 | ![]() | 7 | B50 | −0.2194 | 4.54 | 1.58 | |||||
| B5+ | −0.0204 | 4.17 | 1.59 | ||||||||
| B5− | +0.2041 | 3.77 | 1.60 | ||||||||
| 6 | ![]() | 9 | B60 | −0.3333 | 4.94 | 1.58 | |||||
| B6+ | −0.2593 | 4.82 | 1.58 | ||||||||
| B6− | +0.1852 | 4.15 | 1.60 | ||||||||
| 7 | ![]() | 12 | B70 | −0.4688 | 5.67 | 1.58 | |||||
| B7+ | −0.3750 | 5.55 | 1.58 | ||||||||
| B7− | 0 | 5.07 | 1.59 | ||||||||
| 8 | ![]() | 14 | B80 | −0.2857 | 5.50 | 1.59 | |||||
| B8+ | −0.3125 | 5.53 | 1.58 | ||||||||
| B8− | +0.2589 | 4.88 | 1.60 | ||||||||
| 9 | ![]() | 16 | B90 | +0.2500 | 5.00 | 1.59 | |||||
| B9+ | 0 | 5.25 | 1.59 | ||||||||
| B9− | +1.0000 | 4.25 | 1.61 | ||||||||
| 10 | ![]() | 19 | B100 | −0.3850 | 5.96 | 1.59 | |||||
| B10+ | −0.2465 | 5.84 | 1.59 | ||||||||
| B10− | +0.4127 | 5.24 | 1.60 | ||||||||
| 11 | ![]() | 21 | B110 | +0.0102 | 5.63 | 1.59 | |||||
| B11+ | +0.2381 | 5.45 | 1.59 | ||||||||
| B11− | −0.7143 | 6.23 | 1.58 | ||||||||
| 12 | ![]() | 24 | B120 | +0.1875 | 5.77 | 1.59 | |||||
| B12+ | −0.3125 | 6.15 | 1.59 | ||||||||
| B12− | +0.2461 | 5.72 | 1.59 | ||||||||
| 13 | ![]() | 26 | B130 | −0.5000 | 6.26 | 1.59 | |||||
| B13+ | −0.1657 | 6.03 | 1.59 | ||||||||
| B13− | −0.2071 | 6.05 | 1.59 | ||||||||
| 14 | ![]() | 28 | B140 | +0.5625 | 5.55 | 1.60 | |||||
| B14+ | +0.0590 | 5.87 | 1.59 | ||||||||
| B14− | +1.6151 | 4.87 | 1.61 | ||||||||
| 15 | ![]() | 30 | B150 | +0.7500 | 5.46 | 1.60 | |||||
| B15+ | +0.4133 | 5.66 | 1.59 | ||||||||
| B15− | +1.4133 | 5.06 | 1.60 | ||||||||
| Cluster | Literature Data | Diatomic Model |
|---|---|---|
| B20 | 1.29–1.53 [15] 1.36 [30] 1.13–1.56 [34] 1.43 [37] 1.36 [38] 1.35–1.39 [40] 1.40 [41,42] 1.35 [53] 1.39 [70] | 1.48 |
| B2+ | 0.97 [46] 0.74 [69] 1.16 [70] 0.98 [82] | 0.37 |
| B2− | 2.24 [70] | 0.37 |
| B3 | 2.76 [30] 2.86 [37] 2.74–2.79 [53] 2.82 [70] | 2.96 |
| B3+ | 2.46 [70] | 1.96 |
| B3− | 3.58 [70] | 1.96 |
| B4 | 3.37 [30] 3.37–3.41 [53] 2.42 [54] 3.45 [70] | 3.97 |
| B4+ | 3.28 [70] | 3.31 |
| B4− | 3.76 [70] | 3.13 |
| B50 | 3.67 [30] 3.68 [31] 3.76 [70] | 4.54 |
| B5+ | 3.82 [70] | 4.17 |
| B5− | 4.04 [31] 4.11 [70] | 3.77 |
| B60 | 3.79 [30] 3.84 [31] 3.88 [70] | 4.94 |
| B6+ | 3.93 [70] | 4.83 |
| B6− | 4.16 [31] 4.25 [70] | 4.15 |
| B70 | 4.07 [30] 4.11 [31] 4.17 [70] 5.24 [71] | 5.67 |
| B7+ | 4.28 [70] | 5.55 |
| B7− | 4.49 [31] 4.48 [70] | 5.07 |
| B80 | 4.31 [30] 4.33 [31] 4.41 [70] | 5.50 |
| B8+ | 4.42 [70] | 5.53 |
| B8− | 4.71 [31] 4.71 [70] | 4.88 |
| B90 | 4.30 [30] 4.39 [70] | 5.00 |
| B9+ | 4.46 [70] | 5.25 |
| B9− | 4.55 [31] 4.71 [70] | 4.25 |
| B100 | 4.45 [30] 4.56 [70] 5.78 [71] | 5.96 |
| B10+ | 4.57 [70] | 5.84 |
| B10− | 4.79 [70] | 5.24 |
| B110 | 4.52 [30] 4.63 [70] | 5.63 |
| B11+ | 4.69 [70] | 5.45 |
| B11− | 4.89 [70] | 6.23 |
| B120 | 4.60 [30] 4.60 [67] 4.71 [70] | 5.77 |
| B12+ | 4.72 [70] | 6.15 |
| B12− | 4.85 [70] | 5.72 |
| B130 | 4.67 [70] 5.94 [71] | 6.26 |
| B13+ | 4.73 [70] | 6.03 |
| B13− | 4.91 [70] | 6.05 |
| Chanel | Literature Data | Diatomic Model |
|---|---|---|
| B30→B20 + B10 | 1.24 [51] | 1.48 |
| B3+→B20 + B1+ | 0.36 [68] 1.08 [82] | 1.29 |
| B3+→B2+ + B10 | 0.50 [68] | 0.73 |
| B4+→B30 + B1+ | 0.44 [68] 1.06 [82] | 1.09 |
| B4+→B3+ + B10 | 0.70 [68] | 1.84 |
| B4+→B20 + B2+ | 0.80 [68] | 2.39 |
| B5+→B40 + B1+ | 0.50 [68] 1.24 [82] | 1.24 |
| B6+→B5+ + B10 | 0.55 [68] 1.03 [82] | 2.02 |
| B7+→B6+ + B10 | 1.01 [82] | 1.66 |
| B8+→B7+ + B10 | 1.26 [82] | 1.35 |
| B9+→B8+ + B10 | 1.07 [82] | 0.75 |
| B10+→B9+ + B10 | 0.93 [82] | 1.86 |
| B11+→B10+ + B10 | 1.30 [82] | 0.39 |
| B12+→B11+ + B10 | 0.77 [82] | 2.31 |
| B13+→B12+ + B10 | 1.42 [82] | 1.15 |
| B14+→B13+ + B10 | 0.99 [82] | 0.95 |
Publisher’s Note: MDPI stays neutral with regard to jurisdictional claims in published maps and institutional affiliations. |
© 2022 by the author. Licensee MDPI, Basel, Switzerland. This article is an open access article distributed under the terms and conditions of the Creative Commons Attribution (CC BY) license (https://creativecommons.org/licenses/by/4.0/).
Share and Cite
Chkhartishvili, L. Relative Stability of Boron Planar Clusters in Diatomic Molecular Model. Molecules 2022, 27, 1469. https://doi.org/10.3390/molecules27051469
Chkhartishvili L. Relative Stability of Boron Planar Clusters in Diatomic Molecular Model. Molecules. 2022; 27(5):1469. https://doi.org/10.3390/molecules27051469
Chicago/Turabian StyleChkhartishvili, Levan. 2022. "Relative Stability of Boron Planar Clusters in Diatomic Molecular Model" Molecules 27, no. 5: 1469. https://doi.org/10.3390/molecules27051469
APA StyleChkhartishvili, L. (2022). Relative Stability of Boron Planar Clusters in Diatomic Molecular Model. Molecules, 27(5), 1469. https://doi.org/10.3390/molecules27051469














