A Comparative Study of Various Pretreatment Approaches for Bio-Ethanol Production from Willow Sawdust, Using Co-Cultures and Mono-Cultures of Different Yeast Strains
Abstract
:1. Introduction
2. Results and Discussion
2.1. Characterization of WS before and after Pretreatment
2.1.1. Chemical Characteristics
2.1.2. Structural Characteristics
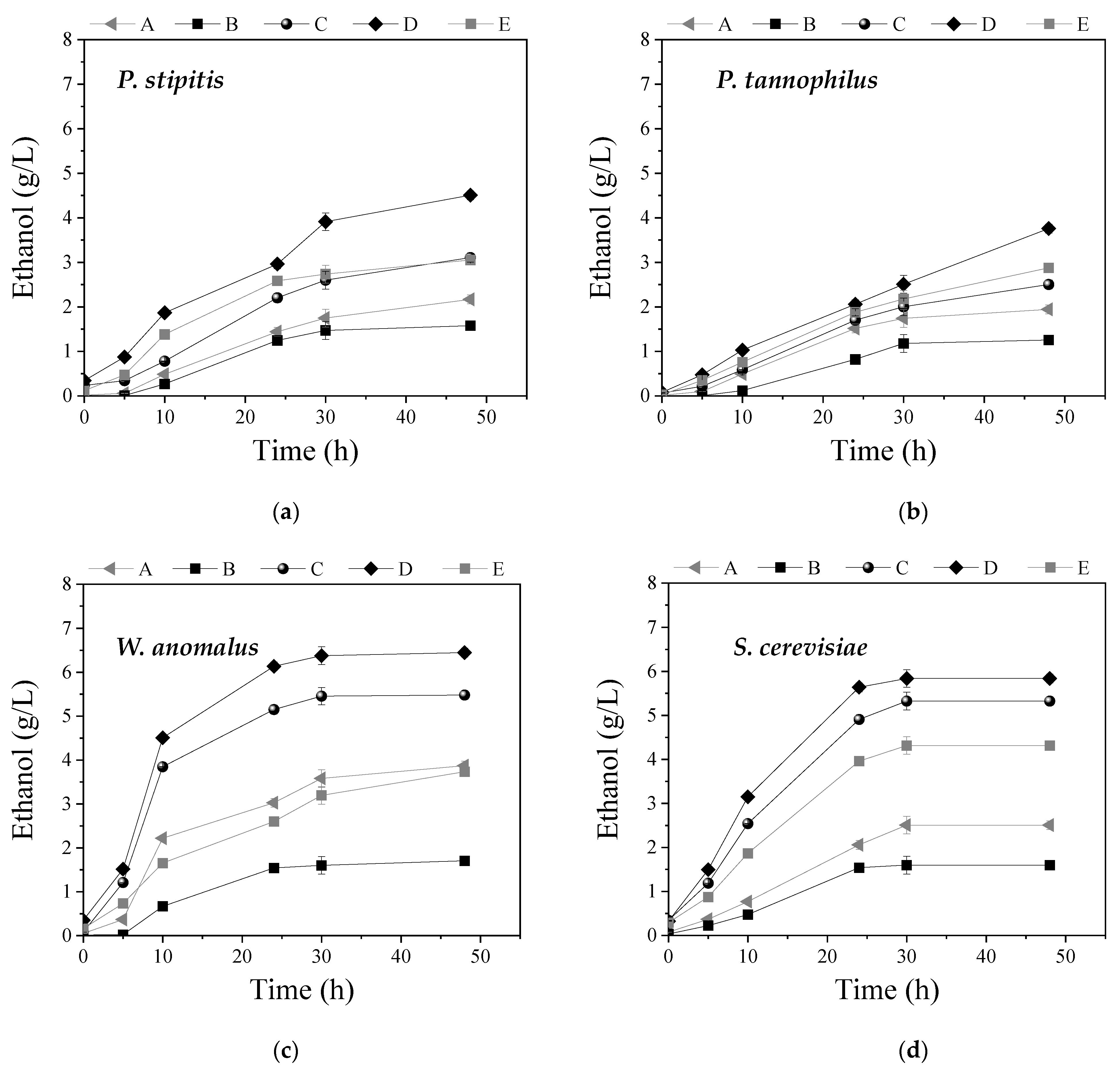
2.2. Ethanol Production Experiments
3. Materials and Methods
3.1. Willow Sawdust
3.2. Pretreatment Methods Tested
3.3. Yeasts and Growth Conditions
3.4. Fermentation Tests
3.5. Analytical Methods
3.6. Calculations
3.7. Statistical Analysis
4. Conclusions
Author Contributions
Funding
Data Availability Statement
Conflicts of Interest
Sample Availability
References
- Dimitrellos, G.; Lyberatos, G.; Antonopoulou, G. Does acid addition improve liquid hot water pretreatment of lignocellulosic biomass towards biohydrogen and biogas production? Sustainability 2020, 12, 8935. [Google Scholar] [CrossRef]
- Ben Atitallah, I.; Ntaikou, I.; Antonopoulou, G.; Alexandropoulou, M.; Brysch-Herzberg, M.; Nasri, M.; Lyberatos, G.; Mechichi, T. Evaluation of the non-conventional yeast strain Wickerhamomyces anomalus (Pichia anomala) X19 for enhanced bioethanol production using date palm sap as renewable feedstock. Renew. Energy 2020, 154, 71–81. [Google Scholar] [CrossRef]
- Vasić, K.; Knez, Ž.; Leitgeb, M. Bioethanol production by enzymatic hydrolysis from different lignocellulosic sources. Molecules 2021, 26, 753. [Google Scholar] [CrossRef] [PubMed]
- Ben Atitallah, I.; Antonopoulou, G.; Ntaikou, I.; Alexandropoulou, M.; Nasri, M.; Mechichi, T.; Lyberatos, G. On the evaluation of different saccharification schemes for enhanced bioethanol production from potato peels waste via a newly isolated yeast strain of Wickerhamomyces anomalus. Bioresour. Technol 2019, 289, 121614. [Google Scholar] [CrossRef] [PubMed]
- Senila, L.; Kovacs, E.; Scurtu, D.A.; Cadar, O.; Becze, A.; Senila, M.; Levei, E.A.; Dumitras, D.E.; Tenu, I.; Roman, C. Bioethanol production from vineyard waste by autohydrolysis pretreatment and chlorite delignification via simultaneous saccharification and fermentation. Molecules 2020, 25, 2606. [Google Scholar] [CrossRef]
- Ntaikou, I.; Siankenich, S.; Lyberatos, G. Effect of thermo-chemical pretreatment on the saccharification and enzymatic digestibility of olive mill stones and their bioconversion towards alcohols. Environ. Sci. Pollut. Res. 2021, 28, 24570–24579. [Google Scholar] [CrossRef]
- Zeghlouli, J.; Christophe, G.; Guendouz, A.; El Modafar, C.; Belkamel, A.; Michaud, P.; Delattre, C. Optimization of bioethanol production from enzymatic treatment of Argan pulp feedstock. Molecules 2021, 26, 2516. [Google Scholar] [CrossRef]
- Antonopoulou, G. Designing efficient processes for sustainable bioethanol and bio-hydrogen production from grass lawn waste. Molecules 2020, 25, 2889. [Google Scholar] [CrossRef]
- Kumar, R.; Tabatabaei, M.; Karimi, K.; Horvath, I.S. Recent updates on lignocellulosic biomass derived ethanol—A review. Biofuel Res. J. 2016, 9, 347–356. [Google Scholar] [CrossRef] [Green Version]
- Saini, S.; Chandel, A.K.; Sharma, K.K. Past practices and current trends in the recovery and purification of first generation ethanol: A learning curve for lignocellulosic ethanol. J. Clean. Prod. 2020, 268, 122357. [Google Scholar] [CrossRef]
- Serapiglia, M.J.; Humiston, M.C.; Xu, H.; Hogsett, D.A.; de Orduna, R.M.; Stipanovic, A.J.; Smart, L.B. Enzymatic saccharification of shrub willow genotypes with differing biomass composition for biofuel production. Front. Plant. Sci. 2013, 4, 57. [Google Scholar] [CrossRef] [PubMed] [Green Version]
- Carrere, H.; Antonopoulou, G.; Passos, F.; Affes, R.; Battimelli, A.; Lyberatos, G.; Ferrer, I. Review of pretreatment strategies for the most common anaerobic digestion feedstocks: From lab-scale research to full-scale application. Bioresour. Technol. 2016, 199, 386–397. [Google Scholar] [CrossRef] [PubMed]
- Maurya, D.P.; Singla, A.; Negi, S. An overview of key pretreatment processes for biological conversion of lignocellulosic biomass to bioethanol. 3 Biotech. 2015, 5, 597–609. [Google Scholar] [CrossRef] [PubMed] [Green Version]
- Yang, H.; Yoo, C.G.; Meng, X.; Pu, Y.; Muchero, W.; Tuskan, G.A.; Tschaplinski, T.J.; Ragauskas, A.J.; Yao, L. Structural changes of lignins in natural Populus variants during different pretreatments. Bioresour. Technol. 2020, 295, 122240. [Google Scholar] [CrossRef]
- Korányi, T.I.; Fridrich, B.; Pineda, A.; Barta, K. Development of ‘Lignin-First’ approaches for the valorization of lignocellulosic biomass. Molecules 2020, 25, 2815. [Google Scholar] [CrossRef]
- Alexandropoulou, M.; Antonopoulou, G.; Fragkou, E.; Ntaikou, I.; Lyberatos, G. Fungal pretreatment of willow sawdust and its combination with alkaline treatment for enhancing biogas production. J. Environ. Manag. 2016, 203, 704–713. [Google Scholar] [CrossRef]
- Quémeneur, M.; Hamelin, J.; Barakat, A.; Steyer, J.P.; Carrere, H.; Trably, E. Inhibition of fermentative hydrogen production by lignocellulose-derived compounds in mixed cultures. Int. J. Hydrogen Energy 2012, 37, 3150–3159. [Google Scholar] [CrossRef]
- Monlau, F.; Sambusiti, C.; Barakat, A.; Quémeneur, M.; Trably, E.; Steyer, J.-P.; Carrère, H. Do furanic and phenolic compounds of lignocellulosic and algae biomass hydrolyzate inhibit anaerobic mixed cultures? A comprehensive review. Biotechnol. Adv. 2014, 32, 934–951. [Google Scholar] [CrossRef]
- Antonopoulou, G.; Dimitrellos, G.; Beobide, A.S.; Vayenas, D.; Lyberatos, G. Chemical pretreatment of sunflower straw biomass: The effect on chemical composition and structural changes. Waste Biomass Valor. 2015, 6, 733–746. [Google Scholar] [CrossRef]
- Guan, R.; Yuan, X.; Wu, Z.; Jiang, L.; Li, Y.; Zeng, G. Principle and application of hydrogen peroxide based advanced oxidation processes in activated sludge treatment: A review. Chem. Eng. J. 2018, 339, 519–530. [Google Scholar] [CrossRef]
- Niju, S.; Nishanthini, T.; Balajii, M. Alkaline hydrogen peroxide-pretreated sugarcane tops for bioethanol production—A process optimization study. Biomass Conv. Bioref. 2020, 10, 149–165. [Google Scholar] [CrossRef]
- Monte, L.S.; Escócio, V.A.; de Sousa, A.M.F.; Furtado, C.R.G.; Leite, M.C.A.M.; Visconte, L.L.Y.; Pacheco, E.B.A.V. Study of time reaction on alkaline pretreatment applied to rice husk on biomass component extraction. Biomass Conv. Bioref. 2018, 8, 189–197. [Google Scholar] [CrossRef]
- Ho, M.C.; Ong, V.Z.; Wu, T.Y. Potential use of alkaline hydrogen peroxide in lignocellulosic biomass pretreatment and valorization: A review. Renew. Sustain. Energy Rev. 2019, 112, 75–86. [Google Scholar] [CrossRef]
- Tareen, A.K.; Punsuvon, V.; Parakulsuksatid, P. Investigation of alkaline hydrogen peroxide pretreatment to enhance enzymatic hydrolysis and phenolic compounds of oil palm trunk. 3 Biotech. 2020, 10, 1–12. [Google Scholar] [CrossRef]
- Dutra, E.D.; Santos, F.A.; Alencar, B.R.A.; Reis, A.L.S.; de Souza, R.F.R.; de Silva Aquino, K.A.; Morais, M.A.; Menezes, R.S.C. Alkaline hydrogen peroxide pretreatment of lignocellulosic biomass: Status and perspectives. Biomass Conv. Bioref. 2018, 8, 225–234. [Google Scholar] [CrossRef]
- Yuan, Z.; Wen, Y.; Kapu, N.S. Ethanol production from bamboo using mild alkaline pre-extraction followed by alkaline hydrogen peroxide pretreatment. Bioresour. Technol. 2018, 247, 242–249. [Google Scholar] [CrossRef]
- Gould, J.M. Alkaline peroxide delignification of agricultural residues to enhance enzymatic saccharification. Biotechnol. Bioeng. 1984, 26, 46–52. [Google Scholar] [CrossRef]
- Li, M.; Wang, J.; Yang, Y.; Xie, G. Alkali-based pretreatments distinctively extract lignin and pectin for enhancing biomass saccharification by altering cellulose features in sugar-rich Jerusalem artichoke stem. Bioresour. Technol. 2016, 208, 31–41. [Google Scholar] [CrossRef] [PubMed] [Green Version]
- Damaurai, J.; Preechakun, T.; Raita, M.; Champreda, V.; Laosiripojana, N. Investigation of alkaline hydrogen peroxide in aqueous organic solvent to enhance enzymatic hydrolysis of rice straw. Bioenergy Res. 2021, 14, 1–13. [Google Scholar] [CrossRef]
- Alencar, B.R.A.; Reis, A.L.S.; de Souza, R.F.R.; Morais, M.A.; Menezes, R.S.C.; Dutra, E.D. Recycling the liquid fraction of alkaline hydrogen peroxide in the pretreatment of corn stover. Bioresour. Technol. 2017, 241, 928–935. [Google Scholar] [CrossRef]
- Karagöz, P.; Rocha, I.V.; Özkan, M.; Angelidaki, I. Alkaline peroxide pretreatment of rapeseed straw for enhancing bioethanol production by same vessel saccharification and co-fermentation. Bioresour. Technol. 2012, 104, 348–357. [Google Scholar] [CrossRef] [PubMed]
- Saha, B.C.; Cotta, M.A. Enzymatic saccharification and fermentation of alkaline peroxide pretreated rice hulls to ethanol. Enzym Microb. Technol. 2007, 41, 528–532. [Google Scholar] [CrossRef]
- Sewsynker-Sukai, Y.; Gueguim Kana, E.B. Simultaneous saccharification and bioethanol production from corn cobs: Process optimization and kinetic studies. Bioresour Technol. 2018, 262, 32–41. [Google Scholar] [CrossRef] [PubMed]
- Ntaikou, I.; Menis, N.; Alexandropoulou, M.; Antonopoulou, G.; Lyberatos, G. Valorization of kitchen biowaste for ethanol production via simultaneous saccharification and fermentation using co-cultures of the yeasts Saccharomyces cerevisiae and Pichia stipites. Bioressour. Technol. 2018, 263, 75–83. [Google Scholar] [CrossRef] [PubMed]
- Madian, H.R.; Sidkey, N.M.; Abo Elsoud, M.M.; Hamouda, H.I.; Elazzazy, A.M. Bioethanol production from water hyacinth hydrolysate by Candida tropicalis Y-26 Arab. J. Sci. Eng. 2019, 44, 33–41. [Google Scholar] [CrossRef]
- López-Abelairas, M.; Lu-Chau, T.A.; Lema, J.M. Fermentation of biologically pretreated wheat straw for ethanol production: Comparison of fermentative microorganisms and process configurations. Appl. Biochem. Biotechnol. 2013, 170, 1838–1852. [Google Scholar] [CrossRef] [PubMed]
- Bader, J.; Mast-Gerlach, E.; Popovic, M.K.; Bajpai, R.; Stahl, U. Relevance of microbial coculture fermentations in biotechnology. J. Appl. Microbiol. 2010, 109, 371–387. [Google Scholar] [CrossRef]
- Chen, Y. Development and application of co-culture for ethanol production by co-fermentation of glucose and xylose: A systematic review. J. Ind. Microbiol. Biotechnol. 2011, 38, 581–597. [Google Scholar] [CrossRef]
- Alexandropoulou, M.; Antonopoulou, G.; Ntaikou, I.; Lyberatos, G. Fungal pretreatment of willow sawdust with Abortiporus biennis for anaerobic digestion: Impact of an external nitrogen source. Sustainability 2017, 9, 130. [Google Scholar] [CrossRef] [Green Version]
- Jurado, E.; Gavala, H.N.; Skiadas, I.V. Enhancement of methane yield from wheat straw, miscanthus and willow using aqueous ammonia soaking. Environ. Technol. 2013, 34, 2069–2075. [Google Scholar] [CrossRef]
- Sassner, P.; Martensson, C.-G.; Galbe, M.; Zacchi, G. Steam pretreatment of H2SO4-impregnated Salix for the production of bioethanol. Bioressour. Technol. 2008, 99, 137–145. [Google Scholar] [CrossRef]
- Ziegler-Devin, I.; Menana, Z.; Chrusciel, L.; Chalot, M.; Bert, V.; Brosse, N. Steam explosion pretreatment of willow grown on phytomanaged soils for bioethanol production. Ind. Crop. Prod. 2019, 140, 111722. [Google Scholar] [CrossRef]
- Antonopoulou, G.; Gavala, H.N.; Skiadas, I.V.; Lyberatos, G. The effect of aqueous ammonia soaking pretreatment on methane generation using different lignocellulosic biomasses. Waste Biomass Valor. 2015, 6, 281–291. [Google Scholar] [CrossRef] [Green Version]
- Cabrera, E.; Muñoz, M.J.; Martín, R.; Caro, I.; Curbelo, C.; Díaz, A.B. Alkaline and alkaline peroxide pretreatments at mild temperature to enhance enzymatic hydrolysis of rice hulls and straw. Bioresour. Technol. 2014, 167, 1–7. [Google Scholar] [CrossRef] [PubMed]
- Wang, Q.; Hu, J.; Shen, F.; Mei, Z.; Yang, G.; Zhang, Y.; Hu, Y.; Zhang, J.; Deng, S. Pretreating wheat straw by the concentrated phosphoric acid plus hydrogen peroxide (PHP): Investigations on pretreatment conditions and structure changes. Bioresour. Technol. 2016, 199, 245–257. [Google Scholar] [CrossRef]
- Lionetto, F.; Del Sole, R.; Cannoletta, D.; Vasapollo, G.; Maffezzoli, A. Monitoring wood degradation during weathering by cellulose crystallinity. Materials 2012, 5, 1910–1922. [Google Scholar] [CrossRef] [Green Version]
- Colom, X.; Carrillo, F.; Nogués, F.; Garriga, P. Structural analysis of photodegradated wood by means of FT-IR spectroscopy. Polym. Degrad. Stab. 2003, 80, 543–549. [Google Scholar] [CrossRef]
- Liu, Y.; Hu, T.; Wu, Z.; Zeng, G.; Huang, D.; Shen, Y.; He, X.; Lai, M.; He, Y. Study on biodegradation process of lignin by FTIR and DSC. Environ. Sci. Pollut. Res. 2014, 21, 14004–14013. [Google Scholar] [CrossRef]
- Hosseinaei, O.; Wang, S.; Enayati, A.A.; Rials, T.G. Effects of hemicellulose extraction on properties of wood flour and wood-plastic composites. Compos. Part. A Appl. Sci. 2012, 43, 686–694. [Google Scholar] [CrossRef]
- Li, J.; Lu, M.; Guo, X.; Zhang, H.; Li, Y.; Han, L. Insights into the improvement of alkaline hydrogen peroxide (AHP) pretreatment on the enzymatic hydrolysis of corn stover: Chemical and microstructural analyses. Bioresour. Technol. 2018, 265, 1–7. [Google Scholar] [CrossRef]
- Morone, A.; Chakrabarti, T.; Pandey, R. Assessment of alkaline peroxide-assisted wet air oxidation pretreatment for rice straw and its effect on enzymatic hydrolysis. Cellulose 2017, 24, 4885–4898. [Google Scholar] [CrossRef]
- Qi, B.; Chen, X.; Shen, F.; Su, Y.; Wan, Y. Optimization of enzymatic hydrolysis of wheat straw pretreated by alkaline peroxide using response surface methodology. Ind. Eng. Chem. Res. 2009, 48, 7346–7353. [Google Scholar] [CrossRef]
- Ntaikou, I.; Antonopoulou, G.; Lyberatos, G. Sustainable second-generation bioethanol production from enzymatically hydrolyzed domestic food waste using Pichia anomala as biocatalyst. Sustainability 2021, 13, 259. [Google Scholar] [CrossRef]
- Singh, A.; Bishnoi, N.R. Enzymatic hydrolysis optimization of microwave alkali pretreated wheat straw and ethanol production by yeast. Bioresour. Technol. 2012, 108, 94–101. [Google Scholar] [CrossRef] [PubMed]
- Dhabhai, R.; Chaurasia, S.P.; Dalai, A.K. Efficient bioethanol production from glucose-xylose mixtures using co-culture of Saccharomyces cerevisiae immobilized on canadian pine wood chips and free Pichia stipitis. J. Biobased Mat. Bioenergy 2012, 6, 594–600. [Google Scholar] [CrossRef]
- Antonopoulou, G.; Vayenas, D.; Lyberatos, G. Ethanol and hydrogen production from sunflower straw: The effect of pretreatment on the whole slurry fermentation. Biochem. Eng. J. 2016, 116, 65–74. [Google Scholar] [CrossRef]
- APHA; AWWA; WPCF. Standard Methods for the Examination of Water and Wastewater; Franson, M.A., Ed.; American Public Health Association: Washington, DC, USA, 1995. [Google Scholar]
- Sluiter, A.; Ruiz, R.; Scarlata, C.; Sluiter, J.; Templeton, D. Determination of Extractives in Biomass. Laboratory Analytical Procedure. 2008. Available online: https://www.nrel.gov/docs/gen/fy08/42619.pdf (accessed on 10 February 2022).
- Sluiter, A.; Hames, B.; Ruiz, R.; Scarlata, C.; Sluiter, J.; Templeton, D.; Crocker, D. Determination of Structural Carbohydrates and Lignin in Biomass. Laboratory Analytical Procedure. 2008. Available online: https://www.nrel.gov/docs/gen/fy13/42618.pdf (accessed on 10 February 2022).
- DuBois, M.; Gilles, K.; Hamilton, J.; Rebers, P.; Smith, F. Colorimetric method for determination of sugars and related substances. Anal. Chem. 1956, 28, 350–356. [Google Scholar] [CrossRef]
- Miller, G.L. Use of dinitrosalicylic acid reagent for determination of reducing sugars. Anal. Chem. 1959, 31, 426–428. [Google Scholar] [CrossRef]
- Waterman, P.G.; Mole, S. Analysis of phenolic plant metabolites. In Methods in Ecology; Lawton, J.H., Likens, G.E., Eds.; Oxford Blackwell Scientific Publications: Hoboken, NJ, USA, 1994. [Google Scholar]







| Composition | Value (g/100 g TS) |
|---|---|
| Total Solids (TS) a | 93.4 ± 0.2 |
| Volatile Solids (VS) | 94.1 ± 0.2 |
| Cellulose | 33.4 ± 1.1 |
| Hemicellulose | 21.5 ± 0.9 |
| Lignin | 29.1 ± 0.6 |
| Extractives | 3.0 ± 0.2 |
| Ash | 5.9 ± 0.2 |
| Pretreatment—Symbol | Reducing/Soluble (% g/g) | Saccharification Efficiency (% g/g) |
|---|---|---|
| NaOH–A | 28.3 ± 0.2 | 24.0 ± 0.2 |
| H2O2–B | 22.2 ± 0.1 | 13.8 ± 0.1 |
| Mixture NaOH/H2O2–C | 30.9 ± 0.5 | 26.1 ± 0.2 |
| NaOH/H2O2–D | 29.5 ± 0.0 | 31.7 ± 0.3 |
| H2O2/NaOH–E | 30.5 ± 0.5 | 27.6 ± 0.2 |
| Wavenumber (cm−1) | Functional Group |
|---|---|
| 1732 | C=O stretching (hemicellulose) |
| 1598 | C=C stretching of the aromatic ring (lignin) |
| 1510 | C=C stretching of the aromatic ring (lignin) |
| 1230 | Syringyl ring and C–O stretch in lignin |
| 898 | Asymmetrical out of phase ring stretching (crystalline cellulose) |
Publisher’s Note: MDPI stays neutral with regard to jurisdictional claims in published maps and institutional affiliations. |
© 2022 by the authors. Licensee MDPI, Basel, Switzerland. This article is an open access article distributed under the terms and conditions of the Creative Commons Attribution (CC BY) license (https://creativecommons.org/licenses/by/4.0/).
Share and Cite
Ben Atitallah, I.; Antonopoulou, G.; Ntaikou, I.; Soto Beobide, A.; Dracopoulos, V.; Mechichi, T.; Lyberatos, G. A Comparative Study of Various Pretreatment Approaches for Bio-Ethanol Production from Willow Sawdust, Using Co-Cultures and Mono-Cultures of Different Yeast Strains. Molecules 2022, 27, 1344. https://doi.org/10.3390/molecules27041344
Ben Atitallah I, Antonopoulou G, Ntaikou I, Soto Beobide A, Dracopoulos V, Mechichi T, Lyberatos G. A Comparative Study of Various Pretreatment Approaches for Bio-Ethanol Production from Willow Sawdust, Using Co-Cultures and Mono-Cultures of Different Yeast Strains. Molecules. 2022; 27(4):1344. https://doi.org/10.3390/molecules27041344
Chicago/Turabian StyleBen Atitallah, Imen, Georgia Antonopoulou, Ioanna Ntaikou, Amaia Soto Beobide, Vassilios Dracopoulos, Tahar Mechichi, and Gerasimos Lyberatos. 2022. "A Comparative Study of Various Pretreatment Approaches for Bio-Ethanol Production from Willow Sawdust, Using Co-Cultures and Mono-Cultures of Different Yeast Strains" Molecules 27, no. 4: 1344. https://doi.org/10.3390/molecules27041344
APA StyleBen Atitallah, I., Antonopoulou, G., Ntaikou, I., Soto Beobide, A., Dracopoulos, V., Mechichi, T., & Lyberatos, G. (2022). A Comparative Study of Various Pretreatment Approaches for Bio-Ethanol Production from Willow Sawdust, Using Co-Cultures and Mono-Cultures of Different Yeast Strains. Molecules, 27(4), 1344. https://doi.org/10.3390/molecules27041344

