You are currently on the new version of our website. Access the old version .
MoleculesMolecules
  • Communication
  • Open Access

25 October 2022

Comparison of the Hydride-Donating Ability and Activity of Five- and Six-Membered Benzoheterocyclic Compounds in Acetonitrile

and
The State Key Laboratory of Elemento-Organic Chemistry, College of Chemistry, Collaborative Innovation Center of Chemical Science and Engineering, Nankai University, Tianjin 300071, China
*
Authors to whom correspondence should be addressed.
This article belongs to the Section Organic Chemistry

Abstract

In this work, we compared the hydride-donating ability of five-membered benzoheterocyclic compounds (FMB) and six-membered benzoheterocyclic compounds (SMB), isomers of DMBI and DMIZ and of DMPZ and DMPX, using detailed thermodynamic driving forces [ΔGo (XH)], kinetic intrinsic barriers (ΔGXH/X), and thermo-kinetic parameters [ΔG° (XH)]. For DMBI and DMIZ, the values of ΔGo (XH), ΔGXH/X, and ΔG° (XH) are 49.2 and 53.7 kcal/mol, 35.88 and 42.04 kcal/mol, and 42.54 and 47.87 kcal/mol, respectively. For DMPZ and DMPX, the values of ΔGo (XH), ΔGXH/X, and ΔG° (XH) are 73.2 and 79.5 kcal/mol, 35.34 and 25.02 kcal/mol, and 54.27 and 52.26 kcal/mol, respectively. It is easy to see that the FMB isomers are thermodynamically dominant and that the SMB isomers are kinetically dominant. Moreover, according to the analysis of ΔG° (XH), compared to the SMB isomers, the FMB isomers have a stronger hydride-donating ability in actual chemical reactions.

1. Introduction

Among the many isomeric benzoheterocyclic compounds, the most famous five-membered benzoheterocyclic compounds (FMB) are benzimidazole and benzindazole, and most famous six-membered benzoheterocyclic compounds (SMB) are quinazolinone and quinoxalinone [1,2,3,4,5,6,7,8]. The aforementioned compounds are important building blocks of many drug molecules. Among them, the core building blocks of drugs such as lansoprazole, candesartan, and albendazole are benzimidazoles [9,10,11,12,13,14]. The core building blocks of drugs such as lonidamine, benzydamine, and granisetron hydrochloride are benzidazole [15,16,17,18,19,20]. The representative drugs with a quinazolinone backbone as their core are gefitinib, afatinib, and raltitrexed [21,22,23,24,25,26]. Representative drugs with a quinoxalinone skeleton as their core are mainly used for anti-HIV treatment, and the representative drug is HBY097 [27]. In the living body, the metabolism of many drugs is carried out by donating hydride ions. Therefore, clarifying the actual hydride-donating abilities of benzimidazole, benzindazole, quinazolinone, and quinoxalinone is crucial for drug development. Careful observation of the structures of the two isomer compounds mentioned above shows that quinoxalinone and quinazolinone have one more carbonyl group than benzimidazole and benzindazole. Thus, what is the specific difference between the two groups of isomers in terms of their hydride-donating ability? Additionally, what is the effect of increasing the carbonyl groups on the hydride-donating ability of the compounds?
To answer the above questions, we chose 1,3-dimethyl-2-phenyl-2,3-dihydro-1H-benzo[d]imidazole (DMBI), 1,2-dimethyl-3-phenyl-2,3-dihydro-1H-indazole (DMIZ), 1,3-dimethyl-2-phenyl-2,3-dihydroquinazolin-4(1H)-one (DMPZ), and 1,4-dimethyl-3-phenyl-3,4-dihydroquinoxalin-2(1H)-one (DMPX) as the research subjects. In this paper, the thermodynamic driving force [ΔGo (XH)], kinetic intrinsic barrier (ΔGXH/X), and thermo-kinetic parameter [ΔG° (XH)] are used to describe the hydride-donating ability of compounds in thermodynamic, kinetic, and actual chemical reactions [28]. ΔGo (XH) and ΔGXH/X are the dissociation free energy of the X-H bond and the activation free energy of the self-exchange HT reaction for XH (XH + X+→X+ + XH), respectively [29]. In previous work, we combined the thermodynamic driving force and kinetic intrinsic barrier to propose the concept of thermo-kinetic parameters [ΔG° (XH)] that are able to describe the hydride-donating ability of compounds in actual chemical reactions (Equations (1)–(3)): the larger the value, the weaker the hydride-donating ability of the compounds [30,31].

2. Results

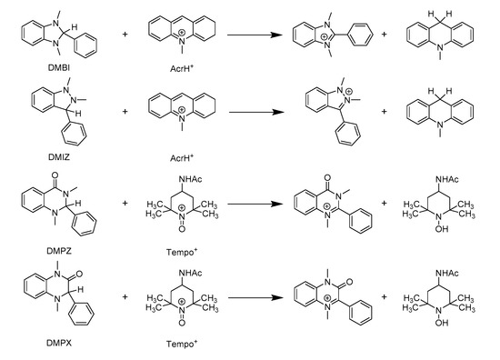
Two sets of isomers, DMBI, DMIZ and DMPZ, DMPX, were synthesized by previously reported methods and identified by 1H and 13C NMR [32,33] (see Supplementary Materials). The enthalpy change and the second-rate constant of the above isomers reacting with hydride acceptors was determined in dry and anaerobic acetonitrile using CSC-4200 ITC and an Applied Photophysics SX.18MV-R stopped-flow apparatus at 298 K, respectively (Figure 1 and Figure 2) [31]. The second-rate constant (k2), activation free energies (ΔGXH/Y), and molar free energies ΔGo (XH/Y) of the above reactions (Scheme 1) are listed in Table 1. The values of ΔGo (XH), ΔGXH/X, and ΔG° (XH) were easily calculated using Table 1 data and Equations (1)–(3) (Table 2).
ΔG° = ΔG°H−D (XH) + ΔG°H−A (Y+)
ΔGXH/Y = ΔG° (XH) + ΔG° (Y+)
ΔG° (XH) = 1/2 [ΔGXH/X + ΔG° (XH)]
Figure 1. Isothermal titration calorimetry (ITC) graph of the reaction heat of DMPZ with TEMPO+ in acetonitrile at 298 K. Titration was conducted by adding 10 μL of DMPZ (2.0 mM) into the acetonitrile containing TEMPO+ (ca.10 mM) every 400 s.
Figure 2. Time profile of the UV absorbance at 417 nm due to AcrH+ for the reactions of AcrH+ (0.1 mM) with DMBI (2 mM) in acetonitrile at 298 K.
Scheme 1. Hydride-transfer reaction equations for DMBI, DMIZ and DMPZ, DMPX isomers.
Table 1. Second-order rate constants (k2), activation free energies (ΔG), and molar free energy change (ΔG°) values of oxidations of FMB and SMB isomers compounds in acetonitrile at 298 K.
Table 2. Bond formation free energy and thermo-kinetic parameters of hydride acceptor used in this work (T = 298 K).

3. Discussion

3.1. Analysis of Thermodynamic Driving Forces of DMBI, DMIZ, DMPZ, and DMPX as Hydride Donors in Acetonitrile

The ΔGo (XH) values of DMBI, DMIZ, DMPZ, and DMPX are 49.2, 53.7, 73.2, and 79.5 kcal/mol, respectively (Table 3). The order of the hydride-donating ability of the two isomers in thermodynamics is DMPX > DMPZ > DMIZ > DMBI, which indicates that DMBI has the best hydride-donating ability. For the FMB isomers, the value of ΔGo (DMBI) is 4.5 kcal/mol smaller than ΔGo (DMIZ), which indicates that DMBI has better hydride-donating ability than DMIZ in thermodynamics. Additionally, for the SMB isomers, the value of ΔGo (DMPZ) is 6.3 kcal/mol smaller than ΔGo (DMPX), which indicates that DMPZ has better hydride-donating ability than DMPX in thermodynamics. In addition, when a carbonyl group was added to the structure of DMBI, regardless of the position of the carbonyl group, the hydride-donating ability of the changed compound was decreased in terms of its thermodynamics. The carbonyl group is an electron-withdrawing group. Due to the induction effect, the ability of DMPZ and DMPX to donate hydride ions is less than that of DMBI in terms of thermodynamics. The closer the carbonyl group is to the site where hydride ions are released, the more obvious the effect is. Obviously, the ΔGo (XH) value of the five-membered compound isomers is smaller than that of the six-membered compound isomers, which means the five-membered compound isomers have a better hydride-donating ability in terms of thermodynamics.
Table 3. Thermodynamic driving forces [ΔGo (XH)], self-exchange reaction activation energies [ΔGXH/X], and thermo-kinetic parameters [ΔG≠o (XH)] of DMBI, DMIZ, DMPZ, and DMPX as hydride donors in acetonitrile at 298 K.

3.2. Analysis of Kinetic Intrinsic Barriers of DMBI, DMIZ, DMPZ, and DMPX as Hydride Donors in Acetonitrile

According to Table 3, the ΔGXH/X values of DMBI, DMIZ, DMPZ, and DMPX are 35.88, 42.04, 35.34, and 25.02 kcal/mol, respectively, and the order of ΔGXH/X is DMIZ > DMBI > DMPZ > DMPX, which means that DMPX has the best hydride-donating ability in terms of kinetics. This situation is different from the order for thermodynamics. For the FMB isomers, the value of ΔGXH/X (DMBI) is 6.16 kcal/mol smaller than ΔGXH/X (DMIZ). This means that DMBI has a better hydride-donating ability than DMIZ in terms of kinetics, which is the same as the thermodynamic situation. Additionally, for the SMB isomers, the value of ΔGXH/X (DMPX) is 10.32 kcal/mol smaller than ΔGXH/X (DMPZ), which means that DMPX has a better hydride-donating ability than DMPZ in terms of kinetics, which is the opposite of the situation for thermodynamics. When a carbonyl group was added to the structure of DMBI, its kinetic intrinsic barrier decreased and the hydride-donating ability of compounds increased, regardless of the position. This situation should be related to the structure of the five-membered ring and the six-membered ring. Generally, the steric hindrance of the five-membered ring is greater than that of the six-membered ring. Besides that, the ΔGXH/X value of the five-membered compound isomers is bigger than that of the six-membered compound isomers, which indicates that the six-membered compound isomers have a better hydride-donating ability in terms of kinetics. The above analysis shows that the thermodynamic and kinetic effects on the hydride-donating ability of the two groups of isomers are different. Therefore, the ability of a compound to release hydride ions cannot be analyzed by just one thermodynamic or kinetic parameter.

3.3. Analysis of Thermo-Kinetic Parameters of DMBI, DMIZ, DMPZ, and DMPX as Hydride Donors in Acetonitrile

The ΔG≠o (XH) value reflects the hydride-donating ability of the compounds in an actual chemical reaction. According to Table 3, the ΔG≠o (XH) values of DMBI, DMIZ, DMPZ, and DMPX are 42.54, 47.87, 54.27, and 52.26 kcal/mol, respectively, and the order of ΔG≠o (XH) is DMPZ > DMPX > DMIZ > DMBI, which indicates that DMBI has the best hydride-donating ability in actual chemical reactions. For the FMB isomers, the values of ΔGo (DMBI) and ΔGXH/X (DMBI) are both smaller than ΔGo (DMIZ) and ΔGXH/X (DMIZ). According to the definition of ΔG≠o (XH), ΔGo (XH) and ΔGXH/X make the same contribution to ΔG≠o (XH) (Equation (3)). Therefore, the ΔG≠o (DMBI) value is 5.33 kcal/mol smaller than ΔG≠o (DMIZ), which indicates that DMBI has a better hydride-donating ability than DMIZ in actual chemical reactions. For the SMB isomers, although the ΔGo (DMPZ) value is 6.3 kcal/mol smaller than ΔGo (DMPX), the ΔGXH/X (DMPZ) value is 10.32 larger than ΔGXH/X (DMPX). Overall, the ΔG≠o (DMPX) value is 2.01 kcal/mol smaller than ΔG≠o (DMPZ), which indicates that DMPX has a better hydride-donating ability than DMPZ in actual chemical reactions. In addition, the ΔG≠o (DMBI) value is smaller than both the ΔG≠o (DMPX) and ΔG≠o (DMPZ) values. Although the steric hindrance of the six-membered ring is smaller than that of the five-membered ring, the induction effect of the carbonyl group is significantly stronger than that of the steric hindrance. Therefore, the increase in the carbonyl group would reduce the hydride-donating ability of the compound in actual chemical reactions. In total, the order of the hydride-donating ability of compounds in the actual chemical reactions is different from the order of both thermodynamics and kinetics. Therefore, it is necessary to use thermo-kinetic parameters instead of thermodynamic driving forces and kinetic intrinsic barriers when judging the hydride-donating ability in actual chemical reactions.

4. Conclusions

In this paper, we compared the ability of the two isomers, FMB and SMB, to release hydride ions using thermodynamic driving forces, kinetic intrinsic barriers, and thermo-kinetic parameters. Using thermo-kinetic parameters to describe the hydride-donating ability of compounds in actual chemical reactions is more scientific and accurate than using thermodynamic driving forces or kinetic intrinsic barriers alone. In short, the FMB isomers have a stronger ability to release hydride ions than the SMB isomers in actual chemical reactions. For FMB isomers, the hydride-donating ability of DMBI is stronger than that of DMIZ, and for SMB, the hydride-donating ability of DMPX is stronger than that of DMPZ in actual chemical reactions. In addition, increasing the carbonyl groups reduces the hydride-donating ability of the compound in actual chemical reactions. We believe that this method has important guiding significance for the synthesis and screening of FMB and SMB drugs.

Supplementary Materials

The following supporting information can be downloaded at https://www.mdpi.com/article/10.3390/molecules27217252/s1: Detailed 1H and 13C NMR data of typical compounds [33,34,35,36]. The thermodynamic and kinetic test data of the compounds with different substituents and the corresponding thermodynamic driving force, kinetic intrinsic barrier and thermo-kinetic parameters values.

Funding

This work was supported by the National Natural Science Foundation of China (grant no. 21672111, 21472099, 21390400, and 21102074) and the 111 Project (B06005).

Institutional Review Board Statement

Not applicable.

Data Availability Statement

Not applicable.

Conflicts of Interest

The authors declare no conflict of interest.

Sample Availability

Samples of the compounds are available from the authors.

References

  1. Kim, M.K.; Shin, H.; Park, K.S.; Kim, H.; Park, J.; Kim, K.; Nam, J.; Choo, H.; Chong, Y. Benzimidazole Derivatives as Potent JAK1-Selective Inhibitors. J. Med. Chem. 2015, 58, 7596–7602. [Google Scholar] [CrossRef] [PubMed]
  2. El-masry, A.H.; Fahmy, H.H.; Ali Abdelwahed, S.H. Synthesis and Antimicrobial Activity of Some New Benzimidazole Derivatives. Molecules 2000, 5, 1429–1438. [Google Scholar] [CrossRef]
  3. Kayser, O.; Waters, W.R.; Woods, K.M.; Upton, S.J.; Keithly, J.S.; Laatsch, H.; Kiderlen, A.F. Evaluation of in vitro and in vivo activity of benzindazole-4,9-quinones against Cryptosporidium parvum. J. Antimicrob. Chemother. 2002, 50, 975–980. [Google Scholar] [CrossRef] [PubMed][Green Version]
  4. Chesnut, R.W.; Haslam, D.F.; Durham, N.N.; Berlin, K.D. Berlin, Mechanism of Biological Action of a New Benzindazole Compound. Can. J. Biochem. 1972, 50, 516–523. [Google Scholar] [CrossRef]
  5. Mhaske, S.B.; Argade, N.P. The chemistry of recently isolated naturally occurring quinazolinone alkaloids. Tetrahedron 2006, 62, 9787–9826. [Google Scholar] [CrossRef]
  6. Asif, M. Chemical characteristics, synthetic methods, and biological potential of quinazoline and quinazolinone derivatives. Int. J. Med. Chem. 2014, 2014, 395637. [Google Scholar] [CrossRef] [PubMed]
  7. Ajani, O.O.; Obafemi, C.A.; Nwinyi, O.C.; Akinpelu, D.A. Microwave assisted synthesis and antimicrobial activity of 2-quinoxalinone-3-hydrazone derivatives. Bioorg. Med. Chem. 2010, 18, 214–221. [Google Scholar] [CrossRef]
  8. El-Sabbagh, O.I.; El-Sadek, M.E.; Lashine, S.M.; Yassin, S.H.; El-Nabtity, S.M. Synthesis of new 2(1H)-quinoxalinone derivatives for antimicrobial and antiinflammatory evaluation. Med. Chem. Res. 2009, 18, 782–797. [Google Scholar] [CrossRef]
  9. Rybniker, J.; Vocat, A.; Sala, C.; Busso, P.; Pojer, F.; Benjak, A.; Cole, S.T. Lansoprazole is an antituberculous prodrug targeting cytochrome bc1. Nat. Commun. 2015, 6, 7659. [Google Scholar] [CrossRef]
  10. Gumus, E.; Karaca, O.; Babaoglu, M.O.; Baysoy, G.; Balamtekin, N.; Demir, H.; Uslu, N.; Bozkurt, A.; Yuce, A.; Yasar, U. Evaluation of lansoprazole as a probe for assessing cytochrome P450 2C19 activity and genotype-phenotype correlation in childhood. Eur. J. Clin. Pharm. 2012, 68, 629–636. [Google Scholar] [CrossRef]
  11. Ducharme, A.; Swedberg, K.; Pfeffer, M.A.; Cohen-Solal, A.; Granger, C.B.; Maggioni, A.P.; Michelson, E.L.; McMurray, J.J.; Olsson, L.; Rouleau, J.L.; et al. Prevention of atrial fibrillation in patients with symptomatic chronic heart failure by candesartan in the Candesartan in Heart failure: Assessment of Reduction in Mortality and morbidity (CHARM) program. Am. Heart J. 2006, 151, 985–991. [Google Scholar] [CrossRef]
  12. Tveit, A.; Grundvold, I.; Olufsen, M.; Seljeflot, I.; Abdelnoor, M.; Arnesen, H.; Smith, P. Candesartan in the prevention of relapsing atrial fibrillation. Int. J. Cardiol. 2007, 120, 85–91. [Google Scholar] [CrossRef]
  13. Pourgholami, M.H.; Woon, L.; Almajd, R.; Akhter, J.; Bowery, P.; Morris, D.L. In vitro and in vivo suppression of growth of hepatocellular carcinoma cells by albendazole. Cancer Lett. 2001, 165, 43–49. [Google Scholar] [CrossRef]
  14. Horton, R.J. Chemotherapy of Echinococcus infection in man with albendazole. Trans. R. Soc. Trop. Med. Hyg. 1989, 83, 97–102. [Google Scholar] [CrossRef]
  15. Nath, K.; Guo, L.; Nancolas, B.; Nelson, D.S.; Shestov, A.A.; Lee, S.C.; Roman, J.; Zhou, R.; Leeper, D.B.; Halestrap, A.P.; et al. Mechanism of antineoplastic activity of lonidamine. Biochim. Biophys. Acta 2016, 1866, 151–162. [Google Scholar] [CrossRef]
  16. Cheng, G.; Zhang, Q.; Pan, J.; Lee, Y.; Ouari, O.; Hardy, M.; Zielonka, M.; Myers, C.R.; Zielonka, J.; Weh, K.; et al. Targeting lonidamine to mitochondria mitigates lung tumorigenesis and brain metastasis. Nat. Commun. 2019, 10, 2205. [Google Scholar] [CrossRef]
  17. Matthews, R.W. Clinical evaluation of benzydamine, chlorhexidine, and placebo mouthwashes in the management of recurrent aphthous stomatitis. Oral. Surg. Oral. Med. Oral. Pathol. 1987, 63, 189–191. [Google Scholar] [CrossRef]
  18. Karavana, S.Y.; Guneri, P.; Ertan, G. Benzydamine hydrochloride buccal bioadhesive gels designed for oral ulcers: Preparation, rheological, textural, mucoadhesive and release properties. Pharm. Dev. Technol. 2009, 14, 623–631. [Google Scholar] [CrossRef] [PubMed]
  19. Kalia, V.; Garg, T.; Rath, G.; Goyal, A.K. Development and evaluation of a sublingual film of the antiemetic granisetron hydrochloride. Artif. Cells Nanomed. Biotechnol. 2016, 44, 842–846. [Google Scholar] [CrossRef]
  20. Salunkhe, N.H.; Jadhav, N.R.; Mali, K.K.; Dias, R.J.; Ghorpade, V.S.; Yadav, A.V. Mucoadhesive microsphere based suppository containing granisetron hydrochloride for management of emesis in chemotherapy. J. Pharm. Investig. 2014, 44, 253–263. [Google Scholar] [CrossRef]
  21. Shah, N.T.; Kris, M.G.; Pao, W.; Tyson, L.B.; Pizzo, B.M.; Heinemann, M.H.; Ben-Porat, L.; Sachs, D.L.; Heelan, R.T.; Miller, V.A. Practical management of patients with non-small-cell lung cancer treated with gefitinib. J. Clin. Oncol. 2005, 23, 165–174. [Google Scholar] [CrossRef] [PubMed]
  22. Cappuzzo, F.; Hirsch, F.R.; Rossi, E.; Bartolini, S.; Ceresoli, G.L.; Bemis, L.; Haney, J.; Witta, S.; Danenberg, K.; Domenichini, I.; et al. Epidermal growth factor receptor gene and protein and gefitinib sensitivity in non-small-cell lung cancer. J. Natl. Cancer Inst. 2005, 97, 643–655. [Google Scholar] [CrossRef] [PubMed]
  23. Keating, G.M. Afatinib: A review of its use in the treatment of advanced non-small cell lung cancer. Drugs 2014, 74, 207–221. [Google Scholar] [CrossRef] [PubMed]
  24. Herwig, P.; Moll, K.P. Monica Musteanu, Emilio Casanova, Afatinib restrains K-RAS–driven lung tumorigenesis. Sci. Transl. Med. 2018, 10, eaao2301. [Google Scholar]
  25. Kelly, C.; Bhuva, N.; Harrison, M.; Buckley, A.; Saunders, M. Use of raltitrexed as an alternative to 5-fluorouracil and capecitabine in cancer patients with cardiac history. Eur. J. Cancer 2013, 49, 2303–2310. [Google Scholar] [CrossRef]
  26. Clarke, S.J.; Beale, P.J.; Rivory, L.P. Clinical and Preclinical Pharmacokinetics of Raltitrexed. Clin. Pharm. 2000, 39, 429–443. [Google Scholar] [CrossRef]
  27. Balzarini, J.; Pelemans, H.; Riess, G.; Roesner, M.; Winkler, I.; De Clercq, E.; Kleim, J. Zidovudine-Resistant Human Immunodeficiency Virus Type1 Strains Subcultured in the Presence of Both Lamivudine and Quinoxaline HBY 097 Retain Marked Sensitivity to HBY 097 but Not to Lamivudine. J. Infect. Dis. 1997, 176, 1392–1397. [Google Scholar] [CrossRef]
  28. Fu, Y.H.; Shen, G.B.; Wang, K.; Zhu, X.Q. Comparison of Thermodynamic, Kinetic Forces for Three NADH Analogues to Release Hydride Ion or Hydrogen Atom in Acetonitrile. ChemistrySelect 2021, 6, 8007–8010. [Google Scholar] [CrossRef]
  29. Fu, Y.H.; Wang, K.; Shen, G.B.; Zhu, X.Q. Quantitative comparison of the actual antioxidant activity of Vitamin C, Vitamin E, and NADH. J. Phys. Org. Chem. 2022, 35, e4358. [Google Scholar] [CrossRef]
  30. Fu, Y.-H.; Shen, G.-B.; Li, Y.; Yuan, L.; Li, J.-L.; Li, L.; Fu, A.-K.; Chen, J.-T.; Chen, B.-L.; Zhu, L.; et al. Realization of Quantitative Estimation for Reaction Rate Constants Using only One Physical Parameter for Each Reactant. ChemistrySelect 2017, 2, 904–925. [Google Scholar] [CrossRef]
  31. Zhang, J.Y.; Zhu, X.Q. Comparison between 1,2-Dihydropyridine and 1,4-Dihydropyridine on Hydride-Donating Ability and Activity. Molecules 2022, 27, 5382. [Google Scholar] [CrossRef] [PubMed]
  32. Lei, N.P.; Fu, Y.H.; Zhu, X.Q. Elemental step thermodynamics of various analogues of indazolium alkaloids to obtaining hydride in acetonitrile. Org. Biomol. Chem. 2015, 13, 11472–11485. [Google Scholar] [CrossRef] [PubMed]
  33. Shen, G.B.; Xia, K.; Li, X.T.; Li, J.L.; Fu, Y.H.; Yuan, L.; Zhu, X.Q. Prediction of Kinetic Isotope Effects for Various Hydride Transfer Reactions Using a New Kinetic Model. J. Phys. Chem. A 2016, 120, 1779–1799. [Google Scholar] [CrossRef]
  34. Zhu, X.Q.; Deng, F.H.; Yang, J.D.; Li, X.T.; Chen, Q.; Lei, N.P.; Meng, F.K.; Zhao, X.P.; Han, S.H.; Hao, E.J.; et al. A classical but new kinetic equation for hydride transfer reactions. Org. Biomol. Chem. 2013, 11, 6071–6089. [Google Scholar] [CrossRef] [PubMed]
  35. Nakao, Y.; Idei, H.; Kanyiva, K.S.; Hiyama, T. Direct Alkenylation and Alkylation of Pyridone Derivatives by Ni/AlMe3 Catalysis. J. Am. Chem. Soc. 2009, 131, 15996–15997. [Google Scholar] [CrossRef]
  36. Edward CTaylor, C.A.M.; Jerauld, S. Skotnicki, Heterocyclization with cyano and sulfonyl epoxides. Preparation of quinoxalines and tetrahydroquinoxalines. J. Org. Chem. 1980, 45, 2512–2515. [Google Scholar]
Publisher’s Note: MDPI stays neutral with regard to jurisdictional claims in published maps and institutional affiliations.

Article Metrics

Citations

Article Access Statistics

Multiple requests from the same IP address are counted as one view.