Clinical Potential of Himalayan Herb Bergenia ligulata: An Evidence-Based Study
Abstract
1. Introduction
2. Methodology
3. Bergenia ligulata as Traditional Herbal Medicine
4. Bioactive Compounds in Bergenia ligulata
4.1. Bergenin
4.2. Catechins
4.3. Arbutin
4.4. Gallic Acid
4.5. Protocatechuic Acid
4.6. Chlorogenic acid
4.7. Syringic Acid and Ferulic Acid
5. Potential Clinical Use
5.1. Antilithiatic Activity
5.2. Antipyretic Activity
5.3. Anti-Diabetic Activity
5.4. Anti-Inflammatory Activity
5.5. Hepatoprotective Activity
5.6. Cardioprotective Activity
6. Possible Mechanism(s) of Action
6.1. Anti-Urolithiatic Mechanism
6.2. Antioxidative Mechanism
6.3. Antipyretic Mechanism
6.4. Anti-Diabetic Mechanism
6.5. Anti-Inflammatory Mechanism
6.6. Hepatoprotective Mechanism
7. Future Perspectives
Author Contributions
Funding
Institutional Review Board Statement
Informed Consent Statement
Data Availability Statement
Conflicts of Interest
References
- Tilburt, J.C.; Kaptchuk, T.J. Herbal Medicine Research and Global Health: An Ethical Analysis. Bull. World Health Organ. 2008, 86, 594–599. [Google Scholar] [CrossRef]
- Akerele, O. Nature’s Medicinal Bounty: Don’t Throw It Away. In Proceedings of the World Health Forum; World Health Organisation: Geneva, Switzerland, 1993; Volume 14, pp. 390–395. [Google Scholar]
- Ghatapanadi, S.R.; Johnson, N.; Rajasab, A.H. Medicinal Plants of North Karnataka Used in Treatment of Kidney Stone and Urinary Tract Infections. Socioscan 2010, 2, 23–24. [Google Scholar]
- Arya, P.; Pandey, S.; Verma, V. Kidney Stone Formation and Use of Medicinal Plants as Antiurolithiatic Agents. Univers. J. Pharm. Res. 2017, 2, 43–48. [Google Scholar] [CrossRef]
- Goswami, P.K.; Samant, M.; Srivastava, R.S. Multi Faceted Saxifraga Ligulata. Int. J. Res. Ayurveda Pharm. IJRAP 2013, 4, 608–611. [Google Scholar] [CrossRef]
- Sajad, T.; Zargar, A.; Ahmad, T.; Bader, G.N.; Naime, M.; Ali, S. Antibacterial and Anti-Inflammatory Potential Bergenia ligulata. Am. J. Biomed. Sci. 2010, 2, 313–321. [Google Scholar] [CrossRef]
- Gurav, S.S.; Gurav, N.S. A Comprehensive Review: Bergenia ligulata Wall—A Controversial Clinical Candidate. Int. J. Pharm. Sci. Rev. Res. 2014, 5, 1630–1642. [Google Scholar]
- Jani, S.; Shukla, V.J.; Harisha, C.R. Comparative Pharmacognostical and Phytochemical Study on Bergenia ligulata Wall. and Ammania buccifera Linn. Ayu 2013, 34, 406. [Google Scholar] [CrossRef]
- Ruby, K.M.; Dwivedi, J.; Chauhan, R. Pashanbheda a Golden Herb of Himalaya: A Review. Int. J. Pharm. Rev. Res. 2012, 2, 97–105. [Google Scholar]
- Pandey, R.; Kumar, B.; Meena, B.; Srivastava, M.; Mishra, T.; Tiwari, V.; Pal, M.; Nair, N.K.; Upreti, D.K.; Rana, T.S. Major Bioactive Phenolics in Bergenia Species from the Indian Himalayan Region: Method Development, Validation and Quantitative Estimation Using UHPLC-QqQLIT-MS/MS. PLoS ONE 2017, 12, e0180950. [Google Scholar]
- Sadat, A.; Uddin, G.; Alam, M.; Ahmad, A.; Siddiqui, B.S. Structure Activity Relationship of Bergenin, p-Hydroxybenzoyl Bergenin, 11-O-Galloylbergenin as Potent Antioxidant and Urease Inhibitor Isolated from Bergenia ligulata. Nat. Prod. Res. 2015, 29, 2291–2294. [Google Scholar] [CrossRef]
- Pandey, B.P.; Pradhan, S.P.; Adhikari, K.; Nepal, S. Bergenia pacumbis from Nepal, an astonishing enzymes inhibitor. BMC Complement. Altern. Med. 2020, 20, 1–12. [Google Scholar] [CrossRef] [PubMed]
- Das, C.; Kumari, B.; Singh, M.P.; Singh, S. A Literary Review and Therapeutic Action of Pashanbheda (Bergenia ligulata Wall) described by Shamhita in Ashmari Roga. J. Ayurveda Integr. Med. 2022, 7, 105–114. [Google Scholar]
- Dix, B.S.; Srivastava, S.N. Tannin Constituents of Bergenia ligulata Roots. Ind. J. Nat. Prod. 1989, 5, 24–25. [Google Scholar]
- Bashir, S.; Gilani, A.H. Antiurolithic Effect of Bergenia ligulata Rhizome: An Explanation of the Underlying Mechanisms. J. Ethnopharmacol. 2009, 122, 106–116. [Google Scholar] [CrossRef]
- Singh, A.; Tandon, S.; Nandi, S.P.; Kaur, T.; Tandon, C. Downregulation of Inflammatory Mediators by Ethanolic Extract of Bergenia ligulata (Wall.) in Oxalate Injured Renal Epithelial Cells. J. Ethnopharmacol. 2021, 275, 114104. [Google Scholar] [CrossRef] [PubMed]
- Nardev, S.; Gupta, A.K.; Vijay, J.; Renu, C. Study on Antipyretic Activity of Extracts of Bergenia ligulata Wall. Int. J. Pharma. Bio Sci. 2010, 1, PS58. [Google Scholar]
- Rajbhandari, M.; Wegner, U.; Schoepke, T.; Lindequist, U.; Mentel, R. Inhibitory Effect of Bergenia ligulata on Influenza Virus A. Pharm.-Int. J. Pharm. Sci. 2003, 58, 268–271. [Google Scholar]
- Kaur, R.; Kaur, S. Evaluation of In Vitro and In Vivo Antileishmanial Potential of Bergenin Rich Bergenia ligulata (Wall.) Engl. Root Extract against Visceral Leishmaniasis in Inbred BALB/c Mice through Immunomodulation. J. Tradit. Complement. Med. 2018, 8, 251–260. [Google Scholar] [CrossRef]
- Gohain, A.; Sharma, A.; Gogoi, H.J.; Cooper, R.; Kaur, R.; Nayik, G.A.; Shaikh, A.M.; Kovács, B.; Areche, F.O.; Ansari, M.J.; et al. Bergenia pacumbis (Buch.-Ham. ex D. Don) CY Wu & JT Pan: A Comprehensive Review on Traditional Uses, Phytochemistry and Pharmacology. Plants 2022, 11, 1129. [Google Scholar]
- Kumar, V.; Tyagi, D. Review on Phytochemical, Ethnomedical and Biological Studies of Medically Useful Genus Bergenia. Int. J. Curr. Microbiol. App. Sci. 2013, 2, 328–334. [Google Scholar]
- Kirtikar, K.R.; Basu, B.D. Text Book of Indian Medicinal Plants; International Book Distributors: Dehradun, India, 2005; Volume 2, pp. 993–994. [Google Scholar]
- Samal, P.K.; Dhyani, P.P.; Dollo, M. Indigenous Medicinal Practices of Bhotia Tribal Community in Indian Central Himalaya. Indian J. Tradit. Knowl. 2010, 9, 140–144. [Google Scholar]
- Savita, R. Ethnomedicinal Plants of Chamba District, Himachal Pradesh, India. J. Med. Plants Res. 2013, 7, 3147–3157. [Google Scholar]
- Sharma, H.K.; Chhangte, L.; Dolui, A.K. Traditional Medicinal Plants in Mizoram, India. Fitoterapia 2001, 72, 146–161. [Google Scholar] [CrossRef]
- Amazon. Available online: https://www.Amazon.in/Leayur-Pashan-Bergenia-Ligulata-Powder/Dp/B011UZD8YS (accessed on 29 July 2022).
- Flipkart. Available online: https://www.Flipkart.Com/Nutrixia-Food-Pashanbhed-Lakdi-Pashan-Bhed-Root-Pakhanved-Jadd-Bergenia-Ligulata-Seed/p/Itma7904d784a9db (accessed on 29 July 2022).
- Reddy, U.D.C.; Chawla, A.S.; Deepak, M.; Singh, D.; Handa, S.S. High Pressure Liquid Chromatographic Determination of Bergenin and (+)-Afzelechin from Different Parts of Paashaanbhed (Bergenia ligulata Yeo). Phytochem. Anal. Int. J. Plant Chem. Biochem. Tech. 1999, 10, 44–47. [Google Scholar] [CrossRef]
- Liu, Y.; Chen, Y.; Liao, B.; Luo, D.; Wang, K.; Li, H.; Zeng, G. Epidemiology of Urolithiasis in Asia. Asian J. Urol. 2018, 5, 205–214. [Google Scholar] [CrossRef]
- Chandrareddy, U.D.; Chawla, A.S.; Mundkinajeddu, D.; Maurya, R.; Handa, S.S. Paashaanolactone from Bergenia ligulata. Phytochemistry 1998, 47, 907–909. [Google Scholar] [CrossRef]
- Chauhan, R.; Ruby, K.M.; Dwivedi, J. Secondary Metabolites Found in Bergenia Species: A Compendious Review. Int. J. Pharm. Pharm. Sci. 2013, 5, 9–16. [Google Scholar]
- Chauhan, S.K.; Singh, B.; Agrawal, S. Simultaneous Determination of Bergenin and Gallic Acid in Bergenia ligulata Wall by High-Performance Thin-Layer Chromatography. J. AOAC Int. 2000, 83, 1480–1483. [Google Scholar] [CrossRef]
- Fujii, M.; Miyaichi, Y.; Tomimori, T. Studies on Nepalese Crude Drugs. XXII: On the Phenolic Constituents of the Rhizome of Bergenia ciliata (Haw.) Sternb. Nat. Med. 1996, 50, 404–407. [Google Scholar]
- Kumar, S. Herbaceous Flora of Jaunsar-Bawar (Uttarkhand), India: Enumerations. Phytotaxonomy 2012, 12, 33–56. [Google Scholar]
- Bohm, B.A.; Donevan, L.S.; Bhat, U.G. Flavonoids of Some Species of Bergenia, Francoa, Parnassia and Lepuropetalon. Biochem. Syst. Ecol. 1986, 14, 75–77. [Google Scholar] [CrossRef]
- Bajracharya, G.B.; Maharjan, R.; Maharjan, B.L. Potential Antibacterial Activity of Bergenia purpurascens. Nepal J. Sci. Technol. 2011, 12, 157–162. [Google Scholar] [CrossRef]
- Koul, B.; Kumar, A.; Yadav, D.; Jin, J.-O. Bergenia Genus: Traditional Uses, Phytochemistry and Pharmacology. Molecules 2020, 25, 5555. [Google Scholar] [CrossRef]
- Messaoudi, D.; Bouriche, H.; Demirtas, I.; Senator, A. Phytochemical Analysis and Hepatoprotective Activity of Algerian Santolina chamaecyparissus L. Extracts. Annu. Res. Rev. Biol. 2018, 25, 1–12. [Google Scholar] [CrossRef]
- RAStOGi, S.; RAwAt, A.K.S. A Comprehensive Review on Bergenin, a Potential Hepatoprotective and Antioxidative Phytoconstituent. Herba Pol. 2008, 54, 66–79. [Google Scholar]
- Abe, K.; Sakai, K.; Uchida, M. Effects of Bergenin on Experimental Ulcers—Prevention of Stress Induced Ulcers in Rats. Gen. Pharmacol. Vasc. Syst. 1980, 11, 361–368. [Google Scholar] [CrossRef]
- Shi, X.; Xu, M.; Luo, K.; Huang, W.; Yu, H.; Zhou, T. Anticancer Activity of Bergenin against Cervical Cancer Cells Involves Apoptosis, Cell Cycle Arrest, Inhibition of Cell Migration and the STAT3 Signalling Pathway. Exp. Ther. Med. 2019, 17, 3525–3529. [Google Scholar] [CrossRef]
- Takahashi, H.; Kosaka, M.; Watanabe, Y.; Nakade, K.; Fukuyama, Y. Synthesis and Neuroprotective Activity of Bergenin Derivatives with Antioxidant Activity. Bioorg. Med. Chem. 2003, 11, 1781–1788. [Google Scholar] [CrossRef]
- Hou, W.; Ye, C.; Chen, M.; Li, W.; Gao, X.; He, R.; Zheng, Q.; Zhang, W. Bergenin Activates SIRT1 as a Novel Therapeutic Agent for Osteogenesis of Bone Mesenchymal Stem Cells. Front. Pharmacol. 2019, 10, 618. [Google Scholar] [CrossRef]
- da Silva, S.L.; de Oliveira, V.G.; Yano, T.; Nunomura, R.D.C.S. Antimicrobial Activity of Bergenin from Endopleura uchi (Huber) Cuatrec. Acta Amaz. 2009, 39, 187–191. [Google Scholar] [CrossRef]
- Patel, D.K.; Patel, K.; Kumar, R.; Gadewar, M.; Tahilyani, V. Pharmacological and Analytical Aspects of Bergenin: A Concise Report. Asian Pac. J. Trop. Dis. 2012, 2, 163–167. [Google Scholar] [CrossRef]
- Bernatoniene, J.; Kopustinskiene, D.M. The Role of Catechins in Cellular Responses to Oxidative Stress. Molecules 2018, 23, 965. [Google Scholar] [CrossRef] [PubMed]
- Shimamura, T.; Zhao, W.-H.; Hu, Z.-Q. Mechanism of Action and Potential for Use of Tea Catechin as an Antiinfective Agent. Anti-Infect. Agents Med. Chem. (Former. Curr. Med. Chem.-Anti-Infect. Agents) 2007, 6, 57–62. [Google Scholar] [CrossRef]
- Gadkari, P.V.; Balaraman, M. Catechins: Sources, Extraction and Encapsulation: A Review. Food Bioprod. Process. 2015, 93, 122–138. [Google Scholar] [CrossRef]
- Weber, J.M.; Ruzindana-Umunyana, A.; Imbeault, L.; Sircar, S. Inhibition of Adenovirus Infection and Adenain by Green Tea Catechins. Antivir. Res. 2003, 58, 167–173. [Google Scholar] [CrossRef]
- Mukoyama, A.; Ushijima, H.; Nishimura, S.; Koike, H.; Toda, M.; Hara, Y.; Shimamura, T. Inhibition of Rotavirus and Enterovirus Infections by Tea Extracts. Jpn. J. Med. Sci. Biol. 1991, 44, 181–186. [Google Scholar] [CrossRef]
- Liu, S.; Lu, H.; Zhao, Q.; He, Y.; Niu, J.; Debnath, A.K.; Wu, S.; Jiang, S. Theaflavin Derivatives in Black Tea and Catechin Derivatives in Green Tea Inhibit HIV-1 Entry by Targeting Gp41. Biochim. Biophys. Acta BBA-Gen. Subj. 2005, 1723, 270–281. [Google Scholar] [CrossRef]
- Ide, K.; Kawasaki, Y.; Kawakami, K.; Yamada, H. Anti-influenza virus effects of catechins: A molecular and clinical review. Curr. Med. Chem. 2016, 23, 4773–4783. [Google Scholar] [CrossRef]
- Okada, F.; Takeo, T.; Okada, S.; Tamemasa, O. Antiviral Effect of Theaflavins on Tobacco Mosaic Virus. Agric. Biol. Chem. 1977, 41, 791–794. [Google Scholar]
- Higdon, J.V.; Frei, B. Tea Catechins and Polyphenols: Health Effects, Metabolism, and Antioxidant Functions. Crit. Rev. Food Sci. Nutr. 2003, 43, 89–143. [Google Scholar] [CrossRef]
- Perron, N.R.; Brumaghim, J.L. A Review of the Iron-Binding Mechanism for Polyphenol Antioxidant Activity. Cell Biochem. Biophys. 2009, 53, 75–100. [Google Scholar] [CrossRef] [PubMed]
- Valcic, S.; Burr, J.A.; Timmermann, B.N.; Liebler, D.C. Antioxidant Chemistry of Green Tea Catechins. New Oxidation Products of (−)-Epigallocatechin Gallate and (−)-Epigallocatechin from Their Reactions with Peroxyl Radicals. Chem. Res. Toxicol. 2000, 13, 801–810. [Google Scholar] [CrossRef] [PubMed]
- Roychoudhury, S.; Agarwal, A.; Virk, G.; Cho, C.-L. Potential Role of Green Tea Catechins in the Management of Oxidative Stress-Associated Infertility. Reprod. Biomed. Online 2017, 34, 487–498. [Google Scholar] [CrossRef]
- Manikandan, R.; Beulaja, M.; Arulvasu, C.; Sellamuthu, S.; Dinesh, D.; Prabhu, D.; Babu, G.; Vaseeharan, B.; Prabhu, N.M. Synergistic Anticancer Activity of Curcumin and Catechin: An in Vitro Study Using Human Cancer Cell Lines. Microsc. Res. Tech. 2012, 75, 112–116. [Google Scholar] [CrossRef] [PubMed]
- Saeedi, M.; Khezri, K.; Seyed Zakaryaei, A.; Mohammadamini, H. A Comprehensive Review of the Therapeutic Potential of A-arbutin. Phytother. Res. 2021, 35, 4136–4154. [Google Scholar] [CrossRef]
- Migas, P.; Krauze-Baranowska, M. The Significance of Arbutin and Its Derivatives in Therapy and Cosmetics. Phytochem. Lett. 2015, 13, 35–40. [Google Scholar] [CrossRef]
- Lee, H.-J.; Kim, K.-W. Anti-Inflammatory Effects of Arbutin in Lipopolysaccharide-Stimulated BV2 Microglial Cells. Inflamm. Res. 2012, 61, 817–825. [Google Scholar] [CrossRef]
- Li, H.; Jeong, Y.-M.; Kim, S.Y.; Kim, M.-K.; Kim, D.-S. Arbutin Inhibits TCCSUP Human Bladder Cancer Cell Proliferation via Up-Regulation of P21. Pharm.-Int. J. Pharm. Sci. 2011, 66, 306–309. [Google Scholar]
- Fernandes, F.H.A.; Salgado, H.R.N. Gallic Acid: Review of the Methods of Determination and Quantification. Crit. Rev. Anal. Chem. 2016, 46, 257–265. [Google Scholar] [CrossRef]
- Kahkeshani, N.; Farzaei, F.; Fotouhi, M.; Alavi, S.S.; Bahramsoltani, R.; Naseri, R.; Momtaz, S.; Abbasabadi, Z.; Rahimi, R.; Farzaei, M.H. Pharmacological Effects of Gallic Acid in Health and Diseases: A Mechanistic Review. Iran J. Basic. Med. Sci. 2019, 22, 225. [Google Scholar]
- Govea-Salas, M.; Rivas-Estilla, A.M.; Rodríguez-Herrera, R.; Lozano-Sepúlveda, S.A.; Aguilar-Gonzalez, C.N.; Zugasti-Cruz, A.; Salas-Villalobos, T.B.; Morlett-Chávez, J.A. Gallic Acid Decreases Hepatitis C Virus Expression through Its Antioxidant Capacity. Exp. Ther. Med. 2016, 11, 619–624. [Google Scholar] [CrossRef] [PubMed]
- Kratz, J.M.; Andrighetti-Fröhner, C.R.; Leal, P.C.; Nunes, R.J.; Yunes, R.A.; Trybala, E.; Bergström, T.; Barardi, C.R.M.; Simões, C.M.O. Evaluation of Anti-HSV-2 Activity of Gallic Acid and Pentyl Gallate. Biol. Pharm. Bull. 2008, 31, 903–907. [Google Scholar] [CrossRef] [PubMed]
- Chatterjee, A.; Chatterjee, S.; Biswas, A.; Bhattacharya, S.; Chattopadhyay, S.; Bandyopadhyay, S.K. Gallic Acid Enriched Fraction of Phyllanthus Emblica Potentiates Indomethacin-Induced Gastric Ulcer Healing via e-NOS-Dependent Pathway. Evid.-Based Complement. Altern. Med. 2012, 2012, 487380. [Google Scholar] [CrossRef] [PubMed]
- Gandhi, G.R.; Jothi, G.; Antony, P.J.; Balakrishna, K.; Paulraj, M.G.; Ignacimuthu, S.; Stalin, A.; Al-Dhabi, N.A. Gallic Acid Attenuates High-Fat Diet Fed-Streptozotocin-Induced Insulin Resistance via Partial Agonism of PPARγ in Experimental Type 2 Diabetic Rats and Enhances Glucose Uptake through Translocation and Activation of GLUT4 in PI3K/p-Akt Signaling Pathway. Eur. J. Pharmacol. 2014, 745, 201–216. [Google Scholar] [CrossRef] [PubMed]
- Kakkar, S.; Bais, S. A Review on Protocatechuic Acid and Its Pharmacological Potential. Int. Sch. Res. Not. 2014, 2014, 952943. [Google Scholar] [CrossRef]
- Semaming, Y.; Pannengpetch, P.; Chattipakorn, S.C.; Chattipakorn, N. Pharmacological Properties of Protocatechuic Acid and Its Potential Roles as Complementary Medicine. Evid.-Based Complement. Altern. Med. 2015, 2015, 593902. [Google Scholar] [CrossRef]
- Krzysztoforska, K.; Mirowska-Guzel, D.; Widy-Tyszkiewicz, E. Pharmacological Effects of Protocatechuic Acid and Its Therapeutic Potential in Neurodegenerative Diseases: Review on the Basis of in Vitro and in Vivo Studies in Rodents and Humans. Nutr. Neurosci. 2019, 22, 72–82. [Google Scholar] [CrossRef]
- Harini, R.; Pugalendi, K.V. Antihyperglycemic Effect of Protocatechuic Acid on Streptozotocin-Diabetic Rats. J. Basic Clin. Physiol. Pharmacol. 2010, 21, 79–92. [Google Scholar] [CrossRef]
- Lende, A.B.; Kshirsagar, A.D.; Deshpande, A.D.; Muley, M.M.; Patil, R.R.; Bafna, P.A.; Naik, S.R. Anti-Inflammatory and Analgesic Activity of Protocatechuic Acid in Rats and Mice. Inflammopharmacology 2011, 19, 255–263. [Google Scholar] [CrossRef]
- Meng, S.; Cao, J.; Feng, Q.; Peng, J.; Hu, Y. Roles of Chlorogenic Acid on Regulating Glucose and Lipids Metabolism: A Review. Evid.-Based Complement. Altern. Med. ECAM 2013, 2013, 801457. [Google Scholar] [CrossRef]
- Naveed, M.; Hejazi, V.; Abbas, M.; Kamboh, A.A.; Khan, G.J.; Shumzaid, M.; Ahmad, F.; Babazadeh, D.; FangFang, X.; Modarresi-Ghazani, F. Chlorogenic Acid (CGA): A Pharmacological Review and Call for Further Research. Biomed. Pharmacother. 2018, 97, 67–74. [Google Scholar] [CrossRef] [PubMed]
- Srinivasulu, C.; Ramgopal, M.; Ramanjaneyulu, G.; Anuradha, C.M.; Kumar, C.S. Syringic Acid (SA)—A Review of Its Occurrence, Biosynthesis, Pharmacological and Industrial Importance. Biomed. Pharmacother. 2018, 108, 547–557. [Google Scholar] [CrossRef] [PubMed]
- Mathew, S.; Abraham, T.E. Ferulic Acid: An Antioxidant Found Naturally in Plant Cell Walls and Feruloyl Esterases Involved in Its Release and Their Applications. Crit. Rev. Biotechnol. 2004, 24, 59–83. [Google Scholar] [CrossRef] [PubMed]
- Boz, H. Ferulic Acid in Cereals—A Review. Czech J. Food Sci. 2015, 33, 1–7. [Google Scholar] [CrossRef]
- Zduńska, K.; Dana, A.; Kolodziejczak, A.; Rotsztejn, H. Antioxidant Properties of Ferulic Acid and Its Possible Application. Ski. Pharmacol. Physiol. 2018, 31, 332–336. [Google Scholar] [CrossRef]
- Srinivasan, M.; Sudheer, A.R.; Menon, V.P. Ferulic Acid: Therapeutic Potential through Its Antioxidant Property. J. Clin. Biochem. Nutr. 2007, 40, 92–100. [Google Scholar] [CrossRef]
- Ergün, B.Ç.; Çoban, T.; Onurdag, F.K.; Banoglu, E. Synthesis, Antioxidant and Antimicrobial Evaluation of Simple Aromatic Esters of Ferulic Acid. Arch. Pharm. Res. 2011, 34, 1251–1261. [Google Scholar] [CrossRef]
- Shi, C.; Song, K.; Zhang, X.; Sun, Y.; Sui, Y.; Chen, Y.; Jia, Z.; Sun, H.; Sun, Z.; Xia, X. Antimicrobial Activity and Possible Mechanism of Action of Citral against Cronobacter Sakazakii. PLoS ONE 2016, 11, e0159006. [Google Scholar] [CrossRef]
- Cikman, O.; Soylemez, O.; Ozkan, O.F.; Kiraz, H.A.; Sayar, I.; Ademoglu, S.; Taysi, S.; Karaayvaz, M. Antioxidant Activity of Syringic Acid Prevents Oxidative Stress in L-Arginine–Induced Acute Pancreatitis: An Experimental Study on Rats. Int. Surg. 2015, 100, 891–896. [Google Scholar] [CrossRef]
- Sancak, E.B.; Akbas, A.; Silan, C.; Cakir, D.U.; Turkon, H.; Ozkanli, S.S. Protective Effect of Syringic Acid on Kidney Ischemia-Reperfusion Injury. Ren. Fail. 2016, 38, 629–635. [Google Scholar] [CrossRef]
- Rashedinia, M.; Alimohammadi, M.; Shalfroushan, N.; Khoshnoud, M.J.; Mansourian, M.; Azarpira, N.; Sabahi, Z. Neuroprotective Effect of Syringic Acid by Modulation of Oxidative Stress and Mitochondrial Mass in Diabetic Rats. BioMed Res. Int. 2020, 2020, 8297984. [Google Scholar] [CrossRef] [PubMed]
- Muthukumaran, J.; Srinivasan, S.; Venkatesan, R.S.; Ramachandran, V.; Muruganathan, U. Syringic Acid, a Novel Natural Phenolic Acid, Normalizes Hyperglycemia with Special Reference to Glycoprotein Components in Experimental Diabetic Rats. J. Acute Dis. 2013, 2, 304–309. [Google Scholar] [CrossRef]
- Garimella, T.S.; Jolly, C.I.; Narayanan, S. In Vitro Studies on Antilithiatic Activity of Seeds of Dolichos biflorus Linn. and Rhizomes of Bergenia ligulata Wall. Phytother. Res. 2001, 15, 351–355. [Google Scholar] [CrossRef] [PubMed]
- Sharma, I.; Khan, W.; Parveen, R.; Alam, M.; Ahmad, I.; Ansari, M.H.R.; Ahmad, S. Antiurolithiasis Activity of Bioactivity Guided Fraction of Bergenia ligulata against Ethylene Glycol Induced Renal Calculi in Rat. BioMed Res. Int. 2017, 2017, 1969525. [Google Scholar] [CrossRef] [PubMed]
- Aggarwal, D.; Kaushal, R.; Kaur, T.; Bijarnia, R.K.; Puri, S.; Singla, S.K. The Most Potent Antilithiatic Agent Ameliorating Renal Dysfunction and Oxidative Stress from Bergenia ligulata Rhizome. J. Ethnopharmacol. 2014, 158, 85–93. [Google Scholar] [CrossRef]
- Satish, H.; Umashankar, D. Comparative Study of Methanolic Extract of Bergenia ligulata Yeo., with Isolated Constituent Bergenin in Urolithiatic Rats. BioMed 2006, 1, 80–86. [Google Scholar]
- Joshi, V.S.; Parekh, B.B.; Joshi, M.J.; Vaidya, A.B. Herbal Extracts of Tribulus Terrestris and Bergenia ligulata Inhibit Growth of Calcium Oxalate Monohydrate Crystals in Vitro. J. Cryst. Growth 2005, 275, e1403–e1408. [Google Scholar] [CrossRef]
- Joshi, V.S.; Parekh, B.B.; Joshi, M.J.; Vaidya, A.D. Inhibition of the Growth of Urinary Calcium Hydrogen Phosphate Dihydrate Crystals with Aqueous Extracts of Tribulus Terrestris and Bergenia ligulata. Urol. Res. 2005, 33, 80–86. [Google Scholar] [CrossRef]
- Aggarwal, D.; Gautam, D.; Sharma, M.; Singla, S.K. Bergenin Attenuates Renal Injury by Reversing Mitochondrial Dysfunction in Ethylene Glycol Induced Hyperoxaluric Rat Model. Eur. J. Pharmacol. 2016, 791, 611–621. [Google Scholar] [CrossRef]
- Garg, V.; Dutt, R. Antipyretic Plants: An Updated Review. Curr. Bioact. Compd. 2020, 16, 4–12. [Google Scholar] [CrossRef]
- Nardev, S.; Vijay, J.; Gupta, A.K.; Manoj, G. Evaluation of Ethanolic Extract of Root of Bergenia ligulata for Hepatoprotective, Diuretic and Antipyretic Activities. J. Pharm. Res. 2009, 2, 958–960. [Google Scholar]
- Saijyo, J.; Suzuki, Y.; Okuno, Y.; Yamaki, H.; Suzuki, T.; Miyazawa, M. α-Glucosidase Inhibitor from Bergenia ligulata. J. Oleo Sci. 2008, 57, 431–435. [Google Scholar] [CrossRef] [PubMed]
- Chen, M.; Ye, C.; Zhu, J.; Zhang, P.; Jiang, Y.; Lu, X.; Wu, H. Bergenin as a Novel Urate-Lowering Therapeutic Strategy for Hyperuricemia. Front. Cell Dev. Biol. 2020, 8, 703. [Google Scholar] [CrossRef] [PubMed]
- Dhar, M.L.; Dhar, M.M.; Dhawan, B.N.; Mehrotra, B.N.; Ray, C. Screening of Indian Plants for Biological Activity: Part I. Indian J. Exp. Biol. 1968, 6, 232–247. [Google Scholar] [PubMed]
- Reagan-Shaw, S.; Nihal, M.; Ahmad, N. Dose Translation from Animal to Human Studies Revisited. FASEB J. 2008, 22, 659–661. [Google Scholar] [CrossRef]
- Árok, R.; Végh, K.; Alberti, Á.; Kéry, Á. Phytochemical Comparison and Analysis of Bergenia crassifolia L. (Fritsch.) and Bergenia cordifolia Sternb. Eur. Chem. Bull. 2012, 1, 31–34. [Google Scholar]
- Alelign, T.; Petros, B. Kidney Stone Disease: An Update on Current Concepts. Adv. Urol. 2018, 2018, 3068365. [Google Scholar] [CrossRef]
- Kobayashi, H.; De Mejía, E. The Genus Ardisia: A Novel Source of Health-Promoting Compounds and Phytopharmaceuticals. J. Ethnopharmacol. 2005, 96, 347–354. [Google Scholar] [CrossRef]
- Kumar, S.; Pandey, A.K. Free Radicals: Health Implications and Their Mitigation by Herbals. Br. J. Med. Med. Res. 2015, 7, 438–457. [Google Scholar] [CrossRef]
- Benov, L.; Beema, A.F. Superoxide-Dependence of the Short Chain Sugars-Induced Mutagenesis. Free. Radic. Biol. Med. 2003, 34, 429–433. [Google Scholar] [CrossRef]
- Hendrychová, H.; Martin, J.; Tůmová, L.; Kočevar-Glavač, N. Bergenin Content and Free Radical Scavenging Activity of Bergenia Extracts. Nat. Prod. Commun. 2015, 10, 1934578X1501000734. [Google Scholar] [CrossRef]
- Stocchetti, N.; Rossi, S.; Zanier, E.; Colombo, A.; Beretta, L.; Citerio, G. Pyrexia in Head-Injured Patients Admitted to Intensive Care. Intensive Care Med. 2002, 28, 1555–1562. [Google Scholar] [CrossRef] [PubMed]
- Walter, E.J.; Hanna-Jumma, S.; Carraretto, M.; Forni, L. The Pathophysiological Basis and Consequences of Fever. Crit. Care 2016, 20, 200. [Google Scholar] [CrossRef] [PubMed]
- Deepa, P.K.; Usha, P.T.A.; Nair, A.C.; Prasannakumari, K.T. Antipyretic Activity of Seeds from Red and White Type of Lotus (Nelumbo Nucifera) in Albino Rat. Vet. World 2009, 2, 213. [Google Scholar]
- Association, A.D. Diagnosis and Classification of Diabetes Mellitus. Diabetes Care 2010, 33, S62–S69. [Google Scholar] [CrossRef]
- Matsuura, H.; Asakawa, C.; Kurimoto, M.; Mizutani, J. α-Glucosidase Inhibitor from the Seeds of Balsam Pear (Momordica charantia) and the Fruit Bodies of Grifola frondosa. Biosci. Biotechnol. Biochem. 2002, 66, 1576–1578. [Google Scholar] [CrossRef]
- Bhandari, M.R.; Jong-Anurakkun, N.; Hong, G.; Kawabata, J. α-Glucosidase and α-Amylase Inhibitory Activities of Nepalese Medicinal Herb Pakhanbhed (Bergenia ciliata, Haw.). Food Chem. 2008, 106, 247–252. [Google Scholar] [CrossRef]
- Chen, L.; Deng, H.; Cui, H.; Fang, J.; Zuo, Z.; Deng, J.; Li, Y.; Wang, X.; Zhao, L. Inflammatory Responses and Inflammation-Associated Diseases in Organs. Oncotarget 2018, 9, 7204–7218. [Google Scholar] [CrossRef]
- Lobo, V.C.; Anita, P.; Naresh, C. Antioxidant and Free Radical Scavenging Activity of Hygrophila schulli (Buch.-Ham.) Almeida and Almeida. Seeds. Adv. Bio Res. 2010, 1, 72–78. [Google Scholar]
- Pham-Huy, L.A.; He, H.; Pham-Huy, C. Free Radicals, Antioxidants in Disease and Health. Int. J. Biomed. Sci. IJBS 2008, 4, 89. [Google Scholar]
- Lim, H.-K.; Kim, H.-S.; Choi, H.-S.; Oh, S.; Jang, C.-G.; Choi, J.; Kim, S.-H.; Chang, M.-J. Effects of Acetylbergenin against D-Galactosamine-Induced Hepatotoxicity in Rats. Pharmacol. Res. 2000, 42, 471–474. [Google Scholar] [CrossRef] [PubMed]
- Kim, H.-S.; Lim, H.-K.; Chung, M.-W.; Kim, Y.C. Antihepatotoxic Activity of Bergenin, the Major Constituent of Mallotus japonicus, on Carbon Tetrachloride-Intoxicated Hepatocytes. J. Ethnopharmacol. 2000, 69, 79–83. [Google Scholar] [CrossRef]







| Chemical Structure | Name of the Molecule | Reference(s) |
|---|---|---|
![]() | Bergenin | [10] |
![]() | Arbutin | [10] |
![]() | Gallic acid | [10] |
![]() | Protocatechuic acid | [10] |
![]() | Chlorogenic acid | [10] |
![]() | Syringic acid | [10] |
![]() | Catechin | [10] |
![]() | Ferulic acid | [10] |
![]() | (+)-afzelechin | [28,29] |
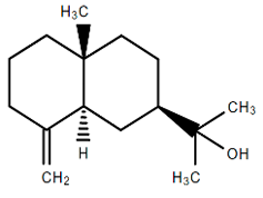
![]() | Paashaanolactone | [30] |
![]() | Caryophyllene | [31] |
![]() | 1,8-cineole | [31] |
![]() | β-eudesmol | [31] |
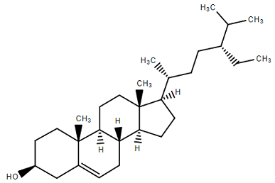
![]() | Stigmesterol | [14] |
![]() | β-sitosterol | [31] |
![]() | (+)-(6S)-parasorbic acid | [31] |
![]() | 3-methyl-2-buten-1-ol | [31] |
![]() | Phytol | [31] |
![]() | Terpinen-4-ol | [34] |
![]() | Tannic acid | [31] |
![]() | Isovalaric acid | [32] |
![]() | Avicularin | [7,33] |
![]() | Quercetin | [35] |
![]() | Reynoutrin | [31,37] |
![]() | Sitoinoside I | [38] |
| Plant Part/Chemical Constituent | Mode of Study | Experimental Model | Study Design | Dosage | Calculated Human Dose * [99] | Action | Reference(s) |
|---|---|---|---|---|---|---|---|
| Ethanolic extract of roots and rhizomes of B. ligulata | In vivo | Wistar rat | Yeast induced fever | 500 mg/kg | 81.08 mg/kg | Rectal temperatures were recorded at a time interval of 1, 2, 3, 4, and 5 h after administration and reduction in temperate was recorded | [17] |
| Aqueous-methanolic extract of B. ligulata rhizomes | In vivo | Rat | Ethylene glycol-induced urolithiasis | 5–10 mg/kg | 1.62 mg/kg | Inhibition of calcium oxalate (CaC2O4) crystal deposition in the renal tubules and simultaneous improvement of renal function | [15] |
| Bergenin | In vivo | Rat | Ethylene glycol-induced hyperoxaluria | 10 mg/kg | 1.62 mg/kg | Amelioration of damages to mitochondrial complexes as well as the alleviation of oxidative stress | [93] |
| Dichloromethane bioactive fraction of B. ligulata | In vivo | Rat | Ethylene glycol-induced renal calculi | 7 mg/kg | 1.13 mg/kg | Inhibition of kidney stone aggregation | [88] |
| Aqueous and 50% ethanolic extracts of B. ligulata | In vivo | Wistar rat | Orally administered | 1 g/kg | 0.16 gm/kg | Reduction in inflammatory response by lowering the SDH level | [6] |
| Ethanolic root extract of B. ligulata | In vivo | Wistar rats | Orally administered | 25–35 gm/kg | 5.67 gm/kg | Showed promising hepatoprotective effect by lowering the SGOT, SGPT and ALP levels | [95] |
| B. ligulata extract | In vivo | Dog | Orally administered | 50 mg/kg | 27.02 mg/kg | Promising hypotensive activity observed | [7,98] |
Publisher’s Note: MDPI stays neutral with regard to jurisdictional claims in published maps and institutional affiliations. |
© 2022 by the authors. Licensee MDPI, Basel, Switzerland. This article is an open access article distributed under the terms and conditions of the Creative Commons Attribution (CC BY) license (https://creativecommons.org/licenses/by/4.0/).
Share and Cite
Roychoudhury, S.; Das, D.; Das, S.; Jha, N.K.; Pal, M.; Kolesarova, A.; Kesari, K.K.; Kalita, J.C.; Slama, P. Clinical Potential of Himalayan Herb Bergenia ligulata: An Evidence-Based Study. Molecules 2022, 27, 7039. https://doi.org/10.3390/molecules27207039
Roychoudhury S, Das D, Das S, Jha NK, Pal M, Kolesarova A, Kesari KK, Kalita JC, Slama P. Clinical Potential of Himalayan Herb Bergenia ligulata: An Evidence-Based Study. Molecules. 2022; 27(20):7039. https://doi.org/10.3390/molecules27207039
Chicago/Turabian StyleRoychoudhury, Shubhadeep, Dipika Das, Sandipan Das, Niraj Kumar Jha, Mahadeb Pal, Adriana Kolesarova, Kavindra Kumar Kesari, Jogen C. Kalita, and Petr Slama. 2022. "Clinical Potential of Himalayan Herb Bergenia ligulata: An Evidence-Based Study" Molecules 27, no. 20: 7039. https://doi.org/10.3390/molecules27207039
APA StyleRoychoudhury, S., Das, D., Das, S., Jha, N. K., Pal, M., Kolesarova, A., Kesari, K. K., Kalita, J. C., & Slama, P. (2022). Clinical Potential of Himalayan Herb Bergenia ligulata: An Evidence-Based Study. Molecules, 27(20), 7039. https://doi.org/10.3390/molecules27207039


























