Antioxidant and Sensory Assessment of Innovative Coffee Blends of Reduced Caffeine Content
Abstract
:1. Introduction
2. Materials and Methods
2.1. Materials and Chemicals
2.1.1. Materials
2.1.2. Chemicals
2.2. Methods
2.2.1. Preparation of Coffee Samples
2.2.2. Determination of Dry Matter, Oil and Sucrose Content
2.2.3. Determination of Melanoidin Content
2.2.4. Extraction of Phenolic Compounds and Caffeine
2.2.5. Determination of Total Phenolic Content (TPC) and Antioxidant Capacity
2.2.6. Determination of Individual Phenolic Compounds and Caffeine
2.2.7. Preparation of Coffee Brews
2.2.8. Sensory Analysis
Formulation of Coffee Blends with Reduced Caffeine Content
2.2.9. Statistical Analysis
3. Results and Discussion
3.1. Chemical Composition of Green and Roasted Coffee Beans
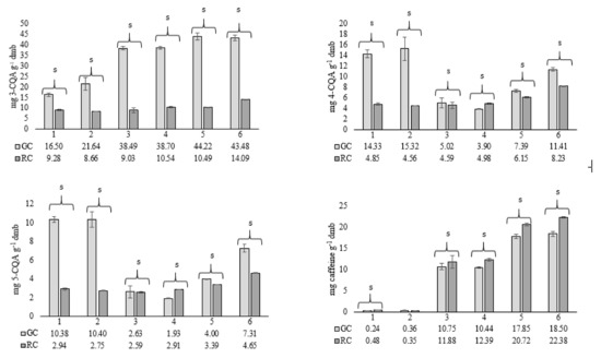
3.2. Bioactive Composition of Green and Roasted Coffee Beans
3.3. Bioactive Composition of Coffee Brews
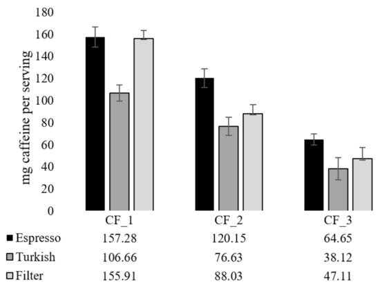
3.4. Sensory Analysis of Coffee Brews
3.5. Formulation, Bioactive and Sensory Evaluation of Coffee Blends with Reduced Caffeine Content
Supplementary Materials
Author Contributions
Funding
Institutional Review Board Statement
Informed Consent Statement
Data Availability Statement
Acknowledgments
Conflicts of Interest
Sample Availability
References
- Statista. Coffee Report 2020. Available online: https://www.statista.com/study/48823/coffee-report/ (accessed on 12 October 2021).
- Chindapan, N.; Soydok, S.; Devahasti, S. Roasting kinetics and chemical composition changes of Robusta coffee beans during hot air and superheated steam roasting. J. Food Sci. 2019, 84, 292–302. [Google Scholar] [CrossRef] [PubMed]
- Statista. World Arabica Coffee Production from 2005/06 to 2021/22. Available online: https://www.statista.com/statistics/225400/world-arabica-coffee-production/ (accessed on 19 October 2021).
- Statista. Robusta Coffee Production Worldwide from 2005/06 to 2021/22. Available online: https://www.statista.com/statistics/225402/world-robusta-coffee-production/ (accessed on 19 October 2021).
- International Coffee Organization. Total Production by All Exporting Countries. Available online: https://www.ico.org/historical/1990%20onwards/PDF/1a-total-production.pdf (accessed on 19 October 2021).
- Samoggia, A.; Riedel, B. Coffee consumption and purchasing behavior review: Insights for further research. Appetite 2018, 129, 70–81. [Google Scholar] [CrossRef] [PubMed]
- de Mejia, E.G.; Ramirez-Mares, M.V. Impact of caffeine and coffee on our health. Trends Endocrin. Met. 2014, 25, 489–492. [Google Scholar] [CrossRef] [PubMed]
- Temple, J.L.; Bernard, C.; Lipshultz, S.E.; Czachor, J.D.; Westphal, J.A.; Mestre, M.A. The safety of ingested caffeine: A comprehensive review. Front. Psychiatry 2017, 8, 80. [Google Scholar] [CrossRef] [Green Version]
- EFSA. Scientific Opinion on the Safety of Caffeine. Available online: https://efsa.onlinelibrary.wiley.com/doi/pdf/10.2903/j.efsa.2015.4102 (accessed on 12 October 2021).
- Cappelletti, S.; Daria, P.; Sani, G.; Mariarosaria, A. Caffeine: Cognitive and physical performance enhancer or psychoactive drug? Curr. Neuropharmacol. 2015, 13, 71–88. [Google Scholar] [CrossRef] [Green Version]
- Wikof, D.; Welsh, B.T.; Henderson, R.; Brorby, G.P.; Britt, J.; Myers, E.; Goldberger, J.; Lieberman, H.R.; O’Brien, C.; Peck, J.; et al. Systematic review of the potential adverse effects of caffeine consumption in healthy adults, pregnant women, adolescents, and children. Food Chem. Toxicol. 2017, 109, 585–648. [Google Scholar] [CrossRef]
- Vera, J.; Redondo, B.; Molina, R.; Bermúdez, J.; Jiménez, R. Effects of caffeine on intraocular pressure are subject to tolerance: A comparative study between low and high caffeine consumers. Psychopharmacology 2019, 236, 811–819. [Google Scholar] [CrossRef]
- Grand View Research. Decaffeinated Coffee Market Size, Share & Trends Analysis Report by Product (Roasted, Raw), by Bean Species (Arabica, Robusta), by Distribution Channel, by Region, and Segment Forecasts, 2020–2027. Available online: https://www.grandviewresearch.com/industry-analysis/decaf-coffee-market (accessed on 12 October 2021).
- Shlonsky, A.K.; Klarsky, A.L.; Armstrong, M.A. Traits of persons who drink decaffeinated coffee. Ann. Epidemiol. 2003, 13, 273–279. [Google Scholar] [CrossRef]
- Perfect Daily Grind. Millennials Turn to Decaf: What Does This Mean for Café Owners? Available online: https://perfectdailygrind.com/2017/05/millennials-turn-to-decaf-what-does-this-mean-for-cafe-owners/ (accessed on 9 December 2021).
- Hall, S.; Yuen, J.W.; Grant, G.D. Bioactive constituents in caffeinated and decaffeinated coffee and their effect on the risk of depression—A comparative constituent analysis study. Beverages 2018, 4, 79. [Google Scholar] [CrossRef] [Green Version]
- Pietsch, A. Decaffeination—Process and quality. In The Craft and Science of Coffee; Folmer, B., Ed.; Academic Press: Cambridge, MA, USA; Elsevier: London, UK, 2017; pp. 225–243. [Google Scholar]
- Kumar, V.; Ravishankar, G.A. Current trends in producing low levels of caffeine in coffee berry and processed coffee powder. Food Rev. Int. 2009, 25, 175–197. [Google Scholar] [CrossRef]
- Heitman, E.; Ingram, D.K. Cognitive and neuroprotective effects of chlorogenic acid. Nutr. Neurosci. 2017, 20, 32–39. [Google Scholar] [CrossRef]
- Grosso, G.; Godos, J.; Galvano, F.; Giovannucci, E.L. Coffee, caffeine, and health outcomes: An umbrella review. Annu Rev Nutr. 2017, 37, 131–156. [Google Scholar] [CrossRef] [Green Version]
- Farah, A. Nutritional and health effects of coffee. In Achieving Sustainable Cultivaiton of Coffee, 1st ed.; Lashermes, P., Ed.; Burleigh Dodds Science Publishing: Cambridge, UK, 2018; pp. 259–290. [Google Scholar]
- Diviš, P.; Pořízka, J.; Kříkala, J. The effect of coffee beans roasting on its chemical composition. Potr. S. J. F. Sci. 2019, 13, 344–350. [Google Scholar] [CrossRef] [Green Version]
- Farah, A.; Duarte, G. Bioavailability and metabolism of chlorogenic acids from coffee. In Coffee in Health and Disease Prevention; Preedy, V.R., Ed.; Elsevier: London, UK, 2015; pp. 789–801. [Google Scholar]
- Padmore, J.M. Animal feed-AOAC official method 930.15—Moisture in animal feed. In Official Methods of Analysis, 15th ed.; Helrich, K., Ed.; AOAC International: Arlington, VA, USA, 1990; Volume 1, pp. 69–70. [Google Scholar]
- Padmore, J.M. Animal feed-AOAC official method 920.39—Fat (crude) or ether extract in animal feed. In Official Methods of Analysis, 15th ed.; Helrich, K., Ed.; AOAC International: Arlington, VA, USA, 1990; Volume 1, p. 79. [Google Scholar]
- Iriondo-DeHond, A.; Elizondo, A.S.; Iriondo-DeHond, M.; Ríos, M.B.; Mufari, R.; Mendiola, J.A.; Ibañez, E.; del Castillo, M.D. Assessment of healthy and harmful Maillard reaction products in a novel coffee cascara beverage: Melanoidins and acrylamide. Foods 2020, 9, 620. [Google Scholar] [CrossRef]
- Sengar, G.; Sharma, H.K. Food caramels: A review. J. Food Sci. Technol. 2014, 51, 1686–1696. [Google Scholar] [CrossRef] [Green Version]
- Singleton, V.L.; Rossi, J.A. Colorimetry of total phenolics with phosphotungstic acid reagents. Am. J. Enol. Viticult. 1965, 16, 144–158. [Google Scholar]
- Brand-Williams, W.; Cuvelier, M.E.; Berset, C. Use of a free radical method to evaluate antioxidant activity. Lebensm.-Wiss. Technol. 1995, 28, 25–30. [Google Scholar] [CrossRef]
- Re, R.; Pellegrini, N.; Proteggente, A.; Pannala, A.; Yang, M.; Rice-Evans, C. Antioxidant activity applying an improved ABTS radical cation decolorisation assay. Free Radic. Biol. Med. 1999, 26, 1231–1237. [Google Scholar] [CrossRef]
- Rao, S. The Professional Barista’s Handbook: An Expert Guide to Preparing Espresso, Coffee, and Tea; Scott Rao: Huntington Beach, CA, USA, 2008. [Google Scholar]
- Nebesny, E.; Budryn, G. Evaluation of sensory attributes of coffee brews from robusta coffee roasted under different conditions. Eur. Food Res. Technol. 2006, 224, 159–165. [Google Scholar] [CrossRef]
- de Melo Pereira, G.V.; de Carvalho Neto, D.P.; Magalhães Júnior, A.I.; Vásquez, Z.S.; Medeiros, B.P.; Vandenberghe, L.P.S.; Socol, C.R. Exploring the impacts of postharvest processing on the aroma formation of coffee beans—A review. Food Chem. 2019, 272, 441–452. [Google Scholar] [CrossRef]
- Alkaltham, M.S.; Özcan, M.M.; Uslu, N.; Salamatullah, A.M.; Hayat, K. Effect of microwave and oven roasting methods on total phenols, antioxidant activity, phenolic compounds, and fatty acid composition of coffee beans. J. Food Process. Preserv. 2020, 44, e14874. [Google Scholar] [CrossRef]
- Wagemaker, T.A.L.; Carvalho, C.R.L.; Maia, N.B.; Baggio, S.R.; Filho, O.G. Sun protection factor, content and composition of lipid fraction of green coffee beans. Ind. Crops Prod. 2011, 33, 469–473. [Google Scholar] [CrossRef] [Green Version]
- Kobelnilk, M.; Fontanari, G.G.; Cassimiro, D.L.; Ribeiro, C.A.; Crespi, M.S. Thermal behavior of coffee oil (Robusta and Arabica species). J. Therm. Anal. Calorim. 2014, 115, 2045–2052. [Google Scholar] [CrossRef]
- Budryn, G.; Nebesny, E.; Żyżelewicz, D.; Oracz, J.; Miśkiewicz, K.; Rosicka-Kaczmarek, J. Influence of roasting conditions on fatty acids and oxidative changes of Robusta coffee oil. Eur. J. Lipid Sci. Tech. 2012, 114, 1052–1061. [Google Scholar] [CrossRef]
- Oliviera, L.S.; Franca, A.S.; Mendonça, J.C.F.; Barros-Júnior, M.C. Proximate compositon and fatty acids profile of green and roasted defective coffee beans. LWT 2006, 39, 235–239. [Google Scholar] [CrossRef]
- Knopp, S.; Bytof, G.; Selmar, D. Influence of processing on the content of sugars in green Arabica coffee beans. Eur. Food. Res. Technol. 2006, 223, 195–201. [Google Scholar] [CrossRef]
- de Souza Gois Barbosa, M.; Scholz, M.B.S.; Kitzberger, C.S.G.; Benassi, M.T. Correlation between the composition of green Arabica coffee beans and the sensory quality of coffee brews. Food Chem. 2019, 292, 275–280. [Google Scholar] [CrossRef] [PubMed]
- Caporaso, N.; Whitworth, M.B.; Grebby, S.; Fisk, I.D. Non-destructive analysis of sucrose, caffeine and trigonelline on single green coffee beans by hyperspectral imaging. Food Res. Int. 2018, 106, 193–203. [Google Scholar] [CrossRef] [PubMed]
- Mazzafera, P. Chemical composition of defective coffee beans. Food Chem. 1999, 64, 547–554. [Google Scholar] [CrossRef]
- Liang, N.; Chen, X.M.; Kitts, D.D. Sugar loss attributed to non-enzymatic browning corresponds to reduce calories recovered in low-molecular-weight fraction. J. Nutr. Food Sci. 2018, 8, 100074. [Google Scholar] [CrossRef]
- Kocadaǧh, T.; Göncüoǧlu, N.; Hamzahoǧlu, A.; Gökmen, V. In depth study of acrylamide formation in coffee during roasting: Role of sucrose decomposition and lipid oxidation. Food Funct. 2012, 3, 970–975. [Google Scholar] [CrossRef]
- Borrelli, R.C.; Visconti, A.; Mennella, C.; Anese, M.; Fogliano, V. Chemical characterization and antioxidant properties of coffee melanoidins. J. Agric. Food Chem. 2002, 50, 6527−6533. [Google Scholar] [CrossRef]
- Wang, Z.; Zhang, Z.; Li, S.; Zhang, X.; Xia, M.; Xia, T.; Wang, M. Formation mechanism and characterisation of the typical polymers in melanoidins from vinegar, coffee and model experiments. Food Chem. 2021, 355, 129444. [Google Scholar] [CrossRef]
- Gniechwitz, D.; Reichardt, N.; Ralph, J.; Blaut, M.; Steinhart, H.; Bunzel, M. Isolation and characterization of a coffee melanoidin fraction. J. Sci. Food Agric. 2008, 88, 2153–2160. [Google Scholar] [CrossRef]
- Song, J.L.; Asare, T.S.; Kang, M.Y.; Lee, S.C. Changes in bioactive compounds and antioxidant capacity of coffee under different roasting conditions. Korean J. Plant Res. 2018, 31, 704–713. [Google Scholar]
- Sacchetti, G.; Di Mattia, C.; Pittia, P.; Mastrocola, D. Effect of roasting degree, equivalent thermal effect and coffee type on the radical scavenging activity of coffee brews and their phenolic fraction. J. Food. Eng. 2009, 90, 74–80. [Google Scholar] [CrossRef]
- Tripetch, P.; Borompichaichartkul, C. Effect of packaging materials and storage time on changes of colour, phenolic content, chlorogenic acid and antioxidant activity in arabica green coffee beans (Coffea arabica L. cv. Catimor). J. Stored Prod. Res. 2019, 84, 1015110. [Google Scholar] [CrossRef]
- Del Castillo, M.D.; Ames, J.M.; Gordon, M.H. Effect of roasting on the antioxidant activity of coffee brews. J. Agric. Food Chem. 2002, 50, 3698–3703. [Google Scholar] [CrossRef]
- Bobková, A.; Hudáček, M.; Jakabová, S.; Belej, Ľ.; Capcarová, M.; Čurlej, J.; Bobko, M.; Árvay, J.; Jakab, I.; Čapla, J.; et al. The effect of roasting on the total polyphenols and antioxidant activity of coffee. J. Environ. Sci. Health B 2020, 55, 495–500. [Google Scholar] [CrossRef]
- Delgado-Andrade, C.; Rufián-Henares, J.A.; Morales, F.J. Assessing the antioxidant activity of melanoidins from coffee brews by different antioxidant methods. J. Agric. Food Chem. 2005, 53, 7832–7836. [Google Scholar] [CrossRef] [Green Version]
- Dawidowicz, A.L.; Typek, R. Transformation of chlorogenic acids during the coffee beans roasting process. Eur. Food Res. Technol. 2017, 243, 379–390. [Google Scholar] [CrossRef]
- Vignoli, J.A.; Viegas, M.C.; Bassoli, D.G.; Benassi, M.T. Roasting process affects differently the bioactive compounds and the antioxidant acitivity of arabica and robusta coffees. Food. Res. Int. 2014, 61, 279–285. [Google Scholar] [CrossRef] [Green Version]
- Tfouni, S.A.V.; Serrate, C.S.; Carreiro, L.B.; Camargo, M.C.R.; Teles, C.R.A.; Cipolli, K.M.V.A.B.; Furlani, R.P.Z. Effect of roasting on chlorogenic acids, caffeine and polycyclic aromatic hydrocarbons levels in two Coffea cultivars: Coffea arabica cv. Catuaí Amarelo IAC-62 and Coffea canephora cv. Apoatã IAC-2258. Int. J. Food Sci. Tech. 2012, 47, 406–415. [Google Scholar] [CrossRef]
- Buffo, R.A.; Cardelli-Freire, C. Coffee flavour: An overview. Flavour. Frag. J. 2004, 19, 99–104. [Google Scholar] [CrossRef]
- Blank, I.; Grosch, W. On the role of (−)-2-methylisoborneol for the aroma of Robusta coffee. J. Agric. Food Chem. 2002, 50, 4653–4656. [Google Scholar] [CrossRef]
- Bhumiratana, N.; Wolf, M.; Chambers, E., IV; Adhikari, K. Coffee drinking and emotions: Are there key sensory drivers for emotions. Beverages 2019, 5, 27. [Google Scholar] [CrossRef] [Green Version]





| Sample | Species | Country of Production | Coffee Region |
|---|---|---|---|
| GC_1 | Arabica d1 | Mexico | Chiapas |
| GC_2 | Arabica d2 | Colombia | Huila |
| GC_3 | Arabica | Brazil | Minas Gerais |
| GC_4 | Arabica | Costa Rica | Tarrazu Region |
| GC_5 | Robusta | Guatemala | Volcanic San Marcos |
| GC_6 | Robusta | Brazil | Minas Gerais |
| Sample | Ti (F) | Tf (F) | Time (min) |
|---|---|---|---|
| RC_1 | 355 | 410 | 10:50 |
| RC_2 | 355 | 410 | 11:40 |
| RC_3 | 375 | 410 | 14:15 |
| RC_4 | 430 | 405 | 11:45 |
| RC_5 | 360 | 420 | 10:30 |
| RC_6 | 340 | 410 | 12:40 |
| Sample | Dry Matter (% of the Sample) | Oil Content (% dmb *) | Sucrose Content (% dmb) | |||
|---|---|---|---|---|---|---|
| GC_1 | 91.09 ± 0.13 | ↑ 8.09% s | 15.16 ± 0.04 | ↓ 0.07% | 4.05 ± 0.10 | ↓ 98.27% s |
| RC_1 | 99.11 ± 0.01 | 15.15 ± 0.04 | 0.07 ± 0.02 | |||
| GC_2 | 90.67 ± 0.16 | ↑ 8.83% s | 15.73 ± 0.04 | ↑ 1.19% s | 5.85 ± 0.38 | ↓ 98.12% s |
| RC_2 | 99.45 ± 0.23 | 15.92 ± 0.12 | 0.11 ± 0.01 | |||
| GC_3 | 91.68 ± 0.08 | ↑ 7.74% s | 16.85 ± 0.00 | ↓ 2.91% s | 5.05 ± 0.45 | ↓ 91.09% s |
| RC_3 | 99.37 ± 0.39 | 16.36 ± 0.16 | 0.10 ± 0.00 | |||
| GC_4 | 89.54 ± 0.13 | ↑ 9.50% s | 15.35 ± 0.15 | ↓ 1.82% s | 5.19 ± 0.05 | ↓ 98.07% s |
| RC_4 | 98.94 ± 0.03 | 15.07 ± 0.13 | 0.10 ± 0.01 | |||
| GC_5 | 90.49 ± 0.09 | ↑ 8.27% s | 10.93 ± 0.20 | ↓ 1.28% s | 3.96 ± 0.22 | ↓ 97.98% s |
| RC_5 | 98.65 ± 0.31 | 10.79 ± 0.02 | 0.08 ± 0.02 | |||
| GC_6 | 90.43 ± 0.12 | ↑ 9.13% s | 10.43 ± 1.47 | ↓ 1.53% s | 2.50 ± 0.15 | ↓ 84.40% s |
| RC_6 | 99.52 ± 0.05 | 10.27 ± 0.02 | 0.39 ± 0.01 | |||
| Sample | Antioxidant Capacity | TPC (mg GAE g−1 dmb) | ||||
|---|---|---|---|---|---|---|
| ABTS (µmol TroloxE g−1 dmb *) | DPPH (µmol TroloxE g−1 dmb) | |||||
| GC_1 | 191.58 ± 17.92 | ↑ 26.92% s | 290.65 ± 6.11 | ↓ 7.04% s | 49.30 ± 0.93 | ↑ 2.67% s |
| RC_1 | 262.16 ± 8.02 | 270.20 ± 1.60 | 50.65 ± 1.65 | |||
| GC_2 | 183.21 ± 15.96 | ↑ 27.58% s | 258.03 ± 13.89 | ↑ 8.88% s | 46.21 ± 1.04 | ↑ 14.57% s |
| RC_2 | 252.97 ± 54.35 | 283.18 ± 1.16 | 54.09 ± 0.15 | |||
| GC_3 | 221.67 ± 22.36 | ↑ 5.05% s | 253.92 ± 8.33 | ↑ 10.57% s | 46.81 ± 0.22 | ↑ 6.53% s |
| RC_3 | 233.45 ± 24.29 | 283.93 ± 2.83 | 50.08 ± 0.33 | |||
| GC_4 | 205.28 ± 6.56 | ↑ 13.39% s | 343.21 ± 26.00 | ↓ 18.83% s | 48.79 ± 0.02 | ↑ 7.33% s |
| RC_4 | 237.02 ± 1.59 | 278.57 ± 10.70 | 52.65 ± 0.46 | |||
| GC_5 | 284.35 ± 13.33 | ↑ 22.16% s | 442.44 ± 54.21 | ↓ 16.13% s | 68.47 ± 2.69 | ↓ 3.39% s |
| RC_5 | 365.32 ± 12.23 | 371.08 ± 16.16 | 66.15 ± 0.06 | |||
| GC_6 | 389.16 ± 13.91 | ↓ 3.60% s | 412.92 ± 14.57 | ↓ 5.65% s | 68.67 ± 1.73 | ↑ 5.63% s |
| RC_6 | 375.52 ± 8.02 | 389.57 ± 20.73 | 72.77 ± 0.08 | |||
| Sample | Antioxidant Capacity (µmol TroloxE mL−1) | TPC (mg GAE mL−1) | ||
|---|---|---|---|---|
| DPPH | ABTS | |||
| RC_1 | Espresso | 95.85 ± 0.33 ab | 81.36 ± 1.04 ab | 16.48 ± 0.10 ab |
| Turkish | 26.72 ± 1.34 ac | 22.40 ± 0.30 ac | 3.87 ± 0.03 ac | |
| Filter | 11.94 ± 0.45 bc | 11.37 ± 0.59 bc | 1.88 ± 0.02 bc | |
| RC_2 | Espresso | 74.30 ± 0.17 ab | 66.36 ± 1.78 ab | 12.51 ± 0.09 ab |
| Turkish | 30.82 ± 0.67 ac | 18.98 ± 0.15 ac | 3.95 ± 0.03 ac | |
| Filter | 12.09 ± 0.15 bc | 9.19 ± 0.59 bc | 1.82 ± 0.08 bc | |
| RC_3 | Espresso | 82.09 ± 0.83 ab | 79.13 ± 0.30 ab | 13.29 ± 0.17 ab |
| Turkish | 29.33 ± 0.97 ac | 21.65 ± 0.45 ac | 3.92 ± 0.08 ac | |
| Filter | 15.82 ± 0.30 bc | 10.57 ± 0.20 bc | 1.93 ± 0.01 bc | |
| RC_4 | Espresso | 74.79 ± 1.16 ab | 66.15 ± 0.09 ab | 12.56 ± 0.18 ab |
| Turkish | 27.69 ± 0.07 ac | 18.24 ± 0.89 ac | 3.61 ± 0.11 ac | |
| Filter | 14.63 ± 0.15 bc | 15.52 ± 0.20 bc | 2.08 ± 0.00 bc | |
| RC_5 | Espresso | 82.59 ± 1.16 ab | 65.41 ± 0.24 ab | 13.31 ± 0.13 ab |
| Turkish | 34.25 ± 0.97 ac | 27.74 ± 0.30 ac | 5.05 ± 0.09 ac | |
| Filter | 16.79 ± 0.22 bc | 10.18 ± 0.59 bc | 2.44 ± 0.02 bc | |
| RC_6 | Espresso | 129.60 ± 1.24 ab | 111.59 ± 0.21 ab | 19.86 ± 0.34 ab |
| Turkish | 31.34 ± 1.04 ac | 25.81 ± 0.45 ac | 4.96 ± 0.08 ac | |
| Filter | 11.94 ± 0.45 bc | 15.13 ± 0.40 bc | 2.96 ± 0.10 bc | |
| Sample | 3-CQA | 4-CQA | 5-CQA | Caffeine | |
|---|---|---|---|---|---|
| mg mL−1 | |||||
| RC_1 | Espresso | 3.29 ± 0.01 ab | 1.87 ± 0.03 ab | 1.13 ± 0.04 ab | 0.16 ± 0.03 ab |
| Turkish | 0.72 ± 0.00 ac | 0.40 ± 0.01 ac | 0.25 ± 0.02 ac | 0.08 ± 0.00 ac | |
| Filter | 0.40 ± 0.02 bc | 0.22 ± 0.01 bc | 0.13 ± 0.02 bc | 0.03 ± 0.01 bc | |
| RC_2 | Espresso | 2.39 ± 0.07 ab | 1.32 ± 0.09 ab | 0.81 ± 0.08 ab | 0.29 ± 0.03 ab |
| Turkish | 0.78 ± 0.03 ac | 0.42 ± 0.02 ac | 0.27 ± 0.02 ac | 0.05 ± 0.00 a | |
| Filter | 0.35 ± 0.02 bc | 0.19 ± 0.05 bc | 0.12 ± 0.01 bc | 0.05 ± 0.00 b | |
| RC_3 | Espresso | 2.53 ± 0.06 ab | 1.34 ± 0.05 ab | 0.81 ± 0.09 ab | 3.91 ± 0.10 ab |
| Turkish | 0.72 ± 0.04 ac | 0.38 ± 0.02 ac | 0.24 ± 0.04 ac | 1.10 ± 0.02 ac | |
| Filter | 0.39 ± 0.01 bc | 0.20 ± 0.00 bc | 0.13 ± 0.01 bc | 0.64 ± 0.03 bc | |
| RC_4 | Espresso | 2.90 ± 0.04 ab | 1.47 ± 0.03 ab | 0.89 ± 0.05 ab | 3.63 ± 0.08 ab |
| Turkish | 0.78 ± 0.03 ac | 0.38 ± 0.07 ac | 0.24 ± 0.01 ac | 0.90 ± 0.07 ac | |
| Filter | 0.45 ± 0.03 bc | 0.22 ± 0.02 bc | 0.14 ± 0.01 bc | 0.53 ± 0.03 bc | |
| RC_5 | Espresso | 2.37 ± 0.06 ab | 1.48 ± 0.04 ab | 0.87 ± 0.02 ab | 4.94 ± 0.05 ab |
| Turkish | 0.87 ± 0.02 ac | 0.54 ± 0.01 ac | 0.31 ± 0.01 ac | 1.83 ± 0.07 ac | |
| Filter | 0.41 ± 0.02 bc | 0.24 ± 0.00 bc | 0.14 ± 0.01 bc | 0.86 ± 0.04 bc | |
| RC_6 | Espresso | 3.10 ± 0.05 ab | 2.09 ± 0.02 ab | 1.14 ± 0.01 ab | 8.65 ± 0.11 ab |
| Turkish | 0.61 ± 0.04 ac | 0.42 ± 0.01 ac | 0.24 ± 0.03 ac | 1.71 ± 0.04 ac | |
| Filter | 0.40 ± 0.01 bc | 0.26 ± 0.01 bc | 0.15 ± 0.01 bc | 1.17 ± 0.03 bc | |
| Sample | Descriptive Attributes |
|---|---|
| RC_1 | tobacco, dried fruits, earthy |
| RC_2 | ashy, cinnamon, yellow fruits, citrus |
| RC_3 | yellow fruits, dried fruits, herbal, woody |
| RC_4 | tobacco, yellow fruits, dried fruits, herbal, woody |
| RC_5 | tobacco, yellow fruits, dried fruits, herbal, woody, earthy |
| RC_6 | dried fruits, herbal, woody, earthy |
| Sample | Formulation | Antioxidant Capacity (µmol TroloxE g−1 dmb *) | TPC (mg GAE g−1 dmb) | 3-CQA | 4-CQA | 5-CQA | Caffeine | |
|---|---|---|---|---|---|---|---|---|
| ABTS | DPPH | (mg g−1 dmb) | ||||||
| CF_1 | 70% RC_6 30% RC_5 | 352.88 ± 10.79 ab | 406.27 ± 6.84 ab | 68.60 ± 1.04 ab | 11.87 ± 0.44 ab | 6.95 ± 0.24 ab | 3.55 ± 0.26 a | 20.44 ± 0.68 ab |
| CF_2 | 70% RC_4 30% RC_6 | 300.36 ± 8.09 ac | 317.18 ± 12.32 ac | 58.27 ± 0.61 ac | 10.69 ± 0.36 ac | 5.49 ± 0.20 ac | 3.22 ± 0.19 b | 15.44 ± 0.7 ac |
| CF_3 | 50% RC_6 50% RC_1 | 242.10 ± 7.92 bc | 276.08 ± 12.41 bc | 51.70 ± 0.71 bc | 8.82 ± 1.08 bc | 4.54 ± 0.61 bc | 2.25 ± 0.23 ab | 5.55 ± 0.7 bc |
| Sample | Descriptive Attributes |
|---|---|
| CF_1 | woody, earthy, dried fruits, yellow fruits, herbal, tobacco |
| CF_2 | yellow fruits, herbal, woody, earthy |
| CF_3 | dried fruits, herbal, woody, earthy, tobacco |
Publisher’s Note: MDPI stays neutral with regard to jurisdictional claims in published maps and institutional affiliations. |
© 2022 by the authors. Licensee MDPI, Basel, Switzerland. This article is an open access article distributed under the terms and conditions of the Creative Commons Attribution (CC BY) license (https://creativecommons.org/licenses/by/4.0/).
Share and Cite
Šeremet, D.; Fabečić, P.; Vojvodić Cebin, A.; Mandura Jarić, A.; Pudić, R.; Komes, D. Antioxidant and Sensory Assessment of Innovative Coffee Blends of Reduced Caffeine Content. Molecules 2022, 27, 448. https://doi.org/10.3390/molecules27020448
Šeremet D, Fabečić P, Vojvodić Cebin A, Mandura Jarić A, Pudić R, Komes D. Antioxidant and Sensory Assessment of Innovative Coffee Blends of Reduced Caffeine Content. Molecules. 2022; 27(2):448. https://doi.org/10.3390/molecules27020448
Chicago/Turabian StyleŠeremet, Danijela, Patricia Fabečić, Aleksandra Vojvodić Cebin, Ana Mandura Jarić, Robert Pudić, and Draženka Komes. 2022. "Antioxidant and Sensory Assessment of Innovative Coffee Blends of Reduced Caffeine Content" Molecules 27, no. 2: 448. https://doi.org/10.3390/molecules27020448
APA StyleŠeremet, D., Fabečić, P., Vojvodić Cebin, A., Mandura Jarić, A., Pudić, R., & Komes, D. (2022). Antioxidant and Sensory Assessment of Innovative Coffee Blends of Reduced Caffeine Content. Molecules, 27(2), 448. https://doi.org/10.3390/molecules27020448

