Next Article in Journal
Development of Novel Pyridine-Thiazole Hybrid Molecules as Potential Anticancer Agents
Next Article in Special Issue
Synthesis of 2-Aminopyrimidine Derivatives and Their Evaluation as β-Glucuronidase Inhibitors: In Vitro and In Silico Studies
Previous Article in Journal
Synthesis of Novel Lipophilic Polyamines via Ugi Reaction and Evaluation of Their Anticancer Activity
Previous Article in Special Issue
Development of 1-(4-(Substituted)piperazin-1-yl)-2-((2-((4-methoxybenzyl)thio)pyrimidin-4-yl)oxy)ethanones That Target Poly (ADP-Ribose) Polymerase in Human Breast Cancer Cells
 
 
Font Type:
Arial Georgia Verdana
Font Size:
Aa Aa Aa
Line Spacing:
Column Width:
Background:
Article

Synthesis and Structure–Activity Relationship Studies of Pyrido [1,2-e]Purine-2,4(1H,3H)-Dione Derivatives Targeting Flavin-Dependent Thymidylate Synthase in Mycobacterium tuberculosis

1
Institute of Organic and Analytical Chemistry, CNRS UMR 7311, Université d’Orléans, Rue de Chartres, CEDEX 2, 45067 Orleans, France
2
Laboratory of Optics and Biosciences, INSERM U 696-CNRS UMR 7645, Ecole Polytechnique, Route de Saclay, CEDEX, 91128 Palaiseau, France
3
Faculté des Sciences et Ingénierie, Sorbonne Université, 75005 Paris, France
*
Authors to whom correspondence should be addressed.
Molecules 2022, 27(19), 6216; https://doi.org/10.3390/molecules27196216
Submission received: 6 September 2022 / Revised: 13 September 2022 / Accepted: 20 September 2022 / Published: 21 September 2022
(This article belongs to the Special Issue Bioactive Heterocyclic Compounds in Drug Design)

Abstract

In 2002, a new class of thymidylate synthase (TS) involved in the de novo synthesis of dTMP named Flavin-Dependent Thymidylate Synthase (FDTS) encoded by the thyX gene was discovered; FDTS is present only in 30% of prokaryote pathogens and not in human pathogens, which makes it an attractive target for the development of new antibacterial agents, especially against multi-resistant pathogens. We report herein the synthesis and structure-activity relationship of a novel series of hitherto unknown pyrido[1,2-e]purine-2,4(1H,3H)-dione analogues. Several synthetics efforts were done to optimize regioselective N1-alkylation through organopalladium cross-coupling. Modelling of potential hits were performed to generate a model of interaction into the active pocket of FDTS to understand and guide further synthetic modification. All those compounds were evaluated on an in-house in vitro NADPH oxidase assays screening as well as against Mycobacterium tuberculosis ThyX. The highest inhibition was obtained for compound 23a with 84.3% at 200 µM without significant cytotoxicity (CC50 > 100 μM) on PBM cells.

1. Introduction

The excessive use of antibiotics in humans and animals has led to the appearance of multi-resistant bacteria (BMRs) and as a consequence to an increased mortality [1,2]. In 2014, the World Health Organization warned of a risk of antibiotic shortages by 2050 if nothing was done. Today, E. coli, K. pneumoniae and S. aureus are resistant to more than 50% of the main antibacterial drugs. From a simple natural genetic evolution, the situation has become a global public health problem, promoting the discovery of new therapeutic targets in order to develop new antibacterial substances. In most eubacteria, plants and eukaryotic cells, thymidylate synthases (TS or ThyA) [3] provide the only de novo source of 2′-deoxythymidine-5′-monophosphate (dTMP) required for DNA synthesis. The activity of these enzymes is pivotal for bacterial DNA replication and repair. Reductive methylation of 2′-deoxyuridine-5′-monophosphate (dUMP) to 2′-deoxythymidine-5′-monophosphate (dTMP) was catalyzed by three coupling enzymes of folate metabolism [4]. TS catalyzes methylation by using (6R)-N5,N10-methylene-5,6,7,8-tetrahydrofolate (CH2THF) as a methylene and hydride donor, which results in the formation of dTMP and 7,8-dihydrofolate (DHF). Dihydrofolate reductase (DHFR) catalyzes reduction of DHF to THF and the serinehydroxymethyl transferase (SHMT) catalyzes the serine-glycine conversion which is concomitant to the conversion of THF to CH2THF as cofactors. TS inhibitors were used as cytotoxic agents, but the lack of selective TS bacterial inhibitors over human has hampered their application. More recently, a new class of TS was discovered [5]. This enzyme is encoded by the ThyX gene (formerly Thy1) and is absent in the vast majority of eukaryotic cells and only present in approximately 30% of gram-positive or negative pathogenic prokaryotes [6]. It is a flavin-dependent thymidylate synthase (FDTS), which has a unique mechanism, structure and gene sequence, making it an attractive new therapeutic target for the development of new selective bioactive compounds. FDTS uses a FAD as methylene career intermediate but also as hydride donor through the reduced form FADH2 obtained from NADPH oxidase activity. Unlike human TS, FDTS produces tetrahydrofolate (H4folate) indeed of dihydrofolate (H2folate) [7]. Thus, FDTS can catalyze multiple biotransformation reactions in comparison to the classical TS. So far, few ThyX inhibitors have been reported like the 5-fluoro-2′-deoxyuridine-5′-monophosphate (5-FdUMP) and Raltitrexed®, but their poor selectivity between ThyA and ThyX has hampered their development as new drugs [8,9]. The thiazolidine analog 1 (Figure 1), reported by Myllykalio et al. [10], exhibited an IC50 of 0.057 μM against ThyX. The same group reported a second series of FDTS inhibitors discovered from high-throughput screening (HTS) of natural and synthetic compounds [11]. After synthetic modifications and biological evaluation, the benzoquinone analogue 2 was reported to have an inhibitory Ki value of 28 nM against ThyX. Those molecules did not show any mitochondrial toxicity. However, the major matter of discussion is linked to the quinone properties in medicinal chemistry that allow strong redox stress and Michaël acceptor which could conduct to cellular damage and cell protein alkylation, [12]. C5-modifed dUMP analogs were described by Herdewijn et al. [13]; among them, compound 3 exhibited an IC50 value of 0.91 μM. More recently, new series of inhibitors bearing benzo[b][1,4]oxazin-3(4H)-one scaffold was reported by high-throughput screening of commercially available compounds. Structure activity was performed and led to compound B1-PP146 (4) with an IC50 value of 0.69 μM against ThyX [14].
FDTS is thus an attractive antibacterial target to the development of new and specific drugs to overcome bacterial resistance. By screening of our in house-synthesized compound libraries, two new pyridopurines analogs 5 and 6 were found to exhibit 23.1% and 33.2% ThyX inhibitory effect at 200 µM, respectively. Based on those results, we decided to use pyrido [1,2-e]purine-2,4(1H,3H)-dione as scaffold to new and more active compounds through diversity-oriented synthesis. The current study aimed at identifying substituents at N1 and/or N3 positions, which could increase ThyX inhibitory activity. In this manuscript, the FDTS enzyme from M. tuberculosis (MtbThyX) was chosen for biological and docking assays due the emergence of multidrug-resistant strains of Mycobacterium tuberculosis (MDR-TB) [15].

2. Results and Discussions

2.1. In Vitro Mycobacterial Thyx Inhibition Assay for Structure–Activity Relationship Studies

To investigate Structure-Activity Relationship (SAR) in a systematic way, we used a NADPH oxidase spectrophotometric assay, adapted from Basta et al. [16], to test the in vitro inhibitory activities of synthesized compounds on Mtb ThyX, and discuss the influence of substituents. The most active of our compounds was used as reference scaffold for future optimization. Assay reactions, with a final volume of 100 µl, consisted of 750 µM NADPH, 100 µM dUMP, 2 mM MgCl2, 1% glycerol, 50 µM FAD and 10 µM of ThyX. The reactions were initiated by injection of NADPH (15 µL of a 5 mM solution) to each well of the microtiter 96-well clear flat-bottom plate, followed by rapid shaking of the microplate. ThyX activity was determined by following the decrease of absorbance at λ340 (due to oxidation of NADPH). All assays used a kinetic mode of a multilabel microplate reader with an injector. The primary screen was performed with molecules dissolved in DMSO, including DMSO alone as low-activity control. B1-PP146 (4), with a 1,4-benzoxazine moiety and described as tight-binding inhibitors, was used as reference compound [17]. All screening reactions were performed in duplicates at 200 µM concentration.

2.2. Modification at the N3 Position of Purine Scaffold and SAR Studies

Firstly, N3-position of pyrido [1,2-e]purine-2,4(1H,3H)-dione scaffold were modified by various N-substitutions (arylations, benzylation, etc.). Three different methods were reported to synthesize pyrido [1,2-e]purine-2,4(1H,3H)-dione libraries. Through C–H annulation from anilopyrimidine [18], by a Ugi–Strecker and isocyanate cyclisation [19,20] or by copper catalyzed cyclisation [21]. In order to access to substituted tricyclic structure with N3-aryl or benzyl diversities, we choose the successive double cyclisation starting from aminopyridine derivatives (Scheme 1). Commercially available 2-aminopyridine 7 and ethyl glyoxylate afforded in moderate yield, the intermediate 8 through Ugi–Strecker reaction in presence of trimethylsilyl cyanide and DABCO under microwave irradiation (MW) at 120 °C during 15 min. Treatment of 8 in presence of EtONa and isocyanates, such as phenyliso- benzyliso- or thioisocyanate derivatives under microwave irradiation afforded the corresponding tricyclic scaffolds (9a–j), (10a–d), 11 and 12.
The synthesized compounds, pyrido [1,2-e]purine-2,4(1H,3H)-dione 9aj and thio derivative 11 substituted at N3-position by phenyl, were evaluated for their abilities to inhibit the ThyX enzyme (Table 1)
To probe into the optimal scaffold of central heterocycle, the phenyl para substitution was studied. With small electron-withdrawing groups, such as fluorine (9a), chlorine (9b) and bromine (9c), a 49–59% inhibition was obtained with the best value for the fluorine derivative. By increasing hydrophobic and electron-withdrawing effects (9e), less inhibitory activity was observed (31.7%). Substitution at para position with electro-donating group (–OCH3) 9f decreases the activity to 8.1% whereas the methyl group (9d) led to 55% inhibition. On the other hand, fluorine analogs of 9a, by substitution at meta position (9g) or a second fluorine substitution at ortho/para (9h) or meta/para (9i) positions, results in loss of ThyX inhibition. Polysubstitution with electron-donating group such as methyl groups (9j) also display low enzyme inhibition. We investigate the substitution of oxygen by sulfur atom at 2 position, and we observe that compound 11 decreases drastically the inhibitory effect from 59.4% to 19.8% to compare with 9a. We also looked at the influence of flexibility induced by benzylic substitution (Table 2). Both benzyl analogs 10a–d and 12 showed a significant loss of activity (<25%) in comparison with the aryl derivatives 9.
Overall, this SAR study reveals that flexibility, sulfur substitution, polysubstitution or large groups decrease inhibitory activities. On phenylic substitution, small electron-withdrawing or electron-donating have shown reasonable inhibition (>50%). To determine central scaffold hit, other assays were performed by decreasing [FAD] inhibitors concentration, through tritium release assay (Table 3). Without FAD adding, only 1.1–1.5 of 4 active sites were occupied by this natural cofactor. Without excess of FAD, we can detect a competition effect between FAD and potential inhibitors. By decreasing inhibitors concentration to 50 μM, we can study the true potential of our molecules. The tritium release assay permitted us to study inhibition on the second mechanism part (methylene transfer).
Compound 9a showed better activity, by increasing inhibition to 76.1% at 200 μM in absence of FAD, which was not the case for compounds 9b and 9d, for which the inhibition effect had decreased. With a 50 µM inhibitor concentration, only compound 9a provided an equal inhibitory activity to the reference compounds 5 and 6, and no inhibition was observed for 9b and 9d. Through a tritium release assay, compounds 9b and 9d exhibited increased inhibitory activities on ThyX with 77.1% and 69.2% at 200 µM, respectively, which suggested that these molecules would be more active in the methylene transfer mechanism. On the other hand, compound 9a showed similar inhibition on Mtb ThyX (59.5% at 200 μM, Table 3) to the NADPH oxidase assay (59.5% at 200 µM, Table 1). Because most of the active compounds on the first part of the mechanism were also active on the second part (tritium release assay), NADPH oxidase assay was taken as a reference test to determine inhibitory activities and compound 9a as the scaffold to perform other modifications in search of better activity.

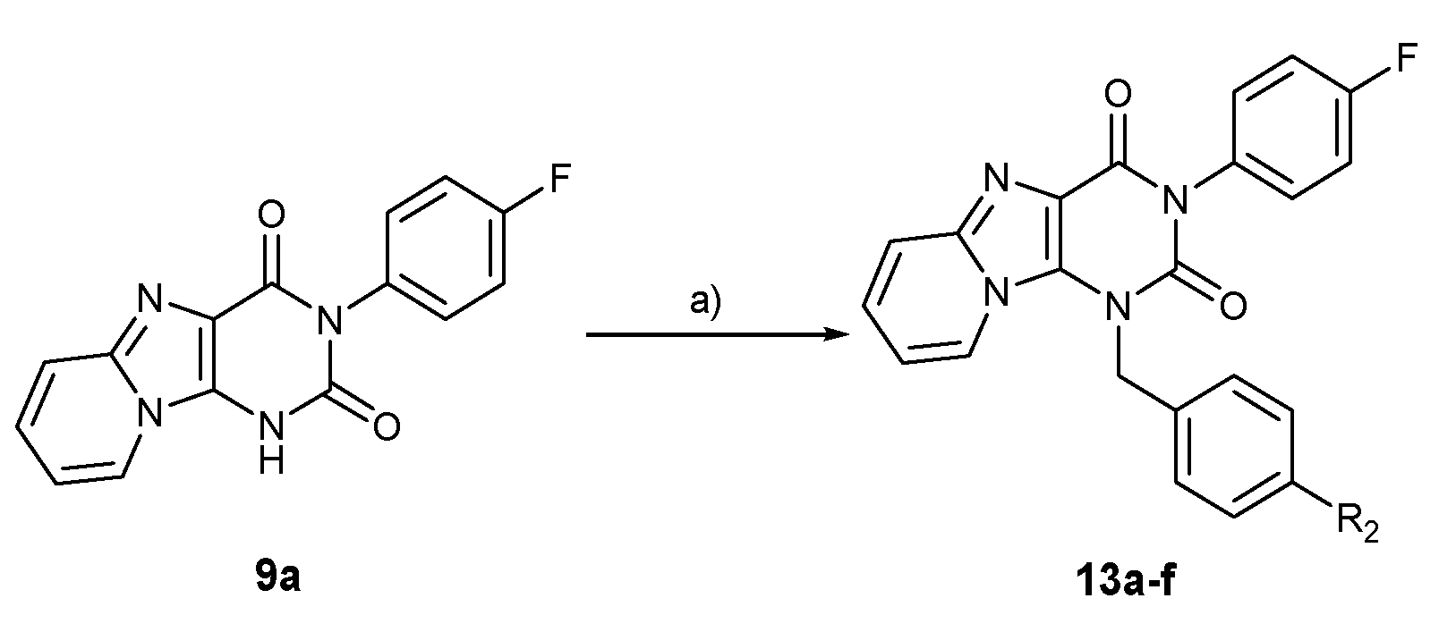
2.3. Modification at the N1 Position of Compound 9 Taken as Scaffold and SAR Studies

Starting from 9a as scaffold, a library of molecules with structural modifications through N1-alkylation with various benzyl groups was obtained (13a–f) (Scheme 2). In the first attempt, in the presence of K2CO3, in DMF at room temperature during 12 h a competition between N1- and O2-alkylation was observed (by HMBC-NMR), which decreased the yield and deteriorated the purification. In this case, we investigated the solvent effects (DMF, THF), base influence (K2CO3, Cs2CO3, LiH, NaH, etc.,) and activation mode (microwave, sonication) to enhance the N1-regioisomers. We observed that only the N1-alkylated regioisomer was obtained under microwave activation at 120 °C during 20 min with potassium carbonate and molecular sieves in presence of various bromobenzyl analogs (Scheme 2).
The obtained benzylic derivatives 13a–f were then evaluated against FDTS (Table 4).
We observed that the presence of benzyl group (13a), and substituted derivatives at the para position by methyl (13b) or electron-withdrawing group (13c–f) result in lack of inhibition activity compared to the reference 9a (59.4%). From this study, further modifications at C7 and C8 moiety of compound 9a with free N1-position were thus performed.

2.4. Modification at the C7 and C8 position of Compound 9a and SAR Studies

After modulation on the pyrimidine-2,4-dione ring, we investigated the influence of various substituents on the aromatic ring at C7 and C8 positions. We first synthesized under microwave activation two series of substituted molecules by methyl group (18a,b) or bromine (19a,b) (Scheme 3). Halogen derivatives 19a,b were used as starting material to develop a library of 24 molecules through palladium cross-coupling reactions (Scheme 4).

2.4.1. Modifications by Sonogashira Cross-Coupling Reaction

Several substituents were introduced at C7 and C8 positions of 19a,b under different palladium cross-coupling reactions. Sonogashira conditions [22] were investigated under different activation modes (thermic [23], ultrasonication [24], and microwaves [25]). Under microwave irradiations in DMF with triethylamine, in presence of CuI and Pd(PPh3)4, the aromatic analogues 20 and 21a,b and aliphatic alkynes 20 and 21c–g derivatives were obtained in moderate to good yield (40 to 92%) (Scheme 4).
All those compounds were then evaluated (Table 5).
The different substituents on C7 and C8 position were chosen for their abilities to generate flexibility, to create a hydrogen bond, hydrophobic interactions and π-stacking interactions with the active site of the enzyme. Modifications at the C7-position led to derivatives with aromatic alkynes, which induce flexibility, the presence of aliphatic chain at para position (compounds 20a and 20b respectively) or aliphatic chain with 5, 6 and 7 (compounds 20c, 20d and 20e respectively) which have shown no to low inhibition still below that of the 9a activity. Compounds 20f and 20g, substituted by side-chain presenting hydrogen-bound site with amide and urea moiety (respectively) and hydrophobic chain, did not show more efficiency against ThyX. The same substituents were introduced at C8-position of 9a. Even if most of the molecules do not present an inhibitory activity higher than 33%, this position is however more favorable than that in C7. In fact, we observe for the aromatic group derivatives 21a and 21b, higher inhibitions than the position C7, and especially for 21b inhibitory activity was higher (69.1% at 200 μM) than 9a (59.4%). Overall, this SAR study reveals that the aromatic ring at C8-position increases inhibitory activities as well as maybe some flexibility. π-stacking interactions seem to be predominant in order to increase the activity, which is why we have synthesized a new series of molecules bearing aromatic groups by the Suzuki-Miyaura cross-coupling reaction. Expected molecules were planar and could be intercalated between the different co-factors into the enzyme pocket.

2.4.2. Modifications by the Suzuki-Miyaura Cross-Coupling Reaction

Modifications under the Suzuki-Miyaura cross-coupling conditions [26] were also performed under microwave irradiations [27,28] in presence of Cs2CO3, Pd(PPh3)4, and various boronic acid derivatives in DMF at 120 °C for 40 min. A library of 9a analogs substituted by aromatic derivatives was isolated (22, 23a–e) in 11 to 50% yield (Scheme 5).
All those compounds were then evaluated (Table 6).
The aromatic substitution at C7-position-bearing with hydrogen or methyl (compound 22a and 22b respectively) showed low (22a: 20.7%) to moderate (22b: 45.7%) inhibition. With electron-withdrawing phenylic substitution such as methoxy, trifluoromethyl ether or fluorine (22c, 22d and 22e respectively) inhibitory activities do not exceed 28%. At C8 position, the same substitutions were realized with electron-donating substituents at phenylic para position (compounds 23a and 23b). With 23b equal inhibition was observed as the C7 position. For 23a a promising inhibition was observed with 84.3% at 200 µM. For electron-withdrawing substituents at phenylic para position, higher inhibitory activities were shown with methoxy (35.4%) and fluorine (43.1%) group (compound 23c and 23e respectively). In the case of trifluoromethyl ether 23d, equal inhibition was observed. Overall, this SAR study revealed that small electron-withdrawing and donating groups showed only less to reasonable inhibitions. One of those compounds with phenyl substitution on the C8 showed the best inhibition of this study at 200 µM. Planar structure and π-stacking interactions looked to be the best characteristic to develop potential Mycobacterium tuberculosis ThyX inhibitors.

2.5. Mycobacterial ThyX Docking Studies

dUMP was docked into the binding site of ThyX from the Mycobacterium tuberculosis complex (Figure 2) with FAD, dUMP (PDB: 3GWC) as the starting structure to perform an initial molecular study. dUMP binds in the FDTS pocket by π-stacking with FAD, but also by several hydrogen bonds [29]. On the pyrimidine-2,4-dione ring with four hydrogen bonds: two between C2=O and Arg199; one between N3 and Arg199; and finally one between C4=O and Arg107. On the 2′-deoxyribosyl part, only two hydrogen bonds were created between 3′-OH, Arg95 and Gln103. The last hydrogen bonds were localized on the phosphate moiety of dUMP. This part of the natural subtract acted like an anchor into active site; six hydrogen bonds were reported between oxygens of phosphonic group and Arg87 (2 bonds), Gln106 (1 bond), Arg172 (2 bonds) and Arg107 (1 bond).
Following this molecular modeling, compounds 9a (Figure 3) and 23a (Figure 4) with the highest inhibitions and results at NADPH oxidase assay and tritium release assay, were docked into the FAD and dUMP pocket with 13 amino acid residues. Compound 9a (Figure 3) was the first docked into Mycobacterium tuberculosis pocket. It showed reasonable inhibition at 200 µM (59.4%), a reduced activity at 50 µM (18.4%). By diminution of [FAD] it showed higher inhibition (76.1%) that suggested possible competition with the natural co-factor. Compound 9a took place closure than the FAD, its fluorophenyl group near the central ring of FAD, which let assumed π-stacking interactions. On the other hand, 2D representation into the pocket showed several hydrogen bond interactions with amino acid residues. Compound 9a created five interactions with amino acid responsible of hydrogen bond formation with dUMP. The pyrimidine ring created three interactions with Leu104 and Gln103 on its N1 position. One bond was created with the C4=O and Arg172. The last two hydrogen bonds were placed on the N5 with Arg172 and on F with Arg199. The loss of inhibition could be explained by the large size of the S atom of compound 11, which then changes the positioning of the substrate in the active site of the protein. Delocalization 9g and polysubstitution 9h, 9i and 9j changed the capacity to create the hydrogen bond, but also the ring aromaticity. When fluorine was substituted by trifluorimethyl ether 9e, the capacity to create bond hydrogen was replaced by a hydrophobic interaction, leading to a loss of inhibitory activity. With a smaller group like methyl 9d, inhibition stays equal to compound 9a. Hydrophobic interaction with a small group was equal to hydrogen bond interaction in this case. With methoxy substitution 9f, the loss of inhibition could result from the change of bond angle. Insertion of carbon between the pyrimidinedione ring and phenyl 10a–d, 12 increase flexibility of the structure and broke the planar scaffold. The loss of inhibition observed on N1-alkylated compound 13a–h could be explained by the loss of the two hydrogen interactions from this position. Compound 23a (Figure 4) was docked into Mycobacterium tuberculosis ThyX pocket. This compound presented the highest inhibition at 200 µM.
Compared to 9a, compound 23a looked to be less stabilized into the pocket because of three hydrogen bonds interactions’ loss. It still conserved two major hydrogen bond interactions with Arg95 (hydrogen bond interaction with 3′OH of dUMP) with C4=O and Arg172 (hydrogen bond with phosphonic acid part of dUMP) with C2=O. By looking at 3D modeling, we observed three new interactions which could explain biological results. Two π-stacking interactions from the phenyl with Tyr108 and His203. Another π-stacking could be observed on the p-fluorophenyl part with His91. The loss of inhibition by decreasing FAD concentration could be explained by the possible π-stacking interaction between isoalloxazine and central ring of pyrido [1,2-e]purine-2,4(1H,3H)-dione. However, one of the biggest difficulties with molecular docking of weak inhibition was the position into the pocket. Some of them were reproducible but a small modification could change everything; the large flexible pocket of FDTS was responsible for this issue.

3. Materials and Methods

3.1. Chemistry General Section

Commercially available chemicals were provided as reagent grade and used as received. Some reactions requiring anhydrous conditions were carried out using oven-dried glassware and under an atmosphere of dry Argon. All anhydrous solvents were provided from commercial sources as very dry reagents. The reactions were monitored by thin layer chromatography (TLC) analysis using silica gel precoated plates (Kieselgel 60F254, E. Merck). Compounds were visualized by UV irradiation and/or spraying with sulfuric acid (H2SO4 5% in ethanol) stain followed by charring at average 150 °C. Flash column chromatography was performed on Silica Gel 60 M (0.040–0.063 mm, E. Merck). The infrared spectra were measured with Perkin–Elmer Spectrometer. The 1H and 13C NMR spectra were recorded on BrukerAvance DPX 250 or BrukerAvance 400 Spectrometers. Chemical shifts are given in ppm and are referenced to the deuterated solvent signal or to TMS as internal standard and multiplicities are reported as s (singlet), d (doublet), t (triplet), q (quartet) and m (multiplet). Carbon multiplicities were assigned by distortion less enhancement by polarization transfer (DEPT) experiments. 1H and 13C signals were attributed on the basis of H–H and H–C correlations. High Resolution Mass spectra were performed on a Bruker Q-TOF MaXis spectrometer by the “Fédération de Recherche” ICOA/CBM (FR2708) platform. LC-MS data were acquired on a Thermo-Fisher UHPLC-MSQ system equipped with an electron spray ionization source (ESI). The temperature of the source was maintained at 350 °C. Initially, the cone voltage was set at 35 V and after 5 min was increased to 75V. In full scan mode, data were acquired between 100 and 1000 m/z in the positive mode with a 1.00 S scan time. In addition, a UV detection was performed with a Diode array detector at three wavelengths 273, 254 and 290 nm, respectively. A water/methanol (70%/30%) solution mixture with 0.1% formic acid was used as mobile phase. The composition of the mobile phase was increased to 100% methanol with 0.1% formic acid with a 7% ramp. The flow rate was set at 0.300 mL.min−1. Samples diluted in the mobile phase were injected (3 μL) on a C18 column (X-terra, Waters), 2.1 mm internal diameter, and 100 mm length placed into an oven at 40 °C. Electronic extraction of ions was performed and the subsequent areas under the corresponding chromatographic peaks determined.

3.2. General Synthetic Procedure 1 for Strecker-Ugi Cyclization

A mixture of amino pyridine derivatives (200 mg) and ethyl glyoxalate (50% solution in toluene) (1 eq.) was stirred at 25 °C for 2 min. THF (4.5 mL) and 1,4-diazabicyclo [2.2.2] octane (1 eq.) were subsequently added. The reaction mixture was cooled to 0–5 °C and cyanotrimethylsilane (1 eq.) was added. The mixture was heated under microwave irradiation at 120 °C for 15 min. The solvent was evaporated under reduced pressure. The crude product was dissolved with EtOAc, washed with K2CO3, dried over MgSO4, filtrated and concentrated under reduced pressure.
Ethyl 3-aminoimidazo [1,2-a]pyridine-2-carboxylate (8). The title compound was prepared from commercially available 7 to afford after purification the desired product as a yellow solid (50%). CAS # 1487454-00-1. 1H NMR (250 MHz, DMSO-d6) δ 8.17 (dt, 1H, J = 7.1, 1,1 Hz, H4), 7.31 (dt, 1H, J = 9.3, 1,1 Hz, H7), 7.05 (ddd, 1H, J = 9.3, 6.5, 1.1 Hz, H6), 6.79 (ddd, 1H, J = 7.1, 6.5, 1.1 Hz, H5), 6.35 (bs, 2H, NH2), 4.27 (q, 2H, J = 7.1 Hz, O–CH2), 1.31 (t, 3H, J = 7.1 Hz CH2–CH3) ppm.
Ethyl 3-amino-7-methylimidazo [1,2-a]pyridine-2-carboxylate (16a). The title compound was prepared from commercially available 14a to afford after purification the desired product as an orange solid (45%). CAS # 1216262-11-1. 1H NMR (400 MHz, DMSO-d6) δ 7.98 (s, 1H, H4), 7.24 (d, 1H, J = 9.4 Hz, H7), 6.93 (d, 1H, J = 9.4 Hz, H6), 6.35 (bs, 2H, NH2), 4.26 (q, 2H, J = 7.0, Hz, O–CH2), 2.22 (s, 3H, C–CH3), 1.30 (t, 3H, J = 7.0, Hz CH2–CH3) ppm.
Ethyl 3-amino-6-methylimidazo [1,2-a]pyridine-2-carboxylate (16b). The title compound was prepared from commercially available 14b to afford after purification the desired product as an orange solid (34%). CAS # 1498691-03-4. 1H NMR (400 MHz, Acetone-d6) δ 7.62 (d, 1H, J = 7.1 Hz, H4), 6.62 (s, 1H, H7), 6.19 (d, 1H, J = 7.1 Hz, H5), 5.82 (bs, 2H, NH2), 3.80 (q, 2H, J = 7.0, Hz, O–CH2),1.82 (s, 3H, C–CH3), 0.85 (t, 3H, J = 7.0, Hz CH2–CH3) ppm.
Ethyl 3-amino-7-bromoimidazo [1,2-a]pyridine-2-carboxylate (17a). The title compound was prepared from commercially available 15a to afford after purification the desired product as a yellow solid (47%). CAS # 1536009-01-4. 1H NMR (400 MHz, DMSO-d6) δ 8.16 (d, 1H, J = 7.4 Hz, H4), 7.86–7.71 (m, 2H, H7), 6.96 (dd, 1H, J = 7.4, 2.1 Hz, H6), 6.47 (bs, 2H, NH2), 4.27 (q, 2H, J = 7.1 Hz, O–CH2), 1.30 (t, 3H, J = 7.1 Hz, CH2–CH3) ppm.
Ethyl 3-amino-6-bromoimidazo [1,2-a]pyridine-2-carboxylate (17b). The title compound was prepared from commercially available 15b to afford after purification the desired product as a yellow solid (44%). CAS # 82193-31-5. 1H NMR (250 MHz, DMSO-d6) δ 8.55 (s, 1H, J = 1.8, 0.9 Hz, H7), 7.32 (dd, 1H, J = 9.7, 0.9 Hz, H4), 7.13 (dd, 1H, J = 9.7, 1.8 Hz, H5), 6.47 (bs, 2H, NH2), 4.27 (q, 2H, J = 7.1 Hz, O–CH2), 1.30 (t, 3H, J = 7.1 Hz, CH2–CH3) ppm.

3.3. General Synthetic Procedure 2 for Isocyanate Cyclisation

To a solution of amino ester compound (350 mg) in anhydrous ethanol (4.5 mL), were added subsequently isocyanate (2 eq.) and sodium ethoxide (2 eq.) under inert atmosphere. The reaction mixture was heated at 120 °C under microwave irradiation for 20 min. The solvent was evaporated under vacuum. Pure compounds were obtained after purification by flash column chromatography with DCM/MeOH (92:8) as eluent.
3-(4-Fluorophenyl)pyrido [1,2-e]purine-2,4(1H,3H)-dione (9a). The title compound was prepared from commercially available 8 to afford after purification the desired product as a light yellow solid (75%). CAS # 1842362-44-0. 1H NMR (400 MHz, Methanol-d4) 8.36 (d, 1H, J = 7.0 Hz, H6), 7.55 (d, 1H, J = 9.4 Hz, H9), 7.41–7.37 (m, 1H, H8), 7.35–7.28 (m, 2H, 2 × Harom), 7.26–7.18 (m, 2H, 2 × Harom), 7.00 (t, 1H, J = 7.0, Hz, H7) ppm (see Supplementary Materials).
3-(4-Chlorophenyl)pyrido [1,2-e]purine-2,4(1H,3H)-dione (9b). The title compound was prepared from commercially available 8 to afford after purification the desired product as a light-yellow solid (39%). CAS # 1842362-41-7. 1H NMR (250 MHz, DMSO-d6) δ 8.47 (d, 1H, J = 6.9 Hz, H6), 7.56–7.48 (m, 3H, H9, 2 × Harom), 7.34–7.23 (m, 3H, H8, 2 × Harom), 7.00 (t, 1H, J = 6.9 Hz, H7) ppm.
3-(4-Bromophenyl)pyrido [1,2-e]purine-2,4(1H,3H)-dione (9c). The title compound was prepared from commercially available 8 to afford after purification the desired product as a white/grey solid (23%). 1H NMR (250 MHz, DMSO-d6) δ 8.54 (d, 1H, J = 7.0 Hz, H6), 7.70–7.61 (m, 2H, 2 × Harom), 7.52 (d, 1H, J = 9.4 Hz, H9), 7.25 (td, 3H, J = 6.2, 2.4 Hz, H8, 2 × Harom), 6.96 (t, 1H, J = 7.0 Hz, H7) ppm. 13C NMR (63 MHz, DMSO-d6) δ 158.9 (C=O), 151.7 (C=O), 141.5 (Cquat), 136.5 (Cquat), 135.7 (Cquat), 131.8 (4 × Carom), 126.1 (Carom), 124.2 (Carom), 120.4 (Cquat), 118.1 (Carom), 117.6 (Cquat), 112.3 (Carom) ppm. HRMS-ESI (m/z) [M+H]+ calcd. for C15H9BrN4O2: 356.9981 found: 356.9980. λabs: 263 nm λem: 527nm λexc: 286 nm. Rf 0.43 (DCM/MeOH, 9:1).
3-(p-Tolyl)pyrido [1,2-e]purine-2,4(1H,3H)-dione (9d). The title compound was prepared from commercially available 8 to afford after purification the desired product as a light yellow solid (24%). CAS # 1842362-40-6. 1H NMR (250 MHz, DMSO-d6) δ 8.52 (d, 1H, J = 7.0 Hz, H6), 7.55 (d, 1H, J = 9.4 Hz, H9), 7.33–7.22 (m, 3H, H8, 2 × Harom), 7.14 (d, 2H, J = 8.2 Hz, 2 × Harom), 6.99 (t, 1H, J = 7.0 Hz, H7), 2.36 (s, 3H, C–CH3) ppm.
3-(4-(Trifluoromethyl)phenyl)pyrido [1,2-e]purine-2,4(1H,3H)-dione (9e). The title compound was prepared from commercially available 8 to afford after purification the desired product as a yellow solid (58%). 1H NMR (400 MHz, DMSO-d6) δ 8.38 (d, 1H, J = 6.9 Hz, H6), 7.80 (d, 2H, J = 8.2 Hz, 2 × Harom), 7.49–7.39 (m, 3H, H9, 2 × Harom), 7.23–7.14 (m, 1H, H8), 6.85 (t, 1H, J = 6.9 Hz, H7) ppm. 13C NMR (101 MHz, DMSO-d6) δ 160.1 (C=O), 154.5 (C=O), 143.0 (Cquat), 141.7 (Cquat), 131.0 (Carom), 127.9 (d, JC–F = 31.6 Hz, Cquat), 126.2 (d, JC–F = 22.7 Hz, Carom), 126.1 (Cquat), 125.9 (d, JC–F = 3.7 Hz, 2 × Carom), 124.5 (Carom), 123.4 (Cquat), 118.6 (2 × Carom), 117.6 (Cquat), 111.8 (Carom) ppm. 19F NMR (376 MHz, DMSO-d6) δ –60.86 ppm. HRMS-ESI (m/z) [M+H]+ calcd. for C16H9F3N4O2: 347.0750 found: 347.0751. λabs: 264 nm λem: 486 nm λexc: 266 nm. Rf 0.49 (DCM/MeOH, 9:1).
3-(p-Methoxyphenyl)pyrido [1,2-e]purine-2,4(1H,3H)-dione (9f). The title compound was prepared from commercially available 8 to afford after purification the desired product as a beige solid (34%). CAS # 1842362-42-8. 1H NMR (400 MHz, DMSO-d6) δ 8.53 (d, 1H, J = 6.8 Hz, H6), 7.55 (d, 1H, J = 9.3 Hz, H9), 7.33–7.25 (t, 1H, J = 9.3 Hz, H8), 7.17 (d, 2H, J = 8.7 Hz, 2 × Harom), 7.06–6.96 (m, 3H, H7, 2 × Harom), 3.81 (s, 3H, O–CH3) ppm.
3-(3-Fluorophenyl)pyrido [1,2-e]purine-2,4(1H,3H)-dione (9g). The title compound was prepared from commercially available 8 to afford after purification the desired product as a yellow solid (19%). 1H NMR (400 MHz, DMSO-d6) δ 8.50 (d, 1H, J = 6.2 Hz, H6), 7.55–7.49 (m, 2H, H9, Harom), 7.33–7.24 (m, 3H, H8, 2 × Harom), 7.20 (d, 1H, J = 9.7 Hz, Harom), 7.14 (d, 1H, J = 7.3 Hz, Harom), 6.97 (t, 1H, J = 6.2 Hz, H7) ppm. 13C NMR (101 MHz, DMSO-d6) δ 163.3 (C=O), 160.8 (Cquat), 158.9 (d, J = 11.1 Hz, Cquat), 151.7 (C=O), 141.6 (Cquat), 130.0 (Cquat), 129.9 (d, JC–F = 9.3 Hz, Carom), 126.2 (Carom), 125.7 (d, JC–F = 3.03 Hz, Carom), 124.1 (Carom), 118.3 (Carom), 117.6 (Cquat), 116.7 (d, JC–F = 22.7 Hz, Carom), 114.4 (d, JC–F = 20.2 Hz, Carom), 112.4 (Carom) ppm. 19F NMR (376 MHz, DMSO-d6) δ −113.60 ppm. HRMS-ESI (m/z) [M+H]+ calcd. for C15H9FN4O2: 297.0782, found: 297.079. λabs: 263 nm λem: 498 nm λexc: 266 nm. Rf 0.29 (DCM/MeOH 9:1).
3-(3,4-Difluorophenyl)pyrido [1,2-e]purine-2,4(1H,3H)-dione (9h). The title compound was prepared from commercially available 8 to afford after purification the desired product as a white/yellow solid (38%). 1H NMR (400 MHz, DMSO-d6) δ 8.44 (d, 1H, J = 6.2 Hz, H6), 7.55–7.47 (m, 2H, 2 × Harom), 7.44 (dd, 1H, J = 7.4, 2.3 Hz, Harom), 7.25 (dd, 1H J = 9.4, 6.6 Hz, H8), 7.17–7.11 (m, 1H, Harom), 6.93 (t, 1H, J = 6.2 Hz, H7) ppm. 13C NMR (101 MHz, DMSO-d6) δ 159.2 (C=O), 152.5 (C=O), 150.1 (dd, J = 38.2, 12.9 Hz, Cquat), 147.7 (dd, JC–F = 38.4, 12.8 Hz, Cquat), 141.5 (Cquat), 137.1 (Cquat), 134.3 (dd, JC–F = 8.6, 3.5 Hz, Cquat), 126.6 (dd, JC–F = 6.6, 3.4 Hz, Carom), 126.0 (Carom), 124.0 (Carom), 118.9 (d, JC–F = 18.2 Hz, Carom), 118.2 (Carom), 117.5 (Cquat), 117.0 (d, JC–F = 17.9 Hz, Carom), 112.1 (Carom) ppm. 19F NMR (376 MHz, DMSO-d6) δ −140.24, −138.54 ppm. HRMS-ESI (m/z) [M+H]+ calcd. for C15H9F2N4O2: 315.0688, found: 315.0687. λabs: 261 nm λem: 49 nm λexc: 266 nm. Rf 0.27 (DCM/MeOH 9:1).
3-(2,4-Difluorophenyl)pyrido [1,2-e]purine-2,4(1H,3H)-dione (9i). The title compound was prepared from commercially available 8 to afford after purification the desired product as a yellow solid (64%).1H NMR (400 MHz, DMSO-d6) δ 8.45 (d, 1H, J = 6.9 Hz, H6), 7.58–7.36 (m, 3H, H9, 2 × Harom), 7.28 (t, 1H, J = 6.8 Hz, H8), 7.20 (t, 1H, J = 8.4 Hz, Harom), 6.95 (t, 1H, J = 6.9 Hz, H7) ppm. 13C NMR (101 MHz, DMSO-d6) δ 162.8 (dd, J = 46.5, 11.7 Hz, C=O), 158.5 (Cquat), 159.6-156.3 (dd, J = 251.49, 13.2 Hz, Cquat), 151.7 (C=O), 141.7 (Cquat), 136.7 (Cquat), 132.7 (dd, JC–F = 10.3, 2.4 Hz, Carom), 126.3 (Carom), 124.1 (Carom), 121.3 (dd, JC–F = 13.6, 4.0 Hz, Cquat), 118.2 (Carom), 117.2 (Cquat), 112.3 (Carom), 111.6 (dd, JC–F = 22.4, 3.6 Hz, Carom), 104.4 (dd, JC–F = 26.9, 24.6 Hz, Carom) ppm. 19F NMR (376 MHz, DMSO-d6) δ −110.21, −117.12 ppm. HRMS-ESI (m/z) [M+H]+ calcd. for C15H9F2N4O2: 315.0687, found: 315.0688. λabs: 264 nm λem: 490 nm λexc: 266 nm. Rf 0.32 (DCM/MeOH 9:1).
3-(3,4-Dimethylphenyl)pyrido [1,2-e]purine-2,4(1H,3H)-dione (9j). The title compound was prepared from commercially available 8 to afford after purification the desired product as a light-yellow solid (56%). 1H NMR (400 MHz, DMSO-d6) δ 8.46 (d, 1H, J = 6.9 Hz, H6), 7.54 (d, 1H, J = 9.3 Hz, H9), 7.28 (t, 1H, J = 8.0 Hz, Harom), 7.21 (d, 1H, J = 9.3 Hz, H8), 7.00–6.92 (m, 3H, H7, 2 × Harom), 2.27 (s, 3H, C–CH3). 2.24 (s, 3H, C–CH3) ppm. 13C NMR (101 MHz, DMSO-d6) δ 159.0 (C=O), 151.7 (C=O), 141.5 (Cquat), 136.5 (Cquat), 135.6 (Cquat), 134.4 (Cquat), 129.9 (Carom), 129.6 (Carom), 129.3 (Carom), 126.1 (Carom), 124.0 (Carom), 118.3 (Carom), 117.8 (Cquat), 112.5 (Carom), 19.2 (C–CH3), 19.0 (C–CH3) ppm. HRMS-ESI (m/z) [M+H]+ calcd. for C17H15N4O2: 307.1189, found: 307.1190. λabs: 263 nm λem: 496 nm λexc: 266 nm. Rf 0.68 (DCM/MeOH, 9:1).
3-(4-Fluorophenyl)-2-thioxo-2,3-dihydropyrido [1,2-e]purin-4(1H)-one (11). The title compound was prepared from commercially available 8 to afford after purification the desired product as a light-yellow solid (74%). 1H NMR (400 MHz, DMSO-d6) δ 8.43 (d, 1H, J = 6.8 Hz, H6), 7.47 (d, 1H, J = 9.2 Hz, H9), 7.30–7.23 (m, 1H, H8), 7.20 (t, 2H, J = 8.5 Hz, 2 × Harom), 7.07–7.06 (m, 2H, 2 × Harom), 6.88 (t, 1H, J = 6.8 Hz, H7) ppm. 13C NMR (101 MHz, DMSO-d6) δ 175.6 (C=S), 161.9 (C=O), 159.5 (d, J = 10.9 Hz, Cquat), 142.3 (Cquat), 142.1 (Cquat), 139.0 (Cquat), 131.4 (d, JC–F = 8.6 Hz, 2 × Carom), 126.8 (Carom), 124.2 (Carom), 121.0(Cquat), 118.0 (Carom), 115.1 (d, JC–F = 22.5 Hz, 2 × Carom), 111.4 (Carom) ppm. 19F NMR (376 MHz, DMSO-d6) δ −116.93 ppm. HRMS-ESI (m/z) [M+H]+ calcd. for C15H10FN4OS: 313.0553, found: 313.0553. λabs: 340 nm λem: 492 nm λexc: 341 nm. Rf 0.11 (DCM/MeOH 9:1).
3-(Benzyl)pyrido [1,2-e]purine-2,4(1H,3H)-dione (10a). The title compound was prepared from commercially available 8 to afford after purification the desired product as a light yellow solid (71%). CAS # 1842362-38-2. 1H NMR (400 MHz, DMSO-d6) δ 8.29 (d, 1H, J = 7.0 Hz, H6), 7.52 (dd, 1H, J = 8.3, 5.5 Hz, Harom), 7.41 (d, 1H, J = 9.3 Hz, H9), 7.35 (dd, 2H, J = 8.3, 5.5 Hz, 2 × Harom), 7.24 (t, 1H, J = 8.3 Hz, Harom), 7.16 (dd, 1H, J = 9.3, 6.75 Hz, H8), 7.08 (t, 2H, J = 8.8 Hz, 2× Harom), 6.81 (t, 1H, J = 6.7 Hz, H7), 5.09 (s, 2H, N–CH2) ppm.
3-(p-Fluorobenzyl)pyrido [1,2-e]purine-2,4(1H,3H)-dione (10b). The title compound was prepared from commercially available 8 to afford after purification the desired product as a light-yellow solid (52%). 1H NMR (400 MHz, DMSO-d6) δ 8.29 (d, 1H, J = 7.0 Hz, H6), 7.52 (dd, 1H, J = 8.3, 7.5 Hz, Harom), 7.41 (d, 1H, J = 9.3 Hz, H9), 7.35 (dd, 1H, J = 8.3, 5.7 Hz, Harom), 7.24 (t, 1H, J = 7.1 Hz, Harom), 7.21–7.12 (m, 1H, H8), 7.08 (t, 1H, J = 8.8 Hz, Harom), 6.81 (t, 1H, J = 7.0 Hz, H7), 5.09 (s, 2H, N–CH2) ppm. 13C NMR (101 MHz, DMSO-d6) δ 160.1 (C=O), 154.9 (C=O), 141.6 (Cquat), 135.8 (Cquat), 131.6 (d, JC–F = 8.4 Hz, Carom), 131.1 (Cquat), 130.0 (d, JC–F = 8.1 Hz, 2 × Carom), 129.0 (Cquat), 126.0 (Carom), 124.4 (Carom), 118.6 (Carom), 117.4 (Cquat), 115.8 (d, JC–F = 21.1 Hz, Carom), 115.1 (d, JC–F = 21.5 Hz, Carom), 111.7 (Carom), 42.7 (d, JC–F = 91.0 Hz, N–CH2) ppm. 19F NMR (376 MHz, DMSO-d6) δ −116.00 ppm. HRMS-ESI (m/z) [M+H]+ calcd. for C16H12FN4O2: 311.0938, found: 311.0939. λabs: 259 nm λem: 501 nm λexc: 268 nm. Rf 0.37 (DCM/MeOH, 9:1).
3-(p-(Trifluoromethyl)benzyl)pyrido [1,2-e]purine-2,4(1H,3H)-dione (10c). The title compound was prepared from commercially available 8 to afford after purification the desired product as a white/yellow solid (46%). 1H NMR (400 MHz, DMSO-d6) δ 8.54 (d, 1H, J = 6.9 Hz, H6), 7.66 (d, 2H, J = 8.1 Hz, 2 × Harom), 7.53 (dd, 3H, J = 14.5, 8.8 Hz, H9, 2 × Harom), 7.31–7.26 (m, 1H, H8), 6.98 (t, 1H, J = 6.9 Hz, H7), 5.20 (s, 2H, N–CH2) ppm. 13C NMR (101 MHz, DMSO-d6) δ 158.6 (C=O), 150.9 (C=O), 142.7 (Cquat), 141.7 (Cquat), 127.9 (2 × Carom), 127.6 (Cquat), 126.4 (Cquat), 126.4 (Carom), 125.1 (t, JC–F = 3.7 Hz, 2 × Carom), 124.2 (Carom), 118.3 (Carom), 117.4 (m, Cquat), 113.5 (Cquat), 112.6 (Carom), 43.1 (N–CH2) ppm. 19F NMR (376 MHz, DMSO-d6) δ –60.72. HRMS-ESI (m/z) [M+H]+ calcd. for C17H12F3N4O2: 361.0906, found: 361.0906. λabs: 260 nm λem: 495 nm λexc: 265 nm. Rf 0.35 (DCM/MeOH, 9:1).
3-(p-Methylbenzyl)pyrido [1,2-e]purine-2,4(1H,3H)-dione (10d). The title compound was prepared from commercially available 8 to afford after purification the desired product as a light yellow solid (44%). 1H NMR (400 MHz, DMSO-d6) δ 8.49 (d, 1H, J = 7.0 Hz, H6), 7.54 (d, 1H, J = 9.5 Hz, H9), 7.28 (dd, 1H, J = 9.5, 6.5 Hz, H8), 7.21 (d, 2H, J = 7.9 Hz, 2 × Harom), 7.15–7.04 (m, 2H, 2 × Harom), 6.97 (dd, 1H, J = 7.0, 6.5 Hz, H7), 5.07 (s, 2H, N–CH2), 2.25 (s, 3H, C-CH3) ppm. 13C NMR (101 MHz, DMSO-d6) δ 161.7 (C=O), 158.7 (Cquat), 154.5 (C=O), 141.6 (Cquat), 135.9 (Cquat), 135.0 (Cquat), 128.6 (2 × Carom), 127.4 (2 × Carom), 126.2 (Carom), 124.2 (Carom), 118.2 (Carom), 117.6 (Cquat), 112.5 (Carom), 43.0 (N–CH2), 20.6 (C–CH3) ppm. HRMS-ESI (m/z) [M+H]+ calcd. for C17H15N4O2: 307.1189, found: 307.1191. λabs: 260 nm λem: 496 nm λexc: 265 nm. Rf 0.46 (DCM/MeOH, 9:1).
3-Benzyl-2-thioxo-2,3-dihydropyrido [1,2-e]purin-4(1H)-one (12). The title compound was prepared from commercially available 8 to afford after purification the desired product as a light yellow solid (71%). CAS # 1842362-47-3. 1H NMR (250 MHz, DMSO-d6) δ 8.69 (d, 1H, J = 6.8 Hz, H6), 7.58 (d, 1H, J = 9.3 Hz, H9), 7.41–7.15 (m, 6H, H8, 5 × Harom), 7.01 (t, 1H, J = 6.8 Hz, H7), 5.79 (s, 2H, N–CH2) ppm.
3-(p-Fluorophenyl)-7-methylpyrido [1,2-e]purine-2,4(1H,3H)-dione (18a). The title compound was prepared from commercially available 16a to afford after purification the desired product as a yellow solid (66%). 1H NMR (400 MHz, DMSO-d6) δ 8.17 (s, 1H, H6), 7.41 (d, 1H, J = 9.4, Hz, H9), 7.26 (d, 4H, J = 6.5, Hz, 4 × Harom), 7.11 (d, 1H, J = 9.4 Hz, H8), 2.28 (s, 3H, C–CH3) ppm. 13C NMR (101 MHz, DMSO-d6) δ 162.8 (C=O), 159.2 (Cquat), 152.8 (Cquat), 152.9 (C=O), 141.8 (Cquat), 136.5 (Cquat), 133.7 (Cquat), 131.2 (d, JC–F = 18.6 Hz, 2 × Carom), 123.2 (Carom), 117.3 (Cquat), 115.8 (Carom), 115.6 (Carom), 114.7 (d, JC–F = 29.4 Hz, 2 × Carom), 21.0 (C–CH3) ppm. 19F NMR (376 MHz, DMSO-d6) δ −115.61 ppm. HRMS-ESI (m/z) [M+H]+ calcd for C16H12FN4O2: 311.0937, found: 311.0938. λabs: 260 nm λem: 497 nm λexc: 265 nm. Rf 0.28 (DCM/MeOH 9:1).
3-(p-Fluorophenyl)-8-methylpyrido [1,2-e]purine-2,4(1H,3H)-dione (18b). The title compound was prepared from commercially available 16b to afford after purification the desired product as a yellow solid (69%). 1H NMR (250 MHz, DMSO-d6) δ 8.31 (d, 1H, J = 7.0 Hz, H6), 7.31–7.24 (m, 5H, H9, 4 × Harom), 6.81 (d, 1H, J = 7.0 Hz, H7), 2.35 (s, 3H, C-CH3) ppm. 13C NMR (63 MHz, DMSO-d6) δ 162.4 (C=O), 159.3 (d, J = 121.2 Hz, Cquat), 151.4 (C=O), 140.9 (Cquat), 133.7 (Cquat), 133.0 (d, J = 3.0 Hz, Cquat), 131.3 (d, JC–F = 8.7 Hz, 2 × Carom), 129.5 (Carom), 121.8 (Cquat), 120.8 (Carom), 117.8 (Cquat), 117.6 (Carom), 115.5 (d, JC-F = 22.6 Hz, 2 × Carom), 17.8 (C–CH3) ppm. 19F NMR (376 MHz, DMSO-d6) δ −115.29 ppm. HRMS-ESI (m/z) [M+H]+ calcd for C16H12FN4O2: 311.0938, found: 311.0938. λabs: 263 nm λem: 465 nm λexc: 269 nm. Rf 0.28 (DCM/MeOH 9:1).
7-Bromo-3-(p-fluorophenyl)pyrido [1,2-e]purine-2,4(1H,3H)-dione (19a). The title compound was prepared from commercially available 17a to afford after purification the desired product as a yellow/orange solid (46%). 1H NMR (400 MHz, DMSO-d6) δ 8.36 (d, 1H, J = 7.4 Hz, H9), 7.85–7.77 (m, 1H, H6), 7.34–7.20 (m, 4H, 4 × Harom), 7.05 (dd, 1H, J = 7.4, 1.9 Hz, H8) ppm. 13C NMR (101 MHz, DMSO-d6) δ 163.0 (C=O), 159.4 (d, J = 17.2 Hz, Cquat), 153.7 (C=O), 141.0 (Cquat), 139.1 (Cquat), 134.0 (d, JC–F = 3.1 Hz, Cquat), 131.2 (d, JC–F = 8.7 Hz, 2 × Carom), 125.0 (Carom), 120.0 (Carom), 118.8 (Cquat), 117.8 (Cquat), 115.3 (d, JC–F = 22.6 Hz, 2 × Carom), 115.2 (Carom) ppm. 19F NMR (376 MHz, DMSO-d6) δ −115.56 ppm. HRMS-ESI (m/z) [M+H]+ calcd for C15H9BrFN4O2 374.9887, found: 374.9887. λabs: 267 nm λem: 492 nm λexc: 269 nm. Rf 0.32 (DCM/MeOH 9:1).
8-Bromo-3-(p-fluorophenyl)pyrido [1,2-e]purine-2,4(1H,3H)-dione (19b). The title compound was prepared from commercially available 17b to afford after purification the desired product as a yellow/green light solid (51%). 1H NMR (400 MHz, DMSO-d6) δ 8.74 (s, 1H, H9), 7.49 (d, 1H, J = 9.7 Hz, H6), 7.32 (d, 1H, J = 9.7 Hz, H7), 7.30–7.21 (m, 4H, 4 × Harom) ppm. 13C NMR (101 MHz, DMSO-d6) δ 162.8 (C=O), 159.7 (d, J = 70.7 Hz, Cquat), 153.5 (C=O), 140.1 (Cquat), 138.0 (Cquat), 134.1 (d, JC–F = 2.0 Hz, Cquat), 131.7 (d, JC–F = 8.8 Hz, 2 × Carom), 129.1 (Carom), 124.6 (Carom), 119.9 (Carom), 118.6 (Cquat), 115.9 (d, JC–F = 22.6 Hz, 2 × Carom), 106.3 (Cquat) ppm. 19F NMR (376 MHz, DMSO-d6) δ −115.29 ppm. HRMS-ESI (m/z) [M+Na]+ calcd for C15H9BrFNaN4O2 396.9706, found: 396.9693. λabs: 262 nm λem: 496 nm λexc: 267 nm. Rf 0.30 (DCM/MeOH 9:1).

3.4. General Synthetic Procedure 3 for the N1-Alkylation

To a solution of fluorobenzyl compound (150 mg) in anhydrous DMF (4 mL), were added subsequently potassium carbonate (1.5 eq.) and bromide derivative (1.5 eq.) under inert atmosphere. The reaction mixture was heated at 120 °C under microwave irradiation for 20 min. The mixture was dissolved with EtOAc, washed twice with saturated NH4Cl, dried over MgSO4, filtrated and concentrated under vacuum. Pure compound was obtained after purification by flash column chromatography using an elution gradient of DCM/MeOH (from 98:2 to 95:5).
1-Benzyl-3-(4-fluorophenyl)purino [9,8-a]pyridine-2,4-dione (13a). The title compound was prepared from commercially available 9a to afford after purification the desired product as a light orange solid (36%). 1H NMR (400 MHz, DMSO-d6) δ 8.23 (d, 1H, J = 7.0 Hz, H6), 7.60 (d, 1H, J = 9.3 Hz, H9), 7.50–7.27 (m, 9H, 5 × Harom-N1, 4 × Harom-N3), 7.26–7.20 (m, 1H, H8), 6.82 (t, 1H, J = 7.0 Hz, H7), 5.73 (s, 2H, N–CH2) ppm. 13C NMR (101 MHz, DMSO-d6) δ 160.3 (C=O), 157.9 (Cquat), 151.1 (C=O), 142.5 (Cquat), 136.1 (Cquat), 132.6 (d, JC–F = 3.03 Hz, Cquat), 132.08 (Cquat), 131.1 (d, JC–F = 8.8 Hz, 2 × Carom-N3), 129.0 (2 × Carom-N1), 127.6 (Carom), 126.0 (Carom), 125.7 (2 × Carom-N1), 125.0 (Carom), 120.1 (Cquat), 118.9 (Carom), 115.7 (d, JC–F = 22.8 Hz, 2 × Carom-N3), 113.4 (Carom), 46.9 (N–CH2) ppm. 19F NMR (376 MHz, DMSO-d6) δ −114.07 ppm. HRMS-ESI (m/z) [M+H]+ calcd. for C22H16FN4O4: 387.1251, found: 387.1249. λabs: 261 nm λem: 418 nm λexc: 267 nm. Rf 0.65 (DCM/MeOH 95:5).
3-(p-Fluorophenyl)-1-[(p-methylphenyl)methyl]purino[9,8-a]pyridine-2,4-dione (13b). The title compound was prepared from commercially available 9a to afford after purification the desired product as a light yellow solid (20%). 1H NMR (250 MHz, DMSO-d6) δ 8.20 (d, 1H, J = 7.3 Hz, H6), 7.56 (d, 1H, J = 9.3 Hz, H9), 7.41 (dd, 2H, J = 9.0, 5.2 Hz, 2 × Harom-N3), 7.38–7.25 (m, 4H, 2 × Harom-N1, 2 × Harom-N3), 7.24–7.09 (m, 3H, H8, 2 × Harom-N1), 6.79 (t, 1H, J = 7.3 Hz, H7), 5.64 (s, 2H, N–CH2), 2.23 (s, 3H, C–CH3) ppm. 13C NMR (63 MHz, DMSO-d6) δ 159.5 (C=O), 157.9 (Cquat), 151.1 (C=O), 142.5 (Cquat), 136.7 (Cquat), 133.0 (Cquat), 132.7 (d, JC–F = 3.1 Hz, Cquat), 132.0 (Cquat), 131.1 (d, JC–F = 8.8 Hz, 2 × Carom-N3), 129.5 (2 × Carom-N1), 126.0 (Carom), 125.5 (2 × Carom-N1), 125.1 (Carom), 120.1 (Cquat), 118.9 (Carom), 115.7 (d, JC–F = 23.3 Hz, 2 × Carom-N3), 113.4 (Carom), 46.7 (N–CH2), 20.6 (C–CH3) ppm. 19F NMR (376 MHz, DMSO-d6) δ −114.08 ppm. HRMS-ESI (m/z) [M+H]+ calcd. for C23H18FN4O2: 401.1708, found: 401.1405. λabs: 260 nm λem: 418 nm λexc: 261 nm. Rf 0.5 (DCM/MeOH 95:5).
4-[[3-(p-Fluorophenyl)-2,4-dioxo-purino[9,8-a]pyridin-1-yl]methyl]benzonitrile (13c). The title compound was prepared from commercially available 9a to afford after purification the desired product as a light yellow solid (30%). 1H NMR (400 MHz, DMSO-d6) δ 8.13 (d, 1H, J = 7.3 Hz, H6), 7.86 (d, 2H, J = 8.1 Hz, 2 × Harom-N1), 7.69 (d, 2H, J = 8.1 Hz, 2 × Harom-N1), 7.62 (d, 1H, J = 9.3 Hz, H9), 7.45–7.43 (m, 2H, 2 × Harom-N3), 7.34 (t, 2H, J = 8.7 Hz, 2 × Harom-N3), 7.29–7.21 (m, 1H, H8), 6.83 (t, 1H, J = 7.3 Hz, H7), 5.80 (s, 2H, N–CH2) ppm. 13C NMR (101 MHz, DMSO-d6) δ 160.3 (C=O), 157.9 (Cquat), 151.1 (C=O), 142.5 (Cquat), 142.0 (Cquat), 132.8 (2 × Carom-N1), 132.6 (d, JC–F = 3.0 Hz, Cquat), 131.8 (Cquat), 131.1 (d, JC–F = 8.8 Hz, 2 × Carom-N3), 126.9 (2 × Carom-N1), 126.1 (Carom), 124.7 (Carom), 120.3 (Cquat), 119.0 (Carom), 118.5 (Cquat), 115.7 (d, JC–F = 22.8 Hz, 2 × Carom-N3), 113.7 (Carom), 110.4 (Cquat), 47.0 (N–CH2) ppm. 19F NMR (376 MHz, DMSO-d6) δ −114.00 ppm. HRMS-ESI (m/z) [M+H]+ calcd. for C23H15FN5O2: 412.1203, found: 412.1204. λabs: 259 nm λem: 418 nm λexc: 259 nm. Rf 0.5 (DCM/MeOH 95:5).
3-(p-Fluorophenyl)-1-[(p-nitrophenyl)methyl]purino [9,8-a]pyridine-2,4-dione (13d). The title compound was prepared from commercially available 9a to afford after purification the desired product as a yellow solid (28%). 1H NMR (250 MHz, DMSO-d6) δ 8.19 (d, 2H, J = 8.8 Hz, 2 × Harom-N1), 7.95 (d, 1H, J = 7.3 Hz, H6), 7.77 (d, 2H, J = 8.8 Hz, 2 × Harom-N1), 7.63 (d, 1H, J = 9.3 Hz, H9), 7.50–7.20 (m, 5H, H8, 4 × Harom-N3), 6.84 (t, 1H, J = 7.3 Hz, H7), 5.85 (s, 2H, N-CH2) ppm. 13C NMR (63 MHz, DMSO-d6) δ 159.5 (C=O), 157.9 (Cquat), 151.1 (C=O), 147.0 (Cquat), 144.0 (Cquat), 142.5 (Cquat), 132.5 (d, JC–F = 3.1 Hz, Cquat), 131.8 (Cquat), 131.1 (d, JC–F = 8.8 Hz, 2 × Carom-N3), 127.2 (2 × Carom-N1), 126.1 (Carom), 124.7 (Carom), 123.9 (2 × Carom-N1), 120.3 (Cquat), 119.06 (Carom), 115.7 (d, JC–F = 23.3 Hz, 2 × Carom-N3), 113.7 (Carom), 46.9 (N–CH2) ppm. 19F NMR (376 MHz, DMSO-d6) δ −113.96 ppm. HRMS-ESI (m/z) [M+H]+ calcd. for C22H15FN5O4: 432.1002, found: 432.1100. λabs: 269.5 nm λem: 551 nm λexc: 275 nm. Rf 0.5 (DCM/MeOH 95:5).
Methyl 4-[[3-(p-fluorophenyl)-2,4-dioxo-purino [9,8-a]pyridin-1-l]methyl]benzoate (13e). The title compound was prepared from commercially available 9a to afford after purification the desired product as a white solid (65%). 1H NMR (400 MHz, DMSO-d6) δ 8.14 (d, 1H, J = 7.3 Hz, H6), 7.95 (d, 2H, J = 7.9 Hz, 2 × Harom-N1), 7.61 (d, 3H, J = 7.9 Hz, H9, 2 × Harom-N1), 7.45 (dd, 2H, J = 8.6, 5.3 Hz, 2 × Harom-N3), 7.35 (t, 2H, J = 8.6 Hz, 2 × Harom-N3), 7.28–7.20 (m, 1H, H8), 6.82 (t, 1H, J = 7.3 Hz, H7), 5.80 (s, 2H, N–CH2), 3.83 (s, 3H, O–CH3) ppm. 13C NMR (101 MHz, DMSO-d6) δ 165.8 (C=O), 157.9 (C=O), 151.1 (C=O), 142.5 (Cquat), 141.8 (Cquat), 132.6 (d, JC–F = 3.2 Hz, Cquat), 131.9 (Cquat), 131.1 (d, JC–F = 8.9 Hz, 2 × Carom-N3), 129.7 (2 × Carom-N1), 128.9 (Cquat), 126.2 (2 × Carom-N1), 126.1 (Carom), 125.0 (Cquat), 124.8 (Carom), 120.2 (Cquat), 119.0 (Carom), 115.7 (d, JC–F = 22.7 Hz, 2 × Carom-N3), 113.6 (Carom), 52.1 (O–CH2), 47.01 (N–CH3) ppm. 19F NMR (376 MHz, DMSO-d6) δ −114.03 ppm. HRMS-ESI (m/z) [M+H]+ calcd. for C24H18FN4O4: 445.1306 found: 445.1305. λabs: 259 nm λem: 492 nm λexc: 266 nm. Rf 0.45 (DCM/MeOH 95:5).
1-[[p-(Dimethoxyphosphorylmethyl)phenyl]methyl]-3-(4-fluorophenyl)purino [9,8-a]pyridine-2,4-dione (13f). The title compound was prepared from commercially available 9a to afford after purification the desired product as a yellow foam (16%). 1H NMR (400 MHz, DMSO-d6) δ 8.22 (d, 1H, J = 7.3 Hz, H6), 7.60 (d, 1H, J = 9.3 Hz, H9), 7.46 (dd, 2H, J = 7.8, 5.3 Hz, 2 × Harom-N3), 7.41–7.31 (m, 4H, 2 × Harom-N1, 2 × Harom-N3), 7.31–7.20 (m, 3H, H8, 2 × Harom-N1), 6.81 (t, 1H, J = 7.3 Hz, H7), 5.71 (s, 2H, N–CH2), 3.55 (s, 3H, O–CH3), 3.53 (s, 3H, O–CH3), 3.33 (s, 2H, C–CH2) ppm. 13C NMR (101 MHz, DMSO-d6) δ 160.8 (C=O), 158.4 (Cquat), 151.6 (C=O), 143.0 (Cquat), 134.9 (d, J = 3.7 Hz, Cquat), 133.1 (d, JC–F = 3.0 Hz, Cquat), 132.5 (Cquat), 131.9 (d, JC–F = 9.1 Hz, Cquat), 131.6 (d, JC–F = 9.0 Hz, 2 × Carom-N3), 130.8 (d, JC–P = 6.5 Hz, 2 × Carom-N1), 126.5 (Carom), 126.2 (d, JC–P = 3.0 Hz, 2 × Carom-N1), 125.5 (Carom), 120.6 (Cquat), 119.4 (Carom), 116.2 (d, JC–F = 22.9 Hz, 2 × Carom-N3), 113.9 (Carom), 52.8 (O–CH3), 52.7 (O–CH3), 47.2 (N–CH2), 29.52 (d, J1C–P = 108.5 Hz, P–CH2) ppm. 19F NMR (376 MHz, DMSO-d6) δ -114.07 ppm. 31P NMR (162 MHz, DMSO-d6) δ 28.89 ppm. HRMS-ESI (m/z) [M+H]+ calcd. for C24H21FN4O5P: 509.1384, found: 509.1380.λabs: 264 nm λem: 415 nm λexc: 265 nm. Rf 0.2 (DCM/MeOH 95:5).

3.5. General Synthetic Procedure 4 for the Sonogashira Coupling cross Coupling

Under inert atmosphere, to a solution of deprotected Br-compound (1 eq.) in dry DMF (0.082 M) were successively added copper iodide (0.2 eq.), triethylamine (3 eq.), alkynyl substrate (3 eq.), and Pd(PPh3)4 (10 mol%). The reaction mixture was heated under microwave irradiation at 110 °C for 15 min. The reaction was quenched with EtOAc and co-evaporated with heptane. Pure compounds were obtained after purification by flash column chromatography with DCM/MeOH as eluent.
3-(p-Fluorophenyl)-7-(4-phenylbut-1-ynyl)-1H-purino [9,8-a]pyridine-2,4-dione (20a). The title compound was prepared from commercially available 19a to afford after purification the desired product as an orange/yellow solid (70%). 1H NMR (400 MHz, DMSO-d6) δ 8.35 (d, 1H, J = 7.2 Hz, H9), 7.45 (s, 1H, H6), 7.35–7.30 (d, 4H, 4 × Harom), 7.29–7.22 (m, 5H, 4 × Harom-N3, Harom), 6.77 (dd, 1H, J = 7.2, 1.8 Hz, H8), 2.88 (t, 2H, J = 7.2 Hz, C–CH2), 2.76 (t, 2H, J = 7.2 Hz, CH2–CH2) ppm. 13C NMR (101 MHz, DMSO-d6) δ 162.3 (C=O), 159.9 (Cquat), 159.2 (Cquat), 153.2 (C=O), 140.7 (Cquat), 140.3 (Cquat), 134.0–133.6 (m, Cquat), 131.2 (d, JC–F = 8.8 Hz, 2 × Carom-N3), 128.5 (2 × Carom), 128.2 (2 × Carom), 126.2 (Carom), 123.9 (Carom), 120.4 (Cquat), 119.9 (Carom), 118.6 (Cquat), 115.3 (d, JC–F = 22.7 Hz, 2 × Carom-N3), 114.0 (Carom), 93.9 (CH2–C), 80.0 (C≡C), 34.0 (CH2–C), 21.0 (C–CH2) ppm. 19F NMR (376 MHz, DMSO-d6) δ −115.39 ppm. HRMS-ESI (m/z) [M+H]+ calcd. for C25H18FN4O2: 425.1408, found: 425.1409. λabs: 266 nm λem: 513 nm λexc: 278 nm. Rf 0.34 (DCM/MeOH 95:5).
3-(p-Fluorophenyl)-7-[2-(4-propylphenyl)ethynyl]-1H-purino [9,8-a]pyridine-2,4-dione (20b). The title compound was prepared from commercially available 19a to afford after purification the desired product as a yellow solid (74%). 1H NMR (400 MHz, DMSO-d6) δ 9.57 (s, 1H, H1), 8.39 (d, 1H, J = 7.3 Hz, H9), 7.71 (s, 1H, H6), 7.52 (d, 2H, J = 7.8 Hz, 2 × Harom), 7.28 (dd, 6H, J = 7.5, 3.5 Hz, 4 × Harom-N3, 2 × Harom), 6.99 (d, 1H, J = 7.3 Hz, H8), 2.60 (t, 2H, J = 7.5 Hz, C–CH2), 1.61 (h, 2H, J = 7.5 Hz, CH2–CH2), 0.90 (t, 3H, J = 7.5 Hz, CH2–CH3) ppm. 13C NMR (101 MHz, DMSO-d6) δ 162.3 (C=O), 159.9 (Cquat), 159.2 (Cquat), 154.3 (C=O), 143.6 (Cquat), 140.6 (Cquat), 133.6 (Cquat), 131.4 (2 × Carom), 131.2 (d, JC–F = 8.7 Hz, 2 × Carom-N3), 128.8 (2 × Carom), 123.9 (Carom), 120.9 (Carom), 119.0 (Cquat), 118.9 (Cquat), 115.3 (d, JC–F = 22.3 Hz, 2 × Carom-N3), 113.8 (Carom), 92.6 (Cquat), 90.1 (CH2–C), 87.6 (C≡C), 37.0 (C–CH2), 23.7 (CH2–CH2), 13.5 (CH2–CH3) ppm. 19F NMR (376 MHz, DMSO-d6) δ −115.43 ppm. HRMS-ESI (m/z) [M+H]+ calcd. for C26H20FN4O2: 439.1564, found: 439.1563. λabs: 300 nm λem: 528 nm λexc: 307 nm. Rf 0.35 (DCM/MeOH 95:5).
3-(p-Fluorophenyl)-8-hex-1-ynyl-1H-purino [9,8-a]pyridine-2,4-dione (20c). The title compound was prepared from commercially available 19a to afford after purification the desired product as a yellow/orange solid (91%). 1H NMR (400 MHz, DMSO-d6) δ 12.95 (bs, 1H, H1), 8.40 (d, 1H, J = 7.2 Hz, H9), 7.61 (s, 1H, H6), 7.39–7.25 (m, 4H, 4 × Harom), 6.95 (dd, 1H, J = 7.2, 1.6 Hz, H8), 2.51–2.47 (m, 2H, CH2), 1.59–1.52 (m, 2H, CH2), 1.50–1.39 (m, 2H, CH2), 0.93 (t, 3H, J = 7.3 Hz, CH2–CH3) ppm. 13C NMR (101 MHz, DMSO-d6) δ 161.6 (C=O), 159.5 (Cquat), 150.0 (C=O), 141.1 (Cquat), 132.4 (Cquat), 131.3 (d, JC–F = 9.0 Hz, 2 × Carom), 123.8 (Carom), 120.7 (Cquat), 120.5 (Carom), 119.9 (Cquat), 115.6 (d, JC–F = 23.2 Hz, 2 × Carom), 115.3 (Carom), 113.7 (Cquat), 95.0 (CH2–C), 79.1 (C≡C), 30.0 (CH2–CH2), 21.4 (CH2–CH2), 18.4 (CH2–CH2), 13.4 (CH2–CH3) ppm. 19F NMR (376 MHz, DMSO-d6) δ −114.41 ppm. HRMS-ESI (m/z) [M+H]+ calcd. for C21H18FN4O2: 377.1408, found: 377.1406. λabs: 263 nm λem: 513nm λexc: 278 nm. Rf 0.33 (DCM/MeOH 95:5).
3-(p-Fluorophenyl)-8-hept-1-ynyl-1H-purino [9,8-a]pyridine-2,4-dione (20d). The title compound was prepared from commercially available 19a to afford after purification the desired product as an orange solid (95%). 1H NMR (250 MHz, DMSO-d6) δ 12.95 (s, 1H, H1), 8.43 (d, 1H, J = 7.3 Hz, H9), 7.62 (s, 1H, H5), 7.42–7.24 (m, 4H, 4 × Harom), 6.97 (dd, 1H, J = 7.3, 1.6 Hz, H8), 2.51–2.47 (m, 2H, CH2), 1.57 (q, 2H, J = 7.0 Hz, CH2–CH2), 1.46–1.28 (m, 4H, 2 × CH2), 0.90 (t, 3H, J = 7.0 Hz, CH2–CH3) ppm. 13C NMR (63 MHz, DMSO-d6) δ 163.4 (C=O), 158.2 (Cquat), 150.2 (C=O), 141.1 (Cquat), 132.3 (d, JC–F = 3.7 Hz, Cquat), 131.3 (d, JC–F = 8.8 Hz, 2 × Carom), 128.6 (Cquat), 123.8 (Carom), 120.8 (Carom), 120.5 (Cquat), 119.0 (Cquat), 115.9 (2 × Carom), 115.5 (Carom), 95.2 (CH2–C), 79.0 (C≡C), 30.4 (C–CH2), 27.5 (CH2–CH2), 21.5 (CH2–CH2), 18.8 (CH2–CH2), 13.8 (CH2–CH3) ppm. 19F NMR (376 MHz, DMSO-d6) δ −114.36 ppm. HRMS-ESI (m/z) [M+H]+ calcd. for C22H20FN4O2: 391.1564, found: 391.1563. λabs: 267 nm λem: 517 nm λexc: 277 nm. Rf 0.33 (DCM/MeOH 95:5).
3-(p-Fluorophenyl)-7-oct-1-ynyl-1H-purino [9,8-a]pyridine-2,4-dione (20e). The title compound was prepared from commercially available 19a to afford after purification the desired product as a yellow solid (92%). 1H NMR (400 MHz, DMSO-d6) δ 8.41 (d, 1H, J = 7.7 Hz, H9), 7.61 (s, 1H, H6), 7.39–7.27 (m, 4H, 4 × Harom), 6.96 (dd, 1H, J = 7.7, 1.5 Hz, H8), 2.51–2.40 (m, 2H, CH2), 1.57 (p, 2H, J = 7.0 Hz, CH2), 1.43 (dt, 2H, J = 13.3, 7.0 Hz, CH2–CH2), 1.30 (dt, 4H, J = 7.0, 3.8 Hz, 2 × CH2), 0.89 (t, 3H, J = 7.0 Hz, CH2–CH3) ppm. 13C NMR (101 MHz, DMSO-d6) δ 162.7 (C=O), 158.4 (Cquat), 150.3 (C=O), 141.2 (Cquat), 132.4 (Cquat), 132.3 (d, JC–F = 3.1 Hz, Cquat), 131.2 (d, JC–F = 8.8 Hz, 2 × Carom), 123.8 (Carom), 120.8 (Cquat), 120.5 (Carom), 118.9 (Cquat), 115.6 (d, JC–F = 22.7 Hz, 2 × Carom), 115.4 (Carom), 95.1 (CH2–C), 79.1 (C≡C), 30.7 (C–CH2), 27.9 (CH2–CH2), 27.8 (CH2–CH2), 21.9 (CH2–CH2), 18.7 (CH2–CH2), 13.9 (CH2–CH3) ppm. 19F NMR (376 MHz, DMSO-d6) δ −114.38 ppm. HRMS-ESI (m/z) [M+H]+ calcd. for C23H22FN4O2: 405.1721, found: 405.1718. λabs: 268 nm λem: 512 nm λexc: 276 nm. Rf 0.33 (DCM/MeOH 95:5).
N-[3-[3-(p-fluorophenyl)-2,4-dioxo-1H-purino [9,8-a]pyridin-7-yl]prop-2-ynyl]octanamide (20f). The title compound was prepared from commercially available 19a to afford after purification the desired product as an orange solid (95%). 1H NMR (250 MHz, DMSO-d6) δ 8.43–8.31 (m, 1H, H9), 7.52 (s, 1H, H6), 7.26 (t, 4H, J = 7.1 Hz, 4 × Harom), 6.82 (t, 1H, J = 8.0 Hz, H8), 4.23 (d, 2H, J = 11.3 Hz, C–CH2), 2.10 (q, 2H, J = 12.5, 9.9 Hz, CO–CH2), 1.65 (q, 2H, J = 7.1 Hz, CH2–CH2), 1.24 (q, 8H, J = 9.6, 7.1 Hz, 4 × CH2), 0.85 (tq, 3H, J = 11.1, 6.5, 5.6 Hz, CH2–CH3) ppm. 13C NMR (63 MHz, DMSO-d6) δ 167.0 (C=O), 162.7 (C=O), 159.3 (Cquat), 152.03 (C=O), 136.1 (Cquat), 134.0 (Cquat), 133.8 (d, JC–F = 3.2 Hz, Cquat), 131.3 (d, JC–F = 11.6 Hz, 2 × Carom), 124.1 (Carom), 120.9 (Carom), 119.0 (Cquat), 118.8 (Cquat), 115.2 (2 × Carom), 113.7 (Carom), 90.9 (CH2–C), 79.6 (C≡C), 45.3 (N–CH2), 34.6 (CO–CH2), 31.0 (CH2–CH2), 28.5 (CH2–CH2), 28.2 (CH2–CH2), 24.9 (CH2–CH2), 22.1 (CH2-CH2), 13.7 (CH2–CH3) ppm. 19F NMR (376 MHz, DMSO-d6) δ −115.58 ppm. HRMS-ESI (m/z) [M+H]+ calcd. for C26H27FN5O2: 476.2092, found: 476.2089. λabs: 271 nm λem: 510 nm λexc: 279 nm. Rf 0.32 (DCM/MeOH 95:5).
1-[3-[3-(p-Fluorophenyl)-2,4-dioxo-1H-purino [9,8-a]pyridin-7-yl]prop-2-ynyl]-3-hexyl-urea (20g). The title compound was prepared from commercially available 19a to afford after purification the desired product as an orange solid (92%). 1H NMR (250 MHz, DMSO-d6) δ 8.29 (d, 1H, J = 7.5 Hz, H9), 7.48 (s, 1H, H6), 7.41–7.11 (m, 4H, 4 × Harom-N3), 6.73 (t, 1H, J = 7.5 Hz, H8), 4.09 (d, 1H, J = 5.7 Hz, NH–CH2), 1.52–0.99 (m, 10H, 5 × CH2), 0.85 (t, 3H, J = 6.6 Hz, CH2–CH3) ppm. 13C NMR (63 MHz, DMSO-d6) δ 163.8 (C=O), 158.0 (C=O), 151.4 (C=O), 140.7 (Cquat), 136.9 (Cquat), 135.3 (Cquat), 131.6 (d, JC–F = 9.9 Hz, 2 × Carom), 124.3 (Carom), 121.2 (Carom), 118.9 (Cquat), 115.7 (Cquat), 115.2 (2 × Carom), 113.3 (Carom), 96.3 (Cquat), 92.1 (CH2–C), 80.6 (C≡C), 39.7 (N–CH2), 31.4 (CH2–CH2), 30.4 (CH2–CH2), 30.0 (CH2–CH2), 26.4 (CH2–CH2), 22.4 (CH2–CH2), 14.2 (CH2–CH3) ppm. 19F NMR (376 MHz, DMSO-d6) δ −116.27 ppm. HRMS-ESI (m/z) [M+H]+ calcd. for C25H26FN6O3: 477.2044, found: 477.2042. λabs: 279 nm λem: 515 nm λexc: 278 nm. Rf 0.30 (DCM/MeOH 95:5).
3-(p-Fluorophenyl)-8-(4-phenylbut-1-ynyl)-1H-purino [9,8-a]pyridine-2,4-dione (21a). The title compound was prepared from commercially available 19b to afford after purification the desired product as an orange solid (80%). 1H NMR (250 MHz, DMSO-d6) δ 8.44 (s, 1H, H9), 7.45 (d, 1H, J = 9.6 Hz, H6), 7.33 (d, 4H, J = 4.3 Hz, 4 × Harom), 7.25 (h, 5H, J = 4.0 Hz, 4 × Harom-N3, Harom), 7.07 (d, 1H, J = 9.6 Hz, H7), 2.89 (t, 2H, J = 6.9 Hz, C–CH2), 2.75 (t, 2H, J = 6.9 Hz, CH2–CH2) ppm. 13C NMR (63 MHz, DMSO-d6) δ 162.4 (C=O), 159.3 (Cquat), 153.7 (C=O), 151.2 (Cquat), 140.3 (Cquat), 139.8 (Cquat), 133.9 (Cquat), 131.2 (2 × Carom), 128.5 (d, JC–F = 8.8 Hz, 2 × Carom-N3), 128.2 (2 × Carom), 127.9 (Carom), 126.3 (Carom), 126.2 (Carom), 118.3 (Carom), 118.0 (Cquat), 115.3 (d, JC–F = 22.3 Hz, 2 × Carom-N3), 107.8 (Cquat), 91.7 (CH2–C), 77.4 (C≡C), 34.0 (C–CH2), 20.8 (CH2–C) ppm. 19F NMR (376 MHz, DMSO-d6) δ −115.57 ppm. HRMS-ESI (m/z) [M+H]+ calcd. for C25H18FN4O2: 425.1408, found: 425.1406. λabs: 272 nm λem: 443 nm λexc: 286 nm. Rf 0.33 (DCM/MeOH 95:5).
3-(p-Fluorophenyl)-8-[2-(4-propylphenyl)ethynyl]-1H-purino [9,8-a]pyridine-2,4-dione (21b). The title compound was prepared from commercially available 19b to afford after purification the desired product as a beige solid (67%). 1H NMR (250 MHz, DMSO-d6) δ 8.81 (s, 1H, H9), 7.86–7.72 (m, 1H, H6), 7.68–7.61 (m, 3H, H7, 2 × Harom), 7.55–7.48 (m, 2H, 2 × Harom), 7.44–7.23 (m, 4H, 4 × Harom-N3), 2.61 (t, 2H, J = 7.6 Hz, C–CH2), 1.59 (ddt, 2H, J = 12.8, 10.0, 6.7 Hz, CH2–CH2), 0.98–0.80 (m, 3H, CH2–CH3) ppm. 13C NMR (63 MHz, DMSO-d6) δ 163.4 (C=O), 159.6 (Cquat), 150.0 (C=O), 143.6 (Cquat), 140.4 (Cquat), 133.7 (Cquat), 132.2 (Cquat), 131.4 (2 × Carom), 131.3 (d, JC–F = 10.3 Hz, 2 × Carom-N3), 128.8 (2 × Carom), 128.8 (Carom), 126.9 (Carom), 118.7 (Carom), 118.5 (Cquat), 118.5 (Cquat), 115.5 (d, JC–F = 24.9 Hz, 2 × Carom-N3), 108.5 (Cquat), 91.2 (CH2–C), 84.7 (C≡C), 37.0 (CH2–CH2), 23.6 (CH2–CH2), 13.4 (CH2–CH3) ppm. 19F NMR (235 MHz, DMSO-d6) δ −114.29 ppm. HRMS-ESI (m/z) [M+H]+ calcd. for C26H20FN4O2: 439.1564, found: 439.1562. λabs: 302 nm λem: 454 nm λexc: 288 nm. Rf 0.35 (DCM/MeOH 95:5).
3-(p-Fluorophenyl)-8-hex-1-ynyl-1H-purino [9,8-a]pyridine-2,4-dione (21c). The title compound was prepared from commercially available 19b to afford after purification the desired product as a beige solid (42%). 1H NMR (400 MHz, DMSO-d6) δ 12.80 (s, 1H, H1), 8.64 (s, 1H, H9), 7.56 (d, 1H, J = 9.5 Hz, H6), 7.38–7.27 (m, 4H, 4 × Harom), 7.23 (dd, 1H, J = 9.5, 1.6 Hz, H8), 2.48 (d, 2H, J = 7.0 Hz, C–CH2), 1.61–1.51 (m, 2H, CH2–CH2), 1.51–1.41 (m, 2H, CH2–CH2), 0.94 (t, 3H, J = 7.0 Hz, CH2–CH3) ppm. 13C NMR (101 MHz, DMSO-d6) δ 160.3 (C=O), 158.4 (Cquat), 150.2 (C=O), 140.3 (Cquat), 132.3 (Cquat), 132.2 (Cquat), 131.2 (d, JC–F = 8.8 Hz, 2 × Carom), 128.7 (Carom), 126.5 (Carom), 118.3 (Cquat), 118.3 (Carom), 115.6 (d, JC–F = 22.8 Hz, 2 × Carom), 109.2 (Cquat), 92.8 (CH2–C), 76.4 (C≡C), 30.0 (CH2–CH2), 21.3 (CH2–CH2), 18.2 (CH2–CH2), 13.4 (CH2–CH3) ppm. 19F NMR (376 MHz, DMSO-d6) δ −114.37 ppm. HRMS-ESI (m/z) [M+H]+ calcd. for C21H18FN4O2: 377.1408, found: 377.1404. λabs: 273nm λem: 498 nm λexc: 286 nm. Rf 0.33 (DCM/MeOH 95:5).
3-(p-Fluorophenyl)-8-hept-1-ynyl-1H-purino [9,8-a]pyridine-2,4-dione (21d). The title compound was prepared from commercially available 19b to afford after purification the desired product as an orange solid (50%). 1H NMR (250 MHz, DMSO-d6) δ 8.56 (s, 1H, H9), 7.93–7.79 (m, 1H, H6), 7.57–7.41 (m, 1H, H7), 7.24 (dd, 4H, J = 28.7, 8.3 Hz, 4 × Harom), 2.60–2.45 (m, 2H, C–CH2), 1.58 (t, 2H, J = 7.2 Hz, CH2–CH2), 1.52–1.30 (m, 4H, 2 × CH2), 0.88 (dt, 3H, J = 13.5, 6.5 Hz, CH2–CH3) ppm. 13C NMR (63 MHz, DMSO-d6) δ 163.4 (C=O), 158.8 (Cquat), 151.7 (C=O), 146.8 (Cquat), 140.0 (Cquat), 133.1 (d, JC–F = 3.2 Hz, Cquat), 131.3 (d, JC–F = 11.7 Hz, 2 × Carom), 128.4 (Carom), 126.2 (Carom), 118.2 (Carom), 118.1 (Cquat), 115.5 (d, JC–F = 24.3 Hz, 2 × Carom), 108.3 (Cquat), 92.31 (CH2–C), 76.7 (C≡C), 30.4 (CH2–CH2), 27.6 (CH2–CH2), 21.5 (CH2–CH2), 18.6 (CH2–CH2), 13.8 (CH2–CH3) ppm. 19F NMR (376 MHz, DMSO-d6) δ −114.97 ppm. HRMS-ESI (m/z) [M+H]+ calcd. for C22H20FN4O2: 391.1564, found: 391.1563. λabs: 271nm λem: 515 nm λexc: 284 nm. Rf 0.33 (DCM/MeOH 95:5).
3-(p-Fluorophenyl)-8-oct-1-ynyl-1H-purino [9,8-a]pyridine-2,4-dione (21e). The title compound was prepared from commercially available 19b to afford after purification the desired product as an orange solid (74%). 1H NMR (400 MHz, DMSO-d6) δ 12.79 (s, 1H, H1), 8.63 (s, 1H, H9), 7.57 (d, 1H, J = 9.6 Hz, H6), 7.41–7.28 (m, 4H, 4 × Harom), 7.23 (dd, 1H, J = 9.6, 1.6 Hz, C–CH2), 2.48–2.42 (m, 2H, CH2–CH2), 1.62–1.52 (m, 2H, CH2–CH2), 1.48–1.38 (m, 2H, CH2–CH2), 1.32 (dq, 4H, J = 7.1, 3.3 Hz, 2 × CH2), 0.95–0.79 (m, 3H, CH2–CH3) ppm. 13C NMR (101 MHz, DMSO-d6) δ 162.7 (C=O), 160.3 (Cquat), 158.4 (Cquat), 150.2 (C=O), 140.3 (Cquat), 132.3 (d, J = 4.3 Hz, Cquat), 131.2 (d, JC–F = 9.9 Hz, 2 × Carom), 128.7 (Carom), 126.4 (Carom), 118.5 (Cquat), 118.3 (Carom), 115.6 (d, JC–F = 22.6 Hz, 2 × Carom), 109.2 (Cquat), 92.9 (CH2–C), 76.4 (C≡C), 30.7 (CH2–CH2), 27.9 (CH2–CH2), 27.9 (CH2–CH2), 21.9 (CH2–CH2), 18.5 (CH2–CH2), 13.9 (CH2–CH3) ppm. 19F NMR (376 MHz, DMSO-d6) δ −114.34 ppm. HRMS-ESI (m/z) [M+H]+ calcd. for C23H22FN4O2: 405.1721, found: 405.1720. Rf 0.33 (DCM/MeOH 95:5). λabs: 275 nm λem: 503 nm λexc: 286 nm.
N-[3-[3-(p-fluorophenyl)-2,4-dioxo-1H-purino [9,8-a]pyridin-8-yl]prop-2-ynyl]octanamide (21f). The title compound was prepared from commercially available 19b to afford after purification the desired product as an orange solid (40%). 1H NMR (400 MHz, DMSO-d6) δ 8.49 (s, 1H, H9), 7.39 (d, 1H,J = 9.4 Hz, H6), 7.28–7.17 (m, 4H, 4 × Harom), 7.06 (d, 1H, J = 9.4 Hz, H7), 4.07 (s, 1H, NH–CH2), 3.11–2.87 (m, 2H, CO–CH2), 1.43–1.28 (m, 2H, CH2–CH2), 1.21 (bs, 8H, 4 × CH2), 0.84 (t, 3H, J = 6.8 Hz, CH2–CH3) ppm. 13C NMR (63 MHz, DMSO-d6) δ 175.0 (C=O), 162.0 (C=O), 159.5 (Cquat), 150.4 (C=O), 139.6 (Cquat), 134.9 (Cquat), 134.4 (Cquat), 131.2 (d, JC–F = 16.8 Hz, 2 × Carom), 127.4 (Carom), 126.9 (Carom), 118.2 (Carom), 117.5 (Cquat), 115.2 (d, JC–F = 14.4 Hz, 2 × Carom), 106.4 (Cquat), 89.7 (CH2–C), 77.8 (C≡C), 45.4 (N–CH2), 35.0 (C–CH2), 31.0 (CH2–CH2), 29.9 (CH2–CH2), 29.5 (CH2–CH2), 26.0 (CH2–CH2), 22.0 (CH2–CH2), 13.9 (CH2–CH3) ppm. 19F NMR (376 MHz, DMSO-d6) δ −115.90 ppm. HRMS-ESI (m/z) [M+H]+ calcd. for C26H27FN5O2: 476.2092, found: 476.2091. λabs: 273 nm λem: 515 nm λexc: 284 nm. Rf 0.32 (DCM/MeOH 95:5).
1-[3-[3-(p-Fluorophenyl)-2,4-dioxo-1H-purino [9,8-a]pyridin-8-yl]prop-2-ynyl]-3-hexyl-urea (21g). The title compound was prepared from commercially available 19b to afford after purification the desired product as an orange solid (92%). 1H NMR (400 MHz, DMSO-d6) δ 8.49 (s, 1H, H9), 7.39 (d, 1H, J = 9.5 Hz, H6), 7.31–7.16 (m, 4H, 4 × Harom), 7.06 (d, 1H, J = 9.5 Hz, H7), 4.07 (d, 2H, J = 5.7 Hz, CH2), 1.45–1.03 (m, 10H, 5 × CH2), 0.84 (q, 3H, J = 5.7 Hz, CH3) ppm. 13C NMR (101 MHz, DMSO-d6) δ 162.0 (C=O), 159.9(Cquat), 157.58 (C=O), 150.4 (C=O), 139.6 (Cquat), 134.8 (Cquat), 131.3 (Cquat), 131.1 (2 × Carom), 127.3 (Carom),126.9 (Carom), 118.2 (Carom), 117.74 (Cquat), 115.1 (2 × Carom), 106.4 (Cquat), 89.7 (CH2–C), 77.8 (C≡C), 45.4 (N–CH2), 31.0 (CH2–CH2), 29.9 (CH2–CH2), 28.5 (CH2–CH2), 26.0 (CH2–CH2), 22.0 (CH2–CH2), 14.2 (CH2–CH3) ppm. 19F NMR (376 MHz, DMSO-d6) δ −116.17 ppm. HRMS-ESI (m/z) [M+H]+ calcd. for C25H26FN6O3: 477.2045, found: 477.2045. λabs: 285 nm λem: 512 nm λexc: 286 nm. Rf 0.30 (DCM/MeOH 95:5).

3.6. General Synthetic Procedure 1 for the Suzuki-Miyaura Coupling cross Coupling

A mixture of Br-compound (1 eq.), boronic acid (1.5 eq.), cesium carbonate (2 eq.), Pd(PPh3)4 (0.1 eq.) in anhydrous DMF (0.1 M) under inert atmosphere was heated under microwave irradiation at 120 °C for 40 min. Pure compounds were obtained after purification by flash column chromatography with DCM/MeOH as eluent.
3-(p-Fluorophenyl)-7-phenyl-1H-purino [9,8-a]pyridine-2,4-dione (22a). The title compound was prepared from commercially available 19a to afford after purification the desired product as a yellow solid (45%). 1H NMR (250 MHz, DMSO-d6) δ 8.52 (d, 1H, J = 7.3 Hz, H9), 7.85 (d, 3H, J = 6.9 Hz, H6, 2 × Harom), 7.60–7.34 (m, 4H, H8, 3 × Harom), 7.30 (d, 4H, J = 7.1 Hz, 4 × Harom-N3) ppm. 13C NMR (63 MHz, DMSO-d6) δ 163.1 (C=O), 159.2 (Cquat), 159.0 (Cquat), 152.1 (C=O), 142.0 (Cquat), 137.2 (d, J = 14.2 Hz, Cquat), 135.7 (Cquat), 133.3 (d, JC–F = 9.3 Hz, Cquat), 131.2 (d, JC–F = 9.1 Hz, 2 × Carom-N3), 128.9 (2 × Carom), 128.4 (Carom), 126.3 (2 × Carom), 123.9 (Carom), 118.4 (Cquat), 115.4 (d, JC–F = 24.2 Hz, 2 × Carom-N3), 114.1 (Carom), 111.7 (Carom) ppm. 19F NMR (376 MHz, DMSO-d6) δ −115.15 ppm. HRMS-ESI (m/z) [M+H]+ calcd. for C21H14FN4O2: 373.1095, found: 373.1099. λabs: 264 nm λem: 517 nm λexc: 285 nm. Rf 0.31 (DCM/MeOH 95:5).
3-(p-Fluorophenyl)-7-(p-tolyl)-1H-purino [9,8-a]pyridine-2,4-dione (22b). The title compound was prepared from commercially available 19a to afford after purification the desired product as an orange solid (44%). 1H NMR (250 MHz, DMSO-d6) δ 8.33 (d, 1H, J = 7.3 Hz, H9), 7.72 (d, 2H, J = 8.1 Hz, 2 × Harom), 7.67 (s, 1H, H6), 7.31 (d, 2H, J = 8.0 Hz, 2 × Harom), 7.26–7.17 (m, 5H, H8, 4 × Harom-N3), 2.37 (s, 3H, C–CH3) ppm. 13C NMR (63 MHz, DMSO-d6) δ 159.9 (C=O), 158.7 (Cquat), 152.3 (C=O), 141.5 (Cquat), 138.0 (Cquat), 137.7 (Cquat), 136.3 (Cquat), 135.1 (d, JC–F = 2.5 Hz, Cquat), 134.9 (Cquat), 131.2 (d, JC–F = 8.8 Hz, 2 × Carom-N3), 129.6 (2 × Carom), 126.4 (Cquat), 126.1 (2 × Carom), 123.8 (Carom), 115.0 (d, JC–F = 22.6 Hz, 2 × Carom-N3), 113.5 (Carom), 110.3 (Carom), 20.7 (C–CH3) ppm. 19F NMR (376 MHz, DMSO-d6) δ −116.31 ppm. HRMS-ESI (m/z) [M+H]+ calcd. for C22H16FN4O2: 387.1251, found: 387.1255. λabs: 276 nm λem: 519 nm λexc: 279 nm. Rf 0.32 (DCM/MeOH 95:5).
3-(p-Fluorophenyl)-7-(p-methoxyphenyl)-1H-purino [9,8-a]pyridine-2,4-dione (22c). The title compound was prepared from commercially available 19a to afford after purification the desired product as a yellow solid (15%). 1H NMR (250 MHz, DMSO-d6) δ 8.50 (d, 1H, J = 7.2 Hz, H9), 7.81 (d, 2H, J = 8.4 Hz, 2 × Harom), 7.77 (s, 1H, H6), 7.40–7.06 (m, 5H, H8, 4 × Harom-N3), 7.07 (d, 2H, J = 8.4 Hz, 2 × Harom), 3.82 (s, 3H, O–CH3) ppm. 13C NMR (63 MHz, DMSO-d6) δ 159.6 (C=O), 159.1 (Cquat), 152.7 (C=O), 142.4 (Cquat), 140.1 (Cquat), 136.0 (Cquat), 133.9 (Cquat), 133.6 (d, JC–F = 4.4 Hz, Cquat), 131.2 (d, JC–F = 8.19 Hz, 2 × Carom-N3), 129.6 (Cquat), 127.7 (2 × Carom), 123.8 (Carom), 118.2 (Cquat), 115.3 (d, JC–F = 22.6 Hz, 2 × Carom-N3), 114.4 (2 × Carom), 112.8 (Carom), 111.5 (Carom), 55.2 (O–CH3) ppm. 19F NMR (376 MHz, DMSO-d6) δ −115.28 ppm. HRMS-ESI (m/z) [M+H]+ calcd. for C22H16FN4O3: 403.1200, found: 403.1202. λabs: 275 nm λem: 522 nm λexc: 278 nm. Rf 0.32 (DCM/MeOH 95:5).
3-(p-fluorophenyl)-7-[p-(trifluoromethoxy)phenyl]-1H-purino [9,8-a]pyridine-2,4-dione (22d). The title compound was prepared from commercially available 19a to afford after purification the desired product as an orange solid (15%). 1H NMR (250 MHz, DMSO-d6) δ 8.53 (d, 1H, J = 7.4 Hz, H9), 7.98 (d, 2H, J = 8.5 Hz, 2 × Harom), 7.88 (s, 1H, H6), 7.49 (d, 2H, J = 8.5 Hz, 2 × Harom), 7.39 (d, 1H, J = 7.4 Hz, H8), 7.30 (d, 4H, J = 7.0 Hz, 4 × Harom-N3) ppm. 13C NMR (63 MHz, DMSO-d6) δ 163.1 (C=O), 159.3 (Cquat), 159.0 (Cquat), 152.2 (C=O), 148.4 (Cquat), 141.7 (Cquat), 136.7 (Cquat), 136.1 (Cquat), 135.6 (Cquat), 133.4 (Cquat), 131.2 (d, JC–F = 8.7 Hz, 2 × Carom-N3), 128.5 (2 × Carom), 124.1 (Carom), 121.4 (2 × Carom), 118.6 (Cquat), 115.3 (d, JC–F = 22.6 Hz, 2 × Carom-N3), 114.8 (Carom), 111.6 (Carom) ppm. 19F NMR (376 MHz, DMSO-d6) δ –56.71 (–OCF3), −115.18 ppm. HRMS-ESI (m/z) [M+H]+ calcd. for C22H13F4N4O3: 457.0918, found: 457.0917. λabs: 274 nm λem: 536 nm λexc: 279 nm. Rf 0.3 (DCM/MeOH 95:5).
3,7-Bis(p-fluorophenyl)-1H-purino [9,8-a]pyridine-2,4-dione (22e). The title compound was prepared from commercially available 19a to afford after purification the desired product as a yellow solid (45%). 1H NMR (250 MHz, DMSO-d6) δ 8.50 (d, 1H, J = 7.4 Hz, H9), 7.97–7.86 (m, 2H, 2 × Harom-N3), 7.82 (s, 1H, H6), 7.44–7.22 (m, 7H, H8, 2 × Harom-N3, 4 × Harom-N3) ppm. 13C NMR (63 MHz, DMSO-d6) δ 160.3 (C=O), 159.1 (Cquat), 159.0 (Cquat), 152.4–152.1 (m, C=O, Cquat), 141.8 (Cquat), 136.0 (Cquat), 133.8 (d, JC–F = 3.1 Hz, Cquat), 133.5 (Cquat), 131.2 (d, JC–F = 8.8 Hz, 2 × Carom-N3), 128.6 (d, JC–F = 8.1 Hz, 2 × Carom), 124.5 (Cquat), 124.0 (Carom), 118.4 (Cquat), 115.8 (d, JC–F = 21.4 Hz, 2 × Carom-N3), 115.3 (d, JC–F = 22.6 Hz, 2 × Carom), 114.1 (Carom), 111.6 (Carom) ppm. 19F NMR (235 MHz, DMSO-d6) δ −113.66, −115.26 ppm. HRMS-ESI (m/z) [M+H]+ calcd. for C21H13F2N4O2: 391.1002, found: 391.1001. λabs: 274 nm λem: 539 nm λexc: 277 nm. Rf 0.26 (DCM/MeOH 95:5).
3-(p-Fluorophenyl)-8-phenyl-1H-purino [9,8-a]pyridine-2,4-dione (23a). The title compound was prepared from commercially available 19b to afford after purification the desired product as a yellow solid (50%). 1H NMR (400 MHz, DMSO-d6) δ 8.86 (s, 1H, H9), 7.75–7.72 (m, 2H, 2 × Harom), 7.67 (qd, 2H, J = 9.7, 1.4 Hz, H6, Harom), 7.54 (t, 2H, J = 7.7 Hz, 2 × Harom), 7.47–7.41 (m, 1H, H7), 7.36–7.27 (m, 4H, 4 × Harom-N3) ppm. 13C NMR (101 MHz, DMSO-d6) δ 162.5 (C=O), 160.1 (Cquat), 158.9 (Cquat), 151.5 (C=O), 140.8 (Cquat), 136.0 (Cquat), 134.0 (Cquat), 133.1 (d, JC–F = 2.8 Hz, Cquat), 131.3 (d, JC–F = 9.1 Hz, 2 × Carom-N3), 129.2 (2 × Carom), 128.1 (Carom), 126.2 (2 × Carom), 125.2 (Cquat), 120.9 (Carom), 118.3 (Carom), 115.4 (d, JC–F = 22.7 Hz, 2 × Carom-N3) ppm. 19F NMR (376 MHz, DMSO-d6) δ −114.90 ppm. HRMS-ESI (m/z) [M+H]+ calcd. for C21H14FN4O2: 373.1095, found: 373.1094. λabs: 274 nm λem: 441 nm λexc: 288 nm. Rf 0.31 (DCM/MeOH 95:5).
3-(p-Fluorophenyl)-8-(p-tolyl)-1H-purino [9,8-a]pyridine-2,4-dione (23b). The title compound was prepared from commercially available 19b to afford after purification the desired product as a yellow/beige solid (31%). 1H NMR (250 MHz, DMSO-d6) δ 8.82 (s, 1H, H9), 7.62 (d, 5H, J = 7.9 Hz, H6, 4 × Harom), 7.33 (t, 7H, J = 6.7 Hz, H7, 2 × Harom, 4 × Harom-N3), 2.37 (s, 3H, C–CH3) ppm. 13C NMR (63 MHz, DMSO-d6) δ 158.9 (C=O), 157.0 (Cquat), 151.6 (C=O), 150.8 (Cquat), 140.8 (Cquat), 137.5 (Cquat), 135.0 (Cquat), 133.1 (d, JC–F = 3.7 Hz, Cquat), 133.0 (Cquat), 131.3 (d, JC–F = 8.8 Hz, 2 × Carom-N3), 129.7 (2 × Carom), 126.2 (Carom), 126.0 (2 × Carom), 125.0 (Cquat), 120.4 (Carom), 118.2 (Carom), 115.4 (d, JC–F = 22.6 Hz, 2 × Carom-N3), 20.6 (C–CH3) ppm. 19F NMR (376 MHz, DMSO-d6) δ −114.93 ppm. HRMS-ESI (m/z) [M+H]+ calcd. for C22H16FN4O2: 387.1251, found: 387.1253. λabs: 244 nm λem: 444 nm λexc: 274 nm. Rf 0.32 (DCM/MeOH 95:5).
3-(p-Fluorophenyl)-8-(p-methoxyphenyl)-1H-purino [9,8-a]pyridine-2,4-dione (23c). The title compound was prepared from commercially available 19b to afford after purification the desired product as a yellow/beige solid (31%). 1H NMR (400 MHz, DMSO-d6) δ 8.78 (s, 1H, H9), 7.70–7.57 (m, 4H, H6, H7, 2 × Harom), 7.33–7.30 (m, 4H, 4 × Harom-N3), 7.10 (d, 2H, J = 8.7 Hz, 2 × Harom), 3.82 (s, 3H, O–CH3) ppm. 13C NMR (101 MHz, DMSO-d6) δ 162.5 (C=O), 162.5 (Cquat), 159.3 (Cquat), 151.6 (C=O), 140.7 (Cquat), 140.0 (Cquat), 133.1 (Cquat), 131.3 (d, JC–F = 9.0 Hz, 2 × Carom-N3), 128.2 (Cquat), 127.4 (2 × Carom), 126.3 (Carom), 124.9 (Cquat), 119.9 (Carom), 118.2 (Carom), 115.4 (d, JC–F = 22.2 Hz, 2 × Carom-N3), 114.6 (2 × Carom), 99.4 (Cquat), 55.2 (O–CH3) ppm. 19F NMR (376 MHz, DMSO-d6) δ −114.96 ppm. HRMS-ESI (m/z) [M+H]+ calcd. for C22H16FN4O3: 403.1200, found: 403.1201. λabs: 274 nm λem: 438 nm λexc: 286 nm. Rf 0.32 (DCM/MeOH 95:5).
3-(p-Fluorophenyl)-8-[p-(trifluoromethoxy)phenyl]-1H-purino [9,8-a]pyridine-2,4-dione (23d). The title compound was prepared from commercially available 19b to afford after purification the desired product as a yellow/beige solid (43%). 1H NMR (250 MHz, DMSO-d6) δ 8.68 (s, 1H, H9), 7.94–7.84 (m, 2H, 2 × Harom), 7.48 (d, 1H, J = 9.7 Hz, H6), 7.39–7.22 (m, 7H, H7, 2 × Harom, 4 × Harom-N3) ppm. 13C NMR (101 MHz, DMSO-d6) δ 164.6 (C=O), 159.3 (Cquat), 159.0 (Cquat), 152.5 (C=O), 146.2 (Cquat), 139.7 (Cquat), 138.9 (Cquat), 136.1 (2 × Carom), 133.3 (Cquat), 131.2 (d, JC–F = 3.1 Hz, Cquat), 131.9 (Cquat), 131.2 (d, JC–F = 8.8 Hz, 2 × Carom), 128.7 (Carom), 124.0 (Carom), 119.5 (d, JC–F = 5.5 Hz, 2 × Carom), 118.3 (Cquat), 115.3 (d, JC–F = 22.8 Hz, 2 × Carom), 106.0 (Cquat) ppm. 19F NMR (376 MHz, DMSO-d6) δ –56.72 (–O–CF3), −114.27 ppm. HRMS-ESI (m/z) [M+H]+ calcd. for C22H13F4N4O3: 457.0919, found: 457.0919. λabs: 273 nm λem: 510 nm λexc: 294 nm. Rf 0.3 (DCM/MeOH 95:5).
3,8-Bis(p-Fluorophenyl)-1H-purino [9,8-a]pyridine-2,4-dione (23e). The title compound was prepared from commercially available 19b to afford after purification the desired product as a yellow/beige solid (11%). 1H NMR (400 MHz, DMSO-d6) δ 8.90 (s, 1H, H9), 7.82–7.73 (m, 2H, 2 × Harom), 7.69–7.58 (m, 2H, H6, H7), 7.38 (t, 2H, J = 8.8 Hz, 2 × Harom), 7.32–7.22 (m, 4H, 4 × Harom-N3) ppm. 13C NMR (101 MHz, DMSO-d6) δ 160.8 (C=O), 160.0 (Cquat), 159.1 (Cquat), 151.9 (C=O), 140.7 (Cquat), 136.4 (Cquat), 135.9 (Cquat), 132.5 (d, JC–F = 3.5 Hz, Cquat), 131.5–13.4 (m, Cquat), 131.3 (d, JC–F = 8.4 Hz, 2 × Carom), 128.4 (d, JC–F = 8.3 Hz, 2 × Carom-N3), 126.1 (Carom), 124.0 (Cquat), 121.0 (Carom), 118.3 (Carom), 116.0 (d, JC–F = 21.8 Hz, 2 × Carom), 115.4 (d, JC–F = 22.7 Hz, 2 × Carom-N3) ppm. 19F NMR (376 MHz, DMSO-d6) δ −114.36, −115.10 ppm. HRMS-ESI (m/z) [M+H]+ calcd. for C21H13F2N4O2: 391.1001, found: 391.1006. λabs: 274 nm λem: 441 nm λexc: 273 nm. Rf 0.26 (DCM/MeOH 95:5).

3.7. Biological Assays

3.7.1. Mtb ThyX Protein Expression and Purification [30]

The M. tuberculosis ThyX enzyme was expressed in E. coli BL21(DE3)/pLysS strains containing the recombinant pET24d plasmid carrying the M. tuberculosis H37Rv thyX gene (Rv2754c) as previously described. Before the purification step, 200 μM of flavin-adenine dinucleotide (FAD) cofactor was added to the supernatant after the lysis step to increase the amount of FAD bound to Mtb ThyX protein. The solubilized protein extract was loaded on a Hi-Trap Talon 5 mL column (GE Healthcare) previously equilibrated with equilibration buffer containing 30 mM Hepes and 300 mM NaCl at pH 8.0. The His-tagged ThyX protein was eluted with elution buffer (30 mM Hepes pH 8.0, 300 mM NaCl, 500 mM imidazol). The fractions containing Mtb ThyX enzyme were pooled, buffer-exchanged on Econo-Pac PD-10 columns (Bio-rad) with the equilibration buffer, concentrated to a final concentration of 480 μM and stored at −20 °C for further use. The measured absorbance of FAD bound to Mtb ThyX at 450 nm showed a ratio FAD to ThyX of 1 to 3 for the purified Mtb ThyX chain.

3.7.2. M. tuberculosis ThyX NADPH Oxidase Assay

The NADPH oxidation assay for M. tuberculosis ThyX activity in 96-well plates was used to screen the synthesized compounds at a final concentration of 200 μM. All molecules were solubilized in dimethylsulfoxide (DMSO) and used at a 1% final concentration of DMSO during the test. One hundred microlitres of standard reaction mixture contained HEPES 50 mM pH 8, NaCl 30 mM, FAD 50 μM, β-mercaptoethanol 1.43 mM, dUMP 100 μM, NADPH 750 μM, and 10 μM of purified MtbThyX. Microtiter plates were prepared and transferred to the microplate reader Chameleon II (Hidex). Molecules at 200 μM were incubated with MtbThyX in the standard reaction mixture for 10 min at 25 °C before starting measurements. The reactions were started by automatically injecting NADPH into individual wells and ThyX activity was determined by following a decrease in absorbance at 340 nm for up to 20 min at 25 °C. The experiment was done in duplicates and samples with added DMSO and enzyme-free reactions were used as positive and negative controls, respectively. % of inhibition was calculated using the following equation: (1 − Vi/Vo)*100; Vo and Vi are, respectively, the initial rates of the reaction without or with addition of molecule in the assay.

3.7.3. M. tuberculosis ThyX Tritium Release Assays

Mtb ThyX tritium release assays consist to measure “deprotonation” of [5-3H]-dUMP in vitro. Reaction mixture included 10 mM MgCl2, 500 µM FAD, 10% (v/v) glycerol, 2 mM NADPH, 1 mM CH2H4folate, 10 mM β-mercaptoethanol, bovine serum albumin (200 µg/mL), 100 µM dUMP, [5-3H]dUMP and 2 µM Mtb ThyX in 50 mM HEPES pH 8. Molecules at 200 μM in DMSO were incubated with MtbThyX in the standard reaction mixture for 10 min at 25 °C before starting measurements. DMSO concentration was maintained constant at 1%. Reactions were initiated by addition of NADPH (1 mM) at 37 °C and were stopped after 20 min. The specific activity of tritiated [5-3H]dUMP (diammonium salt) stock was 15–30 Ci mmol−1 (Moravek Biochemicals, CA, USA). 700 μL of activated charcoal (10% (w/v), Norit A in 2% trichloroacetic acid) was added to the reaction mixture to stop the reaction and removal of radioactive nucleotides from the solution. The suspension was centrifuged at 12,000 rpm for 2 min, and 450 μL of the supernatant were collected before addition of 5 mL of scintillation solution. The radioactivity remaining in the supernatant was measured for scintillation counting.

3.7.4. Cytotoxicity Assays

Assays were performed in human peripheral blood mononuclear (PBM) cells via MTS assay using the CellTiter 96® Non-Radioactive Cell Proliferation (Promega) kit. Cytotoxicity was expressed as the concentration of test compounds that inhibited cell growth by 50% (CC50).

3.8. Virtual Docking

The MtbThyX protein structure from PDB code 3GWC26 was used to perform in silico molecular docking with the QuickVina 2 software [31]. The A to D chains, water oxygen atoms and UFP cofactor were removed from the structure, keeping only chains F to G and their FAD molecule. Atomic partial charges were assigned and polar hydrogen atoms were added with the Pymol [32] Vina plugin [33]. A cubic search volume of 35 × 35 × 35 Å centered on each active site of the four chains was used. The Arg87, Gln103, Ser105, Arg107, Tyr108 and Arg199 amino acids were chosen to be flexible during the docking attempts. Ten docking poses were generated and the pose with the best score was used to further analysis.

4. Conclusions

In summary, starting from lead compounds 5 and 6, we have synthesized various hitherto unknown heterocycles with a pyrido [1,2-e]purine-2,4(1H,3H)-dione scaffold. Structure-activity relationship was performed in order to guide the design of new FDTS inhibitors. Several pharmacomodulations through cylization, and regioselective N-alkylation and organopalladium cross-coupling reactions were performed to synthesize N3, N1, C7 and C8 alkylated derivatives. Unfortunately no compound showed total inhibition at low concentration; the highest inhibition was obtained for compound 23a with 84.3% at 200 µM. IC50 was calculated at 95 µM for central fluorine structure 9a. It was also evaluated on viral pathogens and showed some promiscuous activity without toxicity. Docking was performed to understand the main interactions of those compounds in ThyX. Altogether, this paves the route to more potent Flavin-Dependent Thymidylate Synthase inhibitors.

Supplementary Materials

The following supporting information can be downloaded at: https://www.mdpi.com/article/10.3390/molecules27196216/s1, 1H-, 13C- and 1H-13C HMBC NMR spectra of representative compounds from isocyanate cyclisation compounds (9c, 9e, 9g–j, 10b–d) and from final molecules which exibit Mtb Thy X inhibition >35%

Author Contributions

Conceptualization, N.G.B., V.R. and L.A.A.; methodology, N.G.B., V.R., L.A.A., H.M. and H.F.B.; validation, V.R., H.F.B., H.M. and L.A.A.; investigation, V.R., H.M. and L.A.A.; data curation, N.G.B. and V.R.; writing—original draft preparation, N.G.B., V.R. and L.A.A.; writing—review and editing, all authors; supervision, V.R. and L.A.A.; All authors have read and agreed to the published version of the manuscript.

Funding

This work was financially supported by the French MESRI funds. N.G.B. thanks the Direction Generale de l’Armement (DGA/AID) and Region Centre-Val de Loire for his PhD scholarship. General functioning of ICOA comes from CHemBio (FEDER-FSE 2014-2020-EX003677), Techsab (FEDER-FSE 2014-2020-EX011313), RTR Motivhealth (2019-00131403) and Labex programs SYNORG (ANR-11-LABX-0029) and IRON (ANR-11-LABX-0018-01).

Institutional Review Board Statement

Not applicable.

Informed Consent Statement

Not applicable.

Data Availability Statement

The data present in study are available in the Supplementary Materials.

Conflicts of Interest

The authors declare no conflict of interest.

Sample Availability

Samples of the final compounds (9a and 23a) are available from the authors.

References

  1. Levy, S.B. The challenge of antibiotic resistance. Sci. Am. 1998, 278, 46–53. [Google Scholar] [CrossRef] [PubMed]
  2. Bush, K.; Courvalin, P.; Dantas, G.; Davies, J.; Eisenstein, B.; Huovinen, P. Tackling antibiotic resistance. Nat. Rev. Microbiol. 2011, 9, 894–896. [Google Scholar] [CrossRef] [PubMed]
  3. Carreras, C.W.; Santi, D.V. The catalytic mechanism and structure of thymidylate synthase. Annu. Rev. Biochem. 1995, 64, 721–762. [Google Scholar] [CrossRef] [PubMed]
  4. Kholodar, S.; Kohen, A. Noncovalent intermediate of thymidylate synthase: Fact or fiction? J. Am. Chem. Soc. 2016, 138, 8056–8059. [Google Scholar] [CrossRef]
  5. Onen, F.; Boum, Y.; Jacquement, C.; Spanedda, M.V.; Jaber, N.; Scherman, D.; Myllykallio, H.; Herscovici, J. Design, synthesis and evaluation of potent thymidylate synthase X inhibitors. Bioorg. Med. Chem. Lett. 2008, 18, 3628–3631. [Google Scholar] [CrossRef]
  6. Mathews, I.I. Flavin-Dependent Thymidylate Synthase as a drug target for deadly microbes: Mutational study and a strategy for inhibitor design. J. Bioterror. Biodef. 2014, (Suppl. S12), 4. [Google Scholar] [CrossRef]
  7. Pozzi, C.; Lopresti, L.; Tassone, G.; Mangani, S. Targeting methyltransferases in human pathogenic bacteria: Insights into Thymidylate Synthase (TS) and Flavin-Dependent TS (FDTS). Molecules 2019, 24, 1638. [Google Scholar] [CrossRef]
  8. Singh, V.; Brecik, M.; Mukherjee, R.; Evans, J.C.; Svetlíková, Z.; Blaško, J.; Surade, S.; Blackburn, J.; Warner, D.F.; Mikušová, K.; et al. The complex mechanism of antimycobacterial action of 5-fluorouracil. Chem. Biol. 2015, 22, 63–75. [Google Scholar] [CrossRef]
  9. Gonen, N.; Assaraf, G. Antifolates in cancer therapy: Structure, activity and mechanisms of drug resistance. Drug Res. 2002, 15, 183–210. [Google Scholar] [CrossRef]
  10. Graziani, S.; Xia, Y.; Gurnon, J.R.; Van Etten, J.L.; Leduc, D.; Skouloubris, S.; Myllykallio, H.; Liebl, H. Functional analysis of FAD-dependent thymidylate synthase ThyX from Paramecium bursaria Chlorella virus. J. Biol. Chem. 2004, 279, 54340–54347. [Google Scholar] [CrossRef]
  11. Skouloubris, S.; Djaout, K.; Lamare, I.; Lambry, J.-C.; Anger, K.; Briffotaux, J.; Liebl, U.; de Reuse, H.; Myllykalio, H. Targeting of Helicobacter pylori thymidylate synthase ThyX by non-mitotoxic hydroxy-naphthoquinones. Open Biol. 2015, 5, 150015. [Google Scholar] [CrossRef] [PubMed]
  12. Monks, T.J.; Hanzlik, R.P.; Cohen, G.M.; Ross, D.; Graham, D.G. Quinone chemistry and toxicity. Toxicol. Appl. Pharmacol. 1992, 112, 2–16. [Google Scholar] [CrossRef]
  13. Kögler, M.; Vanderhoydonck, B.; De Jonghe, S.; Rozenski, J.; Van Belle, K.; Herman, J.; Louat, T.; Parchina, A.; Sibley, C.; Lescrinier, E.; et al. Synthesis and evaluation of 5-substituted 2’-deoxyuridine monophosphate analogues as inhibitors of flavin-dependent thymidylate synthase in Mycobacterium tuberculosis. J. Med. Chem. 2011, 54, 4847–4862. [Google Scholar] [CrossRef] [PubMed]
  14. Modranka, J.; Li, J.; Parchina, A.; Vanmeert, M.; Dumbre, S.; Salman, M.; Myllykallio, H.; Becker, H.F.; Vanhoutte, R.; Margamuljana, L.; et al. Synthesis and structure-activity relationship studies of benzo[b][1,4]oxazin-3(4H)-one analogues as inhibitors of Mycobacterial thymidylate synthase X. ChemMedChem 2019, 14, 645–662. [Google Scholar] [CrossRef]
  15. WHO Report on Surveillance of Antibiotic Consumption: 2016–2018 Early Implementation; World Health Organization: Geneva, Switzerland, 2018; Licence: CC BY-NC-SA 3.0 IGO.
  16. Basta, T.; Boum, Y.; Briffotaux, J.; Becker, H.F.; Lamarre-Jouenne, I.; Lambry, J.C.; Skouloubris, S.; Liebl, U.; Graille, M.; van Tilbeurgh, H.; et al. Mechanistic and structural basis for inhibition of thymidylate synthase ThyX. Open Biol. 2012, 2, 120120. [Google Scholar] [CrossRef] [PubMed]
  17. Abu El Asrar, R.; Margamuljana, L.; Klaassen, H.; Nijs, M.; Marchand, A.; Chaltin, P.; Myllykallio, H.; Becker, H.F.; De Jonghe, S.; Herdewijn, P.; et al. Discovery of a new Mycobacterium tuberculosis thymidylate synthase X inhibitor with a unique inhibition profile. Biochem Pharmacol. 2017, 135, 69–78. [Google Scholar] [CrossRef]
  18. Maes, J.; Rauws, T.R.; Maes, B.U. Synthesis of C8–N9 annulated purines by iron-catalyzed C–H amination. Chemistry 2013, 19, 9137–9141. [Google Scholar] [CrossRef]
  19. Guchhait, S.K.; Chaundhary, V. Desilylative activation of TMSCN in chemoselective Strecker–Ugi type reaction: Functional fused imidazoles as building blocks as an entry route to annulated purines. Org. Biomol. Chem. 2014, 12, 6694–6705. [Google Scholar] [CrossRef]
  20. Chaudhary, V.; Das, S.; Nayak, A.; Guchhait, S.K.; Kundub, C.N. Scaffold-hopping and hybridization based design and building block strategic synthesis of pyridine-annulated purines: Discovery of novel apoptotic anticancer agents. RSC Adv. 2015, 5, 26051–26060. [Google Scholar] [CrossRef]
  21. Maji, P.K.; Mahalanobish, A. Copper accelerated one-pot sequential tandem synthesis of tetrahydropurinoisoquinoline derivatives. Heterocycles 2017, 94, 1847–1855. [Google Scholar] [CrossRef]
  22. Chinchilla, R.; Nájera, C. Recent advances in Sonogashira reactions. Chem. Soc. Rev. 2011, 40, 5084–5121. [Google Scholar] [CrossRef] [PubMed]
  23. Baig, R.B.N.; Varma, R.S. Alternative energy input: Mechanochemical, microwave and ultrasound-assisted organic synthesis. Chem. Soc. Rev. 2012, 41, 1559–1584. [Google Scholar] [CrossRef] [PubMed]
  24. Chinchilla, R.; Nájera, C. The Sonogashira reaction: A booming methodology in synthetic organic chemistry. Chem. Rev. 2007, 107, 874–922. [Google Scholar] [CrossRef] [PubMed]
  25. Mehtaa, V.P.; Van der Eycken, E.V. Microwave-assisted C–C bond forming cross-coupling reactions: An overview. Chem. Soc. Rev. 2011, 40, 4925–4936. [Google Scholar] [CrossRef]
  26. Miyaura, N.; Yamada, K.; Suzuki, A. A new stereospecific cross-coupling by the palladium-catalyzed reaction of 1-alkenylboranes with 1-alkenyl or 1-alkynyl halides. Tetrahedron Lett. 1979, 20, 3437–3440. [Google Scholar] [CrossRef]
  27. Larhed, M.; Hallberg, A. Microwave-promoted palladium-catalyzed coupling reactions. J. Org. Chem. 1996, 61, 9582–9584. [Google Scholar] [CrossRef]
  28. Nilsson, P.; Ofsson, K.; Larhed, M. Microwave-assisted and metal-catalyzed coupling reactions. Top. Curr. Chem. 2006, 266, 103–144. [Google Scholar]
  29. Baugh, L.; Phan, I.; Begley, D.W.; Clifton, M.C.; Armour, B.; Dranow, D.M.; Taylor, B.M.; Muruthi, M.M.; Abendroth, J.; Fairman, J.W.; et al. Increasing the structural coverage of tuberculosis drug targets. Tuberculosis 2015, 95, 142–148. [Google Scholar] [CrossRef]
  30. Ulmer, J.E.; Boum, Y.; Thouvenel, C.D.; Myllykallio, H.; Sibley, C.H. Functional analysis of the Mycobacterium tuberculosis FAD-dependent thymidylate synthase, ThyX, reveals new amino acid residues contributing to an extended ThyX motif. J. Bacteriol. 2008, 190, 2056–2064. [Google Scholar] [CrossRef]
  31. Alhossary, A.; Handoko, S.D.; Mu, Y.; Kwoh, C.-K. Fast, accurate, and reliable molecular docking with QuickVina 2. Bioinformatics 2015, 31, 2214–2216. [Google Scholar] [CrossRef]
  32. The PyMOL Molecular Graphics System, Version 1.8; Schrödinger, LLC.: New York, NY, USA, 2016.
  33. Seeliger, D.; de Groot, B.L. Ligand docking and binding site analysis with PyMOL and Autodock/Vina. J. Comput. Aided Mol Des. 2010, 24, 417–422. [Google Scholar] [CrossRef] [PubMed]
Figure 1. Recent inhibitors of ThyX and targeted pyrido [1,2,3]purine-2,4(1H,3H)-dione compounds.
Figure 1. Recent inhibitors of ThyX and targeted pyrido [1,2,3]purine-2,4(1H,3H)-dione compounds.
Molecules 27 06216 g001
Scheme 1. Reagents and conditions: a) DABCO, THF, MW 120 °C, 15 min. b) Phenyl, Benzyl or thio-isocynates, NaOEt, EtOH, MW 120 °C, 20 min.
Scheme 1. Reagents and conditions: a) DABCO, THF, MW 120 °C, 15 min. b) Phenyl, Benzyl or thio-isocynates, NaOEt, EtOH, MW 120 °C, 20 min.
Molecules 27 06216 sch001
Scheme 2. Reagents and conditions: a) K2CO3, benzylbromide derivatives, 4 Å MS, DMF, MW 120 °C, 20 min.
Scheme 2. Reagents and conditions: a) K2CO3, benzylbromide derivatives, 4 Å MS, DMF, MW 120 °C, 20 min.
Molecules 27 06216 sch002
Scheme 3. Reagents and conditions: a) DABCO, TMSCN, ethyl glyoxylate, THF, MW 120 °C, 15 min. b) Phenylisocyanate, NaOEt, EtOH, MW 120 °C, 20 min.
Scheme 3. Reagents and conditions: a) DABCO, TMSCN, ethyl glyoxylate, THF, MW 120 °C, 15 min. b) Phenylisocyanate, NaOEt, EtOH, MW 120 °C, 20 min.
Molecules 27 06216 sch003
Scheme 4. Et3N, CuI, Pd(PPh3)4, alkynyl chain, a): DMF, MW 110 °C, 15 min.
Scheme 4. Et3N, CuI, Pd(PPh3)4, alkynyl chain, a): DMF, MW 110 °C, 15 min.
Molecules 27 06216 sch004
Scheme 5. Cs2CO3, Pd(PPh3)4, R-B(OH)2, a): DMF, MW 120 °C, 40 min.
Scheme 5. Cs2CO3, Pd(PPh3)4, R-B(OH)2, a): DMF, MW 120 °C, 40 min.
Molecules 27 06216 sch005
Figure 2. Hydrogen bond and hydrophobic interactions between the binding site of ThyX from Mycobacterium tuberculosis complex and natural substrate dUMP. The green dotted lines depict the hydrogen bonds whereas the other residues represent the hydrophobic interactions with the respective compounds.
Figure 2. Hydrogen bond and hydrophobic interactions between the binding site of ThyX from Mycobacterium tuberculosis complex and natural substrate dUMP. The green dotted lines depict the hydrogen bonds whereas the other residues represent the hydrophobic interactions with the respective compounds.
Molecules 27 06216 g002
Figure 3. Hydrogen bond and hydrophobic interactions between the binding site of ThyX from Mycobacterium tuberculosis complex and 9a. The green dotted lines depict the hydrogen bonds whereas the other residues represent the hydrophobic interactions with the respective compounds.
Figure 3. Hydrogen bond and hydrophobic interactions between the binding site of ThyX from Mycobacterium tuberculosis complex and 9a. The green dotted lines depict the hydrogen bonds whereas the other residues represent the hydrophobic interactions with the respective compounds.
Molecules 27 06216 g003
Figure 4. Hydrogen bond and hydrophobic interactions between the binding site of ThyX from Mycobacterium tuberculosis complex with FAD and 23a. The green dotted lines depict the hydrogen bonds whereas the other residues represent the hydrophobic interactions with the respective compounds.
Figure 4. Hydrogen bond and hydrophobic interactions between the binding site of ThyX from Mycobacterium tuberculosis complex with FAD and 23a. The green dotted lines depict the hydrogen bonds whereas the other residues represent the hydrophobic interactions with the respective compounds.
Molecules 27 06216 g004
Table 1. SAR at the N3-position by phenyl derivatives 9a–j and 11 and the Mtb ThyX inhibition at 200 μM by the NADPH oxidase assay.
Table 1. SAR at the N3-position by phenyl derivatives 9a–j and 11 and the Mtb ThyX inhibition at 200 μM by the NADPH oxidase assay.
Molecules 27 06216 i001
CompoundR1AR1BR1CXInhibition %
9aFHHO59.4
9bClHHO49.8
9cBrHHO52.2
9dCH3HHO55.4
9eCF3HHO31.7
9fOCH3HHO8.1
9gHFHO12.8
9hFFHO22.7
9iFHFO6.6
9jCH3CH3HO19.9
11FHHS19.8
B1-PP146 a 95.1 b
a B1-PP146, a compound with a 1,4 benzoxazine ring, used as positive control; b value at 50 μM. The standard deviations from two independent experiments is between 3 and 9, as a function of the molecules.
Table 2. Mtb ThyX inhibition at 200 μM by the NADPH oxidase assay of the benzyl derivatives 10 and 12.
Table 2. Mtb ThyX inhibition at 200 μM by the NADPH oxidase assay of the benzyl derivatives 10 and 12.
Molecules 27 06216 i002
CompoundR1AXInhibition %
10aHO22.3
10bFO21.2
10cCF3O20.7
10dCH3O20.2
12HS0.0
B1-PP146 a 95.1 b
a B1-PP146, a compound with a 1,4 benzoxazine ring, used as positive control; b value at 50 μM. The standard deviations from two independent experiments is between 3 and 9, as a function of the molecules.
Table 3. ThyX inhibition assays of 9a,b and d in various conditions.
Table 3. ThyX inhibition assays of 9a,b and d in various conditions.
Without FAD AdditionAt 50 µm of InhibitorsTritium Release Assay
9a76.1%18.4%59.5%
9b12.6%2.2%69.2%
9d20.4%2.6%77.1%
Table 4. Mtb ThyX inhibition at 200 μM by the NADPH oxidase assay of benzyl analogues 13a–f.
Table 4. Mtb ThyX inhibition at 200 μM by the NADPH oxidase assay of benzyl analogues 13a–f.
Molecules 27 06216 i003
CompoundR2Inhibition %
13aH23.2
13bMe10.9
13cCN26.5
13dNO20
13eCOOMe44.8
13fPO(OMe)25.6
B1-PP146 a 95.1 b
a B1-PP146, a compound with a 1,4 benzoxazine ring, used as positive control; b value at 50 μM. The standard deviations from two independent experiments are between 3 and 9, as a function of the molecules.
Table 5. SAR of the C7 and C8 moiety by Sonogashira cross-coupling and Mtb ThyX inhibition at 200 μM by the NADPH oxidase assay.
Table 5. SAR of the C7 and C8 moiety by Sonogashira cross-coupling and Mtb ThyX inhibition at 200 μM by the NADPH oxidase assay.
Molecules 27 06216 i004
CompoundR3R4Inhibition %
18aCH3H45.8
18bHCH313.2
19aBrH8.8
19bHBr5.4
20aMolecules 27 06216 i005H32.0
20bMolecules 27 06216 i006H0
20cMolecules 27 06216 i007H18.6
20dMolecules 27 06216 i008H0
20eMolecules 27 06216 i009H45.1
20fMolecules 27 06216 i010H18.8
20gMolecules 27 06216 i011H0
21aHMolecules 27 06216 i01269.1
21bHMolecules 27 06216 i01332.1
21cHMolecules 27 06216 i0140
21dHMolecules 27 06216 i01532.5
21eHMolecules 27 06216 i01631.7
21fHMolecules 27 06216 i01716.9
21gHMolecules 27 06216 i01828.2
B1-PP146 a 95.1 b
a B1-PP146, a compound with a 1,4 benzoxazine ring, used as positive control; b value at 50 μM. The standard deviations from two independent experiments are between 3 and 9, as a function of the molecules.
Table 6. SAR of the C7 and C8 moiety by the Suzuki-Miyaura cross-coupling and Mtb ThyX inhibition at 200 μM by the NADPH oxidase assay.
Table 6. SAR of the C7 and C8 moiety by the Suzuki-Miyaura cross-coupling and Mtb ThyX inhibition at 200 μM by the NADPH oxidase assay.
Molecules 27 06216 i019
CompoundR3R4Inhibition %
22aMolecules 27 06216 i020H20.7
22bMolecules 27 06216 i021H45.7
22cMolecules 27 06216 i022H24.4
22dMolecules 27 06216 i023H27.8
22eMolecules 27 06216 i024H14.2
23aHMolecules 27 06216 i02584.3
23bHMolecules 27 06216 i02644.4
28cHMolecules 27 06216 i02735.4
23dHMolecules 27 06216 i02829.4
23eHMolecules 27 06216 i02943.1
B1-PP146 a 95.1 b
a B1-PP146, a compound with a 1,4 benzoxazine ring, used as positive control; b value at 50 μM. The standard deviations from two independent experiments is between 3 and 9, as a function of the molecules.
Publisher’s Note: MDPI stays neutral with regard to jurisdictional claims in published maps and institutional affiliations.

Share and Cite

MDPI and ACS Style

Biteau, N.G.; Roy, V.; Nicolas, C.; Becker, H.F.; Lambry, J.-C.; Myllykallio, H.; Agrofoglio, L.A. Synthesis and Structure–Activity Relationship Studies of Pyrido [1,2-e]Purine-2,4(1H,3H)-Dione Derivatives Targeting Flavin-Dependent Thymidylate Synthase in Mycobacterium tuberculosis. Molecules 2022, 27, 6216. https://doi.org/10.3390/molecules27196216

AMA Style

Biteau NG, Roy V, Nicolas C, Becker HF, Lambry J-C, Myllykallio H, Agrofoglio LA. Synthesis and Structure–Activity Relationship Studies of Pyrido [1,2-e]Purine-2,4(1H,3H)-Dione Derivatives Targeting Flavin-Dependent Thymidylate Synthase in Mycobacterium tuberculosis. Molecules. 2022; 27(19):6216. https://doi.org/10.3390/molecules27196216

Chicago/Turabian Style

Biteau, Nicolas G., Vincent Roy, Cyril Nicolas, Hubert F. Becker, Jean-Christophe Lambry, Hannu Myllykallio, and Luigi A. Agrofoglio. 2022. "Synthesis and Structure–Activity Relationship Studies of Pyrido [1,2-e]Purine-2,4(1H,3H)-Dione Derivatives Targeting Flavin-Dependent Thymidylate Synthase in Mycobacterium tuberculosis" Molecules 27, no. 19: 6216. https://doi.org/10.3390/molecules27196216

APA Style

Biteau, N. G., Roy, V., Nicolas, C., Becker, H. F., Lambry, J.-C., Myllykallio, H., & Agrofoglio, L. A. (2022). Synthesis and Structure–Activity Relationship Studies of Pyrido [1,2-e]Purine-2,4(1H,3H)-Dione Derivatives Targeting Flavin-Dependent Thymidylate Synthase in Mycobacterium tuberculosis. Molecules, 27(19), 6216. https://doi.org/10.3390/molecules27196216

Article Metrics

Back to TopTop