Dielectric Responses of (Zn0.33Nb0.67)xTi1−xO2 Ceramics Prepared by Chemical Combustion Process: DFT and Experimental Approaches
Abstract
1. Introduction
2. Experimental Details
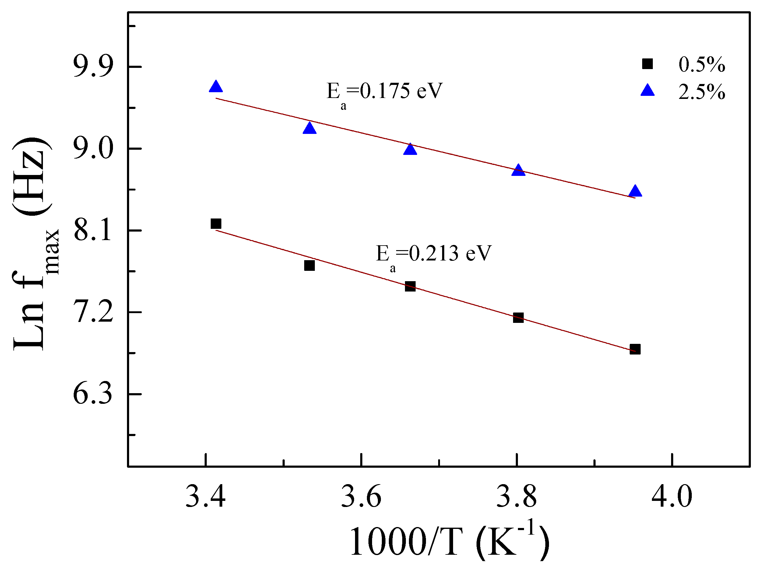
3. Results and Discussion
4. Conclusions
Author Contributions
Funding
Institutional Review Board Statement
Informed Consent Statement
Data Availability Statement
Acknowledgments
Conflicts of Interest
References
- Wu, J.; Nan, C.W.; Lin, Y.; Deng, Y. Giant dielectric permittivity observed in Li and Ti doped NiO. Phys. Rev. Lett. 2002, 89, 217601. [Google Scholar] [CrossRef] [PubMed]
- Schmidt, R.; Stennett, M.C.; Hyatt, N.C.; Pokorny, J.; Prado-Gonjal, J.; Li, M.; Sinclair, D.C. Effects of sintering temperature on the internal barrier layer capacitor (IBLC) structure in CaCu3Ti4O12 (CCTO) ceramics. J. Eur. Ceram. Soc. 2012, 32, 3313–3323. [Google Scholar] [CrossRef]
- Liu, L.; Fan, H.; Fang, P.; Chen, X. Sol–gel derived CaCu3Ti4O12 ceramics: Synthesis, characterization and electrical properties. Mater. Res. Bull. 2008, 43, 1800–1807. [Google Scholar] [CrossRef]
- Li, J.; Wu, K.; Jia, R.; Hou, L.; Gao, L.; Li, S. Towards enhanced varistor property and lower dielectric loss of CaCu3Ti4O12 based ceramics. Mater. Des. 2016, 92, 546–551. [Google Scholar] [CrossRef]
- Xu, T.; Wang, C.-A. Effect of two-step sintering on micro-honeycomb BaTiO3 ceramics prepared by freeze-casting process. J. Eur. Ceram. Soc. 2016, 36, 2647–2652. [Google Scholar] [CrossRef]
- Liu, Y.; Wang, W.; Huang, J.; Zhu, C.; Wang, C.; Cao, Y. High dielectric permittivity of Li and Sc co-doped NiO ceramics. J. Mater. Sci. Mater. Electron. 2014, 25, 1298–1302. [Google Scholar] [CrossRef]
- Ni, W.; Ye, J.; Guo, Y.; Cheng, C.; Lin, Z.; Li, Y.; Wang, H.; Yu, Y.; Li, Q.; Huang, S.; et al. Decisive role of mixed-valence structure in colossal dielectric constant of LaFeO3. J. Am. Ceram. Soc. 2017, 100, 3042–3049. [Google Scholar] [CrossRef]
- Ni, L.; Chen, X.M. Dielectric relaxations and formation mechanism of giant dielectric constant step in CaCu3Ti4O12 ceramics. Appl. Phys. Lett. 2007, 91, 122905. [Google Scholar] [CrossRef]
- Ke, S.; Fan, H.; Huang, H. Dielectric relaxation in A2FeNbO6 (A = Ba, Sr, and Ca) perovskite ceramics. J. Electroceramics 2009, 22, 252–256. [Google Scholar] [CrossRef]
- Zhang, C.-h.; Zhang, K.; Xu, H.-x.; Song, Q.; Yang, Y.-t.; Yu, R.-h.; Xu, D.; Cheng, X.-n. Microstructure and electrical properties of sol–gel derived Ni-doped CaCu3Ti4O12 ceramics. Trans. Nonferrous Met. Soc. China 2012, 22, s127–s132. [Google Scholar] [CrossRef]
- Shi, Y.; Hao, W.; Wu, H.; Sun, L.; Cao, E.; Zhang, Y.; Peng, H. High dielectric-permittivity properties of NaCu3Ti3Sb0.5Nb0.5O12 ceramics. Ceram. Int. 2015, 42, 116–121. [Google Scholar] [CrossRef]
- Wang, Z.; Cao, M.; Zhang, Q.; Hao, H.; Yao, Z.; Wang, Z.; Song, Z.; Zhang, Y.; Hu, W.; Liu, H. Dielectric Relaxation in Zr-Doped SrTiO3 Ceramics Sintered in N2 with Giant Permittivity and Low Dielectric Loss. J. Am. Ceram. Soc. 2015, 98, 476–482. [Google Scholar] [CrossRef]
- Liu, Y.; Zhao, X.; Zhang, C. Dielectric and impedance characteristics of Na1/3Ca1/3Y1/3Cu3Ti4O12 ceramic prepared by solid-state reaction method. J. Mater. Sci. Mater. Electron. 2016, 27, 11757–11761. [Google Scholar] [CrossRef]
- Nautiyal, A.; Autret, C.; Honstettre, C.; De Almeida-Didry, S.; Amrani, M.E.; Roger, S.; Negulescu, B.; Ruyter, A. Local analysis of the grain and grain boundary contributions to the bulk dielectric properties of Ca(Cu3−yMgy)Ti4O12 ceramics: Importance of the potential barrier at the grain boundary. J. Eur. Ceram. Soc. 2016, 36, 1391–1398. [Google Scholar] [CrossRef]
- Jumpatam, J.; Thongbai, P.; Yamwong, T.; Maensiri, S. Effects of Bi3+ doping on microstructure and dielectric properties of CaCu3Ti4O12/CaTiO3 composite ceramics. Ceram. Int. 2015, 41, S498–S503. [Google Scholar] [CrossRef]
- Hu, W.; Liu, Y.; Withers, R.L.; Frankcombe, T.J.; Noren, L.; Snashall, A.; Kitchin, M.; Smith, P.; Gong, B.; Chen, H.; et al. Electron-pinned defect-dipoles for high-performance colossal permittivity materials. Nat. Mater. 2013, 12, 821–826. [Google Scholar] [CrossRef]
- Nachaithong, T.; Kidkhunthod, P.; Thongbai, P.; Maensiri, S. Surface barrier layer effect in (In + Nb) co-doped TiO2 ceramics: An alternative route to design low dielectric loss. J. Am. Ceram. Soc. 2017, 100, 1452–1459. [Google Scholar] [CrossRef]
- Li, J.; Li, F.; Zhuang, Y.; Jin, L.; Wang, L.; Wei, X.; Xu, Z.; Zhang, S. Microstructure and dielectric properties of (Nb + In) co-doped rutile TiO2 ceramics. J. Appl. Phys. 2014, 116, 074105. [Google Scholar] [CrossRef]
- Zhang, L.; Tang, Z.-J. Polaron relaxation and variable-range-hopping conductivity in the giant-dielectric-constant material CaCu3Ti4O12. Phys. Rev. B 2004, 70, 174306. [Google Scholar] [CrossRef]
- Lunkenheimer, P.; Fichtl, R.; Ebbinghaus, S.; Loidl, A. Nonintrinsic origin of the colossal dielectric constants in CaCu3Ti4O12. Phys. Rev. B 2004, 70, 172102. [Google Scholar] [CrossRef]
- Wei, X.; Jie, W.; Yang, Z.; Zheng, F.; Zeng, H.; Liu, Y.; Hao, J. Colossal permittivity properties of Zn,Nb co-doped TiO2 with different phase structures. J. Mater. Chem. C 2015, 3, 11005–11010. [Google Scholar] [CrossRef]
- Thongyong, N.; Tuichai, W.; Chanlek, N.; Thongbai, P. Effect of Zn2+ and Nb5+ co-doping ions on giant dielectric properties of rutile-TiO2 ceramics. Ceram. Int. 2017, 43, 15466–15471. [Google Scholar] [CrossRef]
- Nachaithong, T.; Thongbai, P.; Maensiri, S. Colossal permittivity in (In1/2Nb1/2)xTi1−xO2 ceramics prepared by a glycine nitrate process. J. Eur. Ceram. Soc. 2017, 37, 655–660. [Google Scholar] [CrossRef]
- Zhu, X.; Yang, L.; Li, J.; Jin, L.; Wang, L.; Wei, X.; Xu, Z.; Li, F. The dielectric properties for (Nb,In,B) co-doped rutile TiO2 ceramics. Ceram. Int. 2017, 43, 6403–6409. [Google Scholar] [CrossRef]
- Zhang, J.; Yue, Z.; Zhou, Y.; Peng, B.; Zhang, X.; Li, L. Temperature-dependent dielectric properties, thermally-stimulated relaxations and defect-property correlations of TiO2 ceramics for wireless passive temperature sensing. J. Eur. Ceram. Soc. 2016, 36, 1923–1930. [Google Scholar] [CrossRef]
- Nachaithong, T.; Tuichai, W.; Kidkhunthod, P.; Chanlek, N.; Thongbai, P.; Maensiri, S. Preparation, characterization, and giant dielectric permittivity of (Y3+ and Nb5+) co–doped TiO2 ceramics. J. Eur. Ceram. Soc. 2017, 37, 3521–3526. [Google Scholar] [CrossRef]
- Yang, C.; Wei, X.; Hao, J. Disappearance and recovery of colossal permittivity in (Nb+Mn) co-doped TiO2. Ceram. Int. 2018, 11, 12395–12400. [Google Scholar] [CrossRef]
- Hu, W.; Lau, K.; Liu, Y.; Withers, R.L.; Chen, H.; Fu, L.; Gong, B.; Hutchison, W. Colossal Dielectric Permittivity in (Nb+Al) Codoped Rutile TiO2 Ceramics: Compositional Gradient and Local Structure. Chem. Mater. 2015, 27, 4934–4942. [Google Scholar] [CrossRef]









| Sample | Lattice Parameter (Å) | ||
|---|---|---|---|
| a | c | ||
| (a) | 0.5% Zn-TiO2 powder | 4.5961 | 2.9618 |
| (b) | 0.5% Nb-TiO2 powder | 4.5964 | 2.9619 |
| (c) | (Zn0.33Nb0.67)xTi1−xO2 powder with x = 0.5% | 4.5971 | 2.9621 |
| (d) | (Zn0.33Nb0.67)xTi1−xO2 powder with x = 2.5% | 4.5994 | 2.9624 |
| (e) | 0.5% ZNTO | 4.5967 | 2.9625 |
| (f) | 2.5% ZNTO | 4.5997 | 2.9647 |
Publisher’s Note: MDPI stays neutral with regard to jurisdictional claims in published maps and institutional affiliations. |
© 2022 by the authors. Licensee MDPI, Basel, Switzerland. This article is an open access article distributed under the terms and conditions of the Creative Commons Attribution (CC BY) license (https://creativecommons.org/licenses/by/4.0/).
Share and Cite
Nachaithong, T.; Moontragoon, P.; Thongbai, P. Dielectric Responses of (Zn0.33Nb0.67)xTi1−xO2 Ceramics Prepared by Chemical Combustion Process: DFT and Experimental Approaches. Molecules 2022, 27, 6121. https://doi.org/10.3390/molecules27186121
Nachaithong T, Moontragoon P, Thongbai P. Dielectric Responses of (Zn0.33Nb0.67)xTi1−xO2 Ceramics Prepared by Chemical Combustion Process: DFT and Experimental Approaches. Molecules. 2022; 27(18):6121. https://doi.org/10.3390/molecules27186121
Chicago/Turabian StyleNachaithong, Theeranuch, Pairot Moontragoon, and Prasit Thongbai. 2022. "Dielectric Responses of (Zn0.33Nb0.67)xTi1−xO2 Ceramics Prepared by Chemical Combustion Process: DFT and Experimental Approaches" Molecules 27, no. 18: 6121. https://doi.org/10.3390/molecules27186121
APA StyleNachaithong, T., Moontragoon, P., & Thongbai, P. (2022). Dielectric Responses of (Zn0.33Nb0.67)xTi1−xO2 Ceramics Prepared by Chemical Combustion Process: DFT and Experimental Approaches. Molecules, 27(18), 6121. https://doi.org/10.3390/molecules27186121

