Metabolomic Analysis and MRM Verification of Coarse and Fine Skin Tissues of Liaoning Cashmere Goat
Abstract
1. Introduction
2. Materials and Methods
2.1. Sample Preparation
2.2. Metabolites Extraction
2.3. UHPLC–MS/MS Analysis
2.3.1. Chromatographic Conditions
2.3.2. Mass Spectrometry Conditions
2.4. Identification of Metabolites
2.5. Data Analysis
2.6. MRM Validation
3. Results
3.1. QC Sample Quality Control
3.2. Total Sample Principal Component Analysis
3.3. KEGG Pathway Enrichment of all Identified Metabolites
3.4. HMDB Classification Notes
3.5. LIPID MAPS Classification Notes
3.6. Partial Least Squares Discrimination Analysis (PLS-DA)
3.7. Differential Metabolite Analysis
3.8. Correlation Analysis of Differential Metabolites
3.9. KEGG Pathway Enrichment of the Differential Metabolites
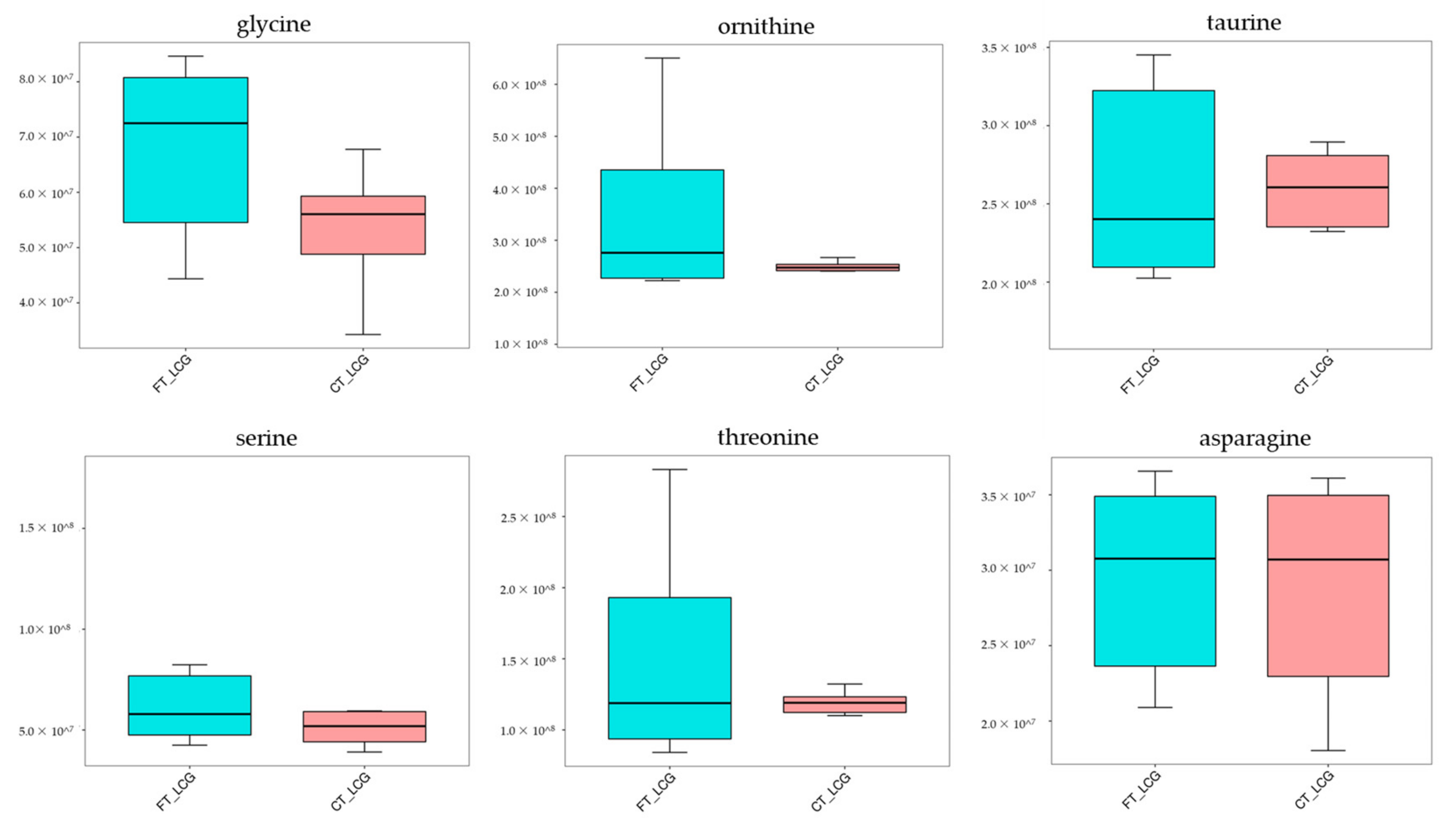
3.10. Validation Experiment
4. Discussion
5. Conclusions
Author Contributions
Funding
Institutional Review Board Statement
Informed Consent Statement
Data Availability Statement
Acknowledgments
Conflicts of Interest
Sample Availability
References
- Wang, S.; Ge, W.; Luo, Z.; Guo, Y.; Jiao, B.; Qu, L.; Zhang, Z.; Wang, X. Integrated analysis of coding genes and non-coding RNAs during hair follicle cycle of cashmere goat (Capra hircus). BMC Genom. 2017, 18, 767. [Google Scholar] [CrossRef]
- Liu, X.; Jiang, H.Z.; Song, X.C. Analysis of annual effect of cashmere performance of Liaoning cashmere goats. Anim. Husb. Vet. Med. 2020, 08, 55–57. [Google Scholar]
- Dunn, W.B.; Ellis, D. Metabolomics: Current analytical platforms and methodologies. TrAC Trends Anal. Chem. 2005, 24, 285–294. [Google Scholar]
- Fiehn, O. Metabolomics—The link between genotypes and phenotypes. Plant Mol. Biol. 2002, 48, 155–171. [Google Scholar] [CrossRef] [PubMed]
- Delplancke, T.D.; De Seymour, J.V.; Tong, C.; Sulek, K.; Xia, Y.; Zhang, H.; Han, T.L.; Baker, P.N. Analysis of sequential hair segments reflects changes in the metabolome across the trimesters of pregnancy. Sci. Rep. 2018, 8, 36. [Google Scholar] [CrossRef] [PubMed]
- Wang, X.; Cai, C.; Liang, Q.; Xia, M.; Lai, L.; Wu, X.; Jiang, X.; Cheng, H.; Song, Y.; Zhou, Q. Integrated Transcriptomics and Metabolomics Analyses of Stress-Induced Murine Hair Follicle Growth Inhibition. Front. Mol. Biosci. 2022, 9, 781619. [Google Scholar] [CrossRef] [PubMed]
- Elpa, D.P.; Chiu, H.Y.; Wu, S.P.; Urban, P.L. Skin Metabolomics. Trends Endocrinol. Metab. 2021, 32, 66–75. [Google Scholar] [CrossRef]
- Dutkiewicz, E.P.; Hsieh, K.-T.; Urban, P.L.; Chiu, H.-Y. Temporal Correlations of Skin and Blood Metabolites with Clinical Outcomes of Biologic Therapy in Psoriasis. J. Appl. Lab. Med. 2020, 5, 877–888. [Google Scholar] [CrossRef]
- Pohla, L.; Ottas, A.; Kaldvee, B.; Abram, K.; Soomets, U.; Zilmer, M.; Reemann, P.; Jaks, V.; Kingo, K. Hyperproliferation is the main driver of metabolomic changes in psoriasis lesional skin. Sci. Rep. 2020, 10, 3081. [Google Scholar] [CrossRef]
- Caboni, P.; Murgia, A.; Porcu, A.; Manis, C.; Ibba, I.; Contu, M.; Scano, P. A metabolomics comparison between sheeps and goats milk. Food Res. Int. 2019, 119, 869–875. [Google Scholar] [CrossRef]
- Liu, H.; Guo, X.; Zhao, Q.; Qin, Y.; Zhang, J. Lipidomics analysis for identifying the geographical origin and lactation stage of goat milk. Food Chem. 2019, 309, 125765. [Google Scholar] [CrossRef]
- Scano, P.; Murgia, A.; Pirisi, F.M.; Caboni, P. A gas chromatography-mass spectrometry-based metabolomic approach for the characterization of goat milk compared with cow milk. J. Dairy Sci. 2014, 97, 6057–6066. [Google Scholar] [CrossRef]
- Sun, L.; Guo, Y.; Fan, Y.; Nie, H.; Wang, R.; Wang, F. Metabolic profiling of stages of healthy pregnancy in Hu sheep using nuclear magnetic resonance (NMR). Theriogenology 2017, 92, 121–128. [Google Scholar] [CrossRef]
- Jang, W.-J.; Choi, J.Y.; Park, B.; Seo, J.H.; Seo, Y.H.; Lee, S.; Jeong, C.-H.; Lee, S. Hair Metabolomics in Animal Studies and Clinical Settings. Molecules 2019, 24, 2195. [Google Scholar] [CrossRef]
- Sumner, L.W.; Amberg, A.; Barrett, D.; Beale, M.H.; Beger, R.; Daykin, C.A.; Fan, T.W.; Fiehn, O.; Goodacre, R.; Griffin, J.L.; et al. Proposed minimum reporting standards for chemical analysis Chemical Analysis Working Group (CAWG) Metabolomics Standards Initiative (MSI). Metabolomics 2007, 3, 211–221. [Google Scholar] [CrossRef]
- Wang, J.; Pu, S.; Sun, Y.; Li, Z.; Niu, M.; Yan, X.; Zhao, Y.; Wang, L.; Qin, X.; Ma, Z.; et al. Metabolomic Profiling of Autoimmune Hepatitis: The Diagnostic Utility of Nuclear Magnetic Resonance Spectroscopy. J. Proteome Res. 2014, 13, 3792–3801. [Google Scholar] [CrossRef]
- Cai, W.; Xu, Y.; Bai, Z.; Lin, G.; Wang, L.; Dou, X.; Han, D.; Wang, Z.; Wang, J.; Zhang, X.; et al. Association analysis for SNPs of BAAT and COL1A1 genes with cashmere production performance and other production traits in Liaoning cashmere goats. Anim. Biotechnol. 2022, 33, 1–11. [Google Scholar] [CrossRef]
- Bröer, S.; Bröer, A. Amino acid homeostasis and signalling in mammalian cells and organisms. Biochem. J. 2017, 474, 1935–1963. [Google Scholar] [CrossRef]
- Sande, V.M. Hair amino acids: Normal values and results in metabolic errors. Arch. Dis. Child. 1970, 45, 678–681. [Google Scholar] [CrossRef][Green Version]
- Yoshino, M.; Kubota, K.; Yoshida, I.; Murakami, T.; Yamashita, F. Argininemia: Report of a New Case and Mechanisms of Orotic Aciduria and Hyperammonemia. Adv. Exp. Med. Biol. 1982, 153, 121–125. [Google Scholar]
- Yang, C.H.; Xu, J.H.; Ren, Q.C.; Duan, T.; Mo, F.; Zhang, W. Melatonin promotes secondary hair follicle development of early postnatal cashmere goat and improves cashmere quantity and quality by enhancing antioxidant capacity and suppressing apoptosis. J. Pineal. Res. 2019, 67, e12569. [Google Scholar] [CrossRef] [PubMed]
- Ma, H.; Zhang, W.; Song, W.H.; Sun, P.; Jia, Z.H. Effects of tryptophan supplementation on cashmere fiber characteristics, serum tryptophan, and related hormone concentrations in cashmere goats. Domest. Anim. Endocrinol. 2012, 43, 239–250. [Google Scholar] [CrossRef]
- Zahn, H.; Gattner, H.-G. Hair sulfur amino acid analysis. Exs 1997, 78, 239–258. [Google Scholar] [PubMed]
- Sherlock, R.G.; Harris, P.M.; Lee, J.; Wickham, G.A.; Woods, J.L.; McCutcheon, S.N. Intake and long-term cysteine supplementation change wool characteristics of Romney sheep. Aust. J. Agric. Res. 2001, 52, 29–36. [Google Scholar] [CrossRef]
- Hynd, P.I. Factors Influencing Cellular Events in the Wool Follicle. In The Biology of Wool and Hair; Rogers, G.E., Reis, P.J., Ward, K.A., Marshall, R.C., Eds.; Springer: Dordrecht, Netherlands, 1988. [Google Scholar]
- Prusiewicz-Witaszek, U. Changes in the biosynthesis of keratin in the hair following supplementing rabbits’ basic feed with methionine and lysine. Polskie Arch. Weter. 1975, 17, 659–666. [Google Scholar]
- Collin, C.; Gautier, B.; Gaillard, O.; Hallegot, P.; Chabane, S.; Bastien, P.; Peyron, M.; Bouleau, M.; Thibaut, S.; Pruche, F.; et al. Protective effects of taurine on human hair follicle grown in vitro. Int. J. Cosmet. Sci. 2006, 28, 289–298. [Google Scholar] [CrossRef] [PubMed]
- Yamaguchi, Y.; Itami, S.; Nishida, K.; Ando, Y.; Okamoto, S.; Hosokawa, K.; Yoshikawa, K. Taurin-conjugated ursodeoxycholic acid has a reversible inhibitory effect on human keratinocyte growth. J. Dermatol. Sci. 1998, 18, 35–42. [Google Scholar] [CrossRef]
- Kim, H.; Chang, H.; Lee, N.-H. Simulative Evaluation of Taurine Against Alopecia Caused by Stress in Caenorhabditis Elegans; Springer: New York, NY, USA, 2013; Volume 776, pp. 267–276. [Google Scholar]
- Zhao, M.; Chen, H.; Wang, X.; Yu, H.; Wang, M.; Wang, J.; Lan, X.Y.; Zhang, C.F.; Zhang, L.Z.; Guo, Y.K.; et al. aPCR-SSCP and DNA sequencing detecting two silent SNPs at KAP8.1 gene in the cashmere goat. Mol. Biol. Rep. 2009, 36, 1387–1391. [Google Scholar] [CrossRef]
- Chapman, G.V.; Bradbury, J.H. The chemical composition of wool. 7. Separation and analysis of orthocortex and paracortex. Arch. Biochem. Biophys 1968, 127, 157–163. [Google Scholar] [CrossRef]
- Strnad, P.; Usachov, V.; Debes, C.; Gräter, F.; Parry, D.A.; Omary, M.B. Unique amino acid signatures that are evolutionarily conserved distinguish simple-type, epidermal and hair keratins. J. Cell Sci. 2011, 124, 4221–4232. [Google Scholar] [CrossRef]
- Dai, B.; Liang, H.; Guo, D.-D.; Bi, Z.-W.; Yuan, J.-L.; Jin, Y.; Huan, L.; Guo, X.-D.; Cang, M.; Liu, D.J. The Overexpression of Tβ4 in the Hair Follicle Tissue of Alpas Cashmere Goats Increases Cashmere Yield and Promotes Hair Follicle Development. Animals 2019, 10, 75. [Google Scholar] [CrossRef]
- Geng, R.; Yuan, C.; Chen, Y. Exploring Differentially Expressed Genes by RNA-Seq in Cashmere Goat (Capra hircus) Skin during Hair Follicle Development and Cycling. PLoS ONE 2013, 8, e62704. [Google Scholar]
- Kloepper, J.E.; Ernst, N.; Krieger, K.; Bodó, E.; Bíró, T.; Haslam, I.S.; Schmidt-Ullrich, R.; Paus, R. NF-κB activity is required for anagen maintenance in human hair follicles in vitro. J. Investig. Dermatol. 2014, 134, 2036–2038. [Google Scholar] [CrossRef]
- Laurikkala, J.; Pispa, J.; Jung, H.-S.; Nieminen, P.; Mikkola, M.; Wang, X.; Saarialho-Kere, U.; Galceran, J.; Grosschedl, R.; Thesleff, I. Regulation of hair follicle development by the TNF signal ectodysplasin and its receptor Edar. Development 2002, 129, 2541–2553. [Google Scholar] [CrossRef]
- Yue, Y.; Guo, T.; Yuan, C.; Liu, J.; Guo, J.; Feng, R.; Niu, C.; Sun, X.; Yang, B. Integrated Analysis of the Roles of Long Noncoding RNA and Coding RNA Expression in Sheep (Ovis aries) Skin during Initiation of Secondary Hair Follicle. PLoS ONE 2016, 11, e0156890. [Google Scholar] [CrossRef]
- Feingold, K.R. The outer frontier: The importance of lipid metabolism in the skin. J. Lipid Res. 2009, 50, S417–S422. [Google Scholar] [CrossRef]
- Palmer, M.; Blakeborough, L.; Harries, M.; Haslam, I.S. Cholesterol homeostasis: Links to hair follicle biology and hair disorders. Exp. Dermatol. 2020, 29, 299–311. [Google Scholar] [CrossRef]
- Incardona, J.P.; Eaton, S. Cholesterol in signal transduction. Curr. Opin. Cell Biol. 2000, 12, 193–203. [Google Scholar] [CrossRef]
- Lee, J.; Tumbar, T. Hairy tale of signaling in hair follicle development and cycling. Semin. Cell Dev. Biol. 2012, 23, 906–916. [Google Scholar] [CrossRef]












| ID | Name | Formula | FC | log2FC | p Value | VIP | Trend |
|---|---|---|---|---|---|---|---|
| Com_1878_pos | Gly–Phe | C11H14N2O3 | 1.840516 | 0.88011 | 0.008541 | 1.355301 | up |
| Com_2079_pos | Tyrosylalanine | C12H16N2O4 | 2.28476 | 1.192043 | 0.009232 | 2.011242 | up |
| Com_2167_pos | 6,7,8-trimethoxy-2-(2-phenoxy-3-pyridyl)-4H-3,1-benzoxazin-4-one | C22H18N2O6 | 0.314242 | −1.67005 | 0.013825 | 2.865879 | down |
| Com_2371_pos | Neodiosmin | C28H32O15 | 0.329646 | −1.60101 | 0.016317 | 3.036509 | down |
| Com_1438_pos | Glycochenodeoxycholic acid | C26H43NO5 | 3.171151 | 1.665007 | 0.017141 | 2.102527 | up |
| Com_191_pos | 4-(2,3-dihydro-1,4-benzodioxin-6-yl)butanoic acid | C12H14O4 | 0.165891 | −2.59169 | 0.017738 | 4.05138 | down |
| Com_2328_pos | Celestolide | C17H24O | 2.629355 | 1.394709 | 0.018376 | 1.504881 | up |
| Com_2181_pos | 3-hydroxy-N-(1-hydroxy-4-methylpentan-2-yl)-5-oxo-6-phenylhexanamide | C18H27NO4 | 0.420322 | −1.25043 | 0.036147 | 1.137918 | down |
| Com_469_pos | 3-Methylcrotonylglycine | C7H11NO3 | 0.308891 | −1.69483 | 0.041219 | 2.062733 | down |
| Com_1157_pos | ACar 10:1 | C17H32NO4 | 0.400311 | −1.32081 | 0.044941 | 2.120841 | down |
| Com_404_pos | indoline-2-carboxylic acid | C9H9NO2 | 0.568419 | −0.81497 | 0.04785 | 1.004339 | down |
| ID | Name | Formula | FC | log2FC | p Value | VIP | Trend |
|---|---|---|---|---|---|---|---|
| Com_3763_neg | Taurochenodeoxycholate | C26H44N NaO6S | 2.245599 | 1.167101 | 0.001669 | 1.407966 | up |
| Com_730_neg | 13,14-Dihydro-15-keto Prostaglandin A2 | C20H30O4 | 1.856423 | 0.892526 | 0.006386 | 1.124458 | up |
| Com_422_neg | Taurochenodeoxycholic acid | C26H45NO6S | 2.302059 | 1.202925 | 0.008387 | 1.380152 | up |
| Com_2821_neg | PE (18:1e/18:1) | C41H80NO7P | 0.431353 | −1.21306 | 0.009712 | 1.747769 | down |
| Com_3691_neg | Prostaglandin B2 | C20H30O4 | 2.039076 | 1.027916 | 0.011712 | 1.406344 | up |
| Com_1996_neg | 7-Ketodeoxycholic acid | C24H38O5 | 3.34657 | 1.742683 | 0.011779 | 3.023359 | up |
| Com_1193_neg | Delta-Tridecalactone | C13H24O2 | 0.568493 | −0.81479 | 0.012783 | 1.015299 | down |
| Com_4499_neg | PE (18:2e/18:2) | C41H76NO7P | 0.25246 | −1.98587 | 0.013294 | 2.21477 | down |
| Com_116_neg | N-Isobutyrylglycine | C6H11NO3 | 0.19186 | −2.38187 | 0.016014 | 2.980363 | down |
| Com_1221_neg | N-Acetylglycine | C4H7NO3 | 0.326927 | −1.61296 | 0.016573 | 1.708988 | down |
| Com_1799_neg | Jasmonic acid | C12H18O3 | 0.378752 | −1.40068 | 0.017172 | 3.143533 | down |
| Com_3977_neg | (3 shan,5 fou,9 fou)-3,23-Dihydroxy-1-oxoolean-12-en-28-oic acid | C30H46O5 | 0.478919 | −1.06215 | 0.017208 | 1.489396 | down |
| Com_39_neg | Cholic acid | C24H40O5 | 3.341702 | 1.740583 | 0.022171 | 3.659888 | up |
| Com_1573_neg | N-Acetylsphingosine | C20H39NO3 | 2.000667 | 1.000481 | 0.027948 | 1.19617 | up |
| Com_1902_neg | 5-(3-cyclohexylprop-1-ynyl)nicotinic acid | C15H17NO2 | 0.169535 | −2.56034 | 0.028812 | 2.900065 | down |
| Com_407_neg | Hexanoylglycine | C8H15NO3 | 0.149356 | −2.74317 | 0.034156 | 2.920229 | down |
| Com_1371_neg | Capryloylglycine | C10H19NO3 | 0.220021 | −2.18429 | 0.034311 | 2.813614 | down |
| Com_337_neg | N-Tigloylglycine | C7H11NO3 | 0.417917 | −1.25871 | 0.041284 | 1.575588 | down |
| Com_2101_neg | Isophorone | C9H14O | 0.609557 | −0.71417 | 0.044981 | 2.975498 | down |
| Com_1063_neg | 3-[(methoxycarbonyl)amino]-2,2,3-trimethylbutanoic acid | C9H17NO4 | 0.299 | −1.74178 | 0.047286 | 2.261636 | down |
| Com_326_neg | 3,3-Dimethylglutaric acid | C7H12O4 | 0.658063 | −0.6037 | 0.048218 | 2.792619 | down |
| Map ID | Map Title | p Value | x | y | Enrich Direct | Meta IDs | Name |
|---|---|---|---|---|---|---|---|
| map04979 | Cholesterol metabolism | 0.017544 | 1 | 1 | Over | Com_1438_pos | Glycochenodeoxycholic acid |
| map00120 | Primary bile acid biosynthesis | 0.035088 | 1 | 2 | Over | Com_1438_pos | Glycochenodeoxycholic acid |
| map04976 | Bile secretion | 0.105263 | 1 | 6 | Over | Com_1438_pos | Glycochenodeoxycholic acid |
| MapID | MapTitle | p Value | x | y | EnrichDirect | MetaIDs | Name |
|---|---|---|---|---|---|---|---|
| map00120 | Primary bile acid biosynthesis | 0.002056 | 3 | 6 | Over | Com_3763_neg Com_39_neg Com_422_neg | Taurochenodeoxycholate; Cholic acid; Taurochenodeoxycholic acid |
| map04976 | Bile secretion | 0.01536 | 3 | 11 | Over | Com_3763_neg Com_39_neg Com_422_neg | Taurochenodeoxycholate; Cholic acid;Taurochenodeoxycholic acid |
| map04979 | Cholesterol metabolism | 0.016769 | 2 | 4 | Over | Com_3763_neg Com_422_neg | Taurochenodeoxycholate; Taurochenodeoxycholic acid |
| map00592 | alpha-Linolenic acid metabolism | 0.060241 | 1 | 1 | Over | Com_1799_neg | Jasmonic acid |
| map00590 | Arachidonic acid metabolism | 0.172016 | 1 | 3 | Over | Com_3691_neg | Prostaglandin B2 |
| map04726 | Serotonergic synapse | 0.172016 | 1 | 3 | Over | Com_3691_neg | Prostaglandin B2 |
Publisher’s Note: MDPI stays neutral with regard to jurisdictional claims in published maps and institutional affiliations. |
© 2022 by the authors. Licensee MDPI, Basel, Switzerland. This article is an open access article distributed under the terms and conditions of the Creative Commons Attribution (CC BY) license (https://creativecommons.org/licenses/by/4.0/).
Share and Cite
Xu, Y.; Cai, W.; Chen, R.; Zhang, X.; Bai, Z.; Zhang, Y.; Qin, Y.; Gu, M.; Sun, Y.; Wu, Y.; et al. Metabolomic Analysis and MRM Verification of Coarse and Fine Skin Tissues of Liaoning Cashmere Goat. Molecules 2022, 27, 5483. https://doi.org/10.3390/molecules27175483
Xu Y, Cai W, Chen R, Zhang X, Bai Z, Zhang Y, Qin Y, Gu M, Sun Y, Wu Y, et al. Metabolomic Analysis and MRM Verification of Coarse and Fine Skin Tissues of Liaoning Cashmere Goat. Molecules. 2022; 27(17):5483. https://doi.org/10.3390/molecules27175483
Chicago/Turabian StyleXu, Yanan, Weidong Cai, Rui Chen, Xinjiang Zhang, Zhixian Bai, Yu Zhang, Yuting Qin, Ming Gu, Yinggang Sun, Yanzhi Wu, and et al. 2022. "Metabolomic Analysis and MRM Verification of Coarse and Fine Skin Tissues of Liaoning Cashmere Goat" Molecules 27, no. 17: 5483. https://doi.org/10.3390/molecules27175483
APA StyleXu, Y., Cai, W., Chen, R., Zhang, X., Bai, Z., Zhang, Y., Qin, Y., Gu, M., Sun, Y., Wu, Y., & Wang, Z. (2022). Metabolomic Analysis and MRM Verification of Coarse and Fine Skin Tissues of Liaoning Cashmere Goat. Molecules, 27(17), 5483. https://doi.org/10.3390/molecules27175483
