Sign in to use this feature.

Years

Between: -

Subjects

remove_circle_outline
remove_circle_outline
remove_circle_outline
remove_circle_outline
remove_circle_outline

Journals

Article Types

Countries / Regions

Search Results (12)

Search Parameters:
Keywords = cashmere fineness

Order results
Result details
Results per page
Select all
Export citation of selected articles as:
14 pages, 2487 KB  
Article
Genomic Selection for Cashmere Traits in Inner Mongolian Cashmere Goats Using Random Forest, Gradient Boosting Decision Tree, Extreme Gradient Boosting and Light Gradient Boosting Machine Methods
by Jiaqi Liu, Xiaochun Yan, Wenze Li, Shan-Hui Xue, Zhiying Wang and Rui Su
Animals 2025, 15(20), 2940; https://doi.org/10.3390/ani15202940 - 10 Oct 2025
Viewed by 618
Abstract
In recent years, Machine Learning (ML) has garnered increasing attention for its applications in genomic prediction. ML effectively processes high-dimensional genomic data and establishes nonlinear models. Compared to traditional Genomic Selection (GS) methods, ML algorithms enhance computational efficiency and offer higher prediction accuracy. [...] Read more.
In recent years, Machine Learning (ML) has garnered increasing attention for its applications in genomic prediction. ML effectively processes high-dimensional genomic data and establishes nonlinear models. Compared to traditional Genomic Selection (GS) methods, ML algorithms enhance computational efficiency and offer higher prediction accuracy. Therefore, this study strives to achieve the optimal machine learning algorithm for genome-wide selection of cashmere traits in Inner Mongolian cashmere goats. This study compared the genomic prediction accuracy of cashmere traits using four machine learning algorithms—Random Forest (RF), Extreme Gradient Boosting Tree (XGBoost), Gradient Boosting Decision Tree (GBDT), and LightGBM—based on genotype data and cashmere trait phenotypic data from 2299 Inner Mongolian cashmere goats. The results showed that after parameter optimization, LightGBM achieved the highest selection accuracy for fiber length (56.4%), RF achieved the highest selection accuracy for cashmere production (35.2%), and GBDT achieved the highest selection accuracy for cashmere diameter (40.4%), compared with GBLUP, the accuracy improved by 0.8–2.7%. Among the three traits, XGBoost exhibited the lowest prediction accuracy, at 0.541, 0.309, and 0.387. Additionally, following parameter optimization, the prediction accuracy of the four machine learning methods for cashmere fineness, cashmere yield, and fiber length improved by an average of 2.9%, 2.7%, and 3.8%, respectively. The mean squared error (MSE) and mean absolute error (MAE) for all machine learning methods also decreased, indicating that hyperparameter tuning can enhance prediction accuracy in ML algorithms. Full article
Show Figures

Figure 1

9 pages, 443 KB  
Article
Detection of a Second KAP22 Family Member in Sheep and Analysis of Its Genetic Variation and Associations with Selected Wool Fibre Traits
by Lingrong Bai, Huitong Zhou, Jinzhong Tao and Jon G. H. Hickford
Animals 2025, 15(19), 2770; https://doi.org/10.3390/ani15192770 - 23 Sep 2025
Viewed by 467
Abstract
The keratin-associated proteins (KAPs) are a class of wool proteins. They form a matrix that cross-links the wool intermediate filament keratins. The KAPs are thought to affect wool fibre structure and properties and have been associated with variation in wool fibre traits. There [...] Read more.
The keratin-associated proteins (KAPs) are a class of wool proteins. They form a matrix that cross-links the wool intermediate filament keratins. The KAPs are thought to affect wool fibre structure and properties and have been associated with variation in wool fibre traits. There are many KAP genes in sheep, but not all have been identified. Recently a second member of the KAP22 gene family, KRTAP22-2, was identified in goats, and variation in this caprine gene was associated with cashmere fibre traits. In this study, we identified ovine KRTAP22-2. To ascertain the extent of variation in KRTAP22-2, sheep from eight breeds were investigated using polymerase chain reaction (PCR) followed by single-strand conformational polymorphism (SSCP) analysis. This revealed two unique banding patterns, which upon sequencing gave two novel DNA sequences. These differed by two single nucleotide polymorphisms in the coding region. Three genotypes of the novel KRTAP22-2 sequences were observed in the eight sheep breeds studied. The ovine KRTAP22-2 variant sequences were similar to a goat KRTAP22-2 variant, but a search of ovine expressed sequence tags revealed no matching mRNA sequences in the ovine databases. In a second part of the study, no association was found between the KRTAP22-2 genotypes and mean fibre diameter, fibre diameter standard deviation, coefficient of variation in fibre diameter, and mean fibre curvature, for either the fine wool or heterotypic hair fibres of 255 Chinese Tan lambs. These results suggests that sheep have a KRTAP22-2 gene, but that there may be species-specific differences in the gene’s expression or function. The gene may not affect wool traits in the way that it appears to in goats. Full article
(This article belongs to the Special Issue Genetic Analysis of Important Traits in Domestic Animals)
Show Figures

Figure 1

17 pages, 3614 KB  
Article
Effect of Melatonin on the Production Performance, Blood Biochemical Parameters, Nutrient Digestibility, and Gastrointestinal Microbiome of Liaoning Cashmere Goats
by Zibin Zheng, Di Han, Zhenyu Su, Liwen He and Wei Zhang
Agriculture 2024, 14(11), 1983; https://doi.org/10.3390/agriculture14111983 - 5 Nov 2024
Cited by 3 | Viewed by 1628
Abstract
Melatonin’s capacity to improve cashmere production and quality in goats is well established, but its underlying mechanisms, particularly those concerning the gastrointestinal microbiome, remain inadequately understood. This study aims to elucidate the effects of melatonin implantation on the production performance, blood biochemical parameters, [...] Read more.
Melatonin’s capacity to improve cashmere production and quality in goats is well established, but its underlying mechanisms, particularly those concerning the gastrointestinal microbiome, remain inadequately understood. This study aims to elucidate the effects of melatonin implantation on the production performance, blood biochemical parameters, nutrient digestibility, and gastrointestinal microbiome of Liaoning cashmere goats. Thirty newborn Liaoning cashmere goat lambs were selected and randomly assigned to control and melatonin groups using a paired test design. The melatonin group received three melatonin implantations at 15, 75, and 135 days of age, respectively, with a dosage of 2 mg/kg body weight, while the control group received no treatment. Digestive metabolism tests were conducted at 150 and 300 days of age; prior to these tests, blood, rumen fluid, and rectal feces were collected. Apparent nutrient digestibility and blood biochemical indexes were determined, and rumen fluid and rectal feces were analyzed using microbial 16S rRNA sequencing. The results indicated that melatonin significantly reduced daily weight gain and body weight at 60 days (p < 0.05) while significantly increasing daily weight gain at 300 days (p < 0.05). Additionally, it significantly increased cashmere length and reduced its fineness (p < 0.05). Melatonin significantly enhanced nitrogen deposition (p < 0.05), elevated plasma levels of T-AOC, CAT, GSH-PX, and BUN (p < 0.05), and reduced plasma levels of MDA, GOT, GPT, and AKP (p < 0.05). Moreover, melatonin significantly elevated the microbial Ace and Chao1 indices in rectal feces (p < 0.05), increasing genera beneficial for feed digestion and absorption, including Prevotella, Lachnospiraceae, Ruminococcus, and Synergistaceae (p < 0.05); the abundance of these beneficial genera were positively correlated with improved cashmere production performance, antioxidant activity, and liver and kidney function. In conclusion, melatonin enhances cashmere production by modulating gastrointestinal microbiota, antioxidant activity, liver and kidney function, and nitrogen metabolism in cashmere goats. This study provides a theoretical foundation for melatonin’s role in microbiota modulation, which is essential for promoting high-quality and sustainable development in the cashmere goat industry. Full article
(This article belongs to the Section Farm Animal Production)
Show Figures

Figure 1

16 pages, 14229 KB  
Article
Influence of Genetic and Non-Genetic Factors on the Physical and Mechanical Properties of Mongolian Cashmere Fiber Properties
by Wafa Mahjoub, Sarangoo Ukhnaa, Jean-Yves Drean and Omar Harzallah
Fibers 2024, 12(10), 84; https://doi.org/10.3390/fib12100084 - 1 Oct 2024
Cited by 2 | Viewed by 2353
Abstract
Cashmere is widely acclaimed as one of the most luxurious textile fibers. Mongolia, a major player in cashmere production and processing, is key to this industry. Despite the rich history of cashmere, there is limited research on cashmere fiber properties, which are essential [...] Read more.
Cashmere is widely acclaimed as one of the most luxurious textile fibers. Mongolia, a major player in cashmere production and processing, is key to this industry. Despite the rich history of cashmere, there is limited research on cashmere fiber properties, which are essential in producing high-quality garments. This study aims to improve our understanding of cashmere fibers’ physical and mechanical properties and to assess how genetic and non-genetic factors affect these characteristics. We analyzed key fiber characteristics, including scale morphology, and the physical and mechanical properties (such as fineness, length parameters, stress, and strain) in 11 samples from Mongolian goats of varying areas, breeds, ages, and genders. Through detailed statistical analysis, our experimental results revealed that both genetic and non-genetic factors significantly affect fiber fineness and the specific energy of rupture. Additionally, we observed that the influence of these factors can inform better classification systems for raw cashmere and enhance the determination of the fiber’s spinability limit. Full article
(This article belongs to the Special Issue Natural Fibers for Advanced Materials: Addressing Challenges)
Show Figures

Figure 1

13 pages, 255 KB  
Article
Study of the Influence of Non-Genetic Factors on the Growth and Development Traits and Cashmere Production Traits of Inner Mongolia White Cashmere Goats (Erlangshan Type)
by Yue Shi, Yunpeng Qi, Yan Liu, Youjun Rong, Xiaofang Ao, Mingzhu Zhang, Qincheng Xia, Yanjun Zhang and Ruijun Wang
Vet. Sci. 2024, 11(7), 308; https://doi.org/10.3390/vetsci11070308 - 10 Jul 2024
Cited by 4 | Viewed by 2655
Abstract
The purpose of this study was to investigate the effects of non-genetic factors on the growth and development performance of Inner Mongolia white cashmere goats (Erlanghan type), such as birth weight (BW), weaning weight (WW), 6-month weight (6 WT), 12-month weight (12 WT), [...] Read more.
The purpose of this study was to investigate the effects of non-genetic factors on the growth and development performance of Inner Mongolia white cashmere goats (Erlanghan type), such as birth weight (BW), weaning weight (WW), 6-month weight (6 WT), 12-month weight (12 WT), body height (BH), and body length (BL), and wool production performance, such as cashmere fineness (CF), cashmere thickness (CT), and cashmere yield (CY). The research objects were 4654 kids produced by 45 buck goats and 2269 doe goats in the Erlang Mountain Ranch of Beiping Textile Co., Ltd., Inner Mongolia, from 2020 to 2023. Based on the generalized linear model, ANOVA was used to analyze the effects of non-genetic factors, such as birth year (Y), birth month (M), sex (S), birth type (T), birth herd (H), assay flock (F), age at measurement (MA), and the age of doe goats at lambing (DLA), on growth and development traits and cashmere traits. The results show that the birth weight (BW), weaning weight (WW), 6-month weight (6 WT), 12-month weight (12 WT), body length (BL), body height (BH), chest depth (CD), chest width (CW), chest circumference (CC), cannon circumference (CNC), wool length (WL), and cashmere yield (CY) of buck goats were significantly higher than those of doe goats (p < 0.01), and the fineness of the cashmere produced by doe goats was significantly finer than that produced by buck goats (p < 0.01). The birth weight, weaning weight, and 6-month weight of single kids were significantly higher than those of multiple kids (p < 0.01), but the effect on the 12-month weight was not significant (p > 0.05). The age of doe goats at lambing had significant effects on birth weight, weaning weight, and 6-month weight (p < 0.01). Assay flock and age at measurement had significant effects on cashmere fineness, cashmere thickness, and cashmere yield (p < 0.01). This study will provide a basis for the scientific breeding and management of cashmere goats and lay a foundation for the setting of fixed effects in the genetic evaluation model of Inner Mongolia white cashmere goats (Erlangshan type). Full article
13 pages, 5216 KB  
Article
Effects of Dietary Selenium Yeast Supplementation in Pregnant Cashmere Goats on the Development of Offspring Hair Follicles
by Chenxi Zhao, Yujiao Duan, Xiaogao Diao, Liwen He and Wei Zhang
Animals 2024, 14(3), 477; https://doi.org/10.3390/ani14030477 - 1 Feb 2024
Cited by 4 | Viewed by 2375
Abstract
The objective of this study was to investigate the effects of maternal dietary selenium yeast (SY) supplementation during pregnancy on the hair follicle development of kids. Sixty pregnant Hanshan white cashmere goats were randomly divided into the con group (fed with a basal [...] Read more.
The objective of this study was to investigate the effects of maternal dietary selenium yeast (SY) supplementation during pregnancy on the hair follicle development of kids. Sixty pregnant Hanshan white cashmere goats were randomly divided into the con group (fed with a basal diet) and the SY group (fed with a basal diet with 0.4 mg/kg SY). SY was supplemented during the pregnancy until the birth of the kids. The growth performance, cashmere performance, hair follicle characteristics, and serum antioxidant capacity of the kids were periodically determined. The results showed that the birth weight of the kids in the SY group was significantly higher than that in the con group (p < 0.05), and the average weight at 15 days, 1 month, 3 months, and 5 months of age increased by 13.60%, 8.77%, 8.86%, and 3.90%, respectively (p > 0.05). The cashmere fineness at early birth was dramatically reduced with SY supplementation (p < 0.001), whereas cashmere length and production were significantly increased at 5 months of age (p < 0.05). Histology assays indicated that the primary hair follicles were fully developed at birth, and there was no significant difference in the number of primary hair follicles between the two groups (p > 0.05). The number of secondary hair follicles and the number and density of active secondary hair follicles in the SY group at 15 days were significantly higher than those in the con group (p < 0.05) and were increased by 11.18%, 6.18%, and 22.55% at 5 months of age, respectively (p > 0.05). The serum antioxidant capacity analysis revealed that the SY group had higher levels of T-AOC, SOD, CAT, and GSH-Px activities and lower levels of MDA (p > 0.05). These results reveal that the maternal dietary supplementation of SY in gestation can promote the morphogenesis and maturation of secondary hair follicles and increase the number and density of secondary hair follicles by enhancing the body’s antioxidant capacity, contributing to the improvement of cashmere quality and yield. Full article
(This article belongs to the Section Small Ruminants)
Show Figures

Figure 1

24 pages, 9868 KB  
Review
Analytical Methods for the Identification and Quantitative Determination of Wool and Fine Animal Fibers: A Review
by Marina Zoccola, Parag Bhavsar, Anastasia Anceschi and Alessia Patrucco
Fibers 2023, 11(8), 67; https://doi.org/10.3390/fib11080067 - 2 Aug 2023
Cited by 18 | Viewed by 8452
Abstract
The identification and quantitative determination of wool and fine animal fibers are of great interest in the textile field because of the significant price differences between them and common impurities in raw and processed textiles. Since animal fibers have remarkable similarities in their [...] Read more.
The identification and quantitative determination of wool and fine animal fibers are of great interest in the textile field because of the significant price differences between them and common impurities in raw and processed textiles. Since animal fibers have remarkable similarities in their chemical and physical characteristics, specific identification methods have been studied and proposed following advances in analytical technologies. The identification methods of wool and fine animal fibers are reviewed in this paper, and the results of relevant studies are listed and summarized, starting from classical microscopy methods, which are still used today not only in small to medium enterprises but also in large industries, research studies and quality control laboratories. Particular attention has been paid to image analysis, Nir spectroscopy and proteomics, which constitute the most promising technologies of quality control in the manufacturing and trading of luxury textiles and can find application in forensic science and archeology. Full article
Show Figures

Figure 1

13 pages, 1700 KB  
Article
Supplementary Feeding of Grazing Inner Mongolian Cashmere Goats during Pregnancy—Based on “Nutrient Requirements of Cashmere Goats”
by Xin-Hui Wang, Qing Li, Zi-Bin Zheng, Xiao-Gao Diao, Li-Wen He and Wei Zhang
Animals 2023, 13(3), 473; https://doi.org/10.3390/ani13030473 - 29 Jan 2023
Cited by 5 | Viewed by 3302
Abstract
This study aimed to conduct precise supplementation for pregnant cashmere goats under grazing based on the feeding standard. Eight Inner Mongolian pregnant cashmere goats of near-average body weight were selected at early gestation (44.41 ± 4.03 kg) and late gestation (46.54 ± 4.02 [...] Read more.
This study aimed to conduct precise supplementation for pregnant cashmere goats under grazing based on the feeding standard. Eight Inner Mongolian pregnant cashmere goats of near-average body weight were selected at early gestation (44.41 ± 4.03 kg) and late gestation (46.54 ± 4.02 kg) to measure their nutrient intake. Then, two pregnant cashmere goat flocks, No. 10 (control group, on-farm supplement) and No. 11 (supplemented group, supplement based on standard), with the same goat herd structure and grassland type, were chosen to conduct the supplemental feeding experiment. The results showed that pregnant cashmere goats lacked daily the intake of dry matter, digestive energy, crude protein and most essential mineral elements under grazing. After supplemental feeding, the supplementation based on the feeding standard increased the cashmere length and cashmere length growth volume and decreased the cashmere fineness, with no statistical significance. The goat cashmere yield, goat weight after shearing, single and twin-birth kid weight and kids’ mature secondary hair follicle density were significantly higher in the supplemented group (p < 0.05). In conclusion, supplementation in accordance with “Nutrient Requirements of Cashmere Goats” can enhance pregnant cashmere goats’ fiber production, growth performance, fertility and kids’ secondary hair follicles development, which is of great importance for the healthy and precise nutrition and management of cashmere goats. Full article
Show Figures

Figure 1

18 pages, 4132 KB  
Article
Convergent Genomic Signatures of Cashmere Traits: Evidence for Natural and Artificial Selection
by Wei Wang, Zhuohui Li, Guoxiang Xie, Xinmei Li, Zhipei Wu, Manman Li, Anguo Liu, Yan Xiong and Yu Wang
Int. J. Mol. Sci. 2023, 24(2), 1165; https://doi.org/10.3390/ijms24021165 - 6 Jan 2023
Cited by 9 | Viewed by 4131
Abstract
Convergent evolution provides powerful opportunities to investigate the genetic basis of complex traits. The Tibetan antelope (Pantholops hodgsonii) and Siberian ibex (Capra sibirica) belong to different subfamilies in Bovidae, but both have evolved similar superfine cashmere characteristics to [...] Read more.
Convergent evolution provides powerful opportunities to investigate the genetic basis of complex traits. The Tibetan antelope (Pantholops hodgsonii) and Siberian ibex (Capra sibirica) belong to different subfamilies in Bovidae, but both have evolved similar superfine cashmere characteristics to meet the cold temperature in plateau environments. The cashmere traits of cashmere goats underwent strong artificial selection, and some traces of domestication also remained in the genome. Hence, we investigated the convergent genomic signatures of cashmere traits between natural and artificial selection. We compared the patterns of convergent molecular evolution between Tibetan antelope and Siberian ibex by testing positively selected genes, rapidly evolving genes and convergent amino acid substitutions. In addition, we analyzed the selected genomic features of cashmere goats under artificial selection using whole-genome resequencing data, and skin transcriptome data of cashmere goats were also used to focus on the genes involved in regulating cashmere traits. We found that molecular convergent events were very rare, but natural and artificial selection genes were convergent enriched in similar functional pathways (e.g., ECM-receptor interaction, focal adhesion, PI3K-Akt signaling pathway) in a variety of gene sets. Type IV collagen family genes (COL4A2, COL4A4, COL4A5, COL6A5, COL6A6) and integrin family genes (ITGA2, ITGA4, ITGA9, ITGB8) may be important candidate genes for cashmere formation and development. Our results provide a comprehensive approach and perspective for exploring cashmere traits and offer a valuable reference for subsequent in-depth research on the molecular mechanisms regulating cashmere development and fineness. Full article
(This article belongs to the Special Issue Animal Genomes and Epigenomes)
Show Figures

Figure 1

15 pages, 3931 KB  
Article
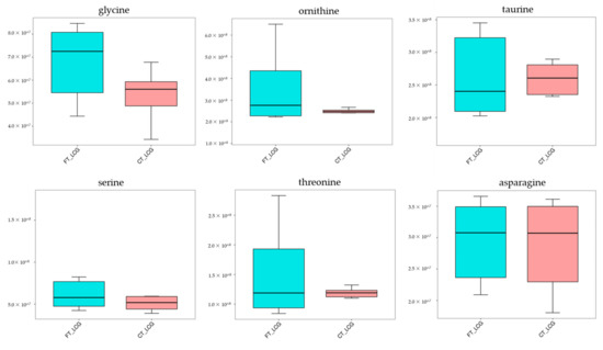
Metabolomic Analysis and MRM Verification of Coarse and Fine Skin Tissues of Liaoning Cashmere Goat
by Yanan Xu, Weidong Cai, Rui Chen, Xinjiang Zhang, Zhixian Bai, Yu Zhang, Yuting Qin, Ming Gu, Yinggang Sun, Yanzhi Wu and Zeying Wang
Molecules 2022, 27(17), 5483; https://doi.org/10.3390/molecules27175483 - 26 Aug 2022
Cited by 3 | Viewed by 2452
Abstract
One of the critical elements in evaluating the quality of cashmere is its fineness, but we still know little about how it is regulated at the metabolic level. In this paper, we use UHPLC–MS/MS detection and analysis technology to compare the difference in [...] Read more.
One of the critical elements in evaluating the quality of cashmere is its fineness, but we still know little about how it is regulated at the metabolic level. In this paper, we use UHPLC–MS/MS detection and analysis technology to compare the difference in metabolites between coarse cashmere (CT_LCG) and fine cashmere (FT_LCG) skin of Liaoning cashmere goats. According to the data, under positive mode four metabolites were significantly up-regulated and seven were significantly down-regulated. In negative mode, seven metabolites were significantly up-regulated and fourteen metabolites were significantly down-regulated. The two groups’ most significant metabolites, Gly–Phe and taurochenodeoxycholate, may be crucial in controlling cashmere’s growth, development, and fineness. In addition, we enriched six KEGG pathways, of which cholesterol metabolism, primary bile acid biosynthesis, and bile secretion were enriched in positive and negative modes. These findings offer a new research idea for further study into the critical elements influencing cashmere’s fineness. Full article
Show Figures

Figure 1

14 pages, 2230 KB  
Article
Comprehensive Profiling of Circular RNAs in Goat Dermal Papilla Cells and Prediction of Their Modulatory Roles in Hair Growth
by Sen Ma, Xiaochun Xu, Xiaolong Wang, Yuxin Yang, Yinghua Shi and Yulin Chen
Agriculture 2022, 12(9), 1306; https://doi.org/10.3390/agriculture12091306 - 25 Aug 2022
Cited by 1 | Viewed by 2953
Abstract
Circular RNAs (circRNAs) are capable of finely modulating gene expression at transcriptional and post-transcriptional levels; however, their characters in dermal papilla cells (DPCs)—the signaling center of hair follicle—are still obscure. Herein, we established a comprehensive atlas of circRNAs in DPCs and their skin [...] Read more.
Circular RNAs (circRNAs) are capable of finely modulating gene expression at transcriptional and post-transcriptional levels; however, their characters in dermal papilla cells (DPCs)—the signaling center of hair follicle—are still obscure. Herein, we established a comprehensive atlas of circRNAs in DPCs and their skin counterparts—dermal fibroblasts (DFs)—from cashmere goats. In terms of the results, a sum of 3706 circRNAs were bioinformatically identified. Subsequent analysis suggested that the detected transcripts exhibited several prominent genomic features, including exons as their main sources. Compared with DFs, 76 circRNAs significantly displayed higher abundances in goat DPCs, with 45 transcripts markedly exhibiting adverse trends (p < 0.05). Furthermore, potential roles and underlying molecular mechanisms of circRNAs in goat DPCs were speculated through constructing their possible regulatory networks with mRNAs and microRNAs (miRNAs). We found that the circRNAs may serve as miRNA sponges to alleviate three hair growth-related functional genes (HOXC8, RSPO1, and CCBE1) of DPCs from miRNAs-imposed post-transcriptional modulation, further facilitating two critical processes (HOXC8 and RSPO1: hair follicle stem cell activation; CCBE1: follicular angiogenesis) closely involved in hair growth. In addition, we also speculated that two intron-derived circRNAs (chi_circ_0005569 and chi_circ_0005570) possibly affect the expression of their host gene CCBE1 at a transcriptional level in the nucleus. The above results demonstrated that circRNAs are abundantly expressed in goat DPCs, and certain circRNAs are potential participators in hair growth via the effects on the levels of related functional genes. Our study offers a preliminary clue for researchers hoping to untangle the roles of non-coding RNAs in hair growth. Full article
(This article belongs to the Special Issue Application of Genetics and Genomics in Livestock Production)
Show Figures

Graphical abstract

18 pages, 4680 KB  
Article
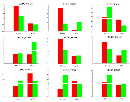
An Integrated Analysis of Cashmere Fineness lncRNAs in Cashmere Goats
by Yuan Y. Zheng, Sheng D. Sheng, Tai Y. Hui, Chang Yue, Jia M. Sun, Dan Guo, Su L. Guo, Bo J. Li, Hui L. Xue, Ze Y. Wang and Wen L. Bai
Genes 2019, 10(4), 266; https://doi.org/10.3390/genes10040266 - 2 Apr 2019
Cited by 39 | Viewed by 4176
Abstract
Animal growth and development are regulated by long non-coding RNAs (lncRNAs). However, the functions of lncRNAs in regulating cashmere fineness are poorly understood. To identify the key lncRNAs that are related to cashmere fineness in skin, we have collected skin samples of Liaoning [...] Read more.
Animal growth and development are regulated by long non-coding RNAs (lncRNAs). However, the functions of lncRNAs in regulating cashmere fineness are poorly understood. To identify the key lncRNAs that are related to cashmere fineness in skin, we have collected skin samples of Liaoning cashmere goats (LCG) and Inner Mongolia cashmere goats (MCG) in the anagen phase, and have performed RNA sequencing (RNA-seq) approach on these samples. The high-throughput sequencing and bioinformatics analyses identified 437 novel lncRNAs, including 93 differentially expressed lncRNAs. We also identified 3084 differentially expressed messenger RNAs (mRNAs) out of 27,947 mRNAs. Gene ontology (GO) analyses of lncRNAs and target genes in cis show a predominant enrichment of targets that are related to intermediate filament and intermediate filament cytoskeleton. According to the Kyoto Encyclopedia of Genes and Genomes (KEGG) analysis, sphingolipid metabolism is a significant pathway for lncRNA targets. In addition, this is the first report to reveal the possible lncRNA–mRNA regulatory network for cashmere fineness in cashmere goats. We also found that lncRNA XLOC_008679 and its target gene, KRT35, may be related to cashmere fineness in the anagen phase. The characterization and expression analyses of lncRNAs will facilitate future studies on the potential value of fiber development in LCG. Full article
(This article belongs to the Section Animal Genetics and Genomics)
Show Figures

Figure 1

Back to TopTop