One-Pot Route from Halogenated Amides to Piperidines and Pyrrolidines
Abstract
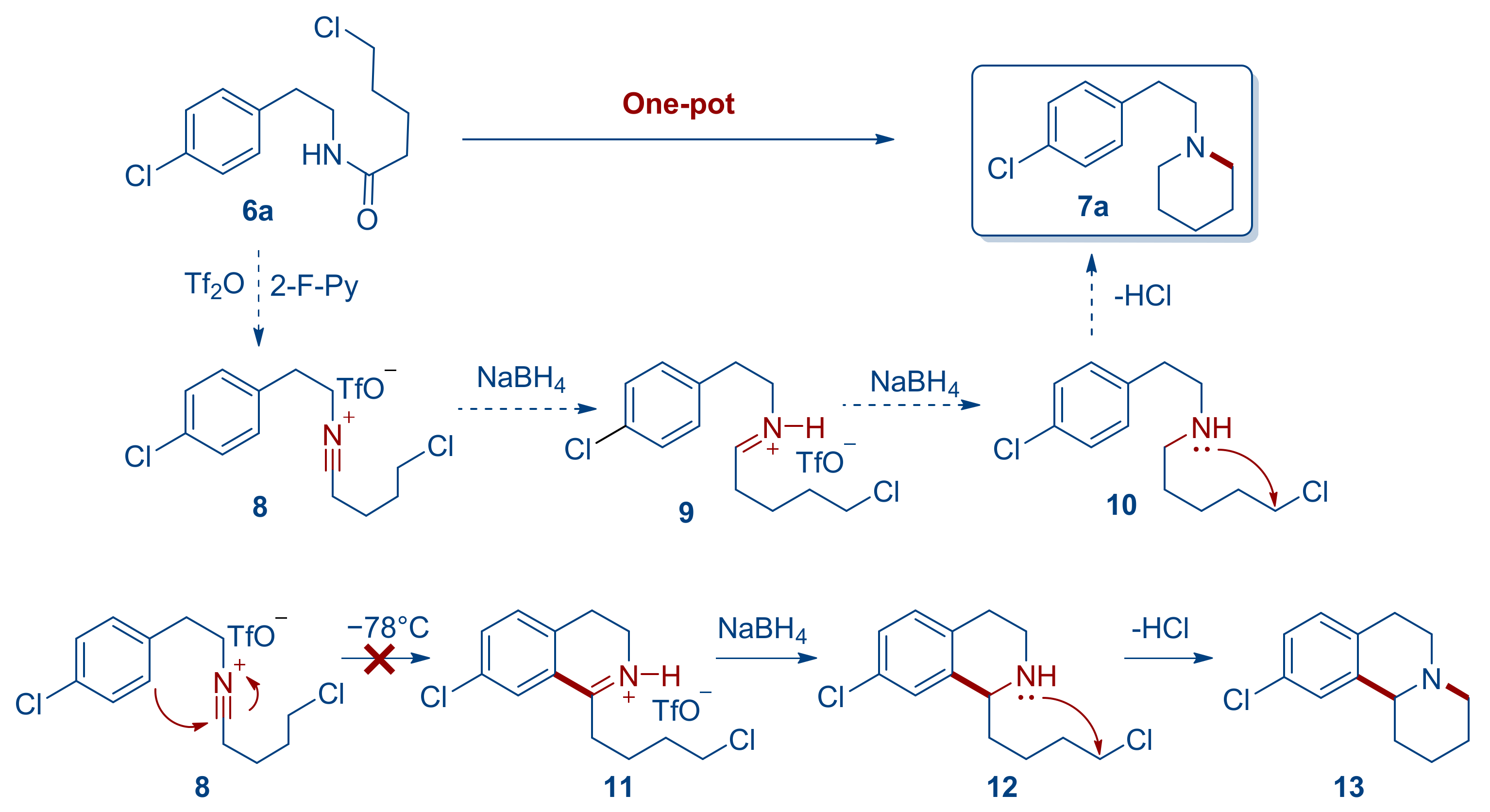
:1. Introduction
2. Results and Discussion
3. Materials and Methods
3.1. General Informations
3.2. General Procedure A for the Synthesis of Piperidines and Pyrrolidines
4. Conclusions
Supplementary Materials
Author Contributions
Funding
Data Availability Statement
Conflicts of Interest
Sample Availability
References
- Dragutan, I.; Dragutan, V.; Demonceau, A. Targeted Drugs by Olefin Metathesis: Piperidine-Based Iminosugars. RSC Adv. 2012, 2, 719–736. [Google Scholar] [CrossRef]
- Goel, P.; Alam, O.; Naim, M.J.; Nawaz, F.; Iqbal, M.; Alam, M.I. Recent Advancement of Piperidine Moiety in Treatment of Cancer—A Review. Eur. J. Med. Chem. 2018, 157, 480–502. [Google Scholar] [CrossRef] [PubMed]
- Islam, M.T.; Mubarak, M.S. Pyrrolidine Alkaloids and Their Promises in Pharmacotherapy. Adv. Tradit. Med. 2020, 20, 13–22. [Google Scholar] [CrossRef]
- Rathore, A.; Asati, V.; Kashaw, S.K.; Agarwal, S.; Parwani, D.; Bhattacharya, S.; Mallick, C. The Recent Development of Piperazine and Piperidine Derivatives as Antipsychotic Agents. MINI-Rev. Med. Chem. 2021, 21, 362–379. [Google Scholar] [CrossRef]
- Li Petri, G.; Raimondi, M.V.; Spano, V.; Holl, R.; Barraja, P.; Montalbano, A. Pyrrolidine in Drug Discovery: A Versatile Scaffold for Novel Biologically Active Compounds. Top. Curr. Chem. 2021, 379, 34. [Google Scholar] [CrossRef]
- Lascelles, X.B.D.; Cripps, J.P.; Jones, A.; Waterman, E.A. Post-Operative Central Hypersensitivity and Pain: The Pre-Emptive Value of Pethidine for Ovariohysterectomy. Pain 1997, 73, 461–471. [Google Scholar] [CrossRef]
- Zhang, C.-H.; Zhao, B.-X.; Huang, Y.; Wang, Y.; Ke, X.-Y.; Zhao, B.-J.; Zhang, X.; Zhang, Q. A Novel Domperidone Hydrogel: Preparation, Characterization, Pharmacokinetic, and Pharmacodynamic Properties. J. Drug Deliv. 2011, 2011, 841054. [Google Scholar] [CrossRef]
- Robinson, A.P.; Lyons, G.R.; Wilson, R.C.; Gorton, H.J.; Columb, M.O. Levobupivacaine for Epidural Analgesia in Labor: The Sparing Effect of Epidural Fentanyl. Anesth. Analg. 2001, 92, 410–414. [Google Scholar] [CrossRef]
- Takahara, A.; Nakamura, Y.; Sugiyama, A. Beat-to-Beat Variability of Repolarization Differentiates the Extent of Torsadogenic Potential of Multi Ion Channel-Blockers Bepridil and Amiodarone. Eur. J. Pharmacol. 2008, 596, 127–131. [Google Scholar] [CrossRef]
- Bourguignon, L.; Ducher, M.; Matanza, D.; Bleyzac, N.; Uhart, M.; Odouard, E.; Maire, P.; Goutelle, S. The Value of Population Pharmacokinetics and Simulation for Postmarketing Safety Evaluation of Dosing Guidelines for Drugs with a Narrow Therapeutic Index: Buflomedil as a Case Study: Prediction of Buflomedil Overdosing in Elderly Patients. Fundam. Clin. Pharmacol. 2012, 26, 279–285. [Google Scholar] [CrossRef]
- Adkins, H.; Kuick, L.F.; Farlow, M.; Wojcik, B. Hydrogenation of Derivatives of Pyridine. J. Am. Chem. Soc. 1934, 56, 2425–2428. [Google Scholar] [CrossRef]
- Wang, Y.; Cui, X.; Deng, Y.; Shi, F. Catalytic Hydrogenation of Aromatic Rings Catalyzed by Pd/NiO. RSC Adv. 2014, 4, 2729–2732. [Google Scholar] [CrossRef]
- Piras, L.; Genesio, E.; Ghiron, C.; Taddei, M. Microwave-Assisted Hydrogenation of Pyridines. Synlett 2008, 2008, 1125–1128. [Google Scholar]
- Karakulina, A.; Gopakumar, A.; Akçok, İ.; Roulier, B.L.; LaGrange, T.; Katsyuba, S.A.; Das, S.; Dyson, P.J. A Rhodium Nanoparticle–Lewis Acidic Ionic Liquid Catalyst for the Chemoselective Reduction of Heteroarenes. Angew. Chem. 2016, 128, 300–304. [Google Scholar] [CrossRef]
- Hegedűs, L.; Szőke-Molnár, K.; Sajó, I.E.; Srankó, D.F.; Schay, Z. Poisoning and Reuse of Supported Precious Metal Catalysts in the Hydrogenation of N-Heterocycles Part I: Ruthenium-Catalysed Hydrogenation of 1-Methylpyrrole. Catal. Lett. 2018, 148, 1939–1950. [Google Scholar] [CrossRef]
- Fujita, K.; Enoki, Y.; Yamaguchi, R.; Moura-Letts, G.; Curran, D.P. Iridium-Catalyzed N-Heterocyclization of Primary Amines with Diols: N-Benzylpiperidine. Org. Synth. 2006, 83, 217–221. [Google Scholar]
- Berger, M.L.; Schweifer, A.; Rebernik, P.; Hammerschmidt, F. NMDA Receptor Affinities of 1,2-Diphenylethylamine and 1-(1,2-Diphenylethyl)Piperidine Enantiomers and of Related Compounds. Bioorg. Med. Chem. 2009, 17, 3456–3462. [Google Scholar] [CrossRef]
- Falmagne, J.-B.; Escudero, J.; Taleb-Sahraoui, S.; Ghosez, L. Cyclobutanone and Cyclobutenone Derivatives by Reaction of Tertiary Amides with Alkenes or Alkynes. Angew. Chem. Int. Ed. Engl. 1981, 20, 879–880. [Google Scholar] [CrossRef]
- Movassaghi, M.; Hill, M.D.; Ahmad, O.K. Direct Synthesis of Pyridine Derivatives. J. Am. Chem. Soc. 2007, 129, 10096–10097. [Google Scholar] [CrossRef]
- Movassaghi, M.; Hill, M.D. Synthesis of Substituted Pyridine Derivatives via the Ruthenium-Catalyzed Cycloisomerization of 3-Azadienynes. J. Am. Chem. Soc. 2006, 128, 4592–4593. [Google Scholar] [CrossRef]
- Huang, P.-Q. Direct Transformations of Amides: Tactics and Recent Progress. Acta Chim. Sin. 2018, 76, 357. [Google Scholar] [CrossRef]
- Adler, P.; Teskey, C.J.; Kaiser, D.; Holy, M.; Sitte, H.H.; Maulide, N. α-Fluorination of Carbonyls with Nucleophilic Fluorine. Nat. Chem. 2019, 11, 329–334. [Google Scholar] [CrossRef]
- Huang, X.-Z.; Gao, L.-H.; Huang, P.-Q. Enantioselective Total Syntheses of (+)-Stemofoline and Three Congeners Based on a Biogenetic Hypothesis. Nat. Commun. 2020, 11, 5314. [Google Scholar] [CrossRef]
- Kaiser, D.; Bauer, A.; Lemmerer, M.; Maulide, N. Amide Activation: An Emerging Tool for Chemoselective Synthesis. Chem. Soc. Rev. 2018, 47, 7899–7925. [Google Scholar] [CrossRef] [Green Version]
- Huang, P.-Q.; Huang, Y.-H.; Wang, S.-R. One-Pot Synthesis of N-Heterocycles and Enimino Carbocycles by Tandem Dehydrative Coupling–Reductive Cyclization of Halo-Sec-Amides and Dehydrative Cyclization of Olefinic Sec-Amides. Org. Chem. Front. 2017, 4, 431–444. [Google Scholar] [CrossRef] [Green Version]
- Song, Q.; Liu, Y.; Cai, L.; Cao, X.; Qian, S.; Wang, Z. One-Pot Tandem Route to Fused Indolizidines and Quinolizidines: Application in the Synthesis of Alkaloids and Bioactive Compounds. Chin. Chem. Lett. 2021, 32, 1713–1716. [Google Scholar] [CrossRef]
- Bischler, A.; Napieralski, B. Zur Kenntniss Einer Neuen Isochinolinsynthese. Ber. Dtsch. Chem. Ges. 1893, 26, 1903–1908. [Google Scholar] [CrossRef] [Green Version]
- Bergstrom, F. Heterocyclic Nitrogen Compounds. Part IIA. Hexacyclic Compounds: Pyridine, Quinoline, and Isoquinoline. Chem. Rev. 1944, 35, 77–277. [Google Scholar] [CrossRef]
- Charette, A.B.; Grenon, M. Spectroscopic Studies of the Electrophilic Activation of Amides with Triflic Anhydride and Pyridine. Can. J. Chem. 2001, 79, 1694–1703. [Google Scholar] [CrossRef]
- Ye, J.-L.; Zhu, Y.-N.; Geng, H.; Huang, P.-Q. Metal-Free Synthesis of Quinolines by Direct Condensation of Amides with Alkynes: Revelation of N-Aryl Nitrilium Intermediates by 2D NMR Techniques. Sci. China Chem. 2018, 61, 687–694. [Google Scholar] [CrossRef]
- Xiang, S.-H.; Xu, J.; Yuan, H.-Q.; Huang, P.-Q. Amide Activation by Tf2O: Reduction of Amides to Amines by NaBH4 under Mild Conditions. Synlett 2010, 2010, 1829–1832. [Google Scholar]
- Zhang, X.-Y.; Zhai, D.-D.; Liu, Y.-F.; Guan, B.-T. A Potassium Magnesiate Complex: Synthesis, Structure and Catalytic Intermolecular Hydroamination of Styrenes. J. Organomet. Chem. 2022, 961, 122254. [Google Scholar] [CrossRef]
- Mulks, F.F.; Bole, L.J.; Davin, L.; Hernán-Gómez, A.; Kennedy, A.; García-Álvarez, J.; Hevia, E. Ambient Moisture Accelerates Hydroamination Reactions of Vinylarenes with Alkali-Metal Amides under Air. Angew. Chem. Int. Ed. 2020, 59, 19021–19026. [Google Scholar] [CrossRef] [PubMed]
- Otsuka, M.; Yokoyama, H.; Endo, K.; Shibata, T. Ru-Catalyzed β-Selective and Enantioselective Addition of Amines to Styrenes Initiated by Direct Arene-Exchange. Org. Biomol. Chem. 2012, 10, 3815–3818. [Google Scholar] [CrossRef]
- Pandey, P.; Bera, J.K. Hydrosilylative Reduction of Primary Amides to Primary Amines Catalyzed by a Terminal [Ni–OH] Complex. Chem. Commun. 2021, 57, 9204–9207. [Google Scholar] [CrossRef]
- Hammerstad, T.A.; Hegde, P.V.; Wang, K.J.; Aldrich, C.C. Chemoselective Reduction of Tertiary Amides by 1, 3-Diphenyldisiloxane (DPDS). Synthesis 2022, 54, 2205–2212. [Google Scholar] [CrossRef]
- Barger, C.J.; Dicken, R.D.; Weidner, V.L.; Motta, A.; Lohr, T.L.; Marks, T.J. La [N (SiMe3) 2] 3-Catalyzed Deoxygenative Reduction of Amides with Pinacolborane. Scope and Mechanism. J. Am. Chem. Soc. 2020, 142, 8019–8028. [Google Scholar] [CrossRef]
- Talybov, A.; Mamedbeili, E.; Abbasov, V.; Kochetkov, K. Synthesis and Properties of Pentane Amino Derivatives. Russ. J. Gen. Chem. 2010, 80, 2455–2459. [Google Scholar] [CrossRef]
- Zeng, H.; Cao, D.; Qiu, Z.; Li, C.-J. Palladium-Catalyzed Formal Cross-Coupling of Diaryl Ethers with Amines: Slicing the 4-O-5 Linkage in Lignin Models. Angew. Chem. 2018, 130, 3814–3819. [Google Scholar] [CrossRef]
- Germain, S.; Schulz, E.; Hannedouche, J. Anti-Markovnikov Hydroamination of Aromatic Alkenes with Secondary Amines Catalyzed by Easily Accessible Yttrium Complexes. ChemCatChem 2014, 6, 2065–2073. [Google Scholar] [CrossRef]
- Taylor, N.J.; Emer, E.; Preshlock, S.; Schedler, M.; Tredwell, M.; Verhoog, S.; Mercier, J.; Genicot, C.; Gouverneur, V. Derisking the Cu-Mediated 18F-Fluorination of Heterocyclic Positron Emission Tomography Radioligands. J. Am. Chem. Soc. 2017, 139, 8267–8276. [Google Scholar] [CrossRef]
- Relitti, N.; Federico, S.; Pozzetti, L.; Butini, S.; Lamponi, S.; Taramelli, D.; D’Alessandro, S.; Martin, R.E.; Shafik, S.H.; Summers, R.L.; et al. Synthesis and Biological Evaluation of Benzhydryl-Based Antiplasmodial Agents Possessing Plasmodium Falciparum Chloroquine Resistance Transporter (PfCRT) Inhibitory Activity. Eur. J. Med. Chem. 2021, 215, 113227. [Google Scholar] [CrossRef]
- Nersesian, D.L.; Black, L.A.; Miller, T.R.; Vortherms, T.A.; Esbenshade, T.A.; Hancock, A.A.; Cowart, M.D. In Vitro SAR of Pyrrolidine-Containing Histamine H3 Receptor Antagonists: Trends across Multiple Chemical Series. Bioorg. Med. Chem. Lett. 2008, 18, 355–359. [Google Scholar] [CrossRef]
- Valverde, E.A.; Romero, A.H.; Acosta, M.E.; Gamboa, N.; Henriques, G.; Rodrigues, J.R.; Ciangherotti, C.; López, S.E. Synthesis, β-Hematin Inhibition Studies and Antimalarial Evaluation of New Dehydroxy Isoquine Derivatives against Plasmodium Berghei: A Promising Antimalarial Agent. Eur. J. Med. Chem. 2018, 148, 498–506. [Google Scholar] [CrossRef]
- Amberchan, G.; Snelling, R.A.; Moya, E.; Landi, M.; Lutz, K.; Gatihi, R.; Singaram, B. Reaction of Diisobutylaluminum Borohydride, a Binary Hydride, with Selected Organic Compounds Containing Representative Functional Groups. J. Org. Chem. 2021, 86, 6207–6227. [Google Scholar] [CrossRef]
- Varjosaari, S.E.; Skrypai, V.; Suating, P.; Hurley, J.J.; Lio, A.M.D.; Gilbert, T.M.; Adler, M.J. Simple Metal-Free Direct Reductive Amination Using Hydrosilatrane to Form Secondary and Tertiary Amines. Adv. Synth. Catal. 2017, 359, 1872–1878. [Google Scholar] [CrossRef]
- Kadyrov, R.; Moebus, K. Reductive Alkylation of Amines with Carboxylic Ortho Esters. Adv. Synth. Catal. 2020, 362, 3352–3357. [Google Scholar] [CrossRef]
- Elmer, L.-M.; Kehr, G.; Daniliuc, C.G.; Siedow, M.; Eckert, H.; Tesch, M.; Studer, A.; Williams, K.; Warren, T.H.; Erker, G. The Chemistry of a Non-Interacting Vicinal Frustrated Phosphane/Borane Lewis Pair. Chem. Eur. J. 2017, 23, 6056–6068. [Google Scholar] [CrossRef]




![]() | ||||
|---|---|---|---|---|
| Entry | Base | Reaction T (°C) | Reductant | Yield (%) b |
| 1 | Pyridine (1.2 equiv.)- | −78 | NaBH4 | 28 |
| 2 | 3,5-dimethylpyridine (1.2 equiv.) | −78 | NaBH4 | 32 |
| 3 | 2-Cl-Py (1.2 equiv.) | −78 | NaBH4 | 50 |
| 4 | 2-F-Py (1.2 equiv.) | −78 | NaBH4 | 90 |
| 5 | 2-I-Py (1.2 equiv.) | −78 | NaBH4 | 40 |
| 6 | - | −78 | NaBH4 | 12 |
| 7 | 2-F-Py (2.0 equiv.) | −78 | NaBH4 | 85 |
| 8 | 2-F-Py (1.2 equiv.) | −30 | NaBH4 | 73 |
| 9 | 2-F-Py (1.2 equiv.) | 0 | NaBH4 | 66 |
| 10 | 2-F-Py (1.2 equiv.) | −78 | KBH4 | 75 |
| 11 | 2-F-Py (1.2 equiv.) | −78 | NaBH3CN | 40 |
| 12 | 2-F-Py (1.2 equiv.) | −78 | NaBH(OAc)3 | trace |
Publisher’s Note: MDPI stays neutral with regard to jurisdictional claims in published maps and institutional affiliations. |
© 2022 by the authors. Licensee MDPI, Basel, Switzerland. This article is an open access article distributed under the terms and conditions of the Creative Commons Attribution (CC BY) license (https://creativecommons.org/licenses/by/4.0/).
Share and Cite
Song, Q.; Wang, S.; Lei, X.; Liu, Y.; Wen, X.; Wang, Z. One-Pot Route from Halogenated Amides to Piperidines and Pyrrolidines. Molecules 2022, 27, 4698. https://doi.org/10.3390/molecules27154698
Song Q, Wang S, Lei X, Liu Y, Wen X, Wang Z. One-Pot Route from Halogenated Amides to Piperidines and Pyrrolidines. Molecules. 2022; 27(15):4698. https://doi.org/10.3390/molecules27154698
Chicago/Turabian StyleSong, Qiao, Sheng Wang, Xiangui Lei, Yan Liu, Xin Wen, and Zhouyu Wang. 2022. "One-Pot Route from Halogenated Amides to Piperidines and Pyrrolidines" Molecules 27, no. 15: 4698. https://doi.org/10.3390/molecules27154698
APA StyleSong, Q., Wang, S., Lei, X., Liu, Y., Wen, X., & Wang, Z. (2022). One-Pot Route from Halogenated Amides to Piperidines and Pyrrolidines. Molecules, 27(15), 4698. https://doi.org/10.3390/molecules27154698

