Parabens Permeation through Biological Membranes: A Comparative Study Using Franz Cell Diffusion System and Biomimetic Liquid Chromatography
Abstract
1. Introduction
2. Results and Discussion
- -
- Decreasing the polarity of the medium and increasing the relative solubility of our target preservatives, and
- -
- Disrupting the packing of lipids into biological membranes and increasing their leakiness.
3. Materials and Methods
3.1. Chemicals
3.2. Tissue Preparation
3.3. Skin Permeation
3.4. Chromatographic Analysis
3.5. IAM Chromatography
3.6. Experimental Permeability Calculation
3.7. Skin Permeation Calculator
3.8. Statistical Analysis
4. Conclusions
Supplementary Materials
Author Contributions
Funding
Institutional Review Board Statement
Informed Consent Statement
Data Availability Statement
Acknowledgments
Conflicts of Interest
References
- Oliveira, M.M.; Martins, F.; Silva, M.G.; Correia, E.; Videira, R.; Peixoto, F. Use of Parabens (Methyl and Butyl) during the Gestation Period: Mitochondrial Bioenergetics of the Testes and Antioxidant Capacity Alterations in Testes and Other Vital Organs of the F1 Generation. Antioxidants 2020, 9, 1302. [Google Scholar] [CrossRef] [PubMed]
- Nowak, K.; Ratajczak-Wrona, W.; Górska, M.; Jabłońska, E. Parabens and their effects on the endocrine system. Mol. Cell. Endocrinol. 2018, 474, 238–251. [Google Scholar] [CrossRef] [PubMed]
- Liao, C.; Liu, F.; Kannan, K. Occurrence of and dietary exposure to parabens in foodstuffs from the United States. Environ. Sci. Technol. 2013, 47, 3918–3925. [Google Scholar] [CrossRef] [PubMed]
- Wei, F.; Mortimer, M.; Cheng, H.; Sang, N.; Guo, L.H. Parabens as chemicals of emerging concern in the environment and humans: A review. Sci. Total Environ. 2021, 778, 146150. [Google Scholar] [CrossRef] [PubMed]
- Moos, R.K.; Angerer, J.; Dierkes, G.; Brüning, T.; Koch, H.M. Metabolism and elimination of methyl, iso- and n-butyl paraben in human urine after single oral dosage. Arch. Toxicol. 2016, 90, 2699–2709. [Google Scholar] [CrossRef] [PubMed]
- Li, C.; Cui, X.; Chen, Y.; Liao, C. Paraben concentrations in human fingernail and its association with personal care product use. Ecotoxicol. Environ. Saf. 2020, 202, 110933. [Google Scholar] [CrossRef] [PubMed]
- Greige-Gerges, H.; Kaissi, R.; Magdalou, J.; Jraij, A. Reviewing the binding of a series of parabens to human serum albumin. Biopharm. Drug Dispos. 2013, 34, 186–194. [Google Scholar] [CrossRef]
- Andersen, M.H.G.; Zuri, G.; Knudsen, L.E.; Mathiesen, L. Placental transport of parabens studied using an ex-vivo human perfusion model. Placenta 2021, 115, 121–128. [Google Scholar] [CrossRef]
- Oishi, S. Effects of butylparaben on the male reproductive system in rats. Toxicol. Ind. Health 2001, 17, 31–39. [Google Scholar] [CrossRef]
- Crovetto, S.I.; Moreno, E.; Dib, A.L.; Espigares, M.; Espigares, E. Bacterial toxicity testing and antibacterial activity of parabens. Toxicol. Environ. Chem. 2017, 99, 858–868. [Google Scholar] [CrossRef]
- Goodson, W.H., 3rd; Luciani, M.G.; Sayeed, S.A.; Jaffee, I.M.; Moore, D.H., 2nd; Dairkee, S.H. Activation of the mTOR pathway by low levels of xenoestrogens in breast epithelial cells from high-risk women. Carcinogenesis 2011, 32, 1724–1733. [Google Scholar] [CrossRef] [PubMed]
- Harvey, P.W.; Everett, D.J. Parabens detection in different zones of the human breast: Consideration of source and implications of findings. J. Appl. Toxicol. 2012, 32, 305–309. [Google Scholar] [CrossRef] [PubMed]
- Byford, J.R.; Shaw, L.E.; Drew, M.G.; Pope, G.S.; Sauer, M.J.; Darbre, P.D. Oestrogenic activity of parabens in MCF7 human breast cancer cells. J. Steroid Biochem. Mol. Biol. 2002, 80, 49–60. [Google Scholar] [CrossRef]
- Prusakiewicz, J.J.; Harville, H.M.; Zhang, Y.; Ackermann, C.; Voorman, R.L. Parabens inhibit human skin estrogen sulfotransferase activity: Possible link to paraben estrogenic effects. Toxicology 2007, 232, 248–256. [Google Scholar] [CrossRef] [PubMed]
- Hu, P.; Chen, X.; Whitener, R.J.; Boder, E.T.; Jones, J.O.; Porollo, A.; Chen, J.; Zhao, L. Effects of parabens on adipocyte differentiation. Toxicol. Sci. 2013, 131, 56–70. [Google Scholar] [CrossRef] [PubMed]
- Nohynek, G.J.; Borgert, C.J.; Dietrich, D.; Rozman, K.K. Endocrine disruption: Fact or urban legend? Toxicol. Lett. 2013, 223, 295–305. [Google Scholar] [CrossRef]
- Rutkowska, A.; Rachoń, D.; Milewicz, A.; Ruchała, M.; Bolanowski, M.; Jędrzejuk, D.; Bednarczuk, T.; Górska, M.; Hubalewska-Dydejczyk, A.; Kos- Kudła, B.; et al. Polish Society of Endocrinology Position statement on endocrine disrupting chemicals (EDCs). Endokrynol. Pol. 2015, 66, 276–285. [Google Scholar] [CrossRef][Green Version]
- Taxvig, C.; Vinggaard, A.M.; Hass, U.; Axelstad, M.; Boberg, J.; Hansen, P.R.; Frederiksen, H.; Nellemann, C. Do Parabens Have the Ability to Interfere with Steroidogenesis? Toxicol. Sci. 2008, 106, 206–213. [Google Scholar] [CrossRef]
- Vo, T.T.B.; Jung, E.-M.; Choi, K.-C.; Yu, F.H.; Jeung, E.-B. Estrogen receptor α is involved in the induction of Calbindin-D9k and progesterone receptor by parabens in GH3 cells: A biomarker gene for screening xenoestrogens. Steroids 2011, 76, 675–681. [Google Scholar] [CrossRef]
- Lillo, M.A.; Nichols, C.; Perry, C.; Runke, S.; Krutilina, R.; Seagroves, T.N.; Miranda-Carboni, G.A.; Krum, S.A. Methylparaben stimulates tumor initiating cells in ER+ breast cancer models. J. Appl. Toxicol. 2017, 37, 417–425. [Google Scholar] [CrossRef]
- Park, C.J.; Nah, W.H.; Lee, J.E.; Oh, Y.S.; Gye, M.C. Butyl paraben-induced changes in DNA methylation in rat epididymal spermatozoa. Andrologia 2012, 44 (Suppl. S1), 187–193. [Google Scholar] [CrossRef] [PubMed]
- Cherian, P.; Zhu, J.; Bergfeld, W.F.; Belsito, D.V.; Hill, R.A.; Klaassen, C.D.; Liebler, D.C.; Marks, J.G., Jr.; Shank, R.C.; Slaga, T.J.; et al. Amended Safety Assessment of Parabens as Used in Cosmetics. Int. J. Toxicol. 2020, 39 (Suppl. S1), 5S–97S. [Google Scholar] [CrossRef]
- Guo, Y.; Kannan, K. A Survey of Phthalates and Parabens in Personal Care Products from the United States and Its Implications for Human Exposure. Environ. Sci. Technol. 2013, 47, 14442–14449. [Google Scholar] [CrossRef] [PubMed]
- EU, Regulation (EC) No 1004/2014 of the European Parliament and of the Council on cosmetic products. Off. J. Eur. Union 2014. No 1004/2014. Available online: http://data.europa.eu/eli/reg/2014/1004/oj (accessed on 27 June 2022).
- Grumetto, L.; Russo, G.; Barbato, F. Immobilized Artificial Membrane HPLC Derived Parameters vs PAMPA-BBB Data in Estimating in Situ Measured Blood-Brain Barrier Permeation of Drugs. Mol. Pharm. 2016, 13, 2808–2816. [Google Scholar] [CrossRef] [PubMed]
- Russo, G.; Capuozzo, A.; Barbato, F.; Irace, C.; Santamaria, R.; Grumetto, L. Cytotoxicity of seven bisphenol analogues compared to bisphenol A and relationships with membrane affinity data. Chemosphere 2018, 201, 432–440. [Google Scholar] [CrossRef]
- Grumetto, L.; Russo, G.; Barbato, F. Relationships between human intestinal absorption and polar interactions drug/phospholipids estimated by IAM-HPLC. Int. J. Pharm. 2015, 489, 186–194. [Google Scholar] [CrossRef]
- Russo, G.; Grumetto, L.; Barbato, F.; Vistoli, G.; Pedretti, A. Prediction and mechanism elucidation of analyte retention on phospholipid stationary phases (IAM-HPLC) by in silico calculated physico-chemical descriptors. Eur. J. Pharm. Sci. 2017, 99, 173–184. [Google Scholar] [CrossRef]
- Marzulli, F.N.; Brown, D.W.C.; Maibach, H.I. Techniques for studying skin penetration. Toxicol. Appl. Pharmacol. 1969, 14, 76–83. [Google Scholar] [CrossRef]
- Bartosova, L.; Bajgar, J. Transdermal drug delivery in vitro using diffusion cells. Curr. Med. Chem. 2012, 19, 4671–4677. [Google Scholar] [CrossRef]
- Grumetto, L.; Russo, G. cΔlog k(w) (IAM): Can we afford estimation of small molecules’ blood-brain barrier passage based upon in silico phospholipophilicity? ADMET DMPK 2021, 9, 267–281. [Google Scholar] [CrossRef]
- Avdeef, A.; Box, K.J.; Comer, J.E.; Hibbert, C.; Tam, K.Y. pH-metric logP 10. Determination of liposomal membrane-water partition coefficients of ionizable drugs. Pharm. Res. 1998, 15, 209–215. [Google Scholar] [CrossRef] [PubMed]
- Taillardat-Bertschinger, A.; Carrupt, P.A.; Barbato, F.; Testa, B. Immobilized artificial membrane HPLC in drug research. J. Med. Chem. 2003, 46, 655–665. [Google Scholar] [CrossRef] [PubMed]
- Moss, G.P.; Dearden, J.C.; Patel, H.; Cronin, M.T.D. Quantitative structure–permeability relationships (QSPRs) for percutaneous absorption. Toxicol. Vitr. 2002, 16, 299–317. [Google Scholar] [CrossRef]
- Barratt, M.D. Quantitative structure-activity relationships for skin permeability. Toxicol. Vitr. 1995, 9, 27–37. [Google Scholar] [CrossRef]
- Potts, R.O.; Guy, R.H. Predicting Skin Permeability. Pharm. Res. 1992, 9, 663–669. [Google Scholar] [CrossRef] [PubMed]
- Wilschut, A.; ten Berge, W.F.; Robinson, P.J.; McKone, T.E. Estimating skin permeation. The validation of five mathematical skin permeation models. Chemosphere 1995, 30, 1275–1296. [Google Scholar] [CrossRef]
- Mitragotri, S. A theoretical analysis of permeation of small hydrophobic solutes across the stratum corneum based on Scaled Particle Theory. J. Pharm. Sci. 2002, 91, 744–752. [Google Scholar] [CrossRef]
- Lee, P.H.; Conradi, R.; Shanmugasundaram, V. Development of an in silico model for human skin permeation based on a Franz cell skin permeability assay. Bioorg. Med. Chem. Lett. 2010, 20, 69–73. [Google Scholar] [CrossRef]
- Fore, J. A review of skin and the effects of aging on skin structure and function. Ostomy/Wound Manag. 2006, 52, 24–35. [Google Scholar]
- Yu, Y.-Q.; Yang, X.; Wu, X.-F.; Fan, Y.-B. Enhancing Permeation of Drug Molecules Across the Skin via Delivery in Nanocarriers: Novel Strategies for Effective Transdermal Applications. Front. Bioeng. Biotechnol. 2021, 9, 646554. [Google Scholar] [CrossRef]
- Caon, T.; Costa, A.C.; de Oliveira, M.A.; Micke, G.A.; Simões, C.M. Evaluation of the transdermal permeation of different paraben combinations through a pig ear skin model. Int. J. Pharm. 2010, 391, 1–6. [Google Scholar] [CrossRef]
- Björklund, S.; Pham, Q.D.; Jensen, L.B.; Knudsen, N.Ø.; Nielsen, L.D.; Ekelund, K.; Ruzgas, T.; Engblom, J.; Sparr, E. The effects of polar excipients transcutol and dexpanthenol on molecular mobility, permeability, and electrical impedance of the skin barrier. J. Colloid Interface Sci. 2016, 479, 207–220. [Google Scholar] [CrossRef] [PubMed]
- Björklund, S.; Engblom, J.; Thuresson, K.; Sparr, E. Glycerol and urea can be used to increase skin permeability in reduced hydration conditions. Eur. J. Pharm. Sci. 2013, 50, 638–645. [Google Scholar] [CrossRef] [PubMed]
- Osborne, D.W. Diethylene glycol monoethyl ether: An emerging solvent in topical dermatology products. J. Cosmet. Dermatol. 2011, 10, 324–329. [Google Scholar] [CrossRef] [PubMed]
- Di Lorenzo, R.; Bernardi, A.; Grumetto, L.; Sacchi, A.; Avagliano, C.; Coppola, S.; de Giovanni di Santa Severina, A.F.; Bruno, C.; Paparo, L.; Laneri, S.; et al. Phenylalanine Butyramide Is a New Cosmetic Ingredient with Soothing and Anti-Reddening Potential. Molecules 2021, 26, 6611. [Google Scholar] [CrossRef]
- Seo, J.E.; Kim, S.; Kim, B.H. In vitro skin absorption tests of three types of parabens using a Franz diffusion cell. J. Expo. Sci. Environ. Epidemiol. 2017, 27, 320–325. [Google Scholar] [CrossRef]
- El Hussein, S.; Muret, P.; Berard, M.; Makki, S.; Humbert, P. Assessment of principal parabens used in cosmetics after their passage through human epidermis-dermis layers (ex-vivo study). Exp. Dermatol. 2007, 16, 830–836. [Google Scholar] [CrossRef]
- Hatami, A.; Carr, K.; Whiteley, P.; Wilkinson, S.; Dodou, K. Ex vivo studies for the passive transdermal permeation and extent of metabolism of methyl and butyl paraben from a cream. Br. J. Pharm. 2017, 2, 2. [Google Scholar]
- Padula, C.; Pappani, A.; Santi, P. In vitro permeation of levothyroxine across the skin. Int. J. Pharm. 2008, 349, 161–165. [Google Scholar] [CrossRef]
- Suchý, T.; Bartoš, M.; Sedláček, R.; Šupová, M.; Žaloudková, M.; Martynková, G.S.; Foltán, R. Various Simulated Body Fluids Lead to Significant Differences in Collagen Tissue Engineering Scaffolds. Materials 2021, 14, 4388. [Google Scholar] [CrossRef]
- Braumann, T.; Weber, G.; Grimme, L.H. Quantitative structure—activity relationships for herbicides: Reversed-phase liquid chromatographic retention parameter, log kw, versus liquid-liquid partition coefficient as a model of the hydrophobicity of phenylureas, s-triazines and phenoxycarbonic acid derivatives. J. Chromatogr. A 1983, 261, 329–343. [Google Scholar]



| Compound | S (mg L−1) | Molecular Weight (g/mol) | Log P | Range (µg mL−1) | Mobile Phase Composition ACN:H2O | Rt (min) | Slope | Intercept | r2 |
|---|---|---|---|---|---|---|---|---|---|
| pHBA | 5.00 × 103 | 138.12 | 1.58 | 20–40 | 40:60 * | 6.1 | 43879 | 11,792 | 0.9992 |
| MP | 2.50 × 103 | 152.16 | 1.96 | 5–40 | 50:50 | 8.3 | 402.09 | 1120.1 | 0.9988 |
| EP | 8.85 × 102 | 166.18 | 2.47 | 5–40 | 50:50 | 10.9 | 3503.5 | 1344.3 | 0.9861 |
| PrP | 5.00 × 102 | 180.21 | 1.96 | 2.5–20 | 50:50 | 15.7 | 1059.8 | 1647.2 | 0.9973 |
| iPrP | 5.00 × 102 | 180.21 | 1.96 | 2.5–20 | 60:40 | 10.6 | 795.67 | 2048.8 | 0.9975 |
| BuP | 2.07 × 102 | 194.23 | 3.57 | 2.5–20 | 60:40 | 14.5 | 2275.3 | 2863.3 | 0.9256 |
| iBuP | 2.07 × 102 | 194.23 | 3.57 | 2.5–20 | 50:50 | 23.0 | 1271.4 | 1831.0 | 0.9984 |
| BzP | 0.92 × 102 | 228.25 | 3.56 | 2.5–20 | 60:40 | 14.5 | 723.07 | 2675.1 | 0.9976 |
| Compound | Maximum Flux (µg/cm2/h) | Kp (cm/h) | Permeation (%) (Median) |
|---|---|---|---|
| pHBA | 12.68 ± 4.08 | 0.012 | 0.997 (0–1.22) |
| MP | 76.23 ± 26.60 | 0.305 | 9.148 (4.94–19.70) |
| EP | 2.35 ± 0.71 | 9.4 × 10–4 | 0.110 (0–0.11) |
| PrP | Nd | nd | nd |
| iPrP | Nd | nd | nd |
| BuP | Nd | nd | nd |
| iBuP | Nd | nd | nd |
| BzP | Nd | nd | nd |
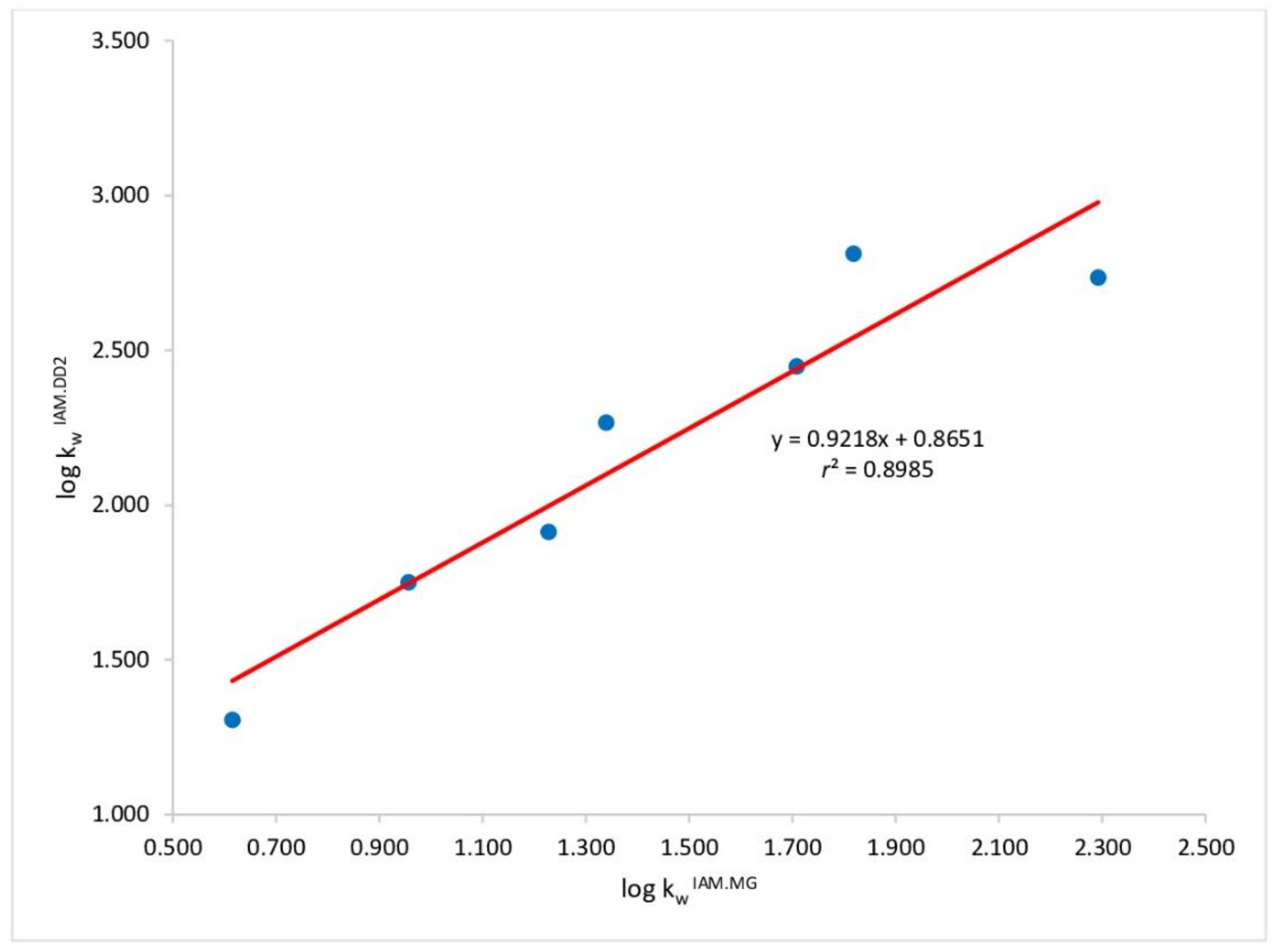
| Compound | logkw IAM.MG | logkw IAM.DD2 |
|---|---|---|
| pHB | −0.955 | −1.054 |
| MP | 0.615 | 1.306 |
| EP | 0.956 | 1.751 |
| PrP | 1.339 | 2.267 |
| iPrP | 1.227 | 1.914 |
| BuP | 1.818 | 2.812 |
| iBuP | 1.708 | 2.448 |
| BzP | 2.292 | 2.735 |
| Compound | Log Kp * cm/s | Log Kp ** cm/s |
|---|---|---|
| pHBA | −5.48 | −6.02 |
| MP | −4.07 | −5.84 |
| EP | −6.58 | −5.56 |
| PrP | Nd | −5.24 |
| iPrP | Nd | −5.40 |
| BuP | Nd | −4.95 |
| iBuP | Nd | −5.05 |
| BzP | Nd | −4.93 |
Publisher’s Note: MDPI stays neutral with regard to jurisdictional claims in published maps and institutional affiliations. |
© 2022 by the authors. Licensee MDPI, Basel, Switzerland. This article is an open access article distributed under the terms and conditions of the Creative Commons Attribution (CC BY) license (https://creativecommons.org/licenses/by/4.0/).
Share and Cite
Neri, I.; Laneri, S.; Di Lorenzo, R.; Dini, I.; Russo, G.; Grumetto, L. Parabens Permeation through Biological Membranes: A Comparative Study Using Franz Cell Diffusion System and Biomimetic Liquid Chromatography. Molecules 2022, 27, 4263. https://doi.org/10.3390/molecules27134263
Neri I, Laneri S, Di Lorenzo R, Dini I, Russo G, Grumetto L. Parabens Permeation through Biological Membranes: A Comparative Study Using Franz Cell Diffusion System and Biomimetic Liquid Chromatography. Molecules. 2022; 27(13):4263. https://doi.org/10.3390/molecules27134263
Chicago/Turabian StyleNeri, Ilaria, Sonia Laneri, Ritamaria Di Lorenzo, Irene Dini, Giacomo Russo, and Lucia Grumetto. 2022. "Parabens Permeation through Biological Membranes: A Comparative Study Using Franz Cell Diffusion System and Biomimetic Liquid Chromatography" Molecules 27, no. 13: 4263. https://doi.org/10.3390/molecules27134263
APA StyleNeri, I., Laneri, S., Di Lorenzo, R., Dini, I., Russo, G., & Grumetto, L. (2022). Parabens Permeation through Biological Membranes: A Comparative Study Using Franz Cell Diffusion System and Biomimetic Liquid Chromatography. Molecules, 27(13), 4263. https://doi.org/10.3390/molecules27134263

