Investigation on the Peroxidase-like Activity of Vitamin B6 and Its Applications in Colorimetric Detection of Hydrogen Peroxide and Total Antioxidant Capacity Evaluation
Abstract
:1. Introduction
2. Results and Discussion
2.1. Peroxidase-like Catalytic Activity of VB6
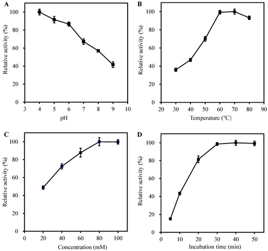
2.2. Optimization of Reaction Conditions
2.3. Kinetic Analysis
2.4. Catalytic Mechanism Investigation
2.5. Determination of H2O2
2.6. Gallic Acid Determination
| Enzyme Mimics | Methods | Linear Range (μM) | LOD (μM) | Ref. |
|---|---|---|---|---|
| Cu2(OH)3Cl-CeO2 | Colorimetric | 20–50 | 10 | [30] |
| MMT-CeO2 | Colorimetric | 9–500 | 7.8 | [31] |
| CoS | Colorimetric | 50–800 | 20 | [32] |
| GO-FeTPyP | Colorimetric | 20–500 | 72 | [33] |
| Fe-Ag2S | Colorimetric | 10–150 | 7.82 | [34] |
| Fe3O4@AuNPs | Colorimetric | 40–5500 | 11.1 | [35] |
| Zr-MOF-PVP | Colorimetric | 10–800 | 2.16 | [36] |
| VB6 | Colorimetric | 50–600 | 12.1 | This work |
| Sensors | Methods | Linear Range (μM) | LOD (μM) | Ref. |
|---|---|---|---|---|
| Poly-Glu/rGO | Electrochemistry | 1–17 | 0.53 | [37] |
| CPE/MWNT | Electrochemistry | 0.5–15 | 0.3 | [38] |
| CDs/CoOOH | Fluorescence | 2–60 | 1.2 | [39] |
| NaErF4:Tm@SiO2@ZIF-8 | Fluorescence | 0–30 | 0.35 | [40] |
| LaFeO3 | Colorimetric | 0.6–36 | 0.4 | [41] |
| VB6 | Colorimetric | 10–50 | 4.1 | This work |
3. Materials and Methods
3.1. Chemicals and Materials
3.2. Peroxidase-like Catalytic Activity of VB6
3.3. Kinetic Tests of VB6
3.4. Detection of H2O2 and GA
4. Conclusions
Supplementary Materials
Author Contributions
Funding
Institutional Review Board Statement
Informed Consent Statement
Data Availability Statement
Conflicts of Interest
Sample Availability
References
- Zhao, C.; Shi, G.M.; Shi, F.N.; Wang, X.L.; Li, S.T. The synthesis and excellent peroxidase-like activity for the colorimetric detection of H2O2 of core-shell Fe/FeS2@C nanoparticles. Colloid Surface A Physicochem. Eng. Asp. 2022, 642, 128612. [Google Scholar] [CrossRef]
- Razavi, M.; Barras, A.; Ifires, M.; Swaidan, A.; Khoshkam, M.; Szunerits, S.; Kompany-Zareh, M.; Boukherroub, R. Colorimetric assay for the detection of dopamine using bismuth ferrite oxide (Bi2Fe4O9) nanoparticles as an efficient peroxidase-mimic nanozyme. J. Colloid Interface Sci. 2022, 613, 384–395. [Google Scholar] [CrossRef]
- Guan, H.N.; Wang, D.D.; Sun, B.Y. Dual-mode colorimetric/fluorometric sensor for the detection of glutathione based on the peroxidase-like activity of carbon quantum dots. Inorg. Chem. Commun. 2022, 136, 109147. [Google Scholar] [CrossRef]
- Darabdhara, G.; Sharma, B.; Das, M.R.; Boukherroub, R.; Szunerits, S. Cu-Ag bimetallic nanoparticles on reduced graphene oxide nanosheets as peroxidase mimic for glucose and ascorbic acid detection. Sens. Actuators B chem. 2017, 238, 842–851. [Google Scholar] [CrossRef]
- Doan, V.D.; Nguyen, V.C.; Nguyen, T.L.H.; Nguyen, A.T.; Nguyen, T.D. Highly sensitive and low-cost colourimetric detection of glucose and ascorbic acid based on silver nanozyme biosynthesized by Gleditsia australis fruit. Spectrochim. Acta A Mol. Biomol. Spectrosc. 2022, 268, 120709. [Google Scholar] [CrossRef]
- Keerthana, S.; Rajapriya, A.; Viswanathan, C.; Ponpandian, N. Enzyme like-colorimetric sensing of H2O2 based on intrinsic peroxidase mimic activity of WS2 nanosheets anchored reduced graphene oxide. J. Alloy. Compd. 2021, 889, 161669. [Google Scholar] [CrossRef]
- Feng, Y.M.; Xu, Y.; Liu, S.C.; Wu, D.; Su, Z.Q.; Chen, G.; Liu, J.H.; Li, G.L. Recent advances in enzyme immobilization based on novel porous framework materials and its applications in biosensing. Coord. Chem. Rev. 2022, 459, 214414. [Google Scholar] [CrossRef]
- Sharma, A.; Thatai, K.S.; Kuthiala, T.; Singh, G.; Arya, S.K. Employment of polysaccharides in enzyme immobilization. React. Funct. Polym. 2021, 167, 105005. [Google Scholar] [CrossRef]
- Dega, N.K.; Ganganboina, A.B.; Tran, H.L.; Kuncoro, E.P.; Doong, R.A. BSA-stabilized manganese phosphate nanoflower with enhanced nanozyme activity for highly sensitive and rapid detection of glutathione. Talanta 2022, 237, 122957. [Google Scholar] [CrossRef]
- Xiao, T.; Wang, S.; Yan, M.; Huang, J.; Yang, X. A thiamine-triggered fluormetric assay for acetylcholinesterase activity and inhibitor screening based on oxidase-like activity of MnO2 nanosheets. Talanta 2021, 221, 121362. [Google Scholar] [CrossRef]
- Wen, J.Q.; Yun, Z.; Zhili, C.; Yang, Y.L. Peroxidase-like activity of Fe3O4@fatty acid-nanoparticles and their application for the detection of uric acid. New J. Chem. 2020, 44, 18608–18615. [Google Scholar] [CrossRef]
- Zheng, J.; Zhu, M.; Kong, J.; Li, Z.; Jiang, J.; Xi, Y.; Li, F. Microfluidic paper-based analytical device by using Pt nanoparticles as highly active peroxidase mimic for simultaneous detection of glucose and uric acid with use of a smartphone. Talanta 2022, 237, 122954. [Google Scholar] [CrossRef]
- Lan, J.M.; Xu, W.M.; Wan, Q.P.; Zhang, X.; Lin, J.; Chen, J.H.; Chen, J.Z. Colorimetric determination of sarcosine in urine samples of prostatic carcinoma by mimic enzyme palladium nanoparticles. Anal. Chim. Acta 2014, 825, 63–68. [Google Scholar] [CrossRef]
- Fu, Z.; Zeng, W.L.; Cai, S.F.; Li, H.L.; Ding, J.W.; Wang, C.; Chen, Y.F.; Han, N.; Yang, R. Porous Au@Pt nanoparticles with superior peroxidase-like activity for colorimetric detection of spike protein of SARS-CoV-2. J. Colloid Interface Sci. 2021, 604, 113–121. [Google Scholar] [CrossRef]
- Yang, W.N.; Li, J.; Liu, M.; Ng, D.H.L.; Liu, Y.; Sun, X.F.; Yang, J. Bioinspired hierarchical CoAl-LDH/MFe2O4(Ni, Zn, Co) as peroxidase mimics for colorimetric detection of glucose. Appl. Clay Sci. 2019, 181, 105238. [Google Scholar] [CrossRef]
- Yuan, C.L.; Qin, X.; Xu, Y.J.; Li, X.P.; Chen, Y.Y.; Shi, R.; Wang, Y.L. Carbon quantum dots originated from chicken blood as peroxidase mimics for colorimetric detection of biothiols. J. Photoch. Photobiol. A Chem. 2020, 396, 112529. [Google Scholar] [CrossRef]
- Ma, W.S.; Liu, J.; Xin, Y.; Yang, X.C.; Li, R.G.; Ding, X.T.; Niu, Y.S.; Xu, Y.H. Clinically colorimetric diagnostics of blood glucose levels based on vanadium oxide quantum dots enzyme mimics. Microchem. J. 2020, 153, 104352. [Google Scholar] [CrossRef]
- Zhang, C.Y.; Zhang, W.Y.; Chen, G.Y.; Chai, T.Q.; Zhang, H.; Xu, Y.; Yang, F.Q. Vitamin B3 as a high acid-alkali tolerant peroxidase mimic for colorimetric detection of hydrogen peroxide and glutathione. Arab. J. Chem. 2022, 15, 103823. [Google Scholar] [CrossRef]
- Li, M.L.; Liu, L.; Shi, Y.; Yang, Y.F.; Zheng, H.Z.; Long, Y.J. Dichlorofluorescein as a peroxidase mimic and its application to glucose detection. New J. Chem. 2017, 41, 7578–7582. [Google Scholar] [CrossRef]
- Liu, L.; Shi, Y.; Yang, Y.F.; Li, M.L.; Long, Y.J.; Huang, Y.M.; Zheng, H.Z. Fluorescein as an artificial enzyme to mimic peroxidase. Chem. Commun. 2016, 52, 13912–13915. [Google Scholar] [CrossRef]
- Liu, L.; Shi, Y.; Li, M.L.; Sun, C.Q.; Long, Y.J.; Zheng, H.Z. Effect of carboxyl and amino groups in fluorescein molecules on their peroxidase-like activity. Mol. Catal. 2017, 439, 186–192. [Google Scholar] [CrossRef]
- Li, M.L.; Yang, J.; Ou, Y.N.; Shi, Y.; Liu, L.; Sun, C.Q.; Zheng, H.Z.; Long, Y.J. Peroxidase-like activity of 2′,7′-difluorofluorescein and its application for galactose detection. Talanta 2018, 182, 422–427. [Google Scholar] [CrossRef]
- Shi, Y.; Liu, L.; Yu, Y.Y.; Long, Y.J.; Zheng, H.Z. Acidic amino acids: A new-type of enzyme mimics with application to biosensing and evaluating of antioxidant behaviour. Spectrochim. Acta A Mol. Biomol. Spectrosc. 2018, 201, 367–375. [Google Scholar] [CrossRef]
- Shi, Y.; Yang, M.; Liu, L.; Pang, Y.J.; Long, Y.J.; Zheng, H.Z. GTP as a peroxidase-mimic to mediate enzymatic cascade reaction for alkaline phosphatase detection and alkaline phosphatase-linked immunoassay. Sens. Actuators B chem. 2018, 275, 43–49. [Google Scholar] [CrossRef]
- Huang, H.W.; Liu, L.F.; Zhang, L.Y.; Zhao, Q.; Zhou, Y.; Yuan, S.S.; Tang, Z.L.; Liu, X.Y. Peroxidase-like activity of ethylene diamine tetraacetic acid and its application for ultrasensitive detection of tumor biomarkers and circular tumor cells. Anal. Chem. 2017, 89, 666–672. [Google Scholar] [CrossRef]
- Zhang, C.Y.; Chai, T.Q.; Chen, G.Y.; Zhang, W.Y.; Zhang, H.; Yang, F.Q. Investigation on the peroxidase-mimic activity of adenine phosphate and its applications. Microchem. J. 2022, 173, 106992. [Google Scholar] [CrossRef]
- Shrivas, K.; Nirmalkar, N.; Thakur, S.S.; Deb, M.K.; Shinde, S.S.; Shankar, R. Sucrose capped gold nanoparticles as a plasmonic chemical sensor based on non-covalent interactions: Application for selective detection of vitamins B1 and B6 in brown and white rice food samples. Food Chem. 2018, 250, 14–21. [Google Scholar] [CrossRef]
- Muthusankar, G.; Devi, R.K.; Chen, S.M.; Huang, Y.F.; Gopu, G. Hybrid ternary nanocomposite of N-doped carbon quantum dots@SnO2/multiwall carbon nanotubes: A robust and sensitive electrocatalyst for the detection of antineoplastic agent gallic acid. Colloid Surf. A Physicochem. Eng. Asp. 2022, 641, 128544. [Google Scholar] [CrossRef]
- Borah, N.; Tamuly, C. Ultrasensitive Pd nano catalyst as peroxidase mimetics for colorimetric sensing and evaluation of antioxidants and total polyphenols in beverages and fruit juices. Talanta 2022, 238, 123000. [Google Scholar] [CrossRef]
- Wang, N.; Sun, J.C.; Chen, L.J.; Fan, H.; Ai, S.Y. A Cu2(OH)3Cl-CeO2 nanocomposite with peroxidase-like activity, and its application to the determination of hydrogen peroxide, glucose and cholesterol. Microchim. Acta 2015, 182, 1733–1738. [Google Scholar] [CrossRef]
- Sun, L.F.; Ding, Y.Y.; Jiang, Y.L.; Liu, Q.Y. Montmorillonite-loaded ceria nanocomposites with superior peroxidase-like activity for rapid colorimetric detection of H2O2. Sens. Actuators B chem. 2017, 239, 848–856. [Google Scholar] [CrossRef]
- Yang, H.G.; Zha, J.Q.; Zhang, P.; Xiong, Y.H.; Su, L.J.; Ye, F.G. Sphere-like CoS with nanostructures as peroxidase mimics for colorimetric determination of H2O2 and mercury ions. RSC Adv. 2016, 6, 66963–66970. [Google Scholar] [CrossRef]
- Socaci, C.; Pogacean, F.; Biris, A.R.; Coros, M.; Rosu, M.C.; Magerusan, L.; Katona, G.; Pruneanu, S. Graphene oxide vs. reduced graphene oxide as carbon support in porphyrin peroxidase biomimetic nanomaterials. Talanta 2016, 148, 511–517. [Google Scholar] [CrossRef]
- Ding, Y.N.; Liu, H.; Gao, L.N.; Fu, M.; Luo, X.L.; Zhang, X.X.; Liu, Q.Y.; Zeng, R.C. Fe-doped Ag2S with excellent peroxidase-like activity for colorimetric determination of H2O2. J. Alloys Compd. 2019, 785, 1189–1197. [Google Scholar] [CrossRef]
- Liu, Q.X.; Tang, P.; Xing, X.Y.; Cheng, W.D.; Liu, S.D.; Lu, X.X.; Zhong, L.Y. Colorimetry /SERS dual-sensor of H2O2 constructed via TMB–Fe3O4@ AuNPs. Talanta 2022, 240, 123118. [Google Scholar] [CrossRef]
- Wang, J.N.; Zhou, Y.J.; Zeng, M.Q.; Zhao, Y.H.; Zuo, X.X.; Meng, F.R.; Lv, F.; Lu, Y. Zr(IV)-based metal-organic framework nanocomposites with enhanced peroxidase-like activity as a colorimetric sensing platform for sensitive detection of hydrogen peroxide and phenol. Environ. Res. 2022, 203, 111818. [Google Scholar] [CrossRef]
- Feminus, J.J.; Manikandan, R.; Narayanan, S.S.; Deepa, P.N. Determination of gallic acid using poly(glutamic acid): Graphene modified electrode. J. Chem. Sci. 2019, 131, 11. [Google Scholar] [CrossRef] [Green Version]
- Souza, L.P.; Calegari, F.; Zarbin, A.J.G.; Marcolino-Júnior, L.H.; Bergamini, M.F. Voltammetric determination of the antioxidant capacity in wine samples using a carbon nanotube modified electrode. J. Agric. Food Chem. 2011, 59, 7620–7625. [Google Scholar] [CrossRef]
- Tan, Q.; An, X.X.; Pan, S.; Zhen, S.J.; Hu, Y.M.; Hu, X.L. A facile and sensitive ratiometric fluorescent sensor for determination of gallic acid. Microchem. J. 2022, 172, 106922. [Google Scholar] [CrossRef]
- Zhang, Y.T.; Ning, L.M.; Gao, D.M.; Jia, D.D.; Gu, W.; Liu, X. A highly sensitive upconversion nanoparticles@zeolitic imidazolate frameworks fluorescent nanoprobe for gallic acid analysis. Talanta 2021, 233, 122588. [Google Scholar] [CrossRef]
- Chen, L.Y.; Yang, J.; Chen, W.; Sun, S.G.; Tang, H.; Li, Y.C. Perovskite mesoporous LaFeO3 with peroxidase-like activity for colorimetric detection of gallic acid. Sens. Actuators B chem. 2020, 321, 128642. [Google Scholar] [CrossRef]
- Zhang, C.Y.; Zhang, H.; Yang, F.Q. Enhanced peroxidase-like activity of copper phosphate modified by hydrophilic phytic-acid and its application in colorimetric detection of hydrogen peroxide. Microchem. J. 2021, 168, 106489. [Google Scholar] [CrossRef]





Publisher’s Note: MDPI stays neutral with regard to jurisdictional claims in published maps and institutional affiliations. |
© 2022 by the authors. Licensee MDPI, Basel, Switzerland. This article is an open access article distributed under the terms and conditions of the Creative Commons Attribution (CC BY) license (https://creativecommons.org/licenses/by/4.0/).
Share and Cite
Zhang, C.-Y.; Peng, L.-J.; Chen, G.-Y.; Zhang, H.; Yang, F.-Q. Investigation on the Peroxidase-like Activity of Vitamin B6 and Its Applications in Colorimetric Detection of Hydrogen Peroxide and Total Antioxidant Capacity Evaluation. Molecules 2022, 27, 4262. https://doi.org/10.3390/molecules27134262
Zhang C-Y, Peng L-J, Chen G-Y, Zhang H, Yang F-Q. Investigation on the Peroxidase-like Activity of Vitamin B6 and Its Applications in Colorimetric Detection of Hydrogen Peroxide and Total Antioxidant Capacity Evaluation. Molecules. 2022; 27(13):4262. https://doi.org/10.3390/molecules27134262
Chicago/Turabian StyleZhang, Chun-Yan, Li-Jing Peng, Guo-Ying Chen, Hao Zhang, and Feng-Qing Yang. 2022. "Investigation on the Peroxidase-like Activity of Vitamin B6 and Its Applications in Colorimetric Detection of Hydrogen Peroxide and Total Antioxidant Capacity Evaluation" Molecules 27, no. 13: 4262. https://doi.org/10.3390/molecules27134262
APA StyleZhang, C.-Y., Peng, L.-J., Chen, G.-Y., Zhang, H., & Yang, F.-Q. (2022). Investigation on the Peroxidase-like Activity of Vitamin B6 and Its Applications in Colorimetric Detection of Hydrogen Peroxide and Total Antioxidant Capacity Evaluation. Molecules, 27(13), 4262. https://doi.org/10.3390/molecules27134262

