Four New Sesquiterpenoids from the Rice Fermentation of Antrodiella albocinnamomea
Abstract
:1. Introduction
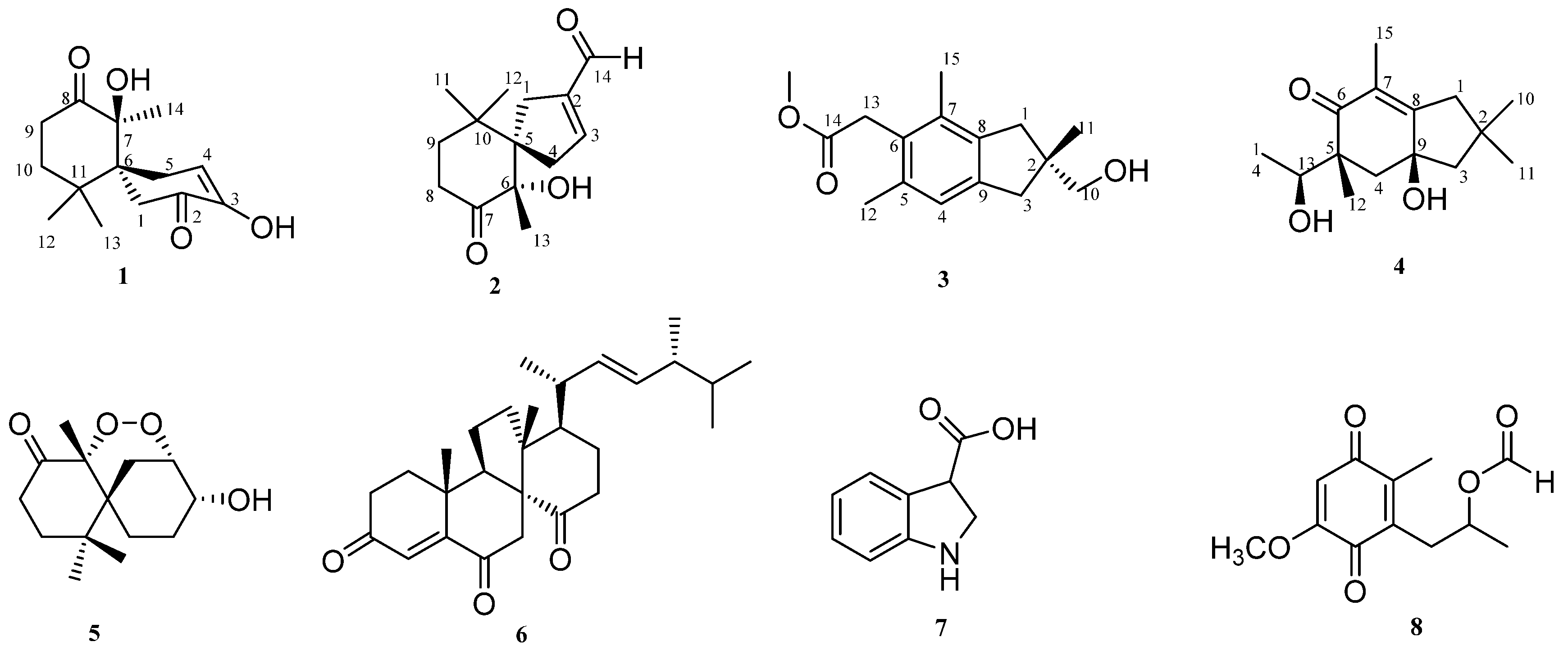
2. Results and Discussion
3. Experimental Section
3.1. General Experimental Procedures
3.2. Fungal Material and Cultivation Condition
3.3. Extraction and Isolation
3.4. Antibacterial Assays
3.4.1. Bacterial Strain
3.4.2. Kirby–Bauer Test
4. Physical Constants
Supplementary Materials
Author Contributions
Funding
Institutional Review Board Statement
Informed Consent Statement
Data Availability Statement
Acknowledgments
Conflicts of Interest
References
- Ma, X.L.; Wang, W.S.; Li, E.W.; Gao, F.H.; Guo, L.D.; Pei, Y.F. A new sesquiterpene from the entomogenous fungus Phomopsis amygdali. Nat. Prod. Res. 2016, 30, 276–280. [Google Scholar] [CrossRef] [PubMed]
- Dai, Y.C.; Niemelä, T. Changbai wood-rotting fungi 6. Study on Antrodiella, two new species and notes on some other species. Mycotaxon 1997, 64, 67–81. [Google Scholar]
- Wang, F.; Yang, X.Y.; Lu, Y.T.; Li, Z.H.; Xu, Y.H.; Hu, J.; Liu, J.K.; Xiong, W.Y. The natural product antroalbol H promotes phosphorylation of liver kinase B1 (LKB1) at threonine 189 and thereby enhances cellular glucose uptake. J. Biol. Chem. 2019, 294, 10415–10427. [Google Scholar] [CrossRef] [PubMed]
- Li, W.; He, J.; Feng, T.; Yang, H.X.; Ai, H.L.; Li, Z.H.; Liu, J.K. Antroalbocin A, an antibacterial sesquiterpenoid from higher fungus Antrodiella albocinnamomea. Org. Lett. 2018, 20, 8019–8021. [Google Scholar] [CrossRef] [PubMed]
- Chen, Z.M.; Yang, X.Y.; Fan, Q.Y.; Li, Z.H.; Wei, K.; Chen, H.P.; Feng, T.; Liu, J.K. Three novel degraded steroids from cultures of the Basidiomycete Antrodiella albocinnamomea. Steroids 2014, 87, 21–25. [Google Scholar] [CrossRef] [PubMed]
- Chen, Z.M.; Chen, H.P.; Wang, F.; Li, Z.H.; Feng, T.; Liu, J.K. New triquinane and gymnomitrane sesquiterpenes from fermentation of the basidiomycete Antrodiella albocinnamomea. Fitoterapia 2015, 102, 61–66. [Google Scholar] [CrossRef] [PubMed]
- Chen, Z.M.; Fan, Q.Y.; Yin, X.; Yang, X.Y.; Li, Z.H.; Feng, T.; Liu, J.K. Three New Humulane sesquiterpenes from cultures of the Fungus Antrodiella albocinnamomea. Nat. Prod. Bioprospect. 2014, 4, 207–211. [Google Scholar] [CrossRef] [PubMed] [Green Version]
- Liang, D.D.; Yi, X.W.; Wu, H.; Li, Z.H.; Wang, G.K.; Cheng, G.G.; Feng, T. Antrodillin, an immunosuppressive sesquiterpenoid from higher fungus Antrodiella albocinnamomea. RSC Adv. 2021, 11, 1124–1127. [Google Scholar] [CrossRef] [PubMed]
- Chen, Z.M.; Wang, S.L. Two new compounds from cultures of the basidiomycete Antrodiella albocinnamomea. Nat. Prod. Res. 2015, 29, 1985–1989. [Google Scholar] [CrossRef] [PubMed]
- Liu, D.Z.; Dong, Z.J.; Wang, F.; Liu, J.K. Two novel norsesquiterpene peroxides from basidiomycete Steccherinum ochraceum. Tetrahedron Lett. 2010, 51, 3152–3153. [Google Scholar] [CrossRef]
- Amagata, T.; Tanaka, M.; Yamada, T.; Doi, M.; Minoura, K.; Ohishi, H.; Yamori, T.; Numata, A. Variation in cytostatic constituents of a sponge-derived Gymnascella dankaliensis by manipulating the carbon source. J. Nat. Prod. 2007, 70, 1731–1740. [Google Scholar] [CrossRef] [PubMed]
- Wang, R.P.; Lin, H.W.; Li, L.Z.; Gao, P.Y.; Xu, Y.; Song, S.J. Monoindole alkaloids from a marine sponge Mycale fibrexilis. Biochem. Syst. Ecol. 2012, 43, 210–213. [Google Scholar] [CrossRef]
- Gautschi, J.T.; Amagata, T.; Amagata, A.; Valeriote, F.A.; Mooberry, S.L.; Crews, P. Expanding the strategies in natural product studies of marine-derived fungi: A chemical investigation of penicillium obtained from deep water sediment. J. Nat. Prod. 2004, 67, 362–367. [Google Scholar] [CrossRef] [PubMed]
- Ahmed, R.; Arkajyoti, P.; Nazim Uddin, C.M.; Ahmed, S.S.; Kumar, B.S.; Mohuya, M.; Montakim, T.A.; Nurul, A.M.; Asif, S.; Zia, U.M.; et al. Biochemical and Computational pproach of Selected Phytocompounds from Tinospora crispa in the Management of COVID-19. Molecules 2020, 25, 3936. [Google Scholar]
- Lee, Y.P.; Hsu, F.L.; Kang, J.J.; Chen, C.K.; Lee, S.S. Metabolism of (2S)-pterosin A: Identification of the phase I and phase II metabolites in rat urine. Drug Metab. Dispos. 2012, 40, 1566–1574. [Google Scholar] [CrossRef] [PubMed] [Green Version]
- Könst, W.M.B.; Witteveen, J.G.; Boelens, H. The synthesis of angular methyl substituted bicyclic enones via a unique regioselective enamine annulation reaction. Tetrahedron 1976, 32, 1415–1421. [Google Scholar] [CrossRef]


| No. | 1 | 2 | 3 | 4 | ||||
|---|---|---|---|---|---|---|---|---|
| δH | δC | δH | δC | δH | δC | δH | δC | |
| 1 | 2.42, m | 32.3 | 2.43, m | 34.3 | 2.87 t (16.8) | 42.0 | 2.62 br d (18.0) 2.46 d (18.0) | 47.4 |
| 2 | 194.7 | 146.4 | 44.1 | 38.9 | ||||
| 3 | 145.0 | 6.75, br s | 150.8 | 2.64 d (15.9) 2.60 d (15.9) | 43.0 | 1.96 d (18.0) 1.78 d (18.0) | 59.1 | |
| 4 | 6.03, br s | 121.3 | 2.83, br d (20.3) 2.66, br d (20.3) | 37.6 | 6.88 s | 124.2 | 2.12 d (18.0) 1.93 d (18.0) | 41.2 |
| 5 | 2.45, m 1.76, td (13.2, 7.2) | 25.2 | 59.7 | 135.4 | 50.6 | |||
| 6 | 45.5 | 80.0 | 129.2 | 207.4 | ||||
| 7 | 91.5 | 213.4 | 133.2 | 131.5 | ||||
| 8 | 213.1 | 2.76, td (13.8, 7.0) 2.50, m | 33.8 | 139.5 | 165.0 | |||
| 9 | 2.40, m 1.95, m | 35.7 | 1.90, td (13.6, 5.0) 1.66, m | 36.5 | 141.0 | 78.6 | ||
| 10 | 1.91, m 1.83, m | 38.8 | 37.0 | 3.52 s | 70.9 | 1.05 s | 32.1 | |
| 11 | 55.5 | 0.88, s | 26.8 | 1.18 s | 24.4 | 1.29 s | 31.9 | |
| 12 | 1.14, s | 24.3 | 1.22, s | 24.7 | 2.29 s | 20.6 | 1.19 s | 26.1 |
| 13 | 0.98, s | 24.4 | 1.46, s | 25.2 | 3.68 m | 35.1 | 4.04 dd (13.2, 6.6) | 75.5 |
| 14 | 2.20, s | 26.8 | 9.67, s | 189.5 | 172.2 | 1.07 d (6.0) | 18.0 | |
| 15 | 2.19 s | 16.4 | 1.71 s | 13.2 | ||||
| -OCH3 | 3.68 s | 51.9 | ||||||
Publisher’s Note: MDPI stays neutral with regard to jurisdictional claims in published maps and institutional affiliations. |
© 2022 by the authors. Licensee MDPI, Basel, Switzerland. This article is an open access article distributed under the terms and conditions of the Creative Commons Attribution (CC BY) license (https://creativecommons.org/licenses/by/4.0/).
Share and Cite
Guo, M.; Liang, Y.-Z.; Cui, X.-M.; Shao, L.-J.; Li, Y.-F.; Yang, X.-Y. Four New Sesquiterpenoids from the Rice Fermentation of Antrodiella albocinnamomea. Molecules 2022, 27, 3344. https://doi.org/10.3390/molecules27103344
Guo M, Liang Y-Z, Cui X-M, Shao L-J, Li Y-F, Yang X-Y. Four New Sesquiterpenoids from the Rice Fermentation of Antrodiella albocinnamomea. Molecules. 2022; 27(10):3344. https://doi.org/10.3390/molecules27103344
Chicago/Turabian StyleGuo, Min, Ying-Zhong Liang, Xiu-Ming Cui, Lin-Jiao Shao, Yin-Fei Li, and Xiao-Yan Yang. 2022. "Four New Sesquiterpenoids from the Rice Fermentation of Antrodiella albocinnamomea" Molecules 27, no. 10: 3344. https://doi.org/10.3390/molecules27103344
APA StyleGuo, M., Liang, Y.-Z., Cui, X.-M., Shao, L.-J., Li, Y.-F., & Yang, X.-Y. (2022). Four New Sesquiterpenoids from the Rice Fermentation of Antrodiella albocinnamomea. Molecules, 27(10), 3344. https://doi.org/10.3390/molecules27103344

