Secondary Metabolites of the Genus Amycolatopsis: Structures, Bioactivities and Biosynthesis
Abstract
1. Introduction
2. Secondary Metabolites from the Genus Amycolatopsis
2.1. Polyphenols
2.2. Linear Polyketides
2.3. Macrolides
2.4. Macrolactams
2.5. Thiazolyl Peptides
2.6. Cyclic Peptides
2.7. Glycopeptides
2.8. Amide Derivatives
2.9. Glycoside Derivatives
2.10. Enediyne Derivatives
2.11. Sesquiterpenes
3. Biofunction of Amycolatopsis Species
3.1. Biological Degradation
3.2. Bioconversion
3.3. Biosorption
4. Bioactivities of Secondary Metabolites from Amycolatopsis
5. Synthesis of Secondary Metabolites from Amycolatopsis and Their Derivatives
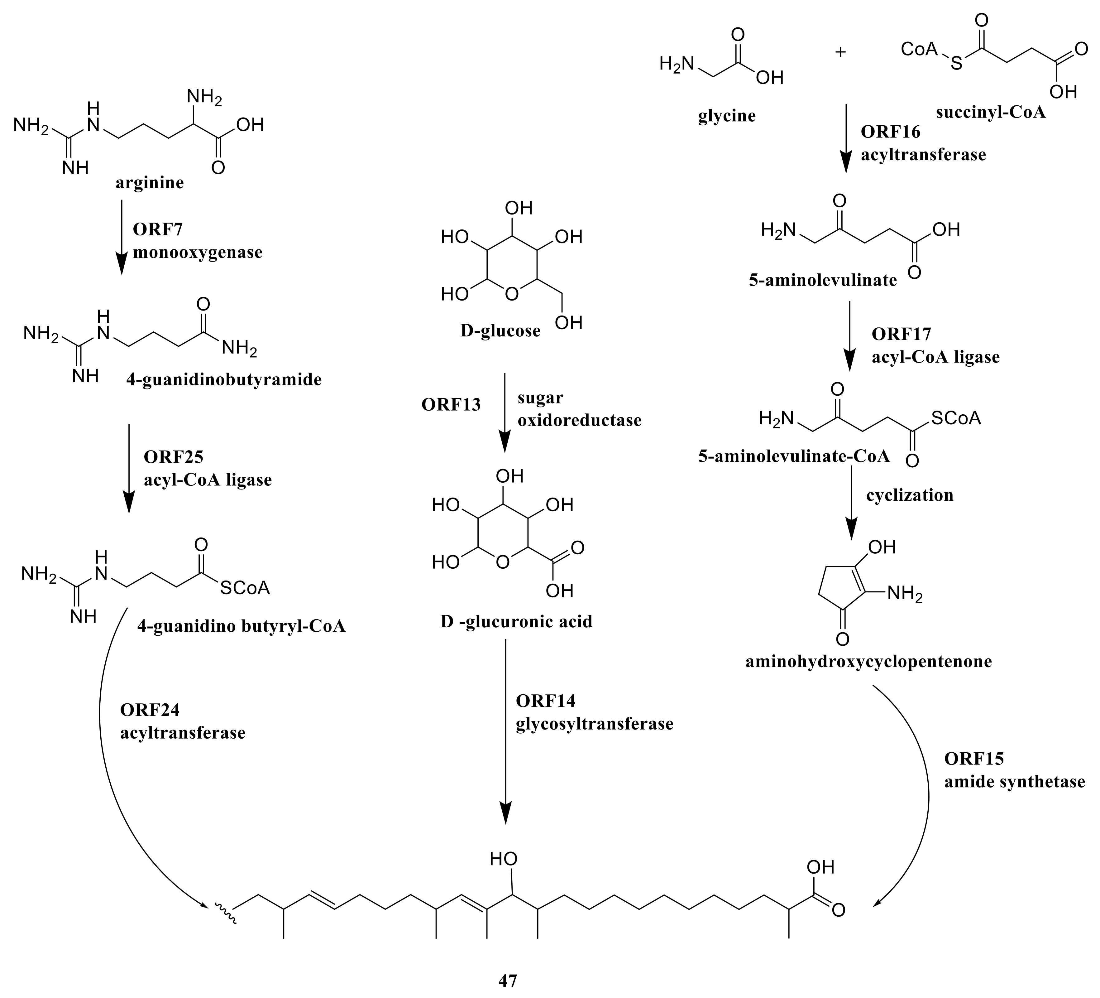
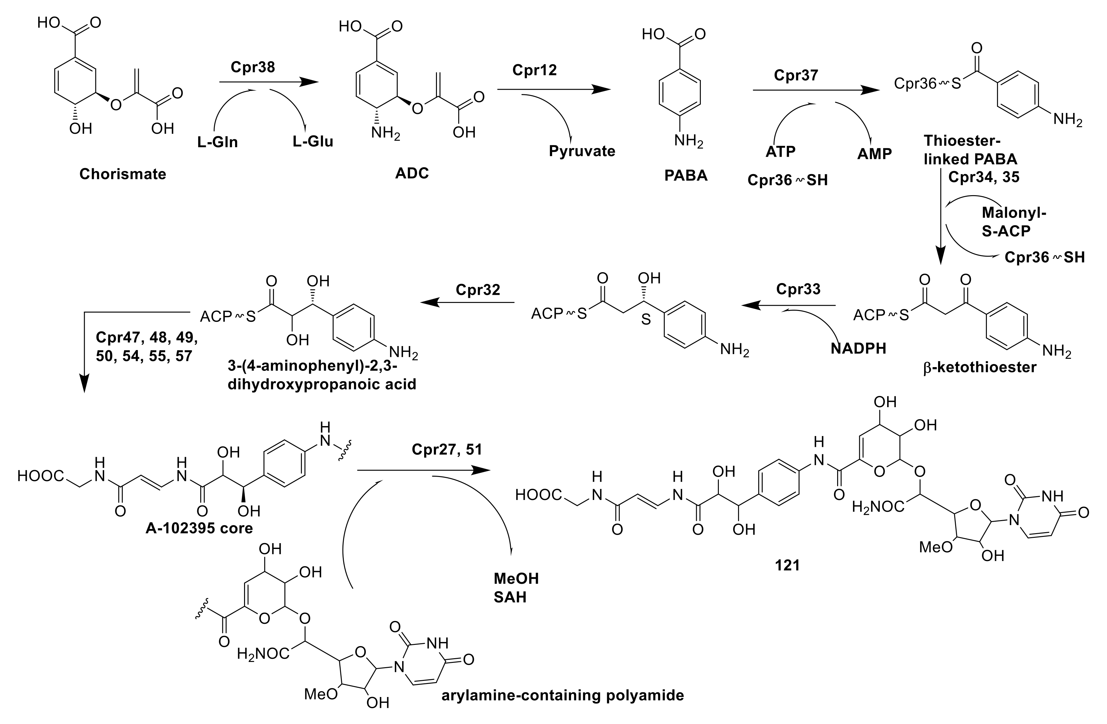
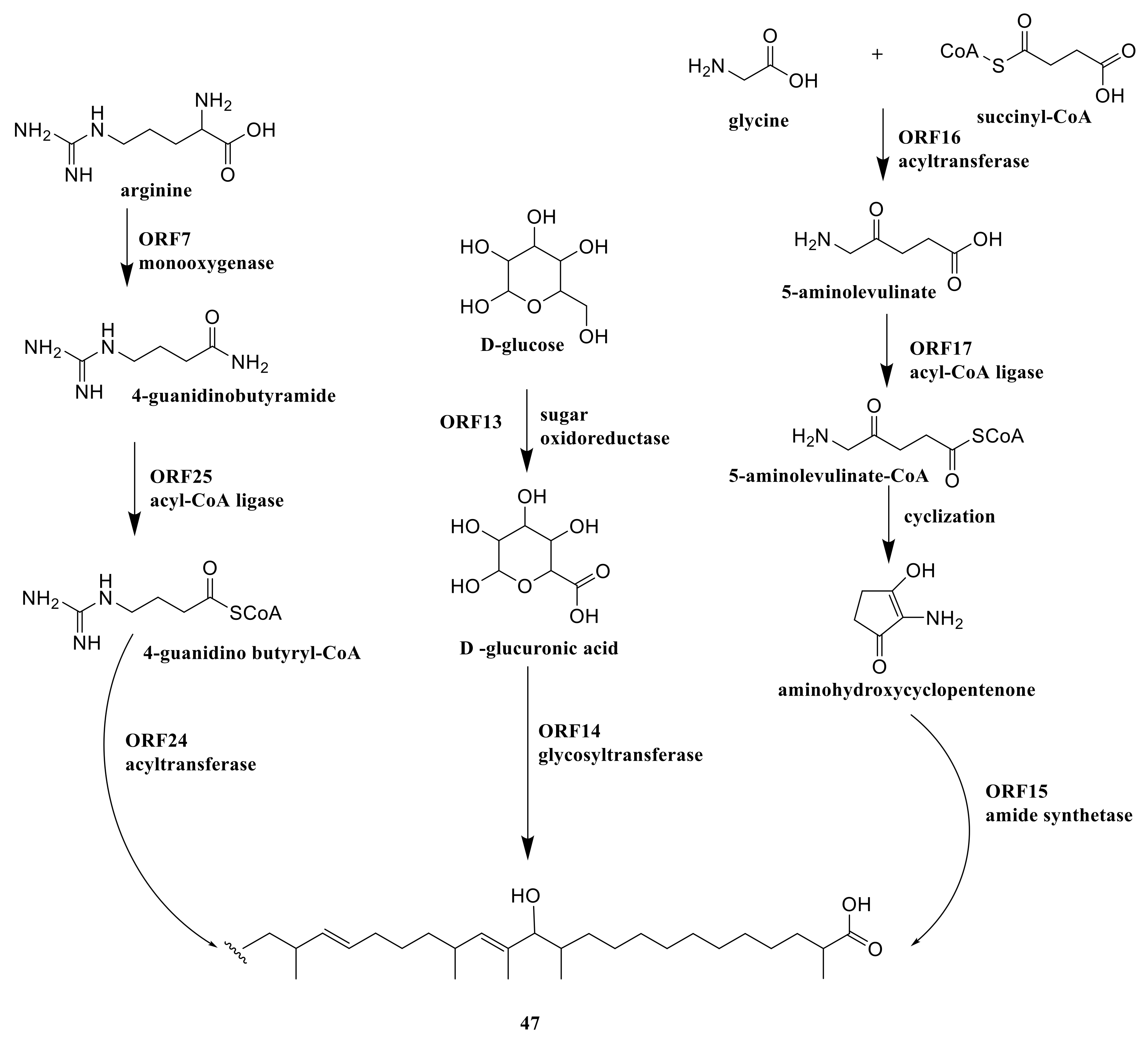
5.1. Biosynthetic Pathways of Secondary Metabolites from Amycolatopsis
5.2. Chemical Synthesis, Semi-Synthesis and Biosynthesis of the Derivatives
5.2.1. Chemical Synthesis of DHM2EQ
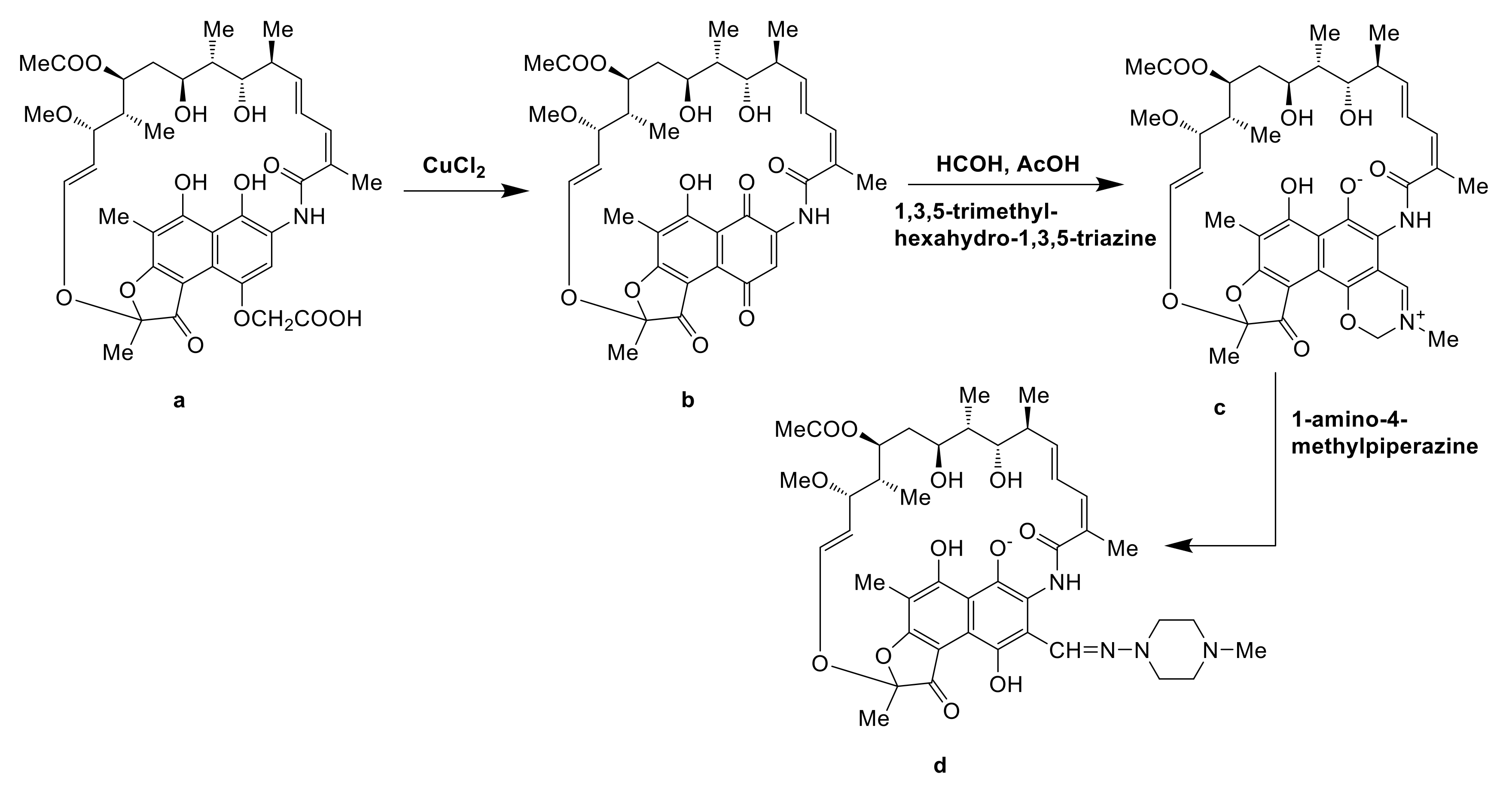
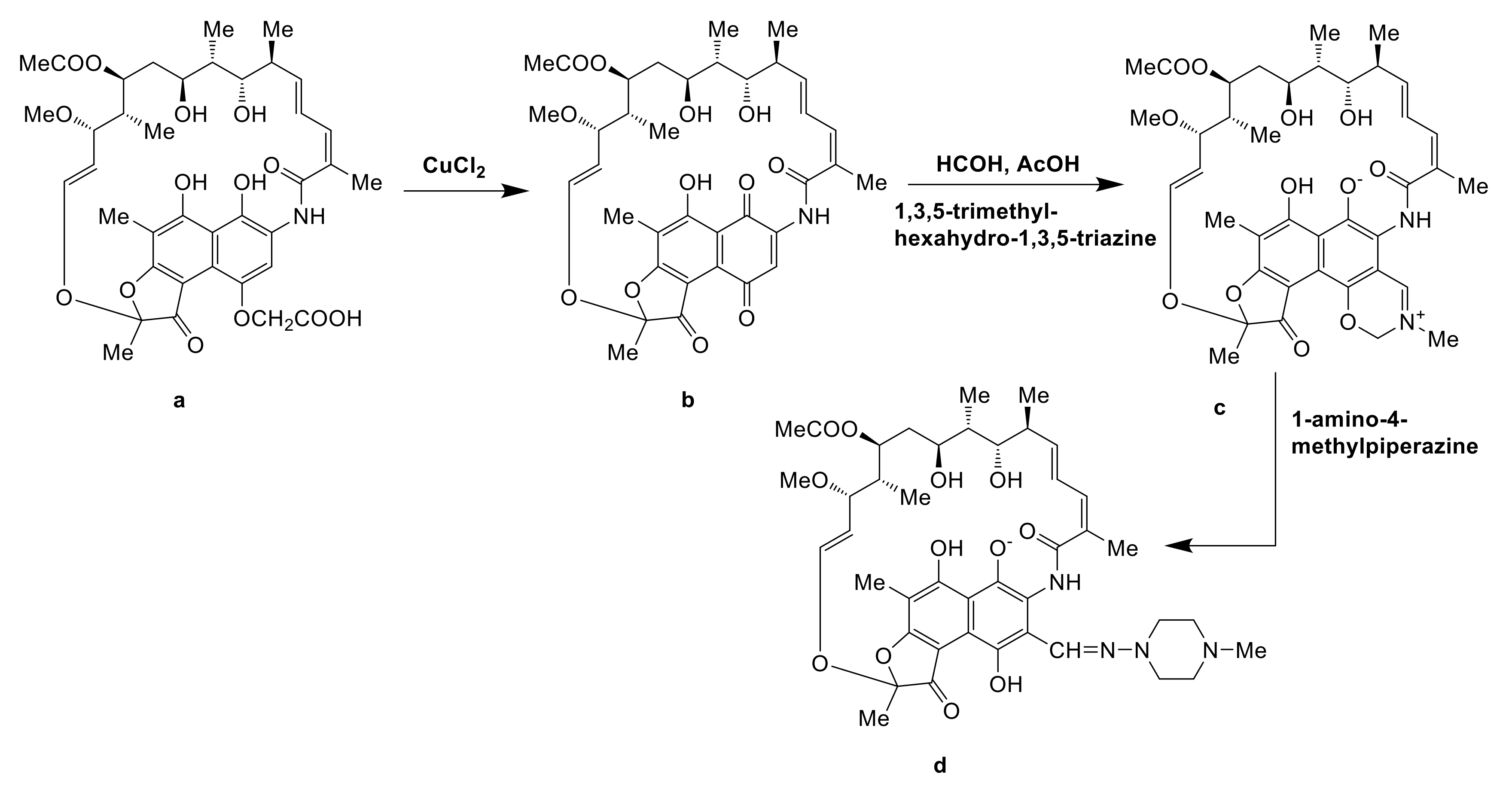
5.2.2. Semi-Synthesis of 24-Desmethylrifampicin
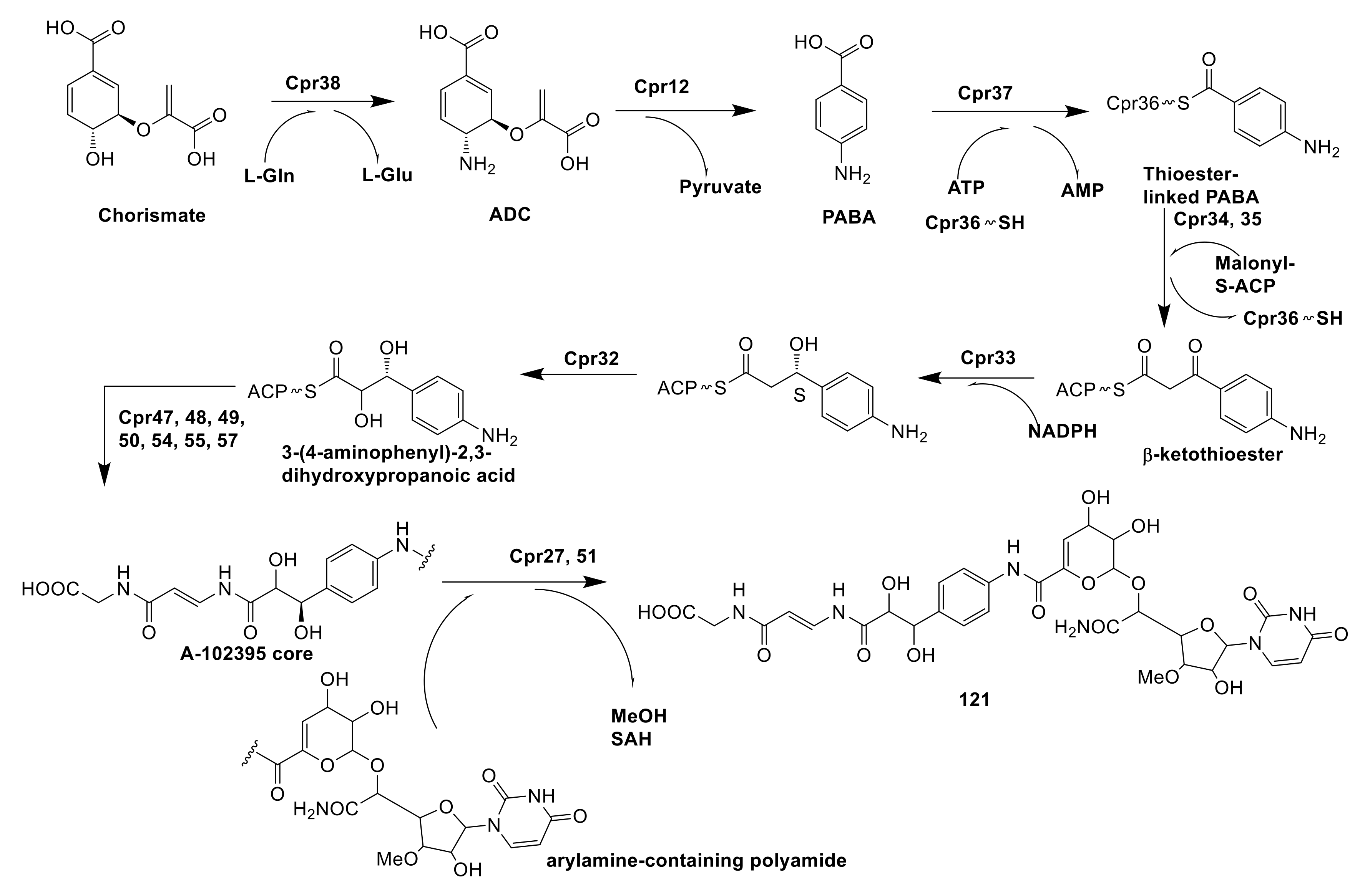
5.2.3. Biosynthesis of CDCHD
6. Conclusions
Author Contributions
Funding
Data Availability Statement
Conflicts of Interest
References
- Lazzarini, A.; Cavaletti, L.; Toppo, G.; Marinelli, F. Rare genera of Actinomycetes as potential producers of new antibiotics. Anton. Leeuw. Int. J. Gen. 2000, 78, 399–405. [Google Scholar] [CrossRef]
- Lechevalier, M.P.; Prauser, H.; Labeda, D.P.; Ruan, J.S. 2 New genera of nocardioform Actinomycetes-Amycolata gen. nov and Amycolatopsis gen. nov. Int. J. Syst. Bacteriol. 1986, 36, 29–37. [Google Scholar] [CrossRef]
- Stackebrandt, E.; Rainey, F.A.; WardRainey, N.L. Proposal for a new hierarchic classification system, actinobacteria classis. Int. J. Syst. Bacteriol. 1997, 47, 479–491. [Google Scholar] [CrossRef]
- Sensi, P.; Greco, A.M.; Ballotta, R. Rifomycin. I. Isolation and properties of rifomycin B and rifomycin complex. Antibiot. Annu. 1959, 7, 262–270. [Google Scholar] [PubMed]
- Barna, J.C.; Williams, D.H. The structure and mode of action of glycopeptide antibiotics of the vancomycin group. Annu. Rev. Microbiol. 1984, 38, 339–357. [Google Scholar] [CrossRef]
- Preobrazhenskaya, M.N.; Olsufyeva, E.N. Patents on glycopeptides of the vancomycin family and their derivatives as antimicrobials: January 1999-June 2003. Expert. Opin. Ther. Pat. 2004, 14, 141–173. [Google Scholar] [CrossRef]
- Harris, C.M.; Kopecka, H.; Harris, T.M. Vancomycin-structure and transformation to Cdp-I. J. Am. Chem. Soc. 1983, 105, 6915–6922. [Google Scholar] [CrossRef]
- Bischoff, D.; Pelzer, S.; Bister, B.; Nicholson, G.J.; Stockert, S.; Schirle, M.; Wohlleben, W.; Jung, G.; Sussmuth, R.D. The biosynthesis of vancomycin-type glycopeptide antibiotics-The order of the cyclization steps. Angew. Chem. Int. Edit. 2001, 40, 4688–4691. [Google Scholar] [CrossRef]
- Forneris, C.C.; Seyedsayamdost, M.R. In vitro reconstitution of OxyC activity enables total chemoenzymatic syntheses of vancomycin aglycone variants. Angew. Chem. Int. Edit. 2018, 57, 8048–8052. [Google Scholar] [CrossRef]
- Li, C.; Liu, X.Q.; Lei, C.; Yan, H.; Shao, Z.H.; Wang, Y.; Zhao, G.P.; Wang, J.; Ding, X.M. RifZ(AMED_0655) is a pathway-specific regulator for rifamycin biosynthesis in Amycolatopsis mediterranei. Appl. Environ. Microbiol. 2017, 83, e03201-16. [Google Scholar] [CrossRef]
- Lei, C.; Wang, J.; Liu, Y.; Liu, X.; Zhao, G.; Wang, J. A feedback regulatory model for RifQ-mediated repression of rifamycin export in &ITAmycolatopsis mediterranei&IT. Microb. Cell. Fact. 2018, 17. [Google Scholar] [CrossRef]
- Chen, S.; Wu, Q.; Shen, Q.; Wang, H. Progress in understanding the genetic information and biosynthetic pathways behind Amycolatopsis antibiotics, with implications for the continued discovery of novel drugs. Chembiochem 2016, 17, 119–128. [Google Scholar] [CrossRef] [PubMed]
- Setsuko, K.; Jie, L.; Hiroyasu, E.; Yohko, Y.; Naoko, K.; Yoshiko, H.; Masa, H.; Michiyo, O.; Masaaki, I.; Tomio, T. Kigamicins, novel antitumor antibiotics-I. Taxonomy, isolation, physico-chemical properties and biological activities. J. Antibiot. 2003, 56, 1004–1011. [Google Scholar] [CrossRef]
- Li, X.M.; Wu, X.K.; Zhu, J.; Shen, Y.M. Amexanthomycins A–J, pentangular polyphenols produced by Amycolatopsis mediterranei S699 Delta rifA. Appl. Microbiol. Biotechnol. 2018, 102, 689–702. [Google Scholar] [CrossRef] [PubMed]
- Hopp, D.C.; Rabenstein, J.; Rhea, J.; Smith, C.; Romari, K.; Clarke, M.; Francis, L.; Irigoyen, M.; Milanowski, D.; Luche, M.; et al. Mutactimycin E, a new anthracycline antibiotic with gram-positive activity. J. Antibiot. 2008, 61, 675–679. [Google Scholar] [CrossRef][Green Version]
- Kumar, C.G.; Mongolla, P.; Chandrasekhar, C.; Poornachandra, Y.; Siva, B.; Babu, K.S.; Ramakrishna, K.V.S. Anti-proliferative and antioxidant activities of 1-methoxy-3-methyl-8-hydroxy-anthraquinone, a hydroxyanthraquinoid extrolite produced by Amycolatopsis thermoflava strain SFMA-103. Microbiol. Biotechnol. Lett. 2017, 45, 200–208. [Google Scholar] [CrossRef]
- Chandrasekhar, C.; Rajpurohit, H.; Javaji, K.; Kuncha, M.; Setti, A.; Ali, A.Z.; Tiwari, A.K.; Misra, S.; Kumar, C.G. Anti-hyperglycemic and genotoxic studies of 1-O-methyl chrysophanol, a new anthraquinone isolated from Amycolatopsis thermoflava strain SFMA-103. Drug. Chem. Toxicol. 2019, 44, 148–160. [Google Scholar] [CrossRef] [PubMed]
- Zheng, K.X.; Jiang, Y.; Jiang, J.X.; Huang, R.; He, J.; Wu, S.H. A new phthalazinone derivative and a new isoflavonoid glycoside from lichen-associated Amycolatopsis sp. Fitoterapia 2019, 135, 85–89. [Google Scholar] [CrossRef]
- Liu, C.S.; Jiang, Y.; Huang, R.; Jiang, B.G.; Zheng, K.X.; Wu, S.H. Diverse secondary metabolites from a lichen-derived Amycolatopsis Strain. Curr. Microbiol. 2020, 77, 2104–2110. [Google Scholar] [CrossRef] [PubMed]
- Bauermeister, A.; Calil, F.A.; Pinto, F.d.C.L.; Medeiros, T.C.T.; Almeida, L.C.; Silva, L.J.; de Melo, I.S.; Zucchi, T.D.; Costa-Lotufo, L.V.; Moraes, L.A.B. Pradimicin-IRD from Amycolatopsis sp. IRD-009 and its antimicrobial and cytotoxic activities. Natl. Prod. Res. 2019, 33, 1713–1720. [Google Scholar] [CrossRef]
- Guo, Z.K.; Wang, T.; Guo, Y.; Song, Y.C.; Tan, R.X.; Ge, H.M. Cytotoxic angucyclines from Amycolatopsis sp. HCa1, a rare actinobacteria derived from Oxya chinensis. Planta Med. 2011, 77, 2057–2060. [Google Scholar] [CrossRef]
- Guo, Z.K.; Liu, S.B.; Jiao, R.H.; Wang, T.; Tan, R.X.; Ge, H.M. Angucyclines from an insect-derived actinobacterium Amycolatopsis sp. HCa1 and their cytotoxic activity. Bioorg. Med. Chem. Lett. 2012, 22, 7490–7493. [Google Scholar] [CrossRef]
- Kwon, Y.; Kim, S.H.; Shin, Y.; Bae, M.; Kim, B.Y.; Lee, S.K.; Oh, K.B.; Shin, J.; Oh, D.C. A new benzofuran glycoside and indole alkaloids from a sponge-associated rare actinomycete, Amycolatopsis sp. Mar. Drugs 2014, 12, 2326–2340. [Google Scholar] [CrossRef]
- Banskota, A.H.; McAlpine, J.B.; Sorensen, D.; Ibrahim, A.; Aouidate, M.; Piraee, M.; Alarco, A.M.; Farnet, C.M.; Zazopoulos, E. Genomic analyses lead to novel secondary metabolites. J. Antibiot. 2006, 59, 533–542. [Google Scholar] [CrossRef] [PubMed]
- Hopmann, C.; Kurz, M.; Bronstrup, M.; Wink, J.; LeBeller, D. Isolation and structure elucidation of vancoresmycin—A new antibiotic from Amycolatopsis sp ST 101170. Tetrahedron. Lett. 2002, 43, 435–438. [Google Scholar] [CrossRef]
- Khalil, Z.G.; Salim, A.A.; Vuong, D.; Crombie, A.; Lacey, E.; Blumenthal, A.; Capon, R.J. Amycolatopsins A–C: Antimycobacterial glycosylated polyketide macrolides from the Australian soil Amycolatopsis sp. MST-108494. J. Antibiot. 2017, 70, 1097–1103. [Google Scholar] [CrossRef]
- Sheng, Y.; Fotso, S.; Serrill, J.D.; Shahab, S.; Santosa, D.A.; Ishmael, J.E.; Proteau, P.J.; Zabriskie, T.M.; Mahmud, T. Succinylated apoptolidins from Amycolatopsis sp. ICBB 8242. Org. Lett. 2015, 17, 2526–2529. [Google Scholar] [CrossRef] [PubMed]
- Shi, Y.R.; Zhang, J.L.; Tian, X.Y.; Wu, X.K.; Li, T.H.; Lu, C.H.; Shen, Y.M. Isolation of 11,12-seco-Rifamycin W derivatives reveals a cleavage pattern of the rifamycin ansa chain. Org. Lett. 2019, 21, 900–903. [Google Scholar] [CrossRef] [PubMed]
- Xiao, Y.S.; Zhang, B.; Zhang, M.; Guo, Z.K.; Deng, X.Z.; Shi, J.; Li, W.; Jiao, R.H.; Tan, R.X.; Ge, H.M. Rifamorpholines A–E, potential antibiotics from locust-associated actinobacteria Amycolatopsis sp. Hca4. Org. Biomol. Chem. 2017, 15, 3909–3916. [Google Scholar] [CrossRef]
- Beemelmanns, C.; Ramadhar, T.R.; Kim, K.H.; Klassen, J.L.; Cao, S.; Wyche, T.P.; Hou, Y.; Poulsen, M.; Bugni, T.S.; Currie, C.R.; et al. Macrotermycins A–D, glycosylated macrolactams from a termite-associated Amycolatopsis sp. M39. Org. Lett. 2017, 19, 1000–1003. [Google Scholar] [CrossRef]
- Li, X.M.; Li, X.M.; Lu, C.H. Abscisic acid-type sesquiterpenes and ansamycins from Amycolatopsis alba DSM 44262. J. Asian Nat. Prod. Res. 2017, 19, 946–953. [Google Scholar] [CrossRef] [PubMed]
- Jayasuriya, H.; Herath, K.; Ondeyka, J.G.; Zhang, C.; Singh, S.B. Isolation and structure elucidation of thiazomycin—A potent thiazolyl peptide antibiotic from Amycolatopsis fastidiosa. J. Antibiot. 2007, 60, 554–564. [Google Scholar] [CrossRef] [PubMed]
- Zhang, C.; Zink, D.L.; Ushio, M.; Burgess, B.; Onishi, R.; Masurekar, P.; Barrett, J.F.; Singh, S.B. Isolation, structure, and antibacterial activity of thiazomycin A, a potent thiazolyl peptide antibiotic from Amycolatopsis fastidiosa. Bioorg. Med. Chem. 2008, 16, 8818–8823. [Google Scholar] [CrossRef] [PubMed]
- Singh, S.B.; Occi, J.; Jayasuriya, H.; Herath, K.; Motyl, M.; Dorso, K.; Gill, C.; Hickey, E.; Overbye, K.M.; Barrett, J.F.; et al. Antibacterial evaluations of thiazomycin-A potent thiazolyl peptide antibiotic from Amycolatopsis fastidiosa. J. Antibiot. 2007, 60, 565–571. [Google Scholar] [CrossRef]
- Zhang, C.W.; Herath, K.; Jayasuriya, H.; Ondeyka, J.G.; Zink, D.L.; Occi, J.; Birdsall, G.; Venugopal, J.; Ushio, M.; Burgess, B.; et al. Thiazomycins, thiazolyl peptide antibiotics from Amycolatopsis fastidiosa. J. Nat. Prod. 2009, 72, 841–847. [Google Scholar] [CrossRef]
- Pan, C.Q.; Kuranaga, T.; Liu, C.; Lu, S.; Shinzato, N.; Kakeya, H. Thioamycolamides A–E, sulfur-containing cycliclipopeptides produced by the rare Actinomycete Amycolatopsis sp. Org. Lett. 2020, 22, 3014–3017. [Google Scholar] [CrossRef]
- Igarashi, M.; Sawa, R.; Kinoshita, N.; Hashizurne, H.; Nakagawa, N.; Homma, Y.; Nishimura, Y.; Akamatsu, Y. Pargamicin a, a novel cyclic peptide antibiotic from Amycolatopsis sp. J. Antibiot. 2008, 61, 387–393. [Google Scholar] [CrossRef]
- Hashizume, H.; Sawa, R.; Yamashita, K.; Nishimura, Y.; Igarashi, M. Structure and antibacterial activities of new cyclic peptide antibiotics, pargamicins B, C and D, from Amycolatopsis sp. ML1-hF4. J. Antibiot. 2017, 70, 699–704. [Google Scholar] [CrossRef]
- Hashizume, H.; Iijima, K.; Yamashita, K.; Kimura, T.; Wada, S.I.; Sawa, R.; Igarashi, M. Valgamicin C, a novel cyclic depsipeptide containing the unusual amino acid cleonine, and related valgamicins A, T and V produced by Amycolatopsis sp. ML1-hF4. J. Antibiot. 2017. [Google Scholar] [CrossRef]
- Tsuji, N.; Kamigauchi, T.; Kobayashi, M.; Terui, Y. New glycopeptide antibiotics. 2. The isolation and structures of chloroorienticins. J. Antibiot. 1988, 41, 1506–1510. [Google Scholar] [CrossRef][Green Version]
- Box, S.J.; Elson, A.L.; Gilpin, M.L.; Winstanley, D.J. MM 47761 and MM 49721, glycopeptide antibiotics produced by a new strain of Amycolatopsis-orientalis-Isolation, purification and structure determination. J. Antibiot. 1990, 43, 931–937. [Google Scholar] [CrossRef]
- Berdnikova, T.F.; Shashkov, A.S.; Katrukha, G.S.; Lapchinskaya, O.A.; Yurkevich, N.V.; Grachev, A.A.; Nifant’ev, N.E. The structure of antibiotic eremomycin B. Russ. J. Bioorg. Chem. 2009, 35, 497–503. [Google Scholar] [CrossRef]
- Kodani, S.; Komaki, H.; Suzuki, M.; Hemmi, H.; Ohnishi-Kameyama, M. Isolation and structure determination of new siderophore albachelin from Amycolatopsis alba. Biometals 2015, 28, 381–389. [Google Scholar] [CrossRef]
- Wu, Q.H.; Deering, R.W.; Zhang, G.Y.; Wang, B.X.; Li, X.; Sun, J.D.; Chen, J.W.; Zhang, H.W.; Rowley, D.C.; Wang, H. Albisporachelin, a new hydroxamate type siderophore from the deep ocean sediment-derived Actinomycete Amycolatopsis albispora WP1(T). Mar. Drugs 2018, 16, 199. [Google Scholar] [CrossRef]
- Murakami, R.; Fujita, Y.; Kizuka, M.; Kagawa, T.; Muramatsu, Y.; Miyakoshi, S.; Takatsu, T.; Inukai, M. A-102395, a new inhibitor of bacterial translocase I, produced by Amycolatopsis sp. SANK 60206. J. Antibiot. 2007, 60, 690–695. [Google Scholar] [CrossRef] [PubMed]
- Li, X.; Li, X.; Zhu, J.; Wang, H.; Lu, C. Carbamothioic S-acid derivative and kigamicins, the activated production of silent metabolites in Amycolatopsis alba DSM 44262 Delta abm9 elicited by N-acetyl-D-glucosamine. Nat. Prod. Res. 2019, 34, 3514–3521. [Google Scholar] [CrossRef]
- Xu, X.D.; Han, L.; Zhao, L.X.; Chen, X.; Miao, C.P.; Hu, L.F.; Huang, X.S.; Chen, Y.M.; Li, Y.Q. Echinosporin antibiotics isolated from Amycolatopsis strain and their antifungal activity against root-rot pathogens of the Panax notoginseng. Folia. Microbiol. 2019, 64, 171–175. [Google Scholar] [CrossRef] [PubMed]
- Izuta, S.; Kosaka, S.; Kawai, M.; Miyano, R.; Matsuo, H.; Matsumoto, A.; Nonaka, K.; Takahashi, Y.; Omura, S.; Nakashima, T. Dipyrimicin A and B, microbial compounds isolated from Amycolatopsis sp. K16-0194. J. Antibiot. 2018, 71, 535–537. [Google Scholar] [CrossRef]
- Dasari, V.R.; Muthyala, M.K.; Nikku, M.Y.; Donthireddy, S.R. Novel Pyridinium compound from marine actinomycete, Amycolatopsis alba var. nov. DVR D4 showing antimicrobial and cytotoxic activities in vitro. Microbiol. Res. 2012, 167, 346–351. [Google Scholar] [CrossRef] [PubMed]
- Lu, C.H.; Ye, F.W.; Shen, Y.M. Siderochelins with anti-mycobacterial activity from Amycolatopsis sp. LZ149. Chin. J. Nat. Med. 2015, 13, 69–72. [Google Scholar] [CrossRef]
- Matsumoto, N.; Tsuchida, T.; Umekita, M.; Kinoshita, N.; Iinuma, H.; Sawa, T.; Hamada, M.; Takeuchi, T. Epoxyquinomicins A, B, C and D, new antibiotics from Amycolatopsis. 1. Taxonomy, fermentation, isolation and antimicrobial activities. J. Antibiot. 1997, 50, 900–905. [Google Scholar] [CrossRef] [PubMed][Green Version]
- Breinholt, J.; Kulik, A.; Gurtler, H.; Fiedler, H.P. Tigloside: A new tigloylated tetrasaccharide from Amycolatopsis sp. Acta Chem. Scand. 1998, 52, 1239–1242. [Google Scholar] [CrossRef]
- Guo, Z.K.; Jiao, R.H.; Dai, H.F.; Mei, W.L.; Tan, R.X.; Ge, H.M. Actinotetraoses I–K: Tetrasaccharide metabolites produced by an insect-derived Actinobacteria, Amycolatopsis sp. HCa1. Chem. Biodivers. 2013, 10, 296–302. [Google Scholar] [CrossRef] [PubMed]
- Guo, Z.K.; Yan, W.; Tan, R.X.; Ge, H.M. Actinotetraose L, a new tetrasaccharide derivative isolated from the mycelia of Amycolatopsis sp. HCa1. J. Asian. Nat. Prod. Res. 2015, 17, 1109–1113. [Google Scholar] [CrossRef]
- Ma, S.Y.; Xiao, Y.S.; Zhang, B.; Shao, F.L.; Guo, Z.K.; Zhang, J.J.; Jiao, R.H.; Sun, Y.; Xu, Q.; Tan, R.X.; et al. Amycolamycins A and B, two enediyne-derived compounds from a locust-associated Actinomycete. Org. Lett. 2017, 19, 6208–6211. [Google Scholar] [CrossRef]
- Ajila, C.M.; Brar, S.K.; Verma, M.; Tyagi, R.D.; Godbout, S.; Valero, J.R. Extraction and analysis of polyphenols: Recent trends. Crit. Rev. Biotechnol. 2011, 31, 227–249. [Google Scholar] [CrossRef]
- Chung, S.; Champagne, E.T. Using phenolic compounds to reduce the allergenic properties of peanut extracts and peanut butter slurries. J. Allergy. Clin. Immunol. 2008, 121, S249. [Google Scholar] [CrossRef]
- Lu, J.; Kunimoto, S.; Yamazaki, Y.; Kaminishi, M.; Esumi, H. Kigamicin D, a novel anticancer agent based on a new anti-austerity strategy targeting cancer cells’ tolerance to nutrient starvation. Cancer. Sci. 2004, 95, 547–552. [Google Scholar] [CrossRef]
- De Almeida, L.C.; Bauermeister, A.; Rezende-Teixeira, P.; dos Santos, E.A.; Beraldo de Moraes, L.A.; Machado-Neto, J.A.; Costa-Lotufo, L.V. Pradimicin-IRD exhibits antineoplastic effects by inducing DNA damage in colon cancer cells. Biochem. Pharmacol. 2019, 168, 38–47. [Google Scholar] [CrossRef]
- Butler, M.S.; Buss, A.D. Natural products-The future scaffolds for novel antibiotics? Biochem. Pharmacol. 2006, 71, 919–929. [Google Scholar] [CrossRef]
- Kepplinger, B.; Morton-Laing, S.; Seistrup, K.H.; Marrs, E.C.L.; Hopkins, A.P.; Perry, J.D.; Strahl, H.; Hall, M.J.; Errington, J.; Allenby, N.E.E. Mode of action and heterologous expression of the natural product antibiotic vancoresmycin. ACS Chem. Biol. 2018, 13, 207–214. [Google Scholar] [CrossRef] [PubMed]
- Griffith, R.S.; Peck, F.B., Jr. Comparative clinical laboratory studies of penicillin V and penicillin G. Antibiot. Annu. 1955, 3, 506–509. [Google Scholar] [PubMed]
- Ong, Y.S.; Gao, L.; Kalesh, K.A.; Yu, Z.; Wang, J.; Liu, C.C.; Li, Y.; Sun, H.; Lee, S.S. Recent advances in ynthesis and identification of cyclic peptides for bioapplications. Curr. Top. Med. Chem. 2017, 17, 2302–2318. [Google Scholar] [CrossRef]
- Lennard, K.R.; Tavassoli, A. Peptides come round: Using SICLOPPS Libraries for early stage drug discovery. Chem. Eur. J. 2014, 20, 10608–10614. [Google Scholar] [CrossRef]
- Hashizume, H.; Adachi, H.; Igarashi, M.; Nishimura, Y.; Akamatsu, Y. Biological activities of pargamicin A, a novel cyclic peptide antibiotic from Amycolatopsis sp. J. Antibiot. 2010, 63, 279–283. [Google Scholar] [CrossRef]
- Yushchuk, O.; Binda, E.; Marinelli, F. Glycopeptide antibiotic resistance genes: Distribution and function in the producer Actinomycetes. Front. Microbiol. 2020, 11, 1173. [Google Scholar] [CrossRef]
- Matsumoto, N.; Iinuma, H.; Sawa, T.; Takeuchi, T.; Hirano, S.; Yoshioka, T.; Ishizuka, M. Epoxyquinomicins A, B, C and D, new antibiotics from Amycolatopsis. 2. Effect on type II collagen-induced arthritis in mice. J. Antibiot. 1997, 50, 906–911. [Google Scholar] [CrossRef] [PubMed][Green Version]
- Costa, J.S.D.; Amoroso, M.J. Current biotechnological applications of the genus Amycolatopsis. World J. Microbiol. Biotechnol. 2014, 30, 1919–1926. [Google Scholar] [CrossRef]
- Cai, Z.Q.; Chen, Q.L.; Wang, H.Y.; He, Y.C.; Wang, W.; Zhao, X.Y.; Ye, Q.F. Degradation of the novel herbicide ZJ0273 by Amycolatopsis sp. M3-1 isolated from soil. Appl. Microbiol. Biotechnol. 2012, 96, 1371–1379. [Google Scholar] [CrossRef]
- Der Beek, T.A.; Weber, F.A.; Bergmann, A.; Hickmann, S.; Ebert, I.; Hein, A.; Kuster, A. Pharmaceuticals in the environment-global occurrences and perspectives. Environ. Toxicol. Chem. 2016, 35, 823–835. [Google Scholar] [CrossRef] [PubMed]
- Alanis-Sanchez, B.M.; Perez-Tapia, S.M.; Vazquez-Leyva, S.; Mejia-Calvo, I.; Macias-Palacios, Z.; Vallejo-Castillo, L.; Flores-Ortiz, C.M.; Guerrero-Barajas, C.; Cruz-Maya, J.A.; Jan-Roblero, J. Utilization of naproxen by Amycolatopsis sp. Poz 14 and detection of the enzymes involved in the degradation metabolic pathway. World J. Microbiol. Biotechnol. 2019, 35. [Google Scholar] [CrossRef] [PubMed]
- Butbunchu, N.; Pathom-Aree, W. Actinobacteria as promising candidate for polylactic acid type bioplastic degradation. Front. Microbiol. 2019, 10, 10. [Google Scholar] [CrossRef]
- Tan, Y.; Henehan, G.T.; Kinsella, G.K.; Ryan, B.J. An extracellular lipase from Amycolatopsis mediterannei is a cutinase with plastic degrading activity. Comput. Struct. Biotec. 2021, 19, 869–879. [Google Scholar] [CrossRef] [PubMed]
- Salvachua, D.; Karp, E.M.; Nimlos, C.T.; Vardon, D.R.; Beckham, G.T. Towards lignin consolidated bioprocessing: Simultaneous lignin depolymerization and product generation by bacteria. Green Chem. 2015, 17, 4951–4967. [Google Scholar] [CrossRef]
- Fleige, C.; Hansen, G.; Kroll, J.; Steinbuchel, A. Investigation of the Amycolatopsis sp. Strain ATCC 39116 vanillin dehydrogenase and its impact on the biotechnical production of vanillin. Appl. Environ. Microbiol. 2013, 79, 81–90. [Google Scholar] [CrossRef] [PubMed]
- Zong, H.; Zhuge, B.; Lu, X.Y.; Huo, X.Y.; Fang, H.Y.; Song, J.; Sun, J. Characterization of a novel cytochrome P450 from Amycolatopsis sp. CGMCC1149 for hydroxylation of lovastatin. Biotechnol. Appl. Biochem. 2015, 62, 9–16. [Google Scholar] [CrossRef]
- Zong, H.; Zhuge, B.; Fang, H.Y.; Cao, Y.H.; Mu, L.; Fu, W.L.; Song, J.; Zhuge, J. Advances in the bioconversion mechanism of lovastatin to wuxistatin by Amycolatopsis sp. CGMCC 1149. Appl. Microbiol. Biotechnol. 2013, 97, 599–609. [Google Scholar] [CrossRef] [PubMed]
- Albarracin, V.H.; Winik, B.; Kothe, E.; Amoroso, M.J.; Abate, C.M. Copper bioaccumulation by the actinobacterium Amycolatopsis sp. ABO. J. Basic Microbiol. 2008, 48, 323–330. [Google Scholar] [CrossRef] [PubMed]
- Albarracin, V.H.; Alonso-Vega, P.; Trujijjo, M.E.; Amoroso, M.J.; Abate, C.M. Amycolatopsis tucumanensis sp. nov., a copper-resistant actinobacterium isolated from polluted sediments. Int. J. Syst. Evol. Microbiol. 2010, 60, 397–401. [Google Scholar] [CrossRef]
- Colin, V.L.; Villegas, L.B.; Abate, C.M. Indigenous microorganisms as potential bioremediators for environments contaminated with heavy metals. Int. Biodeter. Biodegr. 2012, 69, 28–37. [Google Scholar] [CrossRef]
- Colin, V.L.; Castro, M.F.; Amoroso, M.J.; Villegas, L.B. Production of bioemulsifiers by Amycolatopsis tucumanensis DSM 45259 and their potential application in remediation technologies for soils contaminated with hexavalent chromium. J. Hazard. Mater. 2013, 261, 577–583. [Google Scholar] [CrossRef]
- El Baz, S.; Baz, M.; Barakate, M.; Hassani, L.; El Gharmali, A.; Imziln, B. Resistance to and accumulation of heavy metals by actinobacteria isolated from abandoned mining areas. Sci. World J. 2015, 2015, 761834. [Google Scholar] [CrossRef]
- Kishimoto, S.; Tsunematsu, Y.; Sato, M.; Watanabe, K. Elucidation of biosynthetic pathways of natural products. Chem. Rec. 2017, 17, 1095–1108. [Google Scholar] [CrossRef]
- Cai, W.L.; Goswami, A.; Yang, Z.Y.; Liu, X.D.; Green, K.D.; Barnard-Britson, S.; Baba, S.; Funabashi, M.; Nonaka, K.; Sunkara, M.; et al. The biosynthesis of capuramycin-type antibiotics identification of the A-102395 biosynthetic gene cluster, mechanism of self-resistance, and formation of uridine-5′-carboxamide. J. Biol. Chem. 2015, 290, 13710–13724. [Google Scholar] [CrossRef]
- Matsumoto, N.; Ariga, A.; To-e, S.; Nakamura, H.; Agata, N.; Hirano, S.; Inoue, J.; Umezawa, K. Synthesis of NF-κβ activation inhibitors derived from epoxyquinomicin C. Bioorg. Med. Chem. Lett. 2000, 10, 865–869. [Google Scholar] [CrossRef]
- Nigam, A.; Almabruk, K.H.; Saxena, A.; Yang, J.; Mukherjee, U.; Kaur, H.; Kohli, P.; Kumari, R.; Singh, P.; Zakharov, L.N.; et al. Modification of rifamycin polyketide backbone leads to improved drug activity against rifampicin-resistant Mycobacterium tuberculosis. J. Biol. Chem. 2014, 289, 21142–21152. [Google Scholar] [CrossRef] [PubMed]
- Singhvi, N.; Singh, P.; Prakash, O.; Gupta, V.; Lal, S.; Bechthold, A.; Singh, Y.; Singh, R.K.; Lal, R. Differential mass spectrometry-based proteome analyses unveil major regulatory hubs in rifamycin B production in Amycolatopsis mediterranei. J. Proteom. 2021, 104168. [Google Scholar] [CrossRef] [PubMed]
- Lesnik, U.; Lukezic, T.; Podgorsek, A.; Horvat, J.; Polak, T.; Sala, M.; Jenko, B.; Harmrolfs, K.; Ocampo-Sosa, A.; Martinez-Martinez, L.; et al. Construction of a new class of tetracycline lead structures with potent antibacterial activity through biosynthetic engineering. Angew. Chem. Int. Edit. 2015, 54, 3937–3940. [Google Scholar] [CrossRef]
- Lukezic, T.; Lesnik, U.; Podgorsek, A.; Horvat, J.; Polak, T.; Sala, M.; Jenko, B.; Raspor, P.; Herron, P.R.; Hunter, I.S.; et al. Identification of the chelocardin biosynthetic gene cluster from Amycolatopsis sulphurea: A platform for producing novel tetracycline antibiotics. Microbiology 2013, 159, 2524–2532. [Google Scholar] [CrossRef]
- Blin, K.; Shaw, S.; Steinke, K.; Villebro, R.; Ziemert, N.; Lee, S.Y.; Medema, M.H.; Weber, T. antiSMASH 5.0: Updates to the secondary metabolite genome mining pipeline. Nucleic Acids Res. 2019, 47, W81–W87. [Google Scholar] [CrossRef]
- Skinnider, M.A.; Merwin, N.J.; Johnston, C.W.; Magarvey, N.A. PRISM 3: Expanded prediction of natural product chemical structures from microbial genomes. Nucleic Acids Res. 2017, 45, W49–W54. [Google Scholar] [CrossRef] [PubMed]
- Bergeijk, D.A.V.; Terlouw, B.R.; Medema, M.H.; Wezel, G.P.V. Ecology and genomics of Actinobacteria: New concepts for natural product discovery. Nat. Rev. Microbiol. 2020, 546–558. [Google Scholar] [CrossRef] [PubMed]
- Pan, C.; Kuranaga, T.; Cao, X.; Suzuki, T.; Dohmae, N.; Shinzato, N.; Onaka, H.; Kakeya, H. Amycolapeptins A and B, cyclic nonadepsipeptides produced by combined-culture of Amycolatopsis sp. and Tsukamurella pulmonis. J. Org. Chem. 2021, 86, 1843–1849. [Google Scholar] [CrossRef] [PubMed]













| Structure Types | Compounds | Sources | CAS Registry Numbers | Habitats (T/M b) | Refs. |
|---|---|---|---|---|---|
| Polyphenols | Kigamicin A (1) | Amycolatopsis sp. ML630-mF1 | 680571-49-7 | Soil (T) | [13] |
| Kigamicin B (2) | Amycolatopsis sp. ML630-mF1 | 680571-50-0 | Soil (T) | [13] | |
| Kigamicin C (3) | Amycolatopsis sp. ML630-mF1 | 680571-51-1 | Soil (T) | [13] | |
| Kigamicin D (4) | Amycolatopsis sp. ML630-mF1 | 680571-52-2 | Soil (T) | [13] | |
| Kigamicin E (5) | Amycolatopsis sp. ML630-mF1 | 680571-53-3 | Soil (T) | [13] | |
| Amexanthomycin A (6) | A. mediterranei S699 ∆rifA | /a | -c | [14] | |
| Amexanthomycin B (7) | A.mediterranei S699 ∆rifA | / | - | [14] | |
| Amexanthomycin C (8) | A. mediterranei S699 ∆rifA | / | - | [14] | |
| Amexanthomycin D (9) | A. mediterranei S699 ∆rifA | / | - | [14] | |
| Amexanthomycin E (10) | A. mediterranei S699 ∆rifA | / | - | [14] | |
| Amexanthomycin F (11) | A. mediterranei S699 ∆rifA | / | - | [14] | |
| Amexanthomycin G (12) | A. mediterranei S699 ∆rifA | / | - | [14] | |
| Amexanthomycin H (13/) | A. mediterranei S699 ∆rifA | / | - | [14] | |
| Amexanthomycin I (14) | A. mediterranei S699 ∆rifA | / | - | [14] | |
| Amexanthomycin J (15) | A. mediterranei S699 ∆rifA | / | - | [14] | |
| Mutactimycin E (16) | Amycolatopsis sp. 17128 | 1125635-23-5 | Soil (T) | [15] | |
| Mutactimycin A (17) | Amycolatopsis sp. 17128 | 131749-16-1 | Soil (T) | [15] | |
| Mutactimycin D (18) | Amycolatopsis sp. 17128 | 138689-82-4 | Soil (T) | [15] | |
| 1-Methoxy-3-methyl-8-hydroxy-anthraquinone (19) | A. thermoflava SFMA-103 | 67116-22-7 | Soil (T) | [16,17] | |
| 7-O-Methyl-5-O-α-L-rhamnopyranosylgenestein (20) | Amycolatopsis sp. YIM 130642 | / | Squamarina sp. (T) | [18] | |
| 7-O-α-D-Arabinofuranosyl daidzein (21) | Amycolatopsis sp. YIM 130642 | 602329-64-6 | Squamarina sp. (T) | [18] | |
| Prunetin (22) | Amycolatopsis sp. YIM 130642 | 552-59-0 | Squamarina sp. (T) | [18] | |
| Kakkatin (23) | Amycolatopsis sp. YIM 130642 | 57960-04-0 | Squamarina sp. (T) | [18] | |
| Isoformononetin (24) | Amycolatopsis sp. YIM 130642 | 486-63-5 | Squamarina sp. (T) | [18] | |
| Genistein (25) | Amycolatopsis sp. YIM 130642 | 446-72-0 | Squamarina sp. (T) | [18] | |
| Formononetin (26) | Amycolatopsis sp. YIM 130642 | 485-72-3 | Squamarina sp. (T) | [18] | |
| Sorbicillin (27) | Amycolatopsis sp. YIM 130687 | 79950-85-9 | P. borreri (T) | [19] | |
| Pradimicin-IRD (28) | Amycolatopsis sp. IRD-009 | 2226037-84-7 | Soil (T) | [20] | |
| (2R,3R)-2-Hydroxy-8-O-methyltetrangomycin (29) | Amycolatopsis sp. Hca1 | 1391860-71-1 | O. chinensis (T) | [21] | |
| (2R,3R)-2-Hydroxy-5-O-methyltetrangomycin (30) | Amycolatopsis sp. Hca1 | 1391860-72-2 | O. chinensis (T) | [21] | |
| Amycomycin A (31) | Amycolatopsis sp. Hca1 | 1415935-15-7 | O. chinensis (T) | [22] | |
| Amycomycin B (32) | Amycolatopsis sp. Hca1 | 1415935-16-8 | O. chinensis (T) | [22] | |
| Tetrangomycin (33) | Amycolatopsis sp. Hca1 | 7351-08-8 | O. chinensis (T) | [21] | |
| Pd116779 (34) | Amycolatopsis sp. Hca1 | 102674-89-5 | O. chinensis (T) | [21] | |
| Tetrangulol (35) | Amycolatopsis sp. Hca1 | 7414-92-8 | O. chinensis (T) | [21] | |
| X-14881e (36) | Amycolatopsis sp. Hca1 | 85178-50-3 | O. chinensis (T) | [21] | |
| Sakyomicin B (37) | Amycolatopsis sp. Hca1 | 86470-27-1 | O. chinensis (T) | [21] | |
| Tetracyclinone (38) | Amycolatopsis sp. Hca1 | 86413-78-7 | O. chinensis (T) | [21] | |
| Sakyomicin A (39) | Amycolatopsis sp. Hca1 | 86413-75-4 | O. chinensis (T) | [21] | |
| Sakyomicin C (40) | Amycolatopsis sp. Hca1 | 86413-76-5 | O. chinensis (T) | [21] | |
| Amycofuran (41) | A. saalfeldensis | / | Sponge (M) | [23] | |
| Linear polyketides | ECO-0501 (42) | A. orientalis ATCC 43,491 | 848087-04-7 | - | [24] |
| Modified analogs of ECO-0501 (43–47) | A. orientalis ATCC 43,491 | 848087-07-0, 848087-06-9, 848087-08-1, 848087-09-2, 921224-72-8 | - | [24] | |
| Vancoresmycin (48) | Amycolatopsis sp. ST 101170 | 268728-82-1 | - | [25] | |
| Macrolides | Amycolatopsin A (49) | Amycolatopsis sp. MST-108494 | 2209112-96-7 | Soil (T) | [26] |
| Amycolatopsin B (50) | Amycolatopsis sp. MST-108494 | 2209112-97-8 | Soil (T) | [26] | |
| Amycolatopsin C (51) | Amycolatopsis sp. MST-108494 | 2209112-98-9 | Soil (T) | [26] | |
| 2′-O-Succinyl-apoptolidin A (52) | Amycolatopsis sp. ICBB 8242 | 1778681-11-0 | Borneo (M) | [27] | |
| 3′-O-Succinyl-apoptolidin A (53) | Amycolatopsis sp. ICBB 8242 | 1778681-12-1 | Borneo (M) | [27] | |
| Apoptolidin A (54) | Amycolatopsis sp. ICBB 8242 | 194874-06-1 | Borneo (M) | [27] | |
| Apoptolidin B (55) | Amycolatopsis sp. ICBB 8242 | 861994-72-1 | Borneo (M) | [27] | |
| Apoptolidin C (56) | Amycolatopsis sp. ICBB 8242 | 861994-73-2 | Borneo (M) | [27] | |
| Apoptolidin D (57) | Amycolatopsis sp. ICBB 8242 | 929641-83-8 | Borneo (M) | [27] | |
| Isoapoptolidin A (58) | Amycolatopsis sp. ICBB 8242 | 476647-30-0 | Borneo (M) | [27] | |
| Macrolactams | Rifamycinoside A (59) | A. mediterranei S699 | 2329704-84-7 | - | [28] |
| Rifamycinoside B (60) | A. mediterranei S699 | 2329704-85-8 | - | [28] | |
| 28-Desmethyl-28-hydroxyrifamycin W (61) | A. mediterranei S699 | 2329704-86-9 | - | [28] | |
| 27,28-Epoxy-28-desmethylrifamycin W (62) | A. mediterranei S699 | 2329704-87-0 | - | [28] | |
| 30-Hydroxyrifamycin W hemiacetal (63) | A. mediterranei S699 | 2329704-88-1 | - | [28] | |
| 20-Hydroxyrifamycin S (64) | A. mediterranei S699 | / | - | [28] | |
| Rifamycin S (65) | A. mediterranei S699 | 13553-79-2 | - | [28] | |
| 16,17-Dehydrorifamycin G (66) | A. mediterranei S699 | 75922-16-6 | - | [28] | |
| Rifamycin O (67) | A. mediterranei S699 | 14487-05-9 | - | [28] | |
| Rifamycin Z (68) | A. mediterranei S699 | 79486-49-0 | - | [28] | |
| Rifamycin W (69) | A. mediterranei S699 | 53904-81-7 | - | [28] | |
| Rifamorpholine A (70) | Amycolatopsis sp. HCa4 | 2101982-41-4 | L. migratoria (T) | [29] | |
| Rifamorpholine B (71) | Amycolatopsis sp. HCa4 | 2101982-45-8 | L. migratoria (T) | [29] | |
| Rifamorpholine C (72) | Amycolatopsis sp. HCa4 | 2101982-52-7 | L. migratoria (T) | [29] | |
| Rifamorpholine D (73) | Amycolatopsis sp. HCa4 | 2101982-58-3 | L. migratoria (T) | [29] | |
| Rifamorpholine E (74) | Amycolatopsis sp. HCa4 | 2101982-62-9 | L. migratoria (T) | [29] | |
| Macrotermycin A (75) | Amycolatopsis sp. M39 | 1311284-73-7 | M. natalensis (T) | [30] | |
| Macrotermycin B (76) | Amycolatopsis sp. M39 | 2095035-09-7 | M. natalensis (T) | [30] | |
| Macrotermycin C (77) | Amycolatopsis sp. M39 | 2095035-10-0 | M. natalensis (T) | [30] | |
| Macrotermycin D (78) | Amycolatopsis sp. M39 | 2095035-11-1 | M. natalensis (T) | [30] | |
| Ansamycin (79) | A. alba DSM 44262 | 2256052-40-9 | - | [31] | |
| Thiazolyl peptides | Nocathiacin I (80) | A. fastidiosa | 214044-52-7 | - | [32,33,34] |
| Nocathiacin II (81) | A. fastidiosa | 256230-46-3 | - | [32,33] | |
| Nocathiacin III (82) | A. fastidiosa | 256230-47-4 | - | [32,33] | |
| Nocathiacin IV (83) | A. fastidiosa | 400650-12-6 | - | [32,33] | |
| Thiazomycin (84) | A. fastidiosa | 905946-70-5 | - | [32,33,34] | |
| Thiazomycin A (85) | A. fastidiosa | 905978-04-3 | - | [33] | |
| Mj347-81f4 b (86) | A. fastidiosa | 214044-53-8 | - | [35] | |
| Thiazomycin B (87) | A. fastidiosa | 905946-73-8 | - | [35] | |
| Thiazomycin C (88) | A. fastidiosa | 851664-21-6 | - | [35] | |
| Thiazomycin D (89) | A. fastidiosa | 905946-71-6 | - | [35] | |
| Thiazomycin E1 (90) | A. fastidiosa | 905946-72-7 | - | [35] | |
| Thiazomycin E2 (91) | A. fastidiosa | 905946-75-0 | - | [35] | |
| Thiazomycin E3 (92) | A. fastidiosa | 905946-76-1 | - | [35] | |
| Thioamycolamide A (93) | Amycolatopsis sp. 26−4 | / | Iriomote Island (T) | [36] | |
| Thioamycolamide B (94) | Amycolatopsis sp. 26−4 | / | Iriomote Island (T) | [36] | |
| Thioamycolamide C (95) | Amycolatopsis sp. 26−4 | / | Iriomote Island (T) | [36] | |
| Thioamycolamide D (96) | Amycolatopsis sp. 26−4 | / | Iriomote Island (T) | [36] | |
| Thioamycolamide E (97) | Amycolatopsis sp. 26−4 | / | Iriomote Island (T) | [36] | |
| Cyclic peptides | PRG-A (98) | Amycolatopsis sp. ML1-hF4 | 421547-03-7 | Soil (T) | [37] |
| PRG-B (99) | Amycolatopsis sp. ML1-hF4 | 2112795-88-5 | Soil (T) | [38] | |
| PRG-C (100) | Amycolatopsis sp. ML1-hF4 | 2112795-89-6 | Soil (T) | [38] | |
| PRG-D (101) | Amycolatopsis sp. ML1-hF4 | 2112795-90-9 | Soil (T) | [38] | |
| Valgamicin A (102) | Amycolatopsis sp. ML1-hF4 | 2271221-78-2 | Soil (T) | [39] | |
| Valgamicin C (103) | Amycolatopsis sp. ML1-hF4 | 2271221-79-3 | Soil (T) | [39] | |
| Valgamicin T (104) | Amycolatopsis sp. ML1-hF4 | 2271221-80-6 | Soil (T) | [39] | |
| Valgamicin V (105) | Amycolatopsis sp. ML1-hF4 | 2271221-81-7 | Soil (T) | [39] | |
| Glycopeptides | Chloroorienticin A (106) | A. orientalis PA-45052 | 118395-73-6 | - | [40] |
| Chloroorienticin B (107) | A. orientalis PA-45052 | 118373-81-2 | - | [40] | |
| Chloroorienticin C (108) | A. orientalis PA-45052 | 118373-82-3 | - | [40] | |
| Chloroorienticin D (109) | A. orientalis PA-45052 | 118373-83-4 | - | [40] | |
| Chloroorienticin E (110) | A. orientalis PA-45052 | 118373-84-5 | - | [40] | |
| Orienticin A (111) | A. orientalis PA-45052 | 111073-20-2 | - | [40] | |
| Orienticin D (112) | A. orientalis PA-45052 | 112848-46-1 | - | [40] | |
| Vancomycin (113) | A. orientalis PA-45052 | 1404-90-6 | - | [40] | |
| Vancomycin aglycone (114) | A. orientalis PA-45052 | 82198-76-3 | - | [40] | |
| MM 47,761 (115) | A. orientalis NCBI 12608 | 126985-51-1 | - | [41] | |
| MM 49,721 (116) | A. orientalis NCBI 12608 | 126985-52-2 | - | [41] | |
| Eremomycin B (117) | A. orientalis subsp. Eremomycini | 1193347-07-7 | - | [42] | |
| Eremomycin (118) | A. orientalis subsp. Eremomycini | 110865-90-2 | - | [42] | |
| Amide derivatives | Albachelin (119) | A. alba | 2055362-14-4 | - | [43] |
| Albisporachelin (120) | A. albispora WP1T | / | Sediment (M) | [44] | |
| A-102395 (121) | Amycolatopsis sp. SANK 60206 | 1003904-77-5 | Soil (T) | [45] | |
| Amycocyclopiazonic acid (122) | A. saalfeldensis | / | Sponge (M) | [23] | |
| Amycolactam (123) | A. saalfeldensis | / | Sponge (M) | [23] | |
| Carbamothioic S-acid (124) | A. alba DSM 44262∆abm9 | / | - | [46] | |
| Amycophthalazinone A (125) | Amycolatopsis sp. YIM 130642 | / | Squamarina sp. (T) | [18] | |
| 2-Pyruvoylaminobenzamide (126) | Amycolatopsis sp. YIM 130687 | 18326-62-0 | P. borreri (T) | [19] | |
| (−)-Chrysogine (127) | Amycolatopsis sp. YIM 130687 | 42599-89-3 | P. borreri (T) | [19] | |
| 4-(3-Methylbut-2-enyloxy) benzamide (128) | Amycolatopsis sp. YIM 130687 | 116208-80-1 | P. borreri (T) | [19] | |
| Acetotryptamide (129) | Amycolatopsis sp. YIM 130687 | 1016-47-3 | P. borreri (T) | [19] | |
| 2-Acetamidophenol (130) | Amycolatopsis sp. YIM 130687 | 614-80-2 | P. borreri (T) | [19] | |
| Anthranilic acid (131) | Amycolatopsis sp. YIM 130687 | 118-92-3 | P. borreri (T) | [19] | |
| Phenacetamide (132) | Amycolatopsis sp. YIM 130687 | 103-81-1 | P. borreri (T) | [19] | |
| 2-Carbamoyl-3-hydroxy-1,4-naphthoquinone (133) | Amycolatopsis sp. YIM 130687 | 103646-20-4 | P. borreri (T) | [19] | |
| Echinosporin (134) | Amycolatopsis sp. YIM PH20520 | 79127-35-8 | Soil (T) | [47] | |
| 7-Deoxyechinosporin (135) | Amycolatopsis sp. YIM PH20520 | 431945-10-7 | Soil (T) | [47] | |
| Dipyrimicin A (136) | Amycolatopsis sp. K16-0194 | 1235020-43-5 | - | [48] | |
| Dipyrimicin B (137) | Amycolatopsis sp. K16-0194 | 1332747-97-3 | - | [48] | |
| 1-(10-Aminodecyl) pyridinium (138) | A. alba var. nov. DVR D4 | 1421439-67-9 | Sediment (M) | [49] | |
| Siderochelin A (139) | Amycolatopsis sp. LZ149 | 77550-87-9 | Cynodon dactylon (T) | [50] | |
| Siderochelin B (140) | Amycolatopsis sp. LZ149 | 2252179-56-7 | Cynodon dactylon (T) | [50] | |
| Siderochelin C (141) | Amycolatopsis sp. LZ149 | 2252179-55-6 | Cynodon dactylon (T) | [50] | |
| Siderochelin D (142) | Amycolatopsis sp. LZ149 | 2249835-41-2 | Cynodon dactylon (T) | [50] | |
| Epoxyquinomicin A (143) | A. sulphurea MK299-95F4 | 175448-31-4 | Soil (T) | [51] | |
| Epoxyquinomicin B (144) | A. sulphurea MK299-95F4 | 175448-32-5 | Soil (T) | [51] | |
| Epoxyquinomicin C (145) | A. sulphurea MK299-95F4 | 200496-85-1 | Soil (T) | [51] | |
| Epoxyquinomicin D (146) | A. sulphurea MK299-95F4 | 200496-86-2 | Soil (T) | [51] | |
| Glycoside derivatives | Tigloside (147) | Amycolatopsis sp. NN0 21702 | 216590-44-2 | - | [52] |
| 2,2′-Di-O-β-D-glucopyranosyl-α-D- glucopyranosyl α-D- glucopyranoside (148) | Amycolatopsis sp. NN0 21702 | / | - | [52] | |
| Actinotetraose I (149) | Amycolatopsis sp. HCa1 | 1427319-31-0 | O. chinensis (T) | [53] | |
| Actinotetraose J (150) | Amycolatopsis sp. HCa1 | 1427319-40-1 | O. chinensis (T) | [53] | |
| Actinotetraose K (151) | Amycolatopsis sp. HCa1 | 1427319-41-2 | O. chinensis (T) | [53] | |
| Actinotetraose A (152) | Amycolatopsis sp. HCa1 | 1421368-85-5 | O. chinensis (T) | [53] | |
| Actinotetraose B (153) | Amycolatopsis sp. HCa1 | 1421368-86-6 | O. chinensis (T) | [53] | |
| Actinotetraose C (154) | Amycolatopsis sp. HCa1 | 1421368-87-7 | O. chinensis (T) | [53] | |
| Actinotetraose L (155) | Amycolatopsis sp. HCa1 | 216590-44-2 | O. chinensis (T) | [54] | |
| Enediyne derivatives | Amycolamycin A (156) | Amycolatopsis sp. HCa4 | 2243041-65-6 | L. migratoria (T) | [55] |
| Amycolamycin B (157) | Amycolatopsis sp. HCa4 | 2243041-66-7 | L. migratoria (T) | [55] | |
| Sesquiterpenes | (E)-3-methyl-5-(2,6,6-trimthyl-3-oxocyclohex-1-enyl) pent-2-enoic acid (158) | A. alba DSM 44262 | 2247139-21-3 | - | [31] |
| (E)-3-methyl-5-(2,6,6- trimthyl-4-oxocyclohex-2-enyl) pent-2-en-oic acid (159) | A. alba DSM 44262 | 2256051-20-2 | - | [31] |
| Activity Types | Compounds | Bioactivities (MIC, μg/mL or IC50, μM) | Refs. |
|---|---|---|---|
| Antimicrobial activities | Kigamicins A–E (1–5) | MRSA (0.03–0.22 μM) | [13] |
| Mutactimycin E (16) | MRSA, S. pneumonia, E. faecium (1–16 μg/mL) | [15] | |
| 7-O-Methyl-5-O-α-L-rhamnopyranosylgenestein (20) and 7-O-α-D-arabinofuranosyl daidzein (21) | C. albicans, E. coli, MRSA, S. aureus, and S. typhi (32–256 μg/mL) | [18] | |
| Pradimicin-IRD (28) | S. agalactiae, S. aureus and P. aeruginosa (3.15 μg/mL) | [20] | |
| ECO-0501 (42) | MRSA (0.125–0.25 μg/mL) | [24] | |
| Vancoresmycin (48) | MRSA, E. faecium, E. faecalis (0.05 μM) | [25] | |
| Amycolatopsins A, C (49, 51) | M. bovis (0.4 and 2.7 μM) M. tuberculosis (4.4 and 5.7 μM) | [26] | |
| Rifamorpholine B (71) | MRSA, S. aureus, S. pyogenes, B. subtilis, M. luteus (0.5–4.0 μM) | [29] | |
| Rifamorpholine D (73) | MRSA, S. aureus, S. pyogenes, B. subtilis, M. luteus (1.0–8.0 μM) | [29] | |
| Macrotermycin A (75) | B. subtilis, S. aureus, S. cerevisiae, C. albicans (1.0–10 μg/mL) | [29] | |
| Macrotermycin C (77) | B. subtilis, S. aureus, S. cerevisiae, C. albicans (10–25 μg/mL) | [29] | |
| Thiazomycin (84) and thiazomycins A–D (85, 87–89) | S. aureus, E. faecalis, S. pneumonia and their drug-resistant type (0.002–0.06 μg/mL) | [31,32,33,34] | |
| PRG-A, C (98, 100) | MRSA, E. faecalis, M. luteus, B. subtilis (0.72 μM) | [37,38] | |
| PRG-B, D (99, 101) | MRSA, E. faecalis, M. luteus, B. subtilis (5.62–23.37 μM) | [38] | |
| Chloroorienticins A–E (106–110) | S. aureus JC-1 and MRSA (0.2–0.78 μg/mL) | [40] | |
| Vancomycin (113) | S. aureus JC-1 (0.78 μg/mL) and MRSA (1.58 μg/mL) | [40] | |
| MM 47,761 (115) and MM 49,721 (116) | B. subtilis ATCC6633, C. xerosis NCTC9755, M. luteus NCTC8340, S. aureus, S. saprophyticus FL1, S. epidermidis 60137, S. pyogenes CN10, S. agalactiae Hester, S. sanguis ATCC 10556, S. faecalis I (0.5–8 μg/mL) | [41] | |
| Amycophthalazinone A (125) | S. aureus, S. typhi, C. albicans (6.92–13.84 μM) | [18] | |
| Echinosporin (134) | F. oxysporum, F. solani, A. panax, and P. herbarum (32–128 μg/mL) | [47] | |
| 7-deoxyechinosporin (135) | F. oxysporum, F. solani, A. panax, and P. herbarum (32–128 μg/mL) | [47] | |
| Dipyrimicin A (136) | S. cerevisiae, Kocuria rhizophila, B. subtilis, Escherichia coli NIHJ, Xanthomonas campestris pv. oryzae KB 88 (16–21 mm) | [48] | |
| Siderochelin A (139) | Bacillus pumilus, B. subtilis, E. coli and S. aureus (10–15 mm) | [50] | |
| Epoxyquinomicins A (143) and B (144) | M. luteus IFO3333, M. luteus PCI1001 (3.12–6.25 μg/mL) | [51] | |
| Cytotoxic activity | Kigamicin D (4) | Mouse tumor cell lines LB32T, L-1210, EL-4, P388D1, B16BL6, FS3, Colon26 (0.95 μM) | [13] |
| 1-methoxy-3-methyl-8-hydroxy-anthraquinone (19) | Lung cancer (10.3 µM) Lymphoblastic leukemia cells (16.98 µM) | [17] | |
| Pradimicin-IRD (28) | HCT-116 (0.8 μM), MM 200 (2.7 μM), MCF-7 (1.55 μM), RPE (1.48 μM) | [20] | |
| Tetrangomycin (33) | HeLa cells (0.27 μM) | [21] | |
| Pd116779 (34) | HeLa cells (0.11 μM) | [21] | |
| Sakyomicin A (39) | HeLa cells (0.56 μM) | [21] | |
| Sakyomicin C (40) | HeLa cells (0.39 μM) | [21] | |
| Amycolatopsins A, B (49, 50) | SW620 (0.08 and 0.14 μM) NCIH-460 (1.2 and 0.28 μM) | [26] | |
| 3′-O-succinyl-apoptolidin A (52) | H292 cells (0.09 μM) | [27] | |
| 2′-O-succinyl-apoptolidin A (53) | H292 cells (0.08 μM) | [27] | |
| Apoptolidin A (54) | H292 cells (0.02 μM), HeLa cells (0.04 μM) | [27] | |
| Thioamycolamides A, D (93, 96) | HT1080(11.94 and 21.22 μM) HeLa S3(6.53 and 9.34 μM) | [27] | |
| Valgamicin V (105) | MIA Paca 2, HGC-27, GSS, 5637, NCI-H1650, NB16, ME-180, HSC-490 (6.6–21.6 μM) | [39] | |
| Amycolactam (123) | SNU638 (0.8 μM) HCT116 (2.0 μM) | [23] | |
| Dipyrimicin A (136) | Hela 3S, HT29, A549, H1299, Panc1, THP-1, Jarkat, HL-60 (3.9–9.4 μM) | [48] | |
| Dipyrimicin B (137) | H1299 cell (6.8 ± 3.3 μM) | [48] | |
| Amycolamycin A (156) | M231 (7.9 μM) | [55] | |
| Other activities | Amexanthomycins A–C (6–8) | Inhibiting human DNA Topo IIα | [14] |
| 1-methoxy-3-methyl-8-hydroxy-anthraquinone (19) | Antioxidant Anti-hyperglycemic | [17] | |
| Rifamycinoside A and B (59–60), 28-Desmethyl-28-hydroxyrifamycin W (61),30-Hydroxyrifamycin W hemiacetal (63), Rifamycin O (67) | Inhibiting human DNA Topo I (50 and 100 μM) | [28] | |
| Rifamycinoside A and B (59–60), 28-Desmethyl-28-hydroxyrifamycin W (61),30-Hydroxyrifamycin W hemiacetal (63), Rifamycin S, O and Z (65, 67 and 68) | Inhibiting human DNA Topo IIα (50 μM) | [28] | |
| 20-hydroxyrifamycin S (64) | Inducing G2/M phase arrest Causing DNA damage in HCT116 | [28] | |
| A-102395 (121) | Inhibiting bacterial translocase I (0.01 μM) | [45] | |
| Epoxyquinomicins C (145) and D (146) | Inhibiting type II collagen-induced arthritis | [51] |
Publisher’s Note: MDPI stays neutral with regard to jurisdictional claims in published maps and institutional affiliations. |
© 2021 by the authors. Licensee MDPI, Basel, Switzerland. This article is an open access article distributed under the terms and conditions of the Creative Commons Attribution (CC BY) license (http://creativecommons.org/licenses/by/4.0/).
Share and Cite
Song, Z.; Xu, T.; Wang, J.; Hou, Y.; Liu, C.; Liu, S.; Wu, S. Secondary Metabolites of the Genus Amycolatopsis: Structures, Bioactivities and Biosynthesis. Molecules 2021, 26, 1884. https://doi.org/10.3390/molecules26071884
Song Z, Xu T, Wang J, Hou Y, Liu C, Liu S, Wu S. Secondary Metabolites of the Genus Amycolatopsis: Structures, Bioactivities and Biosynthesis. Molecules. 2021; 26(7):1884. https://doi.org/10.3390/molecules26071884
Chicago/Turabian StyleSong, Zhiqiang, Tangchang Xu, Junfei Wang, Yage Hou, Chuansheng Liu, Sisi Liu, and Shaohua Wu. 2021. "Secondary Metabolites of the Genus Amycolatopsis: Structures, Bioactivities and Biosynthesis" Molecules 26, no. 7: 1884. https://doi.org/10.3390/molecules26071884
APA StyleSong, Z., Xu, T., Wang, J., Hou, Y., Liu, C., Liu, S., & Wu, S. (2021). Secondary Metabolites of the Genus Amycolatopsis: Structures, Bioactivities and Biosynthesis. Molecules, 26(7), 1884. https://doi.org/10.3390/molecules26071884

