Chemical Constituent Profiling of Phyllostachys heterocycla var. Pubescens with Selective Cytotoxic Polar Fraction through EGFR Inhibition in HepG2 Cells
Abstract
1. Introduction
2. Results and Discussion
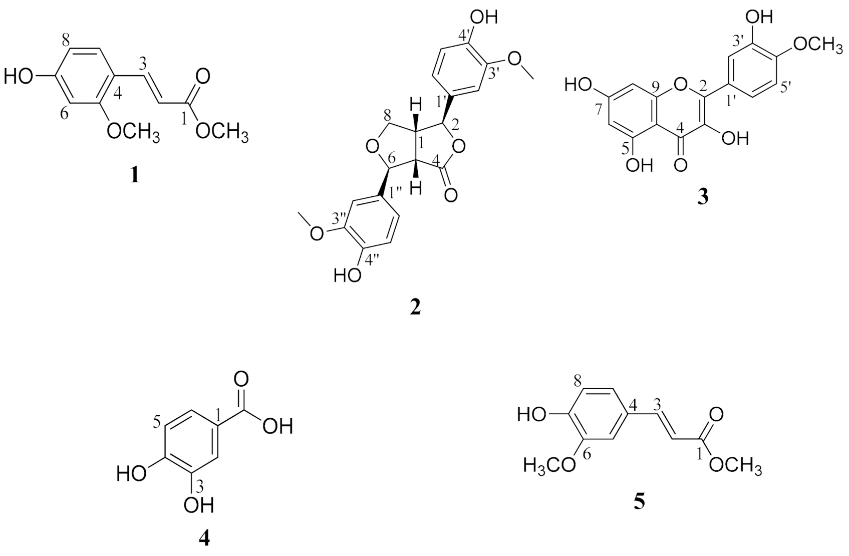
2.1. Structure Elucidation of the Isolated Compounds
2.2. Biological Evaluation of the Crude Extract and the Isolated Compounds
2.2.1. Cytotoxic Assay
2.2.2. Annexin V/PI Staining
2.2.3. Cell Cycle Analysis
2.3. In Silico Studies
2.3.1. EGFR Inhibition Activity
2.3.2. ADME Pharmacokinetics
3. Experimental
3.1. General Experimental Procedures
3.2. Plant Material
3.3. Extraction and Purification of Compounds 1–5
3.4. Spectroscopic Data of the Isolated Compounds
3.5. Biological Evaluation of the Compounds
3.5.1. Cytotoxic Activity
3.5.2. Apoptotic Investigation Using Flow Cytometric Analysis
3.5.3. EGFR Inhibition Activity
3.5.4. In Silico Studies
Molecular Docking Simulation
ADME Pharmacokinetics
3.6. Flow Cytometric Analysis
3.6.1. FITC/Annexin-V-FITC/PI Differential Apoptosis/Necrosis Assessment
3.6.2. DNA Content-Flow Cytometry Aided Cell Cycle Analysis
3.7. EGFR Inhibitory Assay
4. Conclusions
Supplementary Materials
Author Contributions
Funding
Institutional Review Board Statement
Informed Consent Statement
Data Availability Statement
Acknowledgments
Conflicts of Interest
References
- Bray, F.; Ferlay, J.; Soerjomataram, I.; Siegel, R.L.; Torre, L.A.; Jemal, A. Global cancer statistics 2018: GLOBOCAN estimates of incidence and mortality worldwide for 36 cancers in 185 countries. CA Cancer J. Clin. 2018, 68, 394–424. [Google Scholar] [CrossRef]
- Zaorsky, N.G.; Churilla, T.M.; Egleston, B.L.; Fisher, S.G.; Ridge, J.A.; Horwitz, E.M.; Meyer, J.E. Causes of death among cancer patients. Ann. Oncol. 2017, 28, 400–407. [Google Scholar] [CrossRef] [PubMed]
- Iqbal, J.; Abbasi, B.A.; Mahmood, T.; Kanwal, S.; Ali, B.; Shah, S.A.; Khalil, A.T. Plant-derived anticancer agents: A green anticancer approach. Asian Pac. J. Trop. Biomed. 2017, 7, 1129–1150. [Google Scholar] [CrossRef]
- Yuming, Y.; Kanglin, W.; Shengji, P.; Jiming, H. Bamboo Diversity and Traditional Uses in Yunnan, China. Mt. Res. Dev. 2004, 24, 157–165. [Google Scholar] [CrossRef]
- Chongtham, N.; David, E.; Sharma, M.L. Changes in nutrient components during ageing of emerging juvenile bamboo shoots. Int. J. Food Sci. Nutr. 2007, 58, 612–618. [Google Scholar] [CrossRef]
- Chongtham, N.; Bisht, M.S.; Haorongbam, S. Nutritional Properties of Bamboo Shoots: Potential and Prospects for Utilization as a Health Food. Compr. Rev. Food Sci. F 2011, 10, 153–169. [Google Scholar] [CrossRef]
- Park, H.-S.; Lim, J.H.; Kim, H.J.; Choi, H.J.; Jung, D. Antioxidant flavone glycosides from the leaves of Sasa borealis. Arch. Pharm. Res. 2007, 30, 161–166. [Google Scholar] [CrossRef]
- Seki, T.; Maeda, H. Cancer preventive effect of Kumaizasa bamboo leaf extracts administered prior to carcinogenesis or cancer inoculation. Anticancer. Res. 2010, 30, 111–118. [Google Scholar]
- Chou, C.-W.; Cheng, Y.-W.; Tsai, C.-H. Phyllostachys edulis extract induces apoptosis signaling in osteosarcoma cells, associated with AMPK activation. Drug Des. Dev. Ther. 2014, 8, 1577–1584. [Google Scholar] [CrossRef] [PubMed][Green Version]
- Youssef, D.T.; Badr, J.M.; Shaala, L.A.; Mohamed, G.A.; Bamanie, F.H. Ehrenasterol and biemnic acid; new bioactive compounds from the Red Sea sponge Biemna ehrenbergi. Phytochem. Lett. 2015, 12, 296–301. [Google Scholar] [CrossRef]
- Kamada, T.; Shean-Yeaw, N.G.; Phan, C.-S.; Vairappan, C.S. Chemical Composition and Antibacterial Activity of Bornean Medicinal Ginger Alpinia aquatic. Nat. Prod. Commun. 2018, 13, 741–742. [Google Scholar]
- Otsuka, H.; Takeuchi, M.; Inoshiri, S.; Sato, T.; Yamasaki, K. Phenolic compounds from Coix lachryma-jobi var. Ma-yuen. Phytochemistry 1989, 28, 883–886. [Google Scholar] [CrossRef]
- Benahmed, M.; Akkal, S.; Elomri, A.; Laouer, H.; Vérite, P.; Seguin, E. Constituents from Bupleurum montanum (Coss. & Dur.) (Apiaceae). Arab. J. Chem. 2014, 7, 1065–1069. [Google Scholar]
- Guria, M.; Mitra, P.; Ghosh, T.; Gupta, S.; Basu, B.; Mitra, P.K. 3, 4 diHydroxyBenzoic acid Isolated from the Leaves of Ageratum conyzoides L. Eur. J. Biotechnol. Biosci. 2013, 1, 25–28. [Google Scholar]
- Phuong, N.T.M.; Cuong, T.T.; Quang, D.N. Anti-inflammatory activity of methyl ferulate isolated from Stemona tuberosa Lour. Asian Pac. J. Trop. Med. 2014, 7, S327–S331. [Google Scholar] [CrossRef]
- Sajjadi, S.E.; Shokoohinia, Y.; Moayedi, N.S. Isolation and identification of ferulic acid from aerial parts of Kelussia odo-ratissima Mozaff. Jundishapur. J. Nat. Pharm. Prod. 2012, 7, 159–162. [Google Scholar]
- Moon, S.-S.; Rahman, A.A.; Kim, J.-Y.; Kee, S.-H. Hanultarin, a cytotoxic lignan as an inhibitor of actin cytoskeleton polymerization from the seeds of Trichosanthes kirilowii. Bioorg. Med. Chem. 2008, 16, 7264–7269. [Google Scholar] [CrossRef]
- Sak, K.; Lust, H.; Kase, M.; Jaal, J. Cytotoxic action of methylquercetins in human lung adenocarcinoma cells. Oncol. Lett. 2017, 15, 1973–1978. [Google Scholar] [CrossRef] [PubMed]
- Nicolini, F.; Burmistrova, O.; Marrero, M.T.; Torres, F.; Hernández, C.; Quintana, J.; Estévez, F. Induction of G 2 /M phase arrest and apoptosis by the flavonoid tamarixetin on human leukemia cells. Mol. Carcinog. 2013, 53, 939–950. [Google Scholar] [CrossRef] [PubMed]
- Abdelhady, M.I.S.; Kamal, A.M.; Othman, S.M.; Mubarak, M.S.; Ben Hadda, T. Total polyphenolic content, antioxidant, cytotoxic, antidiabetic activities, and polyphenolic compounds of Sophora japonica grown in Egypt. Med. Chem. Res. 2014, 24, 482–495. [Google Scholar] [CrossRef]
- Yin, M.-C.; Lin, C.-C.; Wu, H.-C.; Tsao, S.-M.; Hsu, C.-K. Apoptotic Effects of Protocatechuic Acid in Human Breast, Lung, Liver, Cervix, and Prostate Cancer Cells: Potential Mechanisms of Action. J. Agric. Food Chem. 2009, 57, 6468–6473. [Google Scholar] [CrossRef]
- Lin, H.-H.; Chen, J.-H.; Huang, C.-C.; Wang, C.-J. Apoptotic effect of 3,4-dihydroxybenzoic acid on human gastric carcinoma cells involving JNK/p38 MAPK signaling activation. Int. J. Cancer 2007, 120, 2306–2316. [Google Scholar] [CrossRef] [PubMed]
- Kuen, C.Y.; Galen, T.; Fakurazi, S.; Othman, S.S.; Masarudin, M.J. Increased Cytotoxic Efficacy of Protocatechuic Acid in A549 Human Lung Cancer Delivered via Hydrophobically Modified-Chitosan Nanoparticles as an Anticancer Modality. Polymers 2020, 12, 1951. [Google Scholar] [CrossRef] [PubMed]
- Abaza, M.S.I.; Afzal, M.; Rajáa, J.; Guleri, R. Methylferulate from Tamarix aucheriana inhibits growth and enhances chemo-sensitivity of human colorectal cancer cells: Possible mechanism of action. BMC Complement. Altern. Med. 2016, 16, 384. [Google Scholar] [CrossRef] [PubMed]
- Al Bujuq, N.; Arar, S.; Khalil, R. Synthesis and cytotoxic activity of 4-O-β-D-galactopyranosyl derivatives of phenolic acids esters. Nat. Prod. Res. 2018, 32, 2663–2669. [Google Scholar] [CrossRef]
- Cuong, T.D.; Lim, C.J.; Kim, S.W.; Park, J.E.; Hung, T.M.; Min, B.S. Isolation of compounds from Cimicifugae rhizoma and their cytotoxic activity. Nat. Prod. Sci. 2011, 17, 80–84. [Google Scholar]
- Abdelhameed, R.F.A.; Nafie, M.S.; Ibrahim, A.K.; Yamada, K.; Abdel-Kader, M.S.; Ibrahim, A.K.; Ahmed, S.A.; Badr, J.M.; Habib, E.S. Cytotoxic, Apoptosis-Inducing Activities, and Molecular Docking of a New Sterol from Bamboo Shoot Skin Phyllostachys heterocycla var. pubescens. Molecules 2020, 25, 5650. [Google Scholar] [CrossRef]
- Eltamany, E.E.; Elhady, S.S.; Ahmed, H.A.; Badr, J.M.; Noor, A.O.; Ahmed, S.A.; Nafie, M.S. Chemical Profiling, Antioxidant, Cytotoxic Activities and Molecular Docking Simulation of Carrichtera annua DC. (Cruciferae). Antioxidants 2020, 9, 1286. [Google Scholar] [CrossRef]
- Nafie, M.S.; Amer, A.M.; Mohamed, A.K.; Tantawy, E.S. Discovery of novel pyrazolo[3,4-b]pyridine scaffold-based derivatives as potential PIM-1 kinase inhibitors in breast cancer MCF-7 cells. Bioorg. Med. Chem. 2020, 28, 115828. [Google Scholar] [CrossRef]
- Lipinski, C.A.; Lombardo, F.; Dominy, B.W.; Feeney, P.J. Experimental and computational approaches to estimate solubility and permeability in drug discovery and development settings. Adv. Drug Deliv. Rev. 1997, 23, 3–25. [Google Scholar] [CrossRef]
- Sarhan, A.A.M.; Boraei, A.T.; Barakat, A.; Nafie, M.S. Discovery of hydrazide-based pyridazino[4,5-b]indole scaffold as a new phosphoinositide 3-kinase (PI3K) inhibitor for breast cancer therapy. RSC Adv. 2020, 10, 19534–19541. [Google Scholar] [CrossRef]
- Nafie, M.S.; Arafa, K.; Sedky, N.K.; Alakhdar, A.A.; Arafa, R.K. Triaryl dicationic DNA minor-groove binders with antiox-idant activity display cytotoxicity and induce apoptosis in breast cancer. Chem. Biol. Interact. 2020, 324, 109087. [Google Scholar] [CrossRef]
- Al-Wahaibi, L.H.; Gouda, A.M.; Abou-Ghadir, O.F.; Salem, O.I.A.; Ali, A.T.; Farghaly, H.S.; Abdelrahman, M.H.; Trembleau, L.; Abdu-Allah, H.H.M.; Youssif, B.G.M. Design and synthesis of novel 2,3-dihydropyrazino[1,2-a]indole-1,4-dione deriva-tives as antiproliferative EGFR and BRAFV600E dual inhibitors. Bioorg. Chem. 2020, 104, 104260. [Google Scholar] [CrossRef] [PubMed]
- Tantawy, E.S.; Amer, A.M.; Mohamed, E.K.; Abd Alla, M.M.; Nafie, M.S. Synthesis, characterization of some pyrazine deriv-atives as anti-cancer agents: In vitro and in Silico approaches. J. Mol. Struct. 2020, 1210, 128013. [Google Scholar] [CrossRef]
- Khodair, A.I.; Alsafi, M.A.; Nafie, M.S. Synthesis, molecular modeling and anti-cancer evaluation of a series of quinazoline derivatives. Carbohydr. Res. 2019, 486, 107832. [Google Scholar] [CrossRef]
- Youssef, E.; El-Moneim, M.A.; Fathalla, W.; Nafie, M.S. Design, synthesis and antiproliferative activity of new amine, amino acid and dipeptide-coupled benzamides as potential sigma-1 receptor. J. Iran. Chem. Soc. 2020, 17, 2515–2532. [Google Scholar] [CrossRef]






| Position | δC (m) a | δH (m, J in Hz) |
|---|---|---|
| 1 | 169.1 (C) | |
| 2 | 114.1 (CH) | 6.16 (d, J = 15) |
| 3 | 145.6 (CH) | 7.52 (d, J = 15) |
| 4 | 126.3 (C) | |
| 5 | 160.9 (C) | |
| 6 | 130.1 (CH) | 7.20 (d, J = 2.5) |
| 7 | 168.0 (C) | |
| 8 | 115.4 (CH) | 6.70 (dd, J = 8.5, 2.5) |
| 9 | 131.9 (CH) | 7.80 (d, J = 8.5) |
| 1- OCH3 | 51.9 (CH3) | 3.70 (s) |
| 5- OCH3 | 52.1 (CH3) | 3.78 (s) |
| Extracts | % of Cell Viability at 100 µg/mL | ||||
|---|---|---|---|---|---|
| HepG2 | Hela | A549 | MCF-7 | THP-1 | |
| Crude methanol extract | 47.5 ± 0.76 | 6.6 ± 0.89 | 33.18 ± 0.19 | 36.6 ± 0.64 | 86 ± 1.67 |
| Hexane extract | 58.6 ± 1.26 | 64.53 ± 1.23 | 52.63 ± 1.14 | 49.8 ± 0.81 | 96 ± 1.98 |
| Ethyl acetate extract | 2.14 ± 0.15 | 24.23 ± 1.52 | 15.05 ± 0.57 | 12.14 ± 0.81 | 86 ± 0.98 |
| Butanol extract | 84.3 ± 1.98 | 94.31 ± 0.09 | 94.26 ± 0.23 | 63.7 ± 0.36 | 87 ± 1.04 |
| IC50 ± SD *# | |||||
| Compound 1 (µM) | 7.43 ± 0.82 | ND | ND | 10.65 ± 1.01 | ≥50 |
| Compounds | In Silico Molecular Docking Simulation as EGFR Inhibitors | In Vitro EGFR Activity(nM) * | ||
|---|---|---|---|---|
| Binding Energy (Kcal/mol) | HB Interactions with The Key Amino Acid (Met 769) | |||
| 1 | −18.82 | HBA as | ![]() | 98.65 ± 9.87 |
| 2 | −16.28 | HBA as | ![]() | – |
| 3 | −13.2 | HBD as | ![]() | – |
| HBA as | ![]() | – | ||
| 4 | −9.74 | HBA as | ![]() | – |
| 5 | −16.77 | HBA as | ![]() | – |
| Erlotinib | – | – | 78.65 ± 6.54 | |
| Website | Compound ADME | 1 | 2 | 3 | 4 | 5 |
|---|---|---|---|---|---|---|
| Molinspiration 2018.10 | Mwt (D) | 208.21 | 372.37 | 316.26 | 154.12 | 208.21 |
| MV (A3) | 189.55 | 321.96 | 257.61 | 127.08 | 189.55 | |
| PSA (A2) | 55.77 | 94.46 | 120.36 | 77.75 | 55.77 | |
| Log p | 1.85 | 2.46 | 1.99 | 0.88 | 1.86 | |
| nrotb | 4 | 4 | 2 | 1 | 4 | |
| nviolations | 0 | 0 | 0 | 0 | 0 | |
| MolSoft | HBA | 3 | 7 | 7 | 4 | 4 |
| HBD | 1 | 2 | 4 | 3 | 1 | |
| Solubility (mg/L) | 375.19 | 2726.4 | 1102.6 | 3378.7 | 1461.2 | |
| Drug-likeness score | 0.29 | −0.09 | 0.16 | 0.23 | −0.76 |
Publisher’s Note: MDPI stays neutral with regard to jurisdictional claims in published maps and institutional affiliations. |
© 2021 by the authors. Licensee MDPI, Basel, Switzerland. This article is an open access article distributed under the terms and conditions of the Creative Commons Attribution (CC BY) license (http://creativecommons.org/licenses/by/4.0/).
Share and Cite
Abdelhameed, R.F.A.; Habib, E.S.; Ibrahim, A.K.; Yamada, K.; Abdel-Kader, M.S.; Ahmed, S.A.; Ibrahim, A.K.; Badr, J.M.; Nafie, M.S. Chemical Constituent Profiling of Phyllostachys heterocycla var. Pubescens with Selective Cytotoxic Polar Fraction through EGFR Inhibition in HepG2 Cells. Molecules 2021, 26, 940. https://doi.org/10.3390/molecules26040940
Abdelhameed RFA, Habib ES, Ibrahim AK, Yamada K, Abdel-Kader MS, Ahmed SA, Ibrahim AK, Badr JM, Nafie MS. Chemical Constituent Profiling of Phyllostachys heterocycla var. Pubescens with Selective Cytotoxic Polar Fraction through EGFR Inhibition in HepG2 Cells. Molecules. 2021; 26(4):940. https://doi.org/10.3390/molecules26040940
Chicago/Turabian StyleAbdelhameed, Reda F. A., Eman S. Habib, Ahmed K. Ibrahim, Koji Yamada, Maged S. Abdel-Kader, Safwat A. Ahmed, Amany K. Ibrahim, Jihan M. Badr, and Mohamed S. Nafie. 2021. "Chemical Constituent Profiling of Phyllostachys heterocycla var. Pubescens with Selective Cytotoxic Polar Fraction through EGFR Inhibition in HepG2 Cells" Molecules 26, no. 4: 940. https://doi.org/10.3390/molecules26040940
APA StyleAbdelhameed, R. F. A., Habib, E. S., Ibrahim, A. K., Yamada, K., Abdel-Kader, M. S., Ahmed, S. A., Ibrahim, A. K., Badr, J. M., & Nafie, M. S. (2021). Chemical Constituent Profiling of Phyllostachys heterocycla var. Pubescens with Selective Cytotoxic Polar Fraction through EGFR Inhibition in HepG2 Cells. Molecules, 26(4), 940. https://doi.org/10.3390/molecules26040940







