Abstract
Spirocyclic nitroxyl radicals (SNRs) are stable paramagnetics bearing spiro-junction at α-, β-, or γ-carbon atom of the nitroxide fragment, which is part of the heterocyclic system. Despite the fact that the first representatives of SNRs were obtained about 50 years ago, the methodology of their synthesis and their usage in chemistry and biochemical applications have begun to develop rapidly only in the last two decades. Due to the presence of spiro-function in the SNRs molecules, the latter have increased stability to various reducing agents (including biogenic ones), while the structures of the biradicals (SNBRs) comprises a rigid spiro-fused core that fixes mutual position and orientation of nitroxide moieties that favors their use in dynamic nuclear polarization (DNP) experiments. This first review on SNRs will give a glance at various strategies for the synthesis of spiro-substituted, mono-, and bis-nitroxides on the base of six-membered (piperidine, 1,2,3,4-tetrahydroquinoline, 9,9′(10H,10H′)-spirobiacridine, piperazine, and morpholine) or five-membered (2,5-dihydro-1H-pyrrole, pyrrolidine, 2,5-dihydro-1H-imidazole, 4,5-dihydro-1H-imidazole, imidazolidine, and oxazolidine) heterocyclic cores.
1. Introduction
Stable nitroxyl radicals (NRs), first obtained more than 150 years ago (Figure 1, 1a, R1,2 = SO3K, Frémy’s salt), became widely known with the development of electron paramagnetic resonance (EPR) spectroscopy methods and thanks to the discovery in 1959 of extremely stable cyclic derivatives (Figure 1, 1b, R1–4 = Me) of piperidine series (TEMPO) [1]. Over the past 60 years, NRs have become an integral part of scientific research related to the development of advanced methods for the construction of new materials for chemistry, biochemical studies, medical applications, and energy storage needs.
Figure 1.
Structures of cyclic nitroxyl radicals (NRs) and α-, β-, and γ-spirocyclic nitroxides (SNRs).
Only in the last decade, many monographs, book chapters, and reviews were published regarding the physicochemical features of these radicals, methods of their synthesis, and their various applications [2,3,4,5] in synthetic organic chemistry (as oxidants) [6], the creation of functional materials [7,8,9,10], and polymer chemistry [11], including their role as agents in nitroxide-mediated radical polymerization [12,13,14], as unique molecular spin probes [15] and indispensable spin labels [16,17], and antioxidants and potential therapeutic agents for biological research and medicine [18,19,20].
At the same time, these monographs and reviews only occasionally or incompletely mention the so-called spirocyclic nitroxyl radicals (SNRs), which include a wide range of nitroxides containing spirocyclic moiety(-ies) at the α-, β-, or γ-carbon atoms near a paramagnetic center (Figure 1, structures 2a–c).
SNRs, especially those belonging to α-SNRs (Figure 1, 2a) or containing several spiro moieties—in comparison with traditional NRs (Figure 1, 1a, R1,2 = tert-Alk; R1 = t-Bu; R2 = Ar; R1,2 = Ar) or with those in Figure 1, 1b, possessing a tetra-alkyl environment near the paramagnetic center—have a number of definite advantages, e.g.,
(a) they have a much lower rate of radical center reduction by biogenic reducing agents owing to a decrease in the steric accessibility of the N–O group;
(b) due to the hindered rotation of the spiro moiety, they have spin-echo dephasing time (Tm ) long enough up to ~125 K to allow for double electron-electron resonance (DEER) measurements of interspin distances in the liquid-nitrogen temperature range;
(c) they offer an opportunity for fine-tuning the changes in the properties of the radical (hydrophilicity/hydrophobicity) or (open/closed) conformation (Figure 2) via the introduction of proper substituents or heteroatoms at different positions of the spirocycle. Furthermore, the functional group in the spiro moiety could be used as a spin label in molecular biology or as a spin-labeled chelate-forming reagent in analytical chemistry;
Figure 2.
Equilibrium between open and closed conformations of TEMPO-like SNRs (A) in the absence of and (B) in the presence of substituents at the C-3,5 atoms of the spiroheterocycle (the (R,S,R,S) configuration is dominated by the closed conformation; the (S,R,S,R) configuration is dominated by the open conformation).
(d) the spiro functions can be employed as protective groups; under certain conditions, they can be destroyed using an acidic medium or enzymatically, leading to the release of active proton-containing groups;
(e) the spiro substituent can serve as a rigid linker to create di- or polyradical molecules, whose magnitude of the exchange interaction between paramagnetic centers can be managed by changing the size or geometry of the linker;
(f) the introduction of some chirality into the spiro function can predetermine specific physicochemical properties of the SNR and makes it possible to use the radical as a chiral auxiliary in stereoselective processes.
Here, it is possible to further enumerate the benefits of SNRs, but it is better to briefly refer to the current state of affairs in terms of their application in various fields of chemistry, biology, and physics.
During the last several decades, numerous research groups from the USA, France, Japan, Germany, and Russia have shown that SNRs are applicable as:
(a) sterically shielded spin labels and spin probes with high resistance to biological reductants having long spin-spin relaxation times [21,22,23,24,25,26,27,28,29,30,31,32,33,34,35,36,37,38,39,40,41];
(b) paramagnetic agents for dynamic nuclear polarization (DNP) both in solutions and as solids [42,43,44,45,46,47,48,49,50,51,52,53,54,55,56,57,58,59,60,61,62,63,64,65];
(c) catalysts for living radical polymerization [66,67,68,69,70,71,72,73,74,75];
(d) starting compounds for the synthesis of oxoammonium salts, which are used as oxidants in organic chemistry [76] and for the creation of organic radical batteries [77];
(e) building blocks for magnetic materials [78,79,80,81];
(f) organic radical contrast agents (ORCAs) for magnetic resonance imaging (MRI) [82,83,84,85,86,87,88,89];
(g) as participants in host–guest interactions in supramolecular chemistry for the creation of nanomachines and polyradical ensembles [90,91,92,93,94,95,96,97,98,99];
(h) as spin probes for studying liquid crystalline media [100,101,102,103]; etc.
Usually, the preparation of SNRs requires an appliance of nonstandard synthetic strategies that are different from those used for non-spirocyclic analogs. However, no special review dedicated to SNRs synthesis has been published yet. In this regard, the purpose of this survey is to systematize and summarize basic synthetic ways to spirocyclic mono- and bis-nitroxides containing six-membered (piperidine, 1,2,3,4-tetrahydroquinoline, 9,9′(10H,10H’)-spirobiacridine, piperazine, and morpholine) and five-membered (2,5-dihydro-1H-pyrrole, pyrrolidine, 2,5-dihydro-1H-imidazole, 4,5-dihydro-1H-imidazole, imidazolidine, and oxazolidine) nitrogenous heterocyclic cores.
2. Piperidine Nitroxide Radicals (TEMPO Type)
The first SNRs were obtained on the basis of six-membered nitrogen heterocycles. In addition, ring contraction of piperidine NRs is one of the main methods for the synthesis of five-membered nitroxides of the pyrrole series; accordingly, the presentation of data in this review conforms to the principle “from big to small.”
Piperidine-type SNRs (Figure 3, 3) have been obtained via oxidation of the corresponding sterically hindered amines 4 with hydrogen peroxide or its inorganic and organic analogs (for example, with potassium peroxymonosulfate (OXONE) or meta-chloroperoxybenzoic acid [m-CPBA]) [104,105,106]. Given that the oxidation step allows us to synthesize SNRs with high yields, the main problem is usually the synthesis of a precursor, a respective amine.
Figure 3.
The retrosynthetic scheme for obtaining piperidine-type SNRs 3 from acetonine 5 through intermediate cyclic amine 4.
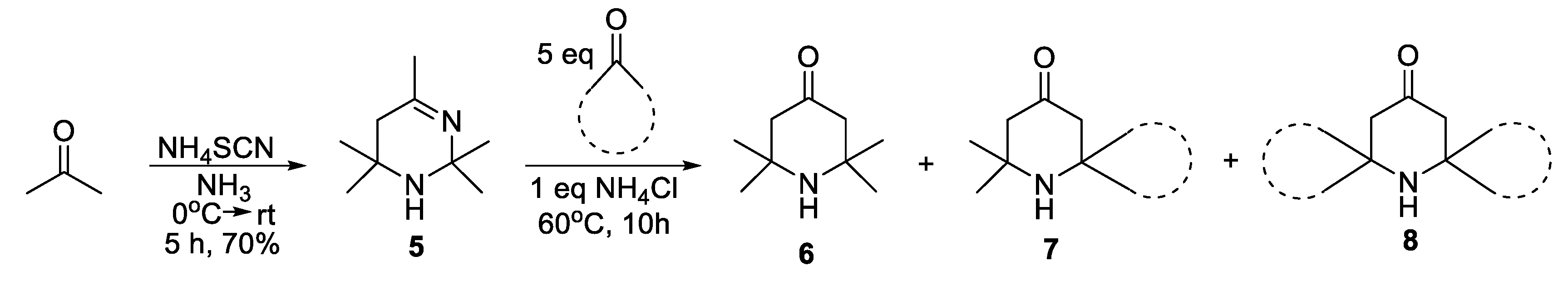
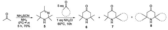
In this regard, the interaction of acetonine (i.e., 2,2,4,6,6-pentamethyl-1,2,5,6- tetrahydropyrimidine 5, which can be easily prepared from acetone) with different ketones, including cyclic ones, has been studied extensively. A number of catalysts, such as methylammonium chloride, acetic acid, and para-toluenesulfonic acid (PTSA), have been tested for this reaction; however, the best result has been obtained for anhydrous ammonium chloride. In addition, the formation of 2,2,6,6-tetramethylpiperidone 6 the product of the interaction between acetonine and acetone, is always observed as a side reaction in this process (Scheme 1). The proportion of ketones 6–8 is determined by the gas chromatography–mass spectrometry (GS–MS) analysis (Table 1). The total isolated yield of mono-7 and dispirocyclic 8 amounts to 60% when cyclohexanone is used as a ketone. When 2-alkyl-substituted cyclohexanones, including bicyclic ones, (entries 3 and 6–9 in Table 1) are employed in the reaction, dispirocyclic products 8 are not registered in the resultant mixture [76].
Scheme 1.
Synthesis of mono-7 and dispirocyclic piperidones 8 from acetonine 5.
Table 1.
The proportion of the products in the reaction mixture after the reaction of a cyclic ketone with acetonine according to gas chromatography–mass spectrometry (GS–MS) analysis*.
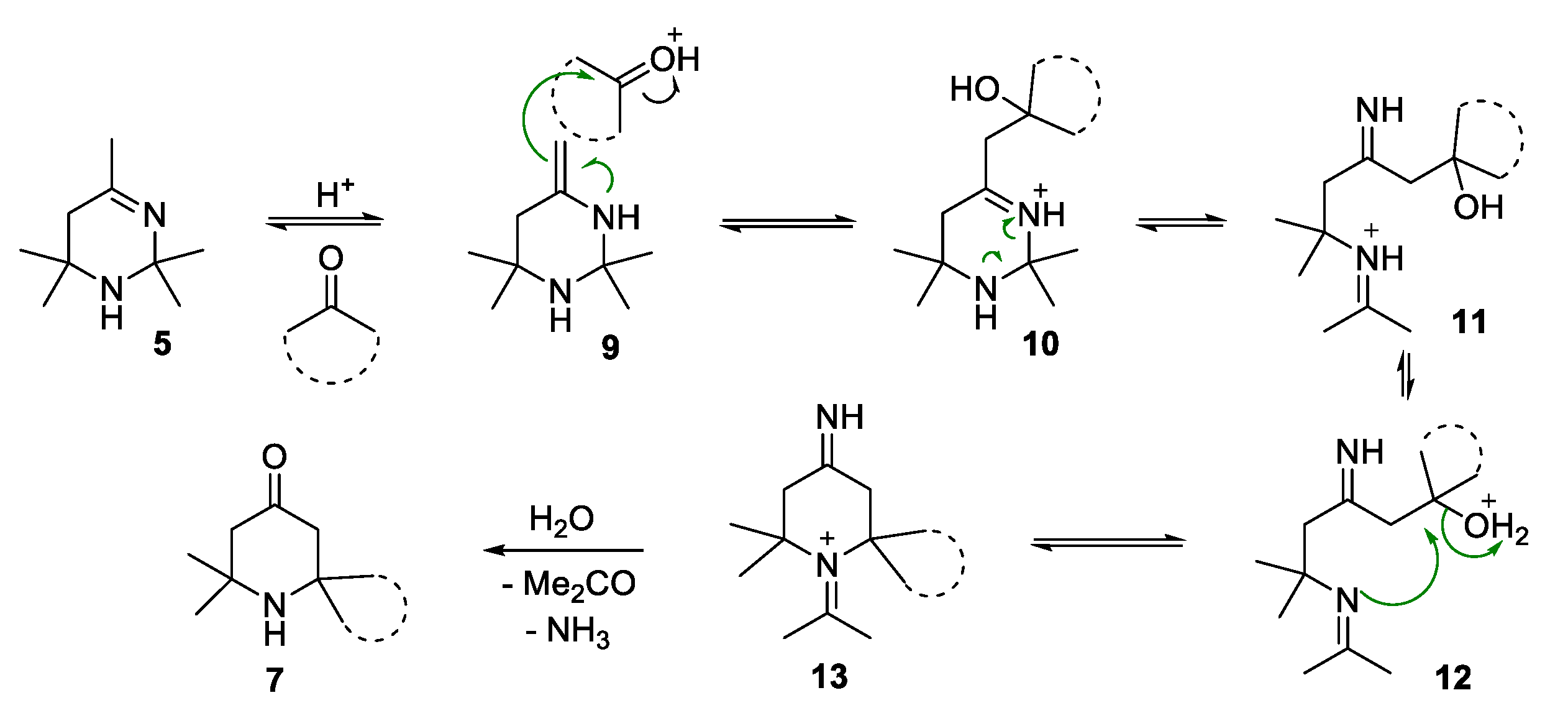
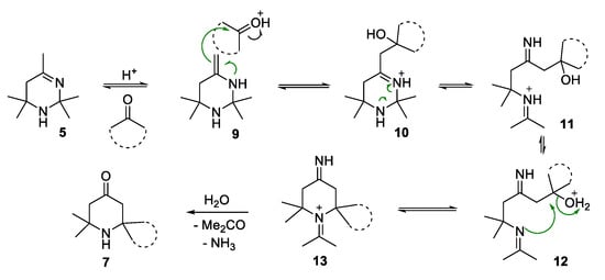
A suggested mechanism behind the formation of piperidone 7 is shown in Scheme 2. An initial nucleophilic attack of the tautomeric form of acetonine 9 on the protonated carbonyl compound leads to an intermediate, 10, which undergoes heterocyclic C–N bond cleavage thereby turning into acyclic compound 11. Intramolecular cyclization of its tautomer 12 generates piperidine 13, which is followed by hydrolysis yielding the final product, spirocyclic amine 7.
Scheme 2.
A plausible pathway of recyclization of acetonine 5 into piperidine 7 through formation of intermediates 9–13 in an interaction with a cyclic ketone under acid-catalyzed conditions.
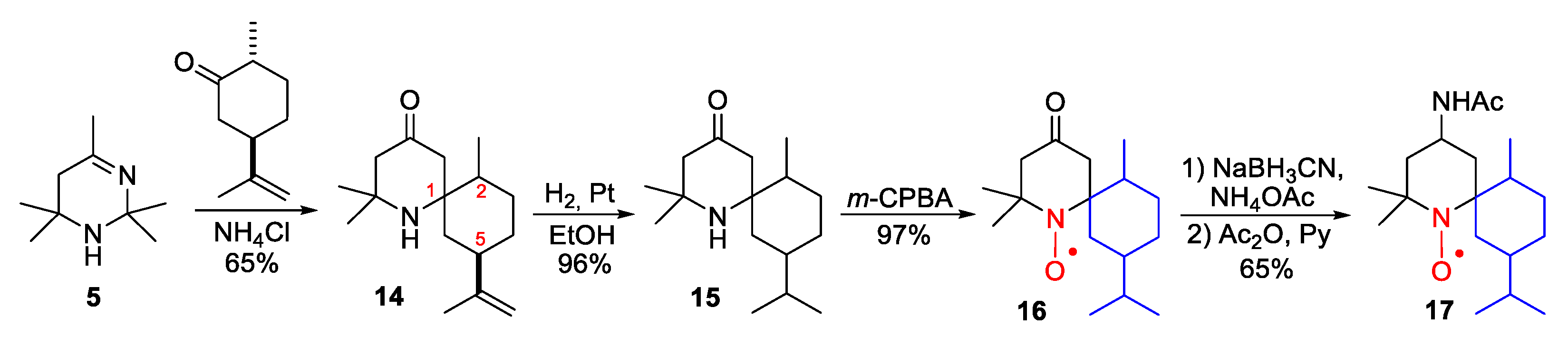
Bobbitt et al. synthesized chiral piperidine-type SNRs to obtain the corresponding oxoammonium salts on their basis. The interaction of acetonine 5 with dihydrocarvone (Table 1, entry 6) should give rise to optically active piperidone 14. Nonetheless, experimentally obtained product 14 is a mixture of isomers. It should be noted that racemization at the C-2 position of the carbocycle takes place during the reaction; meanwhile, the (R) configuration of the asymmetric center at the C-5 position of the starting ketone remains the same for all isomers. Moreover, a new asymmetric center at position C-1 is formed. Finally, four diastereomers are obtained with the ratio 49:26:14:11. Spatial structures of the stereoisomers have been established by nuclear magnetic resonance (NMR) spectroscopy. Hydrogenation of isomeric mixture 14 by means of Pt/H2 leads to compounds 15, which are next oxidized by m-CPBA to the corresponding radicals 16. Reductive amination of the keto group in SNR 16 followed by acylation of the intermediate with acetic anhydride leads with a high yield to amide 17, possessing a new chiral center of an undetermined configuration (Scheme 3) [76].
Scheme 3.
Synthesis of chiral SNRs from acetonine and dihydrocarvone.
The synthesis of SNRs 18a–c, 19b–c, and 20, which have been obtained as catalysts for living radical polymerization [67,69,71], can be presented here as an example of the application of the above-mentioned synthetic strategy. It is worth noting that the reaction of the acetonine with cyclic ketones may be the weak link in the whole synthetic scheme. Thus, monospiroamines 21a–c are obtained as products of the interaction of 5 with cyclopentanone, cyclohexanone, and cycloheptanone, respectively, in the presence of NH4Cl or NH4Br with rather low yields (from 6% to 14%). Those authors have stated that desired spiro compounds 21a–c are isolated chromatographically or by vacuum distillation from a complicated reaction mixture. The yields of dispiroamines 22b,c, which are synthesized under similar experimental conditions, are also low (24% for cyclohexane derivative 22b and only 1.9% for cycloheptane derivative 22c). Those authors explain the very low yield of the latter by steric encumbrances preventing its formation [71]. The next step, reduction of ketones 21a–c and 22b,c by sodium borohydride to respective amino alcohols 23a–c and 24b,c, as a rule, does not pose difficulties. Final oxidation of 23a–c and 24b,c by m-CPBA or hydrogen peroxide in the presence of disodium salt of ethylenediaminetetraacetic acid (EDTA-Na2) and Na2WO4 gives target SNRs 18a–c and 19b,c. A similar oxidation step for 22b has a yield of only 29%. Such a yield ratio (~3/1) difference between the oxidation of amino alcohol 24b and the oxidation of aminoketone 22b is related to their different solubility in ethanol, where the reaction is carried out (Scheme 4).
Scheme 4.
Synthesis of mono- and di-SNRs of the TEMPO and TEMPOL type.
Spin labeled rotaxanes 25 and 26 are prepared on the basis of an amino derivative of SNR 20 [92]. First, the reaction of SNR 20 with propargylamine, followed by the reduction of the imine, produces radical 27 with a terminal acetylene group. After that, in the key reaction for the formation of [2]rotaxane, radical 27 enters into a “click” reaction with a diazido derivative of 1,8-dialkoxynaphthalene (DAN), 28, with simultaneous addition of a cyclobis(paraquat-p-phenylene) (CBPQT) macrocycle based on paraquat and a catalyst, a copper(I) salt (Scheme 5). A similar rotaxane, 26, was obtained using a diazido derivative of tetrathiofulvalene (TTF), 29 (Scheme 6). Ideally, cyclobis(paraquat-p-phenylene) (CBPQT4+)(PF6−)4 having a wheel structure should play the role of a “shuttle” moving due to the redox process in the rotaxane molecule between the “stations” (the corresponding units, DAN (magenta) and TTF (green)), while bulky SNR residues serve as terminal stoppers and EPR-sensitive sensors.
Scheme 5.
Synthesis of [2]rotaxane 25 via a three-component Cu(I)-catalyzed click reaction among SNR 27, DAN derivative 28 (carrying azide-terminated glycol chains), and CBPQT.
Scheme 6.
Synthesis of [2]rotaxane 26 via a three-component Cu(I)-catalyzed click reaction among SNR 27, TTF derivative 29 carrying azide-terminated glycol chains, and CBPQT.
In continuation of this work, Lucarini et al. have managed to implement the following idea: a multifunctional rotaxane 30 is created with the CBPQT shuttle, i.e., a spin (TEMPO)-labeled radical that can move from the TTF core to DAN core, where at the terminus of a molecule, a second label (an SNR stopper) is situated (Figure 4). Single-electron oxidation of the TTF unit results in a significant through-space magnetic interaction between different radical units. In some cases, rotaxanation has proven to have dramatic effects on such magnetic interactions [95].
Figure 4.
Structure of [2]rotaxane 30 bearing two different nitroxide units, two redox-active tetrathiafulvalene (TTF) groups and the 1,5-dioxynaphthalene (DAN) component.
SNRs 31 and 32 are obtained initially as spin probes from acetonine 5 and 4-hydroxycyclohexanone in two to three steps. The yield of intermediate amine 33 is only 19%. Oxidation of 33 by m-CPBA gives the corresponding radical 31, which is reduced quantitatively by sodium borohydride (without affecting the radical center) to SNR 32 with three hydroxy groups [28]. Based on nitroxide 31, through its conversion into amino derivative 34 with subsequent transformation into N,N′-disubstituted urea, a polarizing agent for effective DNP of biomolecules is synthesized—biradical bcTol (35) with high water solubility [58].
When methylamine is used in a similar procedure instead of NH4OAc, and carbonyldiimidazole is replaced by bis(trichloromethyl)carbonate (BTC), a dimethyl analog of 35, R*NMe-CO-NMeR* (bcTol-M), is synthesized from 31. Along with this biradical, asymmetric Cyolyl-TOTAPOL biradical 38 containing five hydroxy groups is obtained (Scheme 7) [107]. The synthesis of the latter is carried out by the nucleophilic opening of epoxide 37, prepared from 4-hydroxy derivative 36 via a reaction with epichlorohydrin and in interaction with amino derivative 34. Moreover, heterobiradical AsymPolPOK (43), one of the best DNP agents applied at magnetic fields both 9.4 and 18.8 T, has also been derived from SNR 34. Thus, the coupling of amine 34 with paramagnetic carboxylic acid 39 produces a heterobiradical, amide 40, in a moderate yield. Deprotection of the latter and the phosphorylation of intermediate diol 41 with bis(2-cyanoethyl)-N,N-diisopropylphosphoramidite (BCEDIPPA) in the presence of an activator (5-(benzylthio)-1H-tetrazole; BTT) affords diphosphonate 42. The removal of cyanoethyl groups from 42 under base-catalyzed conditions quantitatively generates the water-soluble dipotassium salt of bis(phosphonate) 43 (Scheme 7) [60].
Scheme 7.
Preparation of spin probes and dynamic nuclear polarization (DNP) agents on the basis of 4-hydroxycyclohexanone.
In addition to cyclohexanone derivatives, other cyclic ketones have been reacted with acetonine 5, for example, tetrahydro-4H-pyran-4-one 44 and its thio analog, tetrahydro-4H-thiopyran-4-one 45 (Scheme 8) [108]. The yields of cyclic amines in both reactions are approximately the same. Nonetheless, for the pyran derivative, the oxidation proceeds in accordance with a standard scheme and gives SNR 46 with a high yield, whereas in the case of thiopyran compound 47, this oxidation is accompanied by additional oxidation of the sulfide group to sulfone, resulting in a rather low yield of final SNR 48 [109]. Of note the thiopyran ring can serve as a protective group for the ethyl moiety; consequently, amine 47 has gained popularity in the synthesis of 2,2,6,6-tetraethyl derivatives of 4-oxypiperidine-1-oxyl (TEMPON) 49, which are NRs extremely resistant to the action of various reducing agents (Scheme 8).
Scheme 8.
Interaction of acetonine 5 with heterocyclic ketones.
An alternative route for the synthesis of mono-α-SNR 50 and di-α,α′-SNR 20 was suggested [110]. As a result of an aldol condensation of mesityl oxide with cyclohexanone, ketol 51 is converted into a mixture of isomeric ketones 52a,b. Its treatment with gaseous ammonia in an autoclave at temperatures above 100 °C for 17 h leads to cyclic amine 21b with a good yield (Scheme 9). Similarly, a mixture of ketones 54a,b that is obtained by condensation of acetone with cyclohexanone followed by dehydration of 53 is again applied to the same reaction with cyclohexanone, including distillation and dehydration of 55a,b, thus affording a mixture of three ketones 56a–c. Finally, the treatment of the latter with ammonia and the oxidation of dispirocyclic amine 22b produces the desired SNR 20. It must be noted that although the H2O2/Na2WO4 system can be utilized for successful oxidation of amine 21b, in the case of more sterically hindered amine 22b, a satisfactory result is achieved only with m-CPBA (Scheme 9).
Scheme 9.
Iterative route for the synthesis of mono-50 and di-SNR 20.
Yamada et al. proposed an alternative approach to the synthesis of piperidine-type SNRs. It is assumed that the carbonyl group in 1,2,2,6,6-pentamethylpiperidine-4-one 57 can undergo enolization, thus simplifying further recyclization of the enol triggered by a carbonyl compound. For instance, heating a solution of compound 57 in DMSO with cyclic ketones 58a–f in the presence of a large excess of NH4Cl provides spirocyclic amines 22b, 47, and 59b,d–f with modest yields. Oxidation of the above amines by hydrogen peroxide in ethanol leads to respective SNRs 20, 46, 48, and 60d,f [52,109]. In addition, the cleavage of the dioxolane protective group in 59f, followed by oxidation of intermediate amine 61, has allowed the preparation of α,α′-di-SNR 62 with three keto groups (Scheme 10) [109].
Scheme 10.
Synthesis of functionalized α,α′-di-SNRs of piperidone type from 1,2,2,6,6-pentamethylpiperidine-4-one and cyclic ketones.
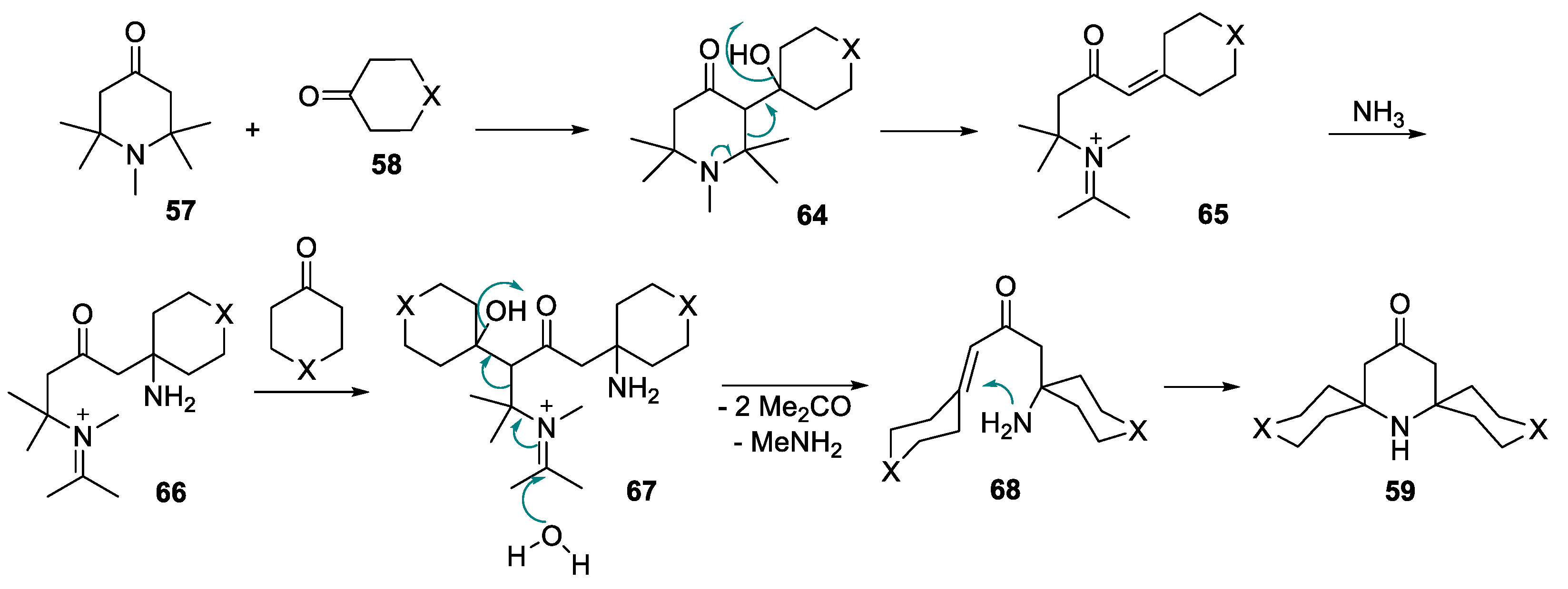
Spin-labeled nitroxides 63a–c have been obtained by the aforementioned synthetic procedure, using 15NH4Cl as a catalyst at the step of amine formation (Scheme 10). This result proves that ammonium chloride is the source of nitrogen at the recyclization and amine formation steps. Because amine 57 is a stronger base than NH4Cl, their interaction causes ammonia formation. A plausible scheme of the reaction between 57 and ketones has been proposed. Initiating the whole process is aldol condensation of 57 with cyclic ketone 58 yielding sterically strained 64, followed by C–C bond cleavage through Grob-type fragmentation [111] providing α,β-unsaturated carbonyl compound 65. Interaction of the latter with ammonia and a subsequent reaction of 66 with cyclohexanone generates intermediately 67; further elimination in it, accompanied by cycle closure in aminoenone 68 finally forms amine 59 (Scheme 11) [109]. Yamada et al. noted that, with a decrease in the molar ratios of NH4Cl and cyclic ketone 58 to piperidone 57 and at a decreased temperature of the reaction mixture, amines of type 7 bearing only one spiro moiety can form in some cases (ca. 10–30% yield), and their oxidation leads to corresponding SNRs [52,112].
Scheme 11.
A possible pathway of the formation of dispirocyclic amines 59 from N-methylpiperidin-4-one 57.
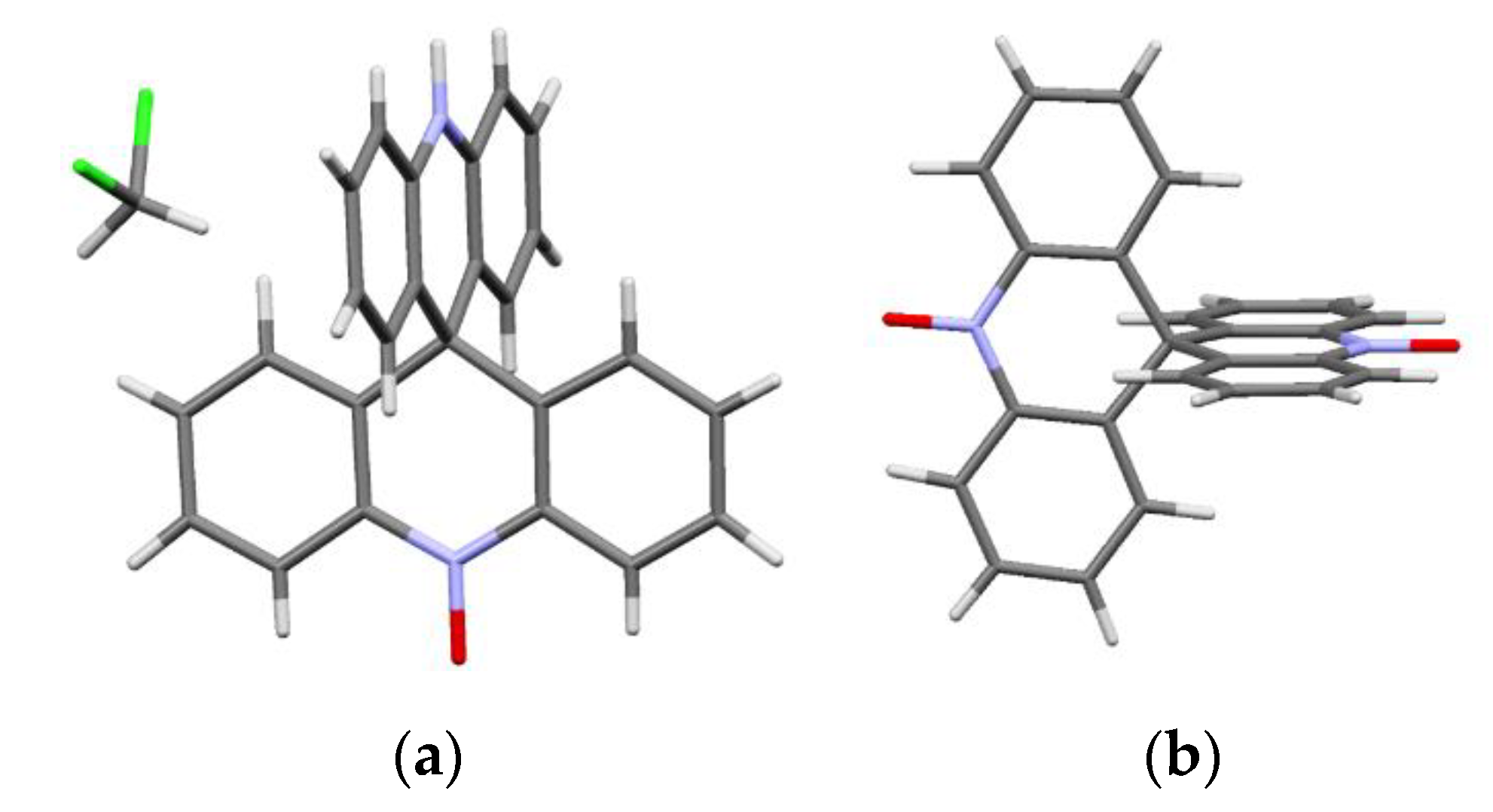
Paramagnetic unnatural amino acids—7-aza-dispiro[5.1.5.3]hexadecane-7-oxyl-15-amino- 15-carboxylic acid 69 and its N-(9-fluorenylmethoxycarbonyl) derivative 70—have been obtained from the above-mentioned SNR 20 to be applied as spin labels. Thus, a reaction of radical 20 with (NH4)2CO3 in the presence of sodium cyanide produces hydantoin derivative 71 with a high yield. Hydrolysis of 71 under harsh conditions—similar to what has been conducted before for the corresponding tetramethyl analog of piperidine-1-oxyl-4-amino-4-carboxylic acid (TOAC) (72) [113]—leads to amino acid 69 in a ~50% yield. Nonetheless, the sample obtained in this way has failed to be fully rid of paramagnetic traces and the hydrolysis intermediate. It is assumed that the steric hindrances produced by cyclohexane rings make the complete conversion of the hydantoin intermediate to α-amino acid 69 difficult. In this regard, SNR 69 was synthesized in two steps; first, double Boc-protected derivative 73 is obtained followed by its hydrolysis under relatively mild conditions. Amino acid 69 is then modified at the amino group via interaction with N-(9-fluorenylmethoxycarbonyloxy)succinimide, affording target compound 70 without any paramagnetic impurities (Scheme 12) [24].
Scheme 12.
Synthesis of amino acid derivatives of SNRs of the TEMPO type.
It is noteworthy that on the basis of a simple paramagnetic amino acid, TOAC (72, a derivative of TEMPO), using alternating protection of functional groups in the radical, a dipeptide is obtained that thermolytically and readily converts into spirocyclic nitroxyl biradical (SNBR) 74 of the TEMPO type, containing an almost flat diketopiperazine linker between the paramagnetic nuclei (Figure 5).
Figure 5.
X-ray structure of dispirocyclic biradical 74 with a rigid diketopiperazine linker. A cocrystallized 1,1,1,3,3,3-hexafluoro-2-propanol (HFIP) molecule forms an H-bond between the N–O moiety and the hydroxy group of the solvent.
Thus, by a previously developed method [114], one part of TOAC is protected at the amino group by a fluorenylmethyloxycarbonyl residue, whereas the carboxy function of another part is esterified with diazomethane. Then, both molecules 75 and 76 are crosslinked under the conditions of peptide bond formation, and after the removal of the fluorenylmethoxycarbonyl (Fmoc) group in 77 by means of diethylamine, aminoester 78 is subjected to mild acid-catalyzed thermolysis accompanied by cyclization and formation of final SNBR 74 (Scheme 13) [115].
Scheme 13.
Synthesis of TEMPO-type γ,γ′-SNBR 74 on the basis of TOAC.
Modern application of the DNP method allows us to increase NMR signal intensity in solids and liquids by several orders of magnitude. The DNP method is based on polarization transfer from paramagnetic compounds to nuclei of investigated diamagnetic samples by microwave irradiation of the sample at the electron paramagnetic resonance (EPR) frequency. In practice, a huge variety of paramagnetic compounds has been synthesized and applied as DNP agents during the last decade. The best results on signal enhancement have now been shown by sterically hindered spirocyclic nitroxyl biradicals (SNBRs) of the TEMPO series, which are fairly well soluble in protic solvents and carry various substituents in the spiro substituent, which allows the surroundings of the paramagnetic center to adopt a favorable conformation (see Figure 2) [63]. To obtain promising DNP agents, two approaches were recently used to synthesize SNR biradicals. These methods differ in only one fundamental characteristic, i.e., the nature of the linker between the nitroxide nuclei, in particular, and whether it is flexible or rigid [59]. Some examples from both approaches are presented below.
A urea residue is often employed as a flexible hydrophilic linker. For instance, water-soluble polarizing agents PyPol and AMUPol are synthesized, starting from SNR 46. Reductive amination of 46 using ammonium acetate (or tetra(ethyleneglycol) methyl ether amine) and sodium cyanoborohydride or Na(OAc)3BH leads to amines 79a,b, which are then reacted with triphosgene to obtain 80a (PyPol) or 80b (AMUPol) as solids (Scheme 14) [116].
Scheme 14.
Synthesis of SNRs that can serve as DNP agents (containing a urea-type linker)—PyPol and AMUPol.
Another popular spacer between two radical parts, methyleneamine, which has one group less than the urea residue, was recently used as the basis for the TinyPol family of biradicals [62]. First, from SNR 46, 4-cyano derivative 81 was prepared from tosylmethylisocyanide in the presence of potassium tert-butoxide. Hydrolysis of the cyano group and subsequent reduction of the carboxylic group resulted in primary alcohol 82 in a good yield. Oxidation of the hydroxy group led to formyl-substituted SNR 83, which then reacted with another SNR, amine 34, via reductive amination. Finally, deprotection of the silyl groups in an intermediate adduct by means of tetra-n-butylammonium fluoride (TBAF) in tetrahydrofurane (THF) yielded TinyPol (84) as a red solid (Scheme 15).
Scheme 15.
Synthesis of the TinyPol family of SNRs with a methyleneamine-type linker.
The synthesis of similar SNR biradicals with a flexible linker was also presented above, in Scheme 7 (compounds 35 and 38).
In strong magnetic fields, the effective electron resonance frequency, which provides the polarization of unpaired electrons of the biradical, can depend substantially on the molecular orientation relative to the external magnetic field, and in a biradical, the respective parameter is controlled by relative orientations of electron g-tensors. A rigid linker that fixes the two TEMPO moieties in a desired relative orientation should increase the enhancement afforded by the polarizing agent. The required orthogonality of paramagnetic centers toward each other—and their mutual arrangement that prevents a strong exchange interaction—can be realized, for example, in the case of a rigid γ,γ′-SNBR of the TEMPO type in which the number of spirocycles linking the paramagnetic cores is an even number [42]. In this regard, when searching for optimal DNP agents, some investigators have published a number of studies on the synthesis of similar SNBRs.
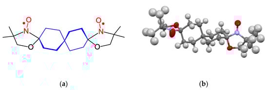
The reaction of 2,2,6,6-tetramethyl-4-piperidone 6 or substituted piperidin-4-ones 7a,b, 22b, 47, 59b,e, or 85a–e with pentaerythritol in the presence of PTSA yields diamines 86a–l, which are then oxidized with hydrogen peroxide in the presence of Na2WO4 to trispirocyclic biradicals 87a [42], 87b [45], 87c–f [52], or 87g–l [59] in 35–85% yields (Scheme 16).
Scheme 16.
Synthesis of α,α′,γ,γ′-SNBR via a reaction of tetraalkylpiperidon-4-ones with pentaerythritol.
To carry out cross-condensation and obtain an asymmetric biradical, a mixture of spirocyclic amine 22b, piperidone 6, and pentaerythritol was refluxed in toluene with PTSA, followed by the oxidation of the resulting mixture of three amines. Along with the cross-condensation product, SNBR 88, whose yield is only 10%, symmetric dimeric SNBR 87a,b are isolated by chromatography [52].
A series of sulfur-containing SNBRs was synthesized in the search for water-soluble biradicals suitable for DNP experiments in water [46,47]. For example, boiling of tetraacetyl pentaerythritithiol 89 with 2,2,6,6-tetramethyl-4-piperidone 6 in concentrated hydrochloric acid yields a hydrochloride of the condensation product in a high yield, whose oxidation with ruthenium tetroxide (generated in situ from RuCl3 and H5IO6) leads to diamine tetrasulfone 90. Oxidation of the latter with m-CPBA gives rise to bisnitroxide 91 in a 70% yield. This SNBR 91 does not have sufficient solubility in water but is readily soluble in the DMSO/H2O system with a ratio of 60:40 (Scheme 17) [46]. Piperidin-4-one 59b also condenses with tetraacetyl pentaerythritiol 89 in HCl, with diamine 92 forming in a 70% yield. Its subsequent exhaustive oxidation to tetrasulfone 93 is performed when potassium peroxomonosulfate is used. Initially, at low pH levels, only sulfur atoms are oxidized; with an increase in pH to 8–9 and oxidation of the mixture with dimethyl dioxirane (generated from acetone added to the mixture), the secondary amino groups are converted into nitroxyl ones. To the disappointment of the researchers, biradical 93 has proven to be also insoluble in glycerin–water mixture. Finally, oxidation of amine 92 with an excess of m-CPBA yields a mixture of sulfur-containing bisnitroxides 94, which have turned out to be quite soluble in a glycerol–water (60:40) mixture (Scheme 17) [47].
Scheme 17.
Synthesis of sulfur-containing SNBRs from tetraacetyl pentaerythrithiol.
3. Benzoannelated Derivatives of Piperidine-Type SNRs
3.1. SNRs of 1,2,3,4-Tetrahydroquinolines Series
Several examples of the synthesis of stable SNRs of the 1,2,3,4-tetrahydroquinoline series are described in the literature. Their preparation includes two steps: (a) key assembly of the tetrahydroquinoline frame as a result of an “unusual” Diels–Alder cycloaddition of Schiff base 96 to 2-methyl-4,5-dihydrofuran in the presence of boron trifluoride etherate as a catalyst [117] and (b) oxidation of the obtained cyclic amine with hydrogen peroxide to a nitroxyl radical. For example, the interaction of imines 96a,b with dihydrosylvan produces corresponding tetrahydroquinolines 97a,b. Their oxidation in the 30% aqueous H2O2/Na2WO4 system leads to SNRs 98a,b [118,119]. Cyclohexylidene derivatives have been obtained in a similar way from α- and β-naphthylamines 99, which, as a result of similar transformations, are converted into SNRs 100 and 101, i.e., stable radicals of the benzoquinoline series (Scheme 18) [120].
Scheme 18.
Synthesis of tetrahydroquinoline-type SNRs.
In a later work [121], precise determination of the structure for the product of the reaction between unsubstituted ketimine 96a and dihydrosylvan was performed by X-ray analysis, and it was shown that in this process, compound 102 is formed, not compound 97a, as was postulated earlier [117]. Adduct 102 appears to be formed by the reaction of imine 96a with the isomeric form of dihydrosylvan, 2-methylenetetrahydrofuran, although usually, the equilibrium between these two tautomers is shifted toward 2-methyl-4,5-dihydrofuran. Thus, in the case of unsubstituted imine 96a, the reaction proceeds in an unusual way; according to the authors of that study, this outcome can be explained by the influence of steric factors during the formation of the transition state. According to X-ray diffraction data, stable SNR 103 that is obtained by oxidation of amine 102 has the structure of dispirocycle 103 with spiro substituents at α- and γ-carbon atoms, not of mono-spiro compound 98a, as previously stated. Of note, SNR 103 has been used as an effective indicator of peroxy radicals, with which it reacts and yields a characteristic product (absorption band at 371 nm) in autoxidation systems [122].
3.2. SNRs of the 10H,10′H-9,9′-Spirobi[acridine] Series
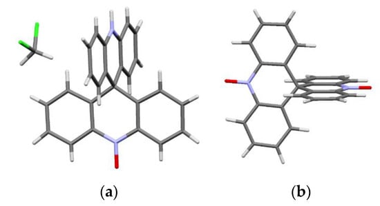
Diradicals with the orthogonal arrangement of single occupied molecular orbitals (SOMO) have received much attention in the chemistry of organic magnetic materials because they have a ground triplet state, and consequently, the implementation of an intramolecular ferromagnetic interaction in them is possible. At the beginning of the 21st century, several reports appeared about obtaining and studying the magnetic characteristics of spirocyclic diradicals of the acridine type, whose structural features hold promise for achieving orthogonality of closely spaced paramagnetic centers. Indeed, the diamagnetic precursor of such a diradical, 9,9′(10H,10H′)-spirobiacridine 104, is synthesized in two stages—from t-butyloxycarbonyl (Boc)-protected diphenylamine and methoxyethoxymethyl (MEM)-protected acridone. The presence of Boc-protection in the starting amine promotes its directed ortho-lithiation to intermediate 105. The key stage includes a one-pot procedure consisting of the addition of a heteroaromatic ketone to ortho-lithiated compound 105, followed by the acid-catalyzed intramolecular Friedel–Crafts reaction and final acid-promoted removal of the protective groups to obtain target spirocyclic diamine 104 with a good yield relative to starting diphenylamine [123]. The oxidation of diamine 104 by m-CPBA leads to the formation of a mixture of monoradical 106 (35%) and target diradical 107 (5%), which are separated by chromatography (Scheme 19). The structure of both radicals has been proved by X-ray analysis (Figure 6). A study on the magnetic properties of diradical 107 in a polycrystalline sample has shown that antiferromagnetic interactions are predominant for this compound. This result was explained by the authors as a possible mutual influence of the closely located nitroxyl groups of neighboring molecules. Nevertheless, the EPR spectrum of a dilute solution of compound 107 and Density Functional Theory (DFT) calculations in the gas phase indicated that the ground state of the diradical molecule should be a triplet [78].
Scheme 19.
The synthetic approach to spirobi[acridine]-based SNRs.
Figure 6.
Crystal structures of spirobi[acridine] SNRs: (a) monoradical 106 and (b) diradical 107.
A decade later, the investigation of Ishida et al. was successful; recently, a publication appeared on the synthesis of paramagnetic spirocyclic nitroxyl diradical (SNDR) 108 with the largest value of ferromagnetic exchange in the series of spiro compounds, 2J/kB = + 23(1) K [79]. Crystallographic analysis clarified the D2d molecular structure, suggesting the degeneracy of SOMOs. The introduction of four tert-butyl groups at the para-position of the benzene cycle in the biacridine system relative to the NO fragment (Scheme 20) has made it possible to completely suppress the effect of the intermolecular antiferromagnetic interaction of the diradical molecules. The key base compound in a six-step sequence, di-tert-butyl–substituted acridone 109, is obtained quantitatively by Friedel–Crafts alkylation of acridone [124]. In a 2020 paper, the same authors showed that, by changing the number of tert-butyl groups (0 → 2 → 4) in the molecule of a spirobiacridine diradical, it is possible to control the exchange interaction of unpaired electrons in the molecule by fine-tuning the intermolecular distances [125]. The corresponding di-tert-butyl diradical is obtained by a similar procedure from diarylamine 110 and MEM-protected acridone as starting blocks.
Scheme 20.
Synthesis of a tetra-t-butylated spirobi[acridine] spirocyclic nitroxyl diradical (SNDR).
4. Piperazine- and Morpholine-Type SNRs
Sterically hindered SNRs of the piperazine series (115, 116, 118, and 120) were obtained for the first time to study the effect of substituents on hyperfine coupling constant AN in the EPR spectra of stable radicals [126]. For instance, under reduced pressure, heating the aminonitrile of cyclohexanone 111 gives bis(1-cyanocyclohexyl)amine 112, followed by a one-pot step, including acid-catalyzed hydrolysis and intramolecular cyclization, leading to the starting compound of SNR synthesis—cyclic piperazinedione 113 [127]. Carboxylation of the latter with chloroethyl formate and oxidation of amine 114 with m-CPBA give nitroxide 115 in a 63% yield. Hydrolysis at room temperature and decarboxylation of SNR 115 allows for the isolation of NH-containing radical 116 (Scheme 21). In contrast, using protection, carbonyl groups are removed from the heterocycle. Benzylation of amine 113, followed by oxidation of intermediate 117 with m-CPBA, results in nitroxide 118 in a 61% yield. Reductive deoxygenation of 118 with LAH leads to diamagnetic hydroxylamine derivative 119, which readily oxidizes in ambient air to radical 120 (Scheme 21).
Scheme 21.
Preparation of different piperazine-type SNRs from aminonitriles.
In the works of Lai, a different approach to the synthesis of SNRs of the piperazinone and morpholinone series was proposed [128,129,130,131]. The key stage of this approach is the Bargellini reaction [132], which consists of the interaction of 1,2-aminoalcohols or 1,2-diamines with ketones in chloroform in the presence of a strong base, with the formation of sterically hindered morpholinone or piperazinone 121, which can then be oxidized to corresponding nitroxyl radical 122 by the action of 1–2 equiv of m-CPBA (Scheme 22).
Scheme 22.
Synthesis of SNRs according to the Bargellini reaction.
The following scheme represents the proposed mechanism of the Bargellini reaction. In the presence of a strong base, chloroform is deprotonated to the CCl3− anion, which attacks the carbonyl carbon of the ketone, forming dichloroepoxide 123. A sterically hindered C–N bond is formed through the regioselective opening of 123 with a nucleophile—amino alcohol or diamine. Subsequent cyclization gives rise to lactone or lactam 124, respectively (Scheme 23).
Scheme 23.
A plausible pathway of the formation of a piperazinone or morpholinone frame.
Below, we provide examples of specific syntheses using the above-mentioned approach to obtain SNRs of the piperazine and morpholine series. For example, condensation of 2-nitropropane, formaldehyde, and optically active (S)-1-phenylethylamine produces nitroamine 125, subsequent reduction of which by hydrogen on Raney nickel quantitatively leads to diamine 126. The Bargellini reaction of 126 with cyclohexanone causes the formation of intermediate piperazinone 127. Although the yields in this reaction are high (>80%), in the early work of Lai [128], it was noted that, along with piperazinone 127, the formation of minor regioisomer 128 is also sometimes observed, while the ratio of products 127/128 is ~4.5:1. Oxidation of cyclic amine 127 with m-CPBA generates optically active radical 129 in a quantitative yield (Scheme 24) [133].
Scheme 24.
Synthesis of a piperazinone-type SNR.
Similarly, hydrogenation of the intermediate obtained by the condensation of 1-nitrotetralin with formaldehyde and (S)-phenylethylamine gives diamine 130. Its reaction with acetone under the conditions of the Lai method and oxidation of piperazinone 131 quantitatively produces optically active nitroxide 132. Reduction of lactone 131 with LAH yields piperazine 133 in the form of a mixture of diastereomers in a 1.3:1 ratio, which are efficiently separated by crystallization of salts with camphorsulfonic acid (CSA). Hydrogenation of piperazine 133 on Pd(OH)2 results in the removal of the phenylethyl group, and subsequent treatment with 1 equivalent of TsCl yields mono-tosyl derivative 134. Optically active nitroxide 135 is obtained quantitatively by the oxidation of the NH-function in 134 (Scheme 25) [133].
Scheme 25.
Synthesis of piperazine-derived SNRs on the basis of 1-nitrotetralin.
Chiral morpholine and morpholinone nitroxides should also be available using the Bargellini reaction. Scheme 26 outlines a route to these nitroxides from model 2-methyl-2-amino-1-propanol. Investigators were surprised to find that the Bargellini coupling with acetophenone works very well in this case. The same reaction has been unsuccessful with diamine 130. Sodium salt 136 precipitates from the reaction mixture and is isolated by filtration. Acidification, followed by heating in toluene and neutralization with Et3N, produces lactone 137 in a 57% overall yield from the initial amino alcohol. Oxidation with m-CPBA completes this simple and effective synthesis of stable morpholinone nitroxide 138.
Scheme 26.
The general route to morpholinone NRs via the Bargellini reaction.
The next step was the synthesis of an optically active SNR of the morpholine series, for which amino alcohol 139 (obtained by the condensation of 1-nitroindane with formaldehyde, followed by reduction of the nitro group) was used as a starting compound. The three-component reaction of compound 139 with acetone in chloroform in the presence of NaOH yields the corresponding carboxylate, whose acidification and heating in PhMe result in lactone 140 in a 66% yield. Separation of the enantiomers of morpholinone 140 is again carried out by crystallization of their salts with (+)-camphorsulfonic acid. The diastereomeric mixture of acetates 141 is obtained by the reduction of the (+)-140 isomer with diisobutylaluminium hydride (DIBAL-H), followed by acylation. O-acyl derivative 141 is transformed by means of trimethylsilyl trifluoromethanesulfonate (TMSOTf) and trimethyl(phenylthio)silane (TMSSPh) into S-derivative 142, which is further reduced with Li/NH3 to morpholine. Controlled oxidation of the latter with m-CPBA acid in the presence of NaHCO3 in a two-phase DCM/H2O system leads to optically active radical (+)-143 with a very high yield (Scheme 27) [133]. Of note, overoxidation (overexposure to an oxidizing agent) of radical 143 causes a complete loss of optical activity because of rapid racemization arising from the recyclization of the spiro function as a consequence of solvolytic opening and closure of the N-oxoammonium salt, which is a product of nitroxide overoxidation.
Scheme 27.
Synthesis of a chiral indano-morpholine SNR.
On the basis of a natural ketone, L-(−)-menthone, Studer et al. performed the synthesis of highly sterically hindered SNRs for subsequent preparation of the corresponding alkoxyamines to be applied as initiators/regulators of controlled nitroxide-mediated radical polymerization of n-butyl acrylate and styrene. The key compound in the scheme for synthesizing these SNRs is hydantoin 144, which is obtained via the Bucherer–Bergs reaction [134]. Its further hydrolysis under harsh conditions, followed by treatment of the intermediate amino acid with isopropylamine in the presence of a condensing agent and hydrogenation with BMS, or the use of reductive conditions (NaBH4 / I2), leads to diamine 145 and amino alcohol 146, respectively. The Bargellini reaction of 145 with cyclohexanone yields dispirocyclic piperazine 147, whose final stage of oxidation to target SNR 148 is carried out in 40% peracetic acid (Scheme 28) [73].
Scheme 28.
L-(−)-menthone–based multistep synthesis of highly sterically hindered SNRs of the piperazinone and morpholine type.
On the contrary, for the synthesis of the chiral SNR of the morpholine series, 153, a new approach was employed, including the use of a commercially available synthetic block, 3-oxetanone [135]. Thus, amino alcohol 146 is reacted with a strained ketone to form dispirocompound 149 in a high yield. In the presence of trimethylsilyl cyanide (TMSCN) and a catalytic amount of In(OTf)3, 149 is then subjected to the Strecker reaction with subsequent ring expansion to obtain morpholine 150, which is isolated as a single diastereoisomer. Nitrile reduction, silyl ether cleavage, and BOC protection result in bicycle 151. Subsequent alkylation of 151 with an excess of MeI causes double methylation. Again, the oxidation of secondary amine 152 with AcOOH affords the target bulky spiro morpholine-based stable radical 153 (Scheme 28) [74].
These chiral nitroxides carry spiroanellated six-membered rings at the α-position with two additional substituents, which lock a sterically more hindered chair conformation. X-ray structural analysis and DFT calculations have confirmed the conformation of such nitroxides.
A very recent paper presents the successful synthesis of rigid SNR diradicals 154a-c of the morpholine type for DNP that have small distances between paramagnetic centers and torsion angles that are not accessible in the six-membered SNR biradicals, bTbK, and TEKPOL series [136]. Their synthesis is based on the original methodology of tin amine protocol (SnAP)-assisted iterative assembly of polyspirocyclic N-heterocycles developed by Bode et al. [137]. The key step in the process is the coupling of the cyclic ketone 155 with the SnAP reagent 156 in the presence of a Lewis acid, titanium isopropoxide, and a catalyst (copper (II) triflate), yielding an interaction of the forming carbon-centered radical with a carbon atom of the iminium cation, thus forming a morpholine ring (Scheme 29, Figure 7) [138].
Scheme 29.
Tin amine protocol (SnAP) iterative assembly for the synthesis of SNDRs 154 of the morpholine type separated by rigid linkers.
Figure 7.
Top: parent diketones 157a–c; bottom: synthesized diradicals 154a–c.
5. 2,5-Dihydropyrrole (3-Pyrroline)- and Pyrrolidine (PROXYL)-Type SNRs
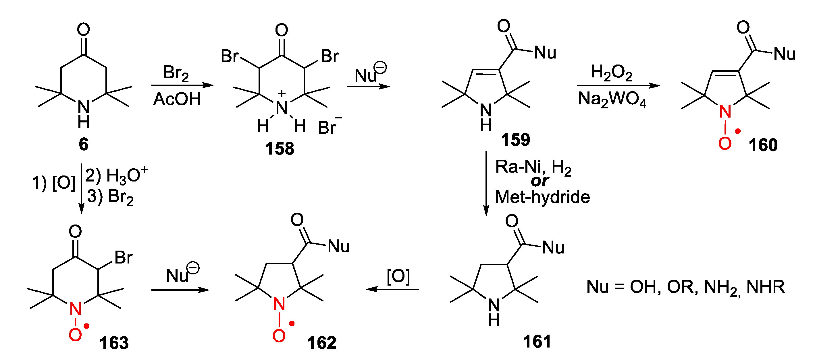
One of the main methods for obtaining 3-pyrroline and pyrrolidine NRs is an approach based on the Favorskii rearrangement of 3,5-dibromo-4-oxo-2,2,6,6-tetramethylpiperidine 158 by means of various O- and N-centered nucleophiles: OH−, MeO−, NH3, or amines. The resulting NH-pyrrolines 159 can be then oxidized to pyrroline nitroxides 160 or reduced to pyrrolidines 161 and then transformed into corresponding pyrrolidine (PROXYLs) 162 by oxidizing agents based on hydrogen peroxide [139]. As for the Favorskii rearrangement of the monobromo derivative 3-bromo-4-oxo-2,2,6,6-tetramethyl piperidine-1-oxyl 163, by using nucleophiles OH−, EtO−, and RNH2, it directly leads to PROXYLs 162 (Scheme 30) [139].
Scheme 30.
Favorskii rearrangement of bromopiperidin-4-one derivatives as the general route to pyrroline and pyrrolidine NRs.
Thus, piperidine-type SNRs can be easily transformed into SNRs of the pyrrole series; this is a very convenient method for synthesizing the latter. Let us consider an example of the application of this approach to the synthesis of various SNRs of the 3-pyrroline series, 166–175, which are promising spin labels. Stirring of amine 22b with 4 equivalent of bromine for 24 h readily results in hydrobromide 164 (Scheme 31). Rearrangement of dibromo derivative 164 in a dioxane−aqueous ammonia mixture produces amide 165, the oxidation of which with H2O2 in the presence of sodium tungstate generates paramagnetic amide 166. Due to the low solubility of nitroxide 166 in water, the hydrolysis of the amide group is carried out in a water–alcohol solution of KOH with microwave activation (165 °C), as a result of which carboxylic acid 167, a starting compound for obtaining spin labels, is synthesized with a good yield [21]. Further, starting with acid 167, the methanethiosulfonate label is synthesized in five steps, and although nitroxide 172 is poorly soluble in water, it is reported to be capable of reacting with glutathione in aqueous methanol with the formation of SNR 173, which precipitates from a concentrated aqueous solution as an individual compound (Scheme 31).
Scheme 31.
Synthesis of SNRs of the 3-pyrroline type based on the Favorskii rearrangement of dispirocyclic 3,5-dibromopiperidine.
Moreover, on the basis of acid 167, its N-hydroxysuccinimide ester 174 is obtained [21], which is applied to the synthesis of paramagnetic unnatural amino acid 175 [140] (Scheme 31) and to a novel site-directed spin labeling (SDSL) approach potentially suitable for long natural RNAs. In particular, site-specific alkylation of an RNA with the 4-[N-(2-chloroethyl-N-methyl)amino]benzyl phosphoramide derivative of oligodeoxyribonucleotide, followed by the hydrolysis of the phosphoramide bond and a release of the aliphatic amino group in a linker attached to the target nucleotide residue, creates a convenient template for spin-labeling by selective coupling of paramagnetic ester 174 to this amino group [37]. O-Mesyl derivative 170 was recently utilized to synthesize an aminomethyl spin label for binding through a flexible linker to C60 in order to apply photoexcited fullerenes as spin labels for pulsed dipolar (PD) EPR distance measurements [141].
Pyrrolidine radicals (PROXYLs) are currently some of the stablest and most robust NRs, and as a result, the most suitable for and demanded by scientists; in this regard, many synthetic approaches have been developed specifically for this class of paramagnets. Through the Favorskii rearrangement of monobromo derivative 176, carboxylic acid 177 is obtained from SNR 20 in two stages—bromination of 20 to halogenated derivative 176 and subsequent ring contraction to form SNR 177, with yields of ~60% at each subsequent step [82]. At the same time, acid 177 can be obtained by the reduction of pyrroline derivatives. Thus, the interaction of amide 166 with lithium borohydride proceeds selectively only at the double C=C bond without affecting the amide group and radical center. Alkaline hydrolysis of the reduced intermediate in aqueous alcohol leads to SNR 177 in a 67% yield (Scheme 32) [21].
Scheme 32.
Synthesis of functionalized SNRs, pyrrolidine radicals (PROXYLs), via different approaches.
The synthesized acid 177 has been actively applied to the preparation of different spin labels. For example, its succinimide derivative 178 was subjected to the synthesis of water-soluble contrast agent ORCA, a polyradical dendrimer (Figure 8), via a sequential interaction of the amino groups of the polypropyleneimine molecule with the NHS-ester of SNR 178 and then with the succinimide derivative of polyethylene glycol (Scheme 32) [82].
Figure 8.
The structure of organic radical contrast agents (ORCA) constructed by sequential conjugation of spin-label 178 and mPEG-12-NHS to a fourth-generation polypropylenimine (PPI) dendrimer (PPI-G4) with 64 terminal amine groups. Reprinted with the permission of ACS from ref. [82].
Derivative 178 has also been utilized for the synthesis of isocyanate spin label 179, which in turn is conjugated with a natural molecular UV filter, kynurenine (KN), to significantly increase its photostability in modified KN 180 (Scheme 32) [142]. Bifunctional derivatives of SNRs–PROXYLs can be prepared by nucleophilic addition to a double bond activated by the presence of an acceptor group in 3-pyrroline. In this way, amide 166 is converted into the corresponding nitrile, followed by the addition of the CN− anion resulting in a mixture of cis- and trans-dicyano derivatives 181. Both dinitriles were separated and subjected to alkaline hydrolysis in a drastic conditions (10% aq KOH, 100→150 °C, 6 d, conversion 63%), resulted in a formation of solely one product, trans-dicarboxylic acid 182 [21].
A rather unusual method for synthesizing SNR of the PROXYL series was demonstrated by Motherwell and Roberts. Spiro-nitroxide 183 is prepared by oxidative cyclization of enehydroxylamine with a silver compound. Thus, the Michael addition of methyl vinyl ketone to nitrocyclohexane 184 followed by the Wittig reaction with CH2=PPh3 leads to γ-nitroolefine 185. Reduction of the nitrocompound by Zn/NH4Cl and subsequent oxidation of enehydroxylamine 186 by Ag2CO3/celite or Ag2O allows us to obtain the target nitroxide 183 in a 30% yield. The authors suggested that the precursor of SNR 183 is open-chain monoalkyl nitroxide 187, which can undergo cyclization similarly to a certain olefinic aminium radical cation (Scheme 33) [143].
Scheme 33.
Synthesis of an SNR 183 through oxidative cyclization of an enehydroxylamine.
Two more general approaches to the synthesis of NRs of the PROXYL series, based on pyrroline nitrones, have been developed by Keana and Hideg groups.
In the first method, the key step is the Grignard addition to nitrone 188 (R1 = H). The resulting N-hydroxy intermediate is oxidized to nitrone 189, which is reacted with another Grignard reagent; this time, the oxidation of the intermediate generates stable PROXYL 190 (Scheme 34) [144]. In another method, the crucial stage is a regioselective reaction of 1,3-dipolar cycloaddition of nitrone 188 (R1 = Me) to an alkene activated by an acceptor group thereby forming isoxazolidine 191. Bicycle cleavage at the N–O bond by the Zn/AcOH reducing system and subsequent oxidation of amine 192 yields the corresponding NR 193 (Scheme 34) [145]. Next, the application of these two approaches to the synthesis of the corresponding SNRs of the PROXYL series is demonstrated in a number of examples.
Scheme 34.
Two approaches to PROXYLs based on pyrroline nitrones.
PROXYL type SNRs 198, 200, 201, and 204, possessing an adamantane part as a spiro substituent, have been obtained with the aim of their subsequent modification and use as spin labels. The base-catalyzed Michael addition of methyl vinyl ketone to 2-nitroadamantane 194 leads to γ-nitroketone 195, followed by reductive cyclization with Zn/NH4Cl to starting spirocyclic pyrroline 196 (Scheme 35).
Scheme 35.
Preparation of a synthetic block—spirocyclic pyrroline nitrone 196.
Nucleophilic addition of methyl or ethynylmagnesium bromides to nitrone 196 leads readily to hydroxylamines 197 and 199, which are then transformed into corresponding SNRs 198 and 200 by the action of MnO2. The reaction of 196 with the Grignard reagent BrMgC≡CCH2OMgBr, which is synthesized from propargyl alcohol and two equivalents of EtMgBr, leads to PROXYL 201 through the formation of an intermediate, hydroxylamine 202 (Scheme 36).
Scheme 36.
Synthesis of adamantyl-PROXYLs.
1,3-Dipolar cycloaddition of methyl acrylate with nitrone 196 occurs in an excess of the reagent upon heating in the absence of a solvent and results in isoxazolidine 203 in a 76% yield. N–O bond breakage in bicyclic compound 203, by heating in the Zn/AcOH system, allows us to obtain a sterically hindered amino alcohol, which, upon treatment with m-CPBA, is converted to corresponding SNR 204, albeit with a low yield (Scheme 36) [22].
It is worth noting that the use of a tandem Michael reaction of methyl vinyl ketone with cyclic nitro derivatives, followed by the addition of an organometallic reagent to a five-membered nitrone, is a fairly general method for constructing SNRs of the PROXYL series. In this way, Tamura et al. used the approach described above for the synthesis of mesogenic paramagnetic compounds containing a spirocyclic residue. For example, nitrocyclohexane 184 quantitatively forms adduct 205 in a reaction with methyl vinyl ketone in the presence of tetramethylguanidine (TMG). Its subsequent reduction under classic conditions (Zn/NH4Cl/EtOH) generates the product of intramolecular cyclization of an intermediate hydroxylaminoketone, spirocyclic nitrone 206. The addition of arylmagnesium bromide to heterocycle 206, followed by oxidation and desilylation without isolation of intermediates, affords target SNR 207 in a 42% yield per nitrone 206 (Scheme 37) [146].
Scheme 37.
Synthesis of an SNR of the PROXYL type with a phenolic substituent.
In continuation of this work, to obtain new all-organic ferromagnetic liquid crystal materials, a synthetic scheme based on 1,4-dinitrocyclohexane has been successfully implemented, which gives rise to cis- and trans-isomers of PROXYL-type α,α′-SNDRs 213, in which paramagnetic nuclei are separated by a rigid spirocyclic cyclohexane linker [147]. Thus, 1,4-cyclohexanedioxime 208 is oxidized in one step with a satisfactory yield to 1,4-dinitro derivative 209 using the novel system Na2MoO4/H2O2/MeCN/H2O. A reaction of 209 with methyl vinyl ketone, followed by reduction of adduct 210, produces a mixture of cis- and trans-isomers of spirocyclic dinitrone 211 in a ~3:2 ratio, which are successfully separated by chromatography. The addition of a Grignard reagent based on protected para-bromophenol to dispirocycle 211 at −78 °C proceeds stereoselectively, albeit in a low yield, and the resulting bishydroxylamines are oxidized without isolation to corresponding diradicals cis-212 and trans-212 (X = OTBDMS). Final desilylation almost quantitatively leads to bisphenols, SNDRs cis-213 and trans-213 (Scheme 38). For the synthesis of a paramagnetic discotic compound, trans-diradical 214, dinitrone 211 is treated with an excess of 4-(diethoxymethyl)phenylmagnesium bromide in THF at ambient temperature for 24 h; in this case, the yield of corresponding SNDR 212 (X = CH(OEt)2) increases up to 37%. Subsequent hydrolysis of trans-acetal 212, selective oxidation of diformyl derivative 215 to paramagnetic dicarboxylic acid 216, and the final amidation step involving amine 217 and appropriate condensation reagents (DMT-MM and N-methylmorpholine) result in α,α′-SNDR 214 (Scheme 38), showing both discotic and smectic liquid crystalline phases and manifesting superparamagnetic-like behavior [81,148].
Scheme 38.
Synthesis of α,α-SNDRs of the PROXYL type for liquid crystalline materials.
Another similar approach to the synthesis of SNRs of the PROXYL type, which contain an easily modifiable 1,3-dioxane moiety in the spiro substituent, was implemented in the work of Japanese researchers in 2019. Based on 2-bromo-2-nitropropane-1,3-diol 218, 2,2-dimethyl-5-nitro-1,3-dioxane was synthesized, and then consecutively by Michael and Grignard additions, it was transformed through intermediate nitrone 219 into 5-R-substituted SNRs 220a-g (Scheme 39) [149]. The study also described the physical properties of synthesized SNRs 220, e.g., log P and water−proton relaxivity (r1, a measure of the ability to serve as a contrast agent), and the reactivity (k2) of these species toward ascorbic acid (AsA) was evaluated. An acetal ring in SNRs 220 is capable of deprotection under acidic conditions, to form a diol analog with increased r1; thus, SNRs might enhance contrast imaging and tumor detection using these radicals might be a valid technique.
Scheme 39.
Preparation of 1,3-dioxane spiro-fused SNRs of the PROXYL type.
Chiral super sterically hindered SNR 221 is obtained by multistep synthesis via reactions of the addition of organomagnesium reagents to cyclic nitrones and intramolecular 1,3-dipolar cycloaddition of nitrones containing a terminal alkene group. (3S,4S)-3,4-Di-tert-butylpyrroline N-oxide 222 has been chosen as a starting compound because of its unique ability to enter into 1,3-dipolar cycloaddition reactions even with unactivated alkenes. It has been obtained previously in a good yield from the (R,R)-O,O′-di-tert-butyl ester of tartaric acid 223 as a result of simple four-step synthesis, including hydroxylamine-promoted cyclization of a diol ditosylate compound (Scheme 40) [150].
Scheme 40.
Multistep synthesis of chiral dispirocyclic PROXYL-type nitroxide 221.
The addition of 4-pentenylmagnesium bromide to nitrone 222 proceeds stereoselectively due to the steric effect of the bulky tert-butoxyl group at the third position on the pyrroline ring and causes the formation of N-hydroxypyrrolidine 224. Oxidation of the latter proceeds with moderate regioselectivity and is accompanied by the emergence of two isomeric nitrones 225 and 226, which are separated by column chromatography. Intramolecular cycloaddition in nitrone 225 is performed at 110 °C for 2.5 h and results in a single product, tricycle 227, in a quantitative yield. Treatment of compound 227 with m-CPBA opens the isoxazolidine part and produces aldonitrone 228, which is again subjected to a sequence of addition/oxidation reactions with quantitative formation of nitrone 229. The second regioisomer, aldonitrone 226, was also converted into spiro compound 229 during five-step transformations (226→230→231→232→233→229), including Grignard addition, oxidation, intramolecular (3 + 2)-cycloaddition, reductive cleavage of the isoxazolidine ring promoted by an low-valent titanium (LVT)-reagent, and final oxidation of the amino alcohol with H2O2/Na2WO4 (Scheme 40).
Transformation of nitrone 229 into a tricyclic product proceeds in a stereospecific manner leading exclusively to the formation of a single cycloadduct, 234, whose spatial structure has been confirmed by NMR spectroscopy. Again, treatment of 234 with a low-titanium reagent produces aminodiol 235, followed by final oxidation to a corresponding enantiomerically pure dispirocyclic radical, whose structure has been proved by X-ray analysis (Figure 9). The synthesized SNR 221, due to its very high kinetic stability (determined mainly by steric factors), shows exceptional inertness toward biological reductants [23].
Figure 9.
Crystal structure of SNR 221.
Later, the same researchers suggested that the presence of electron-withdrawing tert-butoxy groups at positions 3 and 4 of the pyrrolidine ring of 221 can strongly affect the rate of nitroxide reduction; therefore, the removal of these groups should cause a further decrease in the reduction rate of the corresponding nitroxide. In this regard, they developed a method for the synthesis of SNRs of C1-symmetric racemic 3,4-unsubstituted pyrrolidine nitroxides 236a–c with only one spiro (2-hydroxymethyl) cyclopentane moiety (Scheme 41) [151]. Before the step of oxidation of the secondary amino group to a radical in this sequence, acyl protection of the primary alcohol group (237→238) is carried out. In one case (238a, R = Me), this leads to the formation of a byproduct, SNR 239, which has a double bond in the spirocycle. In the authors’ opinion, the dehydrogenation reaction with the formation of such an unusual radical can be explained by the participation of oxammonium cation 240, a probable intermediate of the oxidation reaction.
Scheme 41.
Synthesis of PROXYL-type SNRs 236a–c.
Earlier, a curious example of the preparation of PROXYL-type nitroxide 241, spiro-fused with an isoxazoline heterocycle, was described. Namely, a study on nucleophilic reactions of 5,5-dimethyl-2-phenacylpyrroline-1-oxide 242, which is obtained by the interaction of metalated derivative 2,5,5-trimethylpyrroline 1-oxide 243 with ethyl benzoate, revealed that the treatment of nitrone 242 with hydroxylamine leads to oxime 244, which can exist in solutions in two tautomeric forms, 244 and 245, the latter being spirocyclic. Oxidation of compound 245 with MnO2 in chloroform produces SNR 241 in a high yield (Scheme 42) [152].
Scheme 42.
Formation of isoxazoline-PROXYL SNR 241.
6. 2,5-Dihydroimidazole (3-Imidazoline)-Type SNRs
In the 1970s–1990s, Volodarskii et al. developed an approach to the synthesis of nitroxyl radicals of the 2,5-dihydroimidazole series (3-imidazolines); the method consists of the condensation of 2-hydroxylaminoketones (HAKs) 246 with carbonyl compounds in the presence of ammonia or ammonium acetate, followed by conversion of an intermediate, 1-hydroxyimidazolines 247, to nitroxides 248 by means of heterogeneous or homogeneous oxidants, such as MnO2, PbO2, or Cu(OAc)2/NH3/O2 [153]. It should be noted that the condensation of HAKs with weakly reactive ketones is accompanied by the formation of dihydropyrazine 1,4-dioxides 249, i.e., byproducts of the HAK dimerization reaction catalyzed by ammonium acetate (Scheme 43) [154]. When HAKs are heated in the absence of NH4OAc, virtually no pyrazine dioxides are formed.
Scheme 43.
The general route to 3-imidazoline SNRs from 2-hydroxylaminoketones (HAKs).
The use of a cyclic ketone as a substrate in this procedure generates an SNR of the 3-imidazoline series. For instance, condensation of HAKs 246 with cyclopentanone, cyclohexanone, or heterocyclic ketones in the presence of excess NH4OAc in methanol yields 1-hydroxy derivatives 247a–g, whose subsequent oxidation with manganese dioxide (or 2,3-dichloro-5,6-dicyano-1,4-benzoquinone (DDQ) in the case of compound 247g) leads to agents of radical polymerization and paramagnetic ligands, the corresponding SNRs 248a–d [155], e–f [154], and g [156] (Scheme 43).
HAK 250 (R = H), bearing an additional functional phenolic group, has been employed for the synthesis of SNRs possessing one or two mesogenic groups. For this purpose, compounds 250 (R = H, CnH2n+1) are condensed with a cycloxexanone [157] or with its four-substituted functional derivatives, 4-(4-hydroxyphenyl)cyclohexanone [158] and 4-hydroxycyclohexanone [159]. After the oxidation of intermediate N-hydroxy derivatives to SNRs 251, the latter are acylated by means of one or two residues of 4-alkoxybenzoic acids to form corresponding paramagnetic esters 252 (one of examples is shown in Scheme 44). Three mixed triradicals 254a–c with small exchange coupling parameters (J ≪ AN) are obtained on the basis of a coupling reaction between spirofused 2,5-dihydroimidazole–type monoradical 251 and two molar equivalent of carboxylic acid derivatives 253a–c of PROXYL-, TEMPO-, or 2,5-dihydro-1H-pyrrol-type nitroxides [160]. In this case, compound 251 (R = H, X = 4-OH-C6H4), carrying two phenolic groups with different acidity, serves as a convenient template for the assembly of heteropolyradicals (Scheme 44). The longest spin–spin and spin–lattice relaxation times at 50 K have been documented for a triradical carrying two TEMPO moieties, indicating the potential usefulness of three-spin qubit models for quantum gate operations.
Scheme 44.
Synthesis of mono-, di-, and triradicals on the basis of SNR 251.
Symmetric triradicals 256a–c have been synthesized upon treatment of cyanuric chloride 255 with three equivalent of SNR 251 (X = H; O(C=O)Ar, p-C6H4-O(C=O)Ar) in an attempt to prepare liquid crystalline discotics based on s-triazine (Scheme 44). The crystal structure of triradical 256a has been determined by the X-ray diffraction method [161].
Notably, the reaction of two equivalent of HAK 250 with 1,4-cyclohexandione 157a does not yield a double-condensation product and the formation of a dispirocycle; instead, it results in a complex mixture of products forms. Therefore, to obtain di-SNDRs of the imidazoline series, a step-by-step strategy is utilized, including either the use of dioxolane protection for the diketone 157a or the oxidation of the secondary 4-hydroxy group in radical 251 (X = OH) to a keto derivative SNR. It should be noted that the second method has been shown to be more productive, especially when the Dess–Martin reagent is used, whereas the deprotection in the radical 257 has proved to be a challenging task, and only when the system “iron (III) chloride on silicagel” is employed, ketone 258 is isolated with a low yield (Scheme 45). Reduction of the radical function and condensation of the intermediate N-hydroxyketone 259 with 2-hydroxylaminoketone 250 (R = H) in an inert atmosphere (followed by oxidation of the reaction product) ensures the isolation of desired diradical 260 in the form of a mixture of cis/trans isomers in a total yield of 35% across three steps. Acylation of this mixture with 4-alkoxybenzoic acid chloride results in di-SNDRs cis-261 and trans-261, which are identified as individual isomers after chromatographic separation (Scheme 45). It is reported that the condensation reaction of HAK 250 with diamagnetic hydroxylaminoketone 259 is stereoselective because isomeric nitroxides trans-261 and cis-261 are isolated in a 3.75:1 ratio. EPR spectra of the obtained di-SNDRs stereoisomers 261 confirm their paramagnetic diradical nature and a difference in spatial structure. To determine the spatial structure of the isomers, diradical trans-261 has been reduced by Zn/NH4Cl to diamagnetic bis(hydroxylamine), in which the trans-arrangement of the heterocycles has been determined by NMR spectroscopy [162].
Scheme 45.
Synthesis of dispirocyclic diradicals of the 3-imidazoline type containing mesogenic moieties.
Kirilyuk et al. described a method for the synthesis of SNRs of the 3-imidazoline series based on the reaction of 1,2-ketoximes (isonitrosoketones) with ketones in the presence of NH4OAc in acetic acid, followed by the oxidation of the resultant cyclic aldonitrone in methanol with excess PbO2 to a stable nitroxide with two methoxy groups on the α-carbon atom near the nitroxyl group. In this manner, from ketoxime 262, SNR 264a is synthesized in a high yield by condensation with cyclohexanone and oxidation of intermediate nitrone 263a (Scheme 46) [163]. Intriguingly, the reduction of radical 264b obtained according to a similar scheme by means of the Zn/NH4Cl system is accompanied by the elimination of the methanol molecule and causes the formation of methoxynitrone 265. Prolonged exposure of 265 to manganese dioxide in ethylene glycol gives rise to SNR 266, in which the spiro moiety is a heterocycle of the 1,3-dioxolane type (Scheme 46) [164].
Scheme 46.
Formation of SNRs of the 3-imidazoline series on the basis of 2H-imidazole 1-oxides.
Recently, an approach to the synthesis of a pH-sensitive spin probe based on the SNR of the 3-imidazoline series was proposed, in which the key stages are a sequence of reactions of intramolecular 1,3-dipolar cycloaddition of alkenylnitrones of the 4H-imidazole series and an opening of the intermediate cycloadduct by an LVT reagent with the emergence of a spirocyclic hindered amine, whose standard oxidation leads to the target SNR. Thus, at the first stage, a pH-sensitive group is introduced into the molecule together with the components of the dipole and dipolarophile. For this purpose, 1-hydroxy-2,5-dihydroimidazole 267 is synthesized and oxidized (without isolation from the reaction mixture) to 4H-imidazole-3-oxide 268, whose subsequent nitrosation and the Beckmann rearrangement in oxime 269 give carbonitrile 270. Nucleophilic substitution of the cyano group in the latter leads to 5-dimethylamino-4H-imidazole-3-oxide 271 in a high yield. At the second stage, intramolecular 1,3-dipolar cycloaddition of an unactivated C=C bond in ketonitrone is carried out, and its successful implementation is favored by the presence of a suitable linker (cf. [165]). Indeed, heating of 271 in toluene at 110 °C results in a single product, 272, with a 96% yield. The opening of cycloadduct 272 under the action of an LVT reagent, followed by oxidation of spirocyclic sterically hindered amino alcohol 273 with m-CPBA, almost quantitatively yields target SNR 274 (Scheme 47) [29].
Scheme 47.
Multistep synthesis of an SNR of the 3-imidazoline type with a pH-sensitive group.
The same synthetic approach has been applied by Morozov et al. in another study [72] to obtain sterically hindered mono- and di-SNRs 275a–d for use of the latter in “living” polymerization. The interaction of aldonitrones 276a–d with 4-pentenylmagnesium bromide, oxidation of intermediates to ketonitrones, and subsequent thermal intramolecular 1,3-dipolar cycloaddition, produce tricycles 277a–d. The opening of the isoxazolidine ring in 277 is performed using either the Zn/AcOH system or an LVT reagent. The resulting amines are oxidized with m-CPBA to target SNRs 275a–d (Scheme 48).
Scheme 48.
Synthesis of functionalized SNRs on the basis of isomeric 2H- and 4H-imidazole N-oxides.
Paramagnetic 3-imidazoline 3-oxides are obtained by condensation of 2-hydroxylamino oximes 278 with ketones in the presence of NH4OAc, where the formed acyclic nitrone 279 exists in a tautomeric equilibrium with the cyclic form—1-hydroxy-3-imidazoline 3-oxide 280. The latter, when oxidized with manganese dioxide, transforms into a nitroxyl radical, thereby shifting the equilibrium toward the cyclic product. The catalytic effect of ammonium acetate is explained by the formation of a ketone imine at the first step, whose protonated form is more reactive in the nucleophilic attack of the hydroxylamino group. Thus, by this technique, SNR 281 is prepared in a high yield (Scheme 49) [166]. The same SNR 281 is obtained from 2-amino-2-methyl-1-phenylpropan-1-one oxime 282a under conditions of acid-catalyzed condensation of the latter with cyclohexanone and oxidation of intermediate aminonitrone 283 by hydrogen peroxide (Scheme 49) [167].
Scheme 49.
Synthesis of SNR from 2-hydroxylamino- and 2-amino oximes.
Aliphatic aminooxime 282b can react with triacetonamine only under harsh conditions, whereas the yield of a spirocyclic nitrone, diamine 284, is rather low. Oxidation of nitrone 284 by H2O2 leads to a different ratio of diradical 286 to mono-SNR 285, depending on the duration of incubation. Paramagnetic compounds 285 and 286 are separated by chromatography on silica (Scheme 50) [168].
Scheme 50.
Synthesis of α,γ-SNDR 286, a 3-imidazoline 3-oxide of the TEMPO type.
Another notable type of SNR is exemplified by nitroxyl radicals of the 3-imidazoline 3-oxide series, spiro-fused to the 1,3-dioxolane part at the C-2 atom. Compound 287 is prepared by sequential oxidation of 2,5-dihydroimidazole N-oxide 288 with manganese dioxide (using ethylene glycol both as a solvent and reagent) first to hydroxylamine derivative 289 (via the intermediate formation of 4H-imidazole N,N′-dioxide) and then by oxidation of diamagnetic hydroxylamine 289 by MnO2 in chloroform (Scheme 51) [169].
Scheme 51.
The oxidative route to 1,4-dioxa-6,9-diazaspiro[4.4]non-6-ene 6-oxide skeleton of an SNR.
7. 4,5-Dihydroimidazole (2-Imidazoline)-Type SNRs
Recently, the vast class of stable nitronyl nitroxyl radicals (NNRs) of the 4,5-dihydroimidazole series, introduced into practice by Ullmann et al. [170,171] and represented mostly as 4,4,5,5-tetramethyl (tetra-alkyl) derivatives, was supplemented with spirocyclic analogs (SNNRs). First, α,β-di-SNNRs were prepared by Ovcharenko et al. via five-step synthesis starting with cyclopentylbromide 290 (Scheme 52) [172]. Nucleophilic substitution of the bromine atom affords a nitro compound with a moderate yield. Remarkably, the use of iodine as an oxidant in the dimerization reaction of 291 causes a significant increase in the yield of dinitroalkane 292 (from 17% to 50%) as compared to a previously described procedure involving Pb(OAc)4 [173]. The reduction of vicinal dinitrocompound 292 by the well-known Zn/NH4Cl system and subsequent condensation of bis(hydroxylamine) sulphate 293 with heteroaromatic aldehydes, followed by the oxidation of crude N,N′-dihydroxyimidazolidine 294 with manganese dioxide or sodium periodate, afford di-SNNRs 295a–d. Based on the pyrazolyl-substituted SNR 295d, its N-ethyl derivative 296d is obtained. The resultant radicals 295a–c and 296d have been employed for the synthesis of various heterospin complexes with unusual spin transitions that are observed when temperature or pressure changes [174,175,176].
Scheme 52.
First preparation of α,β-di-spirocyclic analogs (SNNRs) of the 4,5-dihydroimidazole type.
One of the rare examples of the synthesis of an iminonitroxyl radical with a spiro junction at the β-carbon atom is demonstrated in reference [177]. Namely, condensation of 3-hydroxyamino-3-methylbutan-2-one with benzaldehyde in the presence of ammonia produces 1-hydroxy-2,5-dihydroimidazole 297, followed by metalation and subsequent interaction with ethyl benzoate, leading to enaminoketone 298. Brief oxidation of the latter with manganese dioxide (otherwise, further oxidation of the methylene moiety occurs, with the formation of dimer 300) results in 4H-imidazole 3-oxide 299 in a quantitative yield. Oximation of the latter and a reaction of the intermediate with MnO2 respectively cause the closure of the isoxazole ring and the oxidation of cyclic hydroxylamine to SNR 301 (Scheme 53).
Scheme 53.
Synthesis of β-spiro-conjugated SNR 301.
8. Imidazolidine-Type SNRs
To obtain promising pH-sensitive spin labels, Keana et al. developed a simple method for the synthesis of SNRs of the imidazolidine series having structural formulas 302 and 303 (Figure 10) [25,26,27].
Figure 10.
Structures of dimethyl and tetramethyl SNRs of the imidazolidine type.
Condensation of 1,2-diamino-2-methylpropane with cyclohexanone or N-protected piperidones 58a,d,g in the presence of PTSA generates corresponding imidazolidines 304a,d,g in a high yield. Their immediate protection by formylation with a mixed anhydride on the less sterically hindered nitrogen and the oxidation of intermediate formyl derivatives 305a,d,g with m-CPBA lead to SNRs 306a,d,g containing a formamide group. Their subsequent deprotection by hydrolysis in an aqeous–methanolic solution of KOH generates desired nitroxides 302a,b quantitatively (Scheme 54) [26,27].
Scheme 54.
Synthesis of 5,5-dimethyl–substituted SNRs of imidazolidine.
For the synthesis of SNRs of type 303, ketones 58a,d are condensed with 2,3-diamino-2,3-dimethylbutane, and the resulting imidazolidines 307a,d are oxidized with m-CPBA to corresponding nitroxides 303a,d without the use of any protective groups. Alkaline hydrolysis of the acetyl residue in SNR 303d produces diamino radical 303b (Scheme 55) [27].
Scheme 55.
Multistep synthesis of amino-functionalized SNR 303b and the first SNDR, 308.
Using nitroxide 303a, Keana et al. carried out a further sequence of transformations, which make it possible to obtain unique diradical 308 [25], whose structure has been confirmed by X-ray diffraction analysis (Figure 11). To this end, nitroxide 303a is reduced in the H2/Pd/C system to the corresponding hydroxylamine derivative, the treatment of which with AcCl/Et3N without isolation from the reaction mixture provides acyl derivative 309. Radical 310 is obtained in a high yield by the oxidation of amine 309. Careful treatment of 310 with a methanolic alkali gives N-hydroxyradical 311 in a 56% yield. Final oxidation of intermediate 311 is conducted by the bubbling of oxygen gas for 3 min through a solution of the radical in the tBuOH–tBuOK system, making it possible to obtain diradical 308 in a high yield. A specific feature of this diradical is the presence of two unpaired electrons on geminal nitroxyl groups entailing a strong exchange interaction.
Figure 11.
X-Ray structure of SNDR 308, possessing two paramagnetic centers on one carbon atom.
A similar approach was employed to synthesize a related SNDR based on a cyclic ketone, 5α-cholestan-3-one [25].
Another technique for the synthesis of imidazolidine SNRs, proposed by Reznikov, involves the addition of organolithium compounds to cyclic nitrones of the 2,5-dihydroimidazole series and allows for the introduction of substituents other than the methyl group at the C-4 atom of the imidazolidine ring. Thus, by alkylation of 5,5-dimethyl-2-spirocyclohexyl-4-phenyl- 3-imidazoline-3-oxide 283 [167] with a mixture of formic acid and formaldehyde, N-methyl derivative 312 is obtained, whose subsequent reaction with PhLi and oxidation of intermediate hydroxylamine 313 (without isolation) by MnO2 lead to nitroxide 314 with a quantitative yield (Scheme 56) [178]. On the other hand, to synthesize spirocyclic diradical 315, which cannot be obtained by direct oxidation of mono-SNR 314, a different starting substrate 280 is utilized. Treatment with phenyllithium results in a crystalline N,N′-dihydroxy derivative 316, which is oxidized by the original technique of slurrying in pentane and aging over manganese dioxide for a short period to prevent overoxidation. In contrast to tetramethyl analogs [178], evaporation or several-minute ambient-temperature incubation of a solution of diradical 315 causes its complete decomposition, which is accompanied by a release of nitrogen oxides and benzophenon formation. Apparently, the presence of two phenyl substituents and a spirocycle, which are larger than the methyl groups, creates serious steric hindrances that significantly reduce the stability of diradical 315.
Scheme 56.
Synthesis of diphenyl-substituted mono- and di-SNRs of the imidazolidine type.
Peculiar SNRs of the imidazolidine series were obtained from 1,2,2,4,5,5-hexamethyl-3-imidazoline 3-oxide 317 in a study on the possibility of CH3 group functionalization at the C-4 position of the heterocycle. Metallation of methylnitrone 317 with PhLi, followed by treatment with an arylcarboxylic acid ester, produced β-oxonitrone 318. A reaction of the latter with hydroxylamine yields oxime 319, which exists in solution in equilibrium with a spirocyclic tautomeric form, compound 320. It is not surprising that the oxidation of compound 320 by manganese dioxide gives rise to stable SNR 321 (Scheme 57). To establish the limits of applicability of the observed oxidative cyclization, reactions of nitrone 318 with other nitrogenous nucleophiles (hydrazine, semicarbazide, and thiosemicarbazide) have been investigated. It was revealed that only in the case of semicarbazide can the resulting intermediate 322 be oxidized to a stable SNR, whereas the other derivatives undergo imidazolidine ring opening under oxidation conditions. The structure of the obtained nitroxide 323 has been proved by an analysis of its EPR spectrum, which is complicated due to splitting at three nonequivalent nitrogen atoms (Figure 12), which constitutes evidence for the formation of a spiro node with the nitrogen atom attached to the α-carbon atom of the nitroxyl group [179].
Scheme 57.
Formation of α-SNRs 321 and 323 with heterocyclic spiro substituents.
Figure 12.
An EPR spectrum of SNR 323.
Sequential alkylation of nitroxides of the 3-imidazoline series 324a–d at the sp2-nitrogen atom and subsequent reduction of intermediate imidazolinium salts are another way to synthesize SNRs of the imidazolidine series. For instance, methylation of 324a–d with dimethyl sulfate and treatment of the resulting iminium salts 325a–d with sodium borohydride lead to SNRs 326a–d in 30–90% yields [155,180]. On the other hand, if the obtained iminium salt 325d–f is treated with a base, then the corresponding enamine forms, which can condense with salicylic aldehyde or 2-hydroxynaphthaldehyde, lead—due to intramolecular nucleophilic cyclization—to paramagnetic spiropyrans 327d–f (Scheme 58), which are representatives of β-SNRs and promising spin probes for biophysical studies [181].
Scheme 58.
Modification of 3-imidazoline SNRs to imidazolidine-type α- and β-SNRs.
One of the common methods for the synthesis of functionalized imidazolidine radicals containing a keto group near the amine nitrogen atom is the cyclization reaction of α-aminonitriles 111, 328 with carbonyl compounds under basic catalysis conditions, followed by oxidation of the resulting amines 329 to SNR. Thus, in particular, a large series of SNRs of the imidazolidinone series was obtained—330a–t (Scheme 59, Table 2) [182]. The resultant radicals are very stable, and no change occurred after storage at ambient temperature for several years. In the case of cyclic amines 329b,e,f,j–l,n–p,r, which contain an α-hydrogen adjacent to the secondary amino group, oxidation products are nonradicals. Alkyl derivatives of SNRs 331a,b have also been synthesized to be applied as mediators in styrene radical polymerization [183].
Scheme 59.
The general method for the preparation of imidazolidinone-type SNRs.
Table 2.
The set of spirocyclic amines 329a–t and SNRs of the imidazolidinone type 330a–t obtained in reference [182].
According to the proposed mechanism behind the cyclization reaction of α-aminonitriles with carbonyl compounds, the amino group of substrate 111 initially attacks the carbonyl carbon atom of the ketone, with the subsequent addition of a hydroxy anion to the cyano group, thus triggering cyclization with the formation of imidazolidinone 329a (Scheme 60) [184].
Scheme 60.
A plausible mechanism of imidazolidinone formation.
A slightly different approach to the synthesis of SNDR 332 of the imidazolidinone series was used in reference [77] (Scheme 61). Aminonitrile 328 (R1 + 2 = 4,4-TMP) was hydrolyzed in the presence of sulfuric acid to aminoamide 333, and subsequent acid-catalyzed cyclization of the latter in a mixture of acetone and its dimethyl ketal [185] led quantitatively to bicycle 334. Double oxidation of diamine 334 with peracetic acid resulted in diradical 332, which was employed as a monomer for constructing an electroactive paramagnetic polymer to create a rechargeable organic radical battery [77].
Scheme 61.
Synthesis of SNDR TEMPO-imidazolidinone.
Finally, an original approach to paramagnetic N-methylimidazolidinones was devised by French researchers on the basis of an ether of the simplest amino acid, glycine. Its application to a three-step process consisting of amidation, condensation, and oxidation of cyclic amine 335 resulted in aldonitrone 336 [186]. Pd-catalyzed addition of arylbromide to cyclic nitrone 336 in the presence of pivalic acid provided ketonitrone 337, and subsequent Grignard treatment and oxidation of the intermediate hydroxylamine afforded SNR 338 (Scheme 62) [187].
Scheme 62.
Synthesis of imidazolidinone-type SNR via double organometallic addition to cyclic aldonitrone.
9. Oxazolidine (DOXYL) SNRs
The main technique for the synthesis of oxazolidine nitroxyl radicals 339 (DOXYLs) is the approach developed by Keana et al. [30], which involves the condensation of a readily available 1,2-amino alcohol (2-amino-2-methylpropan-1-ol 340) with dialkyl ketones, followed by oxidation of the secondary amino group in cyclic adduct 341 with organic or inorganic peroxides (Scheme 63).
Scheme 63.
The general method for the synthesis of oxazolidine nitroxyl radicals (DOXYLs) 339.
The proposed method has been utilized to obtain spirocyclic nitroxides 342, 345 [30]; 343, 344 [188], 346 [31], and 347 [189], derivatives of cyclohexanone and 3-keto steroids (Figure 13).
Figure 13.
Examples of DOXYL-type SNRs synthesized by the method of Keana et al. The colored numbers indicate the yields—blue for the cyclic amine, and green for the radical.
Spiro-fused heterodiradical 348 is obtained by the condensation of 2,2,6,6-tetramethyl-4-piperidone 6 with amino alcohol 340 followed by simultaneous oxidation of amino groups in five- and six-membered heterocycles of 349 with the formation of α,γ-SNDR (Scheme 64, Figure 14) [190].
Scheme 64.
Synthesis of a DOXYL-TEMPO-type SNDR 348.
Figure 14.
The spatial arrangement of paramagnetic moieties in a diradical molecule 348 of the DOXYL-TEMPO type according to X-ray data [43].
Although the synthesis of symmetric SNDRs with a rigid cyclic linker of the piperidine, morpholine, pyrrolidine, and imidazoline series requires the use of an iterative, often a multistep pathway (see Scheme 13, Scheme 29, Scheme 38 and Scheme 45), the preparation of a DOXYL-type SNDR is a simple procedure, consisting of the condensation of 2 moles of an amino alcohol with 1,4-diketone with subsequent oxidation of the intermediate diamine. For example, refluxing 2-amino-2-methylpropan-1-ol 340 with 1,4-cyclohexanedione 157a in the presence of PTSA readily leads to cyclic trans-bisamine 350, the treatment of which with m-CPBA generates the trans-isomer of SNDR 351 in a 50% yield [191]. When the methyltrioxorhenium/H2O2 system is employed at the second step as an oxidizer, the diradical yield can be increased to 80%, [106], and in an Oxone/acetone mixture, this yield can reach 90% [105] (Scheme 65). An X-ray study of SNDR 351 revealed that both N-oxyl groups in the molecule are trans-diequatorial, with an intramolecular distance for the N atoms of 5.75 Å and the oxygens of 7.00 Å [192].
Scheme 65.
Two-stage synthesis of an SNDR of the DOXYL type with a cyclohexane linker.
A number of di-SNR DOXYLs 361–369 have been obtained in a similar manner when the above synthetic scheme has been applied to isomeric decalinediones 352–354, bis(4-cyclohexanone) 355, spiro[5.5]undecane-3,9-dione 356, and steroid diketones 357–360 (Table 3).
Table 3.
Structures of available homo-SNBRs of the DOXYL type.
For trispirocyclic bisnitroxide 365, which is obtained as a polarization agent for DNP [43], the relative mutual arrangement of NO groups in the biradical has been confirmed by X-ray diffraction (Figure 15) [193]. Due to the spiro junctions joining the rings, compound 365 has a rigid structure, and the odd number of spiro centers forces the nitroxide moieties to be almost orthogonal (θ, the angle between the mean planes of DOXYL moieties, is 88°).
Figure 15.
Crystal structure of biradical 365. (a) 2D, (b) 3D.
To determine whether the major contribution to the exchange in rigid diradicals is mediated by space (via a direct orbital overlap) or through the multi-sigma-bond pathway between the paramagnetic subunits, SNR DOXYL-steroid nitroxide biradical 370 has been synthesized based on a steroid molecule of isoandrololactam acetate 371 (Scheme 66). Accordingly, treatment of the latter with dimethyl sulfate gave O-methyl ether 372 and the subsequent Grignard addition to allyl magnesium bromide afforded cyclic amino alcohol 373 with a low yield [196]. Using a modified Sarret procedure (a complex of CrO3 prepared in situ with pyridine in DCM), a secondary hydroxy group was converted into a keto group and then ketoamine 374 was transformed into biradical 370 via a standard sequence, i.e., condensation with 340, followed by simultaneous oxidation of both amino groups in 375 to nitroxide moieties [197].
Scheme 66.
Introduction of two different nitroxyl groups into the steroid molecule.
Highly hydrophilic di-SNR heterodiradical Isodoxa 376 (constructed from different types of nitroxides, an Isoindoline and DOXYL nucleus, linked to each other via a rigid spirocyclic linker) was synthesized as a useful paramagnetic unit to study the formation of supramolecular polyradical structures based on triangular assemblies involving cucurbit[8]uril.
This diradical was obtained by convergent synthesis involving the reaction of a suitable functionalized SNR of the DOXYL type 377 [27] with protected isoindolinoxyl 378 before the cleavage of the protective acetyl group (Scheme 67). Isodoxa 376 is characterized by an EPR spectrum with 15 lines, and its molecular structure has been resolved by X-ray analysis (CCDC 1872438) [97].
Scheme 67.
The synthetic pathway to SNR-containing heterodiradical Isodoxa.
In addition to 2-amino-2-methylpropan-1-ol 340 being used for the synthesis of SNRs of the DOXYL type, other different 1,2-aminoalcohols prepared from simple or complex natural compounds can also participate in spirocyclization reactions. Below, we will consider examples of such syntheses.
Amino alcohol 379 based on 2-adamantanone was synthesized in several steps through intermediate 2-nitroderivative 194 [198]. Scheme 68 depicts one of the most optimal versions of its synthesis [199].
Scheme 68.
Preparation of 2-amino-2-(hydroxymethyl)adamantane.
Amino alcohol 379 is condensed in an autoclave with different ketones to obtain sterically hindered mono- and dispirooxazolidines, with subsequent oxidation with m-CPBA to obtain target Ad-conjugated SNRs 381 and 384 with low to moderate yields (Scheme 69) [200]. It should be noted that, in the case of oxazolidine 382, no corresponding SNR was obtained, possibly due to steric hindrances in the diamagnetic precursor.
Scheme 69.
Synthesis of adamantane derived DOXYL type SNRs.
SNR 385 was synthesized for use as a catalyst in living polymerization processes. Namely, 1-amino-1-cyclohexanecarboxylic acid 386 was reduced with an excess of LAH to the corresponding amino alcohol 387, followed by a reaction with cyclohexanone in the presence of TsOH, quantitatively affording amine 388 (Scheme 70). Oxidation of the latter with m-CPBA led to nitroxide 385 in a low yield [66].
Scheme 70.
Synthesis of α,α′-di-SNR 385.
The amino acid 390 required for the synthesis of 1,2-aminoalcohol can also be obtained from hydantoin, an adduct of the Bucherer–Bergs reaction [32]. In this way, on the basis of 4-piperidone 6 through the formation of spirocyclic intermediate 389, an amino alcohol, (4-amino-2,2,6,6-tetramethylpiperidin-4-yl)methanol 391, was obtained (Scheme 71). The condensation of the latter with cyclic ketones a–c and acetone d leads with high yields to diamines 392a–d; their subsequent oxidation with two equivalent of m-CPBA produces mono-SNR diradical 393d [43] and di-SNR diradicals 393a [201,202], 393b [203], and 393c [32].
Scheme 71.
Synthesis of DOXYL-TEMPO diradicals from a 4-piperidone derivative.
Via the above approach, steroid-type nitroxide 394 was obtained from 5α-cholestan-3-one 395 as a mixture of stereoisomers in a ~7:1 ratio. Isomer 394a, in which the NO bond is at the equatorial position of the cyclohexane ring, is predominant [33] (Scheme 72).
Scheme 72.
Synthesis of 5α-cholestan-3-spiro-DOXYL SNR.
Spirocyclic oxazolidinones can also serve as sources of 1,2-amino alcohols. For instance, based on camphene, chiral SNRs camphoxyls, i.e., DOXYLs, spiro-conjugated with a natural compound were obtained [204,205]. Scheme 73 presents four-step synthesis of (1R,2S,4S)-3,3-dimethylspiro[bicyclo[2.2.1]heptane-2,4′-oxazolidin]-2′-one (+)-396 [206]. (−)-Camphene is converted via hydride reduction, phosgenation, azide formation, and solvent thermolysis to an endo:exo mixture of oxazolidinones (+)-396 and (+)-397, from which (+)-396 is isolated by fractional crystallization. Alkali-promoted hydrolysis of 396 quantitatively affords corresponding amino alcohol 398. Due to the reduced activity of the amino group in 398, which is explained by the localization of the nitrogen atom at the neopentyl position, acid-catalyzed acetalization for forming the oxazolidine 399 by means of acetone fails but proceeds smoothly with 2,2-dimethoxypropane, thereby giving cyclic amine 399 in a 70% yield. Its subsequent oxidation with m-CPBA leads to camphoxyl radical (+)-400, which is isolated in a moderate yield as an orange crystalline compound, stable for at least one year when stored in a freezer. Similarly, from commercially available (−)-396, SNR (−)-400 was prepared [206]. Of note, in the case of benzophenone acetal, although cyclic amine 401 is formed in a low yield; it fails to be oxidized to the corresponding radical 402 either by m-CPBA or by dimethyldioxirane. To alleviate this problem, geminal isobutyl camphoxyl derivative 403 was prepared (Scheme 73). In this case, oxidation of 404 with m-CPBA proceeded in a 65% yield to provide 403 as a stable crystalline solid [205].
Scheme 73.
Synthesis of chiral DOXYL-type SNRs on the basis of (-)-camphene.
Another method for the synthesis of oxazolidine SNRs is the oxidation of cyclic hydroxylamines with manganese dioxide. These hydroxylamines are usually formed by the condensation of 2-hydroxylamino alcohols with ketones in the presence of ammonium acetate. The drawbacks of this method include lower availability of 2-hydroxylamino alcohols compared to 2-aminoalcohols; however, the advantages of this approach are a much shorter time of condensation with carbonyl compounds and the ease of oxidation of hydroxylamine derivatives as compared to sterically hindered amines. For example, the condensation of 2-(hydroxyamino)-2-methyl-1- phenylpropan-1-ol 405 with cyclohexanone is completed within 2 h, affording oxazolidine 406 in an 80% yield. Oxidation of the latter with MnO2 or air oxygen produces target radical 407 in a quantitative yield (Scheme 74) [166].
Scheme 74.
Synthesis of an SNR of the DOXYL type from 1,2-hydroxylamino alcohol.
It is noteworthy that the catalytic activity of ammonium acetate has also been demonstrated for the condensation of 2-amino-2-methylpropanol 340 with cyclic ketones. It is reported that refluxing of a solution of 5α-cholestan-3-one 395 with a three-fold excess of amino alcohol 340 in the presence of one equivalent of NH4OAc for 2 h results in the corresponding oxazolidine in a 70% yield [166].
10. SNRs of Other Types
In the literature, there are few reports of the synthesis of SNRs where the heterocyclic paramagnetic frame belongs to classes not described above; however, these examples, including both classic and nontraditional approaches to the synthesis of nitroxides, may prove to be useful and interesting to the reader; therefore, they are considered in a separate section.
Stable indolinone-type nitroxide radical 408 is obtained via oxidation of 1-hydroxy-2′,6′-diphenylspiro[indoline-2,4′-pyran]-3-one 409 [207]. The latter is prepared as a product of intramolecular redox photocyclization of 2,6-diphenyl-4-(o-nitrobenzylidene)-4H-pyran 410. In turn, such a pyran is easily available from a reaction of 4-methoxy–substituted pyrylium salt 411 with o-nitrophenylacetic acid 412 in the presence of a tertiary amine (Scheme 75) [208].
Scheme 75.
Pyrylium salt-based synthesis of an indolinone-type SNR conjugated with a 4H-pyran ring.
A similar SNR of the indolinone type with a quinone methide fragment, radical 413, is synthesized through oxidation of parent cyclic hydroxylamine 414, which in turn is obtained via unusual reductive cyclization of a tetrasubstituted benzophenone 415, containing an ortho-nitro group on one aromatic ring and two methoxy groups and a phenolic moiety on the other [209]. The authors of that study suggested that the most promising way to close the five-membered heterocycle is to first form intermediate nitroso derivative 416, which is captured by nucleophilic addition of the electron-rich aryl ring to the nitroso group before it can be reduced further to the corresponding hydroxylamine (Scheme 76). This case represents a rare example of reductive phenolic coupling in contrast to numerous examples of oxidative phenolic coupling. The correctness of the structural assignment of cyclic hydroxylamine 414 has been confirmed by X-ray crystallographic analysis. Moreover, the characteristics of an ESR spectrum of SNR 413 in some details resemble those of radical 408. For instance, the experimental hyperfine coupling constants that were determined for nitrogen and aromatic hydrogens in 413 and 408 are aN = 0.965 mT and 0.930 mT; aH4,7 = 0.316 mT and 0.310 mT; and aH5,6 = 0.104 mT and 0.100 mT, respectively. Furthermore, an unusual feature of the 413 spectrum is a small long-range splitting of 0.06 mT, which is due to the two dienone protons.
Scheme 76.
The route to an indolinone-type SNR with a quinone methide moiety.
Benzo[d][1,3]oxazine-type SNR 417 was obtained via three-stage synthesis from anthranilic acid [210] (Scheme 77). Nitroxide 417, although it was isolated as a crystalline red compound with melting point 88 °C, proved to be unstable at room temperature and could be preserved without decomposition only at a liquid-nitrogen temperature. A possible reason for such liability is the presence of reactive hydrogen atoms at activated para- and benzyl positions (6-H and 8-H).
Scheme 77.
First preparation of a benzo[d][1,3]oxazine-type SNR.
Triplet (S = 1) stable diradical 418 comes from the same benzoxazine family but is devoid of the shortcomings of SNR 417; 417 was synthesized relatively recently [80]. Scheme 78 illustrates a multistep route of its synthesis. In this way, dimethyl 4,6-dibromoisophtalate 419, which is prepared from 4,6-dibromo-meta-xylene, is introduced into Pd-catalyzed C–N cross-coupling with an excess of benzylamine.
Scheme 78.
Synthesis of a π-conjugated SNDR of the 1,9-diaza-3,7-dioxaanthracene type.
Subsequent reductive debenzylation of compound 420 to diamine 421 and a reaction of the latter with a large excess of MeMgBr allow us to obtain diaminodiol 422 quantitatively. Of note, double condensation of 422 with cyclohexanone in the presence of AcOH leads to cyclic diamine 423 in a 34% yield, whereas the catalysis by silica gel in the absence of an organic acid and without heating increases the yield of target product 423 at this stage to 78% [211]. By oxidation of 423 with m-CPBA, SNDR 418 is obtained with a yield of 30%. 1,9-Diaza-3,7-dioxaanthracene-1,9-dioxyl 418 and other diradicals of this series possess robust triplet ground states with strong ferromagnetic coupling and good stability under ambient conditions.
A curious SNR of the tetrahydropyrazine series, radical 424, was synthesized in a study on the reactivity of sterically encumbered 2,2,3,5,5,6-hexamethyl-2,5-dihydropyrazine N,N′-dioxide 249 (R1–3 = Me) [212]. Accordingly, when compound 249 is treated with PhLi, preferential metalation of only one of the activated methyl groups takes place; a subsequent reaction of the intermediate with ethyl benzoate causes the formation of a monoacylation product, ketone 425, with a yield of 30%. The reaction of the latter with hydroxylamine generates oxime 426, which, as in the case of pyrroline 1-oxide 244 (Scheme 42), exists in solution mainly in the form of the spirocyclic tautomeric form 427. Oxidation of spirocyclic hydroxylamine 427 with MnO2 quantitatively affords SNR 424 (Scheme 79).
Scheme 79.
Synthesis of a pyrazine-isoxazoline-type SNR.
The preparation of nitroxides capable of integration into special structures, such as fullerenes, is of interest for the design of organic ferromagnetic materials. Chinese authors found that cyclic ketones, like aldehydes, are capable of reacting with 2-aminoisobutyric acid when boiled in chlorobenzene thereby forming reactive azomethine ylide, which then reacts with the double bond of C60 (C70) in 1,3-dipolar cycloaddition to yield the final [60]-fulleropyrrolidine 428 or [70]-fulleropyrrolidine 429 [213]. Corresponding stable nitroxides annelated with fullerenes (C60, C70), 430 and 431, are obtained via the oxidation of amine derivatives 428 and 429 by an excess of m-CPBA (Scheme 80) [214].
Scheme 80.
Formation of fulleropyrrolidine SNRs via dipolar cycloaddition of azomethine ylides to fullerenes.
11. Conclusions
In this review, we tried to cover diverse approaches to the preparation of SNRs of various five- and six-membered nitrogen heterocycles, ranging from the first historical experiments up to the most recent advances involving complex transformations based on organometallic species and stereoselective synthetic methods. The preparation of SNRs containing at least one nitrogen atom and 0–2 oxygen atoms in the following heterocyclic nuclei was reviewed here; piperidine, tetrahydroquinoline, spirobiacridine, piperazine, morpholine, pyrroline, pyrrolidine, 2- and 3-imidazoline, imidazolidine, oxazolidine, and sporadic examples of the synthesis of other SNR types.
As a rule, the synthesis of SNRs consists mainly of choosing the proper method for obtaining a diamagnetic precursor because the final oxidative stage poses no special difficulties. In the synthesis of spirocyclic amines (hydroxylamines), there are several main approaches, such as (a) recyclizations of heterocycles; (b) condensations of bifunctional nitrogen-containing nucleophiles with carbonyl compounds, whereas for the synthesis of bis-nitroxides, a step-by-step strategy of molecule assembly is often chosen; and (c) the formation of a spiro junction in a multistep procedure—aldonitrone → ketonitrone with a terminal alkene function → 1,3-dipolar intramolecular cycloaddition → N-O bond breakage in the resulting adduct. Other methods of designing the SNR spiro framework, such as the Diels–Alder reaction of imines, acid-catalyzed reactions of aminonitriles, oxidative alkoxylation of nitrones, and a shift of the tautomeric equilibrium of oxime-nitrone/N-hydroxy-isoxazoline toward the ring at the oxidation step, are quite rare in the practice of SNR synthesis.
Most of the SNRs mentioned in the review were synthesized in original studies with the aim of their subsequent application in various fields of natural sciences. An upcoming review of uses of the most diverse SNRs, including functionalized ones, is expected to clarify the current situation and the place of spirocyclic nitroxides in the chemistry of materials and various biological and biochemical applications.
Author Contributions
Conceptualization, D.G.M. and E.V.Z.; writing—original draft preparation, E.V.Z. and D.G.M.; writing—review and editing, D.G.M.; supervision, D.G.M. All authors have read and agreed to the published version of the manuscript.
Funding
This research was funded by the Ministry of Science and Higher Education of Russia (project number 14.W03.31.0034).
Institutional Review Board Statement
Not applicable.
Informed Consent Statement
Not applicable.
Data Availability Statement
The data presented in this study are available on request from the corresponding author.
Conflicts of Interest
The authors declare no conflict of interest.
Abbreviations
| AMUPol | (15-{[(7-Oxyl-3,11-dioxa-7-azadispiro[5.1.5.3]hexadec-15-yl)carbamoyl][2-(2,5,8,11-tetraoxatridecan-13-ylamino)}-[3,11-dioxa-7-azadispiro[5.1.5.3]hexadec-7-yl])oxidanyl; |
| BCEDIPPA | Bis(2-cyanoethyl)-N,N-diisopropylphosphoramidite; |
| bcTol | [Bis(spirocyclohexyl-TEMPO-alcohol)urea]; |
| BINAP | 2,2′-Bis(diphenylphosphino)-1,1′-binaphthyl; |
| BMS | Borane dimethylsulfide; |
| Boc2O | Di-tert-butyl dicarbonate, (ButOCO)2O; |
| bTbK | Bis-TEMPO-bis-ketal; |
| BTC | Bis(trichloromethyl) carbonate (Triphosgene); |
| BTEAC | Benzyltriethylammonium chloride; |
| BTT | 5-(Benzylthio)-1H-tetrazole; |
| m-CPBA | meta-Chloroperoxybenzoic acid; |
| CDI | 1,1′-Carbonyldiimidazole; |
| CSA | Camphorsulfonic acid, (7,7-dimethyl-2-oxobicyclo[2.2.1]heptan-1-yl)methanesulfonic acid; |
| cyolyl-TOTAPOL | [Spirocyclohexanolyl-1-(TEMPO-4-oxy)-3-(TEMPO-4-amino)propan-2-ol]; |
| DBU | 1,8-Diazabicyclo[5.4.0]undec-7-ene; |
| DCC | N,N′-Dicyclohexylcarbodiimide; |
| DCM | Dichloromethane; |
| DDQ | 2,3-Dichloro-5,6-dicyano-1,4-benzoquinone; |
| DEER | Double electron-electron resonance; |
| DIBAL-H | Diisobutylaluminium hydride; |
| DIPEA | N,N-Diisopropylethylamine (Hünig’s base); |
| DMAP | 4-Dimethylaminopyridine; |
| DMDO | Dimethyldioxirane; |
| DME | Dimethoxyethane; |
| DMEDA | N,N′-Dimethylethylenediamine; |
| 2,6-DMP | 2,6-Dimethoxypyridine; |
| DMP | Dess–Martin periodinane (3-Oxo-1,3-dihydro-1λ5,2-benziodoxole-1,1,1-triyl triacetate); |
| DMT-MM | 4-(4,6-Dimethoxy-1,3,5-triazin-2-yl)-4-methylmorpholinium chloride; |
| DOXYL | Oxazolidine-3-oxyl; |
| EDCI | 1-Ethyl-3-(3-dimethylaminopropyl)carbodiimide; |
| EDTA-Na2 | Ethylenediaminetetraacetic acid, disodium salt; |
| Fmoc-Cl | 9-Fluorenylmethoxycarbonyl chloride; |
| Fmoc-OSu | N-(9-Fluorenylmethoxycarbonyloxy)succinimide; |
| GSH | Glutathione; |
| HAK | 2-Hydroxylaminoketones, R1-CO-CR2R3-NHOH; |
| HFIP | 1,1,1,3,3,3-Hexafluoro-2-propanol; |
| HOBt | 1-Hydroxybenzotriazole; |
| KN | Kynurenine, (S)-2-Amino-4-(2-aminophenyl)-4-oxo-butanoic acid; |
| LAH | Lithium aluminium hydride, LiAlH4; |
| LVT-reagent | Low valent titanium species; |
| MEM-Cl | 2-Methoxyethoxymethyl chloride; |
| MTO | Methyltrioxorhenium, CH3ReO3; |
| MS | Molecular sieves; |
| NBS | N-Bromosuccinimide; |
| NHS | N-Hydroxysuccinimide; |
| NMM | N-Methylmorpholine; |
| ORCA | Organic radical contrast agent; |
| PCC | Pyridinium chlorochromate; |
| PivOH | Pivalic acid; |
| PROXYL | Pyrrolidine-1-oxyl; |
| PTSA | p-Toluenesulfonic acid, TsOH; |
| PyPol | (15-{[(7-Oxyl-3,11-dioxa-7-azadispiro[5.1.5.3]hexadec-15-yl)carbamoyl]amino}-[3,11-dioxa-7-azadispiro[5.1.5.3]hexadec-7-yl])oxidanyl); |
| Ra-Ni | Raney nickel; |
| SDSL | Site-directed spin labeling; |
| TBAF | Tetra-n-butylammonium fluoride; |
| TBAHS | Tetrabutylammonium hydrogen sulfate; |
| TBDMS | tert-Butyldimethylsilyl; |
| TBTA | Tris((1-benzyl-4-triazolyl)methyl)amine; |
| TEA | Triethylamine; |
| TEKPOL | Bis-phenylcyclohexyl-TEMPO-bis-ketal; |
| TEMPO | 2,2,6,6-Tetramethylpiperidine-1-oxyl; |
| TEMPOL | 4-hydroxy-2,2,6,6-tetramethylpiperidin-1-oxyl; |
| TEMPON | 2,2,6,6-Tetramethyl-4-oxypiperidine-1-oxyl; |
| TMEDA | N,N,N′,N′-Tetramethylethylenediamine; |
| TMG | 1,1,3,3-Tetramethylguanidine; |
| TMP | 2,2,6,6-Tetramethylpiperidine; |
| TMSCN | Trimethylsilyl cyanide; |
| TMSOTf | Trimethylsilyl trifluoromethanesulfonate, CF3SO3SiMe3; |
| TMSSPh | Trimethyl(phenylthio)silane, PhS-SiMe3; |
| TOAC | 2,2,6,6-Tetramethylpiperidine-1-oxyl-4-amino-4-carboxylic acid; |
| TosMIC | Toluenesulfonylmethyl isocyanide; |
| UHP | Urea hydrogen peroxide |
References
- Lebedev, O.L.; Kazarnovskii, S.N. Catalytic oxidation of aliphatic amines with hydrogen peroxide. Zhur. Obshch. Khim. 1960, 30, 1631–1635, Chem. Abstr. 1961, 55, 7792. [Google Scholar]
- Likhtenshtein, G.I. Nitroxides: Brief History, Fundamentals, and Recent Developments; Springer Nature: Cham, Switzerland, 2020; pp. 1–316. [Google Scholar] [CrossRef]
- Likhtenshtein, G.I.; Yamauchi, J.; Nakatsuji, S.; Smirnov, A.I.; Tamura, R. Nitroxides: Applications in Chemistry, Biomedicine and Material Science; Wiley: Weinheim, Germany, 2008; pp. 1–419. [Google Scholar]
- Kokorin, A.I. Nitroxides-Theory, Experiment and Applications; IntechOpen: Rijeka, Croatia, 2012; pp. 1–436. [Google Scholar] [CrossRef]
- Karoui, H.; Le Moigne, F.; Ouari, O.; Tordo, P. Nitroxide Radicals: Properties, Synthesis and Applications. In Stable Radicals: Fundamentals and Applied Aspects of Odd-Electron Compounds; Hicks, R.G., Ed.; John Wiley & Sons Inc.: Hoboken, NJ, USA, 2010; pp. 173–229. [Google Scholar] [CrossRef]
- Brückner, C. Nitroxide-Catalyzed Alcohol Oxidations in Organic Synthesis. In Stable Radicals: Fundamentals and Applied Aspects of Odd-Electron Compounds; Hicks, R.G., Ed.; John Wiley & Sons Inc.: Hoboken, NJ, USA, 2010; pp. 433–460. [Google Scholar] [CrossRef]
- Hansen, K.-A.; Blinco, J.P. Nitroxide radical polymers-a versatile material class for high-tech applications. Polym. Chem. 2018, 9, 1479–1516. [Google Scholar] [CrossRef]
- Tretyakov, E.V.; Ovcharenko, V.I. The chemistry of nitroxide radicals in the molecular design of magnets. Russ. Chem. Rev. 2009, 78, 971–1012. [Google Scholar] [CrossRef]
- Oyaizu, K.; Nishide, N. Polyradicals in Batteries. In Encyclopedia of Radicals in Chemistry, Biology and Materials; Chatgilialoglu, C., Studer, A., Eds.; John Wiley & Sons Inc.: Hoboken, NJ, USA, 2012. [Google Scholar] [CrossRef]
- Tamura, R.; Uchida, Y.; Suzuki, K. Magnetic Properties of Organic Radical Liquid Crystals and Metallomesogens. In Handbook of Liquid Crystals: 8 Volume Set, 2nd ed.; Goodby, J.W., Collings, P.J., Kato, T., Tschierske, C., Gleeson, H.F., Raynes, P., Eds.; Wiley-VCH Verlag GmbH & Co.: Weinheim, Germany, 2014; Volume 8, Ch. 28; pp. 1–28. [Google Scholar] [CrossRef]
- Tebben, L.; Studer, A. Nitroxides: Applications in Synthesis and in Polymer Chemistry. Angew. Chem. Int. Ed. 2011, 50, 5034–5068. [Google Scholar] [CrossRef] [PubMed]
- Sciannamea, V.; Jerome, R.; Detrembleur, C. In-situ nitroxide-mediated radical polymerization (NMP) processes: Their understanding and optimization. Chem. Rev. 2008, 108, 1104–1126. [Google Scholar] [CrossRef] [PubMed]
- Bagryanskaya, E.G.; Marque, S.R.A. Scavenging of Organic C-Centered Radicals by Nitroxides. Chem. Rev. 2014, 114, 5011–5056. [Google Scholar] [CrossRef] [PubMed]
- Edeleva, M.V.; Marque, S.R.A.; Bagryanskaya, E.G. Imidazoline and imidazolidine nitroxides as controlling agents in nitroxide-mediated pseudoliving radical polymerization. Russ. Chem. Rev. 2018, 87, 328–349. [Google Scholar] [CrossRef]
- Khramtsov, V.V.; Zweier, J.L. Functional in vivo EPR Spectroscopy and Imaging Using Nitroxide and Trityl Radicals. In Stable Radicals: Fundamentals and Applied Aspects of Odd-Electron Compounds; Hicks, R.G., Ed.; John Wiley & Sons Inc.: Hoboken, NJ, USA, 2010; pp. 537–566. [Google Scholar] [CrossRef]
- Bardelang, D.; Hardy, M.; Ouari, O.; Tordo, P. Spin Labels and Spin Probes. In Encyclopedia of Radicals in Chemistry, Biology and Materials; Chatgilialoglu, C., Studer, A., Eds.; John Wiley & Sons Inc.: Hoboken, NJ, USA, 2012. [Google Scholar] [CrossRef]
- Haugland, M.M.; Lovett, J.E.; Anderson, E.A. Advances in the synthesis of nitroxide radicals for use in biomolecule spin labelling. Chem. Soc. Rev. 2018, 47, 668–680. [Google Scholar] [CrossRef]
- Lewandowski, M.; Gwozdzinski, K. Nitroxides as Antioxidants and Anticancer Drugs. Int. J. Mol. Sci. 2017, 18, 2490. [Google Scholar] [CrossRef]
- Soule, B.P.; Hyodo, F.; Matsumoto, K.; Simone, N.L.; Cook, J.A.; Krishna, M.C.; Mitchell, J.B. The chemistry and biology of nitroxide compounds. Free Rad. Biol. Med. 2007, 42, 1632–1650. [Google Scholar] [CrossRef]
- Wilcox, C.S.; Pearlman, A. Chemistry and Antihypertensive Effects of Tempol and Other Nitroxides. Pharmacol. Rev. 2008, 60, 418–469. [Google Scholar] [CrossRef] [PubMed]
- Kirilyuk, I.A.; Polienko, Y.F.; Krumkacheva, O.A.; Strizhakov, R.K.; Gatilov, Y.V.; Grigor’ev, I.A.; Bagryanskaya, E.G. Synthesis of 2,5-Bis(spirocyclohexane)-Substituted Nitroxides of Pyrroline and Pyrrolidine series, Including Thiol-Specific Spin Label: An Analogue of MTSSL with Long Relaxation Time. J. Org. Chem. 2012, 77, 8016–8027. [Google Scholar] [CrossRef] [PubMed]
- Sar, C.P.; Osz, E.; Jeko, J.; Hideg, K. Synthesis of Spiro[pyrrolidine-2,2‘-adamantane]Nitrones and Nitroxides. Synthesis 2005, 255–259. [Google Scholar] [CrossRef]
- Morozov, D.A.; Kirilyuk, I.A.; Komarov, D.A.; Goti, A.; Bagryanskaya, I.Y.; Kuratieva, N.V.; Grigor’ev, I.A. Synthesis of a Chiral C2-Symmetric Sterically Hindered Pyrrolidine Nitroxide Radical via Combined Iterative Nucleophilic Additions and Intramolecular 1,3- Dipolar Cycloadditions to Cyclic Nitrones. J. Org. Chem. 2012, 77, 10688–10698. [Google Scholar] [CrossRef] [PubMed]
- Rajca, A.; Kathirvelu, V.; Roy, S.K.; Pink, M.; Rajca, S.; Sarkar, S.; Eaton, S.S.; Eaton, G.R. A Spirocyclohexyl Nitroxide Amino Acid Spin Label for Pulsed EPR Spectroscopy Distance Measurements. Chem. Eur. J. 2010, 16, 5778–5782. [Google Scholar] [CrossRef] [PubMed]
- Keana, J.F.W.; Norton, R.S.; Morello, M.; Van Engen, D.; Clardy, J. Mononitroxides and Proximate Dinitroxides Derived by Oxidation of 2,2,4,4,5,5- Hexasubstituted Imidazolidines. A New Series of Nitroxide and Dinitroxide Spin Labels. J. Am. Chem. Soc. 1978, 100, 934–937. [Google Scholar] [CrossRef]
- Keana, J.F.W.; Acarregui, M.J.; Boyle, S.L.M. 2,2-Disubstituted-4,4-dimethylimidazolidinyl-3-oxy Nitroxides: Indicators of Aqueous Acidity through Variation of aN with pH. J. Am. Chem. Soc. 1982, 104, 827–830. [Google Scholar] [CrossRef]
- Keana, J.F.W.; Prabhu, V.S.; Shen, D.K. Synthesis of Spiro Heterocyclic Nitroxides Derived from 4-Piperidone. J. Org. Chem. 1988, 53, 2365–2367. [Google Scholar] [CrossRef]
- Okazaki, S.; Mannan, A.; Sawai, K.; Masumizu, T.; Miura, Y.; Takeshita, K. Enzymatic reduction–resistant nitroxyl spin probes with spirocyclohexyl rings. Free Rad. Res. 2007, 41, 1069–1077. [Google Scholar] [CrossRef]
- Morozov, D.A.; Kirilyuk, I.A.; Gatilov, Y.V.; Bagryanskaya, I.Y.; Bozhko, J.Y.; Komarov, D.A.; Grigor’ev, I.A. Intramolecular 1,3-Dipolar Cycloaddition of Alkenylnitrones of the 4H-Imidazole Series: Synthesis of a New Nitroxide pH-Sensitive Spin Probe. Synthesis 2010, 343–348. [Google Scholar] [CrossRef]
- Keana, J.F.W.; Keana, S.B.; Beetham, D. New versatile ketone spin label. J. Am. Chem. Soc. 1967, 89, 3055–3056. [Google Scholar] [CrossRef]
- Hubbell, W.L.; McConnell, H.M. Motion of steroid spin labels in membranes. Proc. Natl. Acad. Sci. USA 1969, 63, 16–22. [Google Scholar] [CrossRef] [PubMed]
- Keana, J.W.F.; Dinerstein, R.J. New highly anisotropic dinitroxide ketone spin label. Sensitive probe for membrane structure. J. Am. Chem. Soc. 1971, 93, 2808–2810. [Google Scholar] [CrossRef]
- Michon, P.; Rassat, A. Nitroxides. LVIII. Structure of steroidal spin labels. J. Org. Chem. 1974, 39, 2121–2124. [Google Scholar] [CrossRef] [PubMed]
- Kathirvelu, V.; Smith, C.; Parks, C.; Mannan, M.A.; Miura, Y.; Takeshita, K.; Eaton, S.S.G.; Eaton, R. Relaxation rates for spirocyclohexyl nitroxyl radicals are suitable for interspin distance measurements at temperatures up to about 125 K. Chem. Commun. 2009, 454–456. [Google Scholar] [CrossRef]
- Yu, Z.; Quine, R.W.; Rinard, G.A.; Tseitlin, M.; Elajaili, H.; Kathirvelu, V.; Clouston, L.J.; Boratyński, P.J.; Rajca, A.; Stein, R.; et al. Rapid-scan EPR of immobilized nitroxides. J. Magn. Reson. 2014, 247, 67–71. [Google Scholar] [CrossRef]
- Fielding, A.J.; Concilio, M.G.; Heaven, G.; Hollas, M.A. New Developments in Spin Labels for Pulsed Dipolar EPR. Molecules 2014, 19, 16998–17025. [Google Scholar] [CrossRef]
- Babaylova, E.S.; Ivanov, A.V.; Malygin, A.A.; Vorobjeva, M.A.; Venyaminova, A.G.; Polienko, Y.F.; Kirilyuk, I.A.; Krumkacheva, O.A.; Fedin, M.V.; Karpova, G.G.; et al. A versatile approach for site-directed spin labeling and structural EPR studies of RNAs. Org. Biomol. Chem. 2014, 12, 3129–3136. [Google Scholar] [CrossRef]
- Meyer, V.; Swanson, M.A.; Clouston, L.J.; Boratyński, P.J.; Stein, R.A.; Mchaourab, H.S.; Rajca, A.; Eaton, S.S.; Eaton, G.R. Room-Temperature Distance Measurements of Immobilized Spin-Labeled Protein by DEER/PELDOR. Biophys. J. 2015, 108, 1213–1219. [Google Scholar] [CrossRef][Green Version]
- Bagryanskaya, E.G.; Krumkacheva, O.A.; Fedin, M.V.; Marque, S.R.A. Development and Application of Spin Traps, Spin Probes, and Spin Labels. Methods Enzymol. 2015, 563, 365–396. [Google Scholar] [CrossRef]
- Haugland, M.M.; El-Sagheer, A.H.; Porter, R.J.; Peña, J.; Brown, T.; Anderson, E.A.; Lovett, J.E. 2′-Alkynylnucleotides: A Sequence- and Spin Label-Flexible Strategy for EPR Spectroscopy in DNA. J. Am. Chem. Soc. 2016, 138, 9069–9072. [Google Scholar] [CrossRef] [PubMed]
- Krumkacheva, O.; Bagryanskaya, E. EPR-based distance measurements at ambient temperature. J. Magn. Reson. 2017, 280, 117–126. [Google Scholar] [CrossRef] [PubMed]
- Matsuki, Y.; Maly, T.; Ouari, O.; Karoui, H.; Le Moigne, F.; Rizatto, E.; Lyubenova, S.; Herzfeld, J.; Prisner, T.; Tordo, P.; et al. Dynamic Nuclear Polarization with a Rigid Biradical. Angew. Chem. Int. Ed. 2009, 48, 4996–5000. [Google Scholar] [CrossRef] [PubMed]
- Ysacco, C.; Rizzato, E.; Virolleaud, M.A.; Karoui, H.; Rockenbauer, A.; Le Moigne, F.; Siri, D.; Ouari, O.; Griffin, R.G.; Tordo, P. Properties of dinitroxides for use in dynamic nuclear polarization. Phys. Chem. Chem. Phys. 2010, 12, 5841–5845. [Google Scholar] [CrossRef]
- Rossini, A.J.; Zagdoun, A.; Lelli, M.; Canivet, J.; Aguado, S.; Ouari, O.; Tordo, P.; Rosay, M.; Maas, W.E.; Copéret, C.; et al. Dynamic Nuclear Polarization Enhanced Solid-State NMR Spectroscopy of Functionalized Metal–Organic Frameworks. Angew. Chem. Int. Ed. 2012, 51, 123–127. [Google Scholar] [CrossRef]
- Zagdoun, A.; Casano, G.; Ouari, O.; Lapadula, G.; Rossini, A.J.; Lelli, M.; Baffert, M.; Gajan, D.; Veyre, L.; Maas, W.E.; et al. A Slowly Relaxing Rigid Biradical for Efficient Dynamic Nuclear Polarization Surface-Enhanced NMR Spectroscopy: Expeditious Characterization of Functional Group Manipulation in Hybrid Materials. J. Am. Chem. Soc. 2012, 134, 2284–2291. [Google Scholar] [CrossRef]
- Dane, E.L.; Corzilius, B.; Rizzato, E.; Stocker, P.; Maly, T.; Smith, A.A.; Griffin, R.G.; Ouari, O.; Tordo, P.; Swager, T.M. Rigid Orthogonal Bis-TEMPO Biradicals with Improved Solubility for Dynamic Nuclear Polarization. J. Org. Chem. 2012, 77, 1789–1797. [Google Scholar] [CrossRef]
- Kiesewetter, M.K.; Corzilius, B.; Smith, A.A.; Griffin, R.G.; Swager, T.M. Dynamic Nuclear Polarization with a Water-Soluble Rigid Biradical. J. Am. Chem. Soc. 2012, 134, 4537–4540. [Google Scholar] [CrossRef]
- Rossini, A.J.; Zagdoun, A.; Hegner, F.; Schwarzwälder, M.; Gajan, D.; Copéret, C.; Lesage, A.; Emsley, L. Dynamic Nuclear Polarization NMR Spectroscopy of Microcrystalline Solids. J. Am. Chem. Soc. 2012, 134, 16899–16908. [Google Scholar] [CrossRef]
- Salnikov, E.S.; Ouari, O.; Koers, E.; Sarrouj, H.; Franks, T.; Rosay, M.; Pawsey, S.; Reiter, C.; Bandara, P.; Oschkinat, H.; et al. Developing DNP/Solid-State NMR Spectroscopy of Oriented Membranes. Appl. Magn. Reson. 2012, 43, 91–106. [Google Scholar] [CrossRef]
- Ysacco, C.; Karoui, H.; Casano, G.; Le Moigne, F.; Combes, S.; Rockenbauer, A.; Rosay, M.; Maas, W.; Ouari, O.; Tordo, P. Dinitroxides for Solid State Dynamic Nuclear Polarization. Appl. Magn. Reson. 2012, 43, 251–261. [Google Scholar] [CrossRef]
- Blanc, F.; Sperrin, L.; Jefferson, D.A.; Pawsey, S.; Rosay, M.; Grey, C.P. Dynamic Nuclear Polarization Enhanced Natural Abundance 17O Spectroscopy. J. Am. Chem. Soc. 2013, 135, 2975–2978. [Google Scholar] [CrossRef] [PubMed]
- Zagdoun, A.; Casano, G.; Ouari, O.; Schwaerzwalder, M.; Rossini, A.J.; Aussenac, F.; Yulikov, M.; Jeschke, G.; Coperet, C.; Lesage, A.; et al. Large Molecular Weight Nitroxide Biradicals Providing Efficient Dynamic Nuclear Polarization at Temperatures up to 200 K. J. Am. Chem. Soc. 2013, 135, 12790–12797. [Google Scholar] [CrossRef] [PubMed]
- Mao, J.; Akhmetzyanov, D.; Ouari, O.; Denysenkov, V.; Corzilius, B.; Plackmeyer, J.; Tordo, P.; Prisner, T.F.; Glaubitz, C. Host−Guest Complexes as Water-Soluble High-Performance DNP Polarizing Agents. J. Am. Chem. Soc. 2013, 135, 19275–19281. [Google Scholar] [CrossRef] [PubMed]
- Van der Cruijsen, K.E.J.; Sauvée, C.; Hulse, R.E.; Weingarth, M.; Ouari, O.; Perozo, E.; Tordo, P.; Baldus, M. Biomolecular DNP-Supported NMR Spectroscopy using Site-Directed Spin Labeling. Chem. Eur. J. 2015, 21, 12971–12977. [Google Scholar] [CrossRef]
- Salnikov, E.S.; Sarrouj, H.; Reiter, C.; Aisenbrey, C.; Purea, A.; Aussenac, F.; Ouari, O.; Tordo, P.; Fedotenko, I.; Engelke, F.; et al. Solid-State NMR/Dynamic Nuclear Polarization of Polypeptides in Planar Supported Lipid Bilayers. J. Phys. Chem. B 2015, 119, 14574–14583. [Google Scholar] [CrossRef]
- Lelli, M.; Chaudhari, S.R.; Gajan, D.; Casano, G.; Rossini, A.J.; Ouari, O.; Tordo, P.; Lesage, A.; Emsley, L. Solid-State Dynamic Nuclear Polarization at 9.4 and 18.8 T from 100 K to Room Temperature. J. Am. Chem. Soc. 2015, 137, 14558–14561. [Google Scholar] [CrossRef]
- Sauvée, C.; Casano, G.; Abel, S.; Rockenbauer, A.; Akhmetzyanov, D.; Karoui, H.; Siri, D.; Aussenac, F.; Maas, W.; Weber, R.T.; et al. Tailoring of Polarizing Agents in the bTurea Series for Cross-Effect Dynamic Nuclear Polarization in Aqueous Media. Chem. Eur. J. 2016, 22, 5598–5606. [Google Scholar] [CrossRef]
- Jagtap, A.P.; Geiger, M.-A.; Stöppler, D.; Orwick-Rydmark, M.; Oschkinat, H.; Sigurdsson, S.T. bcTol: A Highly Water-Soluble Biradical for Efficient Dynamic Nuclear Polarization of Biomolecules. Chem. Commun. 2016, 52, 7020–7023. [Google Scholar] [CrossRef]
- Kubicki, D.J.; Casano, G.; Schwarzwälder, M.; Abel, S.; Sauvée, C.; Ganesan, K.; Yulikov, M.; Rossini, A.J.; Jeschke, G.; Copéret, C.; et al. Rational design of dinitroxide biradicals for efficient cross-effect dynamic nuclear polarization. Chem. Sci. 2016, 7, 550–558. [Google Scholar] [CrossRef]
- Mentink-Vigier, F.; Marin-Montesinos, I.; Jagtap, A.P.; Halbritter, T.; van Tol, J.; Hediger, S.; Lee, D.; Sigurdsson, S.T.; De Paëpe, G. Computationally Assisted Design of Polarizing Agents for Dynamic Nuclear Polarization Enhanced NMR: The AsymPol Family. J. Am. Chem. Soc. 2018, 140, 11013–11019. [Google Scholar] [CrossRef] [PubMed]
- Wisser, D.; Karthikeyan, G.; Lund, A.; Casano, G.; Karoui, H.; Yulikov, M.; Menzildjian, G.; Pinon, A.C.; Purea, A.; Engelke, F.; et al. BDPA-Nitroxide Biradicals Tailored for Efficient Dynamic Nuclear Polarization Enhanced Solid-State NMR at Magnetic Fields up to 21.1 T. J. Am. Chem. Soc. 2018, 140, 13340–13349. [Google Scholar] [CrossRef] [PubMed]
- Lund, A.; Casano, G.; Menzildjian, G.; Kaushik, M.; Stevanato, G.; Yulikov, M.; Jabbour, R.; Wisser, D.; Renom-Carrasco, M.; Thieuleux, C.; et al. TinyPols: A family of water-soluble binitroxides tailored for dynamic nuclear polarization enhanced NMR spectroscopy at 18.8 and 21.1 T. Chem. Sci. 2020, 11, 2810–2818. [Google Scholar] [CrossRef]
- Stevanato, G.; Casano, G.; Kubicki, D.J.; Rao, Y.; Hofer, L.E.; Menzildjian, G.; Karoui, H.; Siri, D.; Cordova, M.; Yulikov, M.; et al. Open and Closed Radicals: Local Geometry Around Unpaired Electrons Governs MAS DNP Performance. J. Am. Chem. Soc. 2020, 142, 16587–16599. [Google Scholar] [CrossRef] [PubMed]
- Mentink-Vigier, F. Optimizing nitroxide biradicals for cross-effect MAS-DNP: The role of g-tensors’ distance. Phys. Chem. Chem. Phys. 2020, 22, 3643–3652. [Google Scholar] [CrossRef] [PubMed]
- Berruyer, P.; Björgvinsdóttir, S.; Bertarello, A.; Stevanato, G.; Rao, Y.; Karthikeyan, G.; Casano, G.; Ouari, O.; Lelli, M.; Reiter, C.; et al. Dynamic Nuclear Polarization Enhancement of 200 at 21.15 T Enabled by 65 kHz Magic Angle Spinning. J. Phys. Chem. Lett. 2020, 11, 8386–8391. [Google Scholar] [CrossRef] [PubMed]
- Miura, Y.; Mibae, S.; Moto, H.; Nakamura, N.; Yamada, B. Controlled radical polymerization of styrene with an oxazolidinyl-N-oxyl stable free radical. Polym. Bull. 1999, 42, 17–24. [Google Scholar] [CrossRef]
- Miura, Y.; Nakamura, N.; Taniguchi, I. Low-Temperature “Living” Radical Polymerization of Styrene in the Presence of Nitroxides with Spiro Structures. Macromolecules 2001, 34, 447–455. [Google Scholar] [CrossRef]
- Huang, W.; Chiarelli, R.; Charleux, B.; Rassat, A.; Vairon, J.-P. Unique Behavior of Nitroxide Biradicals in the Controlled Radical Polymerization of Styrene. Macromolecules 2002, 35, 2305–2317. [Google Scholar] [CrossRef]
- Miura, Y.; Ichikawa, A.; Taniguchi, I. ‘Living’ radical polymerization of styrene mediated by spiro ring-substituted piperidinyl-N-oxyl radicals. The effect of the spiro rings on the control of polymerization. Polymer 2003, 44, 5187–5194. [Google Scholar] [CrossRef]
- Aldabbagh, F.; Dervan, P.; Phelan, M.; Gilligan, K.; Cunningham, D.; McArdle, P.; Zetterlund, P.B.; Yamada, B. Influence of Nitroxide Structure on the 2,5- and 2,6-Spirodicyclohexyl Substituted Cyclic Nitroxide-Mediated Free-Radical Polymerization of Styrene. J. Polym. Sci. A Polym. Chem. 2003, 41, 3892–3900. [Google Scholar] [CrossRef]
- Mannan, A.; Ichikawa, A.; Miura, Y. Living radical polymerization of styrene mediated by a piperidinyl-N-oxyl radical having very bulky substituents. Polymer 2007, 48, 743–749. [Google Scholar] [CrossRef]
- Edeleva, M.V.; Parkhomenko, D.A.; Morozov, D.A.; Dobrynin, S.A.; Trofimov, D.G.; Kanagatov, B.; Kirilyuk, I.A.; Bagryanskaya, E.G. Controlled/living polymerization of methyl methacrylate using new sterically hindered imidazoline nitroxides prepared via intramolecular 1,3-dipolar cycloaddition reaction. J. Polym. Sci. A Polym. Chem. 2014, 52, 929–943. [Google Scholar] [CrossRef]
- Jing, Y.; Mardyukov, A.; Bergander, K.; Daniliuc, C.G.; Studer, A. Synthesis of Bulky Nitroxides, Characterization, and Their Application in Controlled Radical Polymerization. Macromolecules 2014, 47, 3595–3602. [Google Scholar] [CrossRef]
- Jing, Y.; Tesch, M.; Wang, L.; Daniliuc, S.G.; Studer, A. Synthesis of a bulky nitroxide and its application in the nitroxide mediated radical polymerization. Tetrahedron 2016, 72, 7665–7671. [Google Scholar] [CrossRef]
- Zaremski, M.Y.; Odintsova, V.V. Kinetic Features of Elementary Events in the Radical Polymerization of Methyl Methacrylate under Conditions of Nitroxide-Mediated Reversible Inhibition. Polymer Sci. Ser. B 2020, 62, 1–13. [Google Scholar] [CrossRef]
- Ma, Z.; Huang, Q.; Bobbitt, J.M. Oxoammonium salts. 5. A new synthesis of hindered piperidines leading to unsymmetrical TEMPO-type nitroxides. Synthesis and enantioselective oxidations with chiral nitroxides and chiral oxoammonium salts. J. Org. Chem. 1993, 58, 4837–4843. [Google Scholar] [CrossRef]
- Nesvadba, P.; Bugnon, L.; Maire, P.; Noval, P. Synthesis of A Novel Spirobisnitroxide Polymer and its Evaluation in an Organic Radical Battery. Chem. Mater. 2010, 22, 783–788. [Google Scholar] [CrossRef]
- Ishida, T.; Ooishi, M.; Ishii, N.; Mori, H.; Nogami, T. Mono- and dinitroxide radicals from 9,9′(10H,10H’)-spirobiacridine: An approach to a D2d triplet biradical. Polyhedron 2007, 26, 1793–1799. [Google Scholar] [CrossRef]
- Kanetomo, T.; Ichihashi, K.; Enomoto, M.; Ishi da, T. Ground Triplet Spirobiradical: 2,2′,7,7′-Tetra(tert-butyl)-9,9′(10H,10′H)-spirobiacridine-10,10′-dioxyl. Org. Lett. 2019, 21, 3909–3912. [Google Scholar] [CrossRef]
- Rajca, A.; Takahashi, M.; Pink, M.; Spagnol, G.; Rajca, S. Conformationally Constrained, Stable, Triplet Ground State (S = 1) Nitroxide Diradicals. Antiferromagnetic Chains of S = 1 Diradicals. J. Am. Chem. Soc. 2007, 129, 10159–10170. [Google Scholar] [CrossRef] [PubMed]
- Sato, S.; Uchida, Y.; Tamura, R. Spin Symmetry Breaking: Superparamagnetic and Spin Glass-Like Behavior Observed in Rod-Like Liquid Crystalline Organic Compounds Contacting Nitroxide Radical Spins. Symmetry 2020, 12, 1910. [Google Scholar] [CrossRef]
- Rajca, A.; Wang, Y.; Boska, M.; Paletta, J.T.; Olankitwanit, A.; Swanson, M.A.; Mitchell, D.G.; Eaton, S.S.; Eaton, G.R.; Rajca, S. Organic Radical Contrast Agents for Magnetic Resonance Imaging. J. Am. Chem. Soc. 2012, 134, 15724–15727. [Google Scholar] [CrossRef]
- Paletta, J.T.; Pink, M.; Foley, B.; Rajca, S.; Rajca, A. Synthesis and Reduction Kinetics of Sterically Shielded Pyrrolidine Nitroxides. Org. Lett. 2012, 14, 5322–5325. [Google Scholar] [CrossRef] [PubMed]
- Sowers, M.A.; McCombs, J.R.; Wang, Y.; Paletta, J.T.; Morton, S.W.; Dreaden, E.C.; Boska, M.D.; Ottaviani, M.F.; Hammond, P.T.; Rajca, A.; et al. Redox-responsive branched-bottlebrush polymers for in vivo MRI and fluorescence imaging. Nat. Commun. 2014, 5, 5460. [Google Scholar] [CrossRef]
- Nguyen, H.V.-T.; Chen, Q.; Paletta, J.T.; Harvey, P.; Jiang, Y.; Zhang, H.; Boska, M.D.; Ottaviani, M.F.; Jasanoff, A.; Rajca, A.; et al. Nitroxide-Based Macromolecular Contrast Agents with Unprecedented Transverse Relaxivity and Stability for Magnetic Resonance Imaging of Tumors. ACS Cent. Sci. 2017, 3, 800–811. [Google Scholar] [CrossRef]
- Nguyen, H.V.-T.; Detappe, A.; Gallagher, N.; Zhang, H.; Harvey, P.; Yan, C.; Mathieu, C.; Golder, M.R.; Jiang, Y.; Ottaviani, M.F.; et al. Triply Loaded Nitroxide Brush-Arm Star Polymers Enable Metal-Free Millimetric Tumor Detection by Magnetic Resonance Imaging. ACS Nano 2018, 12, 11343–11354. [Google Scholar] [CrossRef]
- Akakuru, O.U.; Iqbal, M.Z.; Saeed, M.; Liu, C.; Paunesku, T.; Woloschak, G.; Hosmane, N.S.; Wu, A. The Transition from Metal-Based to Metal-Free Contrast Agents for T1 Magnetic Resonance Imaging Enhancement. Bioconjugate Chem. 2019, 30, 2264–2286. [Google Scholar] [CrossRef]
- Shiraishi, R.; Matsumoto, S.; Fuchi, Y.; Naganuma, T.; Yoshihara, D.; Usui, K.; Yamada, K.; Karasawa, S. Characterization and Water-Proton Longitudinal Relaxivities of Liposome-Type Radical Nanoparticles Prepared via a Supramolecular Approach. Langmuir 2020, 36, 5280–5286. [Google Scholar] [CrossRef]
- Nguyen, H.V.-T.; Detappe, A.; Harvey, P.; Gallagher, N.; Mathieu, C.; Agius, M.P.; Zavidij, O.; Wang, W.; Jiang, Y.; Rajca, A.; et al. Pro-organic radical contrast agents (“pro-ORCAs”) for real-time MRI of pro-drug activation in biological systems. Polym. Chem. 2020, 11, 4768–4779. [Google Scholar] [CrossRef]
- Bardelang, D.; Giorgi, M.; Pardanaud, C.; Hornebecq, V.; Rizzato, E.; Tordo, P.; Ouari, O. Organic multishell isostructural host–guest crystals: Fullerenes C60 inside a nitroxide open framework. Chem. Commun. 2013, 49, 3519–3521. [Google Scholar] [CrossRef] [PubMed]
- Bardelang, D.; Giorgi, M.; Hornebecq, V.; Stepanov, A.; Hardy, M.; Rizzato, E.; Monnier, V.; Zaman, B.; Chan, G.; Udachin, K.; et al. Hosting Various Guests Including Fullerenes and Free Radicals in Versatile Organic Paramagnetic bTbk Open Frameworks. Cryst. Growth Des. 2014, 14, 467–476. [Google Scholar] [CrossRef]
- Manoni, R.; Romano, F.; Casati, C.; Franchi, P.; Mezzina, E.; Lucarini, M. Synthesis and characterization of spin-labelled [2]rotaxanes containing tetrathiafulvalene and 1,5-dioxynaphthalene molecular stations. Org. Chem. Front. 2014, 1, 477–483. [Google Scholar] [CrossRef]
- Ayhan, M.M.; Casano, G.; Karoui, H.; Rockenbauer, A.; Monnier, V.; Hardy, M.; Tordo, P.; Bardelang, D.; Ouari, O. EPR Studies of the Binding Properties, Guest Dynamics, and Inner-Space Dimensions of a Water-Soluble Resorcinarene Capsule. Chem. Eur. J. 2015, 21, 16404–16410. [Google Scholar] [CrossRef]
- Casano, G.; Poulhès, F.; Tran, T.K.; Ayhan, M.M.; Karoui, H.; Siri, D.; Gaudel-Siri, A.; Rockenbauer, A.; Jeschke, G.; Bardelang, D.; et al. High binding yet accelerated guest rotation within a cucurbit[7]uril complex. Toward paramagnetic gyroscopes and rolling nanomachines. Nanoscale 2015, 7, 12143–12150. [Google Scholar] [CrossRef]
- Bleve, V.; Franchi, P.; Gualandi, L.; Romano, F.; Mezzina, E.; Lucarini, M. Synthesis and characterization of a doubly spin-labelled electrochemically driven molecular shuttle. Org. Chem. Front. 2018, 5, 1579–1585. [Google Scholar] [CrossRef]
- Ouari, O.; Bardelang, D. Nitroxide Radicals with Cucurbit[n]urils and Other Cavitands (Review). Isr. J. Chem. 2018, 58, 343–356. [Google Scholar] [CrossRef]
- Combes, S.; Tran, K.T.; Ayhan, M.M.; Karoui, H.; Rockenbauer, A.; Tonetto, A.; Monnier, V.; Charles, L.; Rosas, R.; Viel, S.; et al. Triangular Regulation of Cucurbit[8]uril 1:1 Complexes. J. Am. Chem. Soc. 2019, 141, 5897–5907. [Google Scholar] [CrossRef]
- Liu, F.; Karoui, H.; Rockenbauer, A.; Liu, S.; Ouari, O.; Bardelang, D. EPR Spectroscopy: A Powerful Tool to Analyze Supramolecular Host•Guest Complexes of Stable Radicals with Cucurbiturils. Molecules 2020, 25, 776. [Google Scholar] [CrossRef]
- Lucarini, M. Improving Spin Probe Methodologies to Investigate Supramolecular Assemblies (Minireview). Eur. J. Org. Chem. 2020, 2995–3008. [Google Scholar] [CrossRef]
- Carr, S.G.; Khoo, S.K.; Luckhurst, G.R.; Zannoni, C. On the Ordering Matrix for the Spin Probe (3-spiro[2′-N-oxyl-3′,3′-dimethyloxazolidine])-5α-cholestane, in the Nematic Mesophase of 4,4′-dimethoxyazoxybenzene. Mol. Cryst. Liq. Cryst. 1976, 35, 7–13. [Google Scholar] [CrossRef]
- Chumakova, N.A.; Yankova, T.S.; Fairfull-Smith, K.E.; Bottle, S.E.; Vorobiev, A.K. Molecular Orientational Order of Nitroxide Radicals in Liquid Crystalline Media. J. Phys. Chem. B 2014, 118, 5589–5599. [Google Scholar] [CrossRef]
- Bogdanov, A.V.; Tamura, R.; Vorobiev, A.K. Novel nitroxide biradical probe with spiro-fused rigid core for EPR determination of rotational mobility and orientational order of soft materials. Chem. Phys. Lett. 2020, 749, 137432. [Google Scholar] [CrossRef]
- Chumakova, N.A.; Vorobiev, A.K. Orientation Distribution of Molecules: Characterization and Experimental Determination by Means of Magnetic Resonance. Appl. Magn. Reson. 2020. [Google Scholar] [CrossRef]
- Keana, J.F.W. Newer aspects of the synthesis and chemistry of nitroxide spin labels. Chem. Rev. 1978, 78, 37–64. [Google Scholar] [CrossRef]
- Brik, M.E. Oxidation of secondary amines to nitroxides with oxone in aqueous buffered solution. Tetrahedron Lett. 1995, 36, 5519–5522. [Google Scholar] [CrossRef]
- Murray, R.W.; Iyanar, K. Nitroxide Synthesis Using the Methyltrioxorhenium/Hydrogen Peroxide System. Heteroatom Chem. 1998, 9, 347–350. [Google Scholar] [CrossRef]
- Geiger, M.-A.; Jagtap, A.P.; Kaushik, M.; Sun, H.; Stöppler, D.; Sigurdsson, S.T.; Corzilius, B.; Oschkinat, H. Efficiency of Water-Soluble Nitroxide Biradicals for Dynamic Nuclear Polarization in Rotating Solids at 9.4 T: bcTol-M and cyolyl-TOTAPOL as New Polarizing Agents. Chem. Eur. J. 2018, 24, 13485–13494. [Google Scholar] [CrossRef]
- Kinoshita, Y.; Yamada, K.-I.; Yamasaki, T.; Sadasue, H.; Sakai, K.; Utsumi, H. Development of novel nitroxyl radicals for controlling reactivity with ascorbic acid. Free Rad. Res. 2009, 43, 565–571. [Google Scholar] [CrossRef]
- Sakai, K.; Yamada, K.; Yamasaki, T.; Kinoshita, Y.; Mito, F.; Utsumi, H. Effective 2,6-substitution of piperidine nitroxyl radical by carbonyl compound. Tetrahedron 2010, 66, 2311–2315. [Google Scholar] [CrossRef]
- Yoshioka, T.; Higashida, S.; Murayama, K. Studies on Stable Free Radicals. VIII. The Synthesis and Oxidation of Hindered 4-Oxopiperidine Derivatives. Bull. Chem. Soc. Jpn. 1972, 45, 636–638. [Google Scholar] [CrossRef]
- Drahl, M.A.; Manpadi, M.; Williams, L.J. C-C Fragmentation: Origins and Recent Applications. Angew. Chem. Int. Ed. 2013, 52, 11222–11251. [Google Scholar] [CrossRef] [PubMed]
- Yamasaki, T.; Mito, F.; Ito, Y.; Pandian, S.; Kinoshita, Y.; Nakano, K.; Murugesan, R.; Sakai, K.; Utsumi, H.; Yamada, K. Structure–Reactivity Relationship of Piperidine Nitroxide: Electrochemical, ESR and Computational Studies. J. Org. Chem. 2011, 76, 435–440. [Google Scholar] [CrossRef] [PubMed]
- Rassat, A.; Rey, P. XXIII–Preparation d‘amino acides radicalaires et de leurs sels complexes. Bull. Chem. Soc. Fr. 1967, 3, 815–818. [Google Scholar]
- Dulog, L.; Wang, W. A Bisnitroxyl Dipeptide. Liebigs Ann. Chem. 1992, 301–303. [Google Scholar] [CrossRef]
- Crisma, M.; Deschamps, J.R.; George, C.; Flippen-Anderson, J.L.; Kaptein, B.; Broxterman, Q.B.; Moretto, A.; Oancea, S.; Jost, M.; Formaggio, F.; et al. A topographically and conformationally constrained, spin-labeled, α-amino acid: Crystallographic characterization in peptides. J. Peptide Res. 2005, 65, 564–579. [Google Scholar] [CrossRef]
- Sauvée, C.; Rosay, M.; Casano, G.; Aussenac, F.; Weber, R.T.; Ouari, O.; Tordo, P. Highly Efficient, Water-Soluble Polarizing Agents for Dynamic Nuclear Polarization at High Frequency. Angew. Chem. Int. Ed. 2013, 52, 10858–10861. [Google Scholar] [CrossRef]
- Mikhailov, B.M.; Povarov, L.S.; Grigos, V.I.; Karakhanov, R.A. Reactions of dihydrosylvan with Schiff bases. Izv. Akad. Nauk SSSR Ser. Khim. 1964, 1693–1695, Chem. Abstr. 1964, 61, 92328. [Google Scholar] [CrossRef]
- Shapiro, A.B.; Rozantsev, E.G.; Povarov, L.S.; Grigos, V.I. A new stable free radical: 4-methyl-2-spirocyclohexyl-3,4:3′,2′-tetrahydrofurano-1,2,3,4-tetrahydroquinolin-1-oxyl. Izv. Akad. Nauk SSSR Ser. Khim. 1964, 1725, Chem. Abstr. 1964, 61, 92327. [Google Scholar] [CrossRef]
- Shapiro, A.B.; Rozantsev, E.G.; Povarov, L.S.; Grigos, V.I. Paramagnetic derivatives in the series of hydrogenated quinolines. Izv. Akad. Nauk SSSR Ser. Khim. 1965, 1102–1104, Chem. Abstr. 1965, 63, 46178. [Google Scholar] [CrossRef]
- Povarov, L.S.; Shapiro, A.B.; Rozantsev, E.G. Free nitroxyl radicals based on benzoquinolines. Izv. Akad. Nauk SSSR Ser. Khim. 1966, 339–341, Chem. Abstr. 1966, 64, 92646. [Google Scholar]
- Shibaeva, R.P.; Rozenberg, L.P.; Shapiro, A.B.; Povarov, L.S. Crystal and molecular structure of 4-(spirotetrahydro-2′-furyl)-2-spirocyclohexyl-1,2,3,4-tetrahydroquinoline and a stable nitroxyl radical formed during its catalytic oxidation. Zh. Strukt. Khim. 1981, 22, 140–145. [Google Scholar]
- Lobanova, T.V.; Kasaikina, O.T.; Povarov, L.S.; Shapiro, A.B.; Gagarina, A.B. 4-Methyl-2-spirocyclohexyl-2′,3′,3,4-tetrahydrofurano-1,2,3,4-tetrahydroquinoline N-oxyl as an indicator of peroxide radicals. Dokl. AN SSSR Phys. Chem. 1979, 245, 1154–1159. [Google Scholar]
- Ooishi, M.; Seino, M.; Imachi, R.; Ishida, T.; Nogami, T. Convenient synthesis and host–guest compounds of 9,9′(10H,10′H)-spirobiacridines. Tetrahedron Lett. 2002, 43, 5521–5524. [Google Scholar] [CrossRef]
- Yamamoto, K.; Higashibayashi, S. Synthesis of Three-Dimensional Butterfly Slit-Cyclobisazaanthracenes and Hydrazinobisanthenes through One-Step Cyclodimerization and Their Properties. Chem. Eur. J. 2016, 22, 663–671. [Google Scholar] [CrossRef]
- Ichihashi, K.; Kanetomo, T.; Enomoto, M.; Ishida, T. 2,7-Di-tert-butyl-9,9′(10H,10′H)-spirobiacridine-10,10′-dioxyl as a Ground Triplet Biradical: The Role of tert-Butylation. Tetrahedron Lett. 2020. [Google Scholar] [CrossRef]
- Yoshioka, T.; Mori, E.; Murayama, K. Studies on Stable Free Radicals. XIII. Synthesis and ESR Spectral Properties of Hindered Piperazine N-Oxyls. Bull. Chem. Soc. Jpn. 1972, 45, 1855–1860. [Google Scholar] [CrossRef]
- Sudo, R.; Ichihara, S. Reactions of Alicyclic Aminonitrile. Bull. Chem. Soc. Jpn. 1963, 36, 34–37. [Google Scholar] [CrossRef]
- Lai, J.T. Hindered amines. Novel synthesis of 1,3,3,5,5-pentasubstituted 2-piperazinones. J. Org. Chem. 1980, 45, 754–755. [Google Scholar] [CrossRef]
- Lai, J.T. Hindered Amines; III. Highly Regioselective Syntheses of 1,3,3,5,5-Pentasubstituted 2-Piperazinones and their Nitroxyl Radicals. Synthesis 1981, 40–42. [Google Scholar] [CrossRef]
- Lai, J.T. Hindered Amines. 3,3,5,5-Tetrasubstituted-2-oxomorpholines and Derivatives. Synthesis 1984, 122–123. [Google Scholar] [CrossRef]
- Lai, J.T. Hindered Amines. 4-Hydroxy-1,3,5,5-pentasubstituted-2-piperazinones. Synthesis 1984, 124–125. [Google Scholar] [CrossRef]
- Bargellini, G. Azione del cloroformio e idrato sodico sui fenoli. Gazz. Chim. Ital. 1906, 36, 329–335. [Google Scholar]
- Rychnovsky, S.D.; Beauchamp, T.; Vaidyanathan, R.; Kwan, T. Synthesis of Chiral Nitroxides and an Unusual Racemization Reaction. J. Org. Chem. 1998, 63, 6363–6374. [Google Scholar] [CrossRef] [PubMed]
- Soloshonok, V.A.; Sorochinsky, A.E. Practical Methods for the Synthesis of Symmetrically α,α-Disubstituted α-Amino Acids. Synthesis 2010, 2319–2344. [Google Scholar] [CrossRef]
- Ruider, S.A.; Müller, S.; Carreira, E.M. Ring Expansion of 3-Oxetanone-Derived Spirocycles: Facile Synthesis of Saturated Nitrogen Heterocycle. Angew. Chem. Int. Ed. 2013, 52, 11908–11911. [Google Scholar] [CrossRef]
- Jackl, M.K.; Gordon, C.P.; Copéret, C.; Bode, J.W. Spirocyclic Nitroxide Biradicals: Synthesis and Evaluation as Dynamic Nuclear Polarizing Agents. Helv. Chim. Acta 2020. accepted article. [Google Scholar] [CrossRef]
- Saito, F.; Trapp, N.; Bode, J.W. Iterative Assembly of Polycyclic Saturated Heterocycles from Monomeric Building Blocks. J. Am. Chem. Soc. 2019, 141, 5544–5554. [Google Scholar] [CrossRef]
- Luescher, M.U.; Bode, J.W. Catalytic Synthesis of N-Unprotected Piperazines, Morpholines, and Thiomorpholines from Aldehydes and SnAP Reagents. Angew. Chem. Int. Ed. 2015, 54, 10884–10888. [Google Scholar] [CrossRef]
- Sosnovski, G.; Cai, Z. A Study of the Favorskii Rearrangement with 3-Bromo-4-oxo-2,2,6,6-tetramethylpiperidine-1-oxyl. J. Org. Chem. 1995, 60, 3414–3418. [Google Scholar] [CrossRef]
- Wang, Y.; Paletta, J.T.; Berg, K.; Reinhart, E.; Rajca, S.; Rajca, A. Synthesis of Unnatural Amino Acids Functionalized with Sterically Shielded Pyrroline Nitroxides. Org. Lett. 2014, 16, 5298–5300. [Google Scholar] [CrossRef]
- Krumkacheva, O.A.; Timofeev, I.O.; Politanskaya, L.V.; Polienko, Y.F.; Tretyakov, E.V.; Rogozhnikova, O.Y.; Trukhin, D.V.; Tormyshev, V.M.; Chubarov, A.S.; Bagryanskaya, E.G.; et al. Triplet Fullerenes as Prospective Spin Labels for Nanoscale Distance Measurements by Pulsed Dipolar EPR Spectroscopy. Angew. Chem. Int. Ed. 2019, 58, 13271–13275. [Google Scholar] [CrossRef] [PubMed]
- Polienko, Y.F.; Snytnikova, O.A.; Yanshole, V.V.; Chernyak, E.I.; Morozov, S.V.; Grigor’ev, I.A.; Tsentalovich, Y.P. Effect of the spacer length and nitroxide sterical shielding upon photostability of spin-labeled kynurenines. J. Photochem. Photobiol. 2016, 322–323, 76–84. [Google Scholar] [CrossRef]
- Motherwell, W.B.; Roberts, J.S. A Convenient Nitroxide Radical Synthesis. J. Chem. Soc. Chem. Commun. 1972, 328–329. [Google Scholar] [CrossRef]
- Keana, J.W.F.; Lee, T.D.; Bernard, E.M. Side-chain substituted 2,2,5,5-tetramethylpyrrolidine-N-oxyl (proxyl) nitroxides. A new series of lipid spin labels showing improved properties for the study of biological membranes. J. Am. Chem. Soc. 1976, 98, 3052–3053. [Google Scholar] [CrossRef] [PubMed]
- Sar, C.P.; Jeko, J.; Hideg, K. Synthesis of 2-Alkenyl-1-pyrrolin-1-oxides and Polysubstituted Nitrones. Synthesis 2003, 1367–1372. [Google Scholar] [CrossRef]
- Uchida, Y.; Matsuoka, N.; Takahashi, H.; Shimono, S.; Ikuma, N.; Tamura, R. Synthesis, Crystal Structure, and Magnetic Properties of 4-(2-Methyl-1-azaspiro[4.5]deca-1-oxyl-2-yl)phenol. Heterocycles 2007, 74, 607–614. [Google Scholar] [CrossRef]
- Suzuki, K.; Mazhukin, D.G.; Takahashi, H.; Yoshiaki, U.; Tamura, R.; Grigor’ev, I.A. Synthesis and Stereochemistry of Novel Rigid Nitroxide Biradicals Based on Paramagnetic Pyrrolidine Core. Heterocycles 2009, 78, 3091–3099. [Google Scholar] [CrossRef]
- Takemoto, Y.; Zaytseva, E.; Suzuki, K.; Yoshioka, N.; Takanishi, Y.; Funahashi, M.; Uchida, Y.; Akita, T.; Park, J.; Sato, S.; et al. Unique Superparamagnetic-like Behavior Observed in Non-π-delocalized Nitroxide Diradical Compounds Showing Discotic Liquid Crystalline Phase. Chem. Eur. J. 2018, 24, 17293–17302. [Google Scholar] [CrossRef]
- Shiraishi, R.; Kaneko, T.; Usui, K.; Naganuma, T.; Iizuka, N.; Morishita, K.; Kobayashi, S.; Fuchi, Y.; Matsuoka, Y.; Hirai, G.; et al. Effects of Substituents on the Properties of Metal-Free MRI Contrast Agents. ACS Omega 2019, 4, 20715–20723. [Google Scholar] [CrossRef]
- Cicchi, S.; Hold, I.; Brandi, A. New synthesis of five-membered cyclic nitrones from tartaric acid. J. Org. Chem. 1993, 115, 5274–5275. [Google Scholar] [CrossRef]
- Khoroshunova, Y.V.; Morozov, D.A.; Taratayko, A.I.; Gladkikh, P.D.; Glazachev, Y.I.; Kirilyuk, I.A. Synthesis of 1-azaspiro[4.4]nonan-1-oxyls via intramolecular 1,3-dipolar cycloaddition. Beilstein J. Org. Chem. 2019, 15, 2036–2042. [Google Scholar] [CrossRef] [PubMed]
- Reznikov, V.A.; Volodarskii, L.B. Interaction of 5,5-dimethyl-2-phenacylpyrroline 1-oxide–an exocyclic β-oxonitrone–with nucleophilic reagents. Chem. Heterocycl. Compd. 1996, 32, 652–660. [Google Scholar] [CrossRef]
- Sevast’yanova, T.K.; Volodarskii, L.B. Preparation of stable iminoxyl radicals of 3-imidazolines. Bull. Acad. Sci. USSR Div. Chem. Sci. 1972, 21, 2276–2278. [Google Scholar] [CrossRef]
- Reznikov, V.A.; Volodarskii, L.B. Synthesis of bifunctional derivatives of nitroxyl radicals of imidazoline. Chem. Heterocycl. Compd. 1990, 26, 643–648. [Google Scholar] [CrossRef]
- Zubenko, D.; Tsentalnovich, Y.; Lebedeva, N.; Kirilyuk, I.; Roshchupkina, G.; Zhurko, I.; Reznikov, V.; Marque, S.R.A.; Bagryanskaya, E. Laser Flash Photolysis and CIDNP Studies of Steric Effects on Coupling Rate Constants of Imidazolidine Nitroxide with Carbon-Centered Radicals, Methyl Isobutyrate-2-yl and tert-Butyl Propionate-2-yl. J. Org. Chem. 2006, 71, 6044–6052. [Google Scholar] [CrossRef]
- Hintermaier, F.; Volodarsky, L.B.; Polborn, K.; Beck, W. New 2,5-Dihydroimidazole-1-oxyls with Functional Side Groups (N, O, S Donors). Liebigs Ann. 1995, 2189–2194. [Google Scholar] [CrossRef]
- Zaytseva, E.V.; Gatilov, Y.V.; Amitina, S.A.; Tamura, R.; Grigor’ev, I.A.; Mazhukin, D.G. Spirocyclic 2,5-Dihydro-1H-imidazole 1-Oxyl Radicals with a Mesogenic Substituent on C4. Synthesis and Crystal Structure. Russ. J. Org. Chem. 2014, 50, 72–77. [Google Scholar] [CrossRef]
- Zaytseva, E.V.; Shernyukov, A.V.; Genaev, A.M.; Tamura, R.; Grigor’ev, I.A.; Mazhukin, D.G. New spirocyclic nitroxides of 2,5-dihydroimidazole series flanked by two mesogenic fragments. Arkivoc 2014, vi, 10–24. [Google Scholar] [CrossRef]
- Zaytseva, E.V.; Shernyukov, A.V.; Amitina, S.A.; Tamura, R.; Grigor’ev, I.A.; Mazhukin, D.G. Synthesis of diastereomeric spirocyclic nitroxyl radicals of 3-imidazoline series with two mesogenic groups. Chem. Heterocycl. Compd. 2014, 50, 1113–1125. [Google Scholar] [CrossRef]
- Zaytseva, E.; Timofeev, I.; Krumkacheva, O.; Parkhomenko, D.; Mazhukin, D.; Sato, K.; Matsuoka, H.; Takui, T.; Bagryanskaya, E. EPR and DEER Characterization of New Mixed Weakly Coupled Nitroxide Triradicals for Molecular Three-Spin Qubits. Appl. Magn. Reson. 2019, 50, 967–976. [Google Scholar] [CrossRef]
- Zaytseva, E.V.; Gatilov, Y.V.; Mazhukin, D.G. The synthesis of new functionalized 1,3,5-triazine-based stable bi- and trinitroxides of the 2,5-dihydroimidazole series. Arkivoc 2018, V, 359–374. [Google Scholar] [CrossRef]
- Zaytseva, E.V. Spirocyclic mono- and Dinitroxides of 3-Imidazoline Type as Precursors of Paramagnetic Functional Materials. Ph.D. Thesis, Novosibirsk Institute of Organic Chemistry SB RAS, Novosibirsk, Russia, 2014. [Google Scholar]
- Kirilyuk, I.A.; Grigor’ev, I.A.; Volodarskii, L.B. Synthesis of 2H-imidazole 1-oxides and stable nitroxyl radicals based on them. Russ. Chem. Bull. 1991, 40, 1871–1879. [Google Scholar] [CrossRef]
- Bakunova, S.M.; Grigor’ev, I.A.; Kirilyuk, I.A.; Volodarsky, L.B. Reduction of α,α-dialkoxy-substituted nitroxides: The synthesis of α-alkoxynitrones and acetals of N-hydroxyamides. Russ. Chem. Bull. 1999, 48, 2136–2143. [Google Scholar] [CrossRef]
- Jones, R.C.F.; Martin, J.N. Nitrones. In Synthetic Applications of 1,3-Dipolar Cycloaddition Chemistry Toward Heterocycles and Natural Products; Padwa, A., Pearson, W.H., Eds.; Wiley: New York, NY, USA, 2003; Volume 59, pp. 1–81. [Google Scholar] [CrossRef]
- Reznikov, V.A.; Volodarsky, L.B. Ammonium acetate as a catalyst of the condensation of sterically hindered functionalized hydroxylamines with ketones. Russ. Chem. Bull. 1997, 46, 1577–1581. [Google Scholar] [CrossRef]
- Martin, V.V.; Volodarskii, L.B. Synthesis and some reactions of sterically hindered 3-imidazoline 3-oxides. Chem. Heterocycl. Compd. 1979, 15, 92–98. [Google Scholar] [CrossRef]
- Grigor’ev, I.A.; Shchukin, G.I.; Volodarskii, L.B. Influence of radical center on oxidative properties of nitrone group in reaction of nitroxyl radicals of 3-imidazoline 3-oxide with hydrazine. Russ. Chem. Bull. 1983, 32, 1030–1035. [Google Scholar] [CrossRef]
- Grigor’ev, I.A.; Kirilyuk, I.A.; Starichenko, V.F.; Volodarskii, L.B. Oxidative alkoxylation of 4H-imidazole N-oxides as a new method of synthesis of stable nitroxyl radicals of the 2- and 3-imidazoline series with alkoxy groups at the α-carbon atom of the radical center. Russ. Chem. Bull. 1989, 38, 1488–1494. [Google Scholar] [CrossRef]
- Osiecki, J.H.; Ullman, E.F. Studies of Free Radicals. I. α-Nitronyl Nitroxides, a New Class of Stable Radicals. J. Am. Chem. Soc. 1968, 90, 1078–1079. [Google Scholar] [CrossRef]
- Ullman, E.F.; Osiecki, J.H.; Boocock, D.G.B.; Darcy, R. Stable free radicals. X. Nitronyl nitroxide monoradicals and biradicals as possible small molecule spin labels. J. Am. Chem. Soc. 1972, 94, 7049–7059. [Google Scholar] [CrossRef]
- Artiukhova, N.A.; Maryunina, K.Y.; Fokin, S.V.; Tretyakov, E.V.; Romanenko, G.V.; Polushkin, A.V.; Bogomyakov, A.S.; Sagdeev, R.Z.; Ovcharenko, V.I. Spirocyclic derivatives of nitronyl nitroxides in the design of heterospin CuII complexes manifesting spin transitions. Russ. Chem. Bull. 2013, 62, 2132–2140. [Google Scholar] [CrossRef]
- Kai, Y.; Knochel, P.; Kwiatkowski, S.; Dunitz, J.D.; Oth, J.F.M.; Seebach, D.; Kalinowski, H.-O. Structure, Synthesis, and Properties of Some Persubstituted 1,2-Dintroethanes-in Quest of Nitrocyclopropyl-Anion Derivatives. Helv. Chim. Acta 1982, 65, 137–161. [Google Scholar] [CrossRef]
- Tolstikov, S.E.; Artiukhova, N.A.; Romanenko, G.V.; Bogomyakov, A.S.; Zueva, E.M.; Barskaya, I.Y.; Fedin, M.V.; Maryunina, K.Y.; . Tretyakov, E.V.; Sagdeev, R.Z.; et al. Heterospin complex showing spin transition at room temperature. Polyhedron 2015, 100, 132–138. [Google Scholar] [CrossRef]
- Artiukhova, N.A.; Romanenko, G.V.; Bogomyakov, A.S.; Barskaya, I.Y.; Veber, S.L.; Fedin, M.V.; Maryunina, K.Y.; Inoue, K.; Ovcharenko, V.I. Cu(II) complex with nitronyl nitroxide whose paramagnetism is suppressed by temperature decrease and/or pressure increase. J. Mater. Chem. C 2016, 4, 11157–11163. [Google Scholar] [CrossRef]
- Artiukhova, N.; Romanenko, G.; Letyagin, G.; Bogomyakov, A.; Veber, S.; Minakova, O.; Petrova, M.; Morozov, V.; Ovcharenko, V. Spin Transition in the Cu(hfac)2 Complex with (4-Ethylpyridin-3-yl)-Substituted Nitronyl Nitroxide Caused by the “Asymmetric” Structural Rearrangement of Exchange Clusters in the Heterospin Molecule. Crystals 2019, 9, 285. [Google Scholar] [CrossRef]
- Reznikov, V.A.; Volodarsky, L.B. Synthesis and oxidation of 1-hydroxy-3(2)-imidazoline-derived enaminones. Russ. Chem. Bull. 1996, 45, 1699–1706. [Google Scholar] [CrossRef]
- Reznikov, V.A.; Volodarskii, L.B.; Spoyalov, A.P.; Dikanov, S.A. Monocyclic biradicals in the imidazolidine series. Russ. Chem. Bull. 1993, 42, 881–884. [Google Scholar] [CrossRef]
- Reznikov, V.A.; Volodarskii, L.B. Reaction of β-Oxonitrones—Imidazoline and Pyrroline Derivatives—with Nucleophilic Reagents. Chem. Heterocycl. Compd. 1991, 27, 722–728. [Google Scholar] [CrossRef]
- Kuzhelev, A.A.; Strizhakov, R.K.; Krumkacheva, O.A.; Polienko, Y.F.; Morozov, D.A.; Shevelev, G.Y.; Pyshnyi, D.V.; Kirilyuk, I.A.; Fedin, M.V.; Bagryanskaya, E.G. Room-Temperature Electron Spin Relaxation of Nitroxides Immobilized in Trehalose: Effect of Substituents Adjacent to NO-group. J. Magn. Reson. 2016, 266, 1–7. [Google Scholar] [CrossRef] [PubMed]
- Taratayko, A.I.; Rybalova, T.V.; Reznikov, V.A. Synthesis of paramagnetic spiropyran derivatives. Chem. Heterocycl. Compd. 2018, 54, 981–983. [Google Scholar] [CrossRef]
- Toda, T.; Morimura, S.; Mori, E.; Horiuchi, H.; Murayama, K. Studies on Stable Free Radicals. VI. Synthesis of Substituted 4-Imidazolidinone-1-oxyls. Bull. Chem. Soc. Jpn. 1971, 44, 3445–3450. [Google Scholar] [CrossRef]
- Dervan, P.; Aldabbagh, F.; Zetterlund, P.B.; Yamada, B. Mechanism and Kinetics of the Imidazolidinone Nitroxide Mediated Free-Radical Polymerization of Styrene. J. Polym. Sci. A Polym. Chem. 2003, 41, 327–334. [Google Scholar] [CrossRef]
- Toda, T.; Morimura, S.; Murayama, K. Studies on Stable Free Radicals. VII. The Mechanism for Cyclization Reaction of α-Amino Nitriles with Carbonyl Compounds. Bull. Chem. Soc. Jpn. 1972, 45, 557–561. [Google Scholar] [CrossRef]
- Khalaj, A.; Bazaz, R.D.; Shekarchi, M. Synthesis of novel imidazolidinones. Monatsh. Chem. 1997, 128, 395–398. [Google Scholar] [CrossRef]
- Ranieri, K.; Conradi, M.; Chavant, P.-Y.; Blandin, V.; Barner-Kowollik, C.; Junkers, T. Enhanced Spin-capturing Polymerization and Radical Coupling Mediated by Cyclic Nitrones. Aust. J. Chem. 2012, 65, 1110–1116. [Google Scholar] [CrossRef]
- López, M.C.; Royal, G.; Philouze, C.; Chavant, P.Y.; Blandin, V. Imidazolidinone Nitroxides as Catalysts in the Aerobic Oxidation of Alcohols, en Route to Atroposelective Oxidative Desymmetrization. Eur. J. Org. Chem. 2014, 4884–4896. [Google Scholar] [CrossRef]
- Michon, P.; Rassat, A. Nitroxydes XLII: Signe des couplages a longue distance, electro-protons dans des nitroxydes oxazolidiniques. Etude conformationelle par RMN. Bull. Soc. Chim. Fr. 1971, 3561–3567. [Google Scholar]
- Smith, D.L.; Spencer, T.A. Synthesis and Photolysis of Doxyl Derivatives of 5β-Androstan-3-ones. J. Heterocycl. Chem. 1979, 16, 807–809. [Google Scholar] [CrossRef]
- Ciecierska-Tworek, Z.; Van, S.P.; Griffith, O.H. Electron-electron dipolar splitting anisotropy of a dinitroxide oriented in a crystalline matrix. J. Mol. Struct. 1973, 16, 139–148. [Google Scholar] [CrossRef]
- Michon, P.; Rassat, A. Nitroxides. LXIX. 1,4-Bis(4′,4′-dimethyloxazolidine-3′-oxyl)cyclohexane structure determination by electron spin resonance and nuclear magnetic resonance. J. Am. Chem. Soc. 1975, 97, 696–700. [Google Scholar] [CrossRef]
- Gleason, W.B. 1,4-Bis(4′,4′-dimethyloxazolidine-N-oxyl)cyclohexane. Acta. Crystallogr. B Struct. Sci. Cryst. Eng. Mater. 1973, 29, 2959–2960. [Google Scholar] [CrossRef]
- Ysacco, C.; Giorgi, M.; Tordo, P.; Bardelang, D.; Ouari, O. Dinitroxide biradical crystals with polar order. Can. J. Chem. 2015, 93, 920–924. [Google Scholar] [CrossRef]
- Gleason, W.B.; Barnett, R.E. Use of the Point Dipole Approximation for Nitroxide Biradicals. J. Am. Chem. Soc. 1976, 98, 2701–2705. [Google Scholar] [CrossRef]
- Metzner, E.K.; Libertini, L.J.; Calvin, M. Electron spin exchange in rigid biradicals. J. Am. Chem. Soc. 1977, 99, 4500–4502. [Google Scholar] [CrossRef][Green Version]
- Ramasseul, R.; Rassat, A. Nitroxides XLIX: Steroidal Nitroxides. Tetrahedron Lett. 1971, 12, 4623–4624. [Google Scholar] [CrossRef]
- Metzner, K.; Libertini, L. A new steroidal biradical. Tetrahedron Lett. 1978, 16, 81–84. [Google Scholar] [CrossRef]
- Kolocouris, N.; Foscolos, G.B.; Kolocouris, A.; Marakos, P.; Pouli, N.; Fytas, G.; Ikeda, S.; De Clercq, E. Synthesis and Antiviral Activity Evaluation of Some Aminoadamantane Derivatives. J. Med. Chem. 1994, 37, 2896–2902. [Google Scholar] [CrossRef]
- Kolocouris, N.; Kolocouris, A.; Foscolos, G.B.; Fytas, G.; Neyts, J.; Padalko, E.; Balzarini, J.; Snoeck, R.; Andrei, G.; De Clercq, E. Synthesis and Antiviral Activity Evaluation of Some New Aminoadamantane Derivatives. 2. J. Med. Chem. 1996, 39, 3307–3318. [Google Scholar] [CrossRef]
- Morat, C.; Rassat, A. Syntheses d’oxazolidines substituees par l’adamantane et de nitroxydes oxazolidines stables derives de l’adamantane. Tetrahedron Lett. 1979, 19, 4561–4564. [Google Scholar] [CrossRef]
- Michon, J.; Rassat, A. Diamine et biradical nitroxide di-spiranniques et leurs procedes de preparation. Fr. Demande 1973, 2135417. [Google Scholar]
- Michon, J.; Rassat, A. Nitroxides. LIX. Rotational correlation time determination of nitroxide biradical. Application to solvation studies. J. Am. Chem. Soc. 1974, 96, 335–337. [Google Scholar] [CrossRef]
- Michon, J.; Rassat, A. Nitroxides. 73. Electron Spin Resonance Study of Chiral Recognition by Cyclodextrin. J. Am. Chem. Soc. 1979, 101, 995–996. [Google Scholar] [CrossRef]
- Braslau, R.; Kuhn, H.; Burill, L.C.; Lanham, K.; Stenland, C.J. Synthesis of Several Novel Optically Active Nitroxyl Radicals. Tetrahedron Lett. 1996, 37, 7933–7936. [Google Scholar] [CrossRef]
- Braslau, R.; Burill, L.C.; Chaplinski, V.; Howden, R.; Para, P.W. Studies in the stereoselective trapping of prochiral carbon radicals by optically active camphoxyl nitroxides. Tetrahedron Assymetry 1997, 8, 3209–3212. [Google Scholar] [CrossRef]
- Banks, M.R.; Cadogan, J.I.G.; Gosney, I.; Grant, K.J.; Hodgson, P.K.G.; Thorburn, P. Synthesis of Enantiomerically Pure (5S)-4-Aza-2-oxa-6,6-dimethyl-7,10-methylene-5-spiro[4.5]-decan-3-one, a Novel Chiral Oxazolidin-2-one from (-)-Camphene for Use as a Recyclable Chiral Auxiliary in Asymmetric Transformations. Heterocycles 1994, 37, 199–206. [Google Scholar] [CrossRef]
- Balaban, A.T.; Negoiţă, N.; Baican, R. A New Stable Spiropyranic Aminyloxide (Nitroxide). Org. Magn. Reson. 1977, 9, 553–554. [Google Scholar] [CrossRef]
- Van Allan, J.A.; Faird, S.; Reynolds, G.A.; Chang, S.C. Photochemical conversion of 4-(o-nitrobenzylidene)-4H-pyrans to 1-hydroxy-3-oxospiro[indoline-2,4′-4′H-pyran] derivatives. J. Org. Chem. 1973, 38, 2834–2838. [Google Scholar] [CrossRef]
- Forrester, A.R.; Howie, R.A.; Jabbar, A.; Lewis, J.R.; Nizami, S.S.; Rozsa, Z.; Szendrei, K. Reductive Phenolic Coupling: A Novel Intramolecular Capture of a Nitro-Intermediate Generated Through Reduction of a Nitrobenzophenone. Tetrahedron Lett. 1992, 33, 4645–4648. [Google Scholar] [CrossRef]
- Shapiro, A.B.; Medzhidov, A.A.; Rozantsev, E.G. Syntheses of free nitroxyl radicals from hydrogenated quinolines, benzoxazines, and indoles. Zh. Org. Khim. (Russ.) 1966, 2, 1873–1877. [Google Scholar]
- Spagnol, G.; Rajca, A.; Rajca, S. Efficient Synthesis of Tricyclic Benzobisoxazines by Silica Gel Catalysis. J. Org. Chem. 2007, 72, 1867–1869. [Google Scholar] [CrossRef]
- Reznikov, V.A.; Volodarsky, L.B. Interaction of heterocyclic nitrones with organometallic reagents as a method for the synthesis of new types of nitroxides. Tetrahedron 1993, 49, 10669–10692. [Google Scholar] [CrossRef]
- Zheng, D.-G.; Li, C.-W.; Li, Y.-L. The Reactivity of Aldehyde (or Ketone) and α -Amino Acid Towards the Synthetic Reaction of [60]Fulleropyrrolidine Derivative. Synth. Commun. 1998, 28, 2007–2015. [Google Scholar] [CrossRef]
- Li, Y.-L.; Xu, J.-H.; Zheng, D.-G.; Yang, J.-K.; Pan, C.-Y.; Zhu, D.-B. Synthesis and Characterization of Stable Nitroxides Based on Fullerenes (C60, C70) and their Magnetic Study. Solid State Commun. 1997, 101, 123–128. [Google Scholar] [CrossRef]
Publisher’s Note: MDPI stays neutral with regard to jurisdictional claims in published maps and institutional affiliations. |
© 2021 by the authors. Licensee MDPI, Basel, Switzerland. This article is an open access article distributed under the terms and conditions of the Creative Commons Attribution (CC BY) license (http://creativecommons.org/licenses/by/4.0/).

























































































































