Dysregulation of Catalase by a Sulphamoylated Estradiol Analogue Culminates in Antimitotic Activity and Cell Death Induction in Breast Cancer Cell Lines
Abstract
1. Introduction
2. Results
2.1. Cell Cycle Progression
2.2. Mitochondrial Membrane Potential
2.3. Antioxidant Activity
2.3.1. Superoxide Dismutase Inhibition
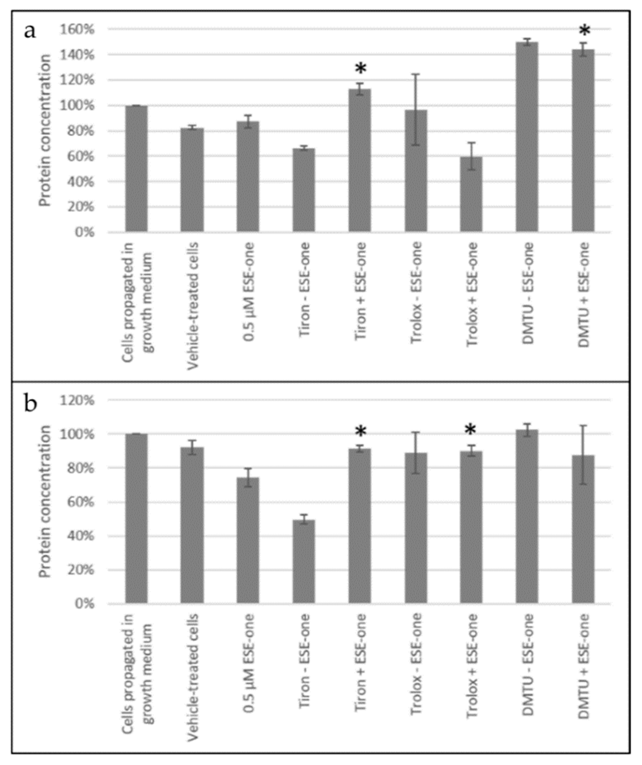
2.3.2. Catalase Activity
3. Discussion
4. Materials and Methods
4.1. Cell Lines
4.2. Reagents
4.3. Methods
4.3.1. Cell Cycle Progression
4.3.2. Mitochondrial Membrane Potential
4.3.3. Antioxidant Activity
Superoxide Dismutase Activity (Colorimetric Assay)
Catalase Activity (Enzyme Linked Immunosorbent Assay)
4.4. Statistics
5. Conclusions
Author Contributions
Funding
Institutional Review Board Statement
Informed Consent Statement
Data Availability Statement
Conflicts of Interest
Sample Availability
References
- Visagie, M.H.; Joubert, A.M. In vitro effects of 2-methoxyestradiol-bis-sulphamate on reactive oxygen species and possible apoptosis induction in a breast adenocarcinoma cell line. Cancer Cell Int. 2011, 11, 43. [Google Scholar] [CrossRef] [PubMed]
- Visagie, M.H.; Mqoco, T.; Joubert, A. Sulphamoylated estradiol analogue induces antiproliferative activity and apoptosis in breast cell lines. Cell. Mol. Biol. Lett. 2012, 17, 549–558. [Google Scholar] [CrossRef]
- Visagie, M.H.; Theron, A.; Mqoco, T.; Vieira, W.A.; Prudent, R.; Martinez, A.; Lafanechère, L.; Joubert, A. Sulphamoylated 2-methoxyestradiol analogues induce apoptosis in adenocarcinoma cell lines. PLoS ONE 2013, 8, e71935. [Google Scholar] [CrossRef] [PubMed]
- Stander, A.; Joubert, F.; Joubert, A. Docking, synthesis, and in vitro evaluation of antimitotic estrone analogs. Chem. Biol. Drug Des. 2011, 77, 173–181. [Google Scholar] [CrossRef] [PubMed]
- Visagie, M.H.; Birkholtz, L.M.; Joubert, A. 17-beta-estradiol analog inhibits cell proliferation by induction of apoptosis in breast cell lines. Microsc. Res. Tech. 2014, 77, 236–242. [Google Scholar] [CrossRef] [PubMed]
- Wolmarans, E.; Mqoco, T.; Stander, A.; Nkandeu, S.D.; Sippel, K.; McKenna, R.; Joubert, A. Novel estradiol analogue induces apoptosis and autophagy in esophageal carcinoma cells. Cell. Mol. Biol. Lett. 2014, 19, 98–115. [Google Scholar] [CrossRef]
- Visagie, M.H.; Birkholtz, L.M.; Joubert, A. A 2-methoxyestradiol bis-sulphamoylated derivative induces apoptosis in breast cell lines. Cell Biosci. 2015, 5, 19. [Google Scholar] [CrossRef] [PubMed]
- Visagie, M.H.; van der Bout, I.; Joubert, A. A bis-sulphamoylated estradiol derivative induces ROS-dependent cell cycle abnormalities and subsequent apoptosis. PLoS ONE 2017, 12, e176006. [Google Scholar] [CrossRef]
- Lebelo, M.T.; Joubert, A.M.; Visagie, M.H. Sulphamoylated estradiol analogue induces reactive oxygen species generation to exert its antiproliferative activity in breast cancer cell lines. Molecules 2020, 25, 4337. [Google Scholar] [CrossRef]
- Hasinoff, B.B.; Schnabl, K.L.; Marusak, R.A.; Patel, D.; Huebner, E. Dexrazoxane (ICRF-187) protects cardiac myocytes against doxorubicin by preventing damage to mitochondria. Cardiovasc. Toxicol. 2003, 3, 89–99. [Google Scholar] [CrossRef]
- Raobaikady, B.; Reed, M.J.; Leese, M.P.; Potter, B.V.; Purohit, A. Inhibition of MDA-MB-231 cell cycle progression and cell proliferation by C-2-substituted oestradiol mono-and bis-3-O-sulphamates. Int. J. Cancer 2005, 117, 150–159. [Google Scholar] [CrossRef] [PubMed]
- Na, H.-K.; Kim, E.-H.; Choi, M.-A.; Park, J.-M.; Kim, D.-H.; Surh, Y.-J. Diallyl trisulfide induces apoptosis in human breast cancer cells through ROS-mediated activation of JNK and AP-1. Biochem. Pharmacol. 2012, 8, 1241–1250. [Google Scholar] [CrossRef] [PubMed]
- Afonso, V.; Champy, R.; Mitrovic, D.; Collin, P.; Lomri, A. Reactive oxygen species and superoxide dismutases: Role in joint diseases. Jt. Bone Spine 2007, 74, 324–329. [Google Scholar] [CrossRef] [PubMed]
- Matés, J.M.; Sánchez-Jiménez, F.M. Role of reactive oxygen species in apoptosis: Implications for cancer therapy. Int. J. Biochem. Cell Biol. 2000, 32, 157–170. [Google Scholar] [CrossRef]
- Zhao, Y.; Li, Y.; Li, Z.; Xu, B.; Chen, P.; Yang, X. Superoxide anions modulate the performance of apelin in the paraventricular nucleus on sympathetic activity and blood pressure in spontaneously hypertensive rats. Peptides 2019, 121, 170051. [Google Scholar] [CrossRef]
- Goshev, I.; Mavrova, A.; Mihaylova, B.; Wesselinova, D. Antioxidant activity of some benzimidazole derivatives to definite tumor cell lines. J. Cancer Res. Ther. 2013, 1, 87–91. [Google Scholar]
- Lee, H.H.; Park, C.; Jeong, J.-W.; Kim, M.J.; Seo, M.J.; Kang, B.W.; Park, J.U.; Kim, G.-Y.; Choi, B.T.; Choi, Y.H.; et al. Apoptosis induction of human prostate carcinoma cells by cordycepin through reactive oxygen species-mediated mitochondrial death pathway. Int. J. Oncol. 2013, 42, 1036–1044. [Google Scholar] [CrossRef]
- Chen, T.; Wong, Y.-S. Selenocystine induces caspase-independent apoptosis in MCF-7 human breast carcinoma cells with involvement of p53 phosphorylation and reactive oxygen species generation. Int. J. Biochem. Cell Biol. 2009, 41, 666–676. [Google Scholar] [CrossRef]
- Glorieux, C.; Auquier, J.; Dejeans, N.; Sid, B.; Demoulin, J.-B.; Bertrand, L.; Bertrand, L.; Verrax, J.; Calderon, P.B. Catalase expression in MCF-7 breast cancer cells is mainly controlled by PI3K/Akt/mTor signaling pathway. Biochem. Pharm. 2014, 89, 217–223. [Google Scholar] [CrossRef]
- Li, Z.-Y.; Yang, Y.; Ming, M.; Liu, B. Mitochondrial ROS generation for regulation of autophagic pathways in cancer. Biochem. Biophys. Res. Commun. 2011, 414, 5–8. [Google Scholar] [CrossRef]
- Laurent, A.; Nicco, C.; Chéreau, C.; Goulvestre, C.; Alexandre, J.; Alves, A.; Levy, E.; Goldwasser, F.; Panis, Y.; Weill, B.; et al. Controlling tumor growth by modulating endogenous production of reactive oxygen species. Cancer Res. 2005, 65, 948–956. [Google Scholar] [PubMed]
- Pelicano, H.; Carney, D.; Huang, P. ROS stress in cancer cells and therapeutic implications. Drug Resist. Updates 2004, 7, 97–110. [Google Scholar] [CrossRef] [PubMed]
- Kim, K.-Y.; Yu, S.-N.; Lee, S.-Y.; Chun, S.-S.; Choi, Y.-L.; Park, Y.-M.; Song, C.S.; Chatterjee, B.; Ahn, S.-C. Salinomycin-induced apoptosis of human prostate cancer cells due to accumulated reactive oxygen species and mitochondrial membrane depolarization. Biochem. Biophys. Res. Com. 2011, 413, 80–86. [Google Scholar] [CrossRef] [PubMed]
- Bonnet, S.; Archer, S.L.; Allalunis-Turner, J.; Haromy, A.; Beaulieu, C.; Thompson, R.; Lee, C.T.; Lopaschuck, G.D.; Puttagunta, L.; Bonnet, S.; et al. A mitochondria-K+ channel axis is suppressed in cancer and its normalization promotes apoptosis and inhibits cancer growth. Cancer Cell 2007, 11, 37–51. [Google Scholar] [CrossRef] [PubMed]
- Zhu, Y.Y.; Huang, H.Y.; Wu, Y.L. Anticancer and apoptotic activities of oleanolic acid are mediated through cell cycle arrest and disruption of mitochondrial membrane potential in HepG2 human hepatocellular carcinoma cells. Mol. Med. Rep. 2015, 12, 5012–5018. [Google Scholar] [CrossRef] [PubMed]
- Chavez, K.J.; Garimella, S.V.; Lipkowitz, S. Triple negative breast cancer cell lines: One tool in the search for better treatment of triple negative breast cancer. Breast Dis. 2010, 32, 35–48. [Google Scholar] [CrossRef] [PubMed]
- Mota, A.L.; Evangelista, A.F.; Macedo, T.; Oliveira, R.; Scapulatempo-Neto, C.; Vieira, R.A.; Marques, M.M.C. Molecular characterization of reast cancer cell lines by clinical immunohistochemical markers. Oncol. Lett. 2017, 13, 4708–4712. [Google Scholar]
- Moos, P.J.; Chung, K.; Woessner, D.; Honeggar, M.; Cutler, N.S.; Veranth, J.M. ZnO particulate matter requires cell contact for toxicity in human colon cancer cells. Chem. Res. Toxicol. 2010, 23, 733–739. [Google Scholar] [CrossRef]
- Honeggar, M.; Beck, R.; Moos, P.J. Thioredoxin reductase 1 ablation sensitizes colon cancer cells to methylseleninate-mediated cytotoxicity. Toxicol. Appl. Pharm. 2009, 241, 348–355. [Google Scholar] [CrossRef] [PubMed]
- NavaneethaKrishnan, S.; Rosales, J.L.; Lee, K.-Y. Loss of Cdk5 in breast cancer cells promotes ROS-mediated cell death through dysregulation of the mitochondrial permeability transition pore. Oncogene 2018, 37, 1788–1804. [Google Scholar] [CrossRef]
- Brand, M.D. Mitochondrial generation of superoxide and hydrogen peroxide as the source of mitochondrial redox signaling. Free Rad. Biol. Med. 2016, 100, 14. [Google Scholar] [CrossRef] [PubMed]
- Peskin, A.V.; Winterbourn, C.C. A microtiter plate assay for superoxide dismutase using a water-soluble tetrazolium salt (WST-1). Clin. Chim. Acta 2000, 293, 157–166. [Google Scholar] [CrossRef]
- Carocho, M.; Ferreira, I.C. A review on antioxidants, prooxidants and related controversy: Natural and synthetic compounds, screening and analysis methodologies and future perspectives. Food Chem. Toxicol. 2013, 51, 15–25. [Google Scholar] [CrossRef] [PubMed]







| MCF-7 24 h Exposure | ||||
|---|---|---|---|---|
| Sub-G1 | G1 | S-Phase | G2/M | |
| Cells cultured in complete growth medium | 1.82 ± 0.16 | 68.98 ± 0.12 | 11.8 ± 1.79 | 18.19 ± 0.59 |
| Vehicle-treated cells | 1.68 ± 0.13 | 63.7 ± 2.46 | 11.59 ± 1.71 | 22.59 ± 0.14 |
| ESE-one only | 17.23 ± 2.65 | 23.83 ± 0.83 | 11.61 ± 0.96 | 47.82 ± 3.44 |
| Tiron − ESE-one | 2.45 ± 0.65 | 74.16 ± 2.83 | 8.62 ± 1.14 | 14.13 ± 1.97 |
| Tiron + ESE-one | 13.47 ± 2.5 | 50.52 ± 3.64 | 12.97 ± 3.27 | 16.94 ± 1.13 * |
| Trolox − ESE-one | 1.52 ± 0.40 | 62.83 ± 1.81 | 11.45 ± 1.23 | 24.44 ± 2.33 |
| Trolox + ESE-one | 23.68 ± 3.49 | 31.57 ± 3.30 | 13.13 ± 2.05 | 23.89 ± 3.84 * |
| DMTU − ESE-one | 3.42 ± 1.02 | 69.09 ± 1.85 | 11.11 ± 1.33 | 17.68 ± 1.24 |
| DMTU + ESE-one | 10.65 ± 1.42 | 28.61 ± 1.13 | 12.0 ± 0.69 | 49.11 ± 0.82 |
| MDA-MB-231 24 h Exposure | ||||
|---|---|---|---|---|
| Sub-G1 | G1 | S-Phase | G2/M | |
| Cells cultured in complete growth medium | 0.50 ± 0.14 | 67.79 ± 0.23 | 11.45 ± 0.39 | 20.15 ± 0.52 |
| Vehicle-treated cells | 0.58 ± 0.11 | 68.10 ± 2.14 | 12.71 ± 2.20 | 18.51 ± 1.71 |
| ESE-one only | 25.72 ± 1.62 | 7.57 ± 1.33 | 8.18 ± 1.62 | 59.0. ± 4.62 |
| Tiron − ESE-one | 3.45 ± 0.88 | 71.57 ± 3.90 | 9.85 ± 1.45 | 13.42 ± 1.80 |
| Tiron + ESE-one | 15.21 ± 1.57 * | 28.25 ± 2.44 | 17.50 ± 2.19 | 41.99 ± 1.76 * |
| Trolox − ESE-one | 2.68 ± 0.87 | 71.76 ± 3.95 | 6.67 ± 0.87 | 22.13 ± 1.37 |
| Trolox + ESE-one | 27.48 ± 2.56 | 16.95 ± 1.29 | 6.94 ± 1.02 | 42.98 ± 1.69 * |
| DMTU − ESE-one | 3.07 ± 1.11 | 62.76 ± 2.96 | 11.23 ± 1.05 | 21.60 ± 0.55 |
| DMTU + ESE-one | 15.73 ± 2.18 * | 12.26 ± 0.81 | 8.35 ± 0.21 | 56.55 ± 4.21 |
| MCF-7 48 h Exposure | ||||
|---|---|---|---|---|
| Sub-G1 | G1 | S-Phase | G2/M | |
| Cells cultured in complete growth medium | 1.31 ± 0.08 | 83.55 ± 2.14 | 5.68 ± 0.30 | 11.5 ± 1.68 |
| Vehicle-treated cells | 1.32 ± 0.11 | 84.69 ± 0.82 | 5.55 ± 0.67 | 8.73 ± 0.55 |
| ESE-one only | 65.30 ± 0.28 | 22.57 ± 0.86 | 4.18 ± 0.04 | 7.81 ± 0.59 |
| Tiron − ESE-one | 8.27 ± 0.11 | 83.77 ± 0.35 | 3.85 ± 0.42 | 3.58 ± 0.45 |
| Tiron + ESE-one | 28.27 ± 1.31 * | 34.77 ± 1.65 | 12.08 ± 1.27 | 23.52 ± 1.51 * |
| Trolox − ESE-one | 1.17 ± 0.01 | 67.94 ± 0.00 | 6.14 ± 0.52 | 20.76 ± 0.34 |
| Trolox + ESE-one | 54.80 ± 3.69 * | 23.03 ± 0.65 | 8.66 ± 0.42 | 14.39 ± 2.48 |
| DMTU − ESE-one | 1.77 ± 0.01 | 87.05 ± 0.40 | 7.15 ± 0.52 | 5.47 ± 1.18 |
| DMTU + ESE-one | 46.81 ± 0.84 * | 24.53 ± 0.98 | 5.63 ± 0.37 | 11.63 ± 1.97 |
| MDA-MB-231 48 h Exposure | ||||
|---|---|---|---|---|
| Sub-G1 | G1 | S-Phase | G2/M | |
| Cells cultured in complete growth medium | 0.80 ± 0.16 | 78.09 ± 0.07 | 6.32 ± 0.19 | 13.09 ± 0.75 |
| Vehicle-treated cells | 1.28 ± 0.28 | 76.34 ± 4.69 | 6.65 ± 2.21 | 11.96 ± 1.3 |
| ESE-one only | 52.1 ± 8.36 | 23.82 ± 0.39 | 5.76 ± 1.04 | 11.76 ± 0.67 |
| Tiron − ESE-one | 4.12 ± 1.55 | 80.66 ± 4.18 | 4.61 ± 0.87 | 4.55 ± 0.71 |
| Tiron + ESE-one | 29.4 ± 2.59 * | 48.8 ± 8.24 | 5.92 ± 2.40 | 27.28 ± 5.71 * |
| Trolox − ESE-one | 2.15 ± 0.69 | 80.71 ± 1.40 | 7.19 ± 1.42 | 10.59 ± 1.42 |
| Trolox + ESE-one | 39.51 ± 0.35 * | 28.16 ± 0.22 | 10.28 ± 0.35 | 23.56 ± 3.16 |
| DMTU − ESE-one | 0.96 ± 0.08 | 79.96 ± 1.10 | 7.39 ± 1.92 | 13.13 ± 1.31 |
| DMTU + ESE-one | 32.48 ± 2.09 * | 30.86 ± 0.04 | 10.28 ± 2.89 | 20.61 ± 0.16 |
| MCF-7 Cells | ||
|---|---|---|
| Polarized | Depolarized | |
| Cells cultured in complete growth medium | 97.2 ± 1.7 | 2.6 ± 1.5 |
| Vehicle-treated cells | 97.8 ± 1.1 | 2.2 ± 1.1 |
| ESE-one only | 85.4 ± 0.2 | 14.6 ± 0.2 |
| CCCP | 67.0 ± 1.2 * | 33.0 ± 1.2 * |
| Tiron − ESE-one | 93.7 ± 1.0 | 6.0 ± 1.0 |
| Tiron + ESE-one | 90.6 ± 1.0 * | 9.3 ± 1.0 * |
| Trolox − ESE-one | 96.6 ± 1.0 | 3.3 ± 1.0 |
| Trolox + ESE-one | 80.7 ± 6.1 | 19.3 ± 6.1 |
| DMTU − ESE-one | 97.6 ± 1.2 | 2.4 ± 1.2 |
| DMTU + ESE-one | 84.2 ± 4.0 | 15.8 ± 4.1 |
| MDA-MB-231 Cells | ||
|---|---|---|
| Polarized | Depolarized | |
| Cells cultured in complete growth medium | 96.7 ± 2.3 | 2.9 ± 1.9 |
| Vehicle-treated cells | 96.0 ± 1.7 | 3.8 ± 1.8 |
| ESE-one only | 75.8 ± 8.0 | 24.1 ± 8.1 |
| CCCP | 64.4 ± 16.8 | 35.6 ± 16.5 |
| Tiron − ESE-one | 97.1 ± 2.4 | 2.8 ± 2.5 |
| Tiron + ESE-one | 78.0 ± 3.4 | 21.6 ± 3.9 |
| Trolox − ESE-one | 93.7 ± 2.2 | 6.7 ± 3.1 |
| Trolox + ESE-one | 71.1 ± 4.5 | 28.8 ± 4.5 |
| DMTU − ESE-one | 71.6 ± 3.5 | 8.0 ± 3.2 |
| DMTU + ESE-one | 58.5 ± 1.3 * | 41.4 ± 1.5 * |
Publisher’s Note: MDPI stays neutral with regard to jurisdictional claims in published maps and institutional affiliations. |
© 2021 by the authors. Licensee MDPI, Basel, Switzerland. This article is an open access article distributed under the terms and conditions of the Creative Commons Attribution (CC BY) license (http://creativecommons.org/licenses/by/4.0/).
Share and Cite
Lebelo, M.T.; Joubert, A.M.; Visagie, M.H. Dysregulation of Catalase by a Sulphamoylated Estradiol Analogue Culminates in Antimitotic Activity and Cell Death Induction in Breast Cancer Cell Lines. Molecules 2021, 26, 622. https://doi.org/10.3390/molecules26030622
Lebelo MT, Joubert AM, Visagie MH. Dysregulation of Catalase by a Sulphamoylated Estradiol Analogue Culminates in Antimitotic Activity and Cell Death Induction in Breast Cancer Cell Lines. Molecules. 2021; 26(3):622. https://doi.org/10.3390/molecules26030622
Chicago/Turabian StyleLebelo, Maphuti T., Anna M. Joubert, and Michelle H. Visagie. 2021. "Dysregulation of Catalase by a Sulphamoylated Estradiol Analogue Culminates in Antimitotic Activity and Cell Death Induction in Breast Cancer Cell Lines" Molecules 26, no. 3: 622. https://doi.org/10.3390/molecules26030622
APA StyleLebelo, M. T., Joubert, A. M., & Visagie, M. H. (2021). Dysregulation of Catalase by a Sulphamoylated Estradiol Analogue Culminates in Antimitotic Activity and Cell Death Induction in Breast Cancer Cell Lines. Molecules, 26(3), 622. https://doi.org/10.3390/molecules26030622

