Sampling CASE Application for the Quality Control of Published Natural Product Structures
Abstract
1. Introduction
2. Results
2.1. Luteolin 8-C-E-Propenoic Acid
2.2. Tomentodiplacone
2.3. Kadangustin A
2.4. Berkeleyamide D
2.5. 14-Norpseurotin A
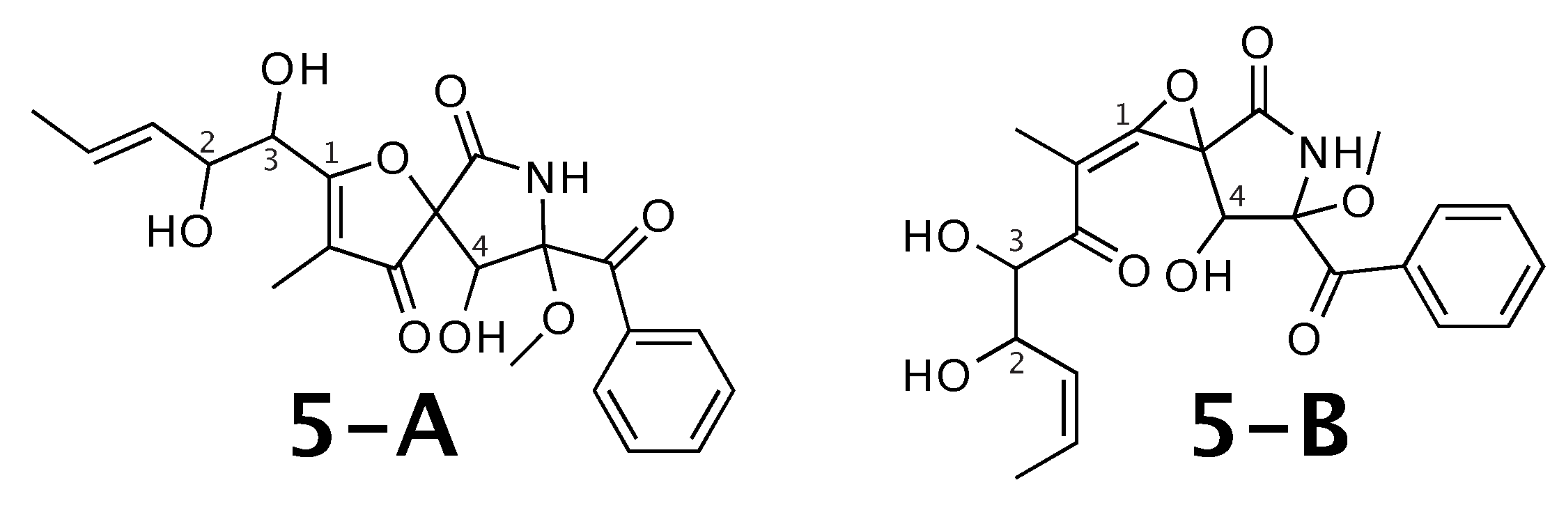
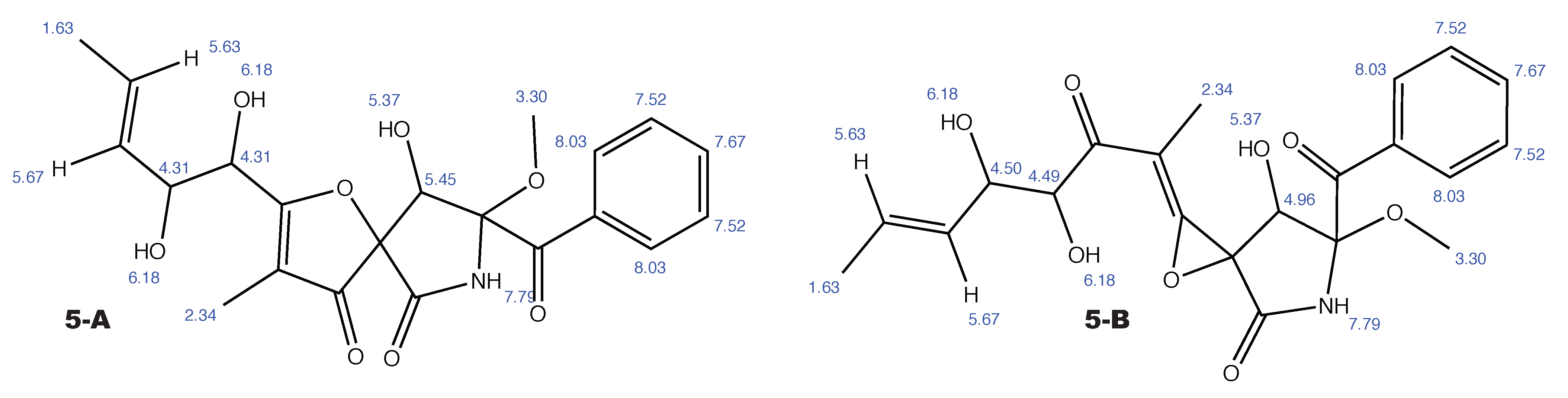
2.6. Feruloylpodospermic Acid A
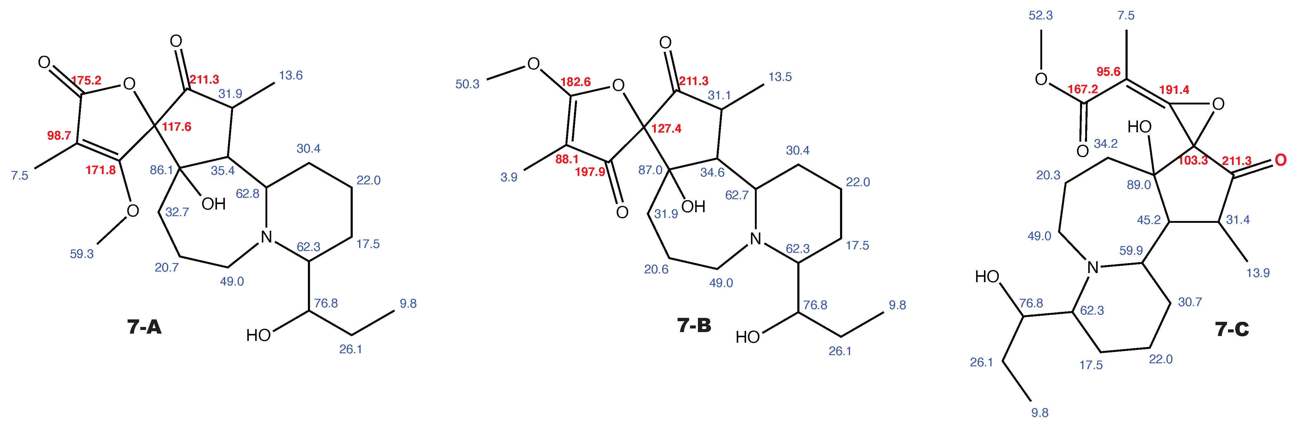
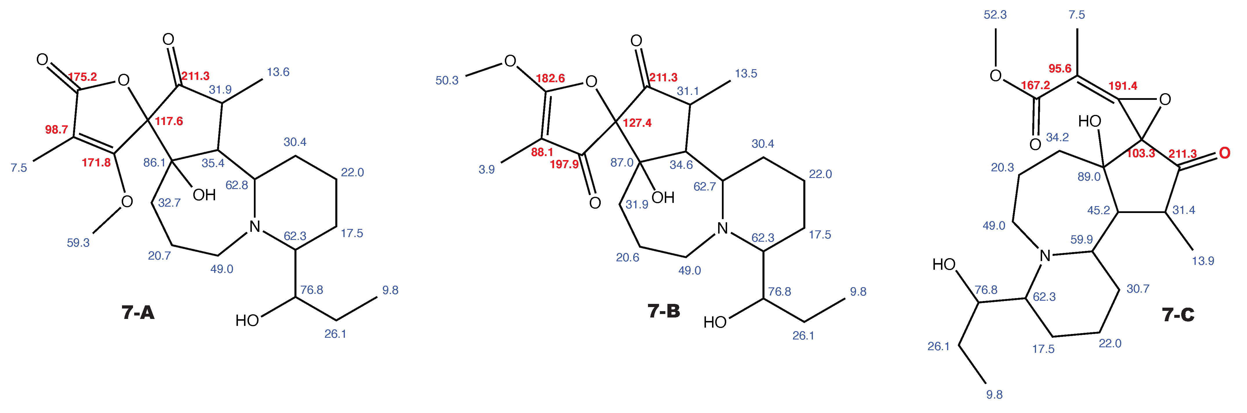
2.7. Cochinchistemoninone
2.8. Milicifoline B
2.9. 5-Cyprinol Sulfate
2.10. Viridiol aka TAEMC161
3. Discussion & Conclusions
Author Contributions
Funding
Data Availability Statement
Conflicts of Interest
Abbreviations
| ADEQ | 1,1–ADEQUATE (“” equivalent) |
| CASE | Computer Aided Structure Elucidation |
| COSY | H,H-Correlated Spectroscopy () |
| distance | |
| C | NMR carbon chemical shift |
| H | NMR proton chemical shift |
| average deviation of the calculated chemical shift to the experimentally observed value | |
| exp. | experimental |
| H2BC | HMQC-COSY |
| NMR | Nuclear Magnetic Resonance |
| NOE | Nuclear Overhauser Effect |
| X-HMBC | H,X-Heteronuclear Multiple Bond Correlation ( and ) |
Appendix A. All Assigned Back-Calculated Chemical Shifts











References
- Ichi Sasaki, S.; Kudo, Y.; Ochiai, S.; Abe, H. Automated chemical structure analysis of organic compounds: An attempt to structure determination by the use of NMR. Mikrochim. Acta 1971, 59, 726–742. [Google Scholar] [CrossRef]
- Yamasaki, T.; Abe, H.; Kudo, Y.; Sasaki, S.I. CHEMICS: A Computer Program System for Structure Elucidation of Organic Compounds. In Computer-Assisted Structure Elucidation; American Chemical Society: Washington, DC, USA, 1977; Chapter 8; pp. 108–125. [Google Scholar] [CrossRef]
- Sasaki, S.I.; Abe, H.; Hirota, Y.; Ishida, Y.; Kudo, Y.; Ochiai, S.; Saito, K.; Yamasaki, T. CHEMICS-F: A Computer Program System for Structure Elucidation of Organic Compounds. J. Chem. Inf. Comput. Sci. 1978, 18, 211–222. [Google Scholar] [CrossRef]
- Funatsu, K.; Sasaki, S.I. Recent advances in the automated structure elucidation system, CHEMICS. Utilization of two-dimensional NMR spectral information and development of peripheral functions for examination of candidates. J. Chem. Inf. Comput. Sci. 1996, 36, 190–204. [Google Scholar] [CrossRef]
- Zlatina, L.A.; Elyashberg, M.E. Generation and pepresentation of stereoisomers of a molecular structure. J. Struct. Chem. 1992, 32, 528–533. [Google Scholar] [CrossRef]
- Pesek, M.; Juvan, A.; Jakoš, J.; Košmrlj, J.; Marolt, M.; Gazvoda, M. Database Independent Automated Structure Elucidation of Organic Molecules Based on IR, 1H NMR, 13C NMR, and MS Data. J. Chem. Inf. Model. 2021, 61, 756–763. [Google Scholar] [CrossRef] [PubMed]
- Gribov, L.A.; Elyashberg, M.E.; Raikhshtat, M.M. A new Approch to the Determination of Molecular Spatial Structures based on the use of Spectra and Computers. J. Mol. Struct. 1979, 53, 81–96. [Google Scholar] [CrossRef]
- Peng, C.; Yuan, S.; Zheng, C.; Hui, Y.; Wu, H.; Ma, K.; Han, X. Application of expert system CISOC-SES to the structure elucidation of complex natural products. J. Chem. Inf. Comput. Sci. 1993, 33, 814–819. [Google Scholar] [CrossRef]
- Elyashberg, M.E.; Blinov, K.A.; Williams, A.J.; Molodtsov, S.G.; Martin, G.E.; Martirosian, E.R. Structure elucidator: A versatile expert system for molecular structure elucidation from 1D and 2D NMR data and molecular fragments. J. Chem. Inf. Comput. Sci. 2004, 44, 771–792. [Google Scholar] [CrossRef] [PubMed]
- Kalchhauser, H.; Robien, W. CSEARCH: A Computer Program for Identification of Organic Compounds and Fully Automated Assignment of Carbon-13 Nuclear Magnetic Resonance Spectra. J. Chem. Inf. Comput. Sci. 1985, 25, 103–108. [Google Scholar] [CrossRef]
- Will, M.; Fachinger, W.; Richert, J.R. Fully automated structure elucidation - A spectroscopist’s dream comes true. J. Chem. Inf. Comput. Sci. 1996, 36, 221–227. [Google Scholar] [CrossRef]
- Neudert, R.; Penk, M. Enhanced structure elucidation. J. Chem. Inf. Comput. Sci. 1996, 36, 244–248. [Google Scholar] [CrossRef]
- Robien, W. The Advantage of Automatic Peer-Reviewing of 13C-NMR Reference Data Using the CSEARCH-Protocol. Molecules 2021, 26, 3413. [Google Scholar] [CrossRef] [PubMed]
- Christie, B.D.; Munk, M.E. Structure Generation by Reduction: A New Strategy for Computer-Assisted Structure Elucidation. J. Chem. Inf. Comput. Sci. 1988, 28, 87–93. [Google Scholar] [CrossRef] [PubMed]
- Nuzillard, J.M.; Georges, M. Logic for structure determination. Tetrahedron 1991, 47, 3655–3664. [Google Scholar] [CrossRef]
- Faulon, J.L. Stochastic Generator of Chemical Structure. 1. Application to the Structure Elucidation of Large Molecules. J. Chem. Inf. Comput. Sci. 1994, 34, 1204–1218. [Google Scholar] [CrossRef]
- Benecke, C.; Grund, R.; Hohberger, R.; Kerber, A.; Laue, R.; Wieland, T. MOLGEN+, a generator of connectivity isomers and stereoisomers for molecular structure elucidation. Anal. Chim. Acta 1995, 314, 141–147. [Google Scholar] [CrossRef]
- Benecke, C.; Grüner, T.; Kerber, A.; Laue, R.; Wieland, T. Molecular structure generation with MOLGEN, new features and future developments. Fresenius’ J. Anal. Chem. 1997, 359, 23–32. [Google Scholar] [CrossRef]
- Meringer, M.; Schymanski, E.L. Small molecule identification with MOLGEN and mass spectrometry. Metabolites 2013, 3, 440–462. [Google Scholar] [CrossRef] [PubMed]
- Gugisch, R.; Kerber, A.; Kohnert, A.; Laue, R.; Meringer, M.; Rücker, C.; Wassermann, A. MOLGEN 5.0, A Molecular Structure Generator. In Advances in Mathematical Chemistry and Applications: Revised Edition; Bentham Science Publishers: Sharjah, United Arab Emirates, 2015; Volume 1, Chapter 6; pp. 113–138. [Google Scholar] [CrossRef][Green Version]
- Kerber, A. MOLGEN, a generator for structural formulas. Match-Commun. Math. Comput. Chem. 2018, 80, 733–744. [Google Scholar]
- Lindel, T.; Junker, J.; Köck, M. Cocon: From NMR correlation data to molecular constitutions. J. Mol. Model. 1997, 3, 364–368. [Google Scholar] [CrossRef]
- Badertscher, M.; Korytko, A.; Schulz, K.P.; Madison, M.; Munk, M.E.; Portmann, P.; Junghans, M.; Fontana, P.; Pretsch, E. Assemble 2.0: A structure generator. Chemom. Intell. Lab. Syst. 2000, 51, 73–79. [Google Scholar] [CrossRef]
- Meiler, J.; Will, M. Automated Structure Elucidation of Organic Molecules from 13C NMR Spectra Using Genetic Algorithms and Neural Networks. J. Chem. Inf. Comput. Sci. 2001, 41, 1535–1546. [Google Scholar] [CrossRef]
- Meiler, J.; Will, M. Genius: A genetic algorithm for automated structure elucidation from 13C NMR spectra. J. Am. Chem. Soc. 2002, 124, 1868–1870. [Google Scholar] [CrossRef]
- Smurnyy, Y.D.; Elyashberg, M.E.; Blinov, K.A.; Lefebvre, B.A.; Martin, G.E.; Williams, A.J. Computer-aided determination of relative stereochemistry and 3D models of complex organic molecules from 2D NMR spectra. Tetrahedron 2005, 61, 9980–9989. [Google Scholar] [CrossRef]
- Steinbeck, C. SENECA: A Platform-Independent, Distributed, and Parallel System for Computer-Assisted Structure Elucidation in Organic Chemistry. J. Chem. Inf. Comput. Sci. 2001, 41, 1500–1507. [Google Scholar] [CrossRef]
- Korytko, A.; Schulz, K.P.; Madison, M.S.; Munk, M.E. HOUDINI: A New Approach to Computer-Based Structure Generation. J. Chem. Inf. Comput. Sci. 2003, 43, 1434–1446. [Google Scholar] [CrossRef]
- Schulz, K.P.; Korytko, A.; Munk, M.E. Applications of a HOUDINI-Based Structure Elucidation System. J. Chem. Inf. Comput. Sci. 2003, 43, 1447–1456. [Google Scholar] [CrossRef]
- Han, Y.; Steinbeck, C. Evolutionary-algorithm-based strategy for computer-assisted structure elucidation. J. Chem. Inf. Comput. Sci. 2004, 44, 489–498. [Google Scholar] [CrossRef] [PubMed]
- Elyashberg, M.E.; Blinov, K.A.; Molodtsov, S.G.; Williams, A.J.; Martin, G.E. Fuzzy structure generation: A new efficient tool for Computer-Aided Structure Elucidation (CASE). J. Chem. Inf. Model. 2007, 47, 1053–1066. [Google Scholar] [CrossRef] [PubMed]
- Elyashberg, M.; Blinov, K.; Williams, A. A systematic approach for the generation and verification of structural hypotheses. Magn. Reson. Chem. 2009, 47, 371–389. [Google Scholar] [CrossRef] [PubMed]
- Robien, W. Computer-assisted peer reviewing of spectral data: The CSEARCH protocol. Monatshefte Chem. 2019, 150, 927–932. [Google Scholar] [CrossRef]
- Köck, M.; Junker, J.; Maier, W.; Will, M.; Lindel, T. A Cocon analysis of proton-poor heterocycles - Application of carbon chemical shift predictions for the evaluation of structural proposals. Eur. J. Org. Chem. 1999, 579–586. [Google Scholar] [CrossRef]
- Lindel, T.; Junker, J.; Köck, M. 2D-NMR-guided constitutional analysis of organic compounds employing the computer program Cocon. Eur. J. Org. Chem. 1999, 1999, 573–577. [Google Scholar] [CrossRef]
- Junker, J.; Maier, W.; Lindel, T.; Köck, M. Computer-assisted constitutional assignment of large molecules: Cocon analysis of Ascomycin. Org. Lett. 1999, 1, 737–740. [Google Scholar] [CrossRef]
- Junker, J. Theoretical NMR correlations based structure discussion. J. Cheminformatics 2011, 3, 27. [Google Scholar] [CrossRef]
- Junker, J. Statistical filtering for NMR based structure generation. J. Cheminformatics 2011, 3, 31. [Google Scholar] [CrossRef] [PubMed]
- Köck, M.; Lindel, T.; Junker, J. Incorporation of 4J-HMBC and NOE Data into Computer-Assisted Structure Elucidation with WebCocon. Molecules 2021, 26, 4846. [Google Scholar] [CrossRef]
- Elyashberg, M.E.; Argyropoulos, D. Author response to the manuscript of the article titled “Computer Assisted Structure Elucidation (CASE): Current and Future Perspectives”. Magn. Reson. Chem. 2020. [Google Scholar] [CrossRef]
- Elyashberg, M.; Argyropoulos, D. Computer Assisted Structure Elucidation (CASE): Current and future perspectives. Magn. Reson. Chem. 2021, 59, 669–690. [Google Scholar] [CrossRef]
- Navarro-Vázquez, A.; Gil, R.R.; Blinov, K. Computer-Assisted 3D Structure Elucidation (CASE-3D) of Natural Products Combining Isotropic and Anisotropic NMR Parameters. J. Nat. Prod. 2018, 81, 203–210. [Google Scholar] [CrossRef]
- Pupier, M.; Nuzillard, J.M.; Wist, J.; Schlörer, N.E.; Kuhn, S.; Erdelyi, M.; Steinbeck, C.; Williams, A.J.; Butts, C.; Claridge, T.D.; et al. NMReDATA, a standard to report the NMR assignment and parameters of organic compounds. Magn. Reson. Chem. 2018, 56, 703–715. [Google Scholar] [CrossRef]
- Trevorrow, P.; Jeannerat, D. Reporting on the first NMReDATA Symposium, 26 September 2019, Porto, Portugal. Magn. Reson. Chem. 2020, 58, 218–222. [Google Scholar] [CrossRef]
- Kuhn, S.; Wieske, L.H.E.; Trevorrow, P.; Schober, D.; Schlörer, N.E.; Nuzillard, J.; Kessler, P.; Junker, J.; Herráez, A.; Farès, C.; et al. NMReDATA: Tools and applications. Magn. Reson. Chem. 2021, 59, 792–803. [Google Scholar] [CrossRef]
- Reif, B.; Köck, M.; Kerssebaum, R.; Kang, H.; Fenical, W.; Griesinger, C. ADEQUATE, a New Set of Experiments to Determine the Constitution of Small Molecules at Natural Abundance. J. Magn. Reson. Ser. A 1996, 118, 282–285. [Google Scholar] [CrossRef]
- Köck, M.; Junker, J.; Lindel, T. Impact of the H-1,N-15-HMBC experiment on the constitutional analysis of alkaloids. Org. Lett. 1999, 1, 2041–2044. [Google Scholar] [CrossRef]
- Nyberg, N.T.; Duus, J.; Sørensen, O.W. Heteronuclear two-bond correlation: Suppressing heteronuclear three-bond or higher NMR correlations while enhancing two-bond correlations even for vanishing 2JCH. J. Am. Chem. Soc. 2005, 127, 6154–6155. [Google Scholar] [CrossRef] [PubMed]
- Nyberg, N.T.; Duus, J.; Sørensen, O.W. Editing of H2BC NMR spectra. Magn. Reson. Chem. 2005, 43, 971–974. [Google Scholar] [CrossRef] [PubMed]
- Petersen, B.O.; Vinogradov, E.; Kay, W.; Würtz, P.; Nyberg, N.T.; Duus, J.; Sørensen, O.W. H2BC: A new technique for NMR analysis of complex carbohydrates. Carbohydr. Res. 2006, 341, 550–556. [Google Scholar] [CrossRef] [PubMed]
- Zhao, J.; Pawar, R.S.; Ali, Z.; Khan, I.A. Phytochemical investigation of Turnera diffusa. J. Nat. Prod. 2007, 70, 289–292. [Google Scholar] [CrossRef]
- Šmejkal, K.; Chudík, S.; Klouček, P.; Marek, R.; Cvačka, J.; Urbanová, M.; Julínek, O.; Kokoška, L.; Šlapetová, T.; Holubová, P.; et al. Antibacterial C-geranylflavonoids from Paulownia tomentosa fruits. J. Nat. Prod. 2008, 71, 706–709. [Google Scholar] [CrossRef]
- Gao, X.M.; Pu, J.X.; Huang, S.X.; Yang, L.M.; Huang, H.; Xiao, W.L.; Zheng, Y.T.; Sun, H.D. Lignans from Kadsura angustifolia. J. Nat. Prod. 2008, 71, 558–563. [Google Scholar] [CrossRef] [PubMed]
- Stierle, A.A.; Stierle, D.B.; Patacini, B. The berkeleyamides, amides from the acid lake fungus Penicillum rubrum. J. Nat. Prod. 2008, 71, 856–860. [Google Scholar] [CrossRef]
- Zhang, M.; Wang, W.L.; Fang, Y.C.; Zhu, T.J.; Gu, Q.Q.; Zhu, W.M. Cytotoxic alkaloids and antibiotic nordammarane triterpenoids from the marine-derived fungus Aspergillus sydowi. J. Nat. Prod. 2008, 71, 985–989. [Google Scholar] [CrossRef] [PubMed]
- Tsevegsuren, N.; Edrada, R.; Lin, W.; Ebel, R.; Torre, C.; Ortlepp, S.; Wray, V.; Proksch, P. Biologically active natural products from Mongolian medicinal plants Scorzonera divaricata and Scorzonera pseudodivaricata. J. Nat. Prod. 2007, 70, 962–967. [Google Scholar] [CrossRef] [PubMed]
- Wang, Y.Z.; Tang, C.P.; Dien, P.H.; Ye, Y. Alkaloids from the roots of Stemona saxorum. J. Nat. Prod. 2007, 70, 1356–1359. [Google Scholar] [CrossRef]
- Gutiérrez, F.; Estévez-Braun, A.; Ravelo, Á.G.; Astudillo, L.; Zárate, R. Terpenoids from the medicinal plant Maytenus ilicifolia. J. Nat. Prod. 2007, 70, 1049–1052. [Google Scholar] [CrossRef] [PubMed]
- Marius, C.G. NMR in Structural and Cell Biology. In Encyclopedia of Cell Biology; Bradshaw, R.A., Stahl, P.D., Eds.; Academic Press: Waltham, MA, USA, 2016; pp. 98–107. [Google Scholar] [CrossRef]
- Hahn, M.; von Elert, E.; Bigler, L.; Díaz Hernández, M.D.; Schloerer, N.E. 5α-Cyprinol sulfate: Complete NMR assignment and revision of earlier published data, including the submission of a computer-readable assignment in NMReDATA format. Magn. Reson. Chem. 2018, 56, 1201–1207. [Google Scholar] [CrossRef] [PubMed]
- Moffatt, J.S.; Bu’Lock, J.D.; Yuen, T.H. Viridiol, a steroid-like product from Trichoderma viride. J. Chem. Soc. Chem. Commun. 1969, 839a. [Google Scholar] [CrossRef]
- Andersson, P.F.; Broberg, A.; Lundberg, D. The furanosteroid viridiol. Acta Crystallogr. Sect. Struct. Rep. Online 2013, 69, o467–o468. [Google Scholar] [CrossRef]
- Carreira, E.M.; Wolleb, H. Synthesis of (—)-Viridin and (—)-Viridiol. Synfacts 2017, 13, 0791. [Google Scholar] [CrossRef]
- Del Bel, M.; Abela, A.R.; Ng, J.D.; Guerrero, C.A. Enantioselective Chemical Syntheses of the Furanosteroids (-)-Viridin and (-)-Viridiol. J. Am. Chem. Soc. 2017, 139, 6819–6822. [Google Scholar] [CrossRef] [PubMed]
- Ji, Y.; Xin, Z.; He, H.; Gao, S. Total Synthesis of Viridin and Viridiol. J. Am. Chem. Soc. 2019, 141, 16208–16212. [Google Scholar] [CrossRef] [PubMed]
- Carreira, E.M.; Wolleb, H. Synthesis of (—)-Viridin and (—)-Viridiol. Synfacts 2020, 16, 0119. [Google Scholar] [CrossRef]
- Sakuno, E.; Yabe, K.; Hamasaki, T.; Nakajima, H. A new inhibitor of 5’-hydroxyaverantin dehydrogenase, an enzyme involved in aflatoxin biosynthesis, from Trichoderma hamatum. J. Nat. Prod. 2000, 63, 1677–1678. [Google Scholar] [CrossRef]
- Wipf, P.; Kerekes, A.D. Structure reassignment of the fungal metabolite TAEMC161 as the phytotoxin viridiol. J. Nat. Prod. 2003, 66, 716–718. [Google Scholar] [CrossRef] [PubMed]
- Elyashberg, M.; Williams, A.J.; Blinov, K. Structural revisions of natural products by Computer-Assisted Structure Elucidation (CASE) systems. Nat. Prod. Rep. 2010, 27, 1296–1328. [Google Scholar] [CrossRef]
- Elyashberg, M.; Blinov, K.; Smurnyy, Y.; Churanova, T.; Williams, A. Empirical and DFT GIAO quantum-mechanical methods of 13C chemical shifts prediction: Competitors or collaborators? Magn. Reson. Chem. 2010, 48, 219–229. [Google Scholar] [CrossRef] [PubMed]
- Marcarino, M.O.; Zanardi, M.M.; Sarotti, A.M. The Risks of Automation: A Study on DFT Energy Miscalculations and Its Consequences in NMR-based Structural Elucidation. Org. Lett. 2020, 22, 3561–3565. [Google Scholar] [CrossRef] [PubMed]
- Nicolaou, K.C.; Snyder, S.A. Chasing molecules that were never there: Misassigned natural products and the role of chemical synthesis in modern structure elucidation. Angew. Chem.-Int. Ed. 2005, 44, 1012–1044. [Google Scholar] [CrossRef]
- Elyashberg, M.; Blinov, K.; Molodtsov, S.; Williams, A. Elucidating ’undecipherable’ chemical structures using computer-assisted structure elucidation approaches. Magn. Reson. Chem. 2012, 50, 22–27. [Google Scholar] [CrossRef]











| Molecule | # Inspected | Confirmed |
|---|---|---|
| Luteolin 8-C-E-propenoic acid | 6 | yes |
| Tomentodiplacone | 2 | yes |
| Kadangustin A | 5 | no |
| Berkeleyamide D | 2 | no |
| 14-norpseurotin A | 2 | no |
| Feruloylpodospermic acid A | 2 | no |
| Cochinchistemoninone | 3 | no |
| Milicifoline B | 3 | pending further analysis |
| 5-cyprinol sulfate | 4 | yes |
| viridiol aka TAEMC161 | >3 | yes |
| C [ppm] | |||||||
|---|---|---|---|---|---|---|---|
| Atom | Exp. | 1-A | 1-B | 1-C | 1-D | 1-E | 1-F |
| 1 | 169.0 | 171.5 | 171.5 | 171.5 | - | 170.4 | - |
| 2 | 182.2 | 182.1 | 160.5 | 160.5 | 187.0 | 175.0 | 189.7 |
| 1.3 | 12.1 | 12.1 | 2.4 | 4.3 | 3.8 | ||
| Etotal [kcal/mol] | 26 | 29 | 45 | 80 | 74 | 303 | |
| C [ppm] | |||
|---|---|---|---|
| Atom | Exp. | 2-A | 2-B |
| 1 | 164.4 | 162.5 | 182.6 |
| 2 | 196.4 | 196.8 | 170.0 |
| 1.2 | 22.3 | ||
| Etotal [kcal/mol] | 62 | 64 | |
| C [ppm] | ||||||
|---|---|---|---|---|---|---|
| Atom | Exp. | 3-A | 3-B | 3-C | 3-D | 3-E |
| 1 | 172.0 | 170.2 | 162.1 | 165.0 | 165.4 | 171.4 |
| 2 | 39.3 | 31.3 | 33.6 | 33.6 | 35.9 | 46.7 |
| 3 | 34.8 | 34.8 | 38.7 | 38.7 | 31.1 | 41.8 |
| 3.3 | 6.5 | 5.5 | 4.6 | 5.0 | ||
| 4.2 | 7.1 | 6.0 | 1.8 | 4.5 | ||
| 8.0 | 13.8 | 10.9 | 6.6 | 8.0 | ||
| Etotal [kcal/mol] | 160 | 165 | 160 | 168 | 156 | |
| C [ppm] | H [ppm] | |||||
|---|---|---|---|---|---|---|
| Atom | Exp. | 4-A | 4-B | Exp. | 4-A | 4-B |
| 4 | 84.9 | 76.6 | 87.2 | |||
| 6 | 95.3 | 100.1 | 90.2 | |||
| 7 | 4.41 | 4.42 | 4.0 | |||
| 8 | 197.7 | 165.5 * | 198.0 | |||
| 9 | 104.4 | 105.6 | 98.8 | 5.35 | 4.85 | 5.1 |
| 10 | 199.4 | 204.9 | 196.5 | |||
| 11 | 37.4 | 45.0 | 55.7 * | 3.98 | 3.22 | 4.2 |
| 8.5 | 4.9 | 0.5 | 0.3 | |||
| Etotal [kcal/mol] | 67 | 24 | ||||
| 4-A | 4-B | ||||
|---|---|---|---|---|---|
| Atom | Exp. | M-I | M-II | M-I | M-II |
| 1 | 23.9 | 23.5 | 23.8 | 23.5 | 23.8 |
| 2 | 24.0 | 23.6 | 24.0 | 23.9 | 24.0 |
| 3 | 45.5 | 47.1 | 45.5 | 44.3 | 45.4 |
| 4 | 84.9 | 76.6 | 84.9 | 87.2 | 85.5 |
| 5 | 164.1 | 169.2 | 171.6 | 169.2 | 170.2 |
| 6 | 95.3 | 100.1 | 95.3 | 90.2 | 65.4 |
| 7 | 75.1 | 76.5 | 75.1 | 78.5 | 75.7 |
| 8 | 197.8 | 204.9 | 181.2 | 198.0 | 156.9 |
| 9 | 104.4 | 105.6 | 104.4 | 98.8 | 89.6 |
| 10 | 199.4 | 165.5 | 199.4 | 196.5 | 198.4 |
| 11 | 37.4 | 45.0 | 43.0 | 55.7 | 47.5 |
| 12 | 133.2 | 137.4 | 133.2 | 135.6 | 134.6 |
| 13 | 129.2 | 129.0 | 129.2 | 129.6 | 129.6 |
| 14 | 129.2 | 128.6 | 129.2 | 129.2 | 128.9 |
| 15 | 127.0 | 125.7 | 127.1 | 127.6 | 127.1 |
| 16 | 129.2 | 128.6 | 129.2 | 129.2 | 128.9 |
| 17 | 129.2 | 129.0 | 129.2 | 129.6 | 129.6 |
| 18 | 23.8 | 23.5 | 23.8 | 23.5 | 23.8 |
| 9.0 | 4.6 | 5.1 | 12.5 | ||
| 41.5 | 24.1 | 23.9 | 51.0 | ||
| C [ppm] | H [ppm] | |||||
|---|---|---|---|---|---|---|
| Atom | Exp. | 5-A | 5-B | Exp. | 5-A | 5-B |
| 1 | 185.7 | 167.3 | 188.0 | |||
| 2 | 70.4 | 69.7 | 69.8 | 4.78 | 4.0 | 4.2 |
| 3 | 70.3 | 71.6 | 88.9 | 4.62 | 4.0 | 4.2 |
| 4 | 73.2 | 68.1 | 70.1 | 4.70 | 5.0 | 4.8 |
| 6.4 | 6.2 | 0.6 | 0.4 | |||
| Etotal [kcal/mol] | 160 | 148 | ||||
| C [ppm] | |||
|---|---|---|---|
| Atom | Exp. | 6-A | 6-B |
| 1 | 170.4 | 171.0 | 173.2 |
| 2 | 38.9 | 39.2 | 35.9 |
| 3 | 83.5 | 78.9 | 85.3 |
| 4 | 34.1 | 38.4 | 34.0 |
| 5 | 173.1 | 170.2 | 173.1 |
| 2.5 | 1.5 | ||
| Etotal [kcal/mol] | 75 | 56 | |
| C [ppm] | ||||
|---|---|---|---|---|
| Atom | Exp. | 7-A | 7-B | 7-C |
| 1 | 208.9 | 211.2 | 211.3 | 211.3 |
| 2 | 90.6 | 117.6 | 127.4 | 103.3 |
| 3 | 169.2 | 171.8 | 182.6 | 191.4 |
| 4 | 98.4 | 98.7 | 88.1 | 95.6 |
| 5 | 173.1 | 175.2 | 197.9 | 167.3 |
| 6.9 | 17.5 | 9.2 | ||
| Etotal [kcal/mol] | 116 | 87 | 80 | |
| C [ppm] | ||||
|---|---|---|---|---|
| Atom | Exp. | 8-A | 8-B | 8-C |
| 1 | 144.1 | 145.5 | 145.5 | 139.6 |
| 2 | 142.8 | 136.9 | 144.4 | 91.7 |
| 3.6 | 1.5 | 27.8 | ||
| Etotal [kcal/mol] | 267 | 288 | 265 | |
| [pm] | ||
|---|---|---|
| NOE | 8-A | 8-B |
| 1 | 705 | 850 |
| 2 | 612 | 618 |
| 2 | 503 | 832 |
| C [ppm] | |||||
|---|---|---|---|---|---|
| Atom | Exp. | 9-A | 9-B | 9-C | 9-D |
| 1 | 67.6 | 77.7 | 64.2 | 64.2 | 64.2 |
| 2 | 72.3 | 73.3 | 73.3 | 73.3 | 87.6 |
| 3 | 68.4 | 68.4 | 91.5 | 68.4 | 68.4 |
| 4 | 71.4 | 71.4 | 71.4 | 89.5 | 71.4 |
| 2.8 | 6.9 | 5.6 | 4.7 | ||
| Etotal [kcal/mol] | 42 | 48 | 56 | 53 | |
| Atom | Exp. | M-I | M-II | M-IIIa | M-IIIb |
|---|---|---|---|---|---|
| 1 | 60.7 | 60.8 | 57.8 | 61.0 | 60.4 |
| 2 | 81.7 | 82.0 | 88.9 | 93.6 | 89.5 |
| 3 | 61.6 | 70.4 | 66.1 | 68.8 | 69.3 |
| 4 | 122.1 | 138.8 | 164.0 | 154.2 | 158.8 |
| 5 | 145.6 | 116.1 | 110.4 | 126.6 | 111.6 |
| 6 | 173.4 | 161.1 | 162.6 | 174.0 | 165.8 |
| 7 | 142.4 | 118.6 | 116.5 | 133.2 | 130.4 |
| 8 | 42.3 | 47.3 | 44.8 | 55.5 | 55.1 |
| 9 | 71.7 | 71.9 | 80.7 | 80.0 | 75.9 |
| 10 | 30.5 | 28.0 | 21.0 | 22.7 | 22.1 |
| 11 | 158.6 | 157.2 | 145.4 | 172.3 | 169.7 |
| 12 | 127.3 | 125.4 | 125.1 | 131.4 | 128.8 |
| 13 | 127.3 | 126.6 | 123.7 | 131.6 | 130.9 |
| 14 | 129.8 | 133.9 | 133.9 | 142.8 | 144.9 |
| 15 | 158.0 | 150.7 | 137.8 | 154.4 | 158.5 |
| 16 | 136.9 | 131.5 | 124.5 | 136.9 | 137.6 |
| 17 | 145.7 | 146.4 | 148.6 | 167.9 | 172.1 |
| 18 | 28.4 | 29.0 | 24.3 | 28.8 | 28.6 |
| 19 | 36.5 | 35.7 | 36.6 | 38.3 | 39.3 |
| 20 | 206.7 | 206.8 | 206.2 | 213.0 | 210.5 |
| RMSD | 10.2 | 15.6 | 12.1 | 14.4 |
| Atom | Exp. | M-I | M-II | M-IIIa | M-IIIb |
|---|---|---|---|---|---|
| 1 | 60.7 | 60.8 | 57.8 | 61.6 | 59.8 |
| 2 | 81.7 | 81.7 | 88.9 | 99.4 | 96.9 |
| 3 | 61.6 | 69.1 | 62.9 | 79.2 | 76.1 |
| 4 | 122.1 | 122.1 | 127.5 | 129.0 | 123.8 |
| 5 | 145.6 | 138.3 | 149.3 | 158.5 | 158.4 |
| 6 | 173.4 | 158.0 | 153.4 | 171.1 | 163.0 |
| 7 | 142.4 | 142.4 | 153.0 | 165.6 | 174.0 |
| 8 | 42.3 | 53.7 | 48.0 | 58.6 | 59.1 |
| 9 | 71.7 | 71.1 | 80.7 | 83.2 | 83.3 |
| 10 | 30.5 | 20.5 | 21.0 | 21.1 | 20.0 |
| 11 | 158.6 | 158.6 | 145.4 | 171.9 | 166.3 |
| 12 | 127.3 | 122.0 | 125.1 | 131.4 | 129.1 |
| 13 | 127.3 | 127.3 | 123.7 | 131.0 | 129.0 |
| 14 | 129.8 | 136.9 | 133.9 | 143.3 | 145.4 |
| 15 | 158.0 | 139.2 | 137.8 | 157.8 | 159.8 |
| 16 | 136.9 | 129.6 | 134.0 | 140.2 | 141.9 |
| 17 | 145.7 | 123.5 | 124.5 | 138.0 | 129.5 |
| 18 | 28.4 | 28.4 | 24.1 | 32.9 | 31.3 |
| 19 | 36.5 | 36.5 | 36.6 | 39.0 | 39.5 |
| 20 | 206.7 | 206.7 | 206.2 | 214.2 | 211.6 |
| RMSD | 8.8 | 9.8 | 11.0 | 12.0 |
| Atom | Exp. | M-I | M-II | M-IIIa | M-IIIb |
|---|---|---|---|---|---|
| 1 | 60.7 | 60.8 | 57.5 | 59.8 | 59.5 |
| 2 | 81.7 | 82.0 | 78.9 | 94.5 | 90.2 |
| 3 | 61.6 | 68.5 | 64.7 | 63.8 | 63.8 |
| 4 | 122.1 | 121.0 | 125.9 | 130.9 | 128.5 |
| 5 | 145.6 | 146.3 | 144.5 | 155.5 | 153.2 |
| 6 | 173.4 | 178.9 | 173.0 | 153.8 | 154.8 |
| 7 | 142.4 | 140.4 | 146.6 | 149.6 | 149.4 |
| 8 | 42.3 | 45.7 | 39.2 | 51.9 | 49.0 |
| 9 | 71.7 | 73.7 | 85.9 | 81.7 | 76.2 |
| 10 | 30.5 | 20.2 | 23.5 | 31.5 | 32.4 |
| 11 | 158.6 | 153.9 | 149.3 | 171.5 | 165.7 |
| 12 | 127.3 | 127.3 | 125.3 | 137.4 | 132.1 |
| 13 | 127.3 | 127.4 | 128.4 | 133.3 | 132.2 |
| 14 | 129.8 | 133.2 | 134.1 | 141.4 | 143.9 |
| 15 | 158.0 | 144.1 | 141.1 | 165.0 | 168.8 |
| 16 | 136.9 | 126.5 | 126.4 | 141.2 | 137.7 |
| 17 | 145.7 | 148.0 | 145.3 | 180.8 | 178.9 |
| 18 | 28.4 | 28.4 | 23.5 | 32.9 | 33.2 |
| 19 | 36.5 | 36.2 | 36.2 | 38.9 | 39.6 |
| 20 | 206.7 | 206.3 | 206.2 | 214.2 | 211.7 |
| RMSD | 5.2 | 6.5 | 11.8 | 10.5 |
Publisher’s Note: MDPI stays neutral with regard to jurisdictional claims in published maps and institutional affiliations. |
© 2021 by the authors. Licensee MDPI, Basel, Switzerland. This article is an open access article distributed under the terms and conditions of the Creative Commons Attribution (CC BY) license (https://creativecommons.org/licenses/by/4.0/).
Share and Cite
Moreira, L.M.G.; Junker, J. Sampling CASE Application for the Quality Control of Published Natural Product Structures. Molecules 2021, 26, 7543. https://doi.org/10.3390/molecules26247543
Moreira LMG, Junker J. Sampling CASE Application for the Quality Control of Published Natural Product Structures. Molecules. 2021; 26(24):7543. https://doi.org/10.3390/molecules26247543
Chicago/Turabian StyleMoreira, Lorena Martins Guimarães, and Jochen Junker. 2021. "Sampling CASE Application for the Quality Control of Published Natural Product Structures" Molecules 26, no. 24: 7543. https://doi.org/10.3390/molecules26247543
APA StyleMoreira, L. M. G., & Junker, J. (2021). Sampling CASE Application for the Quality Control of Published Natural Product Structures. Molecules, 26(24), 7543. https://doi.org/10.3390/molecules26247543

