Novel Bispidine-Monoterpene Conjugates—Synthesis and Application as Ligands for the Catalytic Ethylation of Chalcones
Abstract
1. Introduction
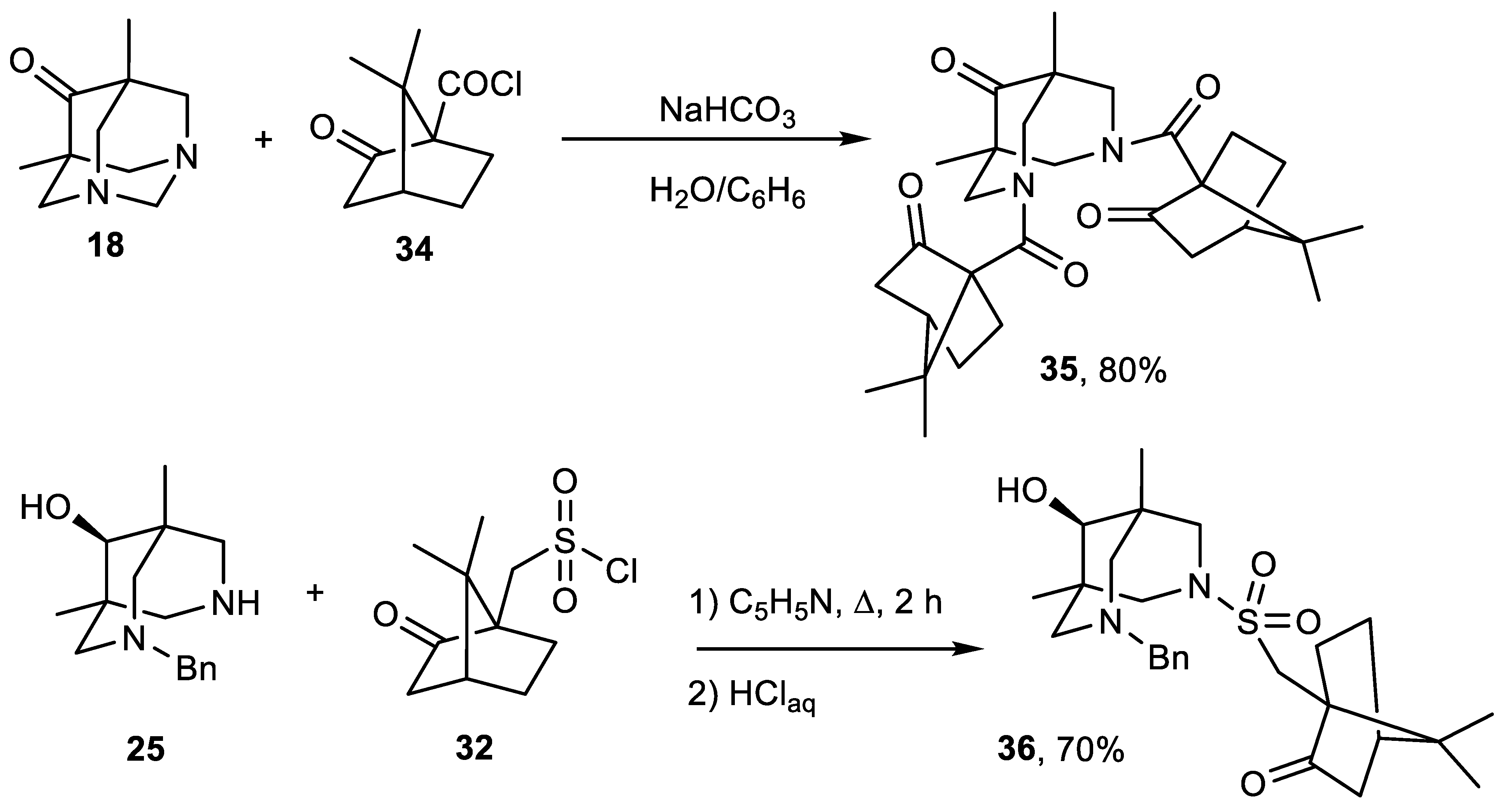
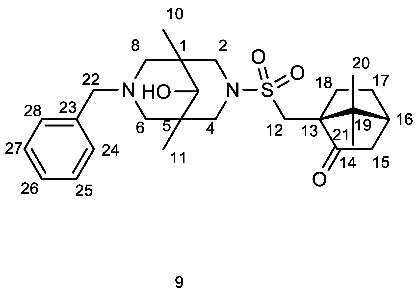
2. Results and Discussion
3. Experimental Section
3.1. General Procedure for Et2Zn to Chalcone Addition in the Presence of Ni(acac)2 and Bispidine Derivatives Containing Monoterpenoid Substituents
3.2. Synthesis of a Racemic Mixture of 1,3-Diphenylpentane-1-One 15
3.3. Synthesis of Ligands
Supplementary Materials
Author Contributions
Funding
Institutional Review Board Statement
Informed Consent Statement
Data Availability Statement
Acknowledgments
Conflicts of Interest
Sample Availability
References
- Zefirov, N.S.; Palyulin, V.A. Topics in Stereochemistry. Top. Stereochem. 1991, 20, 171. [Google Scholar]
- Comba, P.; Schiek, W. Fit and misfit between ligands and metal ions. Coord. Chem. Rev. 2003, 238–239, 21–29. [Google Scholar] [CrossRef]
- Antipin, I.S.; Alfimov, M.V.; Arslanov, V.V.; Burilov, V.A.; Vatsadze, S.Z.; Voloshin, Y.Z.; Volcho, K.P.; Gorbatchuk, V.V.; Gorbunova, Y.G.; Gromov, S.P.; et al. Functional supramolecular systems: Design and applications. Russ. Chem. Rev. 2021, 90, 895–1107. [Google Scholar] [CrossRef]
- Sacchetti, A.; Rossetti, A. Synthesis of Natural Compounds Based on the [3,7]-Diazabicyclo[3.3.1]nonane (Bispidine) Core. Eur. J. Org. Chem. 2021, 2021, 1491–1507. [Google Scholar] [CrossRef]
- Breuning, M.; Steiner, M. Chiral Bispidines. Synthesis 2008, 2008, 2841–2867. [Google Scholar] [CrossRef]
- Comba, P.; Kerscher, M.; Schiek, W. Bispidine coordination chemistry. Prog. Inorg. Chem. 2008, 55, 613–704. [Google Scholar]
- Liu, X.; Dong, S.; Lin, L.; Feng, X. Chiral Amino Acids-Derived Catalysts and Ligands. Chin. J. Chem. 2018, 36, 791–797. [Google Scholar] [CrossRef]
- Mozhaitsev, E.S.; Ponomarev, K.Y.; Patrusheva, O.S.; Medvedko, A.V.; Dalinger, A.I.; Rogachev, A.D.; Komarova, N.I.; Korchagina, D.V.; Suslov, E.V.; Volcho, K.P.; et al. Conjugates of Bispidine and Monoterpenoids as Ligands of Metal Complex Catalysts for the Henry Reaction. Russ. J. Org. Chem. 2020, 56, 1969–1981. [Google Scholar] [CrossRef]
- Hoppe, D.; Hintze, F.; Tebben, P. Chiral Lithium-1-oxyalkanides by Asymmetric Deprotonation; Enantioselective Synthesis of 2-Hydroxyalkanoic Acids and Secondary Alkanols. Angew. Chem. Int. Ed. Engl. 1990, 29, 1422–1424. [Google Scholar] [CrossRef]
- Zhang, Y.C.; Gao, J.Y.; Shi, N.Y.; Zhao, J.Q. Synthesis of Chiral Tridentate Ligands Embodying the Bispidine Framework and their Application in the Enantioselective Addition of Diethylzinc to Aldehydes. Adv. Mater. Res. 2011, 396–398, 1236–1243. [Google Scholar] [CrossRef]
- Spieler, J.; Huttenloch, O.; Waldmann, H. Synthesis of chiral amino alcohols embodying the bispidine framework and their application as ligands in enantioselectively catalyzed additions to C=O and C=C groups. Eur. J. Org. Chem. 2000, 391–399. [Google Scholar] [CrossRef]
- Huttenloch, O.; Laxman, E.; Waldmann, H. Solid-phase development of chiral phosphoramidite ligands for enantioselective conjugate addition reactions. Chem. Eur. J. 2002, 8, 4767–4780. [Google Scholar] [CrossRef]
- Huttenloch, O.; Laxman, E.; Waldmann, H. Combinatorial development of chiral phosphoramidite-ligands for enantioselective conjugate addition reactions. Chem. Commun. 2002, 8, 673–675. [Google Scholar] [CrossRef] [PubMed]
- Lesma, G.; Danieli, B.; Passarella, D.; Sacchetti, A.; Silvani, A. New solution free and polymer anchored chiral bispidine-based amino alcohols. Synthesis and screening for the enantioselective addition of diethylzinc to benzaldehyde. Tetrahedron Asymmetry 2003, 14, 2453–2458. [Google Scholar] [CrossRef]
- Silvani, A.; Sacchetti, A.; Passarella, D.; Danieli, B.; Lesma, G. Chiral Amino-Amides as Solution Phase and Immobilized Ligands for the Catalytic Asymmetric Alkylation of Aromatic Aldehydes. Lett. Org. Chem. 2006, 3, 430–436. [Google Scholar] [CrossRef]
- Huttenloch, O.; Spieler, J.; Waldmann, H. Chiral Bicyclic Phosphoramidites—A New Class of Ligands for Asymmetric Catalysis. Chem. Eur. J. 2001, 7, 671–675. [Google Scholar] [CrossRef]
- Kitamura, M.; Suga, S.; Kawai, K.; Noyori, R. Catalytic asymmetric induction. Highly enantioselective addition of dialkylzincs to aldehydes. J. Am. Chem. Soc. 1986, 108, 6071–6072. [Google Scholar] [CrossRef]
- Watts, C.C.; Thoniyot, P.; Cappuccio, F.; Verhagen, J.; Gallagher, B.; Singaram, B. Catalytic asymmetric transfer hydrogenation of ketones using terpene-based chiral β-amino alcohols. Tetrahedron Asymmetry 2006, 17, 1301–1307. [Google Scholar] [CrossRef]
- Joshi, S.N.; Malhotra, S. V Enantioselective addition of diethylzinc to aldehydes catalyzed by a β-amino alcohol derived from (+)-3-carene. Tetrahedron Asymmetry 2003, 14, 1763–1766. [Google Scholar] [CrossRef]
- Koneva, E.A.; Suslov, E.V.; Korchagina, D.V.; Genaev, A.M.; Volcho, K.P.; Salakhutdinov, N.F. Catalytic Asymmetric Addition of Diethylzinc to Benzaldehyde Using α-Pinene-Derived Ligands. Open Catal. J. 2011, 4, 107–112. [Google Scholar] [CrossRef]
- De Vries, A.H.M.; Jansen, J.F.G.A.; Feringa, B.L. Enantioselective conjugate addition of diethylzinc to chalcones catalysed by chiral Ni(II) aminoalcohol complexes. Tetrahedron 1994, 50, 4479–4491. [Google Scholar] [CrossRef][Green Version]
- Jansen, J.F.G.A.; Feringa, B.L. Catalytic enantioselective conjugate addition of diethylzinc using NiII-DAIB complexes. Tetrahedron Asymmetry 1992, 3, 581–582. [Google Scholar] [CrossRef]
- Szakonyi, Z.; Balázs, Á.; Martinek, T.A.; Fülöp, F. Enantioselective addition of diethylzinc to aldehydes catalyzed by γ-amino alcohols derived from (+)- and (−)-α-pinene. Tetrahedron Asymmetry 2006, 17, 199–204. [Google Scholar] [CrossRef]
- Tashenov, Y.; Daniels, M.; Robeyns, K.; Van Meervelt, L.; Dehaen, W.; Suleimen, Y.M.; Szakonyi, Z. Stereoselective Syntheses and Application of Chiral Bi- and Tridentate Ligands Derived from (+)-Sabinol. Molecules 2018, 23, 771. [Google Scholar] [CrossRef]
- Gonda, T.; Bérdi, P.; Zupkó, I.; Fülöp, F.; Szakonyi, Z. Stereoselective Synthesis, Synthetic and Pharmacological Application of Monoterpene-Based 1,2,4- and 1,3,4-Oxadiazoles. Int. J. Mol. Sci. 2018, 19, 81. [Google Scholar] [CrossRef] [PubMed]
- Ponomarev, K.Y.; Morozova, E.A.; Korchagina, D.V.; Suslov, E.V.; Kotlyarova, A.A. The effect of 3,7-diazabicyclo[3.3.1]nonanescontaining monoterpenoid moieties on the physical activity of mice. J. Res. Pharm. 2020, 24, 196–204. [Google Scholar]
- Kuznetsov, A.I.; Basargin, E.B.; Ba, M.K.; Moskovkin, A.S.; Miroshnichenko, I.V.; Botnikov, M.Y. Heteroadamantanes and their derivatives. 7. Synthesis and mass-spectrometric study of functional derivatives of 5-mono- and 5,7-disubstituted 1,3-diazaadamantanes. Chem. Heterocycl. Compd. 1989, 25, 541–547. [Google Scholar] [CrossRef]
- Vatsadze, S.Z.; Tyurin, V.S.; Zatsman, A.I.; Manaenkova, M.A.; Semashko, V.S.; Krut’ko, D.P.; Zyk, N.V.; Churakov, A.V.; Kuz’mina, L.G. New stereoselective intramolecular redox reaction in the system of 3,7-diazabicyclo[3.3.1]nonan-9-one. Russ. J. Org. Chem. 2006, 42, 1225–1231. [Google Scholar] [CrossRef]
- Khomenko, T.M.; Zarubaev, V.V.; Orshanskaya, I.R.; Kadyrova, R.A.; Sannikova, V.A.; Korchagina, D.V.; Volcho, K.P.; Salakhutdinov, N.F. Anti-influenza activity of monoterpene-containing substituted coumarins. Bioorganic Med. Chem. Lett. 2017, 27, 2920–2925. [Google Scholar] [CrossRef]
- Majeed, N.N.; Porte, A.L. Action of red light on solid (+)-10-bromo-2-chloro-2-nitrosocamphane: (i) nuclear and electron paramagnetic resonance studies; (ii) reaction products; (iii) solid-state photolysis reaction mechanisms. J. Chem. Soc. Perkin Trans. 2 1987, 1139–1145. [Google Scholar] [CrossRef]
- Bian, T.; Feng, L.; Li, D.; Huang, J.; Zhao, Y.; Xu, X.; Yang, Y.; Wang, S. Oxidative Esterification of Aldehydes and Alcohols Catalyzed by Camphor-Based Imidazolium Salts. Catal. Lett. 2020, 150, 1812–1820. [Google Scholar] [CrossRef]
- Braslau, R.; Kuhn, H.; Burrill, L.C.; Lanham, K.; Stenland, C.J. Synthesis of several novel optically active nitroxyl radicals. Tetrahedron Lett. 1996, 37, 7933–7936. [Google Scholar] [CrossRef]
- Arnold, L.A.; Naasz, R.; Minnaard, A.J.; Feringa, B.L. Catalytic Enantioselective Synthesis of Prostaglandin E1 Methyl Ester Using a Tandem 1,4-Addition-Aldol Reaction to a Cyclopenten-3,5-dione Monoacetal. J. Am. Chem. Soc. 2001, 123, 5841–5842. [Google Scholar] [CrossRef] [PubMed]
- Alexakis, A.; Bäckvall, J.E.; Krause, N.; Pàmies, O.; Diéguez, M. Enantioselective Copper-Catalyzed Conjugate Addition and Allylic Substitution Reactions. Chem. Rev. 2008, 108, 2796–2823. [Google Scholar] [CrossRef]
- Cesati; de Armas, J.; Hoveyda, A.H. Enantioselective Total Synthesis of Erogorgiaene: Applications of Asymmetric Cu-Catalyzed Conjugate Additions of Alkylzincs to Acyclic Enones. J. Am. Chem. Soc. 2004, 126, 96–101. [Google Scholar] [CrossRef]
- Bolm, C.; Ewald, M.; Felder, M. Catalytic Enantioselective Conjugate Addition of Dialkylzinc Compounds to Chalcones. Chem. Ber. 1992, 125, 1205–1215. [Google Scholar] [CrossRef]
- Born, K.; Comba, P.; Ferrari, R.; Lawrance, G.A.; Wadepohl, H. Stability Constants: A New Twist in Transition Metal Bispidine Chemistry. Inorg. Chem. 2007, 46, 458–464. [Google Scholar] [CrossRef] [PubMed]
- Xu, J.; Samsuri, N.B.; Duong, H.A. Nickel-catalysed cyclopropanation of electron-deficient alkenes with diiodomethane and diethylzinc. Chem. Commun. 2016, 52, 3372–3375. [Google Scholar] [CrossRef]
- Zhou, Y.; Wang, Y.; Wang, J. Selective Reduction of Carbon–carbon Double Bonds of Aryl Substituted Chalcones with Zn/CH3COONH4C2H5OH/H2O. J. Chem. Res. 2004, 2004, 118–119. [Google Scholar] [CrossRef]
















| Solvent | Yield, % | Conversion, % |
|---|---|---|
| Hexane | 20 | 56 |
| Diethyl ether | 0 | 0 |
| Dichloromethane | 43 | 84 |
| Acetonitrile | 63 | >98 |
| Temperature, °C | Conversion % |
|---|---|
| −20 | 77 |
| −6 | >98 |
| 4 | 100 |
| 22 | 100 |
| Amount of the Diamine 42, mol.% | Ratio of Compounds 15 and 44 (15/44), GC/MS Data |
|---|---|
| 8% | 1 |
| 16% | 1 |
| 24% | 2.7 |
![]() | ![]() |
![]() | ![]() |
![]() 35 | ![]() 37 |
![]() | ![]() |
![]() 36 | ![]() 42 |
![]() | ![]() |
![]() 35 | ![]() |
![]() 43 | ![]() |
![]() 37 | ![]() |
Publisher’s Note: MDPI stays neutral with regard to jurisdictional claims in published maps and institutional affiliations. |
© 2021 by the authors. Licensee MDPI, Basel, Switzerland. This article is an open access article distributed under the terms and conditions of the Creative Commons Attribution (CC BY) license (https://creativecommons.org/licenses/by/4.0/).
Share and Cite
Suslov, E.V.; Ponomarev, K.Y.; Patrusheva, O.S.; Kuranov, S.O.; Okhina, A.A.; Rogachev, A.D.; Munkuev, A.A.; Ottenbacher, R.V.; Dalinger, A.I.; Kalinin, M.A.; et al. Novel Bispidine-Monoterpene Conjugates—Synthesis and Application as Ligands for the Catalytic Ethylation of Chalcones. Molecules 2021, 26, 7539. https://doi.org/10.3390/molecules26247539
Suslov EV, Ponomarev KY, Patrusheva OS, Kuranov SO, Okhina AA, Rogachev AD, Munkuev AA, Ottenbacher RV, Dalinger AI, Kalinin MA, et al. Novel Bispidine-Monoterpene Conjugates—Synthesis and Application as Ligands for the Catalytic Ethylation of Chalcones. Molecules. 2021; 26(24):7539. https://doi.org/10.3390/molecules26247539
Chicago/Turabian StyleSuslov, Evgeniy V., Konstantin Y. Ponomarev, Oxana S. Patrusheva, Sergey O. Kuranov, Alina A. Okhina, Artem D. Rogachev, Aldar A. Munkuev, Roman V. Ottenbacher, Alexander I. Dalinger, Mikhail A. Kalinin, and et al. 2021. "Novel Bispidine-Monoterpene Conjugates—Synthesis and Application as Ligands for the Catalytic Ethylation of Chalcones" Molecules 26, no. 24: 7539. https://doi.org/10.3390/molecules26247539
APA StyleSuslov, E. V., Ponomarev, K. Y., Patrusheva, O. S., Kuranov, S. O., Okhina, A. A., Rogachev, A. D., Munkuev, A. A., Ottenbacher, R. V., Dalinger, A. I., Kalinin, M. A., Vatsadze, S. Z., Volcho, K. P., & Salakhutdinov, N. F. (2021). Novel Bispidine-Monoterpene Conjugates—Synthesis and Application as Ligands for the Catalytic Ethylation of Chalcones. Molecules, 26(24), 7539. https://doi.org/10.3390/molecules26247539



















