Valorization of Cladophora glomerata Biomass and Obtained Bioproducts into Biostimulants of Plant Growth and as Sorbents (Biosorbents) of Metal Ions
Abstract
:1. Introduction
2. Results and Discussion
2.1. Characteristics of Cladophora glomerata and Macroalgal-Based Products
2.2. Characteristics of ZnO NPs
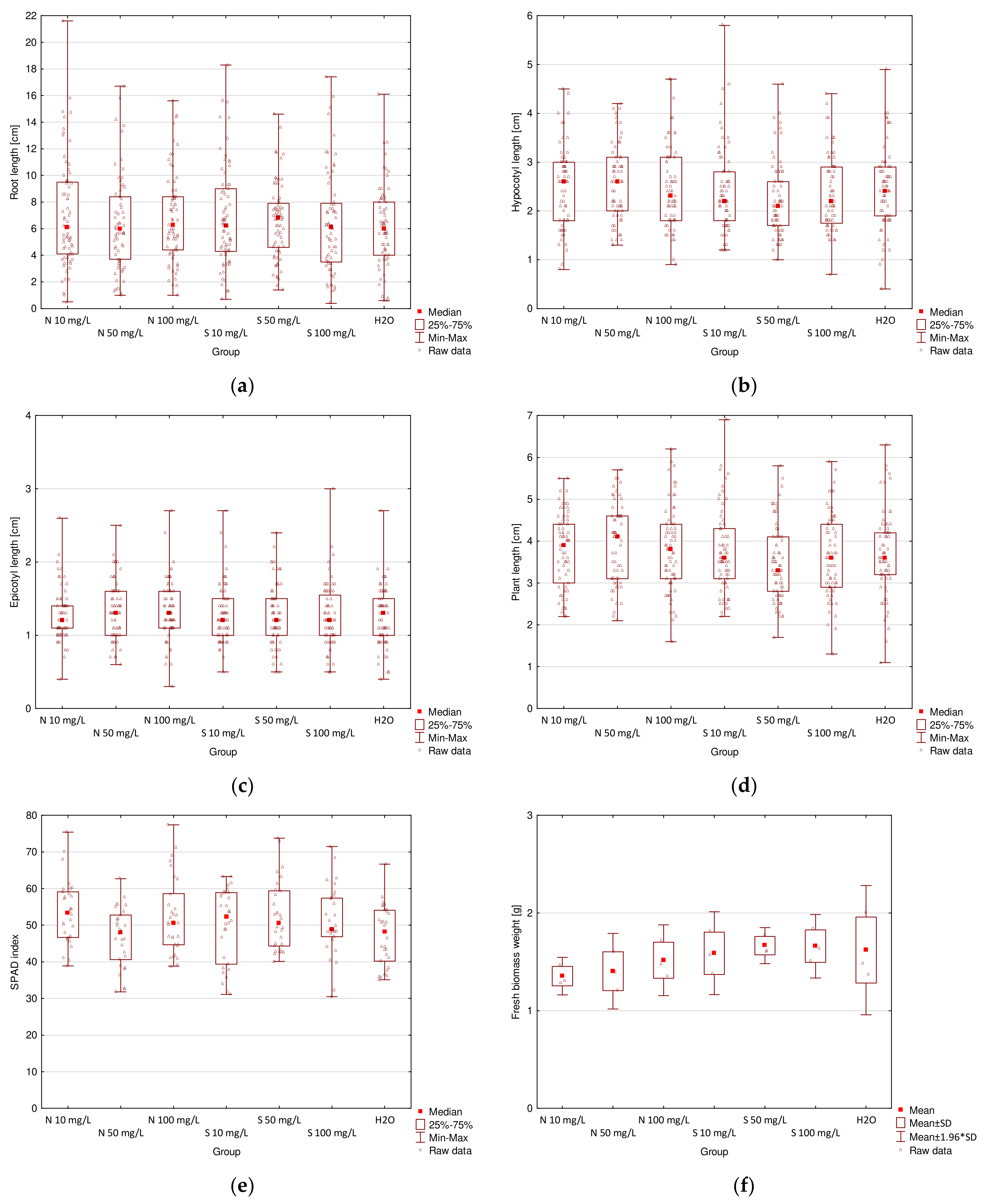
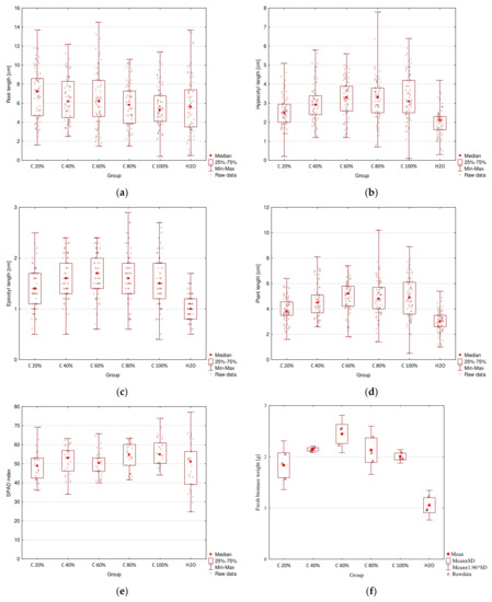
2.3. Germination Tests of Raphanus sativus
2.3.1. Stimulation of Radish Growth by Macroalgal Extracts
2.3.2. Stimulation of Radish Growth by ZnO NPs
2.4. Adsorption Kinetics and Equilibrium of Cr(III) Ions
2.4.1. Effect of Initial pH on Sorption Capacity
2.4.2. Effect of Initial Cr(III) Ion Concentrations on Sorption Capacity
2.4.3. Effect of Adsorbent Type
2.4.4. Sorption Equilibrium of Cr(III) Ions
3. Materials and Methods
3.1. Chemicals
3.2. Freshwater Macroalgae Biomass
3.3. Production of the Macroalgal Extract
3.4. Synthesis of Zinc Oxide Nanoparticles
3.5. Germination Tests
3.6. Adsorption of Cr(III) Ions
3.6.1. Adsorption Kinetics of Cr(III) Ions
3.6.2. Sorption Equilibrium of Cr(III) Ions
3.7. Analytical Techniques
3.7.1. Multielemental Analysis
3.7.2. Determination of the Total Value of the Polyphenols in Algal Extract
3.7.3. Determination of Antioxidant Activity of Algal Extract by the DPPH Method
3.7.4. Chlorophyll Measurement
3.7.5. Characteristics of Nanoparticles
3.7.6. Determination of Cr(III) Ions in the Solution
3.8. Statistical Analysis
4. Conclusions
Author Contributions
Funding
Institutional Review Board Statement
Informed Consent Statement
Conflicts of Interest
Sample Availability
References
- Zhang, J.; He, P.; Ding, W.; Xu, X.; Ullah, S.; Abbas, T.; Ai, C.; Li, M.; Cui, R.; Jin, C.; et al. Estimating nutrient uptake requirements for radish in China based on QUEFTS model. Sci. Rep. 2019, 9, 11663. [Google Scholar] [CrossRef] [Green Version]
- Zhang, W.; Ebbs, S.D.; Musante, C.; White, J.C.; Gao, C.; Ma, X. Uptake and accumulation of bulk and nanosized cerium oxide particles and ionic cerium by radish (Raphanus sativus L.). J. Agr. Food Chem. 2015, 63, 382–390. [Google Scholar] [CrossRef] [Green Version]
- Mahmoud, S.H.; Salama, D.M.; El-Tanahy, A.M.M.; Abd El-Samad, E.H. Utilization of seaweed (Sargassum vulgare) extract to enhance growth, yield and nutritional quality of red radish plants. Ann. Agric. Sci. 2019, 64, 167–175. [Google Scholar] [CrossRef]
- Pikosz, M.; Messyasz, B. Characteristics of Cladophora and coexisting filamentous algae in relation to environmental factors in freshwater ecosystems in Poland. Oceanol. Hydrobiol. Stud. 2016, 45, 202–215. [Google Scholar] [CrossRef]
- Messyasz, B.; Pikosz, M.; Schroeder, G.; Łęska, B.; Fabrowska, J. Cultivation and Identification of Marine Algae. In Marine Algae Extracts. Processes, Products, and Applications; Kim, S., Chojnacka, K., Eds.; Wiley-VCH: Weinheim, Germany, 2015; Volume 1, pp. 17–40. [Google Scholar]
- Bourebaba, L.; Michalak, I.; Röcken, M.; Marycz, K. Cladophora glomerata methanolic extract decreases oxidative stress and improves viability and mitochondrial potential in equine adipose derived mesenchymal stem cells (ASCs). Biomed. Pharmacother. 2019, 111, 6–18. [Google Scholar] [CrossRef]
- Michalak, I.; Messyasz, B. Concise review of Cladophora spp.: A macroalga of commercial interest. J. Appl. Phycol. 2021, 33, 133–166. [Google Scholar] [CrossRef]
- Messyasz, B.; Łęska, B.; Fabrowska, J.; Pikosz, M.; Rój, E.; Cieslak, A.; Schroeder, G. Biomass of freshwater Cladophora as a raw material for agriculture and the cosmetic industry. Open Chem. 2015, 12, 1108–1118. [Google Scholar] [CrossRef]
- Michalak, I.; Tuhy, Ł.; Chojnacka, K. Seaweed extract by microwave assisted extraction as plant growth biostimulant. Open Chem. 2015, 13, 1183–1195. [Google Scholar] [CrossRef]
- Prazukin, A.V.; Anufriieva, E.V.; Shadrin, N.V. Is biomass of filamentous green algae Cladophora spp. (Chlorophyta, Ulvophyceae) an unlimited cheap and valuable resource for medicine and pharmacology? A review. Rev. Aquac. 2020, 12, 2493–2510. [Google Scholar] [CrossRef]
- Kasim, W.A.; Saad-Allah, K.M.; Hamouda, M. Seed priming with extracts of two seaweeds alleviates the physiological and molecular impacts of salinity stress on radish (Raphanus sativus). Int. J. Agric. Biol. 2016, 18, 653–660. [Google Scholar] [CrossRef]
- Ahmed, D.A.E.; Gheda, S.F.; Ismail, G.A. Efficacy of two seaweeds dry mass in bioremediation of heavy metal polluted soil and growth of radish (Raphanus sativus L.) plant. Environ. Sci. Pollut. Res. 2021, 28, 12831–12846. [Google Scholar] [CrossRef]
- Michalak, I.; Wilk, R.; Chojnacka, K. Bioconversion of Baltic seaweeds into organic compost. Waste Biomass Valorization 2017, 8, 1885–1895. [Google Scholar] [CrossRef] [Green Version]
- Chekroun, K.B.; Baghour, M. The role of algae in phytoremediation of heavy metals: A review. J. Mater. Environ. Sci. 2013, 4, 873–880. [Google Scholar]
- Bilal, M.; Rasheed, T.; Sosa-Hernández, J.E.; Raza, A.; Nabeel, F.; Iqbal, H.M.N. Biosorption: An interplay between marine algae and potentially toxic elements—A review. Mar. Drugs 2018, 16, 65. [Google Scholar] [CrossRef] [PubMed] [Green Version]
- Bishnoi, N.R.; Kumar, R.; Kumar, S.; Rani, S. Biosorption of Cr(III) from aqueous solution using algal biomass Spirogyra spp. J. Hazard. Mater. 2007, 145, 142–147. [Google Scholar] [CrossRef]
- Ibrahim, W.M. Biosorption of heavy metal ions from aqueous solution by red macroalgae. J. Hazard. Mater. 2011, 192, 1827–1835. [Google Scholar] [CrossRef] [PubMed]
- Tamilselvan, N.; Saurav, K.; Kannabiran, K. Biosorption of Cr (VI), Cr (III), Pb (II) and Cd (II) from aqueous solutions by Sargassum wightii and Caulerpa racemosa algal biomass. J. Ocean. Univ. China (Ocean. Coast. Sea Res.) 2012, 11, 52–58. [Google Scholar] [CrossRef]
- Guarín-Romero, J.R.; Rodríguez-Estupiñán, P.; Giraldo, L.; Moreno-Piraján, J.C. Simple and competitive adsorption study of nickel(II) and chromium(III) on the surface of the brown algae Durvillaea antarctica biomass. ACTS Omega 2019, 4, 18147–18158. [Google Scholar] [CrossRef] [Green Version]
- Hadadian, M.; Goharshadi, E.K.; Fard, M.M.; Ahmadzadeh, H. Synergistic effect of graphene nanosheets and zinc oxide nanoparticles for effective adsorption of Ni (II) ions from aqueous solutions. Appl. Phys. A 2018, 124, 239. [Google Scholar] [CrossRef]
- Al-Qahtani, K.M. Cadmium removal from aqueous solution by green synthesis zero valent silver nanoparticles with Benjamina leaves extract. Egypt. J. Aquat. Res. 2017, 43, 269–274. [Google Scholar] [CrossRef]
- Azizi, S.; Shahri, M.M.; Mohamad, R. Green synthesis of zinc oxide nanoparticles for enhanced adsorption of lead ions from aqueous solutions: Equilibrium, kinetic and thermodynamic studies. Molecule 2017, 22, 831. [Google Scholar] [CrossRef]
- Rangabhashiyam, S.; Balasubramanian, P. Biosorption of hexavalent chromium and malachite green from aqueous effluents, using Cladophora sp. Chem. Ecol. 2018, 34, 371–390. [Google Scholar] [CrossRef]
- Lee, Y.; Chang, S. The biosorption of heavy metals from aqueous solution by Spirogyra and Cladophora filamentous macroalgae. Bioresour. Technol. 2011, 102, 5297–5304. [Google Scholar] [CrossRef] [PubMed]
- Al-Homaidan, A.A.; Al-Qahtani, H.S.; Al-Ghanayem, A.A.; Ameen, F.; Ibraheem, I.B.M. Potential use of green algae as a biosorbent for hexavalent chromium removal from aqueous solutions. Saudi J. Biol. Sci. 2018, 25, 1733–1738. [Google Scholar] [CrossRef] [PubMed]
- Bulgariu, L. Efficient use of algae biomass loaded with essential metal ions in the manufacture of feed additives. J. Appl. Phycol. 2020, 32, 1779–1788. [Google Scholar] [CrossRef]
- Deng, L.; Su, Y.; Su, H.; Wang, X.; Zhu, X. Biosorption of copper (II) and lead (II) from aqueous solutions by nonliving green algae Cladophora fascicularis: Equilibrium, kinetics and environmental effects. Adsorption 2006, 12, 267–277. [Google Scholar] [CrossRef]
- Deng, L.; Zhu, X.; Wang, X.; Su, Y.; Su, H. Biosorption of copper (II) from aqueous solutions by green alga Cladophora fascicularis. Biodegradation 2007, 18, 393–402. [Google Scholar] [CrossRef]
- Tuzen, M.; Sari, A. Biosorption of selenium from aqueous solution by green algae (Cladophora hutchinsiae) biomass: Equilibrium, thermodynamic and kinetic studies. Chem. Eng. J. 2010, 158, 200–206. [Google Scholar] [CrossRef]
- Bağda, E.; Tuzen, M.; Sari, A. Equilibrium, thermodynamic and kinetic investigations for biosorption of uranium with green algae (Cladophora hutchinsiae). J. Environ. Radioact. 2017, 175–176, 7–14. [Google Scholar] [CrossRef]
- Michalak, M.; Baśladyńska, S.; Mokrzycki, J.; Rutkowski, P. Biochar from a freshwater macroalga as a potential biosorbent for wastewater treatment. Water 2019, 11, 1390. [Google Scholar] [CrossRef] [Green Version]
- Li, R.; Zhang, T.; Zhong, H.; Song, W.; Zhou, Y.; Yin, X. Bioadsorbents from algae residues for heavy metal ions adsorption: Chemical modification, adsorption behaviour and mechanism. Environ. Technol. 2021, 42, 3132–3143. [Google Scholar] [CrossRef]
- Skrzypczak, D.; Ligas, B.; Mikula, K.; Witek-Krowiak, A.; Samoraj, M.; Moustakas, K.; Chojnacka, K. Valorization of post-extraction biomass residues as carriers of bioavailable micronutrients for plants and livestock. Biomass Conv. Bioref. 2020. [Google Scholar] [CrossRef]
- Mohamed, H.S.; Soliman, N.K.; Abdelrheem, D.A.; Ramadan, A.A.; Elghandour, A.H.; Ahmed, S.A. Adsorption of Cd2+ and Cr3+ ions from aqueous solutions by using residue of Padina gymnospora waste as promising low-cost adsorbent. Heliyon 2019, 5, e01287. [Google Scholar] [CrossRef] [Green Version]
- Cardoso, S.L.; Costa, C.S.D.; Nishikawa, E.; Silva, M.G.C.; Vieira, M.G.A. Biosorption of toxic metals using the alginate extraction residue from the brown algae Sargassum filipendula as a natural ion-exchanger. J. Clean. Prod. 2017, 165, 491–499. [Google Scholar] [CrossRef]
- Venkatachalam, P.; Priyanka, N.; Manikandan, K.; Ganeshbabu, I.; Indiraarulselvi, P.; Geetha, N.; Muralikrishna, K.; Bhattacharya, R.C.; Tiwari, M.; Sharma, N.; et al. Enhanced plant growth promoting role of phycomolecules coated zinc oxide nanoparticles with P supplementation in cotton (Gossypium hirsutum L.). Plant Physiol. Biochem. 2017, 110, 118–127. [Google Scholar] [CrossRef] [PubMed]
- Nagarajan, S.; Arumugam Kuppusamy, K. Extracellular synthesis of zinc oxide nanoparticle using seaweeds of gulf of Mannar. Indian J. Nanobiotechnol. 2013, 11, 39. [Google Scholar] [CrossRef] [Green Version]
- Azizi, S.; Ahmad, M.B.; Namvar, F.; Mohamad, R. Green biosynthesis and characterization of zinc oxide nanoparticles using brown marine macroalga Sargassum muticum aqueous extract. Mater. Lett. 2014, 116, 275–277. [Google Scholar] [CrossRef]
- Namvar, F.; Rahman, H.S.; Mohamad, R.; Azizi, S.; Tahir, P.M.; Chartrand, M.S.; Yeap, S.K. Cytotoxic effects of biosynthesized zinc oxide nanoparticles on murine cell lines. Evid. Based Complement. Alternat. Med. 2015, 2015, 1–11. [Google Scholar] [CrossRef] [PubMed]
- Ishwarya, R.; Vaseeharan, B.; Subbaiah, S.; Nazar, A.K.; Govindarajan, M.; Alharbi, N.S.; Kadaikunnan, S.; Khaled, J.M.; Al-anbr, M.N. Sargassum wightii-synthesized ZnO nanoparticles—From antibacterial and insecticidal activity to immunostimulatory effects on the green tiger shrimp Penaeus semisulcatus. J. Photochem. Photobiol. B Biol. 2018, 183, 318–330. [Google Scholar] [CrossRef]
- Priyadharshini, R.I.; Prasannaraj, G.; Geetha, N.; Venkatachalam, P. Microwave-mediated extracellular synthesis of metallic silver and zinc oxide nanoparticles using macro-algae (Gracilaria edulis) extracts and its anticancer activity against human PC3 cell lines. Appl. Biochem. Biotechnol. 2014, 174, 2777–2790. [Google Scholar] [CrossRef]
- Liu, W.; Zeb, A.; Lian, J.; Wu, J.; Xiong, H.; Tang, J.; Zheng, S. Interactions of metal-based and metal-oxide-based nanoparticles (MBNPs and MONPs) with crop plants: A critical review of research progress and prospects. Environ. Rev. 2020, 28, 294–310. [Google Scholar] [CrossRef]
- Wani, A.H.; Shah, M.A. A unique and profound effect of MgO and ZnO nanoparticles on some plant pathogenic fungi. J. Appl. Pharmac. Sci. 2012, 2, 40–44. [Google Scholar]
- Mohamed, M.M.; Fouad, S.A.; Elshoky, H.A.; Mohammed, G.M.; Salaheldin, T.A. Antibacterial effect of gold nanoparticles against Corynebacterium pseudotuberculosis. Int. J. Vet. Sci. Med. 2017, 5, 23–29. [Google Scholar] [CrossRef] [PubMed] [Green Version]
- Amara, U.; Shad, S.; Ilyas, N.; Manaf, A.; Raja, N.L.; Mashwani, Z.U.R. In vitro germination and biochemical profiling of Brassica napus in response to biosynthesised zinc nanoparticles. IET Nanobiotechnol. 2018, 13, 46–51. [Google Scholar] [CrossRef]
- Sheela, T.; Arthoba Nayaka, Y.; Viswanatha, R.; Basavanna, S.; Venkatesha, T.G. Kinetics and thermodynamics studies on the adsorption of Zn(II), Cd(II) and Hg(II) from aqueous solution using zinc oxide nanoparticles. Powder Technol. 2012, 217, 163–170. [Google Scholar] [CrossRef]
- Somu, P.; Paul, S. Casein based biogenic-synthesized zinc oxide nanoparticles simultaneously decontaminate heavy metals, dyes, and pathogenic microbes: A rational strategy for wastewater treatment. J. Chem. Technol. Biotechnol. 2018, 93, 2962–2976. [Google Scholar] [CrossRef]
- Yogesh Kumar, K.; Muralidhara, H.B.; Arthoba Nayaka, Y.; Balasubramanyam, J.; Hanumanthappa, H. Low-cost synthesis of metal oxide nanoparticles and their application in adsorption of commercial dye and heavy metal ion in aqueous solution. Powder Technol. 2013, 246, 125–136. [Google Scholar] [CrossRef]
- Michalak, I.; Lewandowska, S.; Niemczyk, K.; Detyna, J.; Bujak, H.; Arik, P.; Bartniczak, A. Germination of soybean seeds exposed to the static/alternating magnetic field and algal extract. Eng Life Sci. 2019, 19, 986–999. [Google Scholar] [CrossRef] [Green Version]
- Yu, Y.; Navarro, A.V.; Sahuquillo, À.; Zhou, G.; López-Sánchez, J.F. Arsenosugar standards extracted from algae: Isolation, characterization and use for identification and quantification purposes. J. Chromatogr. A. 2020, 1609, 460459. [Google Scholar] [CrossRef]
- Fakhari, S.; Jamzad, M.; Fard, H.K. Green synthesis of zinc oxide nanoparticles: A comparison. Green Chem. Lett. Rev. 2019, 12, 19–24. [Google Scholar] [CrossRef] [Green Version]
- Elumalai, K.; Velmurugan, S. Green synthesis, characterization and antimicrobial activities of zinc oxide nanoparticles from the leaf extract of Azadirachta indica (L.). Appl. Surf. Sci. 2015, 345, 329–336. [Google Scholar] [CrossRef]
- Vaishnav, J.; Subha, V.; Kirubanandan, S.; Arulmozhi, M.; Renganathan, S. Green synthesis of zinc oxide nanoparticles by Celosia argentea and its characterization. J. Optoelectron. Biomed. Mater. 2017, 9, 59–71. [Google Scholar]
- Itroutwar, P.D.; Govindaraju, K.; Tamilselvan, S.; Kannan, M.; Raja, K.; Subramanian, K.S. Seaweed-based biogenic ZnO nanoparticles for improving agro-morphological characteristics of rice (Oryza sativa L.). J. Plant Growth Regul. 2020, 39, 717–728. [Google Scholar] [CrossRef]
- Senthilkumar, S.R.; Thirumal, S. Green tea (Camellia sinensis) mediated synthesis of zinc oxide (ZnO) nanoparticles and studies on their antimicrobial activities. Int. J. Pharm. Pharm. Sci. 2014, 6, 461–465. [Google Scholar]
- Gruyer, N.; Dorais, M.; Bastien, C.; Dassylva, N.; Triffault-Bouchet, G. Interaction between silver nanoparticles and plant growth. Acta Hortic. 2014, 1037, 795–800. [Google Scholar] [CrossRef]
- Singh, D.; Kumar, A. Assessment of toxic interaction of nano zinc oxide and nano copper oxide on germination of Raphanus sativus seeds. Environ. Monit. Assess. 2019, 191, 703. [Google Scholar] [CrossRef]
- Mahmoud, A.W.M.; Abdelaziz, S.M.; El-Mogy, M.M.; Abdeldaym, E.A. Effect of foliar ZnO and FeO nanoparticles application on growth and nutritional quality of red radish and assessment of their accumulation on human health. Agriculture 2019, 65, 16–29. [Google Scholar] [CrossRef] [Green Version]
- Rizwan, M.; Ali, S.; Ali, B.; Adrees, M.; Arshad, M.; Hussain, A.; Zia Ur Rehman, M.; Waris, A. Zinc and iron oxide nanoparticles improved the plant growth and reduced the oxidative stress and cadmium concentration in wheat. Chemosphere 2019, 214, 269–277. [Google Scholar] [CrossRef]
- Rossi, L.; Fedenia, L.N.; Sharifan, H.; Ma, X.; Lombardini, L. Effects of foliar application of zinc sulfate and zinc nanoparticles in coffee (Coffea arabica L.) plants. Plant Physiol. Biochem. 2019, 135, 160–166. [Google Scholar] [CrossRef]
- Raskar, S.V.; Laware, S.L. Effect of zinc oxide nanoparticles on cytology and seed germination in onion. Int. J. Curr. Microbiol. App. Sci. 2014, 3, 467–473. [Google Scholar]
- Taheri, M.; Qarache, H.A.; Qarache, A.A.; Yoosefi, M. The effects of zinc-oxide nanoparticles on growth parameters of corn (SC704). STEM Fellowship J. 2015, 1, 17–20. [Google Scholar] [CrossRef] [Green Version]
- Torabian, S.; Zahedi, M.; Khoshgoftarmanesh, A. Effect of foliar spray of zinc oxide on some antioxidant enzymes activity of sunflower under salt stress. J. Agric. Sci. Technol. 2016, 18, 1013–1025. [Google Scholar]
- Afrayeem, S.M.; Chaurasia, A.K. Effect of zinc oxide nanoparticles on seed germination and seed vigour in chilli (Capsicum annuum L.). J. Pharmacogn. Phytochem. 2017, 6, 1564–1566. [Google Scholar]
- Rajiv, P.; Vanathi, P. Effect of parthenium based vermicompost and zinc oxide nanoparticles on growth and yield of Arachis Hypogaea L. in zinc deficient soil. Biocatal. Agric. Biotechnol. 2018, 13, 251–257. [Google Scholar] [CrossRef]
- Rawat, P.S.; Kumar, R.; Ram, P.; Pandey, P. Effect of nanoparticles on wheat seed germination and seedling growth. World Acad. Sci. Eng. Technol. 2018, 12, 13–16. [Google Scholar]
- Rai, D.; Moore, D.A.; Hess, N.J.; Rao, L.; Clark, S.B. Chromium(III) hydroxide solubility in the aqueous Na+-OH−-H2PO4−-HPO42−-PO43−-H2O system: A thermodynamic model. J. Solution Chem. 2004, 33, 1213–1242. [Google Scholar] [CrossRef]
- Hamdy, A.A. Biosorption of heavy metals by marine algae. Curr. Microbiol. 2000, 41, 232–238. [Google Scholar] [CrossRef]
- Murphy, V.; Hughes, H.; McLoughlin, P. Comparative study of chromium biosorption by red, green and brown seaweed biomass. Chemosphere 2008, 70, 1128–1134. [Google Scholar] [CrossRef] [PubMed]
- Starmach, K. Family: Cladophora Kutzing 1843. Identification Key. [Translation from: Flora Słodkowodna Polski 10, 227–263, 1972]; Freshwater Biological Association: Windermere, UK, 1975. [Google Scholar]
- Michalak, I.; Chojnacka, K. The new application of biosorption properties of Enteromorpha prolifera. Appl. Biochem. Biotechnol. 2010, 160, 1540–1556. [Google Scholar] [CrossRef]
- Ho, Y. Citation review of Lagergren kinetic rate equation on adsorption reactions. Scientometrics 2004, 59, 171–177. [Google Scholar]
- Yang, J.; Hou, B.; Wang, J.; Tian, B.; Bi, J.; Wang, N.; Li, X.; Huang, X. Nanomaterials for the removal of heavy metals from wastewater. Nanomaterials 2019, 9, 424. [Google Scholar] [CrossRef] [Green Version]
- International Organization for Standardization. ISO 14502-1:2005 Determination of Substances Characteristic of Green and Black Tea—Part 1: Content of Total Polyphenols in Tea—Colorimetric Method Using Folin-Ciocalteu Reagent; American National Standards Institute: Washington, DC, USA, 2005. [Google Scholar]
- Brand-Williams, W.; Cuvelier, M.E.; Berset, C. Use of a free radical method to evaluate antioxidant activity. LWT Food Sci. Technol. 1998, 28, 25–30. [Google Scholar] [CrossRef]
- Ni, Y.; Chen, S.; Kokot, S. Spectrophotometric determination of metal ions in electroplating solutions in the presence of EDTA with the aid of multivariate calibration and artificial neural networks. Anal. Chim. Acta 2002, 463, 305–316. [Google Scholar] [CrossRef]









| Mean ± SD | ||||
|---|---|---|---|---|
| Element/Wavelength (nm) | C. glomerata Biomass | C. glomerata Extract | C. glomerata Post-Extraction Residue | ZnO NPs |
| Al/396.152 | 263 ± 5 | 2.55 ± 0.01 | 250 ± 7 | 114 ± 1 |
| As/188.980 | 3.66 ± 0.24 | 0.058 ± 0.001 | 2.65 ± 0.16 | <0.0033 |
| B/249.772 | 54.1 ± 0.4 | 0.136 ± 0.004 | 57.6 ± 1.1 | 18.3 ± 0.1 |
| Ba/455.503 | 101 ± 1 | 0.204 ± 0.001 | 113 ± 2 | 2.02 ± 0.06 |
| Ca/396.847 | 164,829 ± 906 | 198 ± 1 | 180,769 ± 2287 | 2263 ± 20 |
| Cd/214.439 | <0.00029 | <0.00029 | <0.00029 | 1.10 ± 0.01 |
| Cr/267.716 | 0.379 ± 0.033 | 0.033 ± 0.002 | 1.55 ± 0.12 | 59.4 ± 1.2 |
| Cu/327.395 | 0.714 ± 0.039 | 0.016 ± 0.001 | 8.26 ± 0.16 | 13.5 ± 0.4 |
| Fe/238.204 | 571 ± 4 | 4.88 ± 0.02 | 566 ± 4 | 297 ± 7 |
| Hg/253.652 | <0.0027 | <0.0027 | <0.0027 | <0.0027 |
| K/766.491 | 22,212 ± 71 | 872 ± 10 | 8252 ± 92 | 522 ± 5 |
| Mg/285.213 | 1973 ± 30 | 31.4 ± 0.1 | 1610 ± 18 | 578 ± 3 |
| Mn/257.610 | 139 ± 1 | 1.54 ± 0.01 | 129 ± 2 | 25.4 ± 0.2 |
| Na/589.592 | 518 ± 10 | 18.3 ± 0.1 | 246 ± 1 | 13,580 ± 39 |
| P/213.618 | 1008 ± 15 | 21.1 ± 0.3 | 779 ± 9 | 215 ± 3 |
| Pb/220.353 | <0.0024 | <0.0024 | <0.0024 | 18.7 ± 0.3 |
| S/181.972 | 16,247 ± 112 | 284 ± 6 | 13,670 ± 87 | 10,154 ± 117 |
| Se/196.026 | <0.0068 | <0.0068 | <0.0068 | <0.0068 |
| Sr/407.771 | 203 ± 1 | 0.581 ± 0.002 | 221 ± 4 | 3.73 ± 0.03 |
| Zn/213.857 | 6.97 ± 0.25 | 0.070 ± 0.003 | 6.15 ± 0.08 | 699,621 ± 9894 |
| Parameter | Root Length (cm) * | Hypocotyl Length (cm) * | Epicotyl Length (cm) * | Whole Plant Length (cm) * | SPAD Index (-) * | Fresh Biomass Weight (g) (N = 3) ** | Fresh Biomass Weight per Seedling (g) | No. of Germinated Seedlings | |||||||||||
|---|---|---|---|---|---|---|---|---|---|---|---|---|---|---|---|---|---|---|---|
| Group | Q25 | Median | Q75 | Q25 | Median | Q75 | Q25 | Median | Q75 | Q25 | Median | Q75 | Q25 | Median | Q75 | Mean | SD | Mean | - |
| 20% | 4.7 | 7.2 a | 8.6 | 2.0 | 2.5 bcde | 3.0 | 1.1 | 1.4 jk | 1.7 | 3.5 | 3.8 pqrs | 4.6 | 42.5 | 48.9 x | 53.0 | 1.834 yz | 0.242 | 0.076 | 72 |
| 40% | 4.5 | 6.2 | 8.3 | 2.4 | 2.9 f | 3.4 | 1.3 | 1.6 l | 1.9 | 3.7 | 4.5 t | 5.1 | 46.2 | 53.1 | 57.0 | 2.146 a’ | 0.033 | 0.093 | 69 |
| 60% | 4.6 | 6.2 | 8.4 | 2.6 | 3.3 bg | 3.9 | 1.4 | 1.7 jm | 2.0 | 4.2 | 5.2 pu | 5.8 | 46.0 | 50.4 | 53.1 | 2.445 yb’ | 0.186 | 0.100 | 73 |
| 80% | 3.9 | 5.8 | 7.3 | 2.5 | 3.3 ch | 3.8 | 1.3 | 1.6 n | 1.9 | 4.0 | 4.8 qv | 5.7 | 49.2 | 54.6 | 60.2 | 2.128 c’ | 0.241 | 0.093 | 69 |
| 100% | 4.1 | 5.3 a | 6.8 | 2.5 | 3.1 di | 4.2 | 1.2 | 1.5 o | 1.9 | 3.6 | 4.9 rtw | 6.1 | 50.2 | 54.9 x | 61.0 | 2.007 d’ | 0.067 | 0.082 | 73 |
| H2O | 3.5 | 5.6 | 7.4 | 1.6 | 2.1 efghi | 2.3 | 0.8 | 1.0 klmno | 1.2 | 2.6 | 3.0 suvw | 3.5 | 39.2 | 51.1 | 56.5 | 1.055 za’b’c’d’ | 0.147 | 0.046 | 69 |
| Parameter | Root Length (cm) * | Hypocotyl Length (cm) * | Epicotyl Length (cm) * | Whole Plant Length (cm) * | SPAD Index (-) * | Fresh Biomass Weight (g) (N = 3) ** | Fresh Biomass Weight per Seedling (g) | No. of Germinated Seedlings | |||||||||||
|---|---|---|---|---|---|---|---|---|---|---|---|---|---|---|---|---|---|---|---|
| Group | Q25 | Median | Q75 | Q25 | Median | Q75 | Q25 | Median | Q75 | Q25 | Median | Q75 | Q25 | Median | Q75 | Mean | SD | Mean | - |
| N 10 | 4.1 | 6.1 | 9.5 | 1.8 | 2.6 | 3.0 | 1.1 | 1.2 | 1.4 | 3.0 | 3.9 | 4.4 | 46.7 | 53.4 | 59.1 | 1.354 | 0.099 | 0.059 | 69 |
| N 50 | 3.7 | 6.0 | 8.4 | 2.0 | 2.6 | 3.1 | 1.0 | 1.3 | 1.6 | 3.1 | 4.1 | 4.6 | 40.6 | 48.1 | 52.8 | 1.405 | 0.198 | 0.065 | 65 |
| N 100 | 4.4 | 6.3 | 8.4 | 1.8 | 2.3 | 3.1 | 1.1 | 1.3 | 1.6 | 3.1 | 3.8 | 4.4 | 44.7 | 50.6 | 58.6 | 1.516 | 0.185 | 0.066 | 69 |
| S 10 | 4.3 | 6.2 | 9.0 | 1.8 | 2.2 | 2.8 | 1.0 | 1.2 | 1.5 | 3.1 | 3.6 | 4.3 | 39.4 | 52.3 | 58.9 | 1.588 | 0.217 | 0.067 | 71 |
| S 50 | 4.6 | 6.8 | 7.9 | 1.7 | 2.1 | 2.6 | 1.0 | 1.2 | 1.5 | 2.8 | 3.3 | 4.1 | 44.3 | 50.7 | 59.4 | 1.666 | 0.094 | 0.068 | 73 |
| S 100 | 3.5 | 6.1 | 8.0 | 1.8 | 2.2 | 2.2 | 1.0 | 1.2 | 1.6 | 2.9 | 3.6 | 4.4 | 46.9 | 48.9 | 57.4 | 1.661 | 0.166 | 0.073 | 68 |
| H2O | 4.0 | 6.0 | 8.4 | 1.9 | 2.4 | 2.4 | 1.0 | 1.3 | 1.5 | 3.2 | 3.6 | 4.2 | 40.2 | 48.2 | 54.1 | 1.620 | 0.338 | 0.070 | 69 |
| C. glomerata Biomass | C. glomerata Post-Extraction Residue | ZnO NPs | |||||||
|---|---|---|---|---|---|---|---|---|---|
| Initial pH | qeq (mg/g) | k2 (g/(mg ∙ min)) | R2 | qeq (mg/g) | k2 (g/(mg ∙ min)) | R2 | qeq (mg/g) | k2 (g/(mg ∙ min)) | R2 |
| 5 | 196 | 0.00064 | 0.9997 | 208 | 0.00219 | 0.9999 | 115 | 0.00180 | 0.9789 |
| 4 | 313 | 0.00048 | 0.9995 | 333 | 0.00041 | 0.9992 | 227 | 0.00019 | 0.9698 |
| 3 | 141 | 0.00438 | 0.9991 | 172 | 0.00106 | 0.9994 | 185 | 0.00035 | 0.9800 |
| C. glomerata Biomass | C. glomerata Post-Extraction Residue | ZnO NPs | |||||||
|---|---|---|---|---|---|---|---|---|---|
| C0 (mg/L) | qeq (mg/g) | k2 (g/(mg ∙ min)) | R2 | qeq (mg/g) | k2 (g/(mg ∙ min)) | R2 | qeq (mg/g) | k2 (g/(mg ∙ min)) | R2 |
| 300 | 196.1 | 0.00064 | 0.9997 | 208.3 | 0.00219 | 0.9999 | 114.9 | 0.00180 | 0.9789 |
| 200 | 344.8 | 0.00044 | 0.9999 | 344.8 | 0.00056 | 0.9999 | 222.2 | 0.00025 | 0.9887 |
| 100 | 243.9 | 0.00058 | 0.9979 | 250.0 | 0.00114 | 0.9988 | 196.1 | 0.00023 | 0.9914 |
Publisher’s Note: MDPI stays neutral with regard to jurisdictional claims in published maps and institutional affiliations. |
© 2021 by the authors. Licensee MDPI, Basel, Switzerland. This article is an open access article distributed under the terms and conditions of the Creative Commons Attribution (CC BY) license (https://creativecommons.org/licenses/by/4.0/).
Share and Cite
Dziergowska, K.; Wełna, M.; Szymczycha-Madeja, A.; Chęcmanowski, J.; Michalak, I. Valorization of Cladophora glomerata Biomass and Obtained Bioproducts into Biostimulants of Plant Growth and as Sorbents (Biosorbents) of Metal Ions. Molecules 2021, 26, 6917. https://doi.org/10.3390/molecules26226917
Dziergowska K, Wełna M, Szymczycha-Madeja A, Chęcmanowski J, Michalak I. Valorization of Cladophora glomerata Biomass and Obtained Bioproducts into Biostimulants of Plant Growth and as Sorbents (Biosorbents) of Metal Ions. Molecules. 2021; 26(22):6917. https://doi.org/10.3390/molecules26226917
Chicago/Turabian StyleDziergowska, Katarzyna, Maja Wełna, Anna Szymczycha-Madeja, Jacek Chęcmanowski, and Izabela Michalak. 2021. "Valorization of Cladophora glomerata Biomass and Obtained Bioproducts into Biostimulants of Plant Growth and as Sorbents (Biosorbents) of Metal Ions" Molecules 26, no. 22: 6917. https://doi.org/10.3390/molecules26226917
APA StyleDziergowska, K., Wełna, M., Szymczycha-Madeja, A., Chęcmanowski, J., & Michalak, I. (2021). Valorization of Cladophora glomerata Biomass and Obtained Bioproducts into Biostimulants of Plant Growth and as Sorbents (Biosorbents) of Metal Ions. Molecules, 26(22), 6917. https://doi.org/10.3390/molecules26226917

