Design and Characterization of Maltoheptaose-b-Polystyrene Nanoparticles, as a Potential New Nanocarrier for Oral Delivery of Tamoxifen
Abstract
:1. Introduction
2. Results and Discussion
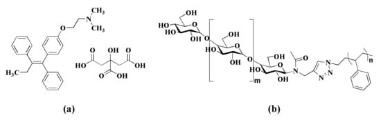
2.1. Formulations and Physicochemical Properties of MH-b-PS@TMC Nanoparticles
2.2. Encapsulation Efficiency, Drug Loading, and In Vitro Release Kinetics by the HPLC-UV Method
2.3. Cell Culture Studies
3. Materials and Methods
3.1. Materials
3.2. Nanoparticles Preparation
3.3. Physicochemical Characterization of MH-b-PS Nanoparticles
3.4. Determination of Drug Content and Encapsulation Efficiency
3.5. In Vitro Release Kinetics
3.6. In Vitro Cytotoxicity on MCF-7 Cells
Supplementary Materials
Author Contributions
Funding
Institutional Review Board Statement
Informed Consent Statement
Data Availability Statement
Acknowledgments
Conflicts of Interest
Sample Availability
References
- Sparreboom, A.; de Jonge, M.J.; Verweij, J. The use of oral cytotoxic and cytostatic drugs in cancer treatment. Eur. J. Cancer 2002, 38, 18–22. [Google Scholar] [CrossRef]
- Sanchez-Spitman, A.B.; Swen, J.J.; Dezentje, V.O.; Moes, D.J.A.R.; Gelderblom, H.; Guchelaar, H.J. Expert Review of Clinical Pharmacology Clinical pharmacokinetics and pharmacogenetics of tamoxifen and endoxifen. Expert Rev. Clin. Pharmacol. 2019, 12, 523–536. [Google Scholar] [CrossRef] [PubMed]
- Desta, Z.; Ward, B.A.; Soukhova, N.V.; Flockhart, D.A. Comprehensive evaluation of tamoxifen sequential biotransformation by the human cytochrome P450 system in vitro: Prominent roles for CYP3A and CYP2D6. J. Pharmacol. Exp. Ther. 2004, 310, 1062–1075. [Google Scholar] [CrossRef]
- Lu, W.J.; Xu, C.; Pei, Z.; Mayhoub, A.S.; Cushman, M.; Flockhart, D.A. The tamoxifen metabolite norendoxifen is a potent and selective inhibitor of aromatase (CYP19) and a potential lead compound for novel therapeutic agents. Breast Cancer Res. Treat. 2012, 133, 99–109. [Google Scholar] [CrossRef]
- Lv, W.; Liu, J.; Lu, D.; Flockhart, D.A.; Cushman, M. Synthesis of Mixed (E,Z)-, (E)-, and (Z)-Norendoxifen with Dual Aromatase Inhibitory and Estrogen Receptor Modulatory Activities. Breast Cancer Res. Treat 2014, 56, 4611–4618. [Google Scholar] [CrossRef] [Green Version]
- Ma, J.; Chu, Z.; Li, B.; Liu, J.; Zhang, Q.; Liu, Z. The Cytochrome P450 Enzyme Responsible for the Production of (Z)-Norendoxifen in vitro. Chem. Biodivers. 2018, 15. [Google Scholar] [CrossRef]
- Jin, Y.; Desta, Z.; Stearns, V.; Ward, B.; Ho, H.; Lee, K.H.; Skaar, T.; Storniolo, A.M.; Li, L.; Araba, A.; et al. CYP2D6 genotype, antidepressant use, and tamoxifen metabolism during adjuvant breast cancer treatment. J. Natl. Cancer Inst. 2005, 97, 30–39. [Google Scholar] [CrossRef] [PubMed] [Green Version]
- Elnaggar, Y.S.R.; El-Massik, M.A.; Abdallah, O.Y. Self-nanoemulsifying drug delivery systems of tamoxifen citrate: Design and optimization. Int. J. Pharm. 2009, 380, 133–141. [Google Scholar] [CrossRef]
- Öztürk-Atar, K.; Kaplan, M.; Çalış, S. Development and evaluation of polymeric micelle containing tablet formulation for poorly water-soluble drug: Tamoxifen citrate. Drug Dev. Ind. Pharm. 2020, 46, 1695–1704. [Google Scholar] [CrossRef] [PubMed]
- Barbieri, S.; Sonvico, F.; Como, C.; Colombo, G.; Zani, F.; Buttini, F.; Bettini, R.; Rossi, A.; Colombo, P. Lecithin/chitosan controlled release nanopreparations of tamoxifen citrate: Loading, enzyme-trigger release and cell uptake. J. Control. Release 2013, 167, 276–283. [Google Scholar] [CrossRef]
- Cirpanli, Y.; Yerlikaya, F.; Ozturk, K.; Erdogar, N.; Launay, M.; Gegu, C.; Leturgez, T.; Bilensoy, E.; Calis, S.; Capan, Y. Comparative evaluation of in vitro parameters of tamoxifen citrate loaded poly(lactide-co-glycolide), poly(ε-caprolactone) and chitosan nanoparticles. Pharmazie 2010, 65, 867–870. [Google Scholar] [CrossRef]
- Thotakura, N.; Dadarwal, M.; Kumar, P.; Sharma, G.; Guru, S.K.; Bhushan, S.; Raza, K.; Katare, O.P. Chitosan-Stearic Acid Based Polymeric Micelles for the Effective Delivery of Tamoxifen: Cytotoxic and Pharmacokinetic Evaluation. AAPS PharmSciTech 2017, 18, 759–768. [Google Scholar] [CrossRef] [PubMed]
- Barbieri, S.; Buttini, F.; Rossi, A.; Bettini, R.; Colombo, P.; Ponchel, G.; Sonvico, F.; Colombo, G. Ex vivo permeation of tamoxifen and its 4-OH metabolite through rat intestine from lecithin/chitosan nanoparticles. Int. J. Pharm. 2015, 491, 99–104. [Google Scholar] [CrossRef]
- Granada, A.; Otsuka, I.; Caon, T.; Silva, M.A.S.; Soldi, V.; Borsali, R. Novel hybrid block copolymer nanocarrier systems to load lipophilic drugs prepared by microphase inversion method. J. Polym. Res. 2017, 24, 226. [Google Scholar] [CrossRef]
- Zepon, K.M.; Otsuka, I.; Bouilhac, C.; Muniz, E.C.; Soldi, V.; Borsali, R. Glyco-nanoparticles made from self-assembly of maltoheptaose- block -poly(methyl methacrylate): Micelle, reverse micelle, and encapsulation. Biomacromolecules 2015, 16, 2012–2024. [Google Scholar] [CrossRef] [PubMed]
- Otsuka, I.; Osaka, M.; Sakai, Y.; Travelet, C.; Putaux, J.L.; Borsali, R. Self-assembly of maltoheptaose-block-polystyrene into micellar nanoparticles and encapsulation of gold nanoparticles. Langmuir 2013, 29, 15224–15230. [Google Scholar] [CrossRef]
- Liao, Y.; Goujon, L.J.; Reynaud, E.; Halila, S.; Gibaud, A.; Wei, B.; Borsali, R. Self-assembly of copper-free maltoheptaose-block-polystyrene nanostructured thin films in real and reciprocal space. Carbohydr. Polym. 2019, 212, 222–228. [Google Scholar] [CrossRef] [PubMed]
- Liao, Y.; Chen, W.C.; Borsali, R. Carbohydrate-Based Block Copolymer Thin Films: Ultrafast Nano-Organization with 7 nm Resolution Using Microwave Energy. Adv. Mater. 2017, 29. [Google Scholar] [CrossRef]
- Otsuka, I.; Tallegas, S.; Sakai, Y.; Rochas, C.; Halila, S.; Fort, S.; Bsiesy, A.; Baron, T.; Borsali, R. Control of 10 nm scale cylinder orientation in self-organized sugar-based block copolymer thin films. Nanoscale 2013, 5, 2637–2641. [Google Scholar] [CrossRef]
- Otsuka, I.; Isono, T.; Rochas, C.; Halila, S.; Fort, S.; Satoh, T.; Kakuchi, T.; Borsali, R. 10 Nm Scale Cylinder-Cubic Phase Transition Induced By Caramelization in Sugar-Based Block Copolymers. ACS Macro Lett. 2012, 1, 1379–1382. [Google Scholar] [CrossRef]
- Isono, T.; Otsuka, I.; Kondo, Y.; Halila, S.; Fort, S.; Rochas, C.; Satoh, T.; Borsali, R.; Kakuchi, T. Sub-10 nm nano-organization in AB2- and AB3-type miktoarm star copolymers consisting of maltoheptaose and polycaprolactone. Macromolecules 2013, 46, 1461–1469. [Google Scholar] [CrossRef]
- Isono, T.; Otsuka, I.; Suemasa, D.; Rochas, C.; Satoh, T.; Borsali, R.; Kakuchi, T. Synthesis, self-assembly, and thermal caramelization of maltoheptaose-conjugated polycaprolactones leading to spherical, cylindrical, and lamellar morphologies. Macromolecules 2013, 46, 8932–8940. [Google Scholar] [CrossRef]
- Isono, T.; Miyachi, K.; Satoh, Y.; Nakamura, R.; Zhang, Y.; Otsuka, I.; Tajima, K.; Kakuchi, T.; Borsali, R.; Satoh, T. Self-Assembly of Maltoheptaose-block-polycaprolactone Copolymers: Carbohydrate-Decorated Nanoparticles with Tunable Morphology and Size in Aqueous Media. Macromolecules 2016, 49, 4178–4194. [Google Scholar] [CrossRef]
- Petrelli, A.; Borsali, R.; Fort, S.; Halila, S. Oligosaccharide-based block copolymers: Metal-free thiol-maleimide click conjugation and self-assembly into nanoparticles. Carbohydr. Polym. 2015, 124, 109–116. [Google Scholar] [CrossRef] [PubMed]
- Zepon, K.M.; Otsuka, I.; Bouilhac, C.; Muniz, E.C.; Soldi, V.; Borsali, R. Self-assembly of oligosaccharide-b-PMMA block copolymer systems: Glyco-nanoparticles and their degradation under UV exposure. Langmuir 2016, 32, 4538–4545. [Google Scholar] [CrossRef] [PubMed]
- Tekade, R.K.; Sun, X. The Warburg effect and glucose-derived cancer theranostics. Drug Discov. Today 2017, 22, 1637–1653. [Google Scholar] [CrossRef]
- Venturelli, L.; Nappini, S.; Bulfoni, M.; Gianfranceschi, G.; Dal Zilio, S.; Coceano, G.; Del Ben, F.; Turetta, M.; Scoles, G.; Vaccari, L.; et al. Glucose is a key driver for GLUT1-mediated nanoparticles internalization in breast cancer cells. Sci. Rep. 2016, 6, 21629. [Google Scholar] [CrossRef] [PubMed] [Green Version]
- Loos, C.; Syrovets, T.; Musyanovych, A.; Mailänder, V.; Landfester, K.; Nienhaus, G.U.; Simmet, T. Functionalized polystyrene nanoparticles as a platform for studying bio–nano interactions. Beilstein J. Nanotechnol. 2014, 5, 2403–2412. [Google Scholar] [CrossRef] [Green Version]
- Molugu, S.; Qu, L.; Lin, Y.; Sun, Y.-P.; Tzeng, T.-R.; Stutzenberger, F.J.; Latour, R.A. In Vitro and In Vivo Biocompatibility of Mannosylated Polystyrene Nanoparticles. J. Biomed. Nanotechnol. 2006, 2, 1–10. [Google Scholar] [CrossRef]
- Guo, S.; Liang, Y.; Liu, L.; Yin, M.; Wang, A.; Sun, K.; Li, Y.; Shi, Y. Research on the fate of polymeric nanoparticles in the process of the intestinal absorption based on model nanoparticles with various characteristics: Size, surface charge and pro-hydrophobics. J. Nanobiotechnol. 2021, 19, 32. [Google Scholar] [CrossRef]
- Liu, J.; Leng, P.; Liu, Y. Oral drug delivery with nanoparticles into the gastrointestinal mucosa. Fundam. Clin. Pharmacol. 2021, 35, 86–96. [Google Scholar] [CrossRef]
- des Rieux, A.; Fievez, V.; Garinot, M.; Schneider, Y.J.; Préat, V. Nanoparticles as potential oral delivery systems of proteins and vaccines: A mechanistic approach. J. Control. Release 2006, 116, 1–27. [Google Scholar] [CrossRef]
- Roger, E.; Lagarce, F.; Garcion, E.; Benoit, J.-P. Biopharmaceutical parameters to consider in order to alter the fate of nanocarriers after oral delivery. Nanomedicine 2010, 5, 287–306. [Google Scholar] [CrossRef] [PubMed] [Green Version]
- Desai, M.P.; Labhasetwar, V.; Amidon, G.L.; Levy, R.J. Gastrointestinal uptake of biodegradable microparticles: Effect of particle size. Pharm. Res. 1996, 13, 1838–1845. [Google Scholar] [CrossRef] [PubMed]
- Kulkarni, S.A.; Feng, S.-S. Effects of Particle Size and Surface Modification on Cellular Uptake and Biodistribution of Polymeric Nanoparticles for Drug Delivery. Pharm. Res. 2013, 30, 2512–2522. [Google Scholar] [CrossRef]
- Dai, Y.; Xu, C.; Sun, X.; Chen, X. Nanoparticle design strategies for enhanced anticancer therapy by exploiting the tumour microenvironment. Chem. Soc. Rev. 2017, 46, 3830–3852. [Google Scholar] [CrossRef] [PubMed]
- He, C.; Hu, Y.; Yin, L.; Tang, C.; Yin, C. Effects of particle size and surface charge on cellular uptake and biodistribution of polymeric nanoparticles. Biomaterials 2010, 31, 3657–3666. [Google Scholar] [CrossRef]
- Liu, X.; Shen, J.; Thomas, J.C.; Clementi, L.A.; Sun, X. Multiangle dynamic light scattering analysis using a modified Chahine method. J. Quant. Spectrosc. Radiat. Transf. 2012, 113, 489–497. [Google Scholar] [CrossRef]
- Naiim, M.; Boualem, A.; Ferre, C.; Jabloun, M.; Jalocha, A.; Ravier, P. Multiangle dynamic light scattering for the improvement of multimodal particle size distribution measurements. Soft Matter 2015, 11, 28–32. [Google Scholar] [CrossRef]
- Gallego-Urrea, J.A.; Tuoriniemi, J.; Hassellöv, M. Applications of particle-tracking analysis to the determination of size distributions and concentrations of nanoparticles in environmental, biological and food samples. TrAC—Trends Anal. Chem. 2011, 30, 473–483. [Google Scholar] [CrossRef]
- Hole, P.; Sillence, K.; Hannell, C.; Maguire, C.M.; Roesslein, M.; Suarez, G.; Capracotta, S.; Magdolenova, Z.; Horev-Azaria, L.; Dybowska, A.; et al. Interlaboratory comparison of size measurements on nanoparticles using nanoparticle tracking analysis (NTA). J. Nanoparticle Res. 2013, 15. [Google Scholar] [CrossRef] [PubMed] [Green Version]
- Filipe, V.; Hawe, A.; Jiskoot, W. Critical Evaluation of Nanoparticle Tracking Analysis (NTA) by NanoSight for the Measurement of Nanoparticles and Protein Aggregates. Pharm. Res. 2010, 27, 796–810. [Google Scholar] [CrossRef] [PubMed] [Green Version]
- Almeida, J.S.; Lima, F.; da Ros, S.; Bulhões, L.O.S.; de Carvalho, L.M.; Beck, R.C.R. Nanostructured Systems Containing Rutin: In Vitro Antioxidant Activity and Photostability Studies. Nanoscale Res. Lett. 2010, 5, 1603–1610. [Google Scholar] [CrossRef] [PubMed] [Green Version]
- Kamaly, N.; Yameen, B.; Wu, J.; Farokhzad, O.C. Degradable controlled-release polymers and polymeric nanoparticles: Mechanisms of controlling drug release. Chem. Rev. 2016, 116, 2602–2663. [Google Scholar] [CrossRef] [Green Version]
- Deprá, T.; Souza, D.; Isa, F.; Friedrich, D.; Cristina, S.; Luisa, C.; Christ, R.; Santos, V.; Quintana, L.; Lopes, S.; et al. European Journal of Pharmaceutical Sciences Evaluation of photodynamic activity, photostability and in vitro drug release of zinc phthalocyanine-loaded nanocapsules. Eur. J. Pharm. Sci. 2016, 83, 88–98. [Google Scholar] [CrossRef]
- Morgulchik, N.; Kamaly, N. Meta-analysis of In Vitro Drug-Release Parameters Reveals Predictable and Robust Kinetics for Redox-Responsive Drug-Conjugated Therapeutic Nanogels. ACS Appl. Nano Mater. 2021, 4, 4256–4268. [Google Scholar] [CrossRef]
- Chawla, J.S.; Amiji, M.M. Biodegradable poly(ε-caprolactone) nanoparticles for tumor-targeted delivery of tamoxifen. Int. J. Pharm. 2002, 249, 127–138. [Google Scholar] [CrossRef]
- Kathle, P.K.; Gautam, N.; Kesavan, K. Tamoxifen citrate loaded chitosan-gellan nanocapsules for breast cancer therapy: Development, characterisation and in-vitro cell viability study. J. Microencapsul. 2018, 35, 292–300. [Google Scholar] [CrossRef]
- Brigger, I.; Chaminade, P.; Marsaud, V.; Appel, M.; Besnard, M.; Gurny, R.; Renoir, M.; Couvreur, P. Tamoxifen encapsulation within polyethylene glycol-coated nanospheres. A new antiestrogen formulation. Int. J. Pharm. 2001, 214, 37–42. [Google Scholar] [CrossRef]
- Zeng, K.; Ju, G.; Wang, H.; Huang, J. GLUT1/3/4 as novel biomarkers for the prognosis of human breast cancer. Transl. Cancer Res. 2020, 9, 2363–2377. [Google Scholar] [CrossRef]
- Sztandera, K.; Działak, P.; Marcinkowska, M.; Stańczyk, M.; Gorzkiewicz, M.; Janaszewska, A.; Klajnert-Maculewicz, B. Sugar Modification Enhances Cytotoxic Activity of PAMAM-Doxorubicin Conjugate in Glucose-Deprived MCF-7 Cells—Possible Role of GLUT1 Transporter. Pharm. Res. 2019, 36. [Google Scholar] [CrossRef] [PubMed] [Green Version]
- Li, X.Y.; Zheng, Z.B.; Yu, D.G.; Liu, X.K.; Qu, Y.L.; Li, H.L. Electrosprayed sperical ethylcellulose nanoparticles for an improved sustained-release profile of anticancer drug. Cellulose 2017, 24, 5551–5564. [Google Scholar] [CrossRef]
- Regina Ebani, P.; Stefanello, L.; Luiza Kuhn, B.; Piccinin Frizzo, C.; Augusto Lima Burgo, T.; Luisa Kloster, C.; Antonio Villetti, M. Carboxymethyl chitosan/ionic liquid imidazolium-based nanoparticles as nanocarriers for zinc phthalocyanine and its photodynamic activity. J. Mol. Liq. 2021, 336. [Google Scholar] [CrossRef]






| Sample | Dh (nm) 1 | PDI 2 | ζ Potential (mV) |
|---|---|---|---|
| Reverse Nanoprecipitation | |||
| NP-1 | 243 ± 2.3 | 0.270 ± 0.006 | +31.53 ± 0.21 |
| NP-2 | 300 ± 8.2 | 0.474 ± 0.068 | +36.90 ± 0.42 |
| NP-3 | 229 ± 0.8 | 0.197 ± 0.010 | +26.40 ± 0.07 |
| NP-4 | 277 ± 20.3 | 0.373 ± 0.032 | +37.97 ± 0.61 |
| NP-5 | 264 ± 4.3 | 0.246 ± 0.010 | +32.16 ± 0.89 |
| NP-6 | 438 ± 5.6 | 0.292 ± 0.004 | +24.10 ± 0.46 |
| Standard Nanoprecipitation | |||
| NP-7 | 82 ± 0.6 | 0.119 ± 0.014 | +20.70 ± 1.99 |
| NP-8 | 74 ± 0.6 | 0.146 ± 0.003 | +21.53 ± 1.20 |
| NP-9 | 74 ± 0.5 | 0.145 ± 0.006 | +21.90 ± 3.30 |
| NP-10 | 78 ± 0.6 | 0.113 ± 0.015 | +20.80 ± 0.50 |
| NP-11 | 74 ± 2.5 | 0.118 ± 0.004 | +21.50 ± 3.00 |
| Blank NP-11 | 88 ± 7.1 | 0.094 ± 0.032 | −11.73 ± 3.69 |
| Model | Parameters | ||
|---|---|---|---|
| Zero Order | |||
| First Order | |||
| Biexponential | |||
| Higuchi | |||
| Korsmeyer–Peppas | |||
| Hixon–Crowell |
| Treatment | IC50 @ 24 h (µg/mL) | IC50 @ 72 h (µg/mL) |
|---|---|---|
| Blank MH-b-PS | 39.43 (30.64–51.03) | 19.20 (14.85–24.86) |
| MH-b-PS@TMC | 5.14 (3.96–6.68) | 3.85 (2.98–4.97) |
| TMC solution | 9.95 (7.32–13.54) | 9.00 (6.81–11.98) |
Publisher’s Note: MDPI stays neutral with regard to jurisdictional claims in published maps and institutional affiliations. |
© 2021 by the authors. Licensee MDPI, Basel, Switzerland. This article is an open access article distributed under the terms and conditions of the Creative Commons Attribution (CC BY) license (https://creativecommons.org/licenses/by/4.0/).
Share and Cite
Villetti, M.A.; Clementino, A.R.; Dotti, I.; Ebani, P.R.; Quarta, E.; Buttini, F.; Sonvico, F.; Bianchera, A.; Borsali, R. Design and Characterization of Maltoheptaose-b-Polystyrene Nanoparticles, as a Potential New Nanocarrier for Oral Delivery of Tamoxifen. Molecules 2021, 26, 6507. https://doi.org/10.3390/molecules26216507
Villetti MA, Clementino AR, Dotti I, Ebani PR, Quarta E, Buttini F, Sonvico F, Bianchera A, Borsali R. Design and Characterization of Maltoheptaose-b-Polystyrene Nanoparticles, as a Potential New Nanocarrier for Oral Delivery of Tamoxifen. Molecules. 2021; 26(21):6507. https://doi.org/10.3390/molecules26216507
Chicago/Turabian StyleVilletti, Marcos Antonio, Adryana Rocha Clementino, Ilaria Dotti, Patricia Regina Ebani, Eride Quarta, Francesca Buttini, Fabio Sonvico, Annalisa Bianchera, and Redouane Borsali. 2021. "Design and Characterization of Maltoheptaose-b-Polystyrene Nanoparticles, as a Potential New Nanocarrier for Oral Delivery of Tamoxifen" Molecules 26, no. 21: 6507. https://doi.org/10.3390/molecules26216507
APA StyleVilletti, M. A., Clementino, A. R., Dotti, I., Ebani, P. R., Quarta, E., Buttini, F., Sonvico, F., Bianchera, A., & Borsali, R. (2021). Design and Characterization of Maltoheptaose-b-Polystyrene Nanoparticles, as a Potential New Nanocarrier for Oral Delivery of Tamoxifen. Molecules, 26(21), 6507. https://doi.org/10.3390/molecules26216507

