Abstract
A high-order multicomponent reaction involving a six-component reaction to obtain the novel linked 1,5-disubstituted tetrazole-1,2,3-triazole hybrids in low to moderate yield is described. This one-pot reaction is carried out under a cascade process consisting of three sequential reactions: Ugi-azide, bimolecular nucleophilic substitution (SN2), and copper-catalyzed alkyne–azide reaction (CuAAC), with high atom and step-economy due the formation of six new bonds (one C-C, four C-N, and one N-N). Thus, the protocol developed offers operational simplicity, mild reaction conditions, and structural diversity. Finally, to evaluate the antitumoral potential of the synthetized molecules, a proliferation study was performed in the breast cancer (BC) derived cell line MCF-7. The hybrid compounds showed several degrees of cell proliferation inhibition with a remarkable effect in those compounds with cyclohexane and halogens in their structures. These compounds represent potential drug candidates for breast cancer treatment. However, additionally assays are needed to elucidate their complete effect over the cellular hallmarks of cancer.
1. Introduction
Five-membered aromatic nitrogenous heterocyclic systems are mostly considered privileged structures in medicinal chemistry and are widely used in the development of synthetic strategies to obtain complex and structurally diverse libraries of bioactive compounds [1,2,3,4,5], being a topical challenge for organic chemists [6,7,8]. In recent years, 1,5-disubstituted tetrazoles (1,5-DS-T) and 1,2,3-triazoles have become a starting point in drug discovery projects due to their remarkable biological activities and their presence in marketed drugs, such as cephalosporin-like antibiotics, cilostazol, tazobactam, ticagrelor, and rufinamide [9,10,11,12,13,14]. In parallel, medicinal chemistry has developed molecular hybridization as a promising strategy to achieve highly active compounds with good selectivity and a desirable pharmacokinetic profile. The binding of at least two bioactive motifs (pharmacophores) or privileged structures in a single molecule is the essence of molecular hybridization [15,16,17].
Thus, heterocyclic compounds, such as 1,5-DS-T or 1,2,3-triazoles, and molecular hybridization make a powerful combination in the generation of libraries of compounds with potential biological activity [12,18,19,20,21]. This synergy is even more favored if efficient synthetic strategies such as isocyanide-based multicomponent reactions (I-MCR) are applied [22,23,24]. Among this group of MCRs, the Ugi-azide reaction undoubtedly occupies a relevant place in the synthetic landscape where the generation of 1,5-DS-T libraries becomes promising. It allows the fast, diverse, and efficient generation of series of compounds, which is further demonstrated by the synthesis of various hybrid systems containing 1,5-DS-T moiety, such as triazole-tetrazole 1 [25], phenylamino pyrimidine-tetrazole 2 [26], imidazole-tetrazole (3) [27], indole-tetrazole 4 [28], imidazol [1,2-a]pyridine-tetrazole 5 [29], and isoquinolone/pyridone-tetrazole 6 [30] (Figure 1).
Figure 1.
Examples of some hybrids systems containing a 1,5-DS-T moiety via Ugi-azide reaction.
In a previous work, we described a synthetic strategy for obtaining a series of 1,5-DS-T hybrid compounds linked to 1,2,3-triazoles in a two-step reaction process by the Ugi-azide reaction, followed by copper-catalyzed azide cycloaddition (CuAAC) as a post-condensation reaction, describing a reaction of its type for the first time in an Ugi-azide process [25]. Inspired by these results, we now decided to obtain the hybrid system in a one-pot process by a high-order multicomponent reaction. This is scarcely explored in comparison to a four- or three-component reaction [31]. Therefore, herein, we report a new high-order multicomponent reaction to synthetize novel 1,5-disubstituted tetrazole-1,2,3-triazoles hybrid system involving a six-component reaction under a cascade process (Ugi-azide, bimolecular nucleophilic substitution (SN2), and CuAAC). In addition, to evaluate the biological potential of these molecules, we also report the proliferation inhibition of the MCF-7 cell line, a model for breast cancer (BC). With 684,996 deaths registered annually [32], BC is one of most frequent carcinomas and deathliest pathologies worldwide [33,34].
2. Results and Discussion
In order to find the optimal reaction conditions for the high-order multicomponent reaction, we started with the synthesis of 13a as a model reaction using 2-fluorobenzaldehyde (8), azidotrimethylsilane (9), tert-butyl isocyanide (10), sodium azide (11), benzyl bromide (12), and propargylamine (7), the latter being the orthogonal starting material, which acts as a bifunctional reagent containing both the primary amino group for the initial MCR, and the alkyne group for the CuAAC reaction (Table 1). In a first attempt, the classical Ugi-azide reaction conditions were used, i.e., MeOH (1M) at room temperature, yielding the Ugi-azide product within two hours by monitoring the reaction by TLC. It is worth mentioning that formation of this product was reported by us [25], and in the present work, its isolation was not necessary, because the synthesis was performed in a one-pot fashion. The next step was the addition of sodium azide (11) and benzyl bromide (12) to the reaction mixture. The reaction was kept under stirring to finally add CuSO4.5H2O and sodium ascorbate to obtain the product 13a in 24 h, yielding 58% after purification (entry 1). The change of the solvent to glycerol, considering Zhao’s report, in which 1,4-disubstituted 1,2,3-triazoles were efficiently synthesized [35], showed a considerable decrease in the reaction yield to 11%, with considerable recovery of starting materials (entry 2). The drawback appeared to be more mechanical than chemical, as the reaction mixture was too dense and did not facilitate proper stirring. The same technical problem, as well as low yield (15%), was observed when t-BuOH:H2O was used as a solvent system [25]. (Entry 3) Finally, although very efficient for the synthesis of 1,5-DS-tetrazole and SN2, 2,2,2-trifluoroethanol (TFE) did not yield the expected product in the CuAAC reaction (Entry 4).
Table 1.
Optimization of the one-pot six-component reaction conditions.
Once the optimal reaction conditions were found, the scope of the procedure was evaluated to generate a new library of hybrid compounds of 1,5-disubstituted tetrazol-1,2,3-triazoles, decorated with groups of different stereoelectronic nature. Thus, the diversity of the reaction can be seen in the Scheme 1, obtaining the target molecules 13a–o in 22–58% yields. The identity of all compounds was confirmed by 1H and 13C NMR spectroscopy as well as HRMS. As it can be seen, the best yields were obtained using tert-butyl isocyanide. With respect to the influence of substituents from benzaldehyde component, electron-withdrawing groups such as fluorine in the ortho position and electron-donating groups such as methoxy in para position gave the best yields. On the other hand, the lowest yields were observed when benzaldehyde fluorinated in para position was used.
Scheme 1.
One-pot six-component synthesis of 1,5-disubstituted tetrazole-1,2,3-triazole hybrids.
The cascade reaction mechanism behind the target molecules 13a–o is depicted in Scheme 2. First, propargylamine 7 reacts with benzaldehyde derivate 8 to give the imine 14, which is protonated with HN3 (generated in situ by proton exchange between TMSN3 and methanol) affording the iminium ion 16. This ion is trapped by the isocyanide 10 to give the nitrilium ion 17, which is then attacked by the azide ion to afford the 1,5-DS-T 19 after of spontaneous 1,5-electrocyclization of 18. On the other hand, benzyl azide 20 is formed in situ via bimolecular nucleophilic substitution between sodium azide and benzyl bromide 12. Finally, a copper catalyzed alkyne–azide reaction takes place by reacting 1,5-DS-T 19 with benzyl azide 20 to afford the 1,5-disubstituted tetrazole-1,2,3-triazole hybrids 13.
Scheme 2.
Cascade process for the synthesis of target molecules 13a–o.
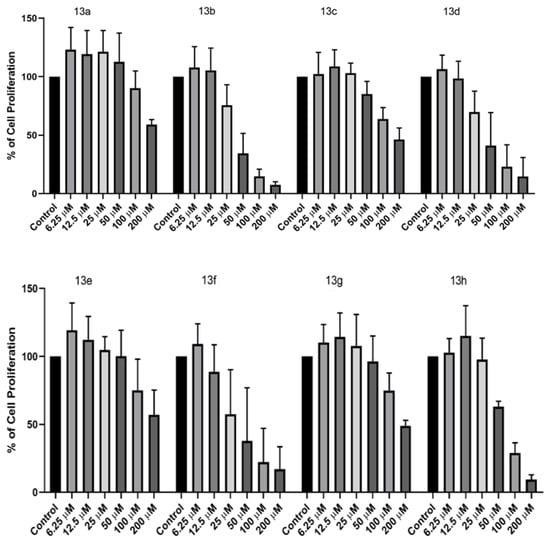
Compounds 13a–o were tested to evaluate their capacity to inhibit cell proliferation as one of the principal hallmarks of cancer. The cell line MCF-7 with a genotype ER+, PR+, or HER2− is a model of invasive breast ductal carcinoma, representing 70 to 80% of invasive BC. Cell proliferation inhibition of MCF-7 cells was primarily achieved by the following compounds in the next order: 13f, 13l, 13b, 13d, 13h, 13k, 13j, 13n, 13o, 13a, 13g, 13e, 13i, 13m, and 13c (Figure 2). Taxol and Etoposide were used as chemical controls of cell death induction (Figure 2 and Table 1).

Figure 2.
Differential effect of the compounds 13a–o in the proliferation of MCF-7 cell line. MCF-7 cells were treated with increased doses of compounds 13a to 13o and Taxol and Etoposide were used to compare the effect. Control cells are cells not treated.
A noticeable effect difference of near 200 and 25 times was observed in compound 13f (19.76) versus Taxol and Etoposide (0.0975 and 0.78 µM), respectively. However, this difference must by enclosed in the resistance that tumors present [36]. The combination of alternative compounds could be used for tumor cells with a resistance to Taxol and/or Etoposide treatments [37]. The activity of these compounds is not outstanding, but it is comparable with other groups of compounds, such as those reported by Shaaban and co-workers. Shaaban et al. reported 18 novel tetrazoles-based diselenides and seleoquinones, which were synthetized via an Ugi-azide reaction and assayed in MCF-7 cell lines, and the proliferation inhibition was ranked from 14 to 78 µM [38]. Our results are also comparable to those found by Nagarapu research group, in which the synthesis of a series of 1,2,3-triazole tethered chalcone acetamides was reported, ranking from an IC50 of 9.76 to 98 µM [39]. Additionally, carboxyamido-triazoles showed an IC50 of 16 µM on MCF-7 cells compared with 13f compound, which showed an IC50 of 19.76 µM. It should be considered that carboxyamido-triazoles have been tested in vivo in humans [40]. In this context, modifications to the structure of compound 13f are underway to achieve better results in proliferation inhibition as well as other hallmarks of cancer.
Finally, the cytotoxic activity assays IC50(µM) summarized in Table 2 indicate that growth inhibition is mainly influenced by the tetrazole substituent, where all compounds containing cyclohexyl (compounds 13b, 13d, 13f, 13h, 13j, 13l, and 13n) are more active, whereas the tert-butyl group leads to a loss of activity, with the exception of compounds 13e and 13k, where halogen (chlorine or bromine) probably plays an important role, as they also do in the cyclohexyl derivatives 13f and 13l, which are the most active of the whole series of compounds. On the other hand, the replacement of hydrogen by fluorine in the benzyl moiety notoriously favored an increase in the activity, as can be seen when comparing compounds 13h and 13n, where the presence of a fluorine atom in the position 2 gives rise to a change in the IC50 from 41.67 to 29.25 µM.
Table 2.
IC50 of the compounds 13a to 13o in MCF-7 cells.
3. Materials and Methods
3.1. Chemistry
3.1.1. General Information
All reagents, reactants, and solvents were purchased from Merck (Darmstad, Germany) without further purification. Melting points (uncorrected) were determined on a Fisher-Johns melting point apparatus. Column chromatography was performed using silica gel (230–400 mesh). Reaction progress was monitored by thin layer chromatography (TLC) with silica gel plates from Merck (silica gel 60 F254), and the spots were visualized under UV light at 254 or 365 nm. Chemical names and drawings were obtained using ChemDraw Professional (version 18.0.0.231). NMR spectra were recorded on a Varian Mercury (400 Mhz) spectrometer, using CDCl3 as the solvent and TMS as the internal reference. Chemical shifts were reported as δ values (ppm). Coupling constants J are reported in Hertz (Hz). High-resolution mass spectra (HRMS) were performed on Brucker microTOF.
3.1.2. General Procedure for Compounds 13a–o (GP)
Propargylamine (1.0 equiv.) and aldehyde (1.0 equiv.) were dissolved in MeOH (1 M) and reacted for 5 min; then, isocyanide (1.0 equiv.) and TMSN3 (1.2 equiv.) were sequentially added and stirred at room temperature for 2 h. Next, benzyl bromide (1.0 equiv.) and NaN3 (1.2 equiv.) were added, and the reaction mixture was stirred for 2 h at room temperature. Then, CuSO4.5H2O (0.05 equiv.) and sodium ascorbate (0.10 equiv.) were added. The reaction mixture was stirred for 24 h at room temperature. After, water (10 mL) and ethyl acetate (5 mL) were added, and the layers were separated. Aqueous layer was extracted with EtOAc (5 mL). The organic phases were washed twice with water (5 mL), dried over anhydrous Na2SO4, and evaporated under vacuum. The reaction crude was purified by flash column chromatography with Hexane:EtOAc 4:6 (v/v) to afford the compounds 13a–o.
3.1.3. Synthesis and Characterization of Compounds 13a–o
N-((1-benzyl-1H-1,2,3-triazol-4-yl)methyl)-1-(1-(tert-butyl)-1H-tetrazol-5-yl)-1-(2-fluorophenyl)methanamine (13a). Based on the GP1, propargylamine (23.2 µL, 0.36 mmol), 2-fluorobenzaldehyde (38.2 µL, 0.36 mmol), TMSN3 (57.2 µL, 0.43 mmol), tert-butyl isocyanide (41.0 µL, 0.36 mmol), benzyl bromide (43.1 µL, 0.36 mmol), sodium azide (28.2 mg, 0.43 mmol), CuSO4.5H2O (4.0 mg, 0.016 mmol), and sodium ascorbate (6.4 mg, 0.032 mmol) were used, and 13a was obtained as a yellow oil (yield 88.5 mg, 58%). Rf = 0.51 (Hexane-AcOEt 4:6 v/v); 1H NMR (400 MHz, CDCl3): δ = 7.46 (s, 1H), 7.40–7.35 (m, 3H), 7.31–7.24 (m, 4H), 7.12–7.05 (m, 2H), 5.78 (s, 1H), 5.51 (s, 2H), 3.90 (q, J = 12.0 Hz, 2H), 1.55 (s, 9H). 13C NMR (100 MHz, CDCl3): δ = 159.8 (d, J = 246.9 Hz), 154.6, 146.3, 134.6, 130.3 (d, J = 8.3 Hz), 129.0, 128.9 (d, J = 2.9 Hz), 128.7, 128.0, 125.7 (d, J = 14.0 Hz), 125.0 (d, J = 3.5 Hz), 121.9, 115.7 (d, J = 22.1 Hz), 61.6, 54.1, 49.6, 42.7, 29.6 (Please see Supplementary Materials). HRMS (ESI+): m/z: Calcd. for C22H26FN8 [M + H]+: 421.2264; Found: 421.2268.
N-((1-benzyl-1H-1,2,3-triazol-4-yl)methyl)-1-(1-cyclohexyl-1H-tetrazol-5-yl)-1-(2-fluorophenyl)methanamine (13b). Based on the GP1, propargylamine (23.2 µL, 0.36 mmol), 2-fluorobenzaldehyde (38.2 µL, 0.36 mmol), TMSN3 (57.2 µL, 0.43 mmol), cyclohexyl isocyanide (45.1 µL, 0.36 mmol), benzyl bromide (43.1 µL, 0.36 mmol), sodium azide (28.2 mg, 0.43 mmol), CuSO4.5H2O (4.0 mg, 0.016 mmol), and sodium ascorbate (6.4 mg, 0.032 mmol) were used, and 13b was obtained as a beige solid (yield 85.6 mg, 53%). m.p. = 76–78 °C, Rf = 0.40 (Hexane-AcOEt 4:6 v/v); 1H NMR (400 MHz, CDCl3): δ = 7.41–7.36 (m, 5H), 7.31–7.25 (m, 3H), 7.17–7.13 (m, 1H), 7.09–7.04 (m, 1H), 5.57 (s, 1H), 5.51 (s, 2H), 4.22–4.15 (m, 1H), 3.90 (q, J = 12.0 Hz, 2H), 1.99–1.21 (m, 10H). 13C NMR (100 MHz, CDCl3): δ = 158.9, 154.1, 145.9, 134.5, 130.4 (d, J = 8.5 Hz), 129.1, 128.8, 128.7, 128.1, 125.1 (d, J = 3.5 Hz), 122.0, 115.7 (d, J = 22.0 Hz), 57.9, 54.1, 48.8, 42.3, 32.7, 32.6, 25.2, 25.2, 24.7. HRMS (ESI+): m/z: Calcd. for C24H28FN8 [M + H]+: 447.2421; Found: 447.2421.
N-((1-benzyl-1H-1,2,3-triazol-4-yl)methyl)-1-(1-(tert-butyl)-1H-tetrazol-5-yl)-1-(4-fluorophenyl)methanamine (13c). Based on the GP1, propargylamine (23.2 µL, 0.36 mmol), 4-fluorobenzaldehyde (38.9 µL, 0.36 mmol), TMSN3 (57.2 µL, 0.43 mmol), tert-butyl isocyanide (41.0 µL, 0.36 mmol), benzyl bromide (43.1 µL, 0.36 mmol), sodium azide (28.2 mg, 0.43 mmol), CuSO4.5H2O (4.0 mg, 0.016 mmol), and sodium ascorbate (6.4 mg, 0.032 mmol) were used, and 13c was obtained as a beige solid (yield 29.3 mg, 19%). m.p. = 113–115 °C, Rf = 0.53 (Hexane-AcOEt 4:6 v/v); 1H NMR (400 MHz, CDCl3): δ = 7.40 (s, 1H), 7.38–7.36 (m, 3H), 7.29–7.25 (m, 4H), 7.03–6.98 (m, 2H), 5.50 (s, 3H), 3.83 (q, J = 14.0 Hz, 2H), 1.96 (s, 9H). 13C NMR (100 MHz, CDCl3): δ = 162.5 (d, J = 248.0 Hz), 155.2, 146.5, 134.5, 134.3, 130.0 (d, J = 8.3 Hz), 129.1, 128.8, 128.1, 121.9, 115.9 (d, J = 21.5 Hz), 61.5, 56.4, 54.2, 42.1, 29.9. HRMS (ESI+): m/z: Calcd. for C22H26FN8 [M + H]+: 421.2264; Found: 421.2277.
N-((1-benzyl-1H-1,2,3-triazol-4-yl)methyl)-1-(1-cyclohexyl-1H-tetrazol-5-yl)-1-(4-fluorophenyl)methanamine (13d). Based on the GP1, propargylamine (23.2 µL, 0.36 mmol), 4-fluorobenzaldehyde (38.9 µL, 0.36 mmol), TMSN3 (57.2 µL, 0.43 mmol), cyclohexyl isocyanide (45.1 µL, 0.36 mmol), benzyl bromide (43.1 µL, 0.36 mmol), sodium azide (28.2 mg, 0.43 mmol), CuSO4.5H2O (4.0 mg, 0.016 mmol), and sodium ascorbate (6.4 mg, 0.032 mmol) were used, and 13d was obtained as a beige solid (yield 36.0 mg, 22%). m.p. = 83–85 °C, Rf = 0.53 (Hexane-AcOEt 4:6 v/v); 1H NMR (400 MHz, CDCl3): δ = 7.39–7.31 (m, 6H), 7.28–7.26 (m, 2H), 7.05–7.01 (m, 2H), 5.55–5.46 (m, 2H), 5.34 (s, 1H), 4.24–4.17 (m, 1H), 3.83 (q, J = 16 Hz, 2H), 2.40 (bs, 1H), 1.90–1.19 (m, 10H). 13C NMR (100 MHz, CDCl3): δ = 162.6 (d, J = 248.2 Hz), 154.3, 145.8, 134.4, 133.6 (d, J = 3.3 Hz), 129.3 (d, J = 8.2 Hz), 129.1, 128.8, 128.1, 122.0, 116.0 (d, J = 21.7 Hz), 58.0, 55.4, 54.2, 41.9, 32.6, 32.5, 25.2, 25.2, 24.7. HRMS (ESI+): m/z: Calcd. for C24H28FN8 [M + H]+: 447.2421; Found: 447.2441.
N-((1-benzyl-1H-1,2,3-triazol-4-yl)methyl)-1-(4-bromophenyl)-1-(1-(tert-butyl)-1H-tetrazol-5-yl)methanamine (13e). Based on the GP1, propargylamine (23.2 µL, 0.36 mmol), 4-bromobenzaldehyde (67.1 mg, 0.36 mmol), TMSN3 (57.2 µL, 0.43 mmol), tert-butyl isocyanide (41.0 µL, 0.36 mmol), benzyl bromide (43.1 µL, 0.36 mmol), sodium azide (28.2 mg, 0.43 mmol), CuSO4.5H2O (4.0 mg, 0.016 mmol), and sodium ascorbate (6.4 mg, 0.032 mmol) were used, and 13e was obtained as a white solid (yield 48.6 mg, 28%). m.p. = 113–115 °C, Rf = 0.48 (Hexane-AcOEt 4:6 v/v); 1H NMR (400 MHz, CDCl3): δ = 7.45 (d, J = 8.4 Hz, 2H), 7.39–7.36 (m, 4H), 7.28–7.26 (m, 2H), 7.17 (d, J = 8.5 Hz, 2H), 5.50 (s, 2H), 5.48 (s, 1H), 3.83 (q, J = 14.0 Hz, 2H), 1.56 (s, 9H). 13C NMR (100 MHz, CDCl3): δ = 155.0, 146.4, 137.4, 134.5, 132.1, 129.9, 129.1, 128.8, 128.1, 122.5, 121.9, 61.5, 56.5, 54.2, 42.1, 29.9. HRMS (ESI+): m/z: Calcd. for C22H26BrN8 [M + H]+: 481.1464; Found: 481.1467.
N-((1-benzyl-1H-1,2,3-triazol-4-yl)methyl)-1-(4-bromophenyl)-1-(1-cyclohexyl-1H-tetrazol-5-yl)methanamine (13f). Based on the GP1, propargylamine (23.2 µL, 0.36 mmol), 4-bromobenzaldehyde (67.1 mg, 0.36 mmol), TMSN3 (57.2 µL, 0.43 mmol), cyclohexyl isocyanide (45.1 µL, 0.36 mmol), benzyl bromide (43.1 µL, 0.36 mmol), sodium azide (28.2 mg, 0.43 mmol), CuSO4.5H2O (4.0 mg, 0.016 mmol), and sodium ascorbate (6.4 mg, 0.032 mmol) were used, and 13f was obtained as a beige solid (yield 56.8 mg, 30%). m.p. = 101–103 °C, Rf = 0.51 (Hexane-AcOEt 4:6 v/v); 1H NMR (400 MHz, CDCl3): δ = 7.47 (d, J = 8.3 Hz, 2H), 7.38–7.37 (m, 4H), 7.28-7.26 (m, 2H), 7.24 (d, J = 8.4 Hz, 2H), 5.50 (d, J = 4.0 Hz, 2H), 5.31 (s, 1H), 4.25–4.18 (m, 1H), 3.83 (q, J = 17.3 Hz, 2H), 1.89–1.21 (m, 10H). 13C NMR (100 MHz, CDCl3): δ = 154.0, 145.7, 136.8, 134.4, 132.1, 129.2, 129.1, 128.8, 128.1, 122.6, 122.0, 58.0, 55.4, 54.1, 41.9, 32.6, 32.5, 25.2, 25.2, 24.6. HRMS (ESI+): m/z: Calcd. for C24H28BrN8 [M + H]+: 507.1620; Found: 507.1630.
N-((1-benzyl-1H-1,2,3-triazol-4-yl)methyl)-1-(1-(tert-butyl)-1H-tetrazol-5-yl)-1-(4-methoxyphenyl)methanamine (13g). Based on the GP1, propargylamine (23.2 µL, 0.36 mmol), 4-methoxybenzaldehyde (44.1 µL, 0.36 mmol), TMSN3 (57.2 µL, 0.43 mmol), tert-butyl isocyanide (41.0 µL, 0.36 mmol), benzyl bromide (43.1 µL, 0.36 mmol), sodium azide (28.2 mg, 0.43 mmol), CuSO4.5H2O (4.0 mg, 0.016 mmol), and sodium ascorbate (6.4 mg, 0.032 mmol) were used, and 13g was obtained as a yellow oil (yield 55.3 mg, 35%). Rf = 0.37 (Hexane-AcOEt 4:6 v/v); 1H NMR (400 MHz, CDCl3): δ = 7.40 (s, 1H), 7.36–7.34 (m, 3H), 7.26–7.24 (m, 2H), 7.17 (d, J = 8.7 Hz, 2H), 6.81 (d, J = 8.7 Hz, 2H), 5.48 (s, 2H), 5.40 (s, 1H), 3.87–3.75 (m, 5H), 1.53 (s, 9H). 13C NMR (100 MHz, CDCl3): δ = 159.4, 155.5, 146.7, 134.5, 130.3, 129.4, 129.0, 128.7, 128.1, 121.9, 114.2, 61.4, 56.6, 55.2, 54.1, 42.2, 29.8. HRMS (ESI+): m/z: Calcd. for C23H29N8O [M + H]+: 433.2464; Found: 433.2475.
N-((1-benzyl-1H-1,2,3-triazol-4-yl)methyl)-1-(1-cyclohexyl-1H-tetrazol-5-yl)-1-(4-methoxyphenyl)methanamine (13h). Based on the GP1, propargylamine (23.2 µL, 0.36 mmol), 4-methoxybenzaldehyde (44.1 µL, 0.36 mmol), TMSN3 (57.2 µL, 0.43 mmol), cyclohexyl isocyanide (45.1 µL, 0.36 mmol), (41.0 µL, 0.36 mmol), benzyl bromide (43.1 µL, 0.36 mmol), sodium azide (28.2 mg, 0.43 mmol), CuSO4.5H2O (4.0 mg, 0.016 mmol), and sodium ascorbate (6.4 mg, 0.032 mmol) were used, and 13h was obtained as a beige solid (yield 31.4 mg, 19%). m.p. = 73–75 °C, Rf = 0.42 (Hexane-AcOEt 4:6 v/v); 1H NMR (400 MHz, CDCl3): δ = 7.40–7.36 (m, 4H), 7.28–7.26 (m, 3H), 7.24 (d, J = 8.7 Hz, 2H), 6.85 (d, J = 8.7 Hz, 2H), 5.50 (d, J = 4.3 Hz, 2H), 5.25 (s, 1H), 4.23–4.15 (m, 1H), 3.90–3.78 (m, 5H), 1.93–1.17 (m, 10H). 13C NMR (100 MHz, CDCl3): δ = 159.7, 154.6, 146.1, 134.5, 129.7, 129.1, 128.8, 128.7, 128.1, 122.0, 114.3, 57.9, 55.7, 55.3, 54.2, 42.0, 32.5, 32.4, 25.3, 25.2, 24.7. HRMS (ESI+): m/z: Calcd. for C25H31N8O [M + H]+: 459.2621; Found: 459.2630.
methyl 5-((((1-benzyl-1H-1,2,3-triazol-4-yl)methyl)amino)(1-(tert-butyl)-1H-tetrazol-5-yl)methyl)-2-methoxybenzoate (13i). Based on the GP1, propargylamine (23.2 µL, 0.36 mmol), methyl 5-formyl-2-methoxybenzoate (70.4 mg, 0.36 mmol), TMSN3 (57.2 µL, 0.43 mmol), tert-butyl isocyanide (41.0 µL, 0.36 mmol), benzyl bromide (43.1 µL, 0.36 mmol), sodium azide (28.2 mg, 0.43 mmol), CuSO4.5H2O (4.0 mg, 0.016 mmol), and sodium ascorbate (6.4 mg, 0.032 mmol) were used, and 13i was obtained as a yellow oil (yield 56.5 mg, 32%). Rf = 0.73 (Hexane-AcOEt 4:6 v/v); 1H NMR (400 MHz, CDCl3): δ = 7.74 (d, J = 2.4 Hz, 1H), 7.42–7.35 (m, 5H), 7.28–7.26 (m, 2H), 6.92 (d, J = 8.7 Hz, 1H), 5.51–5.49 (m, 3H), 3.89–3.81 (m, 8H), 1.57 (s, 9H). 13C NMR (100 MHz, CDCl3): δ = 166.0, 159.0, 155.1, 146.4, 134.5, 133.2, 131.5, 130.1, 129.1, 128.8, 128.1, 121.9, 120.4, 112.5, 61.5, 56.4, 56.1, 54.2, 52.1, 42.2, 29.9. HRMS (ESI+): m/z: Calcd. for C25H31N8O3 [M + H]+: 491.2519; Found: 491.2531.
methyl 5-((((1-benzyl-1H-1,2,3-triazol-4-yl)methyl)amino)(1-cyclohexyl-1H-tetrazol-5-yl)methyl)-2-methoxybenzoate (13j). Based on the GP1, propargylamine (23.2 µL, 0.36 mmol), methyl 5-formyl-2-methoxybenzoate (70.4 mg, 0.36 mmol), TMSN3 (57.2 µL, 0.43 mmol), cyclohexyl isocyanide (45.1 µL, 0.36 mmol), benzyl bromide (43.1 µL, 0.36 mmol), sodium azide (28.2 mg, 0.43 mmol), CuSO4.5H2O (4.0 mg, 0.016 mmol), and sodium ascorbate (6.4 mg, 0.032 mmol) were used, and 13j was obtained as a white solid (yield 82.3 mg, 44%). m.p. = 110–113 °C, Rf = 0.43 (Hexane-AcOEt 4:6 v/v); 1H NMR (400 MHz, CDCl3): δ = 7.80 (d, J = 2.5 Hz, 1H), 7.46 (dd, J = 8.7, 2.5 Hz, 1H), 7.39–7.36 (m, 4H), 7.28–7.26 (m, 2H), 6.95 (d, J = 8.7 Hz, 1H), 5.51 (d, J = 2.1 Hz, 2H), 5.33 (s, 1H), 4.31–4.25 (m, 1H), 3.89–3.77 (m, 8H), 1.90–1.22 (m, 10H). 13C NMR (100 MHz, CDCl3): δ = 165.9, 159.1, 154.2, 145.8, 134.4, 132.6, 130.6, 129.4, 129.1, 128.8, 128.1, 122.0, 120.3, 112.6, 58.0, 56.1, 55.3, 54.1, 52.1, 41.9, 32.6, 32.5, 25.2, 24.7. HRMS (ESI+): m/z: Calcd. for C27H33N8O3 [M + H]+: 517.2676; Found: 517.2697.
1-(1-(tert-butyl)-1H-tetrazol-5-yl)-1-(2-chlorophenyl)-N-((1-(2-fluorobenzyl)-1H-1,2,3-triazol-4-yl)methyl)methanamine (13k). Based on the GP1, propargylamine (23.2 µL, 0.36 mmol), 2-chlorobenzaldehyde (40.8 µL, 0.36 mmol), TMSN3 (57.2 µL, 0.43 mmol), tert-butyl isocyanide (41.0 µL, 0.36 mmol), benzyl bromide (43.1 µL, 0.36 mmol), sodium azide (28.2 mg, 0.43 mmol), CuSO4.5H2O (4.0 mg, 0.016 mmol), and sodium ascorbate (6.4 mg, 0.032 mmol) were used, and 13k was obtained as a beige solid (yield 37.8 mg, 23%). m.p. = 115–117 °C, Rf = 0.47 (Hexane-AcOEt 4:6 v/v); 1H NMR (400 MHz, CDCl3): δ = 7.58 (s, 1H), 7.40–7.35 (m, 2H), 7.30–7.11 (m, 6H), 5.81 (s, 1H), 5.57 (q, J = 13.3 Hz, 2H), 3.94 (dd, J = 46.0, 14.0 Hz, 2H), 1.54 (s, 9H). 13C NMR (100 MHz, CDCl3): δ = 160.5 (d, J = 248.1 Hz), 154.4, 146.1, 136.3, 133.3, 130.9 (d, J = 8.1 Hz), 130.6 (d, J = 3.1 Hz), 130.1, 129.7, 128.9, 127.6, 124.8 (d, J = 3.8 Hz), 122.3, 121.8 (d, J = 14.9 Hz), 115.8 (d, J = 21.1 Hz), 61.7, 53.2, 47.6, 42.8, 29.6. HRMS (ESI+): m/z: Calcd. for C22H25ClFN8 [M + H]+: 455.1875; Found: 455.1886.
1-(2-chlorophenyl)-1-(1-cyclohexyl-1H-tetrazol-5-yl)-N-((1-(2-fluorobenzyl)-1H-1,2,3-triazol-4-yl)methyl)methanamine (13l). Based on the GP1, propargylamine (23.2 µL, 0.36 mmol), 2-chlorobenzaldehyde (40.8 µL, 0.36 mmol), TMSN3 (57.2 µL, 0.43 mmol), cyclohexyl isocyanide (45.1 µL, 0.36 mmol), benzyl bromide (43.1 µL, 0.36 mmol), sodium azide (28.2 mg, 0.43 mmol), CuSO4.5H2O (4.0 mg, 0.016 mmol), and sodium ascorbate (6.4 mg, 0.032 mmol) were used, and 13l was obtained as a yellow oil (yield 45.2 mg, 26%). Rf = 0.47 (Hexane-AcOEt 4:6 v/v); 1H NMR (400 MHz, CDCl3): δ = 7.52 (s, 1H), 7.43–7.34 (m, 3H), 7.30–7.24 (m, 3H), 7.17–7.10 (m, 2H), 5.71 (s, 1H), 5.57 (d, J = 3.4 Hz, 2H), 4.15–4.13 (m, 1H), 3.93 (d, J = 12.0 Hz, 2H), 2.01–1.16 (m, 10H). 13C NMR (100 MHz, CDCl3): δ = 160.5 (d, J = 248.3 Hz), 154.2, 146.0, 135.4, 133.2, 130.9 (d, J = 8.3 Hz), 130.6 (d, J = 3.3 Hz), 129.9, 129.8, 129.3, 127.9, 124.8 (d, J = 3.8 Hz), 122.2, 121.8 (d, J = 14.7 Hz) 115.8 (d, J = 21.1 Hz), 57.9, 51.9, 47.6, 47.6, 42.3, 32.6, 32.5, 25.2, 25.1, 24.7. HRMS (ESI+): m/z: Calcd. for C24H27ClFN8 [M + H]+: 481.2031; Found: 481.2035.
1-(1-(tert-butyl)-1H-tetrazol-5-yl)-N-((1-(2-fluorobenzyl)-1H-1,2,3-triazol-4-yl)methyl)-1-(4-methoxyphenyl)methanamine (13m). Based on the GP1, propargylamine (23.2 µL, 0.36 mmol), 4-methoxybenzaldehyde (44.1 µL, 0.36 mmol), TMSN3 (57.2 µL, 0.43 mmol), cyclohexyl isocyanide (45.1 µL, 0.36 mmol), 2-fluorobenzyl bromide (43.7 µL, 0.36 mmol), sodium azide (28.2 mg, 0.43 mmol), CuSO4.5H2O (4.0 mg, 0.016 mmol), and sodium ascorbate (6.4 mg, 0.032 mmol) were used, and 13m was obtained as a yellow oil (yield 42.1 mg, 54%). Rf = 0.40 (Hexane-AcOEt 4:6 v/v); 1H NMR (400 MHz, CDCl3): δ = 7.48 (s, 1H), 7.37–7.31 (m, 1H), 7.28–7.24 (m, 1H), 7.19–7.07 (m, 4H), 6.81 (d, J = 7.9 Hz, 2H), 5.54 (s, 2H), 5.40 (s, 1H), 3.87–3.75 (m, 5H), 1.52 (s, 9H). 13C NMR (100 MHz, CDCl3): δ = 160.5 (d, J = 248.1 Hz), 159.5, 155.5, 146.6, 130.9 (d, J = 8.1 Hz), 130.6 (d, J = 3.3 Hz), 130.3, 129.4, 124.8 (d, J = 3.7 Hz), 122.1, 121.8 (d, J = 14.2 Hz), 115.8 (d, J = 21.2 Hz), 114.2, 61.4, 56.6, 55.2, 47.7, 47.6, 42.1, 29.8. HRMS (ESI+): m/z: Calcd. for C23H28FN8O [M + H]+: 451.2370; Found: 451.2375.
1-(1-cyclohexyl-1H-tetrazol-5-yl)-N-((1-(2-fluorobenzyl)-1H-1,2,3-triazol-4-yl)methyl)-1-(4-methoxyphenyl)methanamine (13n). Based on the GP1, propargylamine (23.2 µL, 0.36 mmol), 4-methoxybenzaldehyde (44.1 µL, 0.36 mmol), TMSN3 (57.2 µL, 0.43 mmol), cyclohexyl isocyanide (45.1 µL, 0.36 mmol), 2-fluorobenzyl bromide (43.7 µL, 0.36 mmol), sodium azide (28.2 mg, 0.43 mmol), CuSO4.5H2O (4.0 mg, 0.016 mmol), and sodium ascorbate (6.4 mg, 0.032 mmol) were used, and 13n was obtained as a yellow oil (yield 48.8 mg, 28%). Rf = 0.42 (Hexane-AcOEt 4:6 v/v); 1H NMR (400 MHz, CDCl3): δ = 7.49 (s, 1H), 7.37–7.35 (m, 1H), 7.30–7.24 (m, 3H), 7.17–7.09 (m, 2H), 6.86 (d, J = 8.7 Hz, 2H), 5.57 (s, 2H), 5.26 (s, 1H), 4.22–4.16 (m, 1H), 3.92–3.78 (m, 5H), 2.43 (bs, 1H), 1.90–1.17 (m, 10H). 13C NMR (100 MHz, CDCl3): δ = 160.5 (d, J = 248.1 Hz), 159.6, 154.6, 146.1, 130.9 (d, J = 8.2 Hz), 130.6 (d, J = 3.2 Hz), 129.6, 128.7, 124.8 (d, J = 3.6 Hz), 122.2, 121.8 (d, J = 14.5 Hz), 115.8 (d, J = 21.1 Hz), 114.3, 57.8, 55.7, 55.3, 47.7, 47.6, 41.9, 32.4, 32.4, 25.2, 25.2, 24.7. HRMS (ESI+): m/z: Calcd. for C25H30FN8O [M + H]+: 477.2527; Found: 477.2548.
1-(1-(tert-butyl)-1H-tetrazol-5-yl)-N-((1-(2-fluorobenzyl)-1H-1,2,3-triazol-4-yl)methyl)-1-(2-fluorophenyl)methanamine (13o). Based on the GP1, propargylamine (23.2 µL, 0.36 mmol), 2-fluorobenzaldehyde (38.2 µL, 0.36 mmol), TMSN3 (57.2 µL, 0.43 mmol), tert-butyl isocyanide (41.0 µL, 0.36 mmol), 2-fluorobenzyl bromide (43.7 µL, 0.36 mmol), sodium azide (28.2 mg, 0.43 mmol), CuSO4.5H2O (4.0 mg, 0.016 mmol), and sodium ascorbate (6.4 mg, 0.032 mmol) were used, and 13o was obtained as a beige solid (yield 48.4 mg, 31%). m.p. = 70–72 °C, Rf = 0.53 (Hexane-AcOEt 4:6 v/v); 1H NMR (400 MHz, CDCl3): δ = 7.54 (s, 1H), 7.37–7.25 (m, 4H), 7.17–7.05 (m, 4H), 5.79 (s, 1H), 5.57 (s, 2H), 3.90 (d, J = 13.3 Hz, 2H), 1.55 (s, 9H). 13C NMR (100 MHz, CDCl3): δ = 160.5 (d, J = 248.0 Hz), 159.8 (d, J = 247.1 Hz), 154.5, 146.2, 130.8 (d, J = 8.1 Hz), 130.5 (d, J = 3.3 Hz), 130.2 (d, J = 8.3 Hz), 128.9 (d, J = 3.1 Hz), 125.7 (d, J = 14.1 Hz), 125.0 (d, J = 3.6 Hz), 124.7 (d, J=3.8 Hz), 122.1, 121.9 (d, J = 14.4 Hz), 115.8 (d, J = 12.0 Hz), 115.6 (d, J = 12.8 Hz), 61.5, 49.6, 49.5, 47.6, 47.6, 42.7, 29.6. HRMS (ESI+): m/z: Calcd. for C22H25F2N8 [M + H]+: 439.2170; Found: 439.2181.
3.2. Cell Line
The breast tumor cell line MCF-7 was grown in Dulbecco’s Modified Eagle’s Medium (DMEM) (Invitrogen Corporation, Carlsbad, CA, United States) enriched with 5% fetal bovine serum (FBS). Medium change and passage were performed every 3 and 4 days, respectively. The MCF-7 cell line was kindly provided by Ph.D. Victor Treviño from Tecnológico de Monterrey.
3.3. Cell Proliferation Analysis
Cell proliferation was quantified by violet crystal dye in 1× phosphate-buffered saline (PBS) (2.7 mM KCl, 1.8 mM KH2PO4, 136 mM NaCl, 10 mM Na2HPO4 pH 7.4). The treated cells were incubated in methanol for 15 min and washed two times with water. Cells were dyed with 0.1% crystal violet and washed three times with water, and finally, violet crystal was recovered with 10% acid acetic to be analyzed in microplate reader Multiskan GO Spectrophotometer (Thermo Scientific™, Ratastic, Finland).
4. Conclusions
Six new bonds (one C-C, four C-N, and one N-N) were formed in the one-pot reaction under a cascade process consisting of three reaction steps: Ugi-azide reaction, SN2, and CuAAC reaction, which proceeded smoothly. The synthetized hybrid compounds, particularly 13f and 13l, exhibited a moderate cell proliferation inhibition degree with a remarkable effect on the MCF-7 cells. These later compounds have the cyclohexyl group and halogens atoms in their structures. Structural modification of these compounds may increase their activity in further cytotoxicity assays.
Supplementary Materials
The Supplementary Materials are available online.
Author Contributions
J.G.A.-H., Y.L.-H., and A.J.G.-L.; software, A.I.-J. and A.J.G.-L.; C.C.-C. and A.J.G.-L.; validation, C.C.-C., L.C.-G., A.J.G.-L., and C.R.S.-A.; formal analysis, A.J.G.-L., C.R.S.-A., J.A.L., and L.C.-G.; investigation, C.J.C.-G., A.I.-J., C.C.-C., and J.A.L.; resources, L.C.-G., C.R.S.-A., and J.A.L.; data curation, Y.L.-H., C.C.-C., and C.R.S.-A.; writing—original draft preparation, C.M.A.-M., J.A.L., and C.J.C.-G.; writing—review and editing A.I.-J., C.C.-C., and L.C.-G.; visualization, J.G.A.-H., C.C.-C., and C.R.S.-A.; supervision, A.I.-J., J.A.L., and C.J.C.-G.; project administration, J.A.L., C.J.C.-G., and L.C.-G.; funding acquisition, C.J.C.-G. All authors have read and agreed to the published version of the manuscript.
Funding
The authors gratefully acknowledged the financial support from Programa para el Desarrollo Profesional Docente, para el Tipo Superior (PRODEP PTC-404); CIC-UMSNH (15794) and FORDECYT-PRONACES/610286 for financial support of this work. A.I.-J. acknowledges “Proyecto Apoyado por el Fondo Sectorial de Investigación para la Educación CONACyT-SEP CB-2017-2018 (A1-S-32582)” and CBI-UAM-I Project (PAPDI2021_DQ 1) for financial support”.
Institutional Review Board Statement
Not applicable.
Informed Consent Statement
Not applicable.
Data Availability Statement
Not applicable.
Acknowledgments
Carlos C.-G. is grateful for financial support from Programa para el Desarrollo Profesional Docente, para el Tipo Superior (PRODEP PTC-404) and CIC-UMSNH (14646). We are grateful to the Laboratorio de Espectrometría de Masas del Laboratorio Nacional de la Universidad de Guanajuato (CONACYT, proyect: 294024).
Conflicts of Interest
The authors declare no conflict of interest.
Sample Availability
Samples of the compounds 13a-o are available from the authors.
References
- Heravi, M.M.; Zadssirjan, V. Prescribed drugs containing nitrogen heterocycles: An overview. RSC Adv. 2020, 10, 44247–44311. [Google Scholar] [CrossRef]
- Kerru, N.; Gummidi, L.; Maddila, S.; Gangu, K.K.; Jonnalagadda, S.B. A Review on Recent Advances in Nitrogen-Containing Molecules and Their Biological Applications. Molecules 2020, 25, 1909. [Google Scholar] [CrossRef] [PubMed]
- Petri, G.L.; Spanò, V.; Spatola, R.; Holl, R.; Raimondi, M.V.; Barraja, P.; Montalbano, A. Bioactive pyrrole-based compounds with target selectivity. Eur. J. Med. Chem. 2020, 208, 112783. [Google Scholar] [CrossRef] [PubMed]
- Bozorov, K.; Zhao, J.; Aisa, H.A. 1,2,3-Triazole-containing hybrids as leads in medicinal chemistry: A recent overview. Bioorg. Med. Chem. 2019, 27, 3511–3531. [Google Scholar] [CrossRef] [PubMed]
- Baumann, M.; Baxendale, I.R.; Ley, S.V.; Nikbin, N. An overview of the key routes to the best selling 5-membered ring heterocyclic pharmaceuticals. Belstein J. Org. Chem. 2011, 7, 442–495. [Google Scholar] [CrossRef]
- Grygorenko, O.O.; Volochnyuk, D.M.; Ryabukhin, S.V.; Judd, D.B. The Symbiotic Relationship Between Drug Discovery and Organic Chemistry. Chem. Eur. J. 2020, 26, 1196–1237. [Google Scholar] [CrossRef]
- Laraia, L.; Robke, L.; Waldmann, H. Bioactive Compound Collections: From Design to Target Identification. Chem 2018, 4, 705–730. [Google Scholar] [CrossRef]
- Galloway, W.R.J.D.; Isidro-Llobet, A.; Spring, D.A. Diversity-oriented synthesis as a tool for the discovery of novel biologically active small molecules. Nat. Commun. 2010, 1, 80. [Google Scholar] [CrossRef] [Green Version]
- Myznikov, L.V.; Vorona, S.V.; Zevatskii, Y.E. Biologically active compounds and drugs in the tetrazole series. Chem. Heterocycl. Comp. 2021, 57, 224–233. [Google Scholar] [CrossRef]
- Leyva-Ramos, S.; Cardoso-Ortiz, J. Recent Developments in the Synthesis of Tetrazoles and their Pharmacological Relevance. Curr. Org. Chem. 2021, 25, 388–403. [Google Scholar] [CrossRef]
- Neochoritis, C.G.; Zhao, T.; Dömling, A. Tetrazoles via Multicomponent Reactions. Chem. Rev. 2019, 119, 1970–2042. [Google Scholar] [CrossRef] [Green Version]
- Kumar, S.; Sharma, B.; Mehra, V.; Kumar, V. Recent accomplishments on the synthetic/biological facets of pharmacologically active 1H-1,2,3-triazoles. Eur. J. Med. Chem. 2021, 212, 113069. [Google Scholar] [CrossRef]
- Sahu, A.; Sahu, P.; Agrawal, R. A Recent Review on Drug Modification Using 1,2,3-triazole. Curr. Chem. Biol. 2020, 14, 71–87. [Google Scholar] [CrossRef]
- Dheer, D.; Singh, V.; Shankar, R. Medicinal attributes of 1,2,3-triazoles: Current developments. Bioorg. Chem. 2017, 71, 30–54. [Google Scholar] [CrossRef] [PubMed]
- Kumar, H.M.S.; Herrmann, L.; Tsogoeva, S.B. Structural hybridization as a facile approach to new drug candidates. Bioorg. Med. Chem. Lett. 2020, 30, 127514. [Google Scholar] [CrossRef]
- Ivasiv, V.; Albertini, C.; Gonçalves, A.E.; Rossi, M.; Bolognesi, M.L. Molecular Hybridization as a Tool for Designing Multitarget Drug Candidates for Complex Diseases. Curr. Top. Med. Chem. 2019, 19, 1694–1711. [Google Scholar] [CrossRef]
- Sahil, S.; Mishra, S.; Singh, P. Hybrid molecules: The privileged scaffolds for various pharmaceuticals. Eur. J. Med. Chem. 2016, 124, 500–536. [Google Scholar]
- Zhang, J.; Wang, S.; Ba, Y.; Xu, Z. Tetrazole hybrids with potential anticancer activity. Eur. J. Med. Chem. 2019, 178, 341–351. [Google Scholar] [CrossRef]
- Gao, F.; Xiao, J.; Huang, G. Current scenario of tetrazole hybrids for antibacterial activity. Eur. J. Med. Chem. 2019, 184, 111744. [Google Scholar] [CrossRef] [PubMed]
- Wang, S.; Wang, Y.; Xu, Z. Tetrazole hybrids and their antifungal activities. Eur. J. Med. Chem. 2019, 170, 225–234. [Google Scholar] [CrossRef]
- Xu, Z.; Zhao, S.; Liu, Y. 1,2,3-Triazole-containing hybrids as potential anticancer agents: Current developments, action mechanisms and structure-activity relationships. Eur. J. Med. Chem. 2019, 183, 1–37. [Google Scholar] [CrossRef] [PubMed]
- Bhat, S.I. One-Pot Construction of Bis-Heterocycles through Isocyanide Based Multicomponent Reactions. Chem. Select. 2020, 5, 8040–8061. [Google Scholar]
- Ibarra, I.A.; Islas-Jácome, A.; González-Zamora, E. Synthesis of polyheterocycles via multicomponent reactions. Org. Biomol. Chem. 2018, 16, 1402–1418. [Google Scholar] [CrossRef] [PubMed]
- Bérubé, G. An overview of molecular hybrids in drug discovery. Expert Opin. Drug Discov. 2016, 11, 281–305. [Google Scholar] [CrossRef] [PubMed]
- Aguilar-Morales, C.M.; de Loera, D.; Contreras-Celedón, C.; Cortés-García, C.J.; Chacón-García, L. Synthesis of 1,5-disubstituted tetrazole-1,2,3 triazoles hybrids via Ugi-azide/CuAAC. Synth. Commun. 2019, 49, 2086–2095. [Google Scholar] [CrossRef]
- Cortes-García, C.J.; Islas-Jácome, A.; Rentería-Gómez, A.; Gámez-Montaño, R. Synthesis of 1,5-disubstituted tetrazoles containing a fragment of the anticancer drug imatinib via a microwave-assisted Ugi-azide reaction. Monatsh Chem. 2016, 147, 1277–1290. [Google Scholar] [CrossRef]
- Fakhree, A.A.; Ghasemi, Z.; Rahimi, M.; Shahrisa, A. Enhanced catalytic performance of copper iodide in 1,2,3-triazole-imidazole hybrid synthesis, and evaluation of their anti-cancer activities along with optical properties besides 1H-tetrazole-imidazole hybrids. Appl. Organomet. Chem. 2020, 34, e5773. [Google Scholar] [CrossRef]
- Lei, X.; Lampiri, P.; Patil, P.; Angeli, G.; Neochoritis, C.G.; Dömling, A. A multicomponent tetrazolo indole synthesis. Chem. Commun. 2021, 57, 6652–6655. [Google Scholar] [CrossRef]
- Saha, D.; Kharbanda, A.; Essien, N.; Zhang, L.; Cooper, R.; Basak, D.; Kendrick, S.; Frett, B.; Li, H. Intramolecular cyclization of imidazo [1,2-a] pyridines via a silver mediated/palladium catalyzed C–H activation strategy. Org. Chem. Front. 2019, 6, 2234–2239. [Google Scholar] [CrossRef]
- Ojeda, G.M.; Ranjan, P.; Fedoseev, P.; Amable, L.; Sharma, U.K.; Rivera, D.G.; Van der Eycken, E.V. Combining the Ugi-azide multicomponent reaction and rhodium(III)-catalyzed annulation for the synthesis of tetrazole-isoquinolone/pyridone hybrids. Belstein J. Org. Chem. 2019, 15, 2447–2457. [Google Scholar] [CrossRef]
- Brauch, S.; van Berkel, S.S.; Westermann, B. Higher-order multicomponent reactions: Beyond four reactants. Chem. Soc. Rev. 2013, 42, 4948–4962. [Google Scholar] [CrossRef]
- National Breast Cancer Coalition. Available online: https://www.stopbreastcancer.org/information-center/facts-figures/ (accessed on 10 August 2021).
- Sun, Y.; Zhao, Z.; Yang, Z.; Xu, F.; Lu, H.; Zhu, Z.; Shi, W.; Jiang, J.; Yao, P.; Zhu, H. Risk Factors and Preventions of Breast Cancer. Int. J. Biol. Sci. 2017, 13, 1387–1397. [Google Scholar] [CrossRef] [PubMed] [Green Version]
- Ataollahi, M.R.; Sharifi, J.; Paknahad, M.R.; Paknahad, A. Breast cancer and associated factors: A review. J. Med. Life 2015, 8, 6–11. [Google Scholar]
- Guo, S.; Zhou, Y.; Dal, B.; Huo, C.; Liu, C.; Zhao, Y. CuI/Et2NH-Catalyzed One-Pot Highly Efficient Synthesis of 1,4-Disubstituted 1,2,3-Triazoles in Green Solvent Glycerol. Synthesis 2018, 50, 2191–2199. [Google Scholar]
- Schirrmacher, V. From chemotherapy to biological therapy: A review of novel concepts to reduce the side effects of systemic cancer treatment (Review). Int. J. Oncol. 2019, 54, 407–419. [Google Scholar] [PubMed]
- Boichuk, S.; Galembikova, A.; Sitenkov, A.; Khusnutdinov, R.; Dunaev, P.; Valeeva, E.; Usolova, N. Establishment and characterization of a triple negative basal-like breast cancer cell line with multi-drug resistance. Oncol. Lett. 2017, 14, 5039–5045. [Google Scholar] [CrossRef] [PubMed] [Green Version]
- Shaaban, S.; Negm, A.; Ashmawy, A.M.; Ahmed, D.M.; Wessjohann, L.A. Combinatorial synthesis, in silico, molecular and biochemical studies of tetrazole-derived organic selenides with increased selectivity against hepatocellular carcinoma. Eur. J. Med. Chem. 2016, 122, 55–71. [Google Scholar] [CrossRef] [PubMed]
- Vanaparthi, S.; Bantu, R.; Jain, N.; Janardhan, S.; Nagarapu, L. Synthesis and anti-proliferative activity of a novel 1,2,3-triazole tethered chalcone acetamide derivatives. Bioorg. Med. Chem. Lett. 2020, 30, 127304. [Google Scholar] [CrossRef]
- Lambert, P.A.; Somers, K.D.; Kohn, E.C.; Perry, R.R. Antiproliferative and antiinvasive effects of carboxyamido-triazole on breast cancer cell lines. Surgery 1997, 122, 372–379. [Google Scholar]
Publisher’s Note: MDPI stays neutral with regard to jurisdictional claims in published maps and institutional affiliations. |
© 2021 by the authors. Licensee MDPI, Basel, Switzerland. This article is an open access article distributed under the terms and conditions of the Creative Commons Attribution (CC BY) license (https://creativecommons.org/licenses/by/4.0/).
