Preparation and Evaluation of Novel Folate Isonitrile 99mTc Complexes as Potential Tumor Imaging Agents to Target Folate Receptors
Abstract
:1. Introduction
2. Results
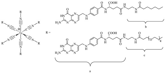
2.1. Synthesis
2.2. Radiolabeling
2.3. Physicochemical Properties Evaluation
2.3.1. Stability Study
2.3.2. Partition Coefficient
2.4. In Vitro Binding with KB Cells
2.5. Biodistribution
2.6. SPECT/CT Imaging Study
3. Discussion
4. Materials and Methods
4.1. Synthesis of CN5FA and CNPFA
4.2. Radiolabeling of [99mTc]Tc-CN5FA and [99mTc]Tc-CNPFA and Quality Control Assay
4.3. Stability Study
4.4. Determination of Partition Coefficient
4.5. In Vitro Binding with KB Cells
4.6. Biodistribution Study in KB Tumor-Bearing Mice
4.7. SPECT/CT Imaging Study in KB Tumor-Bearing Mice
4.8. Statistical Analysis
5. Conclusions
Author Contributions
Funding
Institutional Review Board Statement
Informed Consent Statement
Data Availability Statement
Acknowledgments
Conflicts of Interest
Sample Availability
References
- Chen, W.; Zheng, R.; Baade, P.D.; Zhang, S.; Zeng, H.; Bray, F.; Jemal, A.; Yu, X.Q.; He, J. Cancer statistics in China, 2015. CA Cancer J. Clin. 2016, 66, 115–132. [Google Scholar] [CrossRef] [Green Version]
- Chen, C.; Ke, J.; Zhou, X.E.; Yi, W.; Brunzelle, J.S.; Li, J.; Yong, E.-L.; Xu, H.E.; Melcher, K. Structural basis for molecular recognition of folic acid by folate receptors. Nat. Cell Biol. 2013, 500, 486–489. [Google Scholar] [CrossRef] [PubMed] [Green Version]
- Müller, C.; Schibli, R. Prospects in folate receptor-targeted radionuclide therapy. Front. Oncol. 2013, 3, 249. [Google Scholar] [CrossRef] [PubMed] [Green Version]
- Cheung, A.; Bax, H.J.; Josephs, D.H.; Ilieva, K.M.; Pellizzari, G.; Opzoomer, J.; Bloomfield, J.; Fittall, M.; Grigoriadis, A.; Figini, M.; et al. Targeting folate receptor alpha for cancer treatment. Oncotarget 2016, 7, 52553–52574. [Google Scholar] [CrossRef] [PubMed] [Green Version]
- Hutton, B.F.; Erlandsson, K.; Thielemans, K. Advances in clinical molecular imaging instrumentation. Clin. Transl. Imaging 2018, 6, 31–45. [Google Scholar] [CrossRef] [Green Version]
- Collarino, A.; Arias-Bouda, L.M.P.; Olmos, R.A.V.; van der Tol, P.; Dibbets-Schneider, P.; de Geus-Oei, L.; van Velden, F.H.P. Experimental validation of absolute SPECT/CT quantification for response monitoring in breast cancer. Med. Phys. 2018, 45, 2143–2153. [Google Scholar] [CrossRef]
- Duatti, A. Review on 99mTc radiopharmaceuticals with emphasis on new advancements. Nucl. Med. Biol. 2021, 92, 202–216. [Google Scholar] [CrossRef]
- Lu, J.; Xu, M.; Jia, H.; Xi, S.; Wang, Y.; Wang, X. Synthesis and biodistribution of novel 99mTc-nitrido methylpiperidine dithioformate derivatives as potential brain imaging agents. J. Label. Compd. Radiopharm. 2009, 52, 183–188. [Google Scholar] [CrossRef]
- Paez, D.; Orellana, P.; Gutiérrez, C.; Ramírez, R.; Mut, F.; Torres, L. Current Status of Nuclear Medicine Practice in Latin America and the Caribbean. J. Nucl. Med. 2015, 56, 1629–1634. [Google Scholar] [CrossRef] [Green Version]
- Guo, Z.; You, L.; Shi, C.; Song, M.; Gao, M.; Xu, D.; Peng, C.; Zhuang, R.; Liu, T.; Su, X. Development of a new FR-targeting agent 99mTc-HYNFA with improved imaging contrast and comparison of multimerization and/or PEGylation strategies for radio-folate modification. Mol. Pharm. 2017, 14, 3780–3788. [Google Scholar] [CrossRef]
- Guo, Z.; Gao, M.; Song, M.; Shi, C.; Zhang, P.; Xu, D.; You, L.; Zhuang, R.; Su, X.; Liu, T. Synthesis and evaluation of 99mTc-labeled dimeric folic acid for FR-targeting. Molecules 2016, 21, 817. [Google Scholar] [CrossRef] [Green Version]
- Lu, J.; Pang, Y.; Xie, F.; Guo, H.; Li, Y.; Yang, Z.; Wang, X. Synthesis and in vitro/in vivo evaluation of 99mTc-labeled folate conjugates for folate receptor imaging. Nucl. Med. Biol. 2011, 38, 557–565. [Google Scholar] [CrossRef] [PubMed]
- Chen, F.; Shao, K.; Zhu, B.; Jiang, M. Synthesis and biological assessment of folate-accepted developer 99mTc-DTPA-folate-polymer. Bioorg. Med. Chem. Lett. 2016, 26, 2547–2550. [Google Scholar] [CrossRef] [PubMed]
- Lodhi, N.A.; Park, J.Y.; Hong, M.K.; Kim, Y.J.; Lee, Y.; Cheon, G.J.; Jeong, J.M. Development of 99mTc-labeled trivalent isonitrile radiotracer for folate receptor imaging. Bioorgan. Med. Chem. 2019, 27, 1925–1931. [Google Scholar] [CrossRef] [PubMed]
- Leamon, C.P.; Vlahov, I.R.; Reddy, J.A.; Vetzel, M.; Santhapuram, H.K.R.; You, F.; Bloomfield, A.; Dorton, R.; Nelson, M.; Kleindl, P.; et al. Folate–Vinca Alkaloid Conjugates for Cancer Therapy: A Structure–Activity Relationship. Bioconjug. Chem. 2014, 25, 560–568. [Google Scholar] [CrossRef] [PubMed]
- Bowen, M.L.; Orvig, C. 99m-Technetium carbohydrate conjugates as potential agents in molecular imaging. Chem. Commun. 2008, 4, 5077–5091. [Google Scholar] [CrossRef]
- Guirado, A.; Zapata, A.; Gómez, J.L.; Trabalón, L.; Gálvez, J. Electrochemical generation of alkyl and aryl isocyanides. Tetrahedron 1999, 55, 9631–9640. [Google Scholar] [CrossRef]
- Taillefer, R.; Primeau, M.; Costi, P.; Lambert, R.; Léveillé, J.; Latour, Y. Technetium-99m-sestamibi myocardial perfusion imaging in detection of coronary artery disease: Comparison between initial (1 h) and delayed(3 h) post-exercise images. J. Nucl. Med. 1991, 32, 1961–1965. [Google Scholar]
- Zhang, X.; Ruan, Q.; Duan, X.; Gan, Q.; Song, X.; Fang, S.; Lin, X.; Du, J.; Zhang, J. Novel 99mTc-labeled glucose derivative for single photon emission computed tomography: A promising tumor imaging agent. Mol. Pharm. 2018, 15, 3417–3424. [Google Scholar] [CrossRef]
- Gan, Q.; Zhang, X.; Ruan, Q.; Fang, S.A.; Zhang, J. 99mTc-CN7DG: A highly expected SPECT imaging agent of cancer with satisfactory tumor uptake and tumor-to-nontarget ratios. Mol. Pharm. 2021, 18, 1356–1363. [Google Scholar] [CrossRef] [PubMed]
- Bandara, N.A.; Hansen, M.J.; Low, P.S. Effect of Receptor Occupancy on Folate Receptor Internalization. Mol. Pharm. 2014, 11, 1007–1013. [Google Scholar] [CrossRef]
- Cao, D.; Tian, S.; Huang, H.; Chen, J.; Pan, S. Divalent folate modification on peg: An effective strategy for improving the cellular uptake and target ability of pegylated polyamidoamine-polyethylenimine copolymer. Mol. Pharm. 2015, 12, 240–252. [Google Scholar] [CrossRef]
- Ginn, C.; Khalili, H.; Lever, R.; Brocchini, S. PEGylation and its impact on the design of new protein-based medicines. Futur. Med. Chem. 2014, 6, 1829–1846. [Google Scholar] [CrossRef]
- Vergote, I.; Leamon, C.P. Vintafolide: A novel targeted therapy for the treatment of folate receptor expressing tumors. Ther. Adv. Med Oncol. 2015, 7, 206–218. [Google Scholar] [CrossRef] [Green Version]
- Vergote, I.B.; Marth, C.; Coleman, R.L. Role of the folate receptor in ovarian cancer treatment: Evidence, mechanism, and clinical implications. Cancer Metastasis Rev. 2015, 34, 41–52. [Google Scholar] [CrossRef] [PubMed]
- Wang, S.; Luo, J.; Lantrip, D.A.; Waters, D.J.; Mathias, C.J.; Green, M.A.; Fuchs, P.L.; Low, P. Design and Synthesis of [111In]DTPA−Folate for Use as a Tumor-Targeted Radiopharmaceutical. Bioconjug. Chem. 1997, 8, 673–679. [Google Scholar] [CrossRef] [PubMed]
- Farkas, R.; Siwowska, K.; Ametamey, S.M.; Schibli, R.; Van Der Meulen, N.P.; Müller, C. 64Cu- and 68Ga-Based PET Imaging of Folate Receptor-Positive Tumors: Development and Evaluation of an Albumin-Binding NODAGA–Folate. Mol. Pharm. 2016, 13, 1979–1987. [Google Scholar] [CrossRef] [PubMed]
- Moisio, O.; Palani, S.; Virta, J.; Elo, P.; Liljenbäck, H.; Tolvanen, T.; Käkelä, M.; Miner, M.G.; Herre, E.A.; Marjamäki, P.; et al. Radiosynthesis and preclinical evaluation of [68Ga]Ga-NOTA-folate for PET imaging of folate receptor β-positive macro-phages. Sci. Rep. 2020, 10, 13593. [Google Scholar]
- Chen, Q.; Meng, X.; McQuade, P.; Rubins, D.; Lin, S.; Zeng, Z.; Haley, H.; Miller, P.; González Trotter, D.; Low, P.S. Folate-PEG-NOTA-Al18F: A new folate based radiotracer for PET imaging of folate receptor-positive tumors. Mol. Pharm. 2017, 14, 4353–4361. [Google Scholar] [CrossRef]








| [99mTc]Tc-CN5FA | [99mTc]Tc-CNPFA | |||||
|---|---|---|---|---|---|---|
| Tissue | 0.5 h | 2 h | 2 h-block | 0.5 h | 2 h | 2h-block |
| Heart | 2.60 ± 0.16 | 2.29 ± 0.26 | 0.84 ± 0.05 | 1.92 ± 0.06 | 1.30 ± 0.09 | 0.81 ± 0.12 |
| Liver | 13.91 ± 1.27 | 11.88 ± 1.22 | 10.22 ± 0.43 | 15.84 ± 1.19 | 10.39 ± 0.23 | 10.88 ± 1.03 |
| Lung | 2.88 ± 0.09 | 2.78 ± 0.57 | 2.27 ± 0.16 | 4.01 ± 0.30 | 2.04 ± 0.06 | 2.11 ± 0.28 |
| Kidney | 47.20 ± 2.99 | 51.92 ± 3.10 | 35.40 ± 4.08 | 81.30 ± 4.69 | 80.25 ± 1.23 | 37.60 ± 2.46 |
| Spleen | 3.07 ± 0.03 | 3.08 ± 0.42 | 4.52 ± 0.38 | 3.65 ± 0.72 | 2.85 ± 0.26 | 3.30 ± 0.66 |
| Stomach | 2.17 ± 0.70 | 2.00 ± 0.33 | 1.70 ± 0.16 | 6.67 ± 0.73 | 3.65 ± 0.75 | 2.18 ± 0.22 |
| Bone | 1.03 ± 0.09 | 0.87 ± 0.16 | 1.02 ± 0.18 | 1.77 ± 0.06 | 0.79 ± 0.11 | 1.02 ± 0.10 |
| Muscle | 1.72 ± 0.10 | 1.27 ± 0.03 | 0.61 ± 0.10 | 1.48 ± 0.07 | 0.84 ± 0.04 | 0.51 ± 0.09 |
| Intestines | 2.35 ± 0.79 | 1.38 ± 0.15 | 1.39 ± 0.15 | 4.98 ± 1.57 | 1.60 ± 0.24 | 1.70 ± 0.22 |
| Blood | 2.36 ± 0.10 | 1.08 ± 0.03 | 1.05 ± 0.08 | 4.08 ± 0.54 | 1.46 ± 0.03 | 1.97 ± 0.34 |
| Tumor | 3.03 ± 0.10 | 2.42 ± 0.44 | 1.53 ± 0.10 | 4.18 ± 0.36 | 2.53 ± 0.12 | 1.62 ± 0.08 |
| Thyroid (%ID) | 0.05 ± 0.00 | 0.03 ± 0.01 | 0.03 ± 0.00 | 0.08 ± 0.02 | 0.06 ± 0.01 | 0.05 ± 0.01 |
| T/M 1 | 1.76 | 1.91 | 2.82 | 3.01 | ||
| T/B 2 | 1.28 | 2.81 | 1.02 | 1.73 | ||
Publisher’s Note: MDPI stays neutral with regard to jurisdictional claims in published maps and institutional affiliations. |
© 2021 by the authors. Licensee MDPI, Basel, Switzerland. This article is an open access article distributed under the terms and conditions of the Creative Commons Attribution (CC BY) license (https://creativecommons.org/licenses/by/4.0/).
Share and Cite
Feng, J.; Zhang, X.; Ruan, Q.; Jiang, Y.; Zhang, J. Preparation and Evaluation of Novel Folate Isonitrile 99mTc Complexes as Potential Tumor Imaging Agents to Target Folate Receptors. Molecules 2021, 26, 4552. https://doi.org/10.3390/molecules26154552
Feng J, Zhang X, Ruan Q, Jiang Y, Zhang J. Preparation and Evaluation of Novel Folate Isonitrile 99mTc Complexes as Potential Tumor Imaging Agents to Target Folate Receptors. Molecules. 2021; 26(15):4552. https://doi.org/10.3390/molecules26154552
Chicago/Turabian StyleFeng, Junhong, Xuran Zhang, Qing Ruan, Yuhao Jiang, and Junbo Zhang. 2021. "Preparation and Evaluation of Novel Folate Isonitrile 99mTc Complexes as Potential Tumor Imaging Agents to Target Folate Receptors" Molecules 26, no. 15: 4552. https://doi.org/10.3390/molecules26154552
APA StyleFeng, J., Zhang, X., Ruan, Q., Jiang, Y., & Zhang, J. (2021). Preparation and Evaluation of Novel Folate Isonitrile 99mTc Complexes as Potential Tumor Imaging Agents to Target Folate Receptors. Molecules, 26(15), 4552. https://doi.org/10.3390/molecules26154552

