Next Article in Journal
Solid-Phase “Self-Hydrolysis” of [Zn(NH3)4MoO4@2H2O] Involving Enclathrated Water—An Easy Route to a Layered Basic Ammonium Zinc Molybdate Coordination Polymer
Previous Article in Journal
Zanthoxylum Species: A Comprehensive Review of Traditional Uses, Phytochemistry, Pharmacological and Nutraceutical Applications
 
 
Font Type:
Arial Georgia Verdana
Font Size:
Aa Aa Aa
Line Spacing:
Column Width:
Background:
Review

The Bucherer–Bergs Multicomponent Synthesis of Hydantoins—Excellence in Simplicity

Institute of Chemistry, Center for Glycomics, Slovak Academy of Sciences, Dúbravská cesta 9, SK-845 38 Bratislava, Slovakia
*
Author to whom correspondence should be addressed.
Molecules 2021, 26(13), 4024; https://doi.org/10.3390/molecules26134024
Submission received: 8 June 2021 / Revised: 20 June 2021 / Accepted: 24 June 2021 / Published: 30 June 2021
(This article belongs to the Section Organic Chemistry)

Abstract

Hydantoins and their hybrids with other molecules represent a very important group of heterocycles because they exhibit diverse biological and pharmacological activities in medicinal and agrochemical applications. They also serve as key precursors in the chemical or enzymatic synthesis of significant nonnatural α-amino acids and their conjugates with medical potential. This review provides a comprehensive treatment of the synthesis of hydantoins via the Bucherer–Bergs reaction including the Hoyer modification but limited to free carbonyl compounds or carbonyl compounds protected as acetals (ketals) and cyanohydrins used as starting reaction components. In this respect, the Bucherer–Bergs reaction provides an efficient and simple method in the synthesis of important natural products as well as for the preparation of new organic compounds applicable as potential therapeutics. The scope and limitations, as well as a comparison with some other methods for preparing hydantoins, are also discussed.

1. Introduction

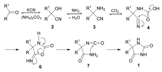
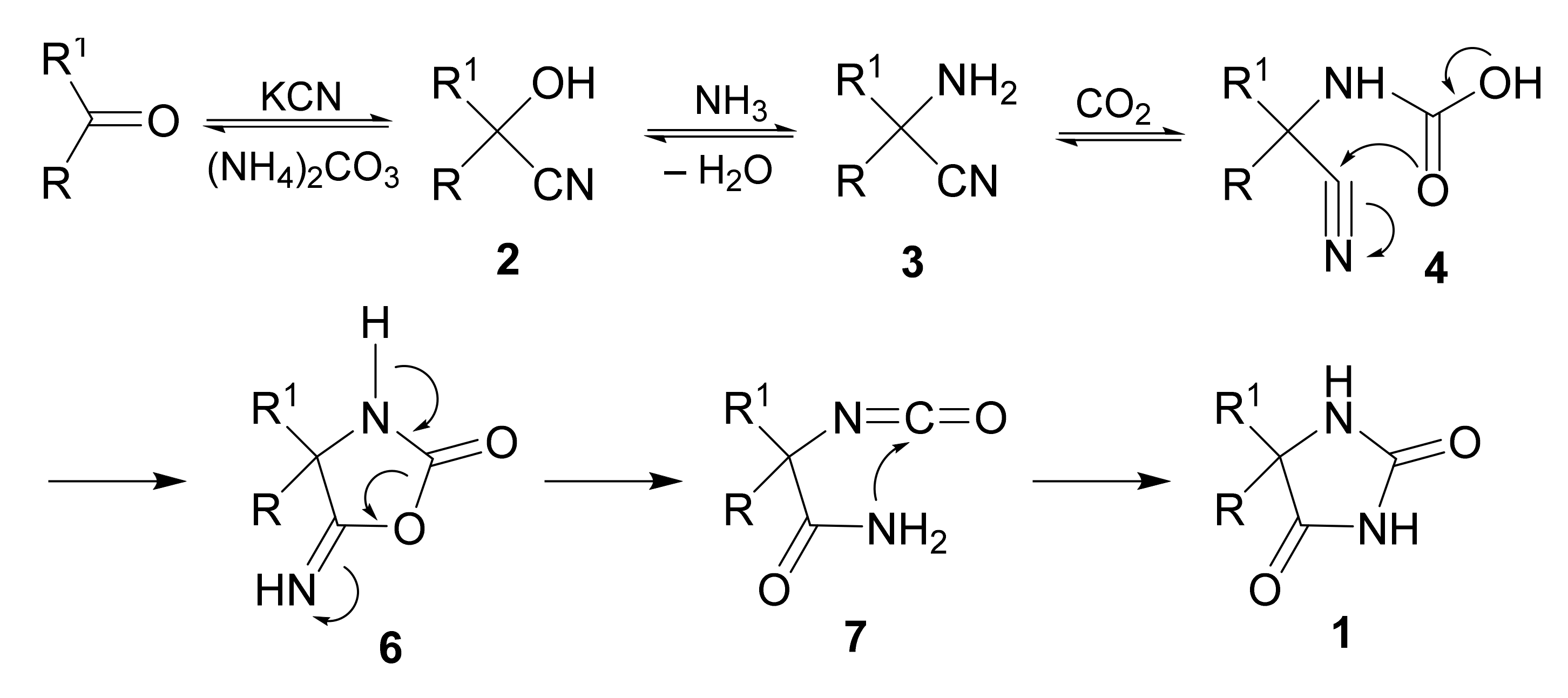
The Bucherer–Bergs reaction is one of the most convenient general methods for the preparation of 5-substituted and 5,5-disubstituted hydantoins (imidazolidine-2,4-diones, 2,4-dioxoimidazolidines). Although the reaction was first discovered by Bergs [1] (but the first formation of 5,5-dimethylhydantoin from a mixture of acetone and hydrocyanic acid exposed to sunlight for a period of 5–7 months was observed by Ciamician and Silber in 1905 [2]), it is usually credited to Bucherer, who elaborated most of the experimental conditions and applications [3,4,5]. Generally, in this multicomponent reaction, the aldehyde or ketone in aqueous ethanol is heated at 60–70° with potassium (or sodium) cyanide and ammonium carbonate to produce directly hydantoins 1 (Scheme 1).
This reaction works well for aliphatic and aromatic aldehydes or ketones and for cyclic ketones despite some reports concerning the failure of this reaction. For such difficult cases, the use of acetamide (formamide as well as dimethylformamide) as a solvent has been recommended [6,7]. It was found that ultrasonication could also accelerate hydantoin formation [8]. Alternatively, better yields of hydantoins offer the Hoyer modification [9]. In this case, the standard reaction mixture is heated in the atmosphere of CO2 in a closed system at elevated pressure. Because of the wide applicability of the Bucherer–Bergs reaction, it has formerly been proposed as an analytical method for identifying ketones [10].
Hydantoins may be regarded as cyclodehydrated hydantoic acids (α-ureido acids), and this is reflected in their properties because both these compounds are readily interconvertible. Several natural or synthetic hydantoins themselves or their conjugates with other molecules exhibit diverse biological and pharmacological activities in medicinal, such as antimicrobial [11,12,13,14,15], antiviral [16,17,18], antitumor [19,20,21,22], antiarrhythmic [23,24,25,26], anticonvulsant [27,28,29,30,31,32,33,34], antihypertensive [35], antidiabetic [36,37,38,39], and agrochemical, such as herbicidal and fungicidal [40,41,42,43,44,45], applications. The studies on the biological activities of hydantoins has made great progress during the last three decades, and hydantoin derivatives have been therapeutically applied or are in the stage of investigation (Figure 1). For example, Phenytoin (Phenytek®, Dilantin®, Epanutin®, Diphenin®)—an antiepileptic drug—is still the drug of choice for the treatment of generalized tonic–clonic seizures (grand mal epilepsy) and focal motor seizures [29,46,47,48,49]; today, Phenytoin has found new applications because of the neuro- and cardioprotective properties [50,51]; Mephenytoin (Mesantoin®; it is no longer available in the US or the UK) and Fosphenytoin (Cerebyx®, Prodilantin®) are also effective anticonvulsants, the latter is used only in hospitals for the short-term (five days or less) treatment of epilepsy [52]; Nitrofurantoin (Furadantin®, Macrobid®, Macrodantin®) and Nifurtoinol (Urfadyn®)—produces antibacterial activity effective for the treatment of urinary tract infections [53,54,55]; Nilutamide—produces an antiandrogenic effect in the treatment of an advanced stage of the carcinoma of the prostate [19,20,22]; Sorbinil—an aldose reductase inhibitor that blocks the formation of sorbitol from excess glucose and thus may prevent many diabetic neuropathies [56,57,58]; Dantrolene (Dantrium®)—used to treat malignant hyperthermia, neuroleptic malignant syndrome, ecstasy intoxication, and muscle spasticity (stiffness and spasms) caused by conditions such as a spinal cord injury, stroke, cerebral palsy, or multiple sclerosis and is currently the only specific and effective treatment for malignant hyperthermia [59]; Azimilide—an investigational class III anti-arrhythmic drug that blocks fast and slow components of the delayed rectifier cardiac potassium channels (until now, it has not been approved for use in any country but is currently in clinical trials in the United States) [60]. Iprodione (Rovral®, Kidan, Glycophene) is an example of a commercially used fungicide [61]. Because of their unique features, some glycofuranosylidene- and glycopyranosylidene-spiro-hydantoins have received wide attention. For example, (+)-hydantocidin (D-ribofuranosylidene-spiro-hydantoin) [62,63] possesses significant herbicidal and plant growth regulatory activities [41,64,65,66]; glucopyranosylidene-spiro-hydantoin [36,67,68] is among the most potent inhibitors of rabbit muscle glycogen phosphorylase known to date (Ki = 3–4 µM).
Additionally, hydantoins also serve as key precursors in the chemical or enzymatic synthesis of significant nonnatural α-amino acids and their conjugates with medical potential. In this respect, the Bucherer–Bergs reaction provides an efficient method in the synthesis of important natural products as well as for the preparation of new organic compounds applicable as potential therapeutics.
Until now, five relevant reviews [69,70,71,72,73] and one book chapter [74] have appeared regarding the chemistry of hydantoins covering, inter alia, some aspects of the Bucherer–Bergs reaction. This review provides a comprehensive treatment of the synthesis of hydantoins via the Bucherer–Bergs reaction including the Hoyer modification but limited to free carbonyl compounds or carbonyl compounds protected as acetals (ketals) and cyanohydrins used as starting reaction components (i.e., the “classical” Bucherer–Bergs reaction starting from carbonyl compounds). The synthesis of hydantoins starting from corresponding amino nitriles (prepared from carbonyl compounds in a separate reaction step) or imines (prepared separately from carbonyl compounds or cyanides) were not included because, in this synthetic modification, only two reaction components are comprised, so these reactions are not multicomponent. Analogously, the other synthetic methods affording hydantoins were not reviewed in this review.

2. Mechanism and Stereochemistry

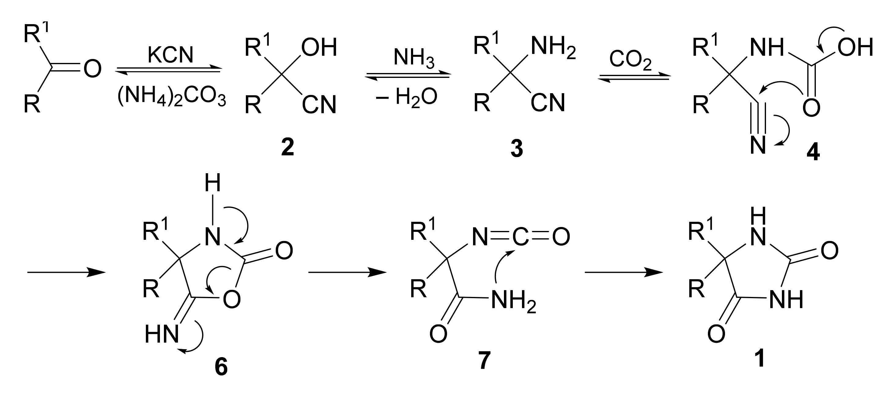
Since the action of ammonium carbonate on cyanohydrins 2 and α-amino nitriles 3 under identical reaction conditions also yields hydantoins, Bucherer himself proposed [3] that they are probably the first intermediates of this reaction. The last intermediates, prior to ring closure, may be either an N-substituted carbamic acid 4 or a corresponding carbamide 5, although this has not been established experimentally. The last step would then involve either the formation of a 5-iminooxazolidin-2-one ring 6 affording hydantoin via isocyanate intermediate 7 (Scheme 2) or the addition of an amino group to the nitrile in carbamide 5 to closure of the 4-imino-2-oxoimidazolidine ring 8 followed by hydrolysis to the corresponding hydantoin (Scheme 3).
Treatment of α-amino nitriles with carbon dioxide also provided the disubstituted ureas 9, which underwent cyclization in water at room temperature followed by hydrolysis of the imine 10 to the corresponding 3-N-substituted hydantoin 11 (Scheme 4) [75,76]. However, α-amino nitriles 2 are generally accepted as intermediates in the Bucherer–Bergs synthesis producing 1,3-unsubstituted hydantoins 1 instead of products like 11. The participation of intermediary α-amino nitrile is supported by the fact that carbon disulphide also ring-closes such compounds to corresponding 2,4-dithiohydantoins [77,78].
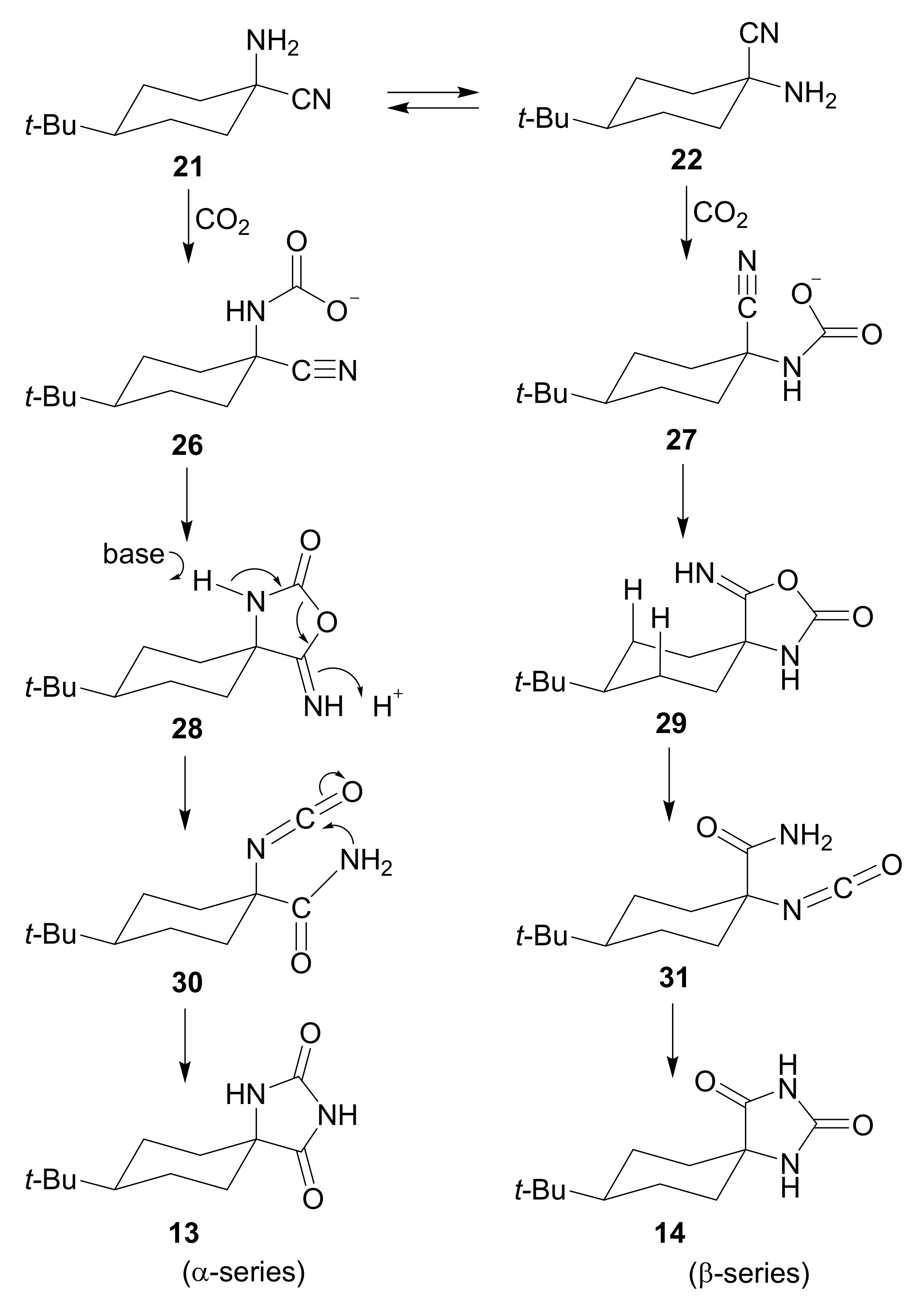
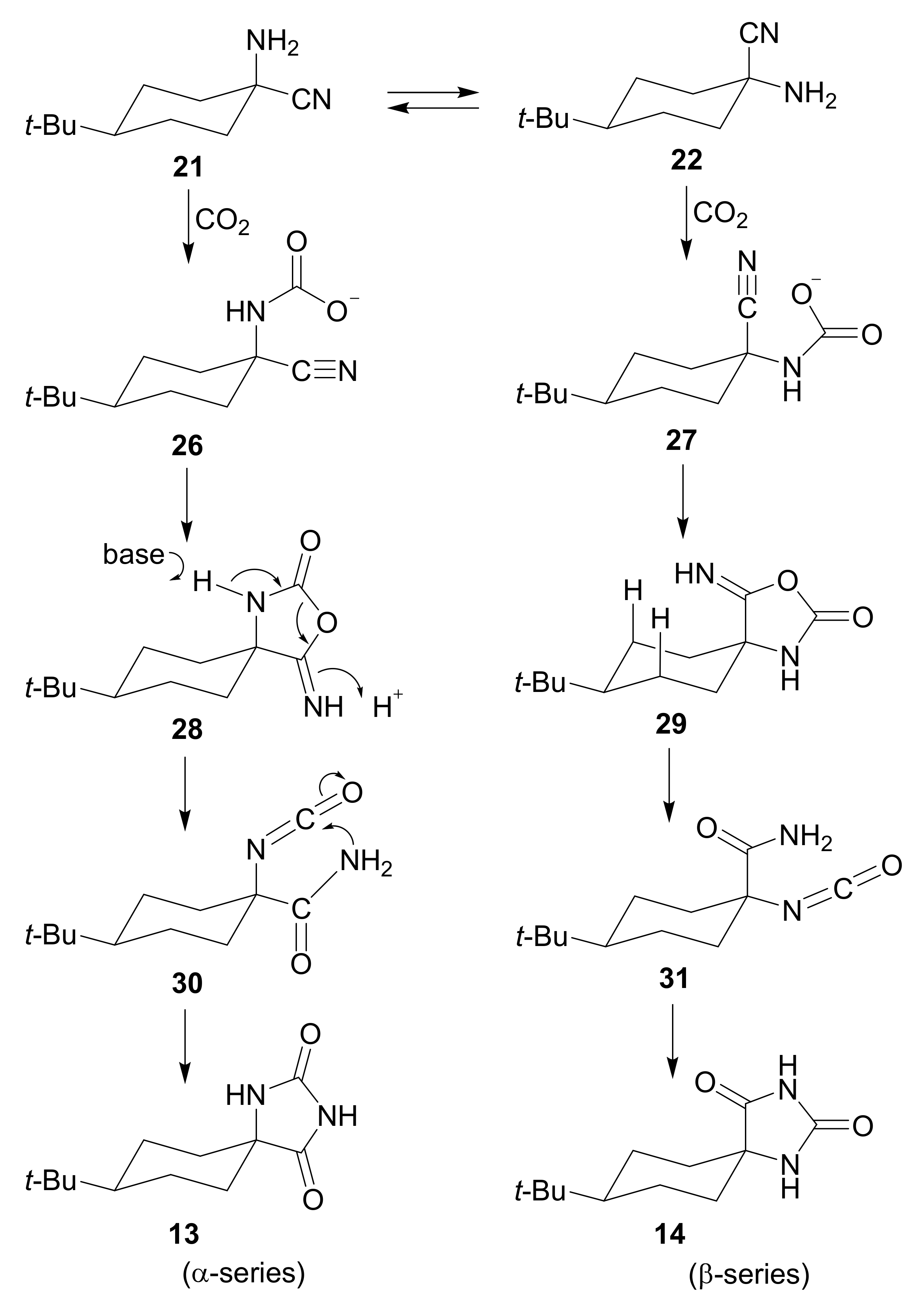
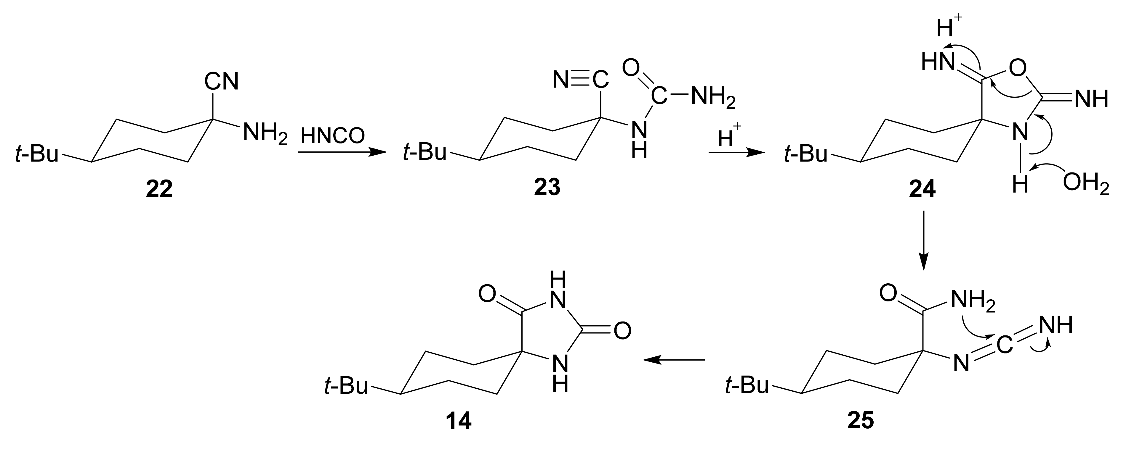
According to the general stereochemical outcome of the Bucherer–Bergs reaction [71], the thermodynamically controlled spiro products are obtained with the C-4 carbonyl group of the imidazolidine-2,4-dione ring in the less hindered position. Thus, Munday [79] found that the Bucherer–Bergs reaction of 4-tert-butylcyclohexanone (12) (Scheme 5) predominantly afforded one isomeric hydantoin 13 (designated α) and only a trace of a second isomer 14 (designated β).
Although Cremlyn and Chisholm [80] reversed this assignment, it was later established [81] by unequivocal chemical evidence that the major isomer of two isomeric 4-benzoyloxycyclohexane-1-spiro-5′-hydantoins (16 and 17) (Scheme 5) obtained by the Bucherer–Bergs reaction from 4-benzoyloxycyclohexanone (15) had the structure of 16 (designated α) thus supporting, by analogy, Munday’s assignment. More direct evidence for this assignment came from 13C-NMR and UV spectra as well as from acetylation of α- and β-hydantoins 13 and 14 [82]. Additionally, mechanistic considerations of the Strecker and Bucherer–Bergs reactions enabled an explanation of how the same amino nitrile can yield either the α- or the β-hydantoin, according to the reaction conditions. On mechanistic grounds, it seems reasonable that, during the Strecker reaction, various equilibria are established rapidly in alkaline solution (via the intermediacy of 19 and 20) (Scheme 6) but not in acidic solution.
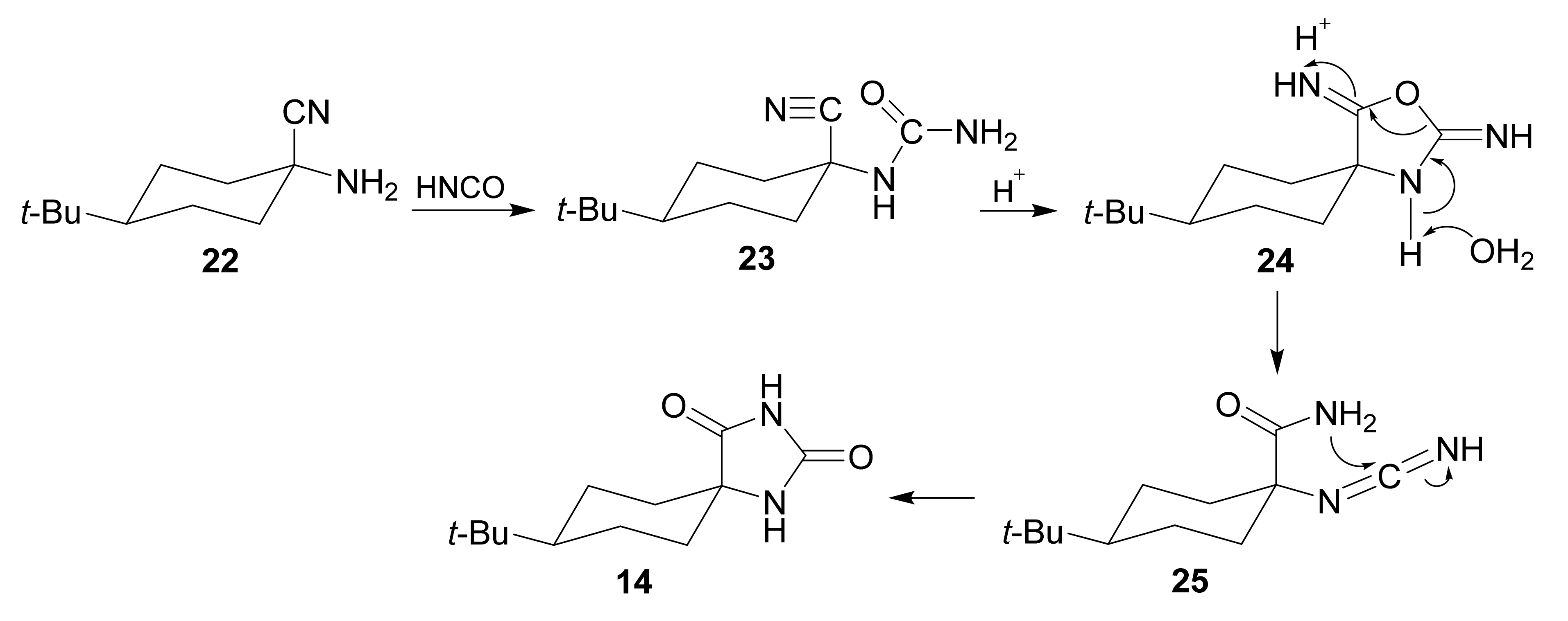
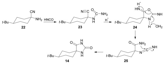
Even in the weakly alkaline solution produced by dissolving the crude amino nitrile in aqueous ethanol, the rates of interconversion 2122 (Scheme 6) are very fast. It was confirmed [80,82] that the amino nitrile reacts with cyanic acid in acetic acid to form a urea derivative 23, which can be cyclized to the β-hydantoin 14 via possible intermediates 24 and 25 (Scheme 7).
The important fact is that under acidic reaction conditions the interconversion 2122 does not take place and the β-isomer 14 is the main reaction product. However, if the same amino nitrile is treated with carbon dioxide in aqueous ethanol, the α-hydantoin 13 is obtained because the interconversion 2122 is rapid under these conditions. The possible mechanism of its formation (Scheme 8) is analogous with the general mechanism formerly proposed by Bucherer [3].
The preferential formation of the α-hydantoin indicates that the reaction route from reactants to the rate-determining step leading to its formation involves a lower overall energy barrier than does the route for hydantoin of β-series. It seems very likely that the rate-determining step on the path to 14 is 2729. According to the Hammond principle, if this step is endothermic, the transition state will resemble 29, which is, however, subject to considerable steric hindrance because of the compression between the 3,5-axial hydrogen atoms and the formation of C=NH group. Consequently, this path is a highly disfavored one. On the other hand, the path leading to the α-hydantoin (222126283013) is less favored in its earlier, pre-equilibrium steps. Particularly, because of steric reasons, the conversion 2126 is less favored than 2227. However, the relative rates by both the α- and β-paths depend upon the overall energy barrier between 22 and the intermediate after the rate-determining step (Hammett–Curtin principle), and this is, for steric reasons, larger on the β-path and, therefore, despite the abovementioned disfavoring, the α-hydantoin is formed preferentially.

3. Scope and Limitations

The scope of the Bucherer–Bergs synthesis is such that all reaction components including organic aldehydes and ketones are readily accessible, thus providing entry into a wide variety of 5-substituted and 5,5-disubstituted hydantoins. In addition, most of the final hydantoins are crystalline products and their isolation and purification is very simple. In most cases, one crystallization from a suitable solvent affords pure products. Despite the relative ease of execution and good yields, which make the Bucherer–Bergs reaction one of the most practical and suitable route to prepare hydantoins, several disadvantages and limitations to its applicability were found. One of the limitations is that it only has one point of diversity. Only changes in the structure of the starting ketone can affect variations of the final hydantoin.
In principle, the aldehyde or ketone parts R and R1 (Scheme 1) may be represented by a hydrogen atom, an alkyl, or a cycloalkyl, as well as an aryl, group. Generally, ketones are more suitable substrates to afford hydantoins unambiguously. However, the presence of functionality in the R and R1 of the starting aldehyde or ketone can complicate the formation of desirable products dramatically. Although the reaction is tolerant of a diverse array of functional groups, because of a strong basicity of the reaction mixture, the Bucherer–Bergs reaction is intolerant of alkali labile functional groups that may be present on the starting carbonyl substrate. Depending on their character, this intolerance may lead to simple deprotection (like deacylation if acylated hydroxyl groups are present), restoring unprotected functionality, or the present functionality may be changed to a new group (e.g., hydrolysis of nitrile, ester, amide, etc.) or to a reactive intermediate (e.g., carbanions in the case of nitroalkyl functionality). Moreover, the aqueous reaction conditions limit the application of starting ketones or aldehydes only to those which are stable under these conditions.
Similarly, the presence of powerful nucleophiles (amino and cyano groups) in the reaction mixture excludes the presence of readily substituted functionalities (like triflate, tosylate, or mesylate and halogen atoms) in the R and R1 of the starting aldehyde or ketone unless especially cyano- or amino-substituted final derivatives are desirable.
An unusual obstruction to the preparation of hydantoins is seen when an unprotected hydroxyl group is present in the α-position of the starting ketone (Scheme 1, R = not H, R1 = CH2OH). It was found that, in such cases, starting from sugar ketone 32, the corresponding 4-carbamoyl-2-oxazolidinone 33 is formed preferentially instead of the expected hydantoin (Scheme 9) [83]. To obtain hydantoin products, appropriate protection of hydroxyl group (e.g., tritylation) prior to the Bucherer–Bergs reaction is necessary.
The anomalous Bucherer–Bergs reaction was observed when some carbohydrates with the free aldehyde group and O-isopropylidenated in the α-position were used as a starting material [84]. In these cases, the expected hydantoins were not formed, but a mixture of unsaturated hydantoin derivatives with the Z configuration and 5,5-dimethylhydantoin were obtained indicating that the 1,3-dioxolane ring (acetal group) vicinal to the aldehyde group is opened via an elimination reaction under formation of a double bond and that the liberated acetone undergoes the normal Bucherer–Bergs reaction to afford 5,5-dimethylhydantoin. Although the proportions of 5,5-dimethylhydantoin and unsaturated hydantoins formed are similar, as isolation of latter compounds is difficult, 5,5-dimethylhydantoin is always isolated as a major product, and the yields of unsaturated hydantoin derivatives depend very much on the structure of the starting material. Scheme 10 is illustrative for starting 2,3:4,5-di-O-isopropylidene-D-arabinose (34) and 2,3:4,5-di-O-isopropylidene-D-ribose (35). Because the chirality of C-2 is destroyed during the elimination reaction, the same products—5-(D-erythro-2-hydroxy-3,4-isopropylidenedioxybutylidene)imidazolidine-2,4-dione (36) and 5,5-dimethylhydantoin (37) resulted from both the starting D-arabino and D-ribo isomers 34 and 35.
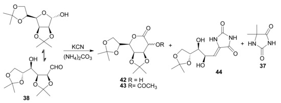
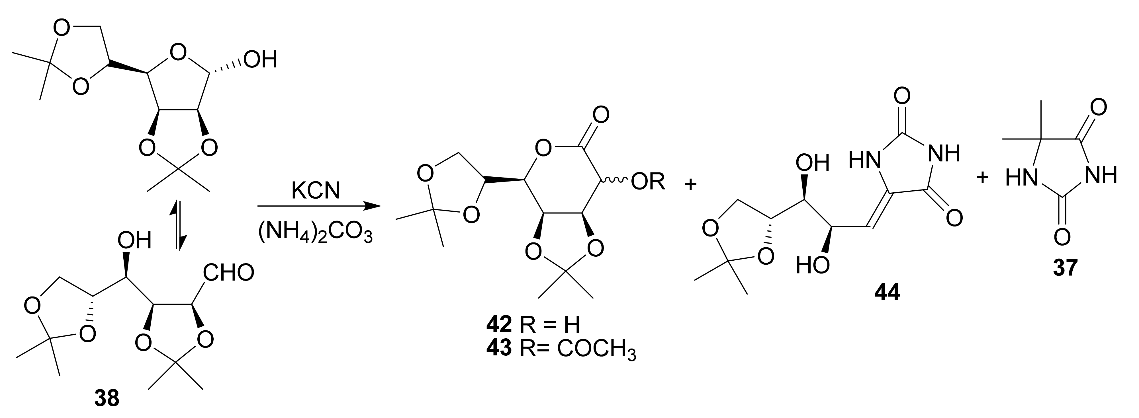
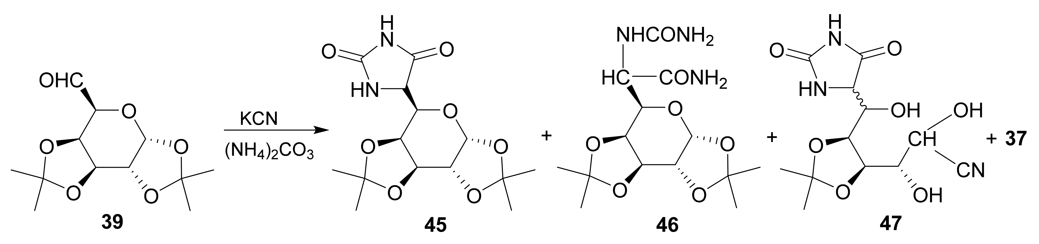
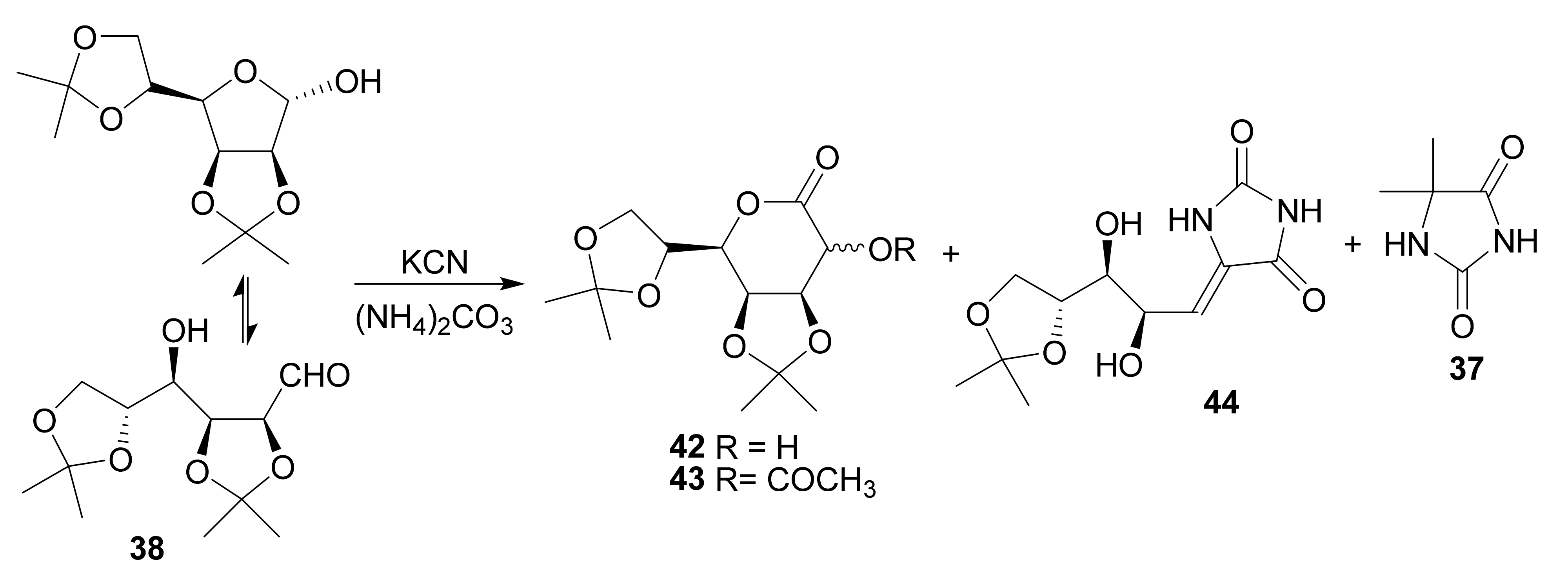
Similarly, 2,3:5,6-di-O-isopropylidene-D-xylose, 2,3:5,6-di-O-isopropylidene-α-D-mannofuranose (38), 1,2:3,4-di-O-isopropylidene-α-D-galacto-hexodialdo-1,5-pyranose (39), 2,3:4,5-di-O-isopropylidene-β-D-arabino-hexosulo-2,6-pyranose (40), and 1,2-O-isopropylidene-3-O-methyl-α-D-xylo-pentodialdo-1,4-furanose (41) also undergo anomalous reactions. Starting from 38, a mixture of D-glycero-D-galacto- and D-talo-heptonic acid δ-lactone derivatives 42 (isolated in the form of acetates 43) was obtained as a major product, together with a minority of unsaturated derivative 44 and 5,5-dimethylhydantoin (37) (Scheme 11).
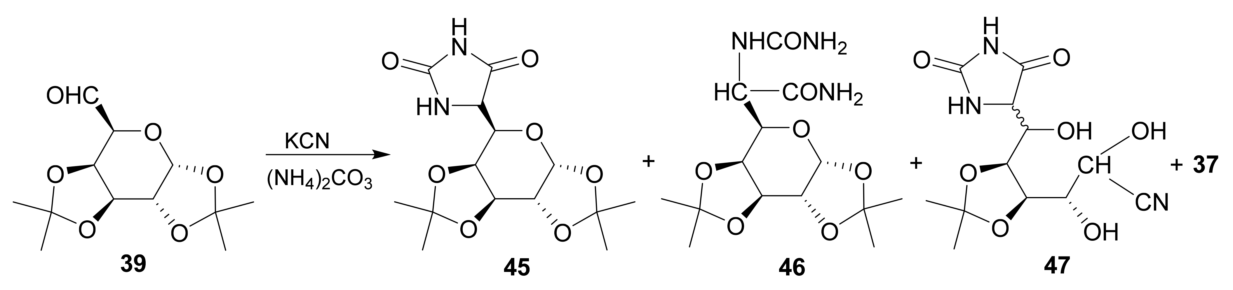
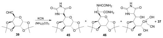
Compound 39 afforded, in addition to the major product 5,5-dimethylhydantoin (37), the hydantoin derivative 45, which is the product of the normal reaction, the diastereomeric 6-ureidohepturonamide 46, and instead of the expected unsaturated hydantoin derivative, only a very low yield of saturated compound 47 (Scheme 12).
Compound 40 provided a mixture of diastereomeric cyanohydrins 48 and hydroxyamides 49, together with 5,5-dimethylhydantoin (37) (Scheme 13). The high yield (78%) of 37 indicates that 40 is converted, via the anomalous reaction, mainly into unsaturated hydantoin derivative which, however, is unstable and decomposes.
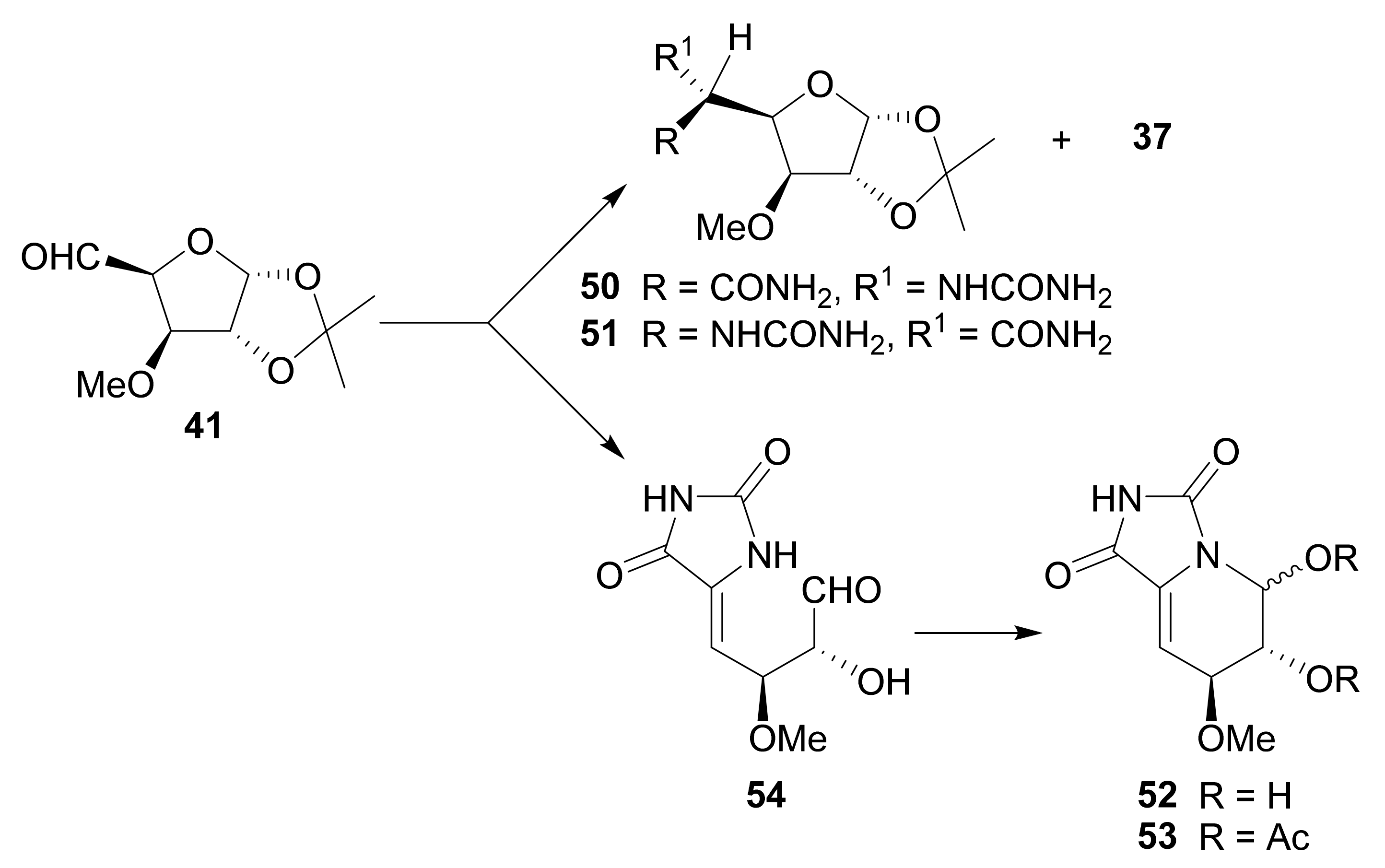
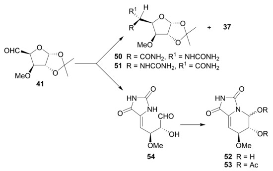
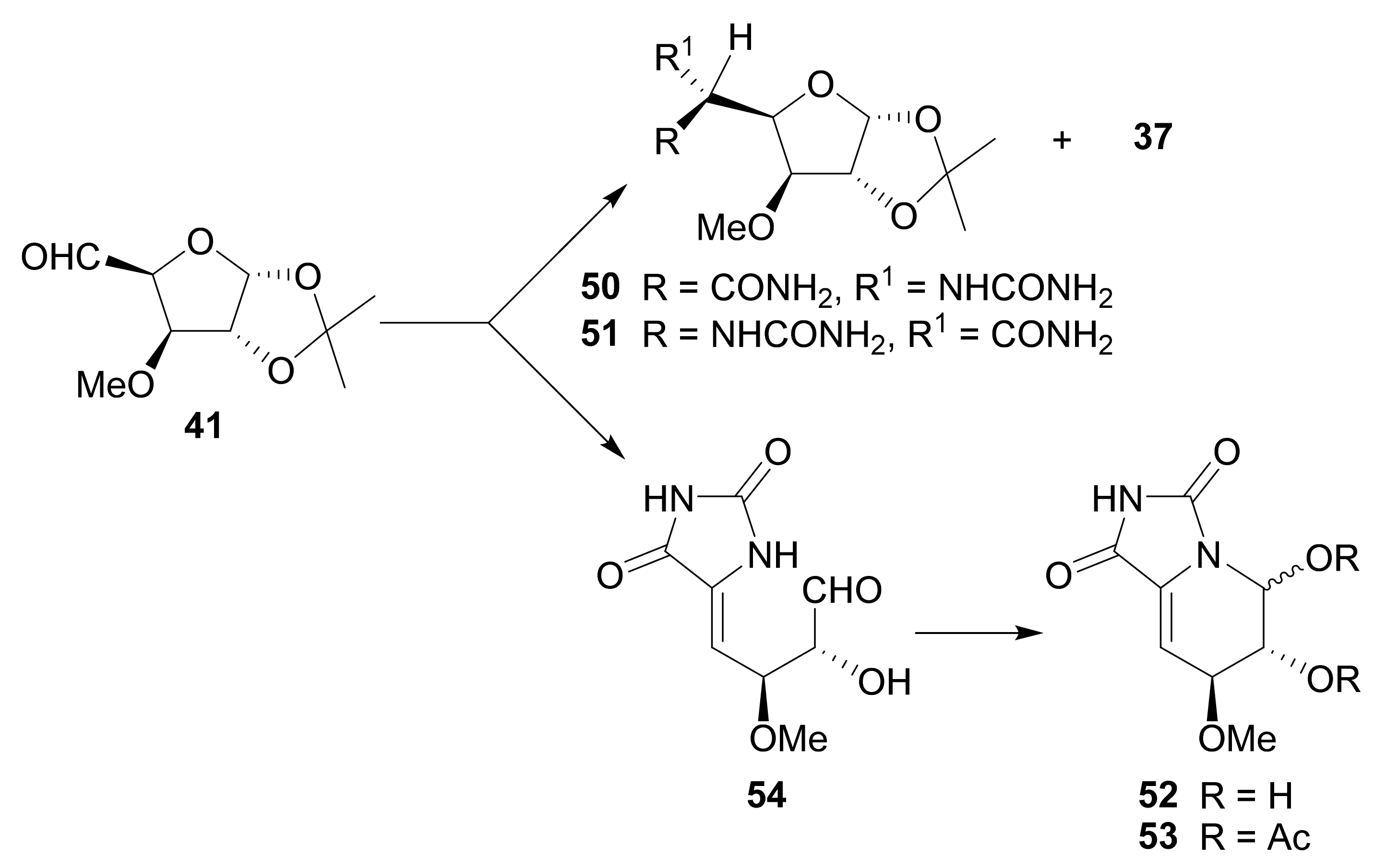
Compound 41, which contains an aldehyde group in the α position to an acetal-linked oxygen of an oxolane and not a dioxolane ring, yielded diastereomeric ureidohexuronamides 50 and 51 (the side-products of the normal reaction), 5,5-dimethylhydantoin (37), and the pyrido-imidazole derivative 52 (isolated as diacetate 53), which can be formed from the acyclic intermediate 54 arising from the anomalous reaction (Scheme 14).
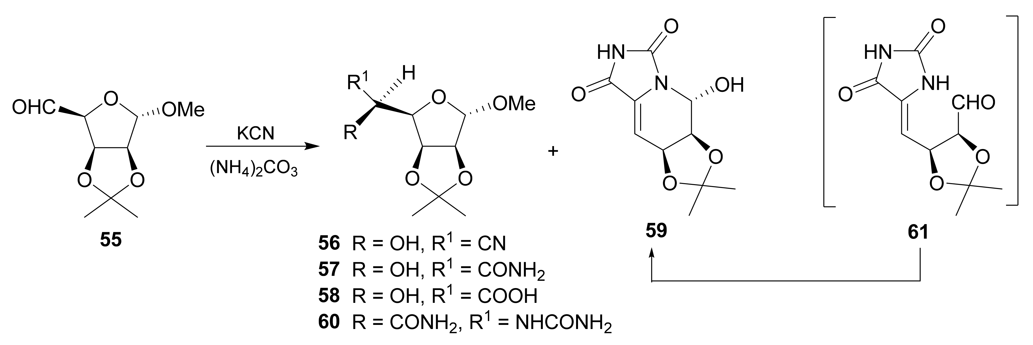
A similar anomalous reaction was also observed with starting methyl 2,3-O-isopropylidene-α-D-lyxo-pentodialdo-1,4-furanoside (55) [85]. However, because the elimination step involves a methoxy group at C-1, and not 1,2-O-isopropylidene-group-liberating acetone, thus excluding the formation of 5,5-dimethylhydantoin, corresponding cyanohydrin 56, uronamide 57, uronic acid 58, and the pyrido[2,1-e]imidazolidine derivative 59 were isolated as main products in this case, together with a minority of ureidouronamide 60 (Scheme 15). Analogously to the formation of pyrido-imidazole derivative 52 from 54 (see Scheme 14), the pyrido[2,1-e]imidazolidine derivative 59 can be formed via intramolecular cyclization of the precursory aldehyde–unsaturated hydantoin derivative 61.
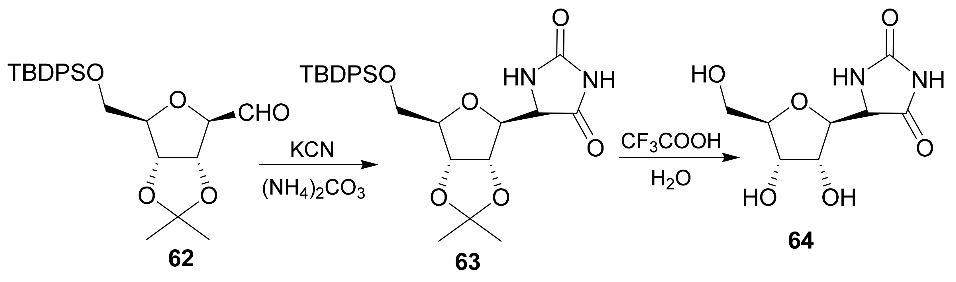
The presence of a group at the anomeric C-1 position capable of elimination (like methoxyl in 55) seems to be crucial for the anomalous course of the Bucherer–Bergs reaction (formation of the pyrido-imidazolidine products). This is because when 6-O-(t-butyldiphenylsilyl)-3,4-O-isopropylidene-2,5-anhydro-D-allose (62) was subjected to the Bucherer–Bergs reaction, only hydantoin 63 (i.e., the product of normal Bucherer–Bergs reaction) was isolated in 79% yield (Scheme 16), which after deprotection afforded (±)-5-(β-D-ribofuranosyl)-hydantoin (64) [86] a close analogue of naturally occurring biologically active Showdomycin. Contrary to 55 having a methoxyl group at C-1 and a formyl group at C-4 positions of the furanose ring, the C-4 position in 62 is occupied by a protected hydroxymethyl group, and the formyl group is positioned at the C-1 atom (regarding the compound name and atom numbering according to carbohydrate nomenclature, in the case of compound 62, the C-4 and C-1 positions of furanose ring are, in fact, the C-5 and C-2 positions).
Although low stereoselectivity for simple carbonyl substrate is a general drawback of the Bucherer–Bergs reaction, both the rate and enantioselectivity of this reaction can be influenced by steric and electronic effects of substituents on the substrate. The suitable choice of substitution can lead to the predominancy of one enantiomer. On the other hand, electronic conditions and steric hindrance (due to the presence of the bulky substituents R and R1 as well as their unfavorable steric orientation) in starting ketone or aldehyde can even prevent successful formation of hydantoins. Thus, the resistance of 1,2:4,5-di-O-isopropylidene-β-D-erythro-2,3-hexodiulo-2,6-pyranose to the Bucherer–Bergs reaction may be explained, besides by unfavorable steric conditions, in terms of the interactions between the permanent dipoles about the anomeric group with those formed during the development of the transition state.
Because of the presence of organic and inorganic reaction components in the reaction mixture, the choice of the solvent is limited to very polar hydroxylic solvents like water, ethanol, and methanol. Most commonly, a mixture of one of these alcohols with water is used. It was established [87] that THF is also tolerated in the Bucherer–Bergs reaction but only at low concentrations in solvent mixtures with water and ethanol. The experiments performed on n-butyl phenyl ketone (1 mmol scale) under a standard set of reaction conditions (three equiv. of KCN, six equiv. of (NH4)2CO3, 75 °C, 24 h) and varying the reaction solvent (total volume constant at 9 mL) have shown no appreciable conversion (<15%) to the corresponding hydantoin in a binary solvent system THF–H2O (1:1). Similar results were obtained using the ternary solvent system THF–H2O–EtOH (2:1:1). However, reducing the amount of THF (THF–H2O–EtOH, 1:4:4) did improve the conversion to 47%. Complete conversion (>95%) enabling isolation of corresponding hydantoin in a 77% yield was achieved using these later reaction conditions when a sealed tube was used to prevent the release of the ammonia and carbon dioxide generated.
Among the disadvantages of the Bucherer–Bergs reaction, it has to be mentioned that the reaction component KCN (or NaCN) is classified as very toxic and dangerous for the organisms and environment and, therefore, the experiments must be performed very carefully by qualified individuals using appropriate protective equipment and respecting all risk and safety precautions for working with such highly hazardous material. Moreover, because of released toxic ammonia, the reactions should only be carried out in a fume cupboard.

4. Application to Synthesis

4.1. Overview

The primary significance of the Bucherer–Bergs reaction lies in the preparation and the many uses of the hydantoin products. Foremost among these uses is the ready access to starting carbonyl compounds and their enormous structural diversity. The possible transformation of hydantoins to the variety of α-amino acids under basic or acidic conditions represents another significant synthetic utility and potential of the Bucherer–Bergs reaction. Thus, a scalable process to prepare the INOS inhibitor PHA-399733, as a potential candidate for the treatment of osteoarthritis, asthma, and neuropathic pain was reported (Scheme 17) [88], using the Bucherer–Bergs hydantoin synthesis as the key step to introduce the amino acid group in the final molecule.
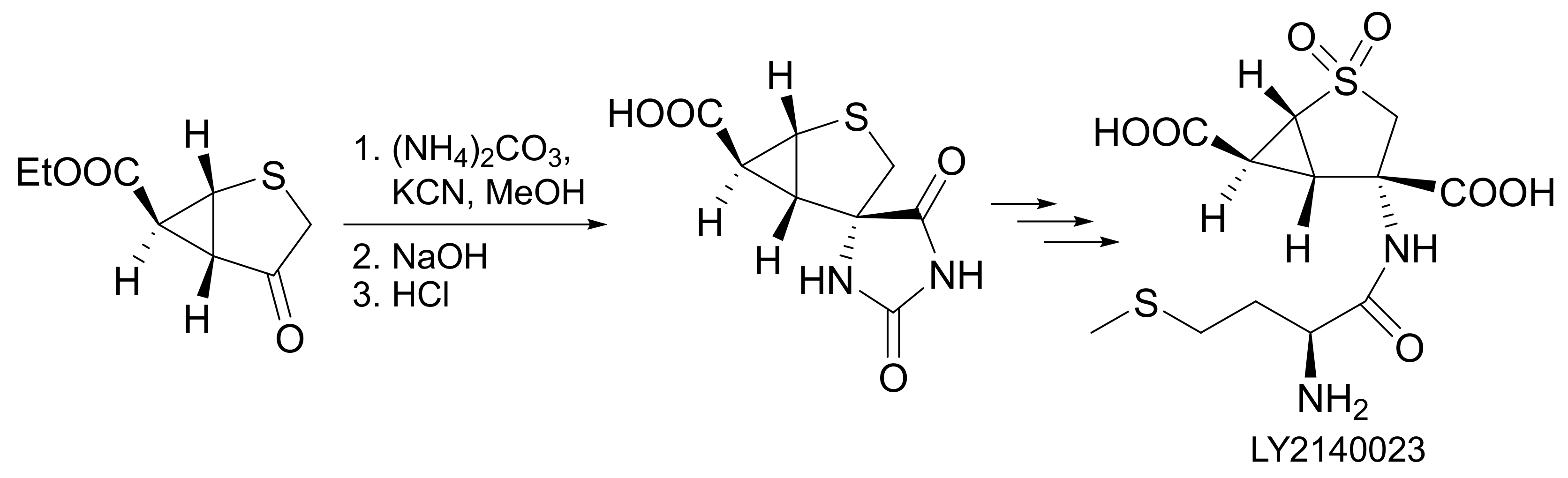
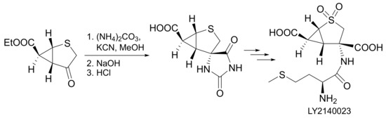
The Bucherer–Bergs reaction was also employed to prepare a key intermediate hydantoin for the synthesis of methionine amide (LY2140023), the first drug (a clinical candidate) acting on mGlu receptors that has been studied in humans to treat schizophrenia (Scheme 18) [89].
Transformation of hydantoins to α-amino acids proceeds through the intermediacy of ureido acids or ureido amides, which, in many cases, can be isolated as useful (new synthetic blocks, potential biological activity, etc.) individual compounds. Moreover, in some cases, ureido acids or ureido amides may result even as the main products of the Bucherer–Bergs reaction directly.
Furthermore, the hydantoins are accessible to further modifications applying e.g., N-alkylation; the Horner–Wadsworth–Emmons reaction; and aldol-type, cycloaddition and complexation reactions, thus affording additional synthetic routes to interesting new compounds. In addition, they are important heterocyclic scaffolds that induce biological effects, and they have pharmacological importance (see Section 1).

4.2. Applications in the Synthesis of Natural Products and Biologically Active Compounds

Hydantoin is an important heterocyclic core that exists in many naturally occurring products, mostly of marine organisms but also of bacteria. Most of them represent rather complicated structures with an incorporated hydantoin core. In many cases, the Bucherer–Bergs reaction in particular has been applied for the synthesis of this core, thus providing intermediary starting hydantoins necessary for further structural modification affording final biologically active compounds. Several compounds with a hydantoin structural unit in their molecules have been therapeutically applied, especially during the last three decades (see Section 1), and the Bucherer–Bergs method has been a choice for their preparation. The following biologically active hydantoins synthesized using the Bucherer–Bergs reaction could be mentioned:

4.2.1. Sorbinil

This spirohydantoin aldose reductase inhibitor (for treatment of diabetic neuropathy), which is, according to IUPAC, (4S)-6-fluoro-2,3-dihydrospiro[4H-1-benzopyran-4,4′-imidazolidine]-2′,5′-dione, was first reported by Sarges in 1978 [90]. It was originally prepared by a multi-step process that essentially involved condensing 6-fluoro-4-chromanone with potassium cyanide and ammonium carbonate in ethanol under standard Bucherer–Bergs conditions to provide the corresponding racemic precursor of sorbinil (Scheme 19), followed by resolution of the latter (±)-compound with (–)-brucine to isolate the pharmacologically active S-(+)-enantiomer.
Sorbinil is obtained in a novel manner by optical resolution of racemic 2,3-dihydrospiro-6-fluoro[4H-l-benzopyran-4,4′-imidazolidine]-2′,5′-dione either (a) by direct resolution via the (–)-3-aminomethylpinane salt of sorbinil or (b) by a double resolving agent technique via a mother liquor concentrate of either the (+)-3-amino-methylpinane or the (–)-2-amino-2-norpinane salt of sorbinil, followed by the quinine salt of sorbinil [91].
The Bucherer–Bergs synthesis was also used for the preparation of 14C-labelled sorbinil, starting from 2,3-dihydro-6-fluoro-4H-1-benzopyran-4-one and 14C-potassium cyanide, followed by brucine resolution of the racemic spirohydantoin [92]. Tritiated sorbinil was obtained in two steps: (1) preparation of 8-chloro-sorbinil using the Bucherer–Bergs synthesis; (2) reductive dehalogenation of this 8-chloro substituted analog using tritium gas in the presence of triethylamine [93].
The Bucherer–Bergs reaction was also applied for the preparation of 2-methylsorbinil, i.e., (4S)(2R)-6-fluoro-2-methyl-spiro-[chroman-4,4′-imidazolidine]-2′,5′-dione. In this case, 6-fluoro-2-methyl-4-chromanone was condensed with potassium cyanide and ammonium carbonate in the usual manner to ultimately afford (±)-6-fluoro-2-methyl-spiro-[chroman-4,4′-imidazolidine]-2′,5′-dione in the form of the desired diastereoisomer. Resolution of the latter racemic compound with an aqueous quinine methohydroxide solution then finally gave the desired (4S)(2R)-isomer [94].
Analogously, the Bucherer–Bergs reaction with/without subsequent resolution of racemic spirohydantoins was used [93,94,95,96] for the preparation of many other sorbinil-like structural analogs of general formula (Figure 2).

4.2.2. Phenytoin

This commonly used antiepileptic diphenylhydantoin (IUPAC name: 5,5-diphenylimidazolidine-2,4-dione) was first synthesized from hydroxy-diphenyl-acetic acid and urea by Biltz in 1908 [97]. Starting from benzophenone, under standard reaction conditions of the Bucherer–Bergs synthesis [(NH4)2CO3, NaCN, 60% EtOH, 58–62 °C, 10 h], phenytoin was obtained only in a 7% yield. Prolongation of the reaction time (90 h) increased the yields to 67%. Improved yields (75%) were obtained when the reaction mixture was heated at 110 °C in a closed vessel to retain the volatile components. Finally, the highest yields (91–96%) resulted using KCN instead of NaCN and propylene glycol or melted acetamide as a solvent in a steel bomb (Scheme 20) [98].

4.2.3. Aplysinopsins

As to the chemical structure, naturally occuring aplysinopsins are, in general, 5-[heteroarylmethylidene]substituted hydantoins, more specifically, derivatives of 5-[(1H-indol-3-yl)methylidene]imidazolidine-2,4-dione or 5-[(1H-indol-3-yl)methylidene]-2-iminoimidazolidine-4-one (Figure 3), which can be isolated from various marine organisms (sponges, corals, etc.) [99,100,101,102,103].
They have aroused considerable interest especially because of their specific cytotoxicity for cancer cells [102] and their ability to affect neurotransmitters [103]. Among several synthetic approaches towards aplysinopsin-type structures, the Bucherer–Bergs reaction has been applied for the preparation of starting the hydantoin core. Thus, in a three-step synthesis of some aplysinopsins, the basic hydantoin prepared in the first step [104] by the Bucherer–Bergs reaction is transformed, in the next step, into (Z)-5-[(dimethylamino)methylidene]imidazolidine-2,4-dione or (Z)-5-[(dimethylamino)methylidene]-3-methylimidazolidine-2,4-dione using (tert-butoxy)bis(dimethylamino)methane (Bredereck’s reagent) or N,N-dimethylformamide dimethyl acetal (DMFDMA), respectivelly. These hydantoins react in the third step with indole to provide aplysinopsin derivatives (Scheme 21) [105].

4.2.4. Hydantocidin

This spironucleoside metabolite isolated from the fermentation broth of Streptomyces hygroscopicus [66] is the first naturally occurring spiro-hydantoin-ribofuranose with strong herbicidal and plant growth activities toward annual, biennial, and perennial weeds by action as an adenylo-succinate synthetase inhibitor without showing toxicity to microorganisms and animals (LD0 > 1000 mg/kg to mammals). Several synthetic methods affording hydantocidin have been described [63,106,107,108,109,110,111,112] including application of the Bucherer–Bergs reaction starting from suitably 2,3,5-tri-O-protected D-ribofuranose (see entries A, B, and C in Scheme 22) [113]. However, this multistep-reaction procedure affords, like most of the other available synthetic methods, only low overall yields of hydantocidin and, therefore, is not suitable for large-scale preparation utilized for practical purposes.

5. Comparison with Other Methods Affording Hydantoins

The importance of hydantoins in the synthesis of biologically active compounds has led and is still leading to the development of many methods for their preparation. Although various attractive synthetic methods are available and some of them take advantage of the Bucherer–Bergs reaction, their applicability can differ significantly depending on the starting building blocks and the required substitution or functionalities on the final products. In this respect, the availability of starting reaction components as well as reaction outcomes and the ease by which the Bucherer–Bergs reaction is executed distinguish this approach from related methods leading to the formation of 5-substituted or 5,5-disubstituted N-1 and N-3 unsubstituted hydantoins.
In addition to the discussed Bucherer–Bergs reaction and its Hoyer modifications, the most important synthetic methods suitable to generate hydantoins are (a) the Read-type reaction of amino acids (or nitriles) with inorganic isocyanates; (b) the condensation of ureas with carbonyl compounds (including the Beller method for monocarbonyl compounds and the Biltz synthesis for α-dicarbonyl compounds); (c) reactions of α-amino esters with amines and phosgene and, by analogy, reactions of α-amino acid amides with ethyl chloroformate to produce urethans, followed by aqueous or alcoholic alkali-mediated cyclization; (d) the reaction of malonamides with hypohalite; (e) multi-component Ugi/De-Boc/Cyclization methodology; and (f) the modified Bucherer–Bergs reaction. Many other sophisticated syntheses of hydantoins were described (like conversion of some three-, five- or six-membered heterocycles to hydantoins, conversion from purines, solid-phase organic syntheses, combinatorial syntheses, cycloaddition reactions, cycloelimination release strategies including acid- or base-catalyzed cyclizations and thermal cycloeliminations, separate cyclization, and cleavage steps strategies; these and several others are summarized in a recent review [72]) but because of their high specificities and substantial differences in starting (or further reacting—for several-step reactions) compounds, the comparison with the Bucherer–Bergs reaction would be quite difficult or even impossible. Therefore, this section covers only comparisons with the first five mentioned methods, which are more related to the Bucherer–Bergs reaction.
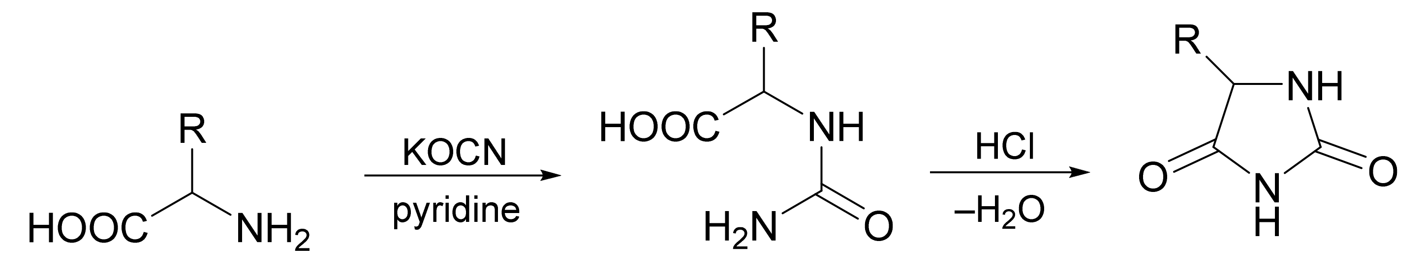
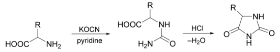
The Read reaction (the reaction of free α-amino acids with sodium cyanate under acidic conditions [11,35,114,115], frequently known under the alternative name of the Urech hydantoin synthesis [116], is used for this reaction when potassium cyanate is employed) (Scheme 23) or its modifications (the reaction of α-amino nitriles with inorganic cyanate or organic isocyanate; the reaction of α-amino acids or esters with isocyanates via the intermediate ureido acids; the two-step procedure when free α-amino acids is treated with potassium cyanate in pyridine followed by acid cyclization [117]) are very good alternative spirohydantoin ring construction methods.
Because of variations in preparing the intermediary α-amino nitrile in the first step, this reaction worked even in such cases where the classical Bucherer–Bergs reaction failed. For example, attempts to form spirohydantoin from starting 1,2:5,6-di-O-isopropylidene-α-D-glucofuranos-3-ulose using the conditions of the Bucherer–Bergs reaction (KCN, (NH4)2CO3, MeOH–H2O, 75 °C) were unsuccessful, and the corresponding cyanohydrin was obtained as the exclusive product. In this case, the glyco-α-amino nitrile was prepared in high yield by the modified Strecker reaction using titanium(IV) isopropoxide as a mild Lewis acid catalyst and TMSCN as a cyanide source. This glyco-α-amino nitrile can be successfully cyclized to spirohydantoin in the next step using a Read-type reaction or the Hoyer modification [118]. However, it is necessary to have in mind that the Read reaction, hydantoin ring synthesis via an α-amino nitrile intermediate followed by cyclization, provides kinetically controlled products, whereas thermodynamically controlled hydantoins are obtained under Bucherer–Bergs reaction conditions. On the other hand, this reaction course control might be an advantage when the kinetic products are specifically desired. For example, sorbinil can be obtained using this method in a 67% overall yield (three steps, without silica gel chromatography) [56,119] (Scheme 24) contrary to the 40% overall yield (only two steps) [90] obtained by the classical Bucherer–Bergs reaction. In this case, the catalytic enantioselective Strecker reaction of ketoimines was applied for the preparation of the intermediate amino nitrile.
Recently, a modified method combining a catalytic reaction and the Bucherer–Bergs and Hoyer’s reaction conditions has been described [120]. In this one-pot, three-step procedure, an aldehyde or ketone was reacted with liquid ammonia under catalysis of gallium(III) triflate to produce the intermediate imine. Addition of hydrogen cyanide (generated from trimethylsilyl cyanide) to this imine afforded the corresponding amino nitrile, which, upon addition of carbon dioxide and Hünig’s base (DIPEA) in the third step, provided 5-substituted or 5,5-disubstituted hydantoins (Scheme 25). Although, in some cases the yields of hydantoins are excellent and, therefore, it can be a method of choice, there are two principal inconveniences in comparison with the classical Bucherer–Bergs reaction. First, this method requires more costly starting materials, and, second, the reaction execution is more complicated because of the three-step procedure.
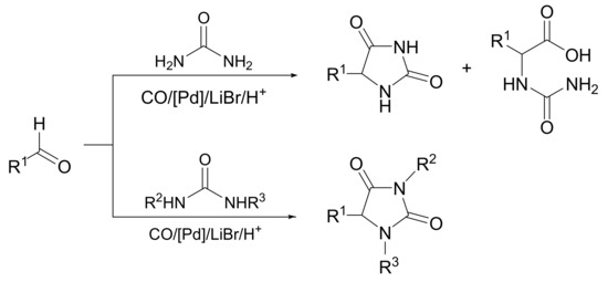
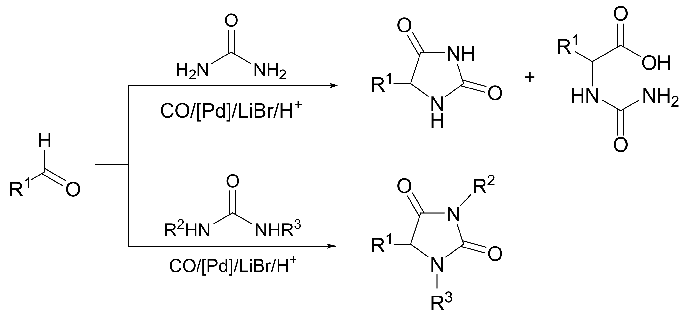
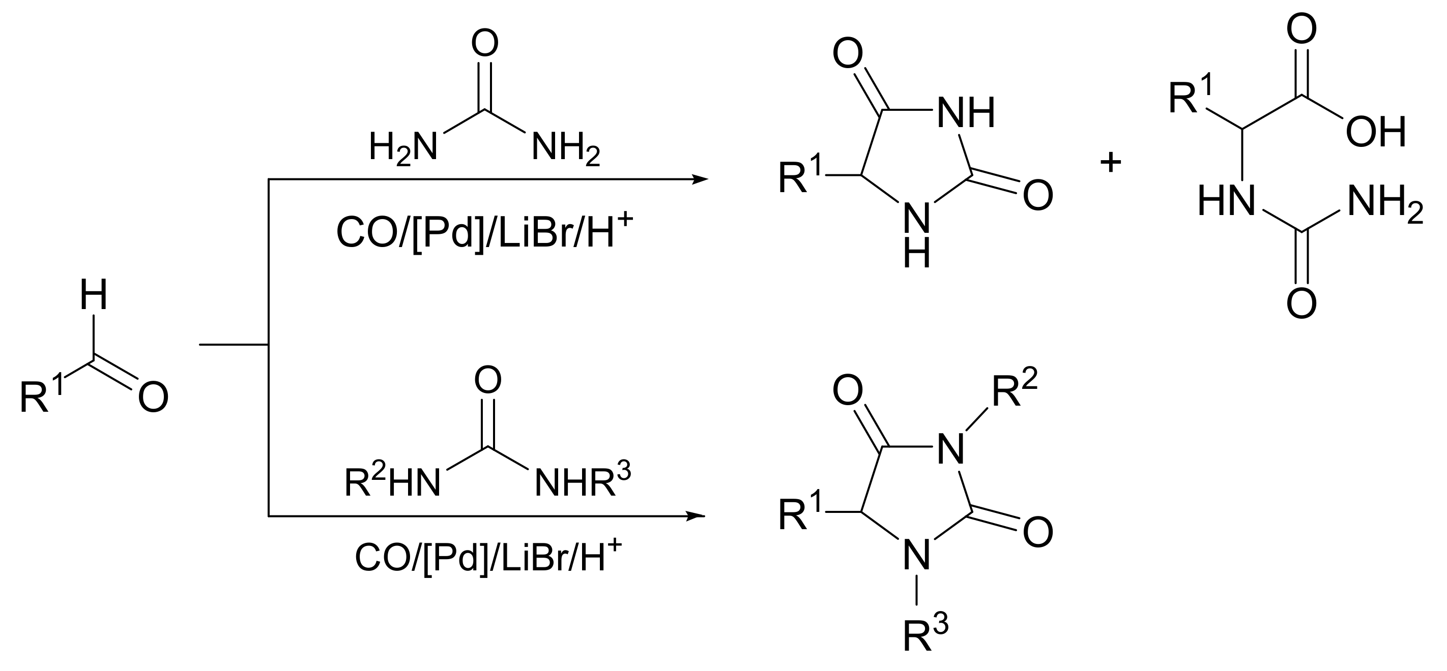
More flexibility as to reactants and variation of reaction conditions is valuable for the preparation of hydantoins from carbonyl compounds and ureas. Thus, the method developed by Beller [121] (reacting different aldehydes with various ureas and carbon monoxide under palladium catalysis) affords mono-, di-, and trisubstituted hydantoins (Scheme 26).
Similar advantages are provided by the Biltz synthesis introduced nearly a hundred years ago. In this respect, the base-catalyzed condensation using benzil and urea (or thiourea) is still regarded as the most straightforward synthesis of phenytoin. Several recent improvements (including application of microwave activation instead of classical heating and the use of DMSO or dioxane/H2O as a solvent or two-step procedure following conversion of 2-thiophenytoin to phenytoin using hydrogen peroxide) allowed the rapid synthesis of phenytoin and structurally related derivatives in higher than 80% yields (Scheme 27) [122]. Additionally, the use of a two-phase system such as aqueous KOH/n-BuOH and PEG 600 as a phase transfer catalyst drastically reduced the quantity of side product, increasing the yield of phenytoin (87–93%) [123].
Although the reaction of α-amino esters with amines and phosgene (or carbonyldiimidazole as a modern alternative) [16,124,125,126,127] or cyclization of urethans [128] as well as cyclization of α-ureido esters [63] are also good alternatives for the synthesis of hydantoins, these methods suffer from low availability of common intermediates—α-amino acid amides, which, in general, are prepared in several steps. However, in some cases, this synthetic approach represents the most suitable method to obtain desirable hydantoin derivatives in a reasonable yield. For example, the potent herbicide hydantocidin was synthesized using this method in a 35.2% overall yield, along with 5-epi-hydantocidin in a 9.6% overall yield (Scheme 28) [63].
Depending on substitution of the starting α-amino acid amide, free hydantoin or 5-substituted, 5,5-disubstituted, as well as 3,5,5-trisubstituted hydantoins can be prepared. By analogy, N-1- and N-3-unsubstituted hydantoin with a C-5 exo-double bond, an analogue of naturally occurring aplysinopsin, was prepared by heating a corresponding α-methylidene-α-amino ester with urea in DMF (Scheme 29) [129].
Based on the α-amino acid amide cyclization via the corresponding isocyanate intermediates generated utilizing carbonyldiimidazole or triphosgene, Nefzi and co-workers [105,130] have developed a synthetic route to the solid-phase synthesis of hydantoin and thiohydantoin compounds and libraries from resin-bound dipeptides (Scheme 30). Using different amino acids (first site of diversity—R1) and different alkyl groups (second site of diversity—R2), this method allowed preparation of a broad range of new hydantoin derivatives. Instead of triphosgene, diphosgene was also applied in solid-phase hydantoin synthesis [131].
Hydantoins can be obtained by the application of the Hofmann degradation reaction (Hofmann rearrangement) of malonamides [132,133]. In this case, the ring closure occurs via isocyanates, the indermediates involved in the reaction of amides with hypohalite (Scheme 31). Although this method, like the Bucherer–Bergs reaction, is specific for the preparation of 5-substituted and 5,5-disubstituted hydantoins, this procedure is much less convenient than the Bucherer–Bergs reaction especially because of the more difficult availability of starting malonamides.
Recently employed Ugi/De-Boc/Cyclization methodology [134] is suitable for the preparation of fully functionalized hydantoins in good yield. Aldehydes (or ketones), amines, isonitriles, methanol, and carbon dioxide act as starting materials in this five-component reaction and corresponding carbamates result as intermediates, followed by their cyclization under alkaline conditions in the next step (Scheme 32).
In a very similar and experimentally simple methodology described as a Ugi four-component condensation (U-4CC) combined with a base-induced cyclization [135], the acid component, trichloroacetic acid, acts as a carbonic acid equivalent. In this case, the synthesis of 1,3,5-trisubstituted hydantoins can be performed by a simple one-pot, two-step procedure. Although these two methods allow the facile synthesis of arrays of hydantoins with three diversity points, the preparation of 5-mono- and 5-disubstituted hydantoins unsubstituted at N-1 and N-3 is not possible and, therefore, its application, in comparison with Bucherer–Bergs reaction, is more restricted.
A recently reported [87] modified Bucherer–Bergs reaction is based on the reaction of a nitrile with an organometallic reagent such as RMgX or RLi to generate an intermediate imine, which in a subsequent reaction with KCN and (NH4)2CO3 affords the corresponding hydantoin (Scheme 33). This method is practical for the one-pot synthesis of 5,5-disubstituted hydantoins and the preferential selection of this strategy should be based on the following: (i) a very large number of nitriles are commercially available or readily accessible; (ii) a variety of common organometallic reagents including RMgX and RLi add to alkyl-, aryl- and heteroaryl-substituted nitriles in high yields; (iii) protonation of the intermediate metallated imine directly leads to the NH imine, an intermediate in the Bucherer–Bergs reaction.
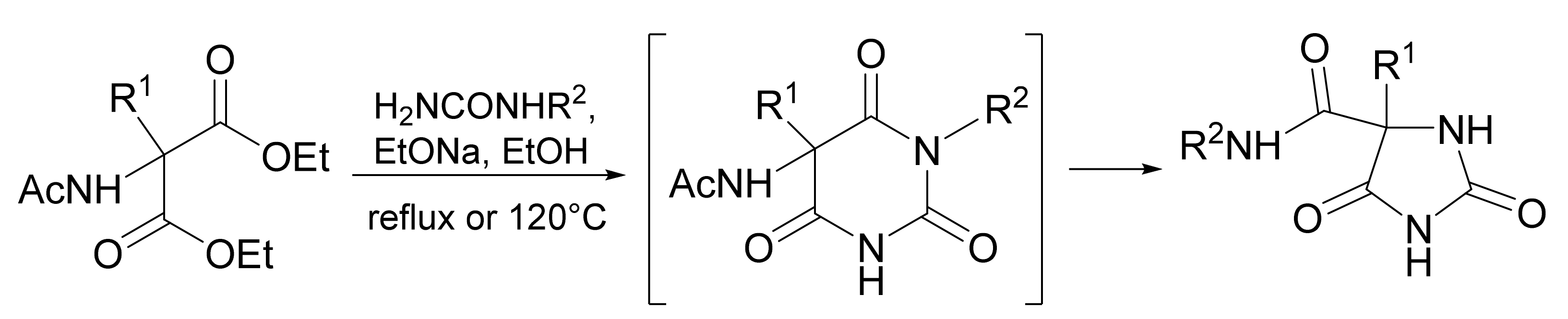
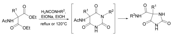
Although the aminobarbituric acid-hydantoin rearrangement is not related to the Bucherer–Bergs reaction, this synthetic strategy described recently by Gütschow [136,137] should be mentioned because it represents an easy access to 1,5- and/or 5,5-disubstituted, 1,3,5- and/or 1,5,5-trisubstituted, and/or 1,3,5,5-tetrasubstituted hydantoins (Scheme 34 and Scheme 35).

6. Experimental Conditions

6.1. General Comments

Despite the progress that has been made in the synthesis of hydantoins, one of the most attractive aspects of the Bucherer–Bergs reaction is its experimental simplicity and reliability. A wide variety of aldehydes and ketones can be used as a relatively easily available starting material. Because of aqueous reaction conditions, there is no need for dry solvents. Most commonly, a mixture of water with ethanol (or methanol) or methanol itself is employed [138,139,140,141,142,143,144,145,146,147,148,149,150,151,152,153,154,155,156,157,158,159,160,161,162,163,164,165,166,167,168,169,170,171,172,173,174,175,176,177,178,179,180,181,182,183,184,185,186,187,188,189,190,191,192,193,194,195,196,197,198,199,200,201,202,203,204,205,206,207,208,209,210,211,212,213,214,215,216,217,218,219,220] as a solvent, and the one-step reaction products—5-substituted and 5,5-disubstituted hydantoins (unsubstituted on N-1 and N-3)—are typically formed under thermal conditions (≅50 °C to reflux) or under pressure (sealed vessel) [98,203,221,222,223,224,225,226,227,228,229,230,231,232,233,234,235,236,237,238,239,240,241,242,243,244,245,246,247,248,249,250,251,252,253,254,255]. In some cases, amides like fused acetamide, formamide, and dimethylformamide are used as a solvent [6,250,251,256]. Occasionally, the reactions are performed under ultrasonication [8,252,257,258,259,260,261,262,263,264] or under mechanochemical ball milling using a ZnO catalyst [265]. Zinc cyanide and Fe3O4-chitosan catalyst instead of KCN [266] as well as pulsed Fe electro-oxidation [267] were applied for catalytic synthesis of hydantoin derivatives. A recent review article deals with the green synthesis of hydantoins [268].
Usually, the prepared hydantoins are stable solids easily isolated and purified by simple crystallization from the suitable solvent. Chromatographical separation (if possible) is necessary only in the case when the isolation of pure enantiomers is required.

6.2. Note

Potassium and sodium cyanides are violent poisons. They are highly toxic by inhalation, in contact with skin, and if swallowed and must be handled using appropriate personal protective equipment. KCN and NaCN should only be handled in a fume cupboard by qualified individuals. These cyanide salts should be properly disposed of in specially designated containers. Further information can be obtained from the Material Safety Data Sheet (MSDS) available from the supplier. Ammonia gas is also very toxic by inhalation or skin contact (may be fatal if inhaled). Handling this material requires considerable caution because it is extremely harmful to the eyes. Additionally, it is corrosive and may cause serious burns.

7. Conclusions

Although several synthetic methods for the preparation of hydantoins have been described so far, the Bucherer–Bergs reaction represents the simplest and very effective approach, in particular to 5-substituted and 5,5-disubstituted hydantoins (unsubstituted on N-1 and N-3). Therefore, this synthetic method is still current and often used for the synthesis of biologically and pharmacologically active compounds applicable in medicine, pharmacy, or agro-industry. In this respect, the presented review covered in depth the knowledge gained during the almost century-old history of hydantoin synthesis via the Bucherer–Bergs reaction.

Author Contributions

Conceptualization, M.K. (Miroslav Koóš); writing—original draft preparation, M.K. (Miroslav Koóš) and M.B.; writing—review and editing, M.K. (Miroslav Koóš), M.B., M.K. (Martin Kalník), P.G.; supervision, M.K. (Miroslav Koóš); funding acquisition, M.K. (Miroslav Koóš) and M.B. All authors have read and agreed to the published version of the manuscript.

Funding

This research was supported by the Scientific Grant Agency (grant number VEGA 2/0031/19). It was also supported by the Slovak Academy of Sciences (SAS-Taiwan project, grant number SAS-MOST/JRP/2019/882/GM-INHIB). This contribution is the result of the implementation of the project “Center of Excellence for Glycomics” ITMS 26240120031, supported by the Research & Development Operational Program funded by the ERDF.

Institutional Review Board Statement

Not applicable.

Informed Consent Statement

Not applicable.

Data Availability Statement

Not applicable.

Conflicts of Interest

The authors declare no conflict of interest.

References

  1. Bergs, H. Verfahren zur Darstellung von Hydantoinen. German Patent DE566094, 14 December 1932. [Google Scholar]
  2. Ciamician, G.; Silber, P. Chemische Lichtwirkungen. Ber. Dtsch. Chem. Ges. 1905, 38, 1671–1675. [Google Scholar] [CrossRef]
  3. Bucherer, H.T.; Steiner, W. Syntheses of hydantoins. I. On reactions of α-hydroxy and α-amino nitriles. J. Prakt. Chem. 1934, 140, 291–316. [Google Scholar]
  4. Bucherer, H.T.; Fischbeck, H.T. Hexahydrodiphenylamine and its derivatives. J. Prakt. Chem. 1934, 140, 69–89. [Google Scholar]
  5. Bucherer, H.T.; Lieb, V.A. Syntheses of hydantoins. II. Formation of substituted hydantoins from aldehydes and ketones. J. Prakt. Chem. 1934, 141, 5–43. [Google Scholar] [CrossRef]
  6. Henze, H.R.; Long, L.M. Researches on phenylhydantoins. J. Am. Chem. Soc. 1941, 63, 1936–1938. [Google Scholar] [CrossRef]
  7. Henze, H.R.; Long, L.M. 5-(4-Biphenylyl)-5-R-hydantoins and bis-5-[(4-phenyl)-5-R-hydantoin]s. J. Am. Chem. Soc. 1941, 63, 1941–1943. [Google Scholar] [CrossRef]
  8. Li, J.; Li, L.; Li, T.; Li, H.; Liu, J. An efficient and convenient procedure for the synthesis of 5,5-disubstituted hydantoins under ultrasound. Ultrason. Sonochem. 1996, 3, S141–S143. [Google Scholar] [CrossRef]
  9. Hoyer, H.L. Über das camphan-2-spiro-hydantoin. Chem. Ber. 1950, 83, 491–500. [Google Scholar] [CrossRef]
  10. Henze, H.R.; Speer, R.J. Identification of carbonyl compounds through conversion into hydantoins. J. Am. Chem. Soc. 1942, 64, 522–523. [Google Scholar] [CrossRef]
  11. Oh, C.-H.; Kim, H.J.; Hong, S.-Y.; Lee, Y.-H.; Cho, J.K.; Cho, J.-H. New 1β-methylcarbapenems having a hydantoin moiety. Neue 1β-methylcarbapeneme mit hydantoin-substitution. Arch. Pharm. 1995, 328, 385–387. [Google Scholar] [CrossRef] [PubMed]
  12. Marchand-Brynaert, J.; Arnadei, E.; Ghosez, L. Functionalized hydantoins as potential antibiotics. Bull. Soc. Chim. Belg. 1994, 103, 213–218. [Google Scholar] [CrossRef]
  13. Oliveira, S.M.; Silva, J.B.P.; Hernandes, M.Z.; Lima, M.C.A.; Galdino, S.L.; Pitta, I.R. Structure, reactivity, and biological properties of hidantoines. Quim. Nova 2008, 31, 614–622. [Google Scholar] [CrossRef]
  14. Ali, O.M.; Amer, H.H.; Mosaad, A.A.; Abdel-Rahman, A.A.-H. Synthesis and antimicrobial activity of new phenytoin derivatives and their acyclic nucleoside analogs. Chem. Heterocycl. Compd. 2012, 48, 1043–1049. [Google Scholar] [CrossRef]
  15. Ali, O.M.; El-Sayed, W.A.; Eid, S.A.; Abdelwahed, N.A.M.; Abdel-Rahman, A.A.-H. Antimicrobial activity of new synthesized [(oxadiazolyl)methyl]phenytoin derivatives. Acta Polon. Pharm. 2012, 69, 657–667. [Google Scholar]
  16. Kim, D.; Wang, L.; Caldwell, C.G.; Chen, P.; Finke, P.E.; Oates, B.; MacCoss, M.; Mills, S.G.; Malkowitz, L.; Gould, S.L.; et al. Discovery of human CCR5 antagonists containing hydantoins for the treatment of HIV-1 infection. Bioorg. Med. Chem. Lett. 2001, 11, 3099–3102. [Google Scholar] [CrossRef]
  17. Verlinden, Y.; Cuconati, A.; Wimmer, E.; Rombaut, B. The antiviral compound 5-(3,4-dichlorophenyl) methylhydantoin inhibits the post-synthetic cleavages and the assembly of poliovirus in a cell-free system. Antivir. Res. 2000, 48, 61–69. [Google Scholar] [CrossRef]
  18. El-Barbary, A.A.; Khodair, A.I.; Pedersen, E.B.; Nielsen, C. S-Glucosylated hydantoins as new antiviral agents. J. Med. Chem. 1994, 37, 73–77. [Google Scholar] [CrossRef] [PubMed]
  19. Anderson, J. The role of antiandrogen monotherapy in the treatment of prostate cancer. BJU Int. 2003, 91, 455–461. [Google Scholar] [CrossRef] [PubMed]
  20. Kassouf, W.; Tanguay, S.; Aprikian, A.G. Nilutamide as second line hormone therapy for prostate cancer after androgen ablation fails. J. Urol. 2003, 169, 1742–1744. [Google Scholar] [CrossRef]
  21. Struck, R.F.; Kirk, M.C.; Rice, L.S.; Suling, W.J. Isolation, synthesis and antitumor evaluation of spirohydantoin aziridine, a mutagenic metabolite of spirohydantoin mustard. J. Med. Chem. 1986, 29, 1319–1321. [Google Scholar] [CrossRef]
  22. Nakabayashi, M.; Regan, M.M.; Lifsey, D.; Kantoff, P.W.; Taplin, M.-E.; Sartor, O.; Oh, W.K. Efficacy of nilutamide as secondary hormonal therapy in androgen-independent prostate cancer. BJU Int. 2005, 96, 783–786. [Google Scholar] [CrossRef]
  23. Ciechanowicz-Rutkowska, M.; Stadnicka, K.; Kiec-Kononowicz, K.; Byrtus, H.; Filipek, B.; Zygmunt, M.; Maciag, D. Structure-activity relationship of some new anti-arrhythmic phenytoin derivatives. Arch. Pharm. 2000, 333, 357–364. [Google Scholar] [CrossRef]
  24. Kieć-Kononowicz, K.; Stadnicka, K.; Mitka, A.; Pekala, E.; Filipek, B.; Sapa, J.; Zygmunt, M. Synthesis, structure and antiarrhythmic properties evaluation of new basic derivatives of 5,5-diphenylhydantoin. Eur. J. Med. Chem. 2003, 38, 555–566. [Google Scholar] [CrossRef]
  25. Knabe, J.; Baldauf, J.; Ahlhem, A. Racemates and enantiomers of basic substituted 5-phenylhydantoins. Syntheses and antiarrhythmic activity. (Razemate und enantiomere basisch substituierter 5-phenylhydantoine, synthese und antiarrhythmische wirkung). Pharmazie 1997, 52, 912–919. [Google Scholar]
  26. Matsukura, M.; Daiku, Y.; Ueda, K.; Tanaka, S.; Igarashi, T.; Minami, N. Synthesis and antiarrhythmic activity of 2,2-dialkyl-1′-(N-substituted aminoalkyl)-spiro-[chroman-4,4′-imidazolidine]-2′,5′-diones. Chem. Pharm. Bull. 1992, 40, 1823–1827. [Google Scholar] [CrossRef] [PubMed]
  27. Thenmozhiyal, J.C.; Wong, P.T.-H.; Chui, W.-K. Anticonvulsant activity of phenylmethylenehydantoins: A structure–activity relationship study. J. Med. Chem. 2004, 47, 1527–1535. [Google Scholar] [CrossRef]
  28. LeTiran, J.; Stables, J.P.; Kohn, H. Functionalized amino acid anticonvulsants: Synthesis and pharmacological evaluation of conformationally restricted analogues. Bioorg. Med. Chem. 2001, 9, 2693–2708. [Google Scholar] [CrossRef]
  29. Anger, T.; Madge, D.J.; Mulla, M.; Riddall, D. Medicinal chemistry of neuronal voltage-gated sodium channel blockers. J. Med. Chem. 2001, 44, 115–137. [Google Scholar] [CrossRef]
  30. Scholl, S.; Koch, A.; Henning, D.; Kempter, G.; Kleinpeter, E. The influence of structure and lipophilicity of hydantoin derivatives on anticonvulsant activity. Struct. Chem. 1999, 10, 355–366. [Google Scholar] [CrossRef]
  31. Brouillette, W.J.; Jestkov, V.P.; Brown, M.L.; Akhtar, M.S.; DeLorey, T.M.; Brown, G.B. Bicyclic hydantoins with a bridgehead nitrogen. Comparison of anticonvulsant activities with binding to the neuronal voltage-dependent sodium channel. J. Med. Chem. 1994, 37, 3289–3293. [Google Scholar] [CrossRef]
  32. Kwon, C.H.; Iqbal, M.T.; Wurpel, J.N.D. Synthesis and anticonvulsant activity of 2-iminohydantoins. J. Med. Chem. 1991, 34, 1845–1849. [Google Scholar] [CrossRef] [PubMed]
  33. Botros, S.; Khalil, N.A.; Naguib, B.H.; El-Dash, Y. Synthesis and anticonvulsant activity of new phenytoin derivatives. Eur. J. Med. Chem. 2013, 60, 57–63. [Google Scholar] [CrossRef]
  34. Deodhar, M.; Sable, P.; Bhosale, A.; Juvale, K.; Dumbare, R.; Sakpal, P. Synthesis and evaluation of phenytoin derivatives as anticonvulsant agents. Turk. J. Chem. 2009, 33, 367–373. [Google Scholar]
  35. Edmunds, J.J.; Klutchko, S.; Hamby, J.M.; Bunker, A.M.; Connolly, C.J.C.; Winters, R.T.; Quin III, J.; Sircar, I.; Hodges, J.C.; Panek, R.L.; et al. Derivatives of 5-[[1-4(4-carboxybenzyl)imidazolyl]methylidene]hydantoins as orally active angiotensin II receptor antagonists. J. Med. Chem. 1995, 38, 3759–3771. [Google Scholar] [CrossRef]
  36. Somsák, L.; Kovács, L.; Tóth, M.; Ösz, E.; Szilágyi, L.; Györgydeák, Z.; Dinya, Z.; Docsa, T.; Tóth, B.; Gergely, P. Synthesis of and a comparative study on the inhibition of muscle and liver glycogen phosphorylases by epimeric pairs of D-gluco- and D-xylopyranosylidene-spiro-(thio)hydantoins and N-(D-glucopyranosyl) amides. J. Med. Chem. 2001, 44, 2843–2848. [Google Scholar] [CrossRef]
  37. Oka, M.; Matsumoto, Y.; Sugiyama, S.; Tsuruta, N.; Matsushima, M. A potent aldose reductase inhibitor, (2S,4S)-6-fluoro-2′,5′-dioxospiro[chroman-4,4′-imidazolidine]-2-carboxamide (Fidarestat): Its absolute configuration and interactions with the aldose reductase by X-ray crystallography. J. Med. Chem. 2000, 43, 2479–2483. [Google Scholar] [CrossRef]
  38. Murakami, N.; Ohta, M.; Kato, K.; Nakayama, K.; Mizota, M.; Miwa, I.; Okuda, J. Effects of 1-(3-bromobenzofuran-2-ylsulfonyl)hydantoin on human aldose reductase examined by a new application of HPLC system for measuring tissue polyol. Arzneimittelforschung/Drug Res. 1997, 47, 1222–1225. [Google Scholar]
  39. Sarges, R.; Oates, P.J. Aldose reductase inhibitors: Recent developments. Prog. Drug Res. 1993, 40, 99–161. [Google Scholar]
  40. Haruyama, H.; Takayama, T.; Kinoshita, T.; Kondo, M.; Nakajima, M.; Haneishi, T. Structural elucidation and solution conformation of the novel herbicide hydantocidin. J. Chem. Soc. Perkin Trans. 1 1991, 1637–1640. [Google Scholar] [CrossRef]
  41. Siehl, D.L.; Subramanian, M.V.; Walters, E.W.; Lee, S.F.; Anderson, R.J.; Toschi, A.G. Adenylosuccinate synthetase: Site of action of hydantocidin, a microbial phytotoxin. Plant. Physiol. 1996, 110, 753–758. [Google Scholar] [CrossRef]
  42. Heim, D.R.; Gerwick, B.C.; Murdoch, M.G.; Green, S.B. Hydantocidin: A possible proherbicide inhibiting purine biosynthesis at the site of adenylosuccinate synthetase. Pest. Biochem. Physiol. 1995, 53, 138–145. [Google Scholar] [CrossRef]
  43. Mizuno, T.; Kino, T.; Takatoshi, I.; Miyata, T. Synthesis of aromatic urea herbicides by the selenium-assisted carbonylation using carbon monoxide with sulfur. Synth. Commun. 2000, 30, 1675–1688. [Google Scholar] [CrossRef]
  44. Fischer, H.-P.; Buser, H.-P.; Chemla, P.; Huxley, P.; Lutz, W.; Mirza, S.; Tombo, G.M.R.; van Lommen, G.; Sipido, V. Synthesis and chirality of novel heterocyclic compounds designed for crop protection. Bull. Soc. Chim. Belg. 1994, 103, 565–581. [Google Scholar] [CrossRef]
  45. Sano, H.; Sugai, S. Synthesis of (±)-carbocyclic analogue of spirohydantoin nucleoside. Tetrahedron 1995, 51, 4635–4646. [Google Scholar] [CrossRef]
  46. Bazil, C.W. Sleep, sleep apnea, and epilepsy. Curr. Treat. Options Neurol. 2004, 6, 339–345. [Google Scholar] [CrossRef] [PubMed]
  47. Bosch, J.; Roca, T.; Domènech, J.; Suriol, M. Synthesis of water-soluble phenytoin prodrugs. Bioorg. Med. Chem. Lett. 1999, 9, 1859–1862. [Google Scholar] [CrossRef]
  48. Bac, P.; Maurois, P.; Dupont, C.; Pages, N.; Stables, J.P.; Gressens, P.; Evrard, P. Magnesium deficiency-dependent audiogenic seizures (MDDASs) in adult mice: A nutritional model for discriminatory screening of anticonvulsant drugs and original assessment of neuroprotection properties. J. Neurosci. 1998, 18, 4363–4373. [Google Scholar] [CrossRef]
  49. Krall, R.L.; Penry, J.K.; White, B.G.; Kupferberg, H.J.; Swinyard, E.A. Antiepileptic drug development: II. Anticonvulsant drug screening. Epilepsia 1978, 19, 409–428. [Google Scholar] [CrossRef]
  50. Reagan, L.P.; McKittrick, C.R.; McEwen, B.S. Corticosterone and phenytoin reduce neuronal nitric oxide synthase messenger RNA expression in rat hippocampus. Neuroscience 1999, 91, 211–219. [Google Scholar] [CrossRef]
  51. Taylor, C.P. Voltage-gated Na+ channels as targets for anticonvulsant, analgesic and neuroprotective drugs. Curr. Pharm. Des. 1996, 2, 375–388. [Google Scholar]
  52. Eadie, M.J. Phenytoin. In The Treatment of Epilepsy, 2nd ed.; Shorvon, S., Perucca, E., Fish, D., Dodson, E., Eds.; Blackwell Publishing: Oxford, UK, 2004; pp. 475–488. [Google Scholar]
  53. Brendstrup, L.; Hjelt, K.; Petersen, K.E.; Petersen, S.; Andersen, E.A.; Daugbjerg, P.S.; Stagegaard, B.R.; Nielsen, O.H.; Vejlsgaard, R.; Schou, G.; et al. Nitrofurantoin versus trimethoprim prophylaxis in recurrent urinary tract infection in children. A randomized, double-blind study. Acta Paediatr. Scand. 1990, 79, 1225–1234. [Google Scholar] [CrossRef] [PubMed]
  54. D’Arcy, P.F. Nitrofuratoin. Drug Intell. Clin. Pharm. 1985, 19, 540–547. [Google Scholar] [CrossRef]
  55. Richards, W.A.; Riss, E.; Kass, E.H.; Finland, M. Nitrofurantoin: Clinical and laboratory studies in urinary tract infections. AMA Arch. Intern. Med. 1955, 96, 437–450. [Google Scholar] [CrossRef]
  56. Sarges, R.; Howard, H.R.; Kelbaugh, P.R. Synthesis of optically active spirohydantoins by asymmetric induction. Hydantoin formation from amino nitriles and chlorosulfonyl isocyanate. J. Org. Chem. 1982, 47, 4081–4085. [Google Scholar] [CrossRef]
  57. Cohen, R.A.; Hennekens, C.H.; Christen, W.G.; Krolewski, A.; Nathan, D.M.; Peterson, M.J.; LaMotte, F.; Manson, J.E. Determinants of retinopathy progression in type 1 diabetes mellitus. Am. J. Med. 1999, 107, 45–51. [Google Scholar] [CrossRef]
  58. Schmidt, R.E.; Plurad, S.B.; Coleman, B.D.; Williamson, J.R.; Tilton, R.G. Effects of sorbinil, dietary myo-inositol supplementation, and insulin on resolution of neuroaxonal dystrophy in mesenteric nerves of streptozocin-induced diabetic rats. Diabetes 1991, 40, 574–582. [Google Scholar] [CrossRef] [PubMed]
  59. Krause, T.; Gerbershagen, M.U.; Fiege, M.; Weisshorn, R.; Wappler, F. Dantrolene—A review of its pharmacology, therapeutic use and new developments. Anaesthesia 2004, 59, 364–373. [Google Scholar] [CrossRef] [PubMed]
  60. Dorian, P.; Borggrefe, M.; Al-Khalidi, H.R.; Hohnloser, S.H.; Brum, J.M.; Tatla, D.S.; Brachmann, J.; Myerburg, R.J.; Cannom, D.S.; van der Laan, M.; et al. Placebo-controlled, randomized clinical trial of azimilide for prevention of ventricular tachyarrhythmias in patients with an implantable cardioverter defibrillator. Circulation 2004, 110, 3646–3654. [Google Scholar] [CrossRef]
  61. Lacroix, L.; Laurent, M.; Buys, M. Iprodione. In Analytical Methods for Pesticides and Plant Growth Regulators: Vol. II.; Zweig, G., Sherma, J., Eds.; Academic Press: London, UK, 1980; pp. 247–261. [Google Scholar]
  62. Shiozaki, M. Synthesis of hydantocidin and C-2-thioxo-hydantocidin. Carbohydr. Res. 2001, 335, 147–150. [Google Scholar] [CrossRef]
  63. Shiozaki, M. Syntheses of hydantocidin and C-2-thioxohydantocidin. Carbohydr. Res. 2002, 337, 2077–2088. [Google Scholar] [CrossRef]
  64. Renard, A.; Lhomme, J.; Kotera, M. Synthesis and properties of spiro nucleosides containing the barbituric acid moiety. J. Org. Chem. 2002, 67, 1302–1307. [Google Scholar] [CrossRef]
  65. Walter, M.W. Structure-based design of agrochemicals. Nat. Prod. Rep. 2002, 19, 278–291. [Google Scholar] [CrossRef] [PubMed]
  66. Nakajima, M.; Itoi, K.; Takamatsu, Y.; Kinoshita, T.; Okazaki, T.; Kawakubo, K.; Shindo, M.; Honma, T.; Tohjigamori, M.; Haneishi, T. Hydantocidin: A new compound with herbicidal activity from Streptomyces hygroscopicus. J. Antibiot. 1991, 44, 293–300. [Google Scholar] [CrossRef]
  67. Bichard, C.J.F.; Mitchel, E.P.; Wormald, M.R.; Watson, K.A.; Johnson, L.N.; Zographos, S.E.; Koutra, D.D.; Oikonomakos, N.G.; Fleet, G.W.J. Potent inhibition of glycogen phosphorylase by a spirohydantoin of glucopyranose: First pyranose analogues of hydantocidin. Tetrahedron Lett. 1995, 36, 2145–2148. [Google Scholar] [CrossRef]
  68. Ösz, E.; Somsák, L.; Szilágyi, L.; Kovács, L.; Docsa, T.; Tóth, B.; Gergely, P. Efficient inhibition of muscle and liver glycogen phosphorylases by a new glucopyranosylidene-spiro-thiohydantoin. Bioorg. Med. Chem. Lett. 1999, 9, 1385–1390. [Google Scholar] [CrossRef]
  69. Ware, E. The chemistry of the hydantoins. Chem. Rev. 1950, 46, 403–470. [Google Scholar] [CrossRef]
  70. Bateman, J.H. Hydantoin and derivatives. In Kirk-Othmer Encyclopedia of Chemical Technology, 3rd ed.; Grayson, M., Eckroth, D., Eds.; Wiley-Interscience: New York, NY, USA, 1980; Volume 12, pp. 692–711. [Google Scholar]
  71. López, C.A.; Trigo, G.G. The chemistry of hydantoins. Adv. Heterocycl. Chem. 1985, 38, 177–228. [Google Scholar]
  72. Meusel, M.; Gütschow, M. Recent developments in hydantoin chemistry: A review. Org. Prep. Proced. Int. 2004, 36, 391–443. [Google Scholar] [CrossRef]
  73. Konnert, L.; Lamaty, F.; Martinez, J.; Colacino, E. Recent advances in the synthesis of hydantoins: The state of the art of a valuable scaffold. Chem. Rev. 2017, 117, 13757–13809. [Google Scholar] [CrossRef] [PubMed]
  74. Marqués-López, E.; Herrera, R.P. Bucherer–Bergs and Strecker multicomponent reactions. In Multicomponent Reactions: Concepts and Applications for Design and Synthesis; Herrera, R.P., Marqués-López, E., Eds.; John Wiley & Sons: Hoboken, NJ, USA, 2015; pp. 331–357. [Google Scholar]
  75. Uhrich, K.; Olson, E.; Worman, J. Aqueous, room temperature synthesis of a 3(N) substituted hydantoin. Synth. Commun. 1986, 16, 1387–1392. [Google Scholar] [CrossRef]
  76. O’Brien, R.A.; Worman, J.J.; Olson, E.S. Carbon dioxide in organic synthesis: Preparation and mechanism of formation of N-(3)-substituted hydantoins. Synth. Commun. 1992, 22, 823–828. [Google Scholar] [CrossRef]
  77. Jacobson, R.A. N-substituted α-aminoisobutyronitriles from acetone cyanohydrin. J. Am. Chem. Soc. 1945, 67, 1996–1998. [Google Scholar] [CrossRef]
  78. Carrington, H.C. Thiohydantoins. Part, I. Preparation of 5: 5-disubstituted 2: 4-dithiohydantoins from the corresponding ketones. J. Chem. Soc. 1947, 681–683. [Google Scholar] [CrossRef]
  79. Munday, L. Amino-acids of the cyclohexane series. Part I. J. Chem. Soc. 1961, 4372–4379. [Google Scholar] [CrossRef]
  80. Cremlyn, R.J.W.; Chisholm, M. The configuration of some decalin spiro-hydantoins and amino-acids. J. Chem. Soc. C 1967, 2269–2273. [Google Scholar] [CrossRef]
  81. Maki, Y.; Masugi, T. Studies of alicyclic α-amino acids: II: Synthesis and unequivocal assignment of stereochemistry of 1-amino-trans- and cis-4-hydroxycyclohexane-l-carboxylic acids. Chem. Pharm. Bull. 1973, 21, 685–691. [Google Scholar] [CrossRef]
  82. Edward, J.T.; Jitrangsri, C. Stereochemistry of the Bucherer–Bergs and Strecker reactions of 4-tert-butylcyclohexanone. Can. J. Chem. 1975, 53, 3339–33350. [Google Scholar] [CrossRef]
  83. Mičová, J.; Steiner, B.; Koóš, M.; Langer, V.; Gyepesová, D. Synthesis of 4-carbamoyl-2-oxazolidinones C-4-linked with a saccharide moiety via Bucherer–Bergs reaction of hexofuranos-5-uloses. Synlett 2002, 2002, 1715–1717. [Google Scholar]
  84. Kuszmann, J.; Márton-Merész, M.; Jerkovich, G. Application of the Bucherer reaction to carbohydrate derivatives. Carbohydr. Res. 1988, 175, 249–264. [Google Scholar] [CrossRef]
  85. Mičová, J.; Steiner, B.; Koóš, M.; Langer, V.; Gyepesová, D. Characterisation and X-ray crystallography of products from the Bucherer–Bergs reaction of methyl 2,3-O-isopropylidene-α-D-lyxo-pentodialdo-1,4-furanoside. Carbohydr. Res. 2003, 338, 1917–1924. [Google Scholar] [CrossRef]
  86. Lamberth, C.; Blarer, S. Short synthesis of a new showdomycin analogue. Synlett 1994, 7, 489–490. [Google Scholar] [CrossRef]
  87. Montagne, C.; Shipman, M. Modified Bucherer–Bergs reaction for the one-pot synthesis of 5,5′-disubstituted hydantoins from nitriles and organometallic reagents. Synlett 2006, 2203–2206. [Google Scholar] [CrossRef]
  88. Wuts, P.G.M.; Ashford, S.W.; Conway, B.; Havens, J.L.; Taylor, B.; Hritzko, B.; Xiang, Y.; Zakarias, P.S. A scalable synthesis of the INOS inhibitor PHA-399733. Org. Process. Res. Dev. 2009, 13, 331–335. [Google Scholar] [CrossRef]
  89. Waser, M.; Moher, E.D.; Borders, S.S.K.; Hansen, M.M.; Hoard, D.W.; Laurila, M.E.; LeTourneau, M.E.; Miller, R.D.; Phillips, M.L.; Sullivan, K.A.; et al. Process development for a key synthetic intermediate of LY2140023, a clinical candidate for the treatment of schizophrenia. Org. Process. Res. Dev. 2011, 15, 1266–1274. [Google Scholar] [CrossRef]
  90. Sarges, R. Hydantoin Therapeutic Agents. U.S. Patent 4,130,714, 19 December 1978. [Google Scholar]
  91. Sysko, R.J. Sorbinil by Optical Resolution with Aminopinane Derivatives. European Patent 0,109,231, 22 October 1986. [Google Scholar]
  92. Howard, H.R.; Evans, M.; Sarges, R. Synthesis of 2H-, 3H- and 14C-labelled CP-45,634 (sorbinil). J. Labelled Compd. Radiopharm. 1991, 29, 703–708. [Google Scholar] [CrossRef]
  93. Sarges, R. Hydantoin Derivatives as Therapeutic Agents. U.S. Patent 4,117,230, 26 September 1978. [Google Scholar]
  94. Ueda, K.; Tanaka, S.; Kunii, T.; Kagei, K.; Sato, T.; Ono, H.; Ohtsuka, I.; Kawase, M.; Ohgoh, T.; Wakabayashi, T. Hydantoin Derivatives for Treating Complications of Diabetes. U.S. Patent 4,780,472, 25 October 1988. [Google Scholar]
  95. Lipinski, C.A. Spiro-3-hetero-azolones for Treatment of Diabetic Complications. U.S. Patent 4,556,670, 3 December 1985. [Google Scholar]
  96. Kurono, M.; Kondo, Y.; Yamaguchi, T.; Miura, K.; Usui, T.; Terada, N.; Asano, K.; Mizuno, K.; Matsubara, A.; Kato, N.; et al. Hydantoin Derivatives for Treating Complications of Diabetes. U.S. Patent 5,447,946, 5 September 1995. [Google Scholar]
  97. Biltz, H. Über die Konstitution der Einwirkungsprodukte von substituierten Harnstoffen auf Benzil und über einige neue Methoden zur Darstellung der 5,5-Diphenyl-hydantoine. Chem. Ber. 1908, 41, 1379–1393. [Google Scholar] [CrossRef]
  98. Henze, H.R. Method for Obtaining Hydantoins. U.S. Patent 2,409,754, 22 October 1946. [Google Scholar]
  99. Kazlauskas, R.; Murphy, P.T.; Quinn, R.J.; Wells, R.J. Aplysinopsin, a new tryptophan derivative from a sponge. Tetrahedron Lett. 1977, 18, 61–64. [Google Scholar] [CrossRef]
  100. Djura, P.; Faulkner, D.J. Metabolites of the marine sponge Dercitus sp. J. Org. Chem. 1980, 45, 735–737. [Google Scholar] [CrossRef]
  101. Guella, G.; Mancini, I.; Zibrowius, H.; Pietra, F. Novel Aplysinopsin-type alkaloids from scleractinian corals of the family Dendrophylliidae of the Mediterranean and the Philippines. Configurational-assignment criteria, stereospecific synthesis, and photoisomerization. Helv. Chim. Acta 1988, 71, 773–782. [Google Scholar] [CrossRef]
  102. Hollenbeak, K.H.; Schmitz, F.J. Aplysinopsin: Antineoplastic tryptophan derivative from the marine sponge Verongia spengelii. Lloydia 1977, 40, 479–481. [Google Scholar]
  103. Baker, J.T.; Wells, R.J. Natural Products as Medicinal Reagents; Beal, J.L., Reinhard, E., Eds.; Hippokrates Verlag: Stuttgart, Germany, 1981; pp. 299–303. [Google Scholar]
  104. White, H.C.; Wysong, D.V. Production of Hydantoin and Glycine. U.S. Patent 2,663,713, 22 December 1953. [Google Scholar]
  105. Nefzi, A.; Dooley, C.; Ostresh, J.M.; Houghten, R.A. Combinatorial chemistry: From peptides and peptidomimetics to small organic and heterocyclic compounds. Bioorg. Med. Chem. Lett. 1998, 8, 2273–2278. [Google Scholar] [CrossRef]
  106. Mio, S.; Ichinose, R.; Goto, K.; Sugai, S.; Sato, S. Synthetic studies on (+)-hydantocidin (1): A total synthesis of (+)-hydantocidin, a new herbicidal metabolite from microorganism. Tetrahedron 1991, 47, 2111–2120. [Google Scholar] [CrossRef]
  107. Mio, S.; Shiraishi, M.; Sugai, S.; Haruyama, H.; Sato, S. Synthetic studies on (+)-hydantocidin (2): Aldol addition approaches toward the stereoisomers of (+)-hydantocidin. Tetrahedron 1991, 47, 2121–2132. [Google Scholar] [CrossRef]
  108. Mio, S.; Kumagawa, Y.; Sugai, S. Synthetic studies on (+)-hydantocidin (3): A new synthetic method for construction of the spiro-hydantoin ring at the anomeric position of D-ribofuranose. Tetrahedron 1991, 47, 2133–2144. [Google Scholar] [CrossRef]
  109. Mio, S.; Ueda, M.; Hamura, M.; Kitagawa, J.; Sugai, S. Synthetic studies on (+)-hydantocidin (4): Synthesis of stereoisomers of (+)-hydantocidin. Tetrahedron 1991, 47, 2145–2154. [Google Scholar] [CrossRef]
  110. Mio, S.; Sano, H.; Shindou, M.; Honma, T.; Sugai, S. Synthesis and herbicidal activity of deoxy derivatives of (+)-hydantocidin. Agric. Biol. Chem. 1991, 55, 1105–1109. [Google Scholar]
  111. Chemla, P. Stereoselective synthesis of (+)-hydantocidin. Tetrahedron Lett. 1993, 34, 7391–7394. [Google Scholar] [CrossRef]
  112. Harrington, M.P.; Jung, M.E. Stereoselective bromination of β-ribofuranosyl amide. Enantioselective synthesis of (+)-hydantocidin. Tetrahedron Lett. 1994, 35, 5145–5148. [Google Scholar] [CrossRef]
  113. Mirza, S. New 3-hydroxy-butylidene hydantoin cpds.-and new D-ribose-1-spiro-5′-hydantoin derivs. for prodn. of herbicidal ribose-sprio-hydantoin derivs. DE Patent 4129728 A1, 6 September 1991. [Google Scholar]
  114. Read, W.T. Researches on hydantoins. Synthesis of the soporific, 4, 4-phenylethyl-hydantoin (nirvanol). J. Am. Chem. Soc. 1922, 44, 1746–1755. [Google Scholar] [CrossRef][Green Version]
  115. Reitz, B.E.; Baxter, E.W.; Bennett, D.J.; Codd, E.E.; Jordan, A.D.; Malloy, E.A.; Maryanoff, B.E.; McDonnell, M.E.; Ortegon, M.E.; Renzi, M.J.; et al. N-Aryl-N’-benzylpiperazines as potential antipsychotic agents. J. Med. Chem. 1995, 38, 4211–4222. [Google Scholar] [CrossRef]
  116. Urech, F. XXI. Ueber Lacturaminsäure und Lactylharnstoff. Justus Liebigs Ann. Chem. 1873, 165, 99–103. [Google Scholar] [CrossRef]
  117. Smith, R.J.; Bratovanov, S.; Bienz, S. Synthesis of silicon-containing α-amino acids and hydantoins. Tetrahedron 1997, 53, 13695–13702. [Google Scholar] [CrossRef]
  118. Postel, D.; Nguyen Van Nhien, A.; Villa, P.; Ronco, G. Novel spirohydantoins of D-allose and D-ribose derived from glyco-α-aminonitriles. Tetrahedron Lett. 2001, 42, 1499–1502. [Google Scholar] [CrossRef]
  119. Kato, N.; Suzuki, M.; Kanai, M.; Shibasaki, M. General and practical catalytic enantioselective Strecker reaction of ketoimines: Significant improvement through catalyst tuning by protic additives. Tetrahedron Lett. 2004, 45, 3147–3151. [Google Scholar] [CrossRef]
  120. Murray, R.G.; Whitehead, D.M.; Le Strat, F.; Conway, S.J. Facile one-pot synthesis of 5-substituted hydantoins. Org. Biomol. Chem. 2008, 6, 988–991. [Google Scholar] [CrossRef]
  121. Beller, M.; Eckert, M.; Moradi, W.A.; Neumann, H. Palladium-catalyzed synthesis of substituted hydantoins—A new carbonylation reaction for the synthesis of amino acid derivatives. Angew. Chem. Int. Ed. Engl. 1999, 38, 1454–1457. [Google Scholar] [CrossRef]
  122. Muccioli, G.G.; Poupaert, J.H.; Wouters, J.; Norberg, B.; Poppitz, W.; Scribad, G.K.E.; Lambert, D.M. A rapid and efficient microwave-assisted synthesis of hydantoins and thiohydantoins. Tetrahedron 2003, 59, 1301–1307. [Google Scholar] [CrossRef]
  123. Poupaert, J.H.; De Keyser, J.L.; Vandervorst, D.; Dumont, P. Phase-transfer catalysis by poly(ethyleneglycol) 600 in the Biltz synthesis of phenytoin. Bull. Soc. Chim. Belg. 1984, 93, 493–496. [Google Scholar] [CrossRef]
  124. Napolitano, E.; Farina, V. Crystallization-induced asymmetric transformations and self-regeneration of stereocenters (SROSC): Enantiospecific synthesis of α-benzylalanine and hydantoin BIRT-377. Tetrahedron Lett. 2001, 42, 3231–3234. [Google Scholar] [CrossRef]
  125. Evindar, G.; Batey, R.A. Peptide heterocycle conjugates: A diverted Edman degradation protocol for the synthesis of N-terminal 2-iminohydantoins. Org. Lett. 2003, 5, 1201–1204. [Google Scholar] [CrossRef] [PubMed]
  126. Zhang, D.; Xing, X.; Cuny, G.D. Synthesis of hydantoins from enantiomerically pure α-amino amides without epimerization. J. Org. Chem. 2006, 71, 1750–1753. [Google Scholar] [CrossRef] [PubMed]
  127. Nomoto, I.; Takai, H.; Hirata, T.; Teranishi, M.; Ohno, T.; Kubo, K. Studies on cadiotonic agents. IV. Synthesis of novel 1-(6,7-dimethoxy-4-quinazolinyl)piperidine derivatives carrying substituted hydantoin and 2-thiohydantoin rings. Chem. Pharm. Bull. 1990, 38, 3014–3019. [Google Scholar] [CrossRef]
  128. Yamaguchi, J.-I.; Harada, M.; Kondo, T.; Noda, T.; Suyama, T. A facile method for preparation of optically active hydantoin. Chem. Lett. 2003, 32, 372–373. [Google Scholar] [CrossRef]
  129. Selič, L.; Jakše, R.; Lampič, K.; Golič, L.; Golič-Grdadolnik, S.; Stanovnik, B. A simple stereoselective synthesis of aplysinopsin analogs. Helv. Chim. Acta 2000, 83, 2802–2811. [Google Scholar] [CrossRef]
  130. Nefzi, A.; Giulianotti, M.A.; Truong, L.; Rattan, S.; Ostresh, J.M.; Houghten, R.A. Solid-phase synthesis of linear ureas tethered to hydantoins and thiohydantoins. J. Comb. Chem. 2002, 4, 175–178. [Google Scholar] [CrossRef] [PubMed]
  131. Bhalay, G.; Cowell, D.; Hone, N.D.; Scobie, M.; Baxter, A.D. Multiple solid-phase synthesis of hydantoins and thiohydantoins. Mol. Divers. 1998, 3, 195–198. [Google Scholar] [CrossRef]
  132. Kujundžić, N.; Kovačević, K.; Jakovina, M.; Glunčić, B. Synthesis and antibacterial effect of derivatives of 5-(3,4,5-trimethoxy benzyl)-pyrimidine, -tetrahydropyrimidine, -hexahydropyrimidine and -hydantoine. Croat. Chim. Acta 1988, 61, 121–135. [Google Scholar]
  133. Fraser, W.; Suckling, C.J.; Wood, H.C.S. Latent inhibitors. Part 7. Inhibition of dihydro-orotate dehydrogenase by spirocyclopropanobarbiturates. J. Chem. Soc. Perkin Trans. 1990, 3137–3144. [Google Scholar] [CrossRef]
  134. Hulme, C.; Ma, L.; Romano, J.J.; Morton, G.; Tang, S.-Y.; Cherrier, M.-P.; Choi, S.; Salvino, J.; Labaudiniere, R. Novel applications of carbon dioxide/MeOH for the synthesis of hydantoins and cyclic ureas via the Ugi reaction. Tetrahedron Lett. 2000, 41, 1889–1893. [Google Scholar] [CrossRef]
  135. Ignacio, J.M.; Macho, S.; Marcaccini, S.; Pepino, R.; Torroba, T. A facile synthesis of 1,3,5-trisubstituted hydantoins via Ugi four-component condensation. Synlett 2005, 3051–3054. [Google Scholar] [CrossRef]
  136. Gütschow, M.; Hecker, T.K.; Eger, K. A new one-pot synthesis of 5,5-disubstituted hydantoins from diethyl acetamidomalonates and ureas. Synthesis 1999, 410–414. [Google Scholar] [CrossRef]
  137. Meusel, M.; Ambrozak, A.; Hecker, T.K.; Gütschow, M. The aminobarbituric acid-hydantoin rearrangement. J. Org. Chem. 2003, 68, 4684–4692. [Google Scholar] [CrossRef] [PubMed]
  138. Tanaka, K.-I.; Iwabuchi, H.; Sawanishi, H. Synthesis of homochiral 4-amino-4-carboxy-2-phosphonomethylpyrrolidines via a diastereoselective Bucherer–Bergs reaction of 4-oxopyrrolidine derivative: Novel conformationally restricted AP 5 analogues. Tetrahedron Asymmetry 1995, 6, 2271–2279. [Google Scholar] [CrossRef]
  139. Koóš, M.; Steiner, B.; Mičová, J.; Langer, V.; Ďurík, M.; Gyepesová, D. Synthesis and structure determination of some sugar amino acids related to alanine and 6-deoxymannojirimycin. Carbohydr. Res. 2001, 332, 351–361. [Google Scholar] [CrossRef]
  140. Steiner, B.; Mičová, J.; Koóš, M.; Langer, V.; Gyepesová, D. Some non-anomerically C–C-linked carbohydrate amino acids related to leucine—Synthesis and structure determination. Carbohydr. Res. 2003, 338, 1349–1357. [Google Scholar] [CrossRef]
  141. Mičová, J.; Steiner, B.; Koóš, M.; Langer, V.; Gyepesová, D. Synthesis and structure determination of some non-anomerically C–C-linked serine glycoconjugates structurally related to mannojirimycin. Carbohydr. Res. 2004, 339, 2187–2195. [Google Scholar] [CrossRef]
  142. Wermuth, U.D.; Jenkins, I.D.; Bott, R.C.; Byriel, K.A.; Smith, G. Some stereochemical aspects of the Strecker synthesis and the Bucherer–Bergs reaction. Aust. J. Chem. 2004, 57, 461–465. [Google Scholar] [CrossRef][Green Version]
  143. Kabalka, G.W.; Yao, M.L. Synthesis of a potential boron neutron capture therapy agent: 1-aminocyclobutane-1-carboxylic acid bearing a butylboronic acid side chain. Synthesis 2003, 2890–2893. [Google Scholar] [CrossRef]
  144. Kabalka, G.W.; Das, B.C.; Das, S.; Li, G.S.; Srivastava, R.; Natarajan, N.; Khan, M.K. Synthesis of 1-amino-3-{2-[7-(6-deoxy-α/β-D-galactopyranos-6-yl)-1,7-dicarba-closo-dodecaboran(12)-1-yl]ethyl}cyclobutanecarboxylic acid hydrochloride. Collect. Czech. Chem. Commun. 2002, 67, 836–842. [Google Scholar] [CrossRef]
  145. Bessis, A.S.; Vadesne, G.; Bourrat, E.; Bertho, G.; Pin, J.P.; Acher, F.C. 3-Carboxy-4-phosphonocyclopentane amino acids: New metabotropic glutamate receptor ligands. Amino Acids 2003, 24, 303–310. [Google Scholar] [PubMed]
  146. Adediran, S.A.; Cabaret, D.; Drouillat, B.; Pratt, R.F.; Wakselman, M. The synthesis and evaluation of benzofuranones as β-lactamase substrates. Bioorg. Med. Chem. 2001, 9, 1175–1183. [Google Scholar] [CrossRef]
  147. Paik, S.; Kwak, H.S.; Park, T.H. A facile synthesis of (−)-cucurbitine. Bull. Korean Chem. Soc. 2000, 21, 131–132. [Google Scholar]
  148. Domínguez, C.; Ezquerra, J.; Baker, S.R.; Borrelly, S.; Prieto, L.; Espada, M.; Pedregal, C. Enantiospecific synthesis of (1S,2S,5R,6S)-2-aminobicyclo[3.1.0]hexane-2,6-dicarboxylic acid by a modified Corey–Link reaction. Tetrahedron Lett. 1998, 39, 9305–9308. [Google Scholar] [CrossRef]
  149. Domínguez, C.; Ezquerra, J.; Prieto, L.; Espada, M.; Pedregal, C. Asymmetric synthesis of (+)-2-aminobicyclo[3.1.0]hexane-2,6-dicarboxylic acid (LY354740). Tetrahedron Asymmetry 1997, 8, 511–514. [Google Scholar] [CrossRef]
  150. Tanaka, K.; Suzuki, H.; Sawanishi, H. Asymmetric syntheses of (2R,4S)-4-amino-4-carboxy-2-methylpyrrolidine and (2R,4S)-4-amino-2-carboxy-2-ethyl-pyrrolidine as novel 2-alkyl-substituted (−)-cucurbitine analogues. Heterocycles 1996, 43, 205–219. [Google Scholar] [CrossRef]
  151. Tanaka, K.; Sawanishi, H. Asymetric synthesis of all 4 isomers of 4-amino-4-carboxyproline: Novel conformationally restricted glutamic-acid analogs. Tetrahedron Asymmetry 1995, 6, 1641–1656. [Google Scholar] [CrossRef]
  152. Alonso, F.; Mico, I.; Najera, C.; Sansano, J.M.; Yus, M.; Ezquerra, J.; Yruretagoyena, B.; Gracia, I. Synthesis of 3-substituted and 4-substituted cyclic α-amino-acids structurally related to ACPD. Tetrahedron 1995, 51, 10259–10280. [Google Scholar] [CrossRef]
  153. Curry, K.; McLennan, H.; Rettig, S.J.; Trotter, J. The synthesis and X-ray structures of the geometric isomers of 1-amino-1,2-cyclopentanedicarboxylic acid. Can. J. Chem. 1993, 71, 76–83. [Google Scholar] [CrossRef]
  154. Chatterjie, N.; Alexander, G. Stereochemical results of the Bucherer–Bergs reaction in the 14-hydroxydihydromorphinone series. Res. Commun. Subst. Abuse 1991, 12, 132–143. [Google Scholar]
  155. Davis, A.L.; Tabb, D.L.; Swan, J.K.; McCord, T.J. Synthesis of the 3-methyl and 4-methyl derivatives of 3-amino-3,4-dihydro-1-hydroxycarbostyril and related compounds. J. Heterocycl. Chem. 1980, 17, 1405–1408. [Google Scholar] [CrossRef]
  156. Musson, D.G.; Karashima, D.; Rubiero, H.; Melmon, K.L.; Cheng, A.; Castagnoli, N. Synthetic and preliminary hemodynamic and whole animal toxicity studies on (R,S)-, (R)-, and (S)-2-methyl-3-(2,4,5-trihydroxyphenyl)alanine. J. Med. Chem. 1980, 23, 1318–1323. [Google Scholar] [CrossRef] [PubMed]
  157. Wagner, G.; Voigt, B.; Lischke, I. Synthesis of anti-proteolytically active N-α-arylsulfonylated amidinophenylglycinamides. Pharmazie 1981, 36, 467–470. [Google Scholar]
  158. Farrington, G.K.; Kumar, A.; Wedler, F.C. Design and synthesis of phosphonate inhibitors of glutamine synthetase. J. Med. Chem. 1987, 30, 2062–2067. [Google Scholar] [CrossRef]
  159. Rosenthal, A.; Dodd, R.H. Branched-chain glycos-3-yl-α-amino acids. 9. Alternate synthesis of L-2- and D-2-(1,2:5,6-di-O-isopropylidene-α-D-allofuranos-3-yl)glycine via application of the Bucherer hydantoin procedure. J. Carbohydr. Nucleos. Nucleot. 1979, 6, 467–476. [Google Scholar]
  160. Abshire, C.J.; Berlinguet, L. Synthesis of α-alkyl-substituted amino acids and derivatives. Can. J. Chem. 1965, 43, 1232–1234. [Google Scholar] [CrossRef]
  161. Henze, H.R.; Thompson, T.R.; Speer, R.J. Mesityl oxide and diacetone alkohol. IX. The Bucherer synthesis of hydantoins. J. Org. Chem. 1943, 8, 17–28. [Google Scholar] [CrossRef]
  162. Trišović, N.; Valentić, N.; Ušćumlić, G. Solvent effects on the structure-propertyrelationship of anticonvulsant hydantoinderivatives: A solvatochromic analysis. Chem. Cent. J. 2011, 5. [Google Scholar] [CrossRef] [PubMed]
  163. Thennarasu, S.; Perumal, P.T. 5-(1-Acetamido)benzyl-5-methylimidazolidin-2,4-dione. Molbank 2003, 2003, M326. [Google Scholar] [CrossRef]
  164. Wheeler, W.J.; O’Bannon, D.D.; Kennedy, J.H.; Monn, J.A.; Tharp-Taylor, R.W.; Valli, M.J.; Kuo, F.J. The synthesis of isotopically labeled (+)-2-amino-bicyclo[3.1.0]hexane-2,6-carboxylic acid and its 2-oxa- and 2-thia-analogs. J. Labelled Compd. Radiopharm. 2005, 48, 605–620. [Google Scholar] [CrossRef]
  165. Unkovskii, B.V.; D’yakov, M.Y.; Cherkaev, G.V.; Sokolova, T.D. Synthesis and spatial structure of methyl substituted 2-phenylpiperidine-4-spiro-5′-imidazolidine-2′,4′-diones. Chem. Heterocycl. Compd. 1994, 30, 696–700. [Google Scholar] [CrossRef]
  166. Pankaskie, M.; Abdel-Monem, M.M. Inhibitors of polyamine biosynthesis. 8. Irreversible inhibition of mammalian S-adenosyl-L-methionine decarboxylase by substrate analogues. J. Med. Chem. 1980, 23, 121–127. [Google Scholar] [CrossRef]
  167. Trigo, G.G.; Avendaño, C.; Santos, E.; Edward, J.T.; Wong, S.C. Stereochemistry of the Bucherer–Bergs and Strecker reactions of tropinone, cis-bicyclo[3.3.0]octan-3-one and cis-3,4-dimethylcyclopentanone. Can. J. Chem. 1979, 57, 1456–1461. [Google Scholar] [CrossRef]
  168. Mahmoodi, N.O.; Khodaee, Z. One-pot diastereoselective synthesis of new racemic and achiral spirohydantoins. Mendeleev Commun. 2004, 14, 304–306. [Google Scholar] [CrossRef]
  169. Grunewald, G.L.; Kuttab, S.H.; Pleiss, M.A.; Mangold, J.B. Conformationally defined aromatic amino acids. Synthesis and stereochemistry of 2-endo- and 2-exo-amino-1,2,3,4-tetrahydro-1,4-ethanonaphthalene-2-carboxylic acids (2-endo- and 2-exo-aminobenzobicyclo[2.2.2]octene-2-carboxylic acids). J. Med. Chem. 1980, 23, 754–758. [Google Scholar] [CrossRef] [PubMed]
  170. Maehr, H.; Yarmchuk, L.; Leach, M. Antimetabolites produced by microorganisms. XV. Synthesis of 2-methyl-L-arginine, 2-methyl-L-ornithine and their enantiomers. J. Antibiot. 1976, 29, 221–226. [Google Scholar] [CrossRef]
  171. Winn, M.; Rasmussen, R.; Minard, F.; Kyncl, J.; Plotnikoff, N. Homologs of dopa, α-methyldopa, and dopamine as potential cardiovascular drugs. J. Med. Chem. 1975, 18, 434–437. [Google Scholar] [CrossRef] [PubMed]
  172. El Masry, A.H.; EI Masry, S.E.; Hare, L.E.; Counsell, R.E. Aromatic amino acid hydroxylase inhibitors. 4. 3-Substituted α-methyltyrosines. J. Med. Chem. 1975, 18, 16–20. [Google Scholar] [CrossRef] [PubMed]
  173. Ellington, J.J.; Honigberg, I.L. The synthesis of 2-methylproline and 2-methylornithin. J. Org. Chem. 1974, 39, 104–106. [Google Scholar] [CrossRef] [PubMed]
  174. Abdel-Monem, M.M.; Newton, N.E.; Weeks, C.E. Inhibitors of polyamine biosynthesis. 1. α-Methyl-(±)-ornithine, an inhibitor of ornithine decarboxylase. J. Med. Chem. 1974, 17, 447–451. [Google Scholar] [CrossRef] [PubMed]
  175. Ames, M.M.; Castagnoli, N. The synthesis of 13C-enriched α-methyldopa. J. Label. Compd. 1974, 10, 195–205. [Google Scholar] [CrossRef]
  176. Tomohara, K.; Ito, T.; Hasegawa, N.; Kato, A.; Adachi, I. Direct chemical derivatization of natural plant extract: Straightforward synthesis of natural plant-like hydantoin. Tetrahedron Lett. 2016, 57, 924–927. [Google Scholar] [CrossRef]
  177. Xu, G.; Wang, J.; Zhou, Z.; Mao, L. A high-yield and cost-effective synthesis of spirotetramat. Russ. J. Org. Chem. 2020, 56, 1775–1778. [Google Scholar] [CrossRef]
  178. Charnay-Pouget, F.; Le Liepvre, M.; Eijsberg, H.; Guillot, R.; Ollivier, J.; Secci, F.; Frongia, A.; Aitken, D.J. A short synthesis of both enantiomers of 2-aminobicyclo[3.2.0]heptane-2,7-dicarboxylic acid. Tetrahedron Lett. 2021, 68, 152912. [Google Scholar] [CrossRef]
  179. Żesławska, E.; Kincses, A.; Spengler, G.; Nitek, W.; Wyrzuc, K.; Kieć-Kononowicz, K.; Handzlik, J. The 5-aromatic hydantoin-3-acetate derivatives as inhibitors of the tumour multidrug resistance efflux pump P-glycoprotein (ABCB1): Synthesis, crystallographic and biological studies. Bioorg. Med. Chem. 2016, 24, 2815–2822. [Google Scholar] [CrossRef] [PubMed]
  180. Hussain, A.; Kashif, M.K.; Naseer, M.M.; Rana, U.A.; Hameed, S. Synthesis and in vivo hypoglycemic activity of new imidazolidine-2,4-dione derivatives. Res. Chem. Intermed. 2015, 41, 7313–7326. [Google Scholar] [CrossRef]
  181. Šmit, B.M.; Pavlović, R.Z. Three-step synthetic pathway to fused bicyclic hydantoins involving a selenocyclization step. Tetrahedron 2015, 71, 1101–1108. [Google Scholar] [CrossRef]
  182. Delgado, G.E.; Rodríguez, J.A.; Mora, A.J.; Bruno-Colmenárez, J.; Uzcáteguic, J.; Chacón, C. Supramolecular structure of 5-methyl-5-phenyl hydantoin and hydrogen-bonding patterns in 5,5′-substituted hydantoins. Mol. Cryst. Liq. Cryst. 2016, 629, 96–104. [Google Scholar] [CrossRef]
  183. Bisello, A.; Cardena, R.; Rossi, S.; Crisma, M.; Formaggio, F.; Santi, S. Hydrogen-bond-assisted, concentration-dependent molecular dimerization of ferrocenyl hydantoins. Organometallics 2017, 36, 2190–2197. [Google Scholar] [CrossRef]
  184. Hmuda, S.F.; Banjac, N.R.; Trišović, N.P.; Božić, B.Ð.; Valentić, N.V.; Uščumlić, G.S. Solvent effects on the absorption spectra of potentially pharmacologically active 5-alkyl-5-arylhydantoins: A structure-activity relationship study. J. Serb. Chem. Soc. 2013, 78, 627–637. [Google Scholar] [CrossRef]
  185. Nenajdenko, V.G.; Zakurdaev, E.P.; Prusov, E.V.; Balenkova, E.S. A novel convenient approach to the synthesis of 2-substituted analogsof ornithine and homolysine. Russ. Chem. Bull. Int. Ed. 2004, 53, 2866–2870. [Google Scholar] [CrossRef]
  186. Tellier, F.; Acher, F.; Brabet, I.; Pin, J.-P.; Azerad, R. Aminobicyclo[2.2.1.]heptane dicarboxylic acids (ABHD), rigid analogs of ACPD and glutamic acid: Synthesis andpharmacological activity on metabotropic receptors mGluR1 and mGluR2. Bioorg. Med. Chem. 1998, 6, 195–208. [Google Scholar] [CrossRef]
  187. Oba, M.; Shimabukuro, A.; Ono, M.; Doi, M.; Tanaka, M. Synthesis of both enantiomers of cyclic methionine analogue: (R)- and (S)-3-aminotetrahydrothiophene-3-carboxylic acids. Tetrahedron Asymmetry 2013, 24, 464–467. [Google Scholar] [CrossRef]
  188. Hennion, G.F.; Reardon, J.E. Sterically crowded amines. VIII. The synthesis and reactions of some polysubstituted 2-imidazolidinones. J. Org. Chem. 1967, 32, 2819–2822. [Google Scholar] [CrossRef]
  189. Minoru, H.; Toshiyasu, I. The synthesis and the configuration of 3-aminotetrahydrothiophene-3-carboxylic acids. Bull. Chem. Soc. Jpn. 1973, 46, 2515–2519. [Google Scholar]
  190. Trigalo, F.; Acher, F.; Azerad, R. Synthesis and resolution of DHCGA, a new conformationally rigid 3,4-dehydroglutamic acid analogue. Tetrahedron 1990, 46, 5203–5212. [Google Scholar] [CrossRef]
  191. Natchev, I.A. Organophosphorus analogues and derivatives of the natural L-amino carboxylic acids and peptides. III. Synthesis and enzyme-substrate interactions of D-, DL-, and L-5-dihydroxyphosphinyl-3,4-didehydronorvaline and their cyclic analogues and derivatives. Bull. Chem. Soc. Jpn. 1988, 61, 3711–3715. [Google Scholar] [CrossRef]
  192. Šmit, B.; Pavlović, R.Z. Synthesis of novel 5-(alk-3-enyl)-hydantoins. Molecules (ECSOC-16) 2012. Available online: https://sciforum.net/paper/view/1066 (accessed on 12 May 2021).
  193. Greenfield, A.A.; Butera, J.A. Convenient synthesis and isolationof conformationally rigid glutamic acid analogues. Synth. Commun. 2004, 34, 3939–3947. [Google Scholar] [CrossRef]
  194. Cocker, J.N.; Kohlhase, W.L.; Martens, T.F.; Rogers, A.O.; Allan, G.G. A general route to hydantoins. J. Org. Chem. 1962, 27, 3201–3204. [Google Scholar] [CrossRef]
  195. Krysiak, J.; Midura, W.H.; Wieczorek, W.; Sieroń, L.; Mikołajczyk, M. Constrained cycloalkyl analogues of glutamic acid: Stereocontrolled synthesis of (+)-2-aminobicyclo[3.1.0]hexane-2,6-dicarboxylic acid (LY354740) and its 6-phosphonic acid analogue. Tetrahedron Asymmetry 2010, 21, 1486–1493. [Google Scholar] [CrossRef]
  196. Khodaee, Z.; Yahyazadeh, A.; Mahmoodi, N.O. One-pot synthesis and characterization of some new types of 5,5′-disubstituted bis(imidazolidine-2,4-diones). J. Heterocycl. Chem. 2013, 50, 288–292. [Google Scholar] [CrossRef]
  197. Matys, A.; Podlewska, S.; Witek, K.; Witek, J.; Bojarski, A.J.; Schabikowski, J.; Otrębska-Machaj, E.; Latacz, G.; Szymańska, E.; Kieć-Kononowicz, K.; et al. Imidazolidine-4-one derivatives in the search for novel chemosensitizers of Staphylococcus aureus MRSA: Synthesis, biological evaluation and molecular modeling studies. Eur. J. Med. Chem. 2015, 101, 313–325. [Google Scholar] [CrossRef] [PubMed]
  198. Allan, R.D.; Hanrahan, J.R.; Hambley, T.W.; Johnston, G.A.R.; Mewett, K.N.; Mitrovic, A.D. Synthesis and activity of a potent N-methyl-D-aspartic acid agonist, trans-1-aminocyclobutane-1,3-dicarboxylic acid, and related phosphonic and carboxylic acids. J. Med. Chem. 1990, 33, 2905–2915. [Google Scholar] [CrossRef]
  199. Yokomatsu, T.; Nakabayashi, N.; Matsumoto, K.; Shibuya, S. Lipase-catalyzed kinetic resolution of cis-1-diethylphosphonomethyl-2-hydroxymethylcyclohexane. Application to enantioselective synthesis of 1-diethylphosphonomethyl-2-(5′-hydantoinyl)cyclohexane. Tetrahedron Asymmetry 1995, 6, 3055–3062. [Google Scholar] [CrossRef]
  200. Rizzi, J.P.; Schnur, R.C.; Hutson, N.J.; Kraus, K.G.; Kelbaugh, P.R. Rotationally restricted mimics of rigid molecules: Nonspirocyclic hydantoin aldose reductase inhibitors. J. Med. Chem. 1989, 32, 1208–1213. [Google Scholar] [CrossRef]
  201. Šmit, B.; Rodić, M.; Pavlović, R.Z. Synthesis of angularly fused (homo)triquinane-type hydantoins as precursors of bicyclic prolines. Synthesis 2016, 48, 387–393. [Google Scholar] [CrossRef]
  202. Nique, F.; Hebbe, S.; Triballeau, N.; Peixoto, C.; Lefrançois, J.-M.; Jary, H.; Alvey, L.; Manioc, M.; Housseman, C.; Klaassen, H.; et al. Identification of a 4-(hydroxymethyl)diarylhydantoin as a selective androgen receptor modulator. J. Med. Chem. 2012, 55, 8236–8247. [Google Scholar] [CrossRef]
  203. Sarges, R.; Schnur, R.C.; Belletire, J.L.; Peterson, M.J. Spiro hydantoin aldose reductase inhibitors. J. Med. Chem. 1988, 31, 230–243. [Google Scholar] [CrossRef]
  204. Brown, M.L.; Zha, C.C.; van Dyke, C.C.; Brown, G.B.; Brouillette, W.J. Comparative molecular field analysis of hydantoin binding to the neuronal voltage-dependent sodium channel. J. Med. Chem. 1999, 42, 1537–1545. [Google Scholar] [CrossRef]
  205. Zhang, Q.-L.; Song, L.-J.; Wang, E.-S. Synthesis and antitussive effect of new hydantoin compounds. Chem. Res. Chin. Univ. 2013, 29, 76–81. [Google Scholar] [CrossRef]
  206. Kwon, S.-K.; Park, M.-S.; Nam, Y.-J. Synthesis of 5-alkylthio(or sulfonyl)methyl-5-m-methoxyphenylhydantoin-3-acetic acid derivatives. Arch. Pharm. Res. 1993, 16, 322–326. [Google Scholar] [CrossRef]
  207. Garcia, M.J.; Azerad, R. Production of ring-substituted D-phenylglycines by microbial or enzymatic hydrolysis/deracemisation of the corresponding DL-hydantoins. Tetrahedron Asymmetry 1997, 8, 85–92. [Google Scholar] [CrossRef]
  208. Sergent, D.; Wang, Q.; Sasaki, N.A.; Ouazzani, J. Synthesis of hydantoin analogues of (2S,3R,4S)-4-hydroxyisoleucine with insulinotropic properties. Bioorg. Med. Chem. Lett. 2008, 18, 4332–4335. [Google Scholar] [CrossRef]
  209. Abshire, C.J.; Planet, G. Preliminary biological studies of several aliphatic amino acid analogs. J. Med. Chem. 1972, 15, 226–229. [Google Scholar] [CrossRef] [PubMed]
  210. Curry, K.; Peet, M.J.; Magnuson, D.S.K.; McLennan, H. Synthesis, resolutian, and absolute configuration of the isomers of the neuronal excitant l-amino-1,3-cyclopentanedicarboxylic acid. J. Med. Chem. 1988, 31, 864–867. [Google Scholar] [CrossRef] [PubMed]
  211. Czopek, A.; Byrtus, H.; Kołaczkowski, M.; Pawłowski, M.; Dybała, M.; Nowak, G.; Tatarczyńska, E.; Wesołowska, A.; Chojnacka-Wójcik, E. Synthesis and pharmacological evaluation of new 5-(cyclo)alkyl-5-phenyl- and 5-spiroimidazolidine-2,4-dione derivatives. Novel 5-HT1A receptor agonist with potential antidepressant and anxiolytic activity. Eur. J. Med. Chem. 2010, 45, 1295–1303. [Google Scholar] [CrossRef]
  212. Allan, R.D.; Apostopoulos, C.; Hambley, T.W. The synthesis and structure of a cyclobutane analog of glutamic acid with an acetic acid side chain. Aust. J. Chem. 1995, 48, 919–928. [Google Scholar] [CrossRef]
  213. Madaiah, M.; Prashanth, M.K.; Revanasiddappa, H.D.; Veeresh, B. Synthesis and pharmacological evaluation of novel 1′-[2-(difluoromethoxy)benzyl]-2′H,5′H-spiro[8-azabicyclo[3.2.1]octane-3,4′-imidazolidine]-2′,5′-diones and their derivatives. Arch. Pharm. Chem. Life Sci. 2014, 347, 370–380. [Google Scholar] [CrossRef]
  214. Madaiah, M.; Prashanth, M.K.; Revanasiddappa, H.D.; Veeresh, B. Synthesis and structure–activity relationship studies on novel 8-amino-3-[2-(4-fluorophenoxy)ethyl]-1,3-diazaspiro[4.5]decane-2,4-dione derivatives as anticonvulsant agents. Med. Chem. Res. 2013, 22, 2633–2644. [Google Scholar] [CrossRef]
  215. Ananda Kumar, C.S.; Kavitha, C.V.; Vinaya, K.; Benaka Prasad, S.B.; Thimmegowda, N.R.; Chandrappa, S.; Raghavan, S.C.; Rangappa, K.S. Synthesis and in vitro cytotoxic evaluation of novel diazaspiro bicyclo hydantoin derivatives in human leukemia cells: A SAR study. Investig. New Drugs 2009, 27, 327–337. [Google Scholar] [CrossRef]
  216. Oh, C.-H.; Kang, Y.-K.; Park, S.-W.; Cho, J.-H. Synthesis of new hydantoin-3-acetic acid derivatives. Bull. Korean Chem. Soc. 1988, 9, 231–235. [Google Scholar]
  217. Sakagami, K.; Kumagai, T.; Taguchi, T.; Nakazato, A. Scalable synthesis of (+)-2-amino-3-fluorobicyclo[3.1.0]hexane-2,6-dicarboxylic acid as a potent and selective group II metabotropic glutamate receptor agonist. Chem. Pharm. Bull. 2007, 55, 37–43. [Google Scholar] [CrossRef]
  218. Nagasawa, H.; Elberling, J.; Shirota, F. 2-Aminoadamantane-2-carboxylic acid, a rigid, achiral, tricyclic α-amino acid with transport inhibitory properties. J. Med. Chem. 1973, 16, 823–826. [Google Scholar] [CrossRef]
  219. Giannakopoulou, E.; Pardali, V.; Skrettas, I.; Zoidis, G. Transesterification instead of N-alkylation: An intriguing reaction. ChemistrySelect 2019, 4, 3195–3198. [Google Scholar] [CrossRef]
  220. Hayes, R.L.; Washburn, L.C.; Wieland, B.W.; Sun, T.T.; Anon, J.B.; Butler, T.A.; Callahan, A.P. Synthesis and purification of 11C-carboxyl-labeled amino acids. Int. J. Appl. Radiat. Isot. 1978, 29, 186–187. [Google Scholar] [CrossRef]
  221. McCown, W.H.; Henze, H.R. Alkaline hydrolysis of fluorenone-spirohydantoin. J. Am. Chem. Soc. 1942, 64, 689–690. [Google Scholar] [CrossRef]
  222. Cremlyn, R.J.W.; Chisholm, M. Some terpene and steroid hydantoins. J. Chem. Soc. 1967, 1762–1764. [Google Scholar] [CrossRef]
  223. Sheppeck II, J.E.; Gilmore, J.L.; Tebben, A.; Xue, C.-B.; Liu, R.-Q.; Decicco, C.P.; Duan, J.J.-W. Hydantoins, triazolones, and imidazolones as selective non-hydroxamate inhibitors of tumor necrosis factor-α converting enzyme (TACE). Bioorg. Med. Chem. Lett. 2007, 17, 2769–2774. [Google Scholar] [CrossRef] [PubMed]
  224. Yanagisawa, H.; Kinoshita, M.; Nakada, S.; Umezawa, S. Synthesis of cyclic α-amino acids. IV. Syntheses of adenine nucleosides of 3-amino-3-C-carboxy-3-deoxy-D-ribofuranose and 3-amino-3-C-carboxy-3-deoxy-D-ribopyranose. Bull. Chem. Soc. Jpn. 1970, 43, 246–252. [Google Scholar] [CrossRef]
  225. Stalker, R.A.; Munsch, T.E.; Tran, J.D.; Nie, X.P.; Warmuth, R.; Beatty, A.; Aakeroy, C.B. Asymmetric synthesis of two new conformationally constrained lysine derivatives. Tetrahedron 2002, 58, 4837–4849. [Google Scholar] [CrossRef]
  226. Martins, F.J.C.; Viljoen, A.M.; Kruger, H.G.; Fourie, L.; Roscher, J.; Joubert, A.J.; Wessels, P.L. Enantioselective synthesis of amino acids from pentacyclo[5.4.0.02,6.03,10.05,9]undecane-8,11-dione. Tetrahedron 2001, 57, 1601–1607. [Google Scholar] [CrossRef]
  227. Srivastava, R.R.; Singhaus, R.R.; Kabalka, G.W. 4-Dihydroxyborylphenyl analogues of 1-aminocyclobutane-carboxylic acids: Potential boron neutron capture therapy agents. J. Org. Chem. 1999, 64, 8495–8500. [Google Scholar] [CrossRef]
  228. Ezquerra, J.; Yruretagoyena, B.; Avendaño, C.; De la Cuesta, E.; González, R.; Prieto, L.; Pedregal, C.; Espada, M.; Prowse, W. Conformationally constrained ACPD analogues. Synthesis and resolution of 3-aminobicyclo[3,3,0]octane-1,3-dicarboxylic acids. Tetrahedron 1995, 51, 3271–3278. [Google Scholar] [CrossRef]
  229. Villacampa, M.; Martínez, M.; González-Trigo, G.; Söllhuber, M.M. Synthesis and stereochemistry of (3α)-6β,7β-dihydroxy- and 6β-hydroxy-8-alkyl-8-azabicyclo[3.2.1]octane-3-spiro-5′-imidazoline-2′,4′-diones. J. Heterocycl. Chem. 1992, 29, 1541–1544. [Google Scholar] [CrossRef]
  230. Villacampa, M.; Martínez, M.; González-Trigo, G.; Söllhuber, M.M. Synthesis and stereochemistry of tropane 6-spiro-hydantoins. Heterocycles 1992, 34, 1885–1895. [Google Scholar] [CrossRef]
  231. Menéndez, J.C.; Díaz, M.P.; Bellver, C.; Söllhuber, M.M. Synthesis, anticonvulsant and antihypertensive activity of diastereomeric 9,10-dimethoxy-1,3,4,6,7,11b-hexahydrospiro[benzo[a]quinolizin-2,4′-imidazolidine]-2′,5′-diones. Eur. J. Med. Chem. 1992, 27, 61–66. [Google Scholar] [CrossRef]
  232. Sacripante, G.; Edward, J.T. Stereochemistry of the conventional and modified Bucherer–Bergs reactions of 2-substituted cyclohexanones. Can. J. Chem. 1982, 60, 1982–1987. [Google Scholar] [CrossRef]
  233. Christensen, H.N.; Handlogten, M.E.; Vadgama, J.V.; De la Cuesta, E.; Ballesteros, P.; Trigo, G.G.; Avendano, C. Synthesis and transport applications of 3-aminobicyclo[3.2.1]octane-3-carboxylic acids. J. Med. Chem. 1983, 26, 1374–1378. [Google Scholar] [CrossRef]
  234. Knizhnikov, V.O.; Voitenko, Z.V.; Golovko, V.B.; Gorichko, M.V. Diastereospecific ring cleavage of bornane-2,3-dione in the Bucherer–Bergs reaction. Tetrahedron Asymmetry 2012, 23, 1080–1083. [Google Scholar] [CrossRef]
  235. Monteiro, J.L.; Pieber, B.; Corrêa, A.G.; Kappe, C.O. Continuous synthesis of hydantoins: Intensifying the Bucherer–Bergs reaction. Synlett 2016, 27, 83–87. [Google Scholar]
  236. Trigo, G.G.; Avendaño, C.; Ballesteros, P.; Sastre, A. Synthesis of granatanine-3-spiro-5′-hydantoin-N-ω-hydroxyalkyl esters. J. Heterocycl. Chem. 1980, 17, 103–105. [Google Scholar] [CrossRef]
  237. Knizhnikov, V.O.; Voitenko, Z.V.; Gorichko, M.V. Hydantoins derived from ketopinic and 4-camphorcarboxylic acids. French-Ukrain. J. Chem. 2013, 1, 23–26. [Google Scholar]
  238. Cheong, J.E.; Pfeiffer, C.T.; Northrup, J.D.; Parker, M.F.L.; Schafmeister, C.E. An improved, scalable synthesis of bis-amino acids. Tetrahedron Lett. 2016, 57, 4882–4884. [Google Scholar] [CrossRef]
  239. Loughlin, W.A.; Schweiker, S.S.; Jenkins, I.D.; Henderson, L.C. Synthesis and evaluation of C8-substituted 4.5-spiro lactams as glycogen phosphorylase a inhibitors. Tetrahedron 2013, 69, 1576–1582. [Google Scholar] [CrossRef]
  240. Conway, S.J.; Miller, J.C.; Bond, A.D.; Clark, B.P.; Jane, D.E. Synthesis and biological evaluation of phospholane and dihydro-phosphole analogues of the glutamate receptor agonist AP4. J. Chem. Soc. Perkin Trans. 2002, 1625–1627. [Google Scholar] [CrossRef]
  241. Angeli, A.; Di Cesare Mannelli, L.; Ghelardini, C.; Peat, T.S.; Bartolucci, G.; Menicatti, M.; Carta, F.; Supuran, C.T. Benzensulfonamides bearing spyrohydantoin moieties act as potent inhibitors of human carbonic anhydrases II and VII and show neuropathic pain attenuating effects. Eur. J. Med. Chem. 2019, 177, 188–197. [Google Scholar] [CrossRef] [PubMed]
  242. Koch, K.; Biggers, M.S. General preparation of 7-substituted 4-chromanones: Synthesis of a potent aldose reductase inhibitor. J. Org. Chem. 1994, 59, 1216–1218. [Google Scholar] [CrossRef]
  243. Obrecht, D.; Spiegler, C.; Schönholzer, P.; Müller, K.; Heimgartner, H.; Stierli, F. A new general approach to enantiomerically pure cyclic and open-chain (R)- and (S)-α,α-disubstituted α-amino acids. Helv. Chim. Acta 1992, 75, 1666–1696. [Google Scholar] [CrossRef]
  244. Trigo, G.G.; Galvez, E.; Avendaño, C. 1H NMR structural analysis of azabicyclospirohydantoins. J. Heterocycl. Chem. 1978, 15, 907–912. [Google Scholar] [CrossRef]
  245. Fourie, L.; Govender, T.; Hariprakasha, H.K.; Kruger, H.G.; Raasch, T. Complete NMR elucidation of a novel trishomocubane hydantoin and its mono- and bis-t-Boc protected derivatives. Magn. Reson. Chem. 2004, 42, 617–623. [Google Scholar] [CrossRef]
  246. González, J.; Martínez-Otero, D.; Frontana-Uribe, B.A.; Cuevas-Yañez, E. Synthesis of chiral aza-bis(oxazolines) derived from (+)-camphor. Tetrahedron Asymmetry 2017, 28, 505–510. [Google Scholar] [CrossRef]
  247. Wysong, C.L.; Yokum, T.S.; Morales, G.A.; Gundry, R.L.; McLaughlin, M.L.; Hammer, R.P. 4-Aminopiperidine-4-carboxylic acid: A cyclic α,α-disubstituted amino acid for preparation of water-soluble highly helical peptides. J. Org. Chem. 1996, 61, 7650–7651. [Google Scholar] [CrossRef] [PubMed]
  248. Yu, V.; Ten, A.; Baktybayeva, L.; Sagatbekova, I.; Praliyev, K.; Zolotareva, D.; Seilkhanov, T.; Zazybin, A. Synthesis and biological evaluation of 1,3,8-triazaspiro[4.5]decane-2,4-dione derivatives as myelostimulators. J. Chem. 2018. [Google Scholar] [CrossRef]
  249. Goodson, L.H.; Honigberg, I.L.; Lehman, J.; Burton, W. Potential growth antagonists. I. Hydantoins and disubstituted glycines. J. Org. Chem. 1960, 25, 1920–1924. [Google Scholar] [CrossRef]
  250. Chu, Y.; Lynch, V.; Iverson, B.L. Synthesis and DNA binding studies of bis-intercalators with a novel spiro-cyclic linker. Tetrahedron 2006, 62, 5536–5548. [Google Scholar] [CrossRef]
  251. Pellicciari, R.; Luneia, R.; Costantino, G.; Marinozzi, M.; Natalini, B.; Jakobsen, P.; Kanstrup, A.; Lombardi, G.; Moroni, F.; Thomsen, C. 1-Aminoindan-1,5-dicarboxylic acid: A novel antagonist at phospholipase C-linked metabotropic glutamate receptors. J. Med. Chem. 1995, 38, 3717–3719. [Google Scholar] [CrossRef] [PubMed]
  252. Zhao, Z.; Pissarnitski, D.A.; Josien, H.B.; Bara, T.A.; Clader, J.W.; Li, H.; McBriar, M.D.; Rajagopalan, M.; Xu, R.; Terracina, G.; et al. Substituted 4-morpholine N-arylsulfonamides as γ-secretase inhibitors. Eur. J. Med. Chem. 2016, 124, 36–48. [Google Scholar] [CrossRef]
  253. Caturelli, J.; Martini, M.F.; Fabian, L.; Moltrasio, G.Y.; Moglioni, A.G. Synthesis and spectroscopic characterization of cyclobutyl hydantoins. J. Mol. Struct. 2018, 1171, 495–502. [Google Scholar] [CrossRef]
  254. Bolla, R.S.; Gandikota, N.M.; Viswanath, I.V.K. Synthesis of deuterium labeled 5,5-dimethyl-3-(α,α,α-trifluoro-4-nitro-m-tolyl) hydantoin. Curr. Radiopharm. 2019, 12, 82–87. [Google Scholar] [CrossRef] [PubMed]
  255. Song, J.H.; Bae, S.M.; Shin, H.Y.; Jung, D.I.; Cho, J.H. Synthesis of spirohydantoins and schiff bases of indenoquinoxalinones and indenopyridopyrazinones. Asian J. Chem. 2020, 32, 1925–1930. [Google Scholar] [CrossRef]
  256. Sarges, R.; Goldstein, S.W.; Welch, W.M.; Swindel, A.C.; Siegel, T.W.; Bever, T.A. Spiro hydantoin aldose reductase inhibitors derived from 8-aza-4-chromanones. J. Med. Chem. 1990, 33, 1859–1865. [Google Scholar] [CrossRef]
  257. Li, J.; Li, L.; Li, T.; Wang, J. Ultrasound-promoted synthesis of 5-substituted and 5,5-disubstituted hydantoins. Indian J. Chem. 1998, 37B, 298–300. [Google Scholar]
  258. Li, J.-T.; Wang, S.-X.; Chen, G.-F.; Li, T.-S. Some applications of ultrasound irradiation in organic synthesis. Curr. Org. Synth. 2005, 2, 415–436. [Google Scholar] [CrossRef]
  259. Safari, J.; Gandomi-Ravandi, S.; Javadian, L. Microwave-promoted facile and rapid synthesis procedure for the efficient synthesis of 5,5-disubstituted hydantoins. Synth. Commun. 2013, 43, 3115–3120. [Google Scholar] [CrossRef]
  260. Prevet, H.; Flipo, M.; Roussel, P.; Deprez, B.; Willand, N. Microwave-assisted synthesis of functionalized spirohydantoins as 3-D privileged fragments for scouting the chemical space. Tetrahedron Lett. 2016, 57, 2888–2894. [Google Scholar] [CrossRef]
  261. Nencka, R.; Hřebabecký, H.; Dračínský, M. Model synthesis of six-membered carbocyclic spironucleosides. Collect. Czech. Chem. Commun. 2010, 75, 1259–1272. [Google Scholar] [CrossRef]
  262. Rivero, I.A.; Reynoso-Soto, E.A.; Ochoa-Terán, A. Microwave-assisted synthesis of cycloalkanespirohydantoins and piperidinespirohydantoins as precursors of restricted α-amino acids. Arkivoc 2011, 2, 260–271. [Google Scholar] [CrossRef]
  263. Chruma, J.J.; Liu, L.; Zhou, W.; Breslow, R. Hydrophobic and electronic factors in the design of dialkylglycine decarboxylase mimics. Bioorg. Med. Chem. 2005, 13, 5873–5883. [Google Scholar] [CrossRef]
  264. Safari, J.; Javadian, L. Montmorillonite K-10 as a catalyst in the synthesis of 5,5-disubstituted hydantoins under ultrasound irradiation. J. Chem. Sci. 2013, 125, 981–987. [Google Scholar] [CrossRef]
  265. Maddah, B. Highly efficient and rapid synthesis of diverse hydantoin derivatives using nano-ordered ZnO catalyst under mechanochemical ball milling. Iran. Chem. Commun. 2017, 5, 58–66. [Google Scholar]
  266. Safari, J.; Javadian, L. Fe3O4-chitosan nanoparticles as a robust magnetic catalyst for efficient synthesis of 5-substituted hydantoins using zinc cyanide. Iran. J. Catal. 2016, 6, 57–64. [Google Scholar]
  267. Santiago-Ruiz, S.; Torres-Pacheco, L.J.; Oropeza-Guzman, M.T.; Rivero, I.A. Pulsed Fe electro-oxidation for catalytic synthesis of hydantoin derivatives. Int. J. Electrochem. Sci. 2016, 11, 6324–6335. [Google Scholar] [CrossRef]
  268. López-López, L.I.; de Loera, D.; Rivera-Avalos, E.; Sáenz-Galindo, A. Green synthesis of hydantoins and derivatives. Mini Rev. Org. Chem. 2020, 17, 176–184. [Google Scholar] [CrossRef]
Scheme 1. General reaction scheme of the Bucherer–Bergs reaction. R and R1 varied alkyl or aryl substituent.
Scheme 1. General reaction scheme of the Bucherer–Bergs reaction. R and R1 varied alkyl or aryl substituent.
Molecules 26 04024 sch001
Figure 1. Therapeutically applied hydantoin derivatives.
Figure 1. Therapeutically applied hydantoin derivatives.
Molecules 26 04024 g001
Scheme 2. Mechanism of hydantoin formation. R- and R1-varied alkyl or aryl substituent.
Scheme 2. Mechanism of hydantoin formation. R- and R1-varied alkyl or aryl substituent.
Molecules 26 04024 sch002
Scheme 3. Alternative hydantoin formation via 4-imino-2-oxoimidazolidine ring. R- and R1-varied alkyl or aryl substituent.
Scheme 3. Alternative hydantoin formation via 4-imino-2-oxoimidazolidine ring. R- and R1-varied alkyl or aryl substituent.
Molecules 26 04024 sch003
Scheme 4. Alternative hydantoin formation via disubstituted ureas. R- and R1-varied alkyl or aryl substituent.
Scheme 4. Alternative hydantoin formation via disubstituted ureas. R- and R1-varied alkyl or aryl substituent.
Molecules 26 04024 sch004
Scheme 5. Stereochemistry of the spiro products.
Scheme 5. Stereochemistry of the spiro products.
Molecules 26 04024 sch005
Scheme 6. Equilibria during amino nitrile formation in alkaline solution.
Scheme 6. Equilibria during amino nitrile formation in alkaline solution.
Molecules 26 04024 sch006
Scheme 7. Formation of β-hydantoin under acidic conditions.
Scheme 7. Formation of β-hydantoin under acidic conditions.
Molecules 26 04024 sch007
Scheme 8. Possible mechanism of formation of isomers 13 and 14.
Scheme 8. Possible mechanism of formation of isomers 13 and 14.
Molecules 26 04024 sch008
Scheme 9. Unusual Bucherer–Bergs reaction—formation of 4-carbamoyl-2-oxazolidinone derivative.
Scheme 9. Unusual Bucherer–Bergs reaction—formation of 4-carbamoyl-2-oxazolidinone derivative.
Molecules 26 04024 sch009
Scheme 10. Anomalous Bucherer–Bergs reaction starting from di-O-isopropylidene-pentoses.
Scheme 10. Anomalous Bucherer–Bergs reaction starting from di-O-isopropylidene-pentoses.
Molecules 26 04024 sch010
Scheme 11. Anomalous Bucherer–Bergs reaction starting from 2,3:5,6-di-O-isopropylidene-α-D-mannofuranose.
Scheme 11. Anomalous Bucherer–Bergs reaction starting from 2,3:5,6-di-O-isopropylidene-α-D-mannofuranose.
Molecules 26 04024 sch011
Scheme 12. Anomalous Bucherer–Bergs reaction starting from di-O-isopropylidene-hexodialdo-1,5-pyranose.
Scheme 12. Anomalous Bucherer–Bergs reaction starting from di-O-isopropylidene-hexodialdo-1,5-pyranose.
Molecules 26 04024 sch012
Scheme 13. Anomalous Bucherer–Bergs reaction starting from di-O-isopropylidene-β-D-hexosulo-2,6-pyranose.
Scheme 13. Anomalous Bucherer–Bergs reaction starting from di-O-isopropylidene-β-D-hexosulo-2,6-pyranose.
Molecules 26 04024 sch013
Scheme 14. Anomalous Bucherer–Bergs reaction starting from 1,2-O-isopropylidene-pentodialdo-1,4-furanose.
Scheme 14. Anomalous Bucherer–Bergs reaction starting from 1,2-O-isopropylidene-pentodialdo-1,4-furanose.
Molecules 26 04024 sch014
Scheme 15. Anomalous Bucherer–Bergs reaction starting from methyl 2,3-O-isopropylidene-pentodialdo-1,4-furanoside.
Scheme 15. Anomalous Bucherer–Bergs reaction starting from methyl 2,3-O-isopropylidene-pentodialdo-1,4-furanoside.
Molecules 26 04024 sch015
Scheme 16. Normal Bucherer–Bergs reaction starting from 3,4,6-O-protected-2,5-anhydro-D-allose.
Scheme 16. Normal Bucherer–Bergs reaction starting from 3,4,6-O-protected-2,5-anhydro-D-allose.
Molecules 26 04024 sch016
Scheme 17. A scalable synthesis of the INOS inhibitor PHA-399733.
Scheme 17. A scalable synthesis of the INOS inhibitor PHA-399733.
Molecules 26 04024 sch017
Scheme 18. Synthesis of LY2140023 via hydantoin as a key intermediate.
Scheme 18. Synthesis of LY2140023 via hydantoin as a key intermediate.
Molecules 26 04024 sch018
Scheme 19. Synthesis of sorbinil by Bucherer–Bergs reaction.
Scheme 19. Synthesis of sorbinil by Bucherer–Bergs reaction.
Molecules 26 04024 sch019
Figure 2. General formula of sorbinil derivatives prepared via Bucherer–Bergs reaction.
Figure 2. General formula of sorbinil derivatives prepared via Bucherer–Bergs reaction.
Molecules 26 04024 g002
Scheme 20. Synthesis of phenytoin via Bucherer–Bergs reaction.
Scheme 20. Synthesis of phenytoin via Bucherer–Bergs reaction.
Molecules 26 04024 sch020
Figure 3. General formula of aplysinopsins.
Figure 3. General formula of aplysinopsins.
Molecules 26 04024 g003
Scheme 21. Synthesis of aplysinopsin derivatives.
Scheme 21. Synthesis of aplysinopsin derivatives.
Molecules 26 04024 sch021
Scheme 22. Synthesis of hydantocidin starting from 2,3,5-tri-O-protected D-ribofuranose.
Scheme 22. Synthesis of hydantocidin starting from 2,3,5-tri-O-protected D-ribofuranose.
Molecules 26 04024 sch022
Scheme 23. General reaction scheme of the Urech hydantoin synthesis.
Scheme 23. General reaction scheme of the Urech hydantoin synthesis.
Molecules 26 04024 sch023
Scheme 24. Synthesis of sorbinil applying the Read-type reaction.
Scheme 24. Synthesis of sorbinil applying the Read-type reaction.
Molecules 26 04024 sch024
Scheme 25. Formation of hydantoins under modified Bucherer–Bergs and Hoyer’s reaction conditions.
Scheme 25. Formation of hydantoins under modified Bucherer–Bergs and Hoyer’s reaction conditions.
Molecules 26 04024 sch025
Scheme 26. Synthesis of hydantoins from aldehydes and ureas.
Scheme 26. Synthesis of hydantoins from aldehydes and ureas.
Molecules 26 04024 sch026
Scheme 27. Biltz synthesis of phenytoin.
Scheme 27. Biltz synthesis of phenytoin.
Molecules 26 04024 sch027
Scheme 28. Synthesis of hydantocidin via cyclization of α-ureido ester.
Scheme 28. Synthesis of hydantocidin via cyclization of α-ureido ester.
Molecules 26 04024 sch028
Scheme 29. Synthesis of aplysinopsin by the reaction of α-amino ester with urea.
Scheme 29. Synthesis of aplysinopsin by the reaction of α-amino ester with urea.
Molecules 26 04024 sch029
Scheme 30. Synthesis of hydantoins by the cyclization of α-amino acid amide using triphosgene.
Scheme 30. Synthesis of hydantoins by the cyclization of α-amino acid amide using triphosgene.
Molecules 26 04024 sch030
Scheme 31. Formation of hydantoins via Hofmann degradation reaction of malonamides.
Scheme 31. Formation of hydantoins via Hofmann degradation reaction of malonamides.
Molecules 26 04024 sch031
Scheme 32. Synthesis of hydantoins employing five-components Ugi/De-Boc/Cyclization methodology.
Scheme 32. Synthesis of hydantoins employing five-components Ugi/De-Boc/Cyclization methodology.
Molecules 26 04024 sch032
Scheme 33. Synthesis of hydantoins by modified Bucherer–Bergs reaction via intermediate imine.
Scheme 33. Synthesis of hydantoins by modified Bucherer–Bergs reaction via intermediate imine.
Molecules 26 04024 sch033
Scheme 34. Synthesis of hydantoins via rearrangement of intermediate aminobarbituric acid.
Scheme 34. Synthesis of hydantoins via rearrangement of intermediate aminobarbituric acid.
Molecules 26 04024 sch034
Scheme 35. Aminobarbituric acid-hydantoin rearrangement.
Scheme 35. Aminobarbituric acid-hydantoin rearrangement.
Molecules 26 04024 sch035
Publisher’s Note: MDPI stays neutral with regard to jurisdictional claims in published maps and institutional affiliations.

Share and Cite

MDPI and ACS Style

Kalník, M.; Gabko, P.; Bella, M.; Koóš, M. The Bucherer–Bergs Multicomponent Synthesis of Hydantoins—Excellence in Simplicity. Molecules 2021, 26, 4024. https://doi.org/10.3390/molecules26134024

AMA Style

Kalník M, Gabko P, Bella M, Koóš M. The Bucherer–Bergs Multicomponent Synthesis of Hydantoins—Excellence in Simplicity. Molecules. 2021; 26(13):4024. https://doi.org/10.3390/molecules26134024

Chicago/Turabian Style

Kalník, Martin, Peter Gabko, Maroš Bella, and Miroslav Koóš. 2021. "The Bucherer–Bergs Multicomponent Synthesis of Hydantoins—Excellence in Simplicity" Molecules 26, no. 13: 4024. https://doi.org/10.3390/molecules26134024

APA Style

Kalník, M., Gabko, P., Bella, M., & Koóš, M. (2021). The Bucherer–Bergs Multicomponent Synthesis of Hydantoins—Excellence in Simplicity. Molecules, 26(13), 4024. https://doi.org/10.3390/molecules26134024

Article Metrics

Back to TopTop