Haemostatic Nanoparticles-Derived Bioactivity of from Selaginella tamariscina Carbonisata
Abstract
1. Introduction
2. Results and Discussion
2.1. Preparation Temperature Optimisation
2.2. High-Performance Liquid Chromatography Data Analysis
2.3. Characterisation of STC-NPs
2.4. Cytotoxicity Detection
2.5. Haemostatic Effect of STC-NPs
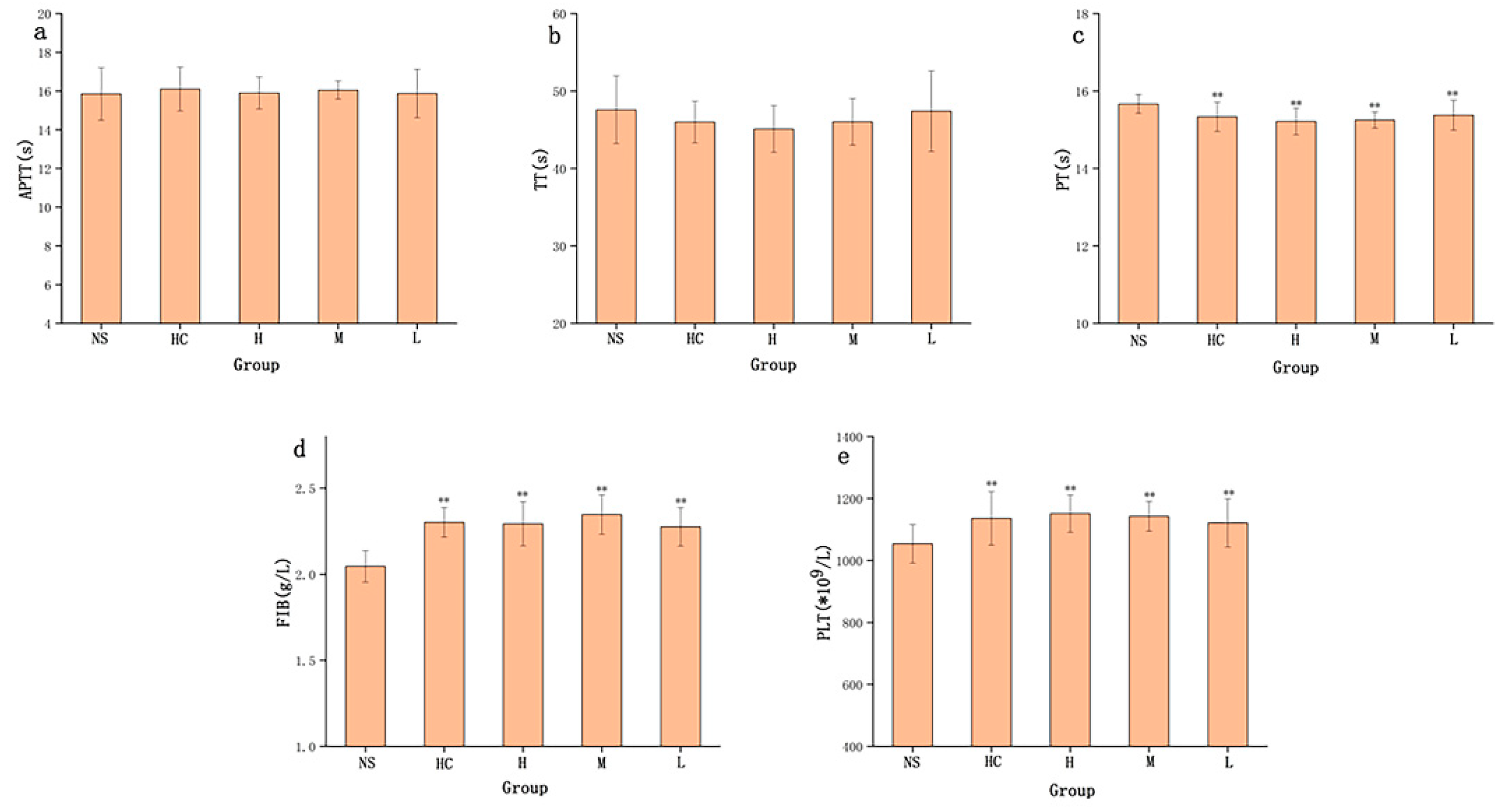
2.6. Effect of STC-NPs on the Coagulation System
3. Materials and Methods
3.1. Materials
3.2. Preparation of STC-NPs
3.3. Haemostatic Experiment
3.4. HPLC Analysis
3.5. Characterisation of STC-NPs
3.6. Fluorescence Quantum Yield
3.7. Cell cytotoxicity Assay
3.8. Coagulation Parameter Measurements
3.9. Statistical Analysis
4. Conclusions
Author Contributions
Funding
Conflicts of Interest
References
- Chen, C.; Yang, F.Q.; Zhang, Q.; Wang, F.Q.; Hu, Y.J.; Xia, Z.N. Natural Products for Antithrombosis. Evid. Based Complement. Alternat. Med. 2015, 2015, 876426. [Google Scholar] [CrossRef]
- Chen, C.; Wang, F.; Xiao, W.; Xia, Z.; Hu, G.; Wan, J.; Yang, F. Effect on platelet aggregation activity: Extracts from 31 Traditional Chinese Medicines with the property of activating blood and resolving stasis. J. Tradit. Chin. Med. 2017, 37, 64–75. [Google Scholar]
- Gao, M.; Bao, B.; Cao, Y.; Shan, M.; Cheng, F.; Jiang, M.; Chen, P.; Zhang, L. Chemical Property Changes and Thermal Analysis during the Carbonizing Process of the Pollen Grains of Typha. Molecules 2018, 24, 128. [Google Scholar] [CrossRef]
- Qian, Z.Z.; Dan, Y.; Liu, Y.Z.; Peng, Y.J.C.H.M. Pharmacopoeia of the People’s Republic of China (2010 Edition): A Milestone in Development of China’s Healthcare. China Med. Sci. Technol. Press 2010, 2, 157–160. [Google Scholar]
- Zhang, M.; Zhao, Y.; Cheng, J.; Liu, X.; Wang, Y.; Yan, X.; Zhang, Y.; Lu, F.; Wang, Q.; Qu, H. Novel carbon dots derived from Schizonepetae Herba Carbonisata and investigation of their haemostatic efficacy. Artif. Cells Nanomed. Biotechnol. 2018, 46, 1562–1571. [Google Scholar] [CrossRef] [PubMed]
- Zhao, Y.; Guo, J.; Liu, T.; Li, C.; Cao, C.; Yi, Y.; Hao, R.; Li, R. Pharmacology experimental study of new hematischesis compounds after Flos Sophorae carbonized. Zhongguo Zhong Yao Za Zhi 2010, 35, 2346–2349. [Google Scholar] [PubMed]
- Chen, Y.; Chen, Q.; Wang, X.; Sun, F.; Fan, Y.; Liu, X.; Li, H.; Deng, Z. Hemostatic action of lotus leaf charcoal is probably due to transformation of flavonol aglycons from flavonol glucosides in traditional Chinses medicine. J. Ethnopharmacol. 2019, 249, 112364. [Google Scholar] [CrossRef] [PubMed]
- Zhang, Q.; Wang, Y.L.; Gao, D.; Cai, L.; Yang, Y.Y.; Hu, Y.J.; Yang, F.Q.; Chen, H.; Xia, Z.N. Comparing coagulation activity of Selaginella tamariscina before and after stir-frying process and determining the possible active constituents based on compositional variation. Pharm. Biol. 2018, 56, 67–75. [Google Scholar] [CrossRef]
- Mishra, V.; Patil, A.; Thakur, S.; Kesharwani, P. Carbon dots: Emerging theranostic nanoarchitectures. Drug Discov. Today 2018, 23, 1219–1232. [Google Scholar] [CrossRef]
- Li, G.-L.; Wei, S.-H.; Zhang, Z.-L.; Li, H.-B. Comparison of Contents of Total Flavonoids in Different Processed Products of Selaginella. China J. Chin. Med. 2011, 26, 194–195. [Google Scholar]
- Zhang, F.; Zhang, M.; Zheng, X.; Tao, S.Y.; Zhang, Z.Q.; Sun, M.D.; Song, Y.B.; Zhang, J.; Shao, D.; He, K.; et al. Berberine-based carbon dots for selective and safe cancer theranostics. RSC Adv. 2018, 8, 1168–1173. [Google Scholar] [CrossRef]
- Liu, X.; Wang, Y.; Yan, X.; Zhang, M.; Zhang, Y.; Cheng, J.; Lu, F.; Qu, H.; Wang, Q.; Zhao, Y. Novel Phellodendri Cortex (Huang Bo)-derived carbon dots and their hemostatic effect. Nanomedicine 2018, 13, 391–405. [Google Scholar] [CrossRef] [PubMed]
- Wei, J.M.; Zhang, X.; Sheng, Y.Z.; Shen, J.M.; Huang, P.; Guo, S.K.; Pan, J.Q.; Liu, B.T.; Feng, B.X. Simple one-step synthesis of water-soluble fluorescent carbon dots from waste paper. New J. Chem. 2014, 38, 906–909. [Google Scholar] [CrossRef]
- Zhu, C.Z.; Zhai, J.F.; Dong, S.J. Bifunctional fluorescent carbon nanodots: Green synthesis via soy milk and application as metal-free electrocatalysts for oxygen reduction. Chem. Commun. 2012, 48, 9367–9369. [Google Scholar] [CrossRef]
- Jahanbakhshi, M.; Habibi, B. A novel and facile synthesis of carbon quantum dots via salep hydrothermal treatment as the silver nanoparticles support: Application to electroanalytical determination of H2O2 in fetal bovine serum. Biosens. Bioelectron. 2016, 81, 143–150. [Google Scholar] [CrossRef]
- Liu, L.; Chen, L.; Liang, J.; Liu, L.; Han, H. A Novel Ratiometric Probe Based on Nitrogen-Doped Carbon Dots and Rhodamine B Isothiocyanate for Detection of Fe(3+) in Aqueous Solution. J. Anal. Methods Chem. 2016, 2016, 4939582. [Google Scholar] [CrossRef]
- Zhang, J.H.; Niu, A.; Li, J.; Fu, J.W.; Xu, Q.; Pei, D.S. In vivo characterization of hair and skin derived carbon quantum dots with high quantum yield as long-term bioprobes in zebrafish. Sci. Rep. 2016, 6, 37860. [Google Scholar] [CrossRef]
- Mewada, A.; Pandey, S.; Shinde, S.; Mishra, N.; Oza, G.; Thakur, M.; Sharon, M.; Sharon, M. Green synthesis of biocompatible carbon dots using aqueous extract of Trapa bispinosa peel. Mater. Sci. Eng. C 2013, 33, 2914–2917. [Google Scholar] [CrossRef]
- Saha, A.K.; Sharma, P.; Sohn, H.B.; Ghosh, S.; Das, R.K.; Hebard, A.F.; Zeng, H.; Baligand, C.; Walter, G.A.; Moudgil, B.M. Fe Doped CdTeS Magnetic Quantum Dots for Bioimaging. J. Mater. Chem. B 2013, 1, 6312–6320. [Google Scholar] [CrossRef]
- Li, Y.; Li, S.; Wang, Y.; Wang, J.; Liu, H.; Liu, X.; Wang, L.; Liu, X.; Xue, W.; Ma, N. Electrochemical synthesis of phosphorus-doped graphene quantum dots for free radical scavenging. Phys. Chem. Chem. Phys. 2017, 19, 11631–11638. [Google Scholar] [CrossRef]
- Shen, J.; Shang, S.M.; Chen, X.Y.; Wang, D.; Cai, Y. Highly fluorescent N, S-co-doped carbon dots and their potential applications as antioxidants and sensitive probes for Cr (VI) detection. Sens. Actuators B Chem. 2017, 248, 92–100. [Google Scholar] [CrossRef]
- Liu, J.; Lu, S.; Tang, Q.; Zhang, K.; Yu, W.; Sun, H.; Yang, B. One-step hydrothermal synthesis of photoluminescent carbon nanodots with selective antibacterial activity against Porphyromonas gingivalis. Nanoscale 2017, 9, 7135–7142. [Google Scholar] [CrossRef] [PubMed]
- Li, L.S.; Jiao, X.Y.; Zhang, Y.; Cheng, C.; Huang, K.; Xu, L. Green synthesis of fluorescent carbon dots from Hongcaitai for selective detection of hypochlorite and mercuric ions and cell imaging. Sens. Actuators B Chem. 2018, 263, 426–435. [Google Scholar] [CrossRef]
- Wang, K.; Gao, Z.; Gao, G.; Wo, Y.; Wang, Y.; Shen, G.; Cui, D. Systematic safety evaluation on photoluminescent carbon dots. Nanos. Res. Lett. 2013, 8, 122. [Google Scholar] [CrossRef]
- Pereira, G.; Monteiro, C.A.P.; Albuquerque, G.M.; Pereira, M.I.A.; Cabrera, M.P.; Cabral, P.E.; Pereira, G.A.L.; Fontes, A.; Santos, B.S. (Bio)conjugation Strategies Applied to Fluorescent Semiconductor Quantum Dots. J. Braz. Chem. Soc. 2019, 30, 2536–2560. [Google Scholar] [CrossRef]
- Feng, T.; Ai, X.; An, G.; Yang, P.; Zhao, Y. Correction to Charge-Convertible Carbon Dots for Imaging-Guided Drug Delivery with Enhanced in Vivo Cancer Therapeutic Efficiency. ACS Nano 2016, 10, 4410–4420. [Google Scholar] [CrossRef]
- Sahu, S.; Behera, B.; Maiti, T.K.; Mohapatra, S. Simple one-step synthesis of highly luminescent carbon dots from orange juice: Application as excellent bio-imaging agents. Chem. Commun. 2012, 48, 8835–8837. [Google Scholar] [CrossRef]
- Tu, X.L.; Ma, Y.F.; Cao, Y.H.; Huang, J.; Zhang, M.X.; Zhang, Z.J. PEGylated carbon nanoparticles for efficient in vitro photothermal cancer therapy. J. Mater.Chem. B 2014, 2, 2184–2192. [Google Scholar] [CrossRef]
- Yan, X.; Zhao, Y.; Luo, J.; Xiong, W.; Liu, X.; Cheng, J.; Wang, Y.; Zhang, M.; Qu, H. Hemostatic bioactivity of novel Pollen Typhae Carbonisata-derived carbon quantum dots. J. Nanobiotechnol. 2017, 15, 60. [Google Scholar] [CrossRef]
- Luo, J.; Zhang, M.L.; Cheng, J.J.; Wu, S.H.; Xiong, W.; Kong, H.; Zhao, Y.; Qu, H.H. Hemostatic effect of novel carbon dots derived from Cirsium setosum Carbonisata. RSC Adv. 2018, 8, 37707–37714. [Google Scholar] [CrossRef]
- Cheng, J.J.; Zhang, M.L.; Sun, Z.W.; Lu, F.; Xiong, W.; Luo, J.; Kong, H.; Wang, Q.G.; Qu, H.H.; Zhao, Y. Hemostatic and hepatoprotective bioactivity of Junci Medulla Carbonisata-derived Carbon Dots. Nanomedicine 2019, 14, 431–446. [Google Scholar] [CrossRef] [PubMed]
- Himaja, A.L.; Karthik, P.S.; Singh, S.P. Carbon Dots: The Newest Member of the Carbon Nanomaterials Family. Chem. Rec. 2015, 15, 595–615. [Google Scholar] [CrossRef] [PubMed]
- Xin, T.Z.; Ananthanarayanan, A.; Luo, K.Q.; Peng, C.J.S. Glowing Graphene Quantum Dots and Carbon Dots: Properties, Syntheses, and Biological Applications. Small. 2014, 11, 1620–1636. [Google Scholar]
- Yang, Y.; Wang, X.; Liao, G.; Liu, X.; Chen, Q.; Li, H.; Lu, L.; Zhao, P.; Yu, Z. iRGD-decorated red shift emissive carbon nanodots for tumor targeting fluorescence imaging. J. Colloid Interface Sci. 2018, 509, 515–521. [Google Scholar] [CrossRef]
- Zhu, J.Y.; Dong, Y.; Zhang, S.; Fan, Z.J. Application of Carbon-/Graphene Quantum Dots for Supercapacitors. Acta Phys. Chim. Sin. 2020, 36, 1–16. [Google Scholar]
- Pramanik, A.; Biswas, S.; Kumbhakar, P. Solvatochromism in highly luminescent environmental friendly carbon quantum dots for sensing applications: Conversion of bio-waste into bio-asset. Spectrochim. Acta A Mol. Biomol. Spectrosc. 2018, 191, 498–512. [Google Scholar] [CrossRef]
- Zheng, X.K.; Zhang, L.; Wang, W.W.; Wu, Y.Y.; Zhang, Q.B.; Feng, W.S. Anti-diabetic activity and potential mechanism of total flavonoids of Selaginella tamariscina (Beauv.) Spring in rats induced by high fat diet and low dose STZ. J. Ethnopharmacol. 2011, 137, 662–668. [Google Scholar] [CrossRef]
- Furie, B.; Furie, B.C. Mechanisms of thrombus formation. N. Engl. J. Med. 2008, 359, 938–949. [Google Scholar] [CrossRef]
- Xin, N.; Li, Y.J.; Li, Y.; Dai, R.J.; Meng, W.W.; Chen, Y.; Schlappi, M.; Deng, Y.L. Dragon’s Blood extract has antithrombotic properties, affecting platelet aggregation functions and anticoagulation activities. J. Ethnopharmacol. 2011, 135, 510–514. [Google Scholar] [CrossRef]
- Fan, H.J.; Mei, Z.; Yang, J.; Cao, Y.; Wang, Q.J.R. Study on HPLC Fingerprint Chromatogram of Selaginella tamariscina and Selaginella pulvinate and Amentoflavone Determination. Res. Pract. Chin. Med. 2011, 3, 31–33. [Google Scholar]
- Ding, C.; Cao, X.; Zhang, C.; He, T.; Hua, N.; Xian, Y. Rare earth ions enhanced near infrared fluorescence of Ag2S quantum dots for the detection of fluoride ions in living cells. Nanoscale 2017, 9, 14031–14038. [Google Scholar] [CrossRef] [PubMed]
- Vanblerk, M.; Bailleul, E.; Chatelain, B.; Demulder, A.; Devreese, K.; Douxfils, J.; Jacquemin, M.; Jochmans, K.; Mullier, F.; Wijns, W. Influence of apixaban on commonly used coagulation assays: Results from the Belgian national External Quality Assessment Scheme. Int. J. Lab. Hematol. 2017, 39, 402–408. [Google Scholar] [CrossRef] [PubMed]








© 2020 by the authors. Licensee MDPI, Basel, Switzerland. This article is an open access article distributed under the terms and conditions of the Creative Commons Attribution (CC BY) license (http://creativecommons.org/licenses/by/4.0/).
Share and Cite
Zhao, Y.; Zhang, Y.; Kong, H.; Zhang, M.; Cheng, J.; Luo, J.; Zhao, Y.; Qu, H. Haemostatic Nanoparticles-Derived Bioactivity of from Selaginella tamariscina Carbonisata. Molecules 2020, 25, 446. https://doi.org/10.3390/molecules25030446
Zhao Y, Zhang Y, Kong H, Zhang M, Cheng J, Luo J, Zhao Y, Qu H. Haemostatic Nanoparticles-Derived Bioactivity of from Selaginella tamariscina Carbonisata. Molecules. 2020; 25(3):446. https://doi.org/10.3390/molecules25030446
Chicago/Turabian StyleZhao, Yusheng, Yue Zhang, Hui Kong, Meiling Zhang, Jinjun Cheng, Juan Luo, Yan Zhao, and Huihua Qu. 2020. "Haemostatic Nanoparticles-Derived Bioactivity of from Selaginella tamariscina Carbonisata" Molecules 25, no. 3: 446. https://doi.org/10.3390/molecules25030446
APA StyleZhao, Y., Zhang, Y., Kong, H., Zhang, M., Cheng, J., Luo, J., Zhao, Y., & Qu, H. (2020). Haemostatic Nanoparticles-Derived Bioactivity of from Selaginella tamariscina Carbonisata. Molecules, 25(3), 446. https://doi.org/10.3390/molecules25030446
