Abstract
The use of herbicide safeners can significantly alleviate herbicide injury to protect crop plants and expand the application scope of the existing herbicides in the field. Sanshools, which are well known as spices, are N-alkyl substituted compounds extracted from the Zanthoxylum species and have several essential physiological and pharmacological functions. Sanshools display excellent safener activity for the herbicide metolachlor in rice seedlings. However, the high cost of sanshools extraction and difficulties in the synthesis of their complicated chemical structures limit their utilization in agricultural fields. Thus, the present study designed and synthesized various N-alkyl amide derivatives via the scaffold-hopping strategy to solve the challenge of complicated structures and find novel potential safeners for the herbicide metolachlor. In total, 33 N-alkyl amide derivatives (2a–k, 3a–k, and 4a–k) were synthesized using amines and saturated and unsaturated fatty acids as starting materials through acylation and condensation. The identity of all the target compounds was well confirmed by 1H-NMR, 13C-NMR, and high-resolution mass spectrometry (HRMS). The primary evaluation of safener activities for the compounds by the agar method indicated that most of the target compounds could protect rice seedlings from injury caused by metolachlor. Notably, compounds 2k and 4k displayed excellent herbicide safener activities on plant height and demonstrated relatively similar activities to the commercialized compound dichlormid. Moreover, we showed that compounds 2k and 4k had higher glutathione S-transferase (GST), superoxide dismutase (SOD), catalase (CAT), peroxidase (POD), and polyphenol oxidase (PPO) activities in rice seedlings, compared to the metolachlor treatment. In particular, 2k and 4k are safer for aquatic organisms than dichlormid. Results from the current work exhibit that compounds 2k and 4k have excellent crop safener activities toward rice and can, thus, be promising candidates for further structural optimization in rice protection.
1. Introduction
Weeds compete with crop plants for various resources, such as nutrients, water, and sunlight, which significantly affect crop productivity. Besides, weeds also increase crop protection costs because they harbor pests and bacterial diseases [1,2,3]. Herbicide application has been a prominent weed-control measure in recent decades under field conditions [4,5]. For example, metolachlor, one of the most widely used chloroacetanilide herbicides, is applied to crops (e.g., rice, corn, and soybean) to control pre-emergent and early post-emergent broadleaf and grass weeds [6,7,8,9,10,11]. However, the use of herbicides as metolachlor for weed controls is phytotoxic to crop plants [12,13,14].
Herbicide phytotoxicity is mainly solved through several means: (i) developing selective herbicides that are relatively safe to the crops; (ii) cultivating herbicide-resistance crop plants; (iii) using herbicide safeners [15,16,17]. Among all these methods, the application of herbicide safeners is considered the most cost-effective and widely used method [18,19,20,21]. Herbicide safeners are chemicals that reduce the phytotoxicity of herbicides to crop plants without affecting the weed-control efficacy [21]. The first commercial herbicide safener, 1,8-naphthalic anhydride (NA), was discovered by Gulf Oil Company in 1970 and can efficiently reduce the injury caused by thiocarbamate herbicides on corn [22]. Since then, nearly twenty commercial safeners have been launched on the market, such as dichlormid, benoxacor, fenclorim, cloquintocet-mexyl, and flurozle. These safeners are used to protect major cash crops against pre-plant-incorporated or pre-emergence-applied herbicides, such as chloroacetanilides and thiocarbamates [23,24].
The primary mechanism for safener action is the enhancement of herbicide detoxification in safened plants [21]. The ability of safeners to enhance glutathione S-transferase (GST) activity has been particularly well described in rice, maize, and wheat, among other crops [25,26,27]. In these cases, safener treatments may induce transcriptional activation of specific GST genes and enhance the glutathione S-transferase (GST) expression of the respective enzymes that catalyze the conjugation of herbicides with glutathione (GSH) in crop plants to detoxify them [28]. Besides, detoxifying enzymes, including superoxide dismutase (SOD) and peroxidase (POD), are also involved in the detoxification of some herbicides [18,29].
In the application of herbicide safeners in nearly 40 years, it is noted that herbicide has shown its biological activity to protect crops plants as “inert ingredients”, suggesting that they do not act on the weeds directly, and their environmental toxicity environment is not confirmed [30]. However, commercial safeners inevitably pose potential environmental pollution risks following widespread and long-term use. For instance, it has been shown that some commercial herbicide safeners are toxic to aquatic organisms, such as fish [31]. Meanwhile, the extensive application of herbicides alongside herbicides has caused the emergence of weed resistance, which could increase phytotoxicity to crop plants [9]. This fact suggests that the practice can lead to major practical problems in agricultural production, such as dramatic crop productivity losses. Therefore, the identification and development of novel eco-friendly safeners with high-efficacy is of great significance and urgency.
Sanshools are N-alkyl substituted compounds extracted from the Zanthoxylum species. Sanshools are well-known as spices and have several essential physiological and pharmacological functions. Sanshools and hydroxyl-sanshools are TRPV1 (a thermosensitive transient receptor potential ion channel vanilloid) agonists in sensory neurons, exhibiting pungent quality [32,33]. TRPV1 also shows an inhibition effect on an NF1- and p53-deficient mouse glioma cell line, indicating their potential antitumor activity [34]. Especially, hydroxy-α-sanshool can enhance the activity of the cholinergic system and increase the CREB/BDNF signaling pathway to attenuate scopolamine-induced cognitive impairments [35]. Besides, hydroxy-α-sanshool may also block KCNK9 channels to induce colonic motor activity in the rat proximal colon [36]. Naturally occurring products provide an excellent basis for the discovery of novel pesticides, including insecticides, fungicides, herbicides, and even herbicide safeners [18,25,37,38]. In our previous study, a mixture of sanshools consisting of hydroxy-α/β/ε-sanshool, α/β/ε-sanshool, γ-sanshool, hydroxyl-γ-sanshool, dehydro-γ-sanshool, and dihydroxy-α/β-sanshool (Figure 1) was extracted from Szechuan pepper fruits by the supercritical fluid extraction (SFE) method. Interestingly, the mixture demonstrated good herbicide safener activity for metolachlor in rice seedlings. However, the use of SFE to extract large quantities of sanshools is not cost-effective. Meanwhile, the reported procedures for organic synthesis of some of these sanshools are relatively complicated, mainly because of the construction of unsaturated long alkyl carbon chains with specific double-bond configurations in the carbon terminal of the amide bonds [39,40,41,42,43]. These factors have further limited the application of sanshools as herbicide safeners, indicating that their structures need modification (including simplification of the structures).
Figure 1.
Chemical structures of sanshools extracted from Szechuan pepper fruits.
Scaffold hopping is a useful tool for screening new pesticides used in pharmaceutical chemistry [44]. Among all scaffold hopping approaches, chain shortening is feasible for obtaining derivatives/analogs with improved potency by shortening or elongating flexible aliphatic chains (usually between two rings in the pesticide molecules). It is supposed that hydroxy-α/β/ε-sanshool, α/β/ε-sanshool, γ-sanshool, hydroxyl-γ-sanshool, and dehydro-γ-sanshool could be considered as the main compounds to design a series of sanshool derivatives (N-alkyl substituted analogs). The objective of the study was to simplify the structures of sanshools by replacing the unsaturated long alkyl carbon chains with saturated and unsaturated alkyl carbon chains with one to six carbon atoms, using the chain shortening method (Scheme 1). These compounds were synthesized via the one-spot method, and their structures were characterized by proton nuclear magnetic resonance (1H NMR), carbon 13 nuclear magnetic resonance (13C NMR), and high-performance liquid chromatography spectrum (HRMS). Subsequently, we evaluated their safener activities that alleviate metolachlor injury on rice seedlings, the action mechanism, and acute toxicity (96h) in zebrafish (Danio rerio) embryos, using dichlormid, an amide-type commercial herbicide safener, as the control. The results of this research could guide the design of new herbicide safeners with high efficacy from natural products and lay the foundation for developing safeners that are eco-friendly to aquatic organisms in rice fields.
Scheme 1.
The design strategy of target compounds 2a–k, 3a–k, and 4a–k.
2. Results and Discussion
2.1. Synthesis and Characterization of Target Compounds 2a–k, 3a–k, and 4a–k
The one-spot condensation reaction was employed to obtain 43–89% yields of the target compounds 2a–k, 3a–k, and 4a–k, using substituted acids and amines as starting materials and chlotripyrrolidinophosphonium hexafluophosphate (PyClOP) as a catalyst (Scheme 2) [45].
Scheme 2.
The synthetic procedures of target compounds 1a–k, 2a–k, and 3a–k.
The structures of all the target compounds were well characterized by 1H NMR, 13C NMR, and HRMS spectroscopies. The 1H NMR spectrum of all the target compounds exhibited the hydrogen protons of amide bonds as singlets at 5.72–7.64 ppm and protons of hydroxyl moieties of 3a–k as singlets at 2.59–4.44 ppm. Besides, the 13C NMR spectrum of all the target compounds showed the resonance of amide bonds (carbonyl moiety) at 162.2–173.8 ppm. What’s more, HRMS data of all the target compounds concurred with the calculated data based on chemical formula.
2.2. The Phytotoxicity of Target Compounds 2a–k, 3a–k, 4a–k, and Dichlormid on Rice Seedlings
Results on the phytotoxicities of 8 mg/L of 2a–k, 3a–k, 4a–k, and dichlormid on the growth of rice seedlings (plant height, root length, and fresh weight) are shown in Table 1. The experimental results on phytotoxicity were described as plant height, root length, and fresh weight. Compared to non-treated controls, the growth indices of the target compounds and the positive control dichlormid ranged from 81.7–99.4% for plant height, 78.2–99.2% for root length, and 84.0–97.4% for fresh weight. The phytotoxicity testing results on rice plants revealed that the target compounds and dichlormid had very low inhibitory effects on the growth of rice seedlings.
Table 1.
Phytotoxicity of 7-day-old rice seedlings treated with 8 mg∙L−1 compounds 2a–k, 3a–k, 4a–k, and dichlormid (D). The plant height, root length, and fresh weight were measured as phytotoxicity parameters.
2.3. Safening Effects and Structure-Activity Relationship of 2a–k, 3a–k, and 4a–k on Rice Seedlings
As shown in Table 2, the herbicide safener activities of target compounds 2a–k, 3a–k, and 4a–k protected rice seedlings from metolachlor injury. Metolachlor (Mcl) significantly inhibited the growth of 7-day-old rice seedlings; the plant height, root length, and fresh weight were inhibited by 43.6%, 56.1%, and 75.0%, respectively. Treatments with target compounds 2a–k, 3a–k, and 4a–k alleviated rice seedlings injury caused by metolachlor to different extents, ranging from 42.8–84.3%, 56.4–83.0%, and 76.8–87.9% for plant height, root length, and fresh weight, respectively. Unfortunately, the safener activities of 2a–k, 3a–k, and 4a–k were less than those of dichlormid. However, the safener activities of 2k and 4k were very similar to that of dichlormid, with plant height relative values of 84.3% and 81.0%, respectively. Further, the root length of compound 3h (83.0%) was very close to that of dichlormid. On the other hand, 3h exhibited the best safener activity on fresh weight (87.9%).
Table 2.
Herbicide safening effect of 7-day-old rice seedlings treated with metolachlor. The combined formulations were 8 mg∙L−1 compounds 2a–k, 3a–k, and 4a–k/0.25 μM metolachlor (C + Mcl) and 8 mg∙L−1 dichlormid/0.25 μM metolachlor (D + Mcl). The plant height, root length, and fresh weight were measured as parameters.
A brief structure-activity relationship (SAR) of 2a–k, 3a–k, and 4a–k was concluded as follows. When the R groups of all the compounds were the same, most of the compounds 2a–k with N-substituted isobutyl group were generally more active (plant height activity) than 3a–k with 2-hydroxy-2-methyl propyl groups and 4a–k with 2-methyl allyl groups. In particular, with an increase in the length of the carbon chain, the biological activity generally showed an upward trend compared to 2a–k and 4a–k, when R groups represent saturated carbon chains. 2k and 4k with the longest carbon chain (six carbons) substitution showed the best safener activity on plant height. On the contrary, the activity of 3a–k on plant height was not affected by the length of the carbon chain. Similar to the activity on plant length, compounds bearing the longest carbon chain (six carbons) moieties also exhibited the best activity on root length, compared to 2a–k and 4a–k. However, 3b with (1E)-1-pentenyl (two carbons) was more active compared to 3a–k. It should, however, be mentioned that when the number of carbon atoms in the main carbon chain is the same as in the R group, the saturation of the carbon chain affects the herbicide safener activity. On plant height, for instance, n-amyl substitution showed better or similar activity, compared to the (1E)-1-pentenyl and (1E, 3E)-1,3-pentadienyl substitutions. However, on root length and fresh weight, (1E)-1-pentenyl substitution showed less or very similar activity to that of n-amyl and (1E, 3E)-1,3-pentadienyl substitutions.
It was apparent that the herbicide safener activity was influenced by various attributes of the substitution groups, particularly the carbon length and degrees of saturation. Generally, compounds bearing a long carbon length moiety showed higher safener activities. In all, among all the target compounds, 2k and 4k, both with n-hexyl moieties and a different N-substitution (isobutyl moiety and 2-methyl allyl moiety, respectively), showed the best activity on plant height and excellent activity on root length and fresh weight. These two compounds (2k and 4k) could, therefore, be considered the most potential candidates.
2.4. Safening Effect of Compounds 2k, 4k, and Dichlormid in Rice at Lower Concentrations
To verify the safening effects of 2k and 4k, their herbicide safener activities were further tested at lower concentrations. As shown in Figure 2, there was not an explicit relationship between the concentrations and the safening effects of 2k, 4k, and dichlormid on plant height, root length, and fresh weight. Although dichlormid showed better activity than both 2k and 4k on both plant length and root length at most concentrations, the activities of 2k and 4k were still substantial at some concentrations, for example, 1 mg/L and 4 mg/L for plant height and 0.25 mg/L, 2 mg/L, and 4 mg/L for root length (Figure 2a,b). For fresh weight, 2k was more active than 4k and dichlormid at 0.25 mg/L, 2 mg/L, and 4 mg/L, while 4k showed the best safener activities at 0.5 mg/L and 1 mg/L (Figure 2c). These results also indicated that 2k and 4k showed moderate to good safener activities, even at lower concentrations.
Figure 2.
Plant height (a), root length (b), and fresh weight (c) relative values of 0.25 μM metolachlor (Mcl)-treated rice plants treated with compounds 2k, 4k, and dichlormid (D) at 0.25 mg/L, 0.5 mg/L, 1 mg/L, 2 mg/L, and 4 mg/L, respectively. The values present the means of three replicates ± SE of each mean.
2.5. Enzyme Activity Assay
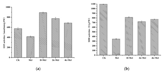
GST can catalyze the conjugation of GSH and herbicide molecules in crop plants, which subsequently improves the tolerance of crop plants to herbicides [46]. As shown in Figure 3a, GST activity decreased significantly after the treatment of metolachlor on rice seedlings. However, the results of the present study demonstrated that the GST activities of rice seedlings treated with a combination of compounds 2k and 4k with metolachlor were greater than that of rice seedlings treated with metolachlor alone and even higher than that of control check (CK). Except for dichlormid, rice treated with compound 2k exhibited the best GST activity, which was almost 187% of the metolachlor-treated group and 1.16 times of CK.

Figure 3.
Compounds 2k, 4k, and dichlormid on enzyme activities of rice seedlings. (a) GST, (b) SOD, (c) CAT, (d) POD, (e) PPO. The values present the means of three replicates ± SE of each mean. GST, glutathione S-transferase; SOD, superoxide dismutase; CAT, catalase; POD, peroxidase; PPO, polyphenol oxidases.
To minimize toxicity caused by herbicides, crop plants have evolved their own protective mechanisms, for instance, the antioxidant system that is comprised of a series of enzymes, such as superoxide dismutase (SOD), peroxidase (POD), and catalase (CAT) [47,48,49]. These antioxidant enzyme activities have also been reported to be associated with herbicide tolerance in crop plants [28]. When rice seedlings were only treated by metolachlor, SOD, POD, and CAT activities decreased significantly, compared to that of CK (Figure 3b–d). After the addition of compounds 2k and 4k, the SOD, POD, and CAT activities increased dramatically. For 2k treatments, the SOD, POD, and CAT activities increased by 208%, 120%, and 215%, respectively; for 4k treatments, the SOD, POD, and CAT activities increased by 223%, 140%, and 233%, respectively. These results indicated that 2k and 4k could induce antioxidant enzyme activities that were inhibited by metolachlor.
Polyphenol oxidases (PPOs) are peroxidases involved in the biosynthesis of black/brown pigment and have played protective roles in crop plants against fungus, environmental stress, and herbicide stress [50,51]. The results showed that metolachlor inhibited the PPO activity of rice seedlings, which was extremely unfavorable for rice growth (Figure 3e). In rice seedlings treated with compounds 2k and 4k, the PPO activities increased by 147% and 155%, respectively, compared to metolachlor treatments. Thus, these target compounds 2k and 4k effectively alleviated the inhibition of PPO activity by herbicide metolachlor.
2.6. Acute Toxicity of Compounds 2k, 4k, and Dichlormid on Zebrafish Embryos
As dichlormid has been reported to pose potential risks to aquatic organisms, such as fish, we further evaluated the acute toxicity (96 h) of 2k, 4k, and dichlormid on zebrafish embryo; a model frequently used to evaluate the toxicity of various compounds to aquatic organisms [52,53]. Dichlormid displayed moderate acute toxicity (7.86 mg/L) to zebrafish embryos, while 2k and 4k displayed very low acute toxicities, with LC50 (Lethal Concentration 50%) values of 38.29 mg/L and 39.28 mg/L, respectively (Table 3). These results indicated that 2k and 4k were safer for aquatic organisms relative to dichlormid. Besides, we would test the effects of 2k and 4k on other additional environmental factors, such as soil factor, under real farm conditions in future work.
Table 3.
Acute toxicities of compounds 2k, 4k, and dichlormid to zebrafish embryos at 96 h after treatment.
3. Materials and Methods
3.1. Chemicals
Metolachlor (emulsifiable concentrate, 960 g/L), substituted fatty acids (purity 97–99%), isobutylamine (purity 99%), 2-methyl allylamine (purity 97%), 1-amino-2-methyl propan-2-ol (purity 98%), chlorotripyrrolidinophosphonium hexafluorophosphate (PyClOP, purity 98%), and N,N-diisopropylethylamine (DIEA, 99%) were purchased from Jilin Chinese Academy of Sciences-Yanshen Technology Co., Ltd. (Jilin, Changchun, China). All solvents were bought from Sinopharm Chemical Reagent Co., Ltd. (Beijing, China) and further distilled before use. Thin-layer chromatography (TLC) was performed with Silicagel GF254 (Merck KGaA, Darmstadt, Germany). The isolation and purification were carried out via silica gel column chromatography (200 mesh). Melting points (Mp) were measured by a Hanon MP100 automatic melting point apparatus (Jinan Hanon Instruments Co., Ltd., Jinan, China) and autocorrected. 1H NMR and 13C NMR were recorded on a Bruker Avance-300 spectrometer operating at 300 MHz (1H) and 75 MHz (13C), respectively, using tetramethylsilane (TMS) as an internal standard (solvent CDCl3 or DMSO-d6). Chemical shifts (δ) were reported in parts per million (ppm), and coupling constants (J) were in Hz. HRMS was analyzed on a Varian 7.0 T FTICR-MS instrument (Varian IonSpec, Lake Forest, CA, USA).
3.2. General Procedures for the Synthesis of N-Alkyl Amides 2a–k, 3a–k, and 4a–k
N-alkyl amides 2a–k, 3a–k, and 4a–k were synthesized using the method reported in the previous reference. The PyClOP (10 mmol) was added to a solution of carboxylic acid 1a–k (10 mmol), amine (butylamine, 2-methyl allylamine, or 1-amino-2-methyl propan-2-ol, 10 mmol), and DIEA (20 mmol) in 30 mL of dimethylformamide (DMF) at 0 °C. Next, the mixture solution was continuously stirred for 12 h at room temperature and then diluted with 20 mL water and 20 mL ethyl acetate. The organic layer was washed with 100 mL brine twice, 100 mL dilute HCl (1 mol/L) twice, 100 mL water twice, 100 mL 5% NaHCO3 twice, and 100 mL brine twice. The resulting mixture solution was concentrated under vacuum and further purified by flash chromatography on a silica gel column (ethyl acetate: petroleum ether, 1:6) to afford the N-alkyl amides 2a–k, 3a–k, and 4a–k (yields 34–84%) as colorless oils, yellow oils, white solids, or yellow solids. 1H NMR and 13C NMR spectrums of target compounds 2a–k, 3a–k, and 4a–k see the Supplementary Materials.
N-isobutylacetamide (2a). Yellow liquid; Yield 58%; 1H NMR (300 MHz, CDCl3): δ 5.73 (s, 1H, NH), 3.03–3.07 (m, 2H, CH2), 1.97 (s, 3H, CH3), 1.68–1.81 (m, 1H, CH), 0.89 (d, J = 6.0 Hz, 6H, CH3); 13C NMR (75 MHz, CDCl3): δ 170.3, 46.9, 28.3, 23.1, 19.9, 19.7; HRMS calcd. for C6H13NO ([M + H]+), 116.1070; found, 116.1071.
N-isobutylacrylamide (2b). Yellow liquid; Yield 53%; 1H NMR (300 MHz, CDCl3): δ 6.89 (s, 1H, NH), 6.19 (d, J = 1.6 Hz, 1H, CH), 6.17 (s, 1H, CH), 5.52 (dd, J = 6.8, 5.2 Hz, 1H, CH), 3.05 (d, J = 13.0 Hz, 2H, CH2), 1.74 (dp, J = 13.4, 6.7 Hz, 1H, CH), 0.84 (d, J = 6.7 Hz, 6H, CH3); 13C NMR (75 MHz, CDCl3): δ 165.7, 131.0, 125.8, 46.9, 28.4, 20.0; HRMS calcd. for C7H13NO ([M + H]+), 128.1070; found, 128.1069.
N-isobutylpropionamide (2c). White liquid; Yield 34%; 1H NMR (300 MHz, CDCl3): δ 6.04 (s, 1H, NH), 3.00 (t, J = 6.4 Hz, 2H, CH2), 2.16 (q, J = 7.6 Hz, 2H, CH2), 1.71 (dq, J = 13.5, 6.7 Hz, 1H, CH), 1.09 (t, J = 7.6 Hz, 3H, CH3), 0.84 (dd, J = 6.7 Hz, 6H, CH3); 13C NMR (75 MHz, CDCl3): δ 172.7, 45.9, 28.4, 28.0, 19.9, 9.9; HRMS calcd. for C7H15NO ([M + H]+), 130.1226; found, 130.1225.
(E)-N-isobutylbut-2-enamide (2d). White solid; Mp 67.5–69.5 °C; Yield 51%; 1H NMR (300 MHz, CDCl3): δ 6.83 (dq, J = 15.1, 6.9 Hz, 1H, CH), 5.79 (dq, J = 15.2, 1.7 Hz, 1H, CH), 5.48 (s, 1H, NH), 3.14 (dd, J = 6.8, 6.1 Hz, 2H, CH2), 1.84 (dd, J = 6.9, 1.7 Hz, 3H, CH3), 1.76 (dt, J = 13.4, 6.7 Hz, 1H, CH), 0.91 (d, J = 6.7 Hz, 6H, CH3); 13C NMR (75 MHz, CDCl3): δ 166.1, 139.2, 125.2, 46.7, 28.5, 20.0, 17.5; HRMS calcd. for C8H15NO ([M + H]+), 142.1226; found, 142.1225.
N-isobutylbutyramide (2e). White liquid; Yield 57%; 1H NMR (300 MHz, CDCl3): δ 5.78 (s, 1H, NH), 3.04–3.12 (m, 2H, CH2), 2.17 (dd, J = 8.2, 6.8 Hz, 2H, CH2), 1.61–1.81 (m, 3H, CH + CH2), 0.88–0.98 (m, 9H, CH3); 13C NMR (75 MHz, CDCl3): δ 171.7, 45.8, 37.3, 28.0, 19.9, 18.7, 13.4; HRMS calcd. for C8H17NO ([M + H]+), 144.1383; found, 144.1381.
(E)-N-isobutylpent-2-enamide (2f). Yellow solid; Mp 41.8–42.5 °C; Yield 72%; 1H NMR (300 MHz, CDCl3): δ 6.87 (m, J = 15.3, 6.4 Hz, 1H, CH), 5.82 (m, J = 1.7 Hz, 1H, CH), 5.77 (t, J = 1.7 Hz, 1H, NH), 3.14 (dd, J = 6.0, 6.1 Hz, 2H, CH2), 2.19 (ddd, J = 7.5, 6.4, 1.7 Hz, 2H, CH2), 1.72–1.90 (m, 1H, CH), 1.05 (t, J = 7.4 Hz, 3H, CH3), 0.92 (d, J = 6.7 Hz, 6H, CH3); 13C NMR (75 MHz, CDCl3): δ 166.3, 145.6, 122.8, 46.8, 28.5, 25.0, 20.1, 12.4; HRMS calcd. for C9H17NO ([M + H]+), 156.1383; found, 156.1382.
N-isobutylpentanamide (2g). White liquid; Yield 80%; 1H NMR (300 MHz, CDCl3): δ 5.73 (s, 1H, NH), 3.05–3.10 (m, 2H, CH2), 2.16–2.21 (m, 2H, CH2), 1.72–1.81 (m, 1H, CH), 1.57–1.67 (m, 2H, CH2), 1.35 (dd, J = 15.0, 7.4 Hz, 2H, CH2), 0.90–0.94 (m, 9H, CH3); 13C NMR (75 MHz, CDCl3): δ 171.9, 45.8, 35.0, 28.0, 27.5, 21.7, 20.0, 13.6; HRMS calcd. for C9H19NO ([M + H]+), 158.1539; found, 158.1538.
(E)-N-isobutylhex-2-enamide (2h). White liquid; Yield 83%; 1H NMR (300 MHz, CDCl3): δ 6.79 (dt, J = 15.2, 7.0 Hz, 1H, CH2), 5.94 (s, 1H, NH), 5.79 (dt, J = 15.3, 1.5 Hz, 1H, CH), 3.11 (dd, J = 6.8, 6.2 Hz, 2H, CH2), 2.16–2.06 (m, 2H, CH2), 1.76 (dq, J = 13.4, 6.7 Hz, 1H, CH2), 1.44 (h, J = 7.3 Hz, 2H, CH2), 0.95–0.80 (m, 9H, CH3); 13C NMR (75 MHz, CDCl3): δ 166.2, 144.2, 123.8, 46.7, 34.0, 28.5, 21.4, 20.1, 13.6; HRMS calcd. for C10H19NO ([M + H]+), 170.1539; found, 170.1538.
(2E, 4E)-N-isobutylhexa-2, 4-dienamide (2i). White solid; Mp 106.5–107.0 °C; Yield 81%; 1H NMR (300 MHz, CDCl3): δ 7.18 (dd, J = 14.9, 9.9 Hz, 1H, CH), 6.01–6.19 (m, 2H, CH), 5.73 (d, J = 15.0 Hz, 1H, CH), 5.46 (s, 1H, NH), 3.14–3.18 (m, 2H, CH2), 1.82–1.84 (m, 4H, CH + CH3), 0.92 (d, J = 6.7 Hz, 6H, CH3); 13C NMR (75 MHz, CDCl3): δ 166.5, 140.7, 137.2, 129.7, 121.9, 46.9, 28.5, 20.1, 18.4; HRMS calcd. for C10H17NO ([M + H]+), 168.1383; found, 168.1381.
N-isobutylhexanamide (2j). White liquid; Yield 84%; 1H NMR (300 MHz, CDCl3): δ 5.88 (s, 1H, NH), 3.07 (dd, J = 6.9, 6.0 Hz, 2H, CH2), 2.16–2.21 (m, 2H, CH2), 1.78 (dq, J = 13.4, 6.7 Hz, 1H, CH), 1.62–1.69 (m, 2H, CH2), 1.26–1.35 (m, 4H, CH2), 0.86–0.96 (m, 9H, CH3); 13C NMR (75 MHz, CDCl3): δ 171.9, 45.8, 35.3, 30.8, 28.2, 28.0, 25.0, 21.8, 20.0, 13.8; HRMS calcd. for C10H21NO ([M + H]+), 172.1696; found, 172.1694.
N-isobutylheptanamide (2k). White liquid; Yield 63%; 1H NMR (300 MHz, CDCl3): δ 5.83 (s, 1H, NH), 3.06 (t, J = 6.4 Hz, 2H, CH2), 2.13–2.22 (m, 2H, CH2), 1.76 (tq, J = 13.4, 6.7 Hz, 1H, CH), 1.57–1.67 (m, 2H, CH2), 1.28–1.33 (m, 6H, CH2), 0.85–0.92 (m, 9H, CH3); 13C NMR (75 MHz, DMSO-d6) δ 171.9, 45.8, 35.3, 31.0, 28.3, 28.0, 25.3, 21.9, 20.0, 13.8; HRMS calcd. for C11H23NO ([M + H]+), 186.1852; found, 186.1842.
N-(2-hydroxy-2-methylpropyl)acetamide (3a). Colorless liquid; Yield 57%; 1H NMR (300 MHz, CDCl3): δ 6.29 (s, 1H, NH), 3.25 (d, J = 6.0 Hz, 2H, CH2), 2.98 (s, 1H, OH), 2.03 (s, 3H, CH3), 1.22 (s, 6H, CH3); 13C NMR (75 MHz, CDCl3): δ 171.1, 70.7, 50.4, 27.1, 23.0; HRMS calcd. for C6H13NO2 ([M + H]+), 132.1019; found, 132.1018.
N-(2-hydroxy-2-methylpropyl)acrylamide (3b). Colorless liquid; Mp 67.5–68.2 °C; Yield 54%; 1H NMR (300 MHz, CDCl3): δ 6.50 (s, 1H, NH), 6.12–6.33 (m, 2H, CH2), 5.66 (dd, J = 9.9, 1.8 Hz, 1H, CH), 3.34 (d, J = 6.1 Hz, 2H, CH2), 3.09 (s, 1H, OH), 1.23 (s, 6H, CH3); 13C NMR (75 MHz, CDCl3): δ 166.6, 130.6, 126.7, 70.8, 50.4, 27.2; HRMS calcd. for C7H13NO2 ([M + H]+), 144.1019; found, 144.1018.
N-(2-hydroxy-2-methylpropyl)propionamide (3c). Colorless liquid; Yield 61%; 1H NMR (300 MHz, CDCl3): δ 7.61 (s, 1H, NH), 4.44 (s, 1H, OH), 3.00 (d, J = 6.1 Hz, 2H, CH2), 2.11 (q, J = 7.6 Hz, 2H, CH2), 1.02 (s, 6H, CH3), 0.98 (t, J = 7.6 Hz, 3H, CH3); 13C NMR (75 MHz, CDCl3): δ 173.8, 70.0, 50.1, 29.0, 27.7, 10.7; HRMS calcd. for C7H15NO2 ([M + H]+), 146.1176; found, 146.1173.
(E)-N-(2-hydroxy-2-methylpropyl)but-2-enamide (3d). Colorless liquid; Yield 47%; 1H NMR (300 MHz, DMSO-d6): δ 6.86 (dq, J = 15.2, 6.9 Hz, 1H, CH), 5.94 (s, 1H, NH), 5.81–5.88 (m, 1H, CH), 3.32 (d, J = 6.1 Hz, 2H, CH2), 2.59 (s, 1H, OH), 1.86 (dd, J = 6.9, 1.7 Hz, 3H, CH3), 1.23 (s, 6H, CH3); 13C NMR (75 MHz, CDCl3): δ 167.1, 140.2, 124.8, 70.8, 50.4, 27.1, 17.6; HRMS calcd. for C8H15NO2 ([M + H]+), 158.1176; found, 158.1175.
N-(2-hydroxy-2-methylpropyl)butyramide (3e). White solid; Mp 38.9–39.2 °C; Yield 56%; 1H NMR (300 MHz, DMSO-d6): δ 7.64 (s, 1H, NH), 4.44 (s, 1H, OH), 3.01 (d, J = 6.1 Hz, 2H, CH2), 2.08 (t, J = 6.0 Hz, 2H, CH2), 1.50 (h, J = 7.3 Hz, 2H, CH2), 1.03 (s, 6H, CH3), 0.84 (t, J = 7.4 Hz, 3H, CH3); 13C NMR (75 MHz, CDCl3): δ 172.9, 100.0, 70.0, 50.1, 27.7, 19.3, 14.2; HRMS calcd. for C8H17NO2 ([M + H]+), 160.1332; found, 160.1331.
(E)-N-(2-hydroxy-2-methylpropyl)pent-2-enamide (3f). Yellow liquid; Yield 61%; 1H NMR (300 MHz, CDCl3): δ 6.88–6.93 (m, 1H, CH), 6.09 (s, 1H, NH), 5.81 (d, J = 15.3 Hz, 1H, CH), 3.32 (d, J = 6.1 Hz, 2H, CH2), 2.85 (s, 1H, OH), 2.18–2.23 (m, 2H, CH2), 1.22 (s, 6H, CH3), 1.05 (t, J = 7.4 Hz, 3H, CH3); 13C NMR (75 MHz, CDCl3): δ 162.2, 141.3, 117.2, 65.5, 45.3, 21.9, 19.8, 7.1; HRMS calcd. for C9H17NO2 ([M + H]+), 172.1332; found, 172.1330.
N-(2-hydroxy-2-methylpropyl)pentanamide (3g). White solid; Mp 64.2–65.2 °C; Yield 43%; 1H NMR (300 MHz, DMSO-d6): δ 7.64 (s, 1H, NH), 4.43 (s, 1H, OH), 3.01 (d, J = 6.0 Hz, 2H, CH2), 2.11 (t, J = 7.4 Hz, 2H, CH2), 1.47 (p, J = 7.4 Hz, 2H, CH2), 1.22–1.29 (m, 2H, CH2), 1.02 (s, 6H, CH3), 0.85 (t, J = 7.4 Hz, 3H, CH3); 13C NMR (75 MHz, CDCl3): δ 173.0, 70.0, 50.1, 35.6, 28.1, 27.7, 22.3, 14.3; HRMS calcd. for C9H19NO2 ([M + H]+), 174.1489; found, 174.1487.
(E)-N-(2-hydroxy-2-methylpropyl)hex-2-enamide (3h). White solid; Mp 41.3–42.0 °C; Yield 43%; 1H NMR (300 MHz, CDCl3): δ 6.79–6.89 (dt, J = 15.3, 7.0 Hz, 1H, CH), 6.41 (s, 1H, NH), 5.82–5.88 (d, J = 15.3 Hz, 1H, CH), 3.33 (s, 2H, CH2), 3.30 (s, 1H, OH), 2.15 (q, J = 7.3 Hz, 2H, CH2), 1.40–1.52 (m, 2H, CH2), 1.22 (s, 6H, CH3), 0.90 (t, J = 7.4 Hz, 3H, CH3); 13C NMR (75 MHz, CDCl3): δ 167.2, 145.0, 123.3, 70.8, 50.4, 34.0, 27.1, 21.4, 13.6; HRMS calcd. for C10H19NO2 ([M + H]+), 186.1489; found, 186.1488.
(2E,4E)-N-(2-hydroxy-2-methylpropyl)hexa-2,4-dienamide (3i). White solid; Mp 142.2–142.7 °C; Yield 41%; 1H NMR (300 MHz, CDCl3): δ 7.20 (dd, J = 15.0, 9.8 Hz, 1H, CH), 6.03–6.20 (m, 3H, CH+NH), 5.77 (d, J = 15.0 Hz, 1H, CH), 3.34 (d, J = 6.1 Hz, 2H, CH2), 2.82 (s, 1H, OH), 1.83 (d, J = 5.7 Hz, 3H, CH3), 1.23 (s, 6H, CH3); 13C NMR (75 MHz, CDCl3): δ 167.6, 141.5, 138.0, 129.6, 121.2, 70.8, 50.5, 27.1, 18.5; HRMS calcd. for C10H17NO2 ([M + H]+), 184.1332; found, 184.1331.
N-(2-hydroxy-2-methylpropyl)hexanamide (3j). White solid; Mp 53.8–54.3 °C; Yield 52%; 1H NMR (300 MHz, DMSO-d6): δ 7.64 (m, 1H, NH), 4.43 (s, 1H, OH), 3.00 (d, J = 6.1 Hz, 2H, CH2), 2.10 (t, J = 7.4 Hz, 2H, CH2), 1.49 (p, J = 7.4 Hz, 2H, CH2), 1.18–1.29 (m, 4H, CH2), 1.02 (s, 6H, CH3), 0.85 (t, J = 7.1 Hz, 3H, CH3); 13C NMR (75 MHz, DMSO-d6): δ 173.0, 70.0, 50.1, 35.8, 31.4, 27.7, 25.6, 22.4, 14.4; HRMS calcd. for C10H21NO2 ([M + H]+), 188.1645; found, 188.1643.
N-(2-hydroxy-2-methylpropyl)heptanamide (3k). White liquid; Yield 43%; 1H NMR (300 MHz, DMSO-d6): δ 7.64 (s, 1H, NH), 4.43 (s, 1H, OH), 3.37 (s, 2H, CH2), 3.00 (d, J = 6.1 Hz, 2H, CH2), 2.10 (t, J = 6.0 Hz, 2H, CH2), 1.49 (p, J = 7.4 Hz, 2H, CH2), 1.24 (dqd, J = 22.7, 7.9, 7.4, 2.0 Hz, 4H, CH2), 1.02 (s, 6H, CH3), 0.84 (t, J = 7.1 Hz, 3H, CH3); 13C NMR (75 MHz, DMSO-d6): δ 173.0, 70.0, 50.1, 35.8, 31.4, 27.7, 25.6, 22.4, 14.4; HRMS calcd. for C11H23NO2 ([M + H]+), 202.1802; found, 202.1800.
N-(2-methylallyl)acetamide (4a). Yellow liquid; Yield 56%; 1H NMR (300 MHz, CDCl3): δ 5.80 (s, 1H, NH), 4.82–4.84 (s, 2H, CH2), 3.80 (d, J = 6.0 Hz, 2H, CH2), 2.02 (s, 3H, CH3), 1.73 (m, 3H, CH3); 13C NMR (75 MHz, CDCl3): δ 170.2, 141.7, 110.4, 44.8, 22.8, 20.1; HRMS calcd. for C6H11NO ([M+H]+), 114.0913; found, 114.0915.
N-(2-methylallyl)acrylamide (4b). White liquid; Yield 64%; 1H NMR (300 MHz, CDCl3): δ 6.31 (dd, J = 17.0, 1.7 Hz, 1H, CH), 6.15 (dd, J = 17.0, 10.1 Hz, 1H, CH2), 5.94 (s, 1H, NH), 5.66 (dd, J = 10.0, 1.7 Hz, 1H, CH), 4.85 (h, J = 1.1 Hz, 2H, CH2), 3.89 (d, J = 6.1 Hz, 2H, CH2), 1.75 (s, 3H, CH3); 13C NMR (75 MHz, CDCl3): δ 165.8, 141.6, 130.9, 126.1, 110.9, 45.0, 20.3; HRMS calcd. for C7H11NO ([M + H]+), 126.0913; found, 126.0912.
N-(2-methylallyl)propionamide (4c). Yellow liquid; Yield 69%; 1H NMR (300 MHz, CDCl3): δ 5.57 (s, 1H, NH), 4.81–4.83 (s. 2H, CH), 3.91 (d, J = 6.0 Hz, 2H, CH2), 2.24 (q, J = 7.6 Hz, 2H, CH2), 1.73 (s, 3H, CH3), 1.18 (t, J = 7.6 Hz, 3H, CH3); 13C NMR (75 MHz, CDCl3): δ 165.8, 141.6, 130.9, 126.1, 110.9, 45.0, 20.2; HRMS calcd. for C7H13NO ([M + H]+), 128.1070; found, 128.1070.
(E)-N-(2-methylallyl)but-2-enamide (4d). Yellow liquid; Yield 59%; 1H NMR (300 MHz, CDCl3): δ 6.87 (dq, J = 15.1, 6.9 Hz, 1H, CH), 5.84 (dq, J = 15.2, 1.7 Hz, 1H, CH), 5.62 (s, 1H, NH), 4.84 (p, J = 1.2 Hz, 2H, CH2), 3.88 (d, J = 6.1 Hz, 2H, CH2), 1.87 (dd, J = 6.9, 1.7 Hz, 3H, CH3), 1.75 (d, J = 1.1 Hz, 3H, CH3); 13C NMR (75 MHz, CDCl3): δ 166.0, 141.9, 139.7, 124.9, 110.7, 44.8, 20.2, 17.6; HRMS calcd. for C8H13NO ([M + H]+), 140.1070; found, 140.1068.
N-(2-methylallyl)butyramide (4e). Colorless liquid; Yield 54%; 1H NMR (300 MHz, CDCl3): δ 6.85–6.93 (m, 1H, CH), 5.79 (dt, J = 15.3, 1.7 Hz, 1H, CH), 5.62 (s, 1H, NH), 4.83 (p, J = 1.1 Hz, 2H, CH2), 3.88 (d, J = 6.1 Hz, 2H, CH2), 2.21 (ddd, J = 7.7, 6.4, 1.5 Hz, 2H, CH2), 1.74 (s, 3H, CH3), 1.06 (s, 3H, CH3); 13C NMR (75 MHz, CDCl3): δ 172.9, 141.9, 110.4, 44.7, 38.3, 20.2, 19.1, 13.6; HRMS calcd. for C8H15NO ([M + H]+), 142.1226; found, 142.1225.
(E)-N-(2-methylallyl)pent-2-enamide (4f). Colorless liquid; Yield 53%; 1H NMR (300 MHz, CDCl3): δ 6.85–69.5 (m, 1H, CH), 5.62–5.82 (dt, J = 15.3, 1.7 Hz, 1H, CH), 5.62 (s, 1H, NH), 4.83 (q, J = 1.1 Hz, 2H, CH2), 3.88 (d, J = 6.1 Hz, 2H, CH2), 2.21 (ddd, J = 7.7, 6.4, 1.5 Hz, 2H, CH2), 1.04 (s, 3H, CH3), 1.06 (t, J = 7.4 Hz, 3H, CH3); 13C NMR (75 MHz, CDCl3): δ 166.2, 146.0, 141.9, 122.6, 110.7, 44.9, 25.0, 20.3, 12.4; HRMS calcd. for C9H15NO ([M + H]+), 154.1226; found, 154.1224.
N-(2-methylallyl)pentanamide (4g). Yellow liquid; Yield 61%; 1H NMR (300 MHz, CDCl3): δ 5.85 (s, 1H, NH), 4.92–4.78 (m, 2H, CH2), 3.81 (d, J = 6.0 Hz, 2H, CH2), 2.19–2.28 (m, 2H, CH2), 1.74 (d, J = 2.9 Hz, 3H, CH3), 1.57–1.70 (m, 2H, CH2), 1.30–1.44 (m, 2H, CH2), 0.93 (t, J = 7.3 Hz, 3H, CH3); 13C NMR (75 MHz, CDCl3): δ 173.2, 141.9, 110.3, 44.6, 36.2, 27.8, 22.2, 20.1, 13.6; HRMS calcd. for C9H17NO ([M + H]+), 156.1383; found, 156.1381.
(E)-N-(2-methylallyl)hex-2-enamide (4h). White solid; Mp 37.0–38.8 °C; Yield 57%; 1H NMR (300 MHz, CDCl3): δ 6.85 (dt, 1H, J = 15.3, 7.0 Hz, CH), 5.80 (dt, 1H, J = 15.3, 1.5 Hz, CH), 5.66 (s, 1H, NH), 4.83 (q, J = 1.2 Hz, 2H, CH2), 3.87 (d, J = 6.1 Hz, 2H, CH2), 2.15 (qd, J = 7.1, 1.5 Hz, 2H, CH2), 1.73–1.75 (m, 3H, CH3), 1.47 (h, J = 7.3 Hz, 2H, CH2), 0.92 (t, J = 7.4 Hz, 3H, CH3); 13C NMR (75 MHz, CDCl3): δ 166.0, 144.7, 142.0, 123.5, 110.8, 44.9, 34.0, 21.4, 20.3, 13.6; HRMS calcd. for C10H17NO ([M + H]+), 168.1383; found, 168.1381.
(2E, 4E)-N-(2-methylallyl)hexa-2,4-dienamide (4i). Yellow solid; Mp 66.3–67.1 °C; Yield 49%; 1H NMR (300 MHz, CDCl3): δ 7.17–7.25 (m, 1H, CH), 6.03–6.21 (m, 2H, CH), 5.77 (d, J = 14.9 Hz, 1H, CH), 5.58 (s, 1H, NH), 4.84 (q, J = 1.2 Hz, 2H, CH2), 3.89 (d, J = 6.1 Hz, 2H, CH2), 1.83 (d, J = 5.8 Hz, 3H, CH3), 1.75 (s, 3H, CH3); 13C NMR (75 MHz, CDCl3): δ 166.5, 141.9, 141.2, 137.6, 129.6, 121.4, 110.8, 45.0, 20.3, 18.4; HRMS calcd. for C10H15NO ([M + H]+), 166.1226; found, 166.1225.
N-(2-methylallyl)hexanamide (4j). Yellow liquid; Yield 61%; 1H NMR (300 MHz, CDCl3): δ 5.72 (s, 1H, NH), 4.84 (dt, J = 2.6, 1.3 Hz, 2H, CH2), 3.82 (dd, J = 6.0, 1.4 Hz, 2H, CH2), 2.20–2.25 (m, 2H, CH2), 1.74–1.75 (m, 3H, CH3), 1.62–1.69 (m, 2H, CH2), 1.29–1.38 (m, 4H, CH2), 0.89–0.93 (m, 3H, CH3); 13C NMR (75 MHz, CDCl3): δ 173.1, 141.9, 110.4, 44.7, 36.4, 31.3, 25.4, 22.2, 20.1, 13.7; HRMS calcd. for C10H19NO ([M + H]+), 170.1539; found, 170.1538.
N-(2-methylallyl)heptanamide (4k). Colorless liquid; Yield 67%; 1H NMR (300 MHz, CDCl3): δ 5.87 (s, 1H, NH), 4.82 (p, J = 1.4 Hz, 2H, CH2), 3.81 (d, J = 6.0 Hz, 2H, CH2), 2.19–2.24 (m, 2H, CH2), 1.73 (s, 3H, CH3), 1.62–1.67 (m, 2H, CH2), 1.26–1.35 (m, 6H, CH2), 0.86–0.90 (m, 3H, CH3); 13C NMR (75 MHz, CDCl3): δ 173.2, 141.9, 110.3, 77.4, 77.0, 76.6, 44.6, 36.4, 31.4, 28.8, 25.7, 22.3, 20.1, 13.8; HRMS calcd. for C11H21NO ([M + H]+), 184.1696; found, 184.1694.
3.3. Phytotoxicity and Safening Effects of Compounds 2a–k, 3a–k, and 4a–k on Rice Seedlings
Full rice seeds (Oryza sativa) of uniform sizes were germinated via the reported method [18]. Briefly, the seeds were sterilized by 5% sodium hypochlorite solution and then washed in deionized water. Then, sterile seeds were soaked in deionized water for 24 h and germinated for another 36 h in a plant growth cabinet (28 ± 1 °C) in the dark.
The phytotoxicity and safener activities of target compounds 2a–k, 3a–k, and 4a–k on rice seedlings were evaluated under greenhouse conditions according to the agar culture method we reported previously [54,55]. First, a 12 g agar strip was added to 3 L deionized water at 100 °C and constantly stirred over heat until the complete dissolution of the agar strip. Second, the mixture was diluted to 4 L with deionized water to obtain a 0.3% agar medium solution. Then, a standard working solution of metolachlor (Mcl, 960 g/L) was obtained by diluting 0.1 mL emulsifiable concentrate (960 g L−1) in 99.9 mL deionized water. A 600 mL aliquot of the agar medium was cooled to 45 °C and added to three 250 mL plastic boxes, then cooled further until solidification (each box contained 200 mL solution). An 88.75 μL volume of the Mcl working solution was mixed with 1.2 L 0.3% agar medium solution to obtain an agar medium with 0.25 μM Mcl. Three volumes of 200 mL 0.25 μM Mcl agar medium were added to three 250 mL plastic boxes at 45 °C and cooled until solidification. Using the same method, solidified agar media (without metolachlor) containing 8 mg/L of the target compounds (2a–k, 3a–k, and 4a–k) were prepared to test the phytotoxicity of target compounds on rice seedlings.
Agar media containing 0.25 μM Mcl, 2a–k, 3a–k, 4a–k, and the positive control dichlormid (D) was also prepared. 2a–k, 3a–k, 4a–k, and D (each 2.4 g) were dissolved in separate 1 mL volumes of acetone, and then each was diluted to 12.5 mL using deionized water containing 0.5% Tween 80 to obtain 192 μg/μL standard solutions. A 40 µL volume of each standard solution was added to separate volumes of 1.2 L 0.25 μM Mcl agar medium to obtain an agar media containing 8 mg/L of each compound. Three 200 mL volumes of each agar medium were poured and set in three 250 mL plastic boxes, respectively.
Before shoot emergence, uniformly germinated rice seedlings were planted in different 0.3% agar mediums: 0.25 μM Mcl; 8 mg/L of compounds 2a–k, 3a–k, and 4a–k; 8 mg/L compounds 2a–k, 3a–k, 4a–k, and D with 0.25 μM Mcl and no additional compounds (non-treatment, control check). Fifty seeds were added to each plastic box and incubated for 14 h at 30 °C under a grow light (intensity 110–130 μE/m2/s), followed by a 10 h dark photoperiod at 25 °C. The various growth indexes related to herbicide safener activity (plant height, root length, and fresh weight) were measured after 7-day treatment. The phytotoxicity indexes of compounds 2a–k, 3a–k, and 4a–k on rice seedlings and their herbicide safening indexes were further used for the analysis of structure-activity relationship (SAR) according to the following equations:
Plant height relative value = (plant height under each treatment)/(the average
height of non-treatment) × 100%
height of non-treatment) × 100%
Root length relative value = (root length under each treatment)/(the average root
length of non-treatment) × 100%
length of non-treatment) × 100%
Fresh weight relative value = (fresh weight under each treatment)/(the average
fresh weight of non-treatment) × 100%
fresh weight of non-treatment) × 100%
Compounds deemed to have high herbicide safener activities based on plant height were screened further for herbicide safener activities in subsequent experiments at lower concentrations (0.25 mg/L, 0.5 mg/L, 1 mg/L, 2 mg/L, and 4 mg/L). All experiments on herbicide safener activity were carried out in three replications.
3.4. Enzyme Activity Assays
Rice seedling samples were collected after the 7-day treatments with 0.25 μM metolachlor, the combination of 8 mg L−1 compounds 2k, 4k, and dichlormid with 0.25 μM metolachlor, and control check (CK, no-treatment). 0.1 g of rice seedling tissues from the above treatments were first homogenized via a high-speed electric homogenizer, then filtered, and a 1 mL enzyme extraction solution was added. After centrifugation (12,000 r/min for 10 min), the supernatant was collected for use in enzyme activity assay.
Glutathione S-transferase (GST: EC 2.5.1.18) activity was examined by calculating the quantity of glutathione conjugate (composed of glutathione (GSH) and chlorodinitrobenzene (CDNB)) at 340 nm [56]. The activity was expressed as the enzyme unit nmol/min/g FW. Superoxide dismutase (SOD: EC 1.15.1.1) activity was measured through the method reported previously by calculating reduction inhibition of WST-1 (5-(2,4-disulfophenyl)-2-(4-iodophenyl)-3-(4-nitrophenyl)-2H-tetrazolium inner salt sodium salt (1:1)) at 450 nm [57], and the activity was articulated as the unit U/g FW. Catalase (CAT: EC 1.11.1.6) activity was evaluated at 510 nm by estimating the breakdown of H2O2, and the CAT activity was expressed as the unit nmol/min/g FW [58]. Peroxidase (POD: EC 1.15.1.1) activity was measured at 470 nm by calculating the oxidation of O-dianisidine in the presence of H2O2, and the enzyme activity was articulated as ΔOD470/min/g FW [59]. Polyphenol oxidase (PPO: EC 1.10.3.1) activity was measured at 420 nm and expressed as the unit ΔOD420/min/g FW, based on the oxidation of nicotinamide adenine dinucleotide phosphate (NADPH) [60].
3.5. Acute Toxicities of 2k, 4k, and Dichlormid to Zebrafish Embryos
The acute toxicities (96h) of 2k, 4k, and dichlormid to zebrafish embryos were evaluated via the method reported by Chen et al. [61]. Zebrafish embryos (2 h post-fertilization) were randomly transferred into 2 mL of test solutions with varying concentrations of 2k, 4k, and dichlormid in 24-well plates. Experiments were carried out to test the acute toxicity (median lethal concentration, LC50 value) of 2k, 4k, and dichlormid at 96 h. The concentrations of 2k and 4k were 5, 10, 20, 40, and 80 mg/L, while that of dichlormid were 2.5, 5, 10, 20, 40, and 80 mg/L, respectively. For each concentration, 60 embryos were used, and all experiments were done in three replications. Experimental plates were covered with transparent lids to prevent evaporation and transferred to an incubator maintained at 27 ± 1 °C with a 14:10 h light/dark photoperiod. The number of dead individuals and the state of embryonic development were examined daily. Reconstituted water containing 0.75 mmol/L Na+, 0.5 mmol/L Mg2+, 0.074 mmol/L K+, and 2 mmol/L Ca2+ was used to prepare all test solutions and a control solvent of 0.01% acetone (control check, v/v). The water solubility of 2k and 4k was evaluated by the reported method [62,63], and the solubility of 2k and 4k was 1.23 g/L and 3.13 g/L at 25 °C, respectively.
3.6. Statistical Analysis
All data were analyzed by one-way analysis of variance (ANOVA; general linear models on Origin 8.0 procedure). The Bonferroni’s test was used for mean separation if the ANOVA test indicated significance. A value of p < 0.05 was considered statistically significant.
4. Conclusions
In summary, 33 N-alkyl amide derivatives (2a–k, 3a–k, and 4a–k) were synthesized from amines and saturated and unsaturated fatty acids through acylation and condensation via the scaffold hopping approach. The chemical structures of all target compounds were well confirmed by 1H-NMR, 13C-NMR, and HRMS. A primary test by the agar method demonstrated that most of the target compounds could protect rice seedlings from injury caused by the pesticide metolachlor. Notably, compounds 2k and 4k displayed excellent herbicide safener activities on plant height and showed relatively similar activities to the commercialized compound dichlormid. Further, we showed that compounds 2k and 4k had higher GST, SOD, CAT, POD, and PPO enzyme activities in treated rice seedlings relative to the metolachlor treatment. Results from the current work revealed that compounds 2k and 4k had good safener activities toward rice and are, thus, promising herbicide safener candidates for further structural optimization to identify novel herbicide safeners for chloroacetanilide herbicides that are eco-friendly to the environment.
Supplementary Materials
1H NMR and 13C NMR spectrums of target compounds 2a–k, 3a–k, and 4a–k.
Author Contributions
Conceptualization, X.D. and L.B.; methodology, X.D.; software, W.Z.; validation, W.Z.; formal analysis, W.Z.; investigation, W.Z.; resources, Q.Z.; data curation, W.Z.; writing—original draft preparation, X.D.; writing—review and editing, X.D.; visualization, X.D. and Y.D.; supervision, Y.Z.; project administration, L.B.; funding acquisition, L.B. All authors have read and agreed to the published version of the manuscript.
Funding
This research was funded by the National Natural Science Foundation of China (No. 31772182).
Conflicts of Interest
The authors declare no conflict of interest.
References
- Adhikari, S.P.; Kim, H.; Yang, H.; Kim, H. Learning semantic graphics using convolutional encoder-decoder network for autonomous weeding in paddy. Front. Plant Sci. 2019, 10, 1404. [Google Scholar] [CrossRef] [PubMed]
- Shumilina, E.; Andreasen, C.; Bitarafan, Z.; Dikiy, A. Determination of glyphosate in dried wheat by 1H-NMR Spectroscopy. Molecules 2020, 25, 1546. [Google Scholar] [CrossRef] [PubMed]
- Trognitz, F.; Hackl, E.; Widhalm, S.; Sessitsch, A. The role of plant-microbiome interactions in weed establishment and control. FEMS Microbiol. Ecol. 2016, 92, fiw138. [Google Scholar] [CrossRef] [PubMed]
- Li, H.; Jaisi, D.P. Competition of sorption and degradation reactions during glyphosate degradation by ferrihydrite/δ-manganese oxide composites. ACS Earth Space Chem. 2019, 3, 1362–1370. [Google Scholar] [CrossRef]
- Deng, X.L.; Zhao, P.Y.; Zhou, X.M.; Bai, L.Y. Excellent sustained-release efficacy of herbicide quinclorac with cationic covalent organic frameworks. Chem. Eng. J. 2021, 405, 126979. [Google Scholar] [CrossRef]
- Chen, C.; Qin, Z.; Jian, Z.; Xinhui, J.; Wanyong, M.; Jianhua, Z. The reaction mechanism and kinetics for the reaction of OH radicals with atmospheric metolachlor. Russ. J. Phys. Chem. A 2018, 92, 1266–1273. [Google Scholar] [CrossRef]
- De Melo Tavares Vieira, K.C.; Couto, J.C.; Zanetti, E.; Sanches, J.M.J.; Favareto, A.P.A. Maternal and fetal toxicity of Wistar rats exposed to herbicide metolachlor. Acta Sci. Biol. Sci. 2016, 38, 91–98. [Google Scholar] [CrossRef]
- Machado, M.D.; Soares, E.V. Reproductive cycle progression arrest and modification of cell morphology (shape and biovolume) in the alga Pseudokirchneriella subcapitata exposed to metolachlor. Aquat. Toxicol. 2020, 222, 105449. [Google Scholar] [CrossRef]
- Mueller-Warrant, G.W.; Rosato, S.C. Weed control for stand duration perennial ryegrass seed production: II. Residue retained. Agron. J. 2002, 94, 1192–1203. [Google Scholar] [CrossRef]
- Shipitalo, M.J.; Malone, R.W.; Ma, L.; Nolan, B.T.; Kanwar, R.S.; Shaner, D.L.; Pederson, C.H. Corn stover harvest increases herbicide movement to subsurface drains-root zone water quality model simulations. Pest Manag. Sci. 2016, 72, 1124–1132. [Google Scholar] [CrossRef]
- Zhang, W.; Webster, E.P.; Braverman, M.P. Rice (Oryza sativa) response to rotational crop and rice herbicide combinations. Weed Technol. 2002, 16, 340–345. [Google Scholar]
- Broschat, T.K. Phytotoxicity and longevity of twenty-two preemergent herbicides used on three species of container-grown palms. Hort Technol. 2000, 10, 597–602. [Google Scholar] [CrossRef]
- Saayman-du Toit, A.E.J. Phytotoxicity resulting from a combination of a pre-emergence herbicide and a pesticide seed dressing in maize (Zea mays L.). S. Afr. J. Plant Soil 2002, 19, 156–158. [Google Scholar] [CrossRef]
- Zheng, W.N.; Zhu, Z.Y.; Deng, Y.N.; Wu, Z.C.; Zhou, Y.; Zhou, X.M.; Bai, L.Y.; Deng, X.L. Synthesis, crystal structure, herbicide safening, and antifungal activity of N-(4,6-dichloropyrimidine-2-yl)benzamide. Crystals 2018, 8, 75. [Google Scholar] [CrossRef]
- Casida, J.E.; Gray, R.A.; Tilles, H. Thiocarbamate sulfoxides: Potent, selective, and biodegradable herbicides. Science 1974, 184, 573–574. [Google Scholar] [CrossRef]
- Kraehmer, H.; Laber, B.; Rosinger, C.; Schulz, A. Herbicides as weed control agents: State of the art: I. Weed control research and safener technology: The path to modern agriculture. Plant Physiol. 2014, 166, 1119–1131. [Google Scholar] [CrossRef]
- Yan, Y.; Liu, Q.; Zang, X.; Yuan, S.; Bat-Erdene, U.; Nguyen, C.; Gan, J.; Zhou, J.; Jacobsen, S.E.; Tang, Y. Resistance-gene-directed discovery of a natural-product herbicide with a new mode of action. Nature 2018, 559, 415–418. [Google Scholar] [CrossRef]
- Tang, X.K.; Zhou, X.M.; Wu, J.; Li, J.B.; Bai, L.Y. A novel function of sanshools: The alleviation of injury from metolachlor in rice seedlings. Pest. Biochem. Physiol. 2014, 110, 44–49. [Google Scholar] [CrossRef]
- Hatzios, K.K.; Wu, J. Herbicide safeners: Tools for improving the efficacy and selectivity of herbicides. J. Environ. Sci. Health Part B 1996, B31, 545–553. [Google Scholar] [CrossRef]
- Gao, S.; Liu, Y.Y.; Jiang, J.Y.; Fu, Y.; Zhao, L.X.; Li, C.Y.; Ye, F. Protective responses induced by chiral 3-dichloroacetyl oxazolidine safeners in maize (Zea mays L.) and the detoxification mechanism. Molecules 2019, 24, 3060. [Google Scholar] [CrossRef]
- Abu-Qare, A.W.; Duncan, H.J. Herbicide safeners: Uses, limitations, metabolism, and mechanisms of action. Chemosphere 2002, 48, 965–974. [Google Scholar] [CrossRef]
- Hoffmann, O.L. 1,8-Naphthalic Anhydride Protective Coatings of Cereals against Herbicidal S-ethyl N,N-Dipropylthiocarbamate. Patent. DE 1952910A, 25 June 1970. [Google Scholar]
- Zhang, Y.Y.; Zhang, S.G.; Liu, Y.X.; Wang, C.; Jiang, W.; Zhao, L.X.; Fu, Y.; Ye, F. Design, synthesis, and biological activity of novel diazabicyclo derivatives as safeners. J. Agric. Food Chem. 2020, 68, 3403–3414. [Google Scholar] [CrossRef] [PubMed]
- Zhao, L.X.; Wu, H.; Zou, Y.L.; Wang, Q.R.; Fu, Y.; Li, C.Y.; Ye, F. Design, synthesis, and safener activity of novel methyl (R)-N-benzoyl/dichloroacetyl-thiazolidine-4-carboxylates. Molecules 2018, 23, 155. [Google Scholar] [CrossRef] [PubMed]
- Li, J.B.; Zheng, W.; Wang, Y.H.; Cai, H.L.; Jin, C.Z.; Liu, X.; Bai, L.Y. Identification and S-metolachlor-safening effects of compounds extracted from Ligusticum chuanxiong on rice. Int. J. Agric. Biol. 2016, 18, 698–702. [Google Scholar] [CrossRef]
- Sun, L.; Xu, H.; Su, W.; Xue, F.; An, S.; Lu, C.; Wu, R. The expression of detoxification genes in two maize cultivars by interaction of isoxadifen-ethyl and nicosulfuron. Plant Physiol. Biochem. 2018, 129, 101–108. [Google Scholar] [CrossRef] [PubMed]
- Taylor, V.L.; Cummins, I.; Brazier-Hicks, M.; Edwards, R. Protective responses induced by herbicide safeners in wheat. Environ. Exp. Bot. 2013, 88, 93–99. [Google Scholar] [CrossRef]
- Hu, L.F.; Yao, Y.; Cai, R.W.; Pan, L.; Liu, K.L.; Bai, L.Y. Effects of fenclorim on rice physiology, gene transcription and pretilachlor detoxification ability. BMC Plant Biol. 2020, 20, 100. [Google Scholar] [CrossRef]
- Giannakopoulos, G.; Dittgen, J.; Schulte, W.; Zoellner, P.; Helmke, H.; Lagojda, A.; Edwards, R. Safening activity and metabolism of the safener cyprosulfamide in maize and wheat. Pest Manag. Sci. 2020, 76, 3413–3422. [Google Scholar] [CrossRef]
- Cox, C.; Surgan, M. Unidentified inert ingredients in pesticides: Implications for human and environmental health. Environ. Health Perspect. 2006, 114, 1803–1806. [Google Scholar] [CrossRef]
- Sivey, J.D.; Lehmler, H.J.; Salice, C.J.; Ricko, A.N.; Cwiertny, D.M. Environmental fate and effects of dichloroacetamide herbicide safeners: “Inert” yet biologically active agrochemical ingredients. Environ. Sci. Technol. Lett. 2015, 2, 260–269. [Google Scholar] [CrossRef]
- Watanabe, T.; Terada, Y. Food compounds activating thermosensitive TRP channels in asian herbal and medicinal foods. J. Nutr. Sci. Vitaminol. 2015, 61, S86–S88. [Google Scholar] [CrossRef] [PubMed]
- Sugai, E.; Morimitsu, Y.; Iwasaki, Y.; Morita, A.; Watanabe, T.; Kubota, K. Pungent qualities of sanshool-related compounds evaluated by a sensory test and activation of rat TRPV1. Biosci. Biotechnol. Biochem. 2005, 69, 1951–1957. [Google Scholar] [CrossRef] [PubMed]
- Devkota, K.P.; Wilson, J.; Henrich, C.J.; McMahon, J.B.; Reilly, K.M.; Beutler, J.A. Isobutylhydroxyamides from the pericarp of Nepalese Zanthoxylum armatum inhibit NF1-defective tumor cell line growth. J. Nat. Prod. 2013, 76, 59–63. [Google Scholar] [CrossRef] [PubMed]
- Zhang, M.; Xie, M.; Wei, D.; Wang, L.; Hu, M.; Zhang, Q.; He, Z.; Peng, W.; Wu, C. Hydroxy-α-sanshool isolated from Zanthoxylum bungeanum attenuates learning and memory impairments in scopolamine-treated mice. Food Funct. 2019, 10, 7315–7324. [Google Scholar] [CrossRef] [PubMed]
- Kubota, K.; Ohtake, N.; Ohbuchi, K.; Mase, A.; Imamura, S.; Sudo, Y.; Miyano, K.; Yamamoto, M.; Kono, T.; Uezono, Y. Hydroxy-α sanshool induces colonic motor activity in rat proximal colon: A possible involvement of KCNK9. Am. J. Physiol. 2015, 308, G579–G590. [Google Scholar] [CrossRef]
- Marrone, P.G. Pesticidal natural products-status and future potential. Pest Manag. Sci. 2019, 75, 2325–2340. [Google Scholar] [CrossRef]
- Hu, L.F.; Wang, L.F.; Zhou, X.M.; Luo, K.; Bai, L.Y. Two coumarins with safener activity from Rhizoma et Radix Notopterygii. Weed Technol. 2017, 29, 161–167. [Google Scholar] [CrossRef]
- Aoki, K.; Igarashi, Y.; Nishimura, H.; Morishita, I.; Usui, K. Application of iron carbonyl complexation to the selective total synthesis of sanshools. Tetrahedron Lett. 2012, 53, 6000–6003. [Google Scholar] [CrossRef]
- Avila, J.L.; Almeida-Aguirre, E.K.P.; Mendez-Cuesta, C.A.; Toscano, R.A.; Cerbon Cervantes, M.A.; Delgado, G. Structural reassignment of rel-(3’Z,3R,6R,7R,3a’R,6’R)-3,8-dihydrodiligustilide and the activity of diligustilide and 3,8-dihydro- and 3,8,7’,7a’-tetrahydrodiligustilides as progestins. Org. Lett. 2019, 21, 7460–7465. [Google Scholar] [CrossRef]
- Igarashi, Y.; Aoki, K.; Nishimura, H.; Morishita, I.; Usui, K. Total synthesis of hydroxy-alpha- and hydroxy-beta-sanshool using Suzuki-Miyaura coupling. Chem. Pharm. Bull. 2012, 60, 1088–1091. [Google Scholar] [CrossRef]
- Toy, P.; Xia, X. Synthesis of γ-Sanshool and Hydroxy-γ-sanshool. Synlett 2014, 25, 2787–2790. [Google Scholar] [CrossRef][Green Version]
- Wu, B.; Li, K.; Toy, P.H. Synthesis of hydroxy-α-sanshool. Synlett 2012, 23, 2564–2566. [Google Scholar]
- Lamberth, C. Agrochemical lead optimization by scaffold hopping. Pest Manag. Sci. 2018, 74, 282–292. [Google Scholar] [CrossRef] [PubMed]
- Menozzi-Smarrito, C.; Riera, C.E.; Munari, C.; Coutre, J.L.; Robert, F. Synthesis and evaluation of new alkylamides derived from α-hydroxysanshool, the pungent molecule in szechuan pepper. J. Agric. Food Chem. 2009, 57, 1982–1989. [Google Scholar] [CrossRef]
- Zhang, Y.Y.; Gao, S.; Hoang, M.T.; Wang, Z.W.; Ma, X.; Zhai, Y.; Li, N.; Zhao, L.X.; Fu, Y.; Ye, F. Protective efficacy of phenoxyacetyl oxazolidine derivatives as safeners against nicosulfuron toxicity in maize. Pest Manag. Sci. 2020. [Google Scholar] [CrossRef] [PubMed]
- Jiang, L.; Yang, H. Prometryne-induced oxidative stress and impact on antioxidant enzymes in wheat. Ecotoxicol. Environ. Saf. 2009, 72, 1687–1693. [Google Scholar] [CrossRef]
- Barbosa, G.S.S.; Oliveira, M.E.P.S.; dos Santos, A.B.S.; Sánchez, O.C.; Soares, C.M.F.; Fricks, A.T. Immobilization of low-cost alternative vegetable peroxidase (Raphanus sativus L. peroxidase): Choice of support/technique and characterization. Molecules 2020, 25, 3668. [Google Scholar] [CrossRef]
- Yi, R.; Zhang, J.; Sun, P.; Qian, Y.; Zhao, X. Protective effects of kuding tea (Ilex kudingcha C. J. Tseng) polyphenols on uvb-induced skin aging in SKH1 hairless mice. Molecules 2019, 24, 1016. [Google Scholar]
- Winters, A.; Heywood, S.; Farrar, K.; Donnison, I.; Thomas, A.; Webb, K.J. Identification of an extensive gene cluster among a family of PPOs in Trifolium pratense L. (red clover) using a large insert BAC library. BMC Plant Biol. 2009, 9, 94. [Google Scholar] [CrossRef]
- Singh, H.; Batish, D.; Kaur, S.; Setia, N.; Kohli, R. Effects of 2-benzoxazolinone on the germination, early growth and morphogenetic response of mung bean (Phaseolus aureus). Ann. Appl. Biol. 2005, 147, 267–274. [Google Scholar] [CrossRef]
- Qian, L.; Qi, S.Z.; Cao, F.J.; Zhang, J.; Li, C.P.; Song, M.; Wang, C.J. Effects of penthiopyrad on the development and behaviour of zebrafish in early-life stages. Chemosphere 2019, 214, 184–194. [Google Scholar] [CrossRef] [PubMed]
- Qian, L.; Liu, J.; Lin, Z.P.; Chen, X.F.; Yuan, L.L.; Shen, G.M.; Yang, W.B.; Wang, D.H.; Huang, Y.; Pang, S.; et al. Evaluation of the spinal effects of phthalates in a zebrafish embryo assay. Chemosphere 2020, 249, 126144. [Google Scholar] [CrossRef] [PubMed]
- Deng, X.L.; Zheng, W.N.; Zhou, X.M.; Bai, L.Y. The effect of salicylic acid and 20 substituted molecules on alleviating metolachlor herbicide injury in rice (Oryza sativa). Agronomy 2020, 10, 317. [Google Scholar] [CrossRef]
- Deng, X.L.; Zheng, W.N.; Jin, C.; Bai, L.Y. Synthesis of novel 6-aryloxy-4-chloro-2-phenylpyrimidines as fungicides and herbicide safeners. ACS Omega 2020, 5, 23996–24004. [Google Scholar] [CrossRef] [PubMed]
- Li, D.Z.; Xu, L.; Pang, S.; Liu, Z.Q.; Wang, K.; Wang, C.J. Variable levels of glutathione S-transferases are responsible for the differential tolerance to metolachlor between maize (Zea mays) shoots and roots. J. Agric. Food Chem. 2017, 65, 39–44. [Google Scholar] [CrossRef] [PubMed]
- Singh, N.; Narula, S.C.; Sharma, R.K.; Tewari, S.; Sehgal, P.K. Vitamin E supplementation, superoxide dismutase status, and outcome of scaling and root planing in patients with chronic periodontitis: A randomized clinical trial. J. Periodont. 2014, 85, 242–249. [Google Scholar] [CrossRef]
- Singh, D.P.; Singh, V.; Shukla, R.; Sahu, P.; Prabha, R.; Gupta, A.; Sarma, B.K.; Gupta, V.K. Stage-dependent concomitant microbial fortification improves soil nutrient status, plant growth, antioxidative defense system and gene expression in rice. Microbiol. Res. 2020, 239, 126538. [Google Scholar] [CrossRef]
- Shen, S.C.; Xu, G.F.; Li, D.Y.; Jin, G.M.; Liu, S.F.; Clements, D.R.; Yang, Y.X.; Rao, J.; Chen, A.D.; Zhang, F.D.; et al. Potential use of sweet potato (Ipomoea batatas (L.) Lam.) to suppress three invasive plant species in agroecosystems (Ageratum conyzoides L., Bidens pilosa L., and Galinsoga parviflora Cav.). Agronomy 2019, 9, 318. [Google Scholar] [CrossRef]
- Saborowski, R.; Schatte, J. Catalytic properties and polymorphism of serine endopeptidases from the midgut gland of the brown shrimp Crangon crangon (Decapoda, Caridea). Mar. Biol. 2012, 159, 1107–1118. [Google Scholar] [CrossRef]
- Chen, Z.Y.; Li, N.J.; Cheng, F.Y.; Hsueh, J.F.; Huang, C.C.; Lu, F.I.; Fu, T.F.; Yan, S.J.; Lee, Y.H.; Wang, Y.J. The effect of the chorion on size-dependent acute toxicity and underlying mechanisms of amine-modified 643 silver nanoparticles in zebrafish embryos. Int. J. Mol. Sci. 2020, 21, 2864. [Google Scholar] [CrossRef]
- Zhang, Q.F.; Fu, Y.J.; Huang, Z.W.; Shangguang, X.C.; Guo, Y.X. Aqueous stability of astilbin: Effects of pH, temperature, and solvent. J. Agric. Food Chem. 2013, 61, 12085–12091. [Google Scholar] [CrossRef]
- Zheng, D.; Ruan, Y.T.; Yin, Z.P.; Zhang, Q.F. A comparison of solubility, stability, and bioavailability between astilbin and neoastilbin isolated from Smilax glabra Rhizoma. Molecules 2020, 25, 4728. [Google Scholar] [CrossRef]
Sample Availability: Samples of the compounds 2a–k, 3a–k, and 4a–k are available from the authors. | |
Publisher’s Note: MDPI stays neutral with regard to jurisdictional claims in published maps and institutional affiliations. |
© 2020 by the authors. Licensee MDPI, Basel, Switzerland. This article is an open access article distributed under the terms and conditions of the Creative Commons Attribution (CC BY) license (http://creativecommons.org/licenses/by/4.0/).





