Systematic Development of a Simultaneous Determination of Plastic Particle Identity and Adsorbed Organic Compounds by Thermodesorption–Pyrolysis GC/MS (TD-Pyr-GC/MS)
Abstract
1. Introduction
2. Analytical Systems, Materials and Methods
2.1. Instrumental Systems
2.2. Materials and Methods
2.3. Sample Preparation for Reference and Ecotoxicological Samples
2.4. Evaluation of the TD-Pyr-GC/MS Data
3. Results and Discussion
3.1. Scope of Application for TD-Pyr-GC/MS
3.2. Sources of Contamination in the TD-Pyr-GC/MS System
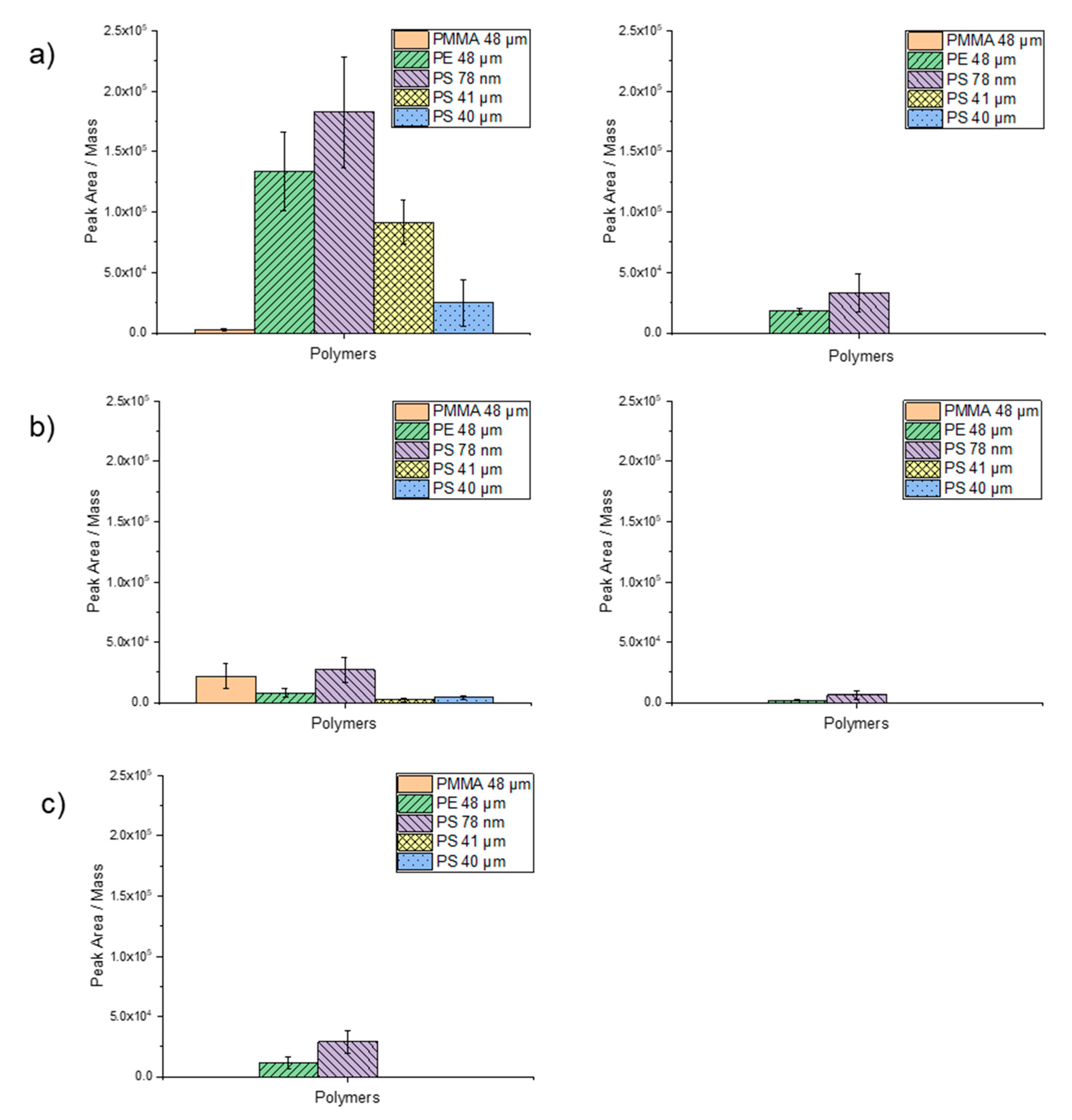
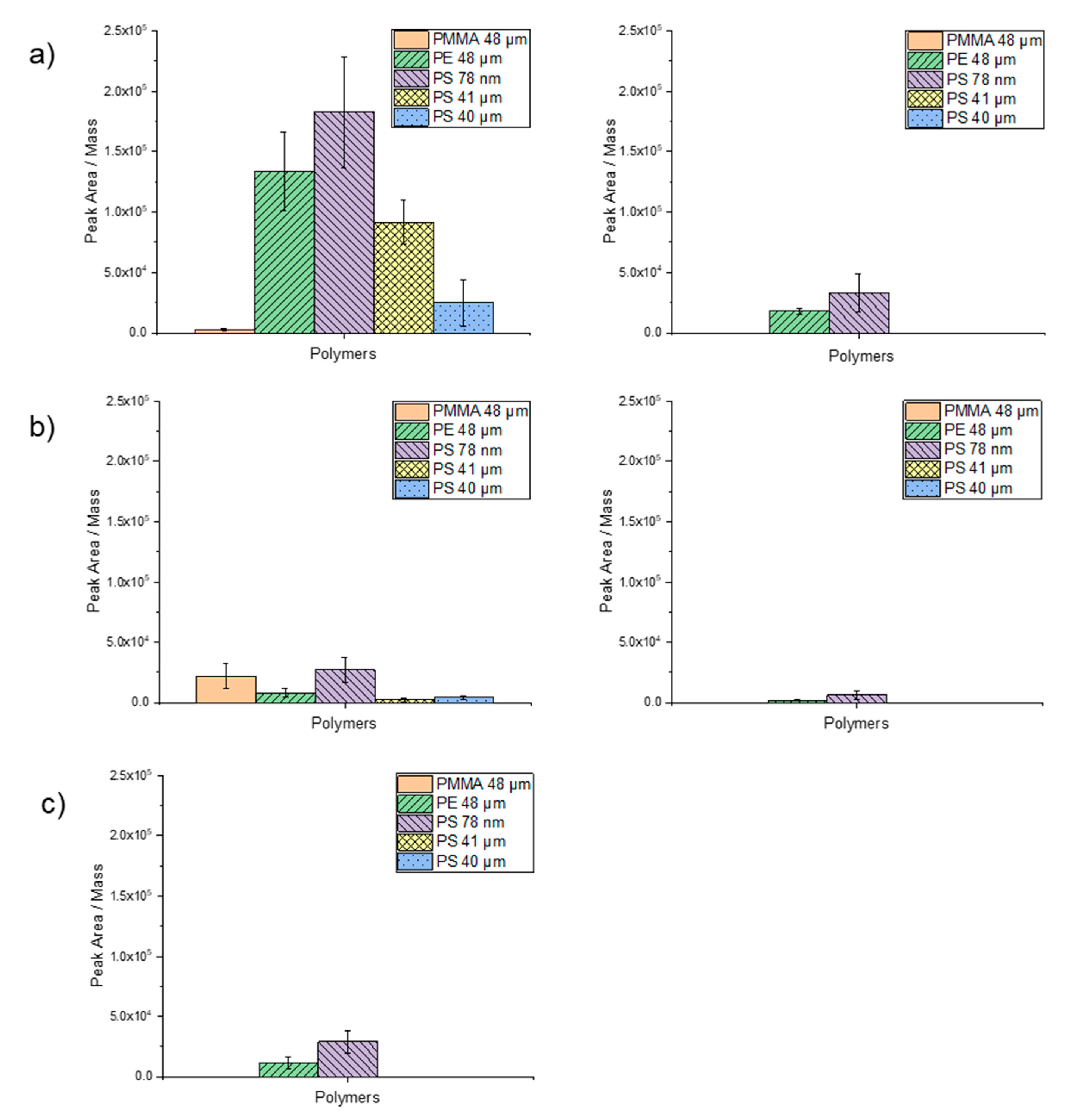
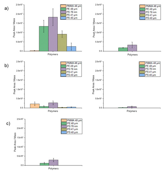
3.3. Influence of Different TD Temperature Programs on Pyrolysis of Particles of Different Materials and Size
3.4. Desorption Behavior of Phenanthrene, α-Cypermethrin and Triclosan
3.5. Comparison of the Desorption Behavior of the Selected Trace Organic Chemicals in TD and PYR
3.6. Comparison of SCAN and SIM Mode for Selected Trace Organic Chemicals on PS Nanoparticles
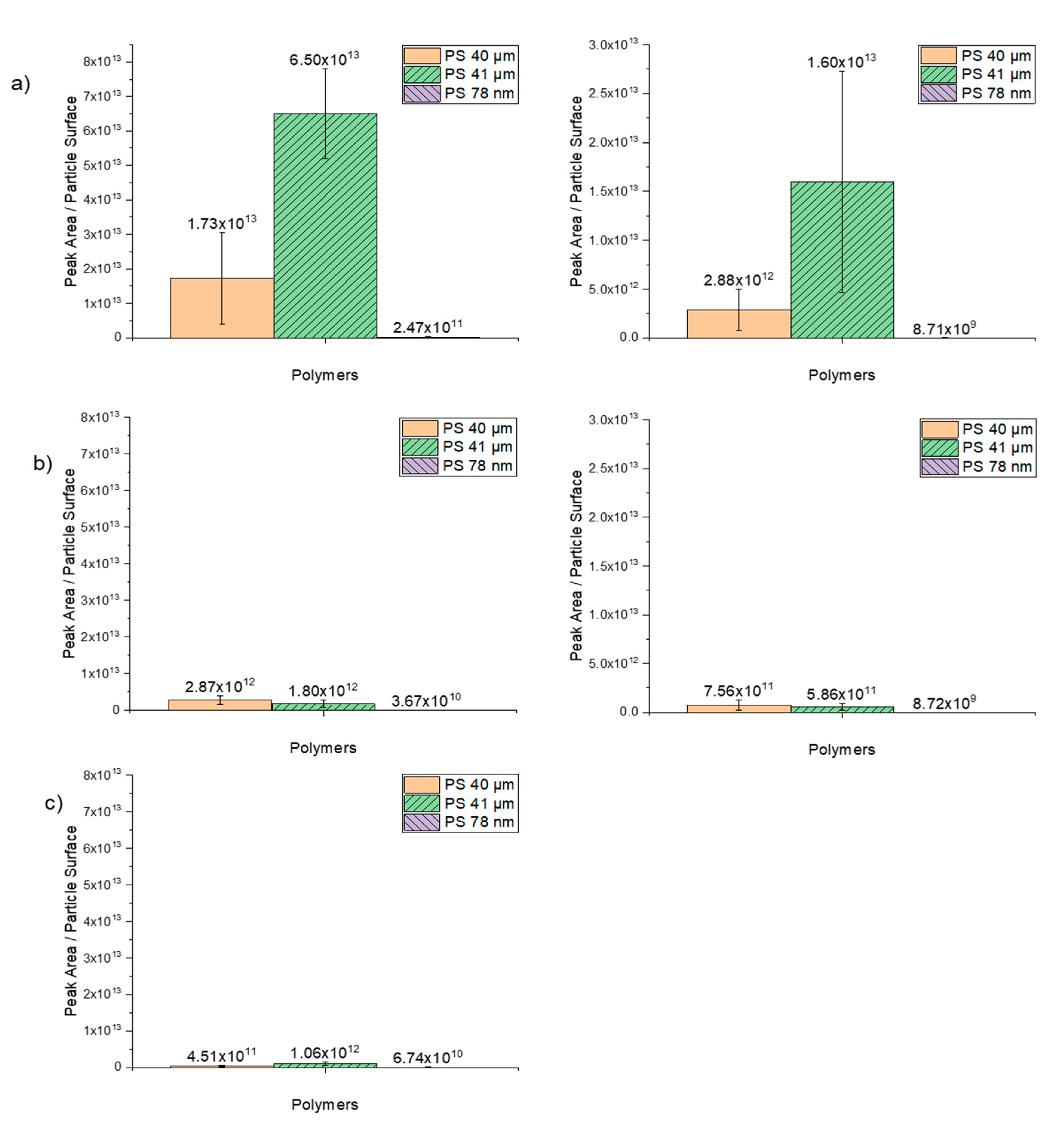
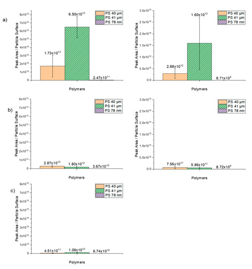
3.7. Trace Organic Chemical Sorption in Relation to the Particle Surface
4. Conclusions and Outlook
- Temperature optimization of the proposed TD-GC/MS method requires that the thermal desorption temperature should be as high as possible in order to desorb all sorbed substances, and at the same time, the temperature must be so low that as few pyrolysis products as possible are generated during the thermal desorption step. In this regard, the optimal TD-temperature was identified to be 200 °C.
- A suitable Pyr-GC/MS method was developed which completely depolymerizes all targeted polymers (i.e., PS, PE and PMMA) without leaving residues in the system and therefore avoiding carry-over issues. For this purpose, an optimum pyrolysis temperature of 800 °C was determined.
Author Contributions
Funding
Acknowledgments
Conflicts of Interest
References
- Jambeck, J.R.; Geyer, R.; Wilcox, C.; Siegler, T.R.; Perryman, M.; Andrady, A.L.; Narayan, R.; Law, K.L. Plastic waste inputs from land into the ocean. Science 2015, 347, 768–771. [Google Scholar] [CrossRef] [PubMed]
- GESAMP. Sources, Fate and Effects of Microplastics in the Marine Environment: A Global Assessment; International Martitime Organization: London, UK, 2015. [Google Scholar]
- Eriksen, M.; Lebreton, L.C.; Carson, H.S.; Thiel, M.; Moore, C.J.; Borerro, J.C.; Galgani, F.; Ryan, P.G.; Reisser, J. Plastic Pollution in the World’s Oceans: More than 5 Trillion Plastic Pieces Weighing over 250,000 Tons Afloat at Sea. PLoS ONE 2014, 9, e111913. [Google Scholar] [CrossRef] [PubMed]
- Mattsson, K.; Hansson, L.A.; Cedervall, T. Nano-plastics in the aquatic environment. Environ. Sci. Process. Impacts 2015, 17, 1712–1721. [Google Scholar] [CrossRef]
- Alimi, O.S.; Farner Budarz, J.; Hernandez, L.M. Tufenkji, Microplastics and Nanoplastics in Aquatic Environments: Aggregation, Deposition, and Enhanced Contaminant Transport. Environ. Sci. Technol. 2018, 52, 1704–1724. [Google Scholar] [CrossRef] [PubMed]
- da Costa, J.P.; Santos, P.S.M.; Duarte, A.C.; Rocha-Santos, T. (Nano) plastics in the environment—Sources, fates and effects. Sci. Total Environ. 2016, 566–567, 15–26. [Google Scholar] [CrossRef] [PubMed]
- Browne, M.A.; Galloway, T.; Thompson, R. Microplastic—An emerging contaminant of potential concern? Integr. Environ. Assess. Manag. 2007, 3, 559–566. [Google Scholar] [CrossRef]
- Seidensticker, S.; Gratwohl, P.; Lamprecht, J.; Zarfl, C. A combined experimental and modeling study to evaluate pH-dependent sorption of polar and non-polar compounds to polyethylene and polystyrene microplastics. Environ. Sci. Eur. 2018, 30, 30. [Google Scholar] [CrossRef] [PubMed]
- Seidensticker, S.; Zarfl, C.; Cirpka, O.A.; Fellenberg, G.; Gratwohl, P. Shift in Mass Transfer of Wastewater Contaminants from Microplastics in the Presence of Dissolved Substances. Environ. Sci. Technol 2017, 51, 12254–12263. [Google Scholar] [CrossRef]
- Hüffer, T.; Hofmann, T. Sorption of non-polar organic compounds by micro-sized plastic particles in aqueous solution. Environ. Pollut. 2016, 214, 194–201. [Google Scholar] [CrossRef]
- Duemichen, E.; Eisentraut, P.; Celina, M.; Braun, U. Automated Thermal Extraction-Desorption Gas Chromatography Mass Spectrometry: A Multifunctional Tool for Comprehensive Characterization of Polymers and their Degradation Products. J. Chromatogr. A 2019, 1592, 133–142. [Google Scholar] [CrossRef]
- Herrera, M.; Matuschek, G.; Kettrup, A. Fast identification of polymer additives by pyrolysis-gas chromatography/mass spectrometry. J. Anal. Appl. Pyrolysis 2003, 70, 35–42. [Google Scholar] [CrossRef]
- La Nasa, J.; Biale, G.; Fabbri, D.; Modugno, F. Microwave-assisted solvent extraction and double-shot analytical pyrolysis for the quali-quantitation of plasticizers and microplastics in beach sand samples. J. Hazard Mater. 2020, 401, 123287. [Google Scholar] [CrossRef] [PubMed]
- Fries, E.; Dekiff, J.H.; Willmeyer, J.; Nuelle, M.-T.; Ebert, M.; Remy, D. Identification of polymer types and additives in marine microplastic particles using pyrolysis-GC/MS and scanning electron microscopy. Environ. Sci. Process. Impacts 2013, 15, 1949–1956. [Google Scholar] [CrossRef] [PubMed]
- Zhang, X.; Zheng, M.; Wang, L.; Lou, Y.; Shi, L.; Jiang, S. Sorption of three synthetic musks by microplastics. Mar. Pollut. Bull. 2018, 126, 606–609. [Google Scholar] [CrossRef] [PubMed]
- Velzeboer, I.; Kwadijk, C.J.A.F.; Koelmans, A.A. Strong sorption of PCBs to nanoplastics, microplastics, carbon nanotubes, and fullerenes. Environ. Sci. Technol. 2014, 48, 4869–4876. [Google Scholar] [CrossRef] [PubMed]
- Hüffer, T.; Weniger, A.-K.; Hofmann, T. Sorption of organic compounds by aged polystyrene microplastic particles. Environ. Pollut. 2018, 236, 218–225. [Google Scholar] [CrossRef] [PubMed]
- Bakir, A.; Rowland, S.J.; Thompson, R.C. Enhanced desorption of persistent organic pollutants from microplastics under simulated physiological conditions. Environ. Pollut. 2014, 185, 16–23. [Google Scholar] [CrossRef]
- Bakir, A.; Rowland, S.J.; Thompson, R.C. Transport of persistent organic pollutants by microplastics in estuarine conditions. Estuar. Coast. Shelf Sci. 2014, 140, 14–21. [Google Scholar] [CrossRef]
- Hidalgo-Ruz, V.; Gutow, L.; Thompson, R.C.; Thiel, M. Microplastics in the marine environment: A review of the methods used for identification and quantification. Environ. Sci. Technol. 2012, 46, 3060–3075. [Google Scholar] [CrossRef]
- Käppler, A.; Fischer, D.; Oberbeckmann, S.; Schernewski, G.; Labrenz, M.; Eichhorn, K.-J.; Voit, B. Analysis of environmental microplastics by vibrational microspectroscopy: FTIR, Raman or both? Anal. Bioanal. Chem. 2016, 408, 8377–8391. [Google Scholar] [CrossRef]
- Duemichen, E.; Barthel, A.-K.; Braun, U.; Bannick, C.G.; Brand, K.; Jekel, M.; Senz, R. Analysis of polyethylene microplastics in environmental samples, using a thermal decomposition method. Water Res. 2015, 85, 451–457. [Google Scholar] [CrossRef]
- Elert, A.M.; Becker, R.; Duemichen, E.; Eisentraut, P.; Falkenhagen, J.; Sturm, H.; Braun, U. Comparison of different methods for MP detection: What can we learn from them, and why asking the right question before measurements matters? Environ. Pollut. 2017, 231, 1256–1264. [Google Scholar] [CrossRef]
- Klein, S.; Dimzon, I.K.; Eubeler, J.; Knepper, T.P. Analysis, Occurrence, and Degradation of Microplastics in the Aqueous Environment. In Freshwater Microplastics; Springer: Frankfurt am Main, Germany, 2018; Volume 58, pp. 51–67. [Google Scholar]
- La Nasa, J.; Biale, G.; Fabbri, D.; Modugno, F. A review on challenges and developments of analytical pyrolysis and other thermoanalytical techniques for the quali-quantitative determination of microplastics. J. Anal. Appl. Pyrolysis 2020, 149, 104841. [Google Scholar] [CrossRef]
- Yakovenko, N.; Carvalho, A.; ter Halle, A. Emerging use thermo-analytical method coupled with mass spectrometry for the quantification of micro(nano)plastics in environmental samples. TrAC Trends Anal. Chem. 2020, 131, 115979. [Google Scholar] [CrossRef]
- Ziccardi, L.M.; Edgington, A.; Hentz, K.; Kulacki, K.J.; Kane Discroll, S. Microplastics as vectors for bioaccumulation of hydrophobic organic chemicals in the marine environment: A state-of-the-science review. Environ. Toxicol. Chem. 2016, 35, 1667–1676. [Google Scholar] [CrossRef] [PubMed]
- Teuten, E.; Rowland, S.; Galloway, T.S.; Thompson, R.C. Potential for Plastics to Transport Hydrophobic Contaminants. Environ. Sci. Technol. 2007, 41, 7759–7764. [Google Scholar] [CrossRef] [PubMed]
- Wang, J.; Liu, X.; Liu, G.; Zhang, Z.; Wu, H.; Cui, B.; Bai, J.; Zhang, W. Size effect of polystyrene microplastics on sorption of phenanthrene and nitrobenzene. Ecotoxicol. Environ. Saf. 2019, 173, 331–338. [Google Scholar] [CrossRef]
- Zhang, H.; Penn, R.; Hamers, R.; Banfield, J. Enhanced Adsorption of Molecules on Surfaces of Nanocrystalline Particles. J. Phys. Chem. B 1999, 103, 4656–4662. [Google Scholar] [CrossRef]
- Stark, J.V.; Klabunde, K.J. Nanoscale Metal Oxide Particles/Clusters as Chemical Reagents. Adsorption of Hydrogen Halides, Nitric Oxide, and Sulfur Trioxide on Magnesium Oxide Nanocrystals and Compared with Microcrystals. Chem. Mater. 1996, 8, 1913–1918. [Google Scholar] [CrossRef]
- Ochiai, N.; Sasamoto, K.; Kanda, H.; Yamagami, T.; David, F.; Tienpont, B.; Sandra, P. Optimization of a multi-residue screening method for the determination of 85 pesticides in selected food matrices by stir bar sorptive extraction and thermal desorption GC-MS. J. Sep. Sci. 2005, 28, 1083–1092. [Google Scholar] [CrossRef]
- Kleine-Benne, E.; Rose, B. Versatile Automated Pyrolysis GC Combining a Filament Type Pyrolyzerwith a Thermal Desorption Unit; Gerstel GmbH&Co. KG: Mülheim an der Ruhr, Germany, 2011. [Google Scholar]
- Fischer, M.; Scholz-Bottcher, B.M. Simultaneous Trace Identification and Quantification of Common Types of Microplastics in Environmental Samples by Pyrolysis-Gas Chromatography-Mass Spectrometry. Environ. Sci. Technol. 2017, 51, 5052–5060. [Google Scholar] [CrossRef]
- Serrano, D.P.; Aguado, J.; Escola, J.M.; Rodríguez, J.M.; San Miguel, G. An investigation into the catalytic cracking of LDPE using Py–GC/MS. J. Anal. Appl. Pyrolysis 2005, 74, 370–378. [Google Scholar] [CrossRef]
- Soják, L.; Kubinec, R.; Jurdáková, H.; Hájeková, E.; Bajus, M. High resolution gas chromatographic–mass spectrometric analysis of polyethylene and polypropylene thermal cracking products. J. Anal. Appl. Pyrolysis 2007, 78, 387–399. [Google Scholar] [CrossRef]
- Kebelmann, K.; Hornung, A.; Karsten, U.; Griffiths, G. Intermediate pyrolysis and product identification by TGA and Py-GC/MS of green microalgae and their extracted protein and lipid components. Biomass Bioenergy 2013, 49, 38–48. [Google Scholar]
- Duemichen, E.; Eisentraut, P.; Bannick, C.G.; Barthel, A.-K.; Senz, R.; Braun, U. Fast identification of microplastics in complex environmental samples by a thermal degradation method. Chemosphere 2017, 174, 572–584. [Google Scholar] [CrossRef] [PubMed]
- Samanta, S.K.; Singh, S.K.; Jain, R.K. Polycyclic aromatic hydrocarbons: Environmental pollution and bioremediation. Trends Biotechnol. 2002, 20, 243–248. [Google Scholar]
- Yu-Tao, T.; Zhao-Wei, L.; Yang, Y.; Zhuo, Y.; Tao, Z. Effect of alpha-cypermethrin and theta-cypermethrin on delayed rectifier potassium currents in rat hippocampal neurons. NeuroToxicology 2009, 30, 269–273. [Google Scholar] [CrossRef]
- Adolfsson-Erici, M.; Pettersson, M.; Parkkonen, J.; Sturve, J. Triclosan, a commonly used bactericide found in human milk and in the aquatic environment in Sweden. Chemosphere 2002, 46, 1485–1489. [Google Scholar] [CrossRef]
- Bester, K. Fate of triclosan and triclosan-methyl in sewage treatment plants and surface waters. Arch. Environ. Contam Toxicol. 2005, 49, 9–17. [Google Scholar] [CrossRef]
- Rial-Otero, R.; Galesio, M.; Capelo, J.-L.; Simal-Gándara, J. A Review of Synthetic Polymer Characterization by Pyrolysis–GC–MS. Chromatographia 2009, 70, 339–348. [Google Scholar] [CrossRef]
- Li, Y.; Li, M.; Li, Z.; Yang, L.; Liu, X. Effects of particle size and solution chemistry on Triclosan sorption on polystyrene microplastic. Chemosphere 2019, 231, 308–314. [Google Scholar] [CrossRef] [PubMed]
- Endo, S.; Koelmans, A.A. Sorption of Hydrophobic Organic Compounds to Plastics in the Marine Environment: Equilibrium. In Hazardous Chemicals Associated with Plastics in the Marine Environment; Springer: Cham, Switzerland, 2016; Volume 78, pp. 185–204. [Google Scholar]








| Polymer Type | Characteristic Pyrolysis Fragments | Formula | Molecular Weight (g/mol) | m/z (Intensity Ratio (%)) * | Structure |
|---|---|---|---|---|---|
| PS | 3-butene-1,3-diyldibenzene (styrene dimer) | C16H16 | 208 | 91 (100), 104 (27), 130 (23), 208 (30) | ![]() |
| PS | 5-hexene-1,3,5-triyltribenzene (styrene trimer) | C24H24 | 312 | 91 (100), 117 (32), 194 (19), 207 (25) | ![]() |
| PE | 1,12-tridecadiene | C13H24 | 180 | 55 (52), 81 (44), 67 (38), 95 (26) | ![]() |
| PE | 1,13-tetradecadiene | C14H26 | 194 | 81 (42), 95 (27), 109 (13) | ![]() |
| PE | 1,15-hexadecadiene | C16H30 | 222 | 55 (63), 81 (50), 96 (45), 69 (37) | ![]() |
| PMMA | Methyl methacrylate | C5H8O2 | 100 | 41(77), 69 (100), 100 (57) | ![]() |
| Substance | Characteristic Signals (m/z) | Molecular Weight (g/mol) | Log D Value (pH 5.5) * | Environmental Relevance | Boiling Point (°C) at 760 mmHg | Structure |
|---|---|---|---|---|---|---|
| Phenan-threne | 178 | 178 | 5.27 | High toxicity, mutagenic [39], typical waste water pollutant [9] | 337.4 ± 9.0 | ![]() |
| α-Cyper-methrin | 163, 184, 209 | 416 | 6.05 | The most widespread product of Type II pyrethroid pesticide [9,40] | 511.3 ± 50 | ![]() |
| Triclosan | 290, 288, 218, 63 | 290 | 5.27 | Antimicrobial agent which is used in personal care products [41,42] | 344.6 ± 42.0 | ![]() |
| Particle Size (µm) | Particle Type | Mass (µg) | Number of Particles | Surface Particles (m2) |
|---|---|---|---|---|
| 41 | PS | 22–63 | 586–1679 | 3.10 × 10−6–8.86 × 10−6 |
| 40 | PS | 23–64 | 660–1837 | 3.32 × 10−6–9.23 × 10−6 |
| 0.078 | PS | 29–69 | 1.12 × 1011–2.67 × 1011 | 2.14 × 10−3–5.10 × 10−3 |
| 48 | PE | Not spherical | ||
| 48 | PMMA | Not spherical | ||
Sample Availability: Samples of the compounds are available from the authors. |
Publisher’s Note: MDPI stays neutral with regard to jurisdictional claims in published maps and institutional affiliations. |
© 2020 by the authors. Licensee MDPI, Basel, Switzerland. This article is an open access article distributed under the terms and conditions of the Creative Commons Attribution (CC BY) license (http://creativecommons.org/licenses/by/4.0/).
Share and Cite
Reichel, J.; Graßmann, J.; Letzel, T.; Drewes, J.E. Systematic Development of a Simultaneous Determination of Plastic Particle Identity and Adsorbed Organic Compounds by Thermodesorption–Pyrolysis GC/MS (TD-Pyr-GC/MS). Molecules 2020, 25, 4985. https://doi.org/10.3390/molecules25214985
Reichel J, Graßmann J, Letzel T, Drewes JE. Systematic Development of a Simultaneous Determination of Plastic Particle Identity and Adsorbed Organic Compounds by Thermodesorption–Pyrolysis GC/MS (TD-Pyr-GC/MS). Molecules. 2020; 25(21):4985. https://doi.org/10.3390/molecules25214985
Chicago/Turabian StyleReichel, Julia, Johanna Graßmann, Thomas Letzel, and Jörg E. Drewes. 2020. "Systematic Development of a Simultaneous Determination of Plastic Particle Identity and Adsorbed Organic Compounds by Thermodesorption–Pyrolysis GC/MS (TD-Pyr-GC/MS)" Molecules 25, no. 21: 4985. https://doi.org/10.3390/molecules25214985
APA StyleReichel, J., Graßmann, J., Letzel, T., & Drewes, J. E. (2020). Systematic Development of a Simultaneous Determination of Plastic Particle Identity and Adsorbed Organic Compounds by Thermodesorption–Pyrolysis GC/MS (TD-Pyr-GC/MS). Molecules, 25(21), 4985. https://doi.org/10.3390/molecules25214985










