Interaction of Ampicillin and Amoxicillin with Mn2+: A Speciation Study in Aqueous Solution
Abstract
1. Introduction
2. Results and Discussion
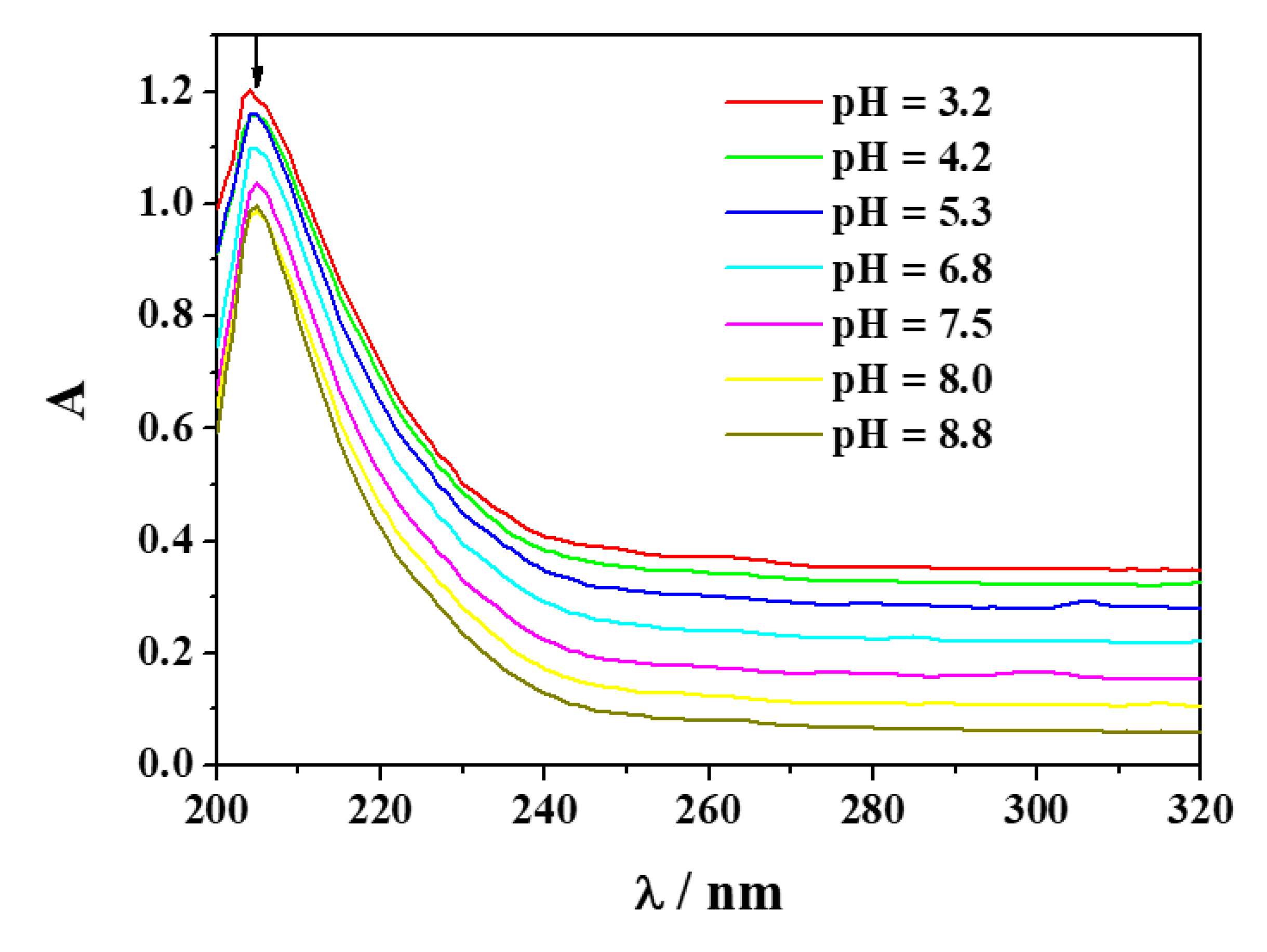
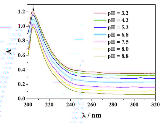
2.1. Aqueous Behaviour and Speciation of Mn2+-Amp and Mn2+-Amox Species
2.2. Dependence of Formation Constants on Ionic Strength
2.3. Dependence of Formation Constants on Temperature
2.4. Sequestering Ability
2.5. Literature Comparisons
3. Materials and Methods
3.1. Materials
3.2. Potentiometric Apparatus and Procedure
3.3. UV-Vis Apparatus and Procedure
3.4. Calculations
4. Conclusions
Supplementary Materials
Author Contributions
Funding
Conflicts of Interest
References
- Schafer, U. Manganese. In Elements and their Compounds in the Environment, 2nd ed.; Merian, E., Anke, M., Ihnat, M., Stoeppler, M., Eds.; Wiley-VCH Verlag GmbH & Co.: Weinheim, Germany, 2004; pp. 901–930. [Google Scholar]
- Baes, C.F.; Mesmer, R.E. The Hydrolysis of Cations; John Wiley & Sons: New York, NY, USA, 1976. [Google Scholar]
- Reidies, A.H. Manganese Compounds. In Ulmann’s Encyclopedia of Industrial Chemistry, 6th ed.; Wiley-VCH Verlag: Weinheim, Germany, 2003; Volume 20, pp. 543–564. [Google Scholar]
- Chiswell, B.; Johnson, D. Manganese. In Handbook on Metals in Clinical and Analytical Chemistry; Seiler, H.G., Sigel, A., Sigel, H., Eds.; Marcel Dekker, Inc.: New York, NY, USA; Basel, Switzerland; Hong Kong, China, 1994. [Google Scholar]
- Morgan, J.J. Manganese in Natural Waters and Earth’s Crust: Its Availability to Organisms. In Manganese and Its Role in Biological Systems; Sigel, A., Sigel, H., Eds.; Marcel Dekker, Inc.: New York, NY, USA; Basel, Switzerland, 2000; Volume 37, pp. 1–34. [Google Scholar]
- Frausto da Silva, J.J.R.; Williams, R.J.P. Manganese: Dioxygen evolution and glycosylation. In The Biological Chemistry of the Elements: The Inorganic Chemistry of Life, 2nd ed.; Oxford University Press: Oxford, UK, 2001. [Google Scholar]
- Schafer, U.; Anke, M.; Seifert, M.; Fischer, A.B. Influences on the manganese intake, excretion and balance of adults, and on the manganese concentration of the consumed food determined by means of the duplicate portion technique. Trace Elem. Electrolytes 2004, 21, 68–77. [Google Scholar] [CrossRef]
- Kabata-Pendias, A.; Pendias, H. Trace Elements in Soils and Plants, 3rd ed.; CRC Press: Boca Raton, FL, USA; London, UK; New York, NY, USA; Washington, DC, USA, 2001. [Google Scholar]
- Kondakis, X.G.; Makris, N.; Leotsinidis, M.; Prinou, M.; Papapetropoulos, T. Possible Health Effects of High Manganese Concentration in Drinking Water. Arch. Env. Health 1989, 44, 175–178. [Google Scholar] [CrossRef]
- Bouyarmane, H.; El Hanbali, l.; El Karbane, M.; Rami, A.; Saoiabi, A.; Saoiabi, S.; Masse, S.; Coradin, T.; Laghzizil, A. Parameters influencing ciprofloxacin, ofloxacin, amoxicillin and sulfamethoxazole retention by natural and converted calcium phosphates. J. Hazard. Mater. 2015, 291, 38–44. [Google Scholar] [CrossRef]
- Proctor, P.; Gensmantel, N.P.; Page, M.I. The chemical reactivity of penicillins and other β-lactam antibiotics. J. Chem. Soc. Perkin Trans. 1982, 1185–1192. [Google Scholar] [CrossRef]
- Imran, M.; Iqbal, J.; Mehmood, T.; Latif, F. Synthesis, characterization and in vitro screening of amoxicillin and its complexes with Ag(I), Cu(II), Co(II), Zn(II) and Ni(II). J. Biol. Sci. 2006, 6, 946–949. [Google Scholar]
- Gutiérez Navarro, P.; El Bekkouri, A.; Rodriguez Reinoso, E. Spectrofluorimetric study of the degradation of [small alpha]-amino [small beta]-lactam antibiotics catalysed by metal ions in methanol. Analyst 1998, 123, 2263–2266. [Google Scholar] [CrossRef] [PubMed]
- Gutiérrez Navarro, P.; Hernandez Blasquez, I.; Quintero Osso, B.; Martinez de las Parras, P.J.; Martinez Puentedura, M.I.; Marquez Garcia, A.A. Penicillin degradation catalysed by Zn(II) ions in methanol. Int. J. Biol. Macromol. 2003, 33, 159–166. [Google Scholar] [CrossRef]
- Marquez Garcia, A.; Gutiérrez Navarro, P.; Martinez de las Parras, P.J. Degradation of ampicillin in the presence of cadmium(II) ions. Talanta 1998, 46, 101–109. [Google Scholar] [CrossRef]
- Sher, A.; Veber, M.; Marolt-Gomiscek, M.; Gomiscek, S. Complexation of copper(II) ions with ampicillin I: Spectroscopic and electrochemical investigation of interactions under equilibrium conditions. Int. J. Pharm. 1993, 90, 181–186. [Google Scholar] [CrossRef]
- Shoukry, M.M. Potentiometric studies of binary and ternary complexes of amoxycillin. Talanta 1992, 39, 1625–1628. [Google Scholar] [CrossRef]
- Zayed, M.A.; Abdallah, S.M. Synthesis and structure investigation of the antibiotic amoxicillin complexes of d-block elements. Spectrochim. Acta Part A 2005, 61, 2231–2238. [Google Scholar] [CrossRef]
- Cardiano, P.; Cigala, R.M.; Crea, F.; De Stefano, C.; Giuffrè, O.; Sammartano, S.; Vianelli, G. Potentiometric, UV and 1H NMR study on the interaction of penicillin derivatives with Zn(II) in aqueous solution. Biophys. Chem. 2017, 223, 1–10. [Google Scholar] [CrossRef] [PubMed]
- Cardiano, P.; Crea, F.; Foti, C.; Giuffrè, O.; Sammartano, S. Potentiometric, UV and 1H NMR study on the interaction of Cu2+ with ampicillin and amoxicillin in aqueous solution. Biophys. Chem. 2017, 224, 59–66. [Google Scholar] [CrossRef]
- Cigala, R.M.; Crea, F.; De Stefano, C.; Sammartano, S.; Vianelli, G. Thermodynamic Parameters for the Interaction of Amoxicillin andAmpicillin with Magnesium in NaCl Aqueous Solution, at Different Ionic Strengths and Temperatures. J. Chem. Eng. Data 2017, 62, 1018–1027. [Google Scholar] [CrossRef]
- Giuffrè, O.; Angowska, S.; Foti, C.; Sammartano, S. Thermodynamic Study on the Interaction of Ampicillin and Amoxicillin with Ca2+ in Aqueous Solution at Different Ionic Strengths and Temperatures. J. Chem. Eng. Data 2019, 64, 800–809. [Google Scholar] [CrossRef]
- Kupka, T. b-Lactam antibiotics. Spectroscopy and molecular orbital (MO) calculations: Part I: IR studies of complexation in penicillin-transition metal ion systems and semi-empirical PM3 calculations on simple model compounds. Spectrochim. Acta A 1997, 53, 2649–2658. [Google Scholar] [CrossRef]
- Filella, M.; May, P.M. Reflections on the calculation and publication of potentiometrically-determined formation constants. Talanta 2005, 65, 1221–1225. [Google Scholar] [CrossRef]
- Furia, E.; Napoli, A.; Tagarelli, A.; Sindona, G. Speciation of 2-hydroxybenzoic acid with Calcium(II), Magnesium(II), and Nickel(II) Cations in self-medium. J. Chem. Eng. Data 2013, 58, 1349–1353. [Google Scholar] [CrossRef]
- Cardiano, P.; Giacobello, F.; Giuffrè, O.; Sammartano, S. Thermodynamics of Al3+-thiocarboxylate interaction in aqueous solution. J. Mol. Liq. 2016, 222, 614–621. [Google Scholar] [CrossRef]
- De Stefano, C.; Foti, C.; Giuffrè, O.; Sammartano, S. Acid-base and UV behaviour of 3-(3,4-dihydroxyphenyl)-propenoic acid (caffeic acid) and complexing ability towards different divalent metal cations in aqueous solution. J. Mol. Liq. 2014, 195, 9–16. [Google Scholar] [CrossRef]
- Falcone, G.; Giuffrè, O.; Sammartano, S. Acid-base and UV properties of some aminophenol ligands and their complexing ability towards Zn2+ in aqueous solution. J. Mol. Liq. 2011, 159, 146–151. [Google Scholar] [CrossRef]
- Cardiano, P.; De Stefano, C.; Giuffrè, O.; Sammartano, S. Thermodynamic and spectroscopic study for the interaction of dimethyltin(IV) with L-cysteine in aqueous solution. Biophys. Chem. 2008, 133, 19–27. [Google Scholar] [CrossRef][Green Version]
- Cardiano, P.; Falcone, G.; Foti, C.; Giuffrè, O.; Sammartano, S. Methylmercury(II)-sulphur containing ligand interactions:A potentiometric, calorimetric and 1H-NMR study in aqueous solution. New J. Chem. 2011, 35, 800–806. [Google Scholar] [CrossRef]
- Cardiano, P.; Giuffrè, O.; Pellerito, L.; Pettignano, A.; Sammartano, S.; Scopelliti, M. Thermodynamic and spectroscopic study of the binding of dimethyltin(IV) by citrate at 25 °C. Appl. Organomet. Chem. 2006, 20, 425–435. [Google Scholar] [CrossRef]
- Cesario, D.; Furia, E.; Mazzone, G.; Beneduci, A.; De Luca, G.; Sicilia, E. Complexation of Al3+ and Ni2+ by L -Ascorbic Acid: An Experimental and Theoretical Investigation. J. Phys. Chem. A 2017, 121, 9773–9781. [Google Scholar] [CrossRef]
- Furia, E.; Sindona, G. Interaction of iron(III) with 2-hydroxybenzoic acid in aqueous solutions. J. Chem. Eng. Data 2012, 57, 195–199. [Google Scholar] [CrossRef]
- Cardiano, P.; Giuffrè, O.; Napoli, A.; Sammartano, S. Potentiometric, 1H-NMR, ESI-MS investigation on dimethyltin(IV) cation-mercaptocarboxylate interaction in aqueous solution. New J. Chem. 2009, 33, 2286–2295. [Google Scholar] [CrossRef]
- Gonzales, C.; Jourad, E.; Spinelli, S.; Thomas, O. UV-Visible Spectrophotometry of Water and Waste Water; Elsevier: Amsterdam, The Netherlands, 2007. [Google Scholar]
- Cardiano, P.; Giacobello, F.; Giuffrè, O.; Sammartano, S. Thermodynamic and spectroscopic study on Al3+-polycarboxylate interaction in aqueous solution. J. Mol. Liq. 2017, 232, 45–54. [Google Scholar] [CrossRef]
- Cardiano, P.; Foti, C.; Giuffrè, O. On the interaction of N-acetylcysteine with Pb2+, Zn2+, Cd2+ and Hg2+. J. Mol. Liq. 2016, 223, 360–367. [Google Scholar] [CrossRef]
- Cardiano, P.; Giacobello, F.; Giuffrè, O.; Sammartano, S. Thermodynamic and spectroscopic study of Al3+ interaction with glycine, L-cysteine and tranexamic acid in aqueous solution. Biophys Chem. 2017, 230, 10–19. [Google Scholar] [CrossRef]
- Crea, F.; Crea, P.; De Stefano, C.; Giuffrè, O.; Pettignano, A.; Sammartano, S. Thermodynamic Parameters for the Protonation of Poly(allylamine) in concentrated LiCl(aq) and NaCl(aq). J. Chem. Eng. Data 2004, 49, 658–663. [Google Scholar] [CrossRef]
- Cardiano, P.; Falcone, G.; Foti, C.; Giuffrè, O.; Napoli, A. Binding ability of glutathione towards alkyltin(IV) compounds in aqueous solution. J. Inorg. Biochem. 2013, 129, 84–93. [Google Scholar] [CrossRef]
- Gianguzza, A.; Giuffrè, O.; Piazzese, D.; Sammartano, S. Aqueous solution chemistry of alkyltin(IV) compounds for speciation studies in biological fluids and natural waters. Coord. Chem. Rev. 2012, 256, 222–239. [Google Scholar] [CrossRef]
- Cardiano, P.; De Stefano, C.; Foti, C.; Giacobello, F.; Giuffrè, O.; Sammartano, S. Sequestration of HEDPA, NTA and phosphonic NTA derivatives towards Al3+ in aqueous solution. J. Mol. Liq. 2018, 261, 96–106. [Google Scholar] [CrossRef]
- Aiello, D.; Cardiano, P.; Cigala, R.M.; Gans, P.; Giacobello, F.; Giuffrè, O.; Napoli, A.; Sammartano, S. Sequestering Ability of Oligophosphate Ligands toward Al3+ in Aqueous Solution. J. Chem. Eng. Data 2017, 62, 3981–3990. [Google Scholar] [CrossRef]
- De Stefano, C.; Foti, C.; Giuffrè, O.; Milea, D. Complexation of Hg2+, CH3Hg+, Sn2+, and (CH3)2Sn2+ with phosphonic NTA derivatives. New J. Chem. 2016, 40, 1443–1453. [Google Scholar] [CrossRef]
- Cardiano, P.; Foti, C.; Giacobello, F.; Giuffrè, O.; Sammartano, S. Study of Al3+ interaction with AMP, ADP and ATP in aqueous solution. Biophys Chem. 2018, 234, 42–50. [Google Scholar] [CrossRef] [PubMed]
- Martell, A.E.; Smith, R.M.; Motekaitis, R.J. Critically Selected Stability Constants of Metal Complexes; National Institute of Standard Technology: Garthersburg, MD, USA, 2004. [Google Scholar]
- May, P.M.; Murray, K. Database of chemical reactions designed to achieve thermodynamic consistency automatically. J. Chem. Eng. Data 2001, 46, 1035–1040. [Google Scholar] [CrossRef]
- Pettit, L.D.; Powell, K.J. IUPAC Stability Constants Database Academic Software; IUPAC: Yorks, UK, 2001. [Google Scholar]
- De Stefano, C.; Sammartano, S.; Mineo, P.; Rigano, C. Computer Tools for the Speciation of Natural Fluids. In Marine Chemistry-An Environmental Analytical Chemistry Approach; Gianguzza, A., Pelizzetti, E., Sammartano, S., Eds.; Kluwer Academic Publishers: Amsterdam, The Netherlands, 1997; pp. 71–83. [Google Scholar]
- Gans, P.; Sabatini, A.; Vacca, A. Investigation of equilibria in solution. Determination of equilibrium constants with the HYPERQUAD suite of programs. Talanta 1996, 43, 1739–1753. [Google Scholar] [CrossRef]
- Gans, P.; Sabatini, A.; Vacca, A. Determination of equilibrium constants from spectrophometric data obtained from solutions of known pH: THE PROGRAM pHab. Ann. Chim. (Rome) 1999, 89, 45–49. [Google Scholar]
- Alderighi, L.; Gans, P.; Ienco, A.; Peters, D.; Sabatini, A.; Vacca, A. Hyperquad simulation and speciation (HySS): A utility program for the investigation of equilibria involving soluble and partially soluble species. Coord. Chem. Rev. 1999, 184, 311–318. [Google Scholar] [CrossRef]
Sample Availability: Samples of the compounds are not available from the authors. |











| L | Species | logβ a | ||||
|---|---|---|---|---|---|---|
| t = 15 °C | t = 25 °C | t = 37 °C | ||||
| I = 0.15 b | I = 0.15 b | I = 0.48 b | I = 0.96 b | I = 0.15 b | ||
| Amp | MnLH | 9.47(2) c | 9.47(1) c | 9.57(3) c | 8.68(8) c | 8.18(8) c |
| MnL | 2.36(3) | 2.32(2) | 2.37(5) | 2.14(3) | 2.09(3) | |
| Amox | MnLH2 | 19.92(2) | 19.64(2) | 19.48(4) | 20.14(2) | 19.55(2) |
| MnLH | 12.25(3) | 12.76(1) | 12.80(2) | 12.44(4) | 12.59(2) | |
| logK d | ||||||
| Amp | MnLH | 2.10 | 2.42 | 2.47 | 1.44 | 1.42 |
| MnL | 2.36 | 2.32 | 2.37 | 2.14 | 2.09 | |
| Amox | MnLH2 | 2.63 | 2.78 | 2.67 | 3.17 | 3.16 |
| MnLH | 2.54 | 3.20 | 3.32 | 2.91 | 3.19 |
| L | Species | logβ a | |
|---|---|---|---|
| Spectrophotometry | Potentiometry | ||
| Amp | MLH | 9.53(2) b | 9.47(2) b |
| ML | 2.30(2) | 2.32(2) | |
| Amox | MLH2 | 19.77(7) | 19.64(2) |
| MLH | 12.96(3) | 12.76(1) |
| Species | L | logβ0 a | Cb |
|---|---|---|---|
| MLH | Amp | 10.0(1) c | −0.8(2) c |
| ML | 2.88(4) | 0.10(9) | |
| MLH2 | Amox | 20.13(8) | 1.2(1) |
| MLH | 13.8(1) | 0.4(2) |
| Species | L | −ΔG a,b | ΔH a,b | TΔSa,b |
|---|---|---|---|---|
| MLH | Amp | 54.1 | −101(13) c | −47 |
| ML | 13.2 | −21(3) | −8 | |
| MLH2 | Amox | 112.1 | −28(6) | 84 |
| MLH | 72.8 | 20(5) | 93 | |
| Reaction | L | −ΔG b | ΔH b | TΔSb |
| M + LH | Amp | 13.8 | −57 | −43 |
| M + L | 13.2 | −21 | −8 | |
| M + LH2 | Amox | 15.9 | 43 | 59 |
| M + LH | 18.3 | −5 | 13 |
| L | t/°C | I/mol L−1 | pH | pL0.5 |
|---|---|---|---|---|
| Amp | 25 | 0.15 | 7.4 | 2.35 |
| 25 | 0.5 | 7.4 | 2.41 | |
| 25 | 1 | 7.4 | 2.17 | |
| 15 | 0.15 | 7.4 | 2.28 | |
| 37 | 0.15 | 7.4 | 2.01 | |
| 37 | 0.15 | 8.0 | 2.04 | |
| 37 | 0.15 | 6.5 | 1.78 | |
| Amox | 25 | 0.15 | 7.4 | 3.05 |
| 25 | 0.5 | 7.4 | 3.13 | |
| 25 | 1 | 7.4 | 3.06 | |
| 15 | 0.15 | 7.4 | 2.60 | |
| 37 | 0.15 | 7.4 | 3.17 | |
| 37 | 0.15 | 8.0 | 3.14 | |
| 37 | 0.15 | 6.5 | 3.16 |
© 2020 by the authors. Licensee MDPI, Basel, Switzerland. This article is an open access article distributed under the terms and conditions of the Creative Commons Attribution (CC BY) license (http://creativecommons.org/licenses/by/4.0/).
Share and Cite
Foti, C.; Giuffrè, O. Interaction of Ampicillin and Amoxicillin with Mn2+: A Speciation Study in Aqueous Solution. Molecules 2020, 25, 3110. https://doi.org/10.3390/molecules25143110
Foti C, Giuffrè O. Interaction of Ampicillin and Amoxicillin with Mn2+: A Speciation Study in Aqueous Solution. Molecules. 2020; 25(14):3110. https://doi.org/10.3390/molecules25143110
Chicago/Turabian StyleFoti, Claudia, and Ottavia Giuffrè. 2020. "Interaction of Ampicillin and Amoxicillin with Mn2+: A Speciation Study in Aqueous Solution" Molecules 25, no. 14: 3110. https://doi.org/10.3390/molecules25143110
APA StyleFoti, C., & Giuffrè, O. (2020). Interaction of Ampicillin and Amoxicillin with Mn2+: A Speciation Study in Aqueous Solution. Molecules, 25(14), 3110. https://doi.org/10.3390/molecules25143110
