Sign in to use this feature.

Years

Between: -

Subjects

remove_circle_outline
remove_circle_outline
remove_circle_outline
remove_circle_outline
remove_circle_outline
remove_circle_outline
remove_circle_outline
remove_circle_outline
remove_circle_outline

Journals

remove_circle_outline
remove_circle_outline
remove_circle_outline
remove_circle_outline
remove_circle_outline
remove_circle_outline
remove_circle_outline
remove_circle_outline
remove_circle_outline
remove_circle_outline
remove_circle_outline
remove_circle_outline
remove_circle_outline
remove_circle_outline
remove_circle_outline
remove_circle_outline
remove_circle_outline
remove_circle_outline

Article Types

Countries / Regions

remove_circle_outline
remove_circle_outline
remove_circle_outline
remove_circle_outline
remove_circle_outline
remove_circle_outline
remove_circle_outline
remove_circle_outline
remove_circle_outline
remove_circle_outline

Search Results (1,200)

Search Parameters:
Keywords = amoxicillin

Order results
Result details
Results per page
Select all
Export citation of selected articles as:
18 pages, 1955 KB  
Article
Hybrid Solar Photoelectro-Fenton and Ozone Processes for the Sustainable Removal of COVID-19 Pharmaceutical Contaminants
by Sonia Herrera-Chávez, Martin Pacheco-Álvarez, Luis A. Godínez, Enric Brillas and Juan M. Peralta-Hernández
Processes 2025, 13(10), 3234; https://doi.org/10.3390/pr13103234 - 10 Oct 2025
Abstract
This study explores a hybrid advanced electrochemical oxidation process (EAOP) intensified by solar irradiation and ozone for the treatment of wastewater containing COVID-19-related pharmaceuticals. Pilot-scale trials were performed in a 30 L compound parabolic collector (CPC)-type photoreactor with a boron-doped diamond (BDD–BDD) electrode [...] Read more.
This study explores a hybrid advanced electrochemical oxidation process (EAOP) intensified by solar irradiation and ozone for the treatment of wastewater containing COVID-19-related pharmaceuticals. Pilot-scale trials were performed in a 30 L compound parabolic collector (CPC)-type photoreactor with a boron-doped diamond (BDD–BDD) electrode configuration. Under optimal conditions (50 mg L−1 paracetamol, 0.05 M Na2SO4, 0.50 mM Fe2+, pH 3.0, and 60 mA cm−2), the solar photoelectro-Fenton (SPEF) process achieved 78% chemical oxygen demand (COD) reduction within 90 min, with catechol and phenol detected as the main aromatic intermediates. When applied to a four-drug mixture (dexamethasone, paracetamol, amoxicillin, and azithromycin), the solar photoelectro-Fenton (SPEF–ozone (O3)) system reached 60% degradation and 41% COD removal under solar conditions. The results highlight the synergistic effect of ozone and solar energy in enhancing the electrochemical oxidation process (EAOP) performance and demonstrate the potential of these processes for scalable and sustainable removal of pharmaceutical contaminants from wastewater. Full article
Show Figures

Figure 1

10 pages, 363 KB  
Communication
Presence of Resistant Enterobacteriaceae in Poultry and Synanthropic Birds of an Urban Context of Social Farming in Southern Italy
by Antonino Pace, Mattia Longobardi, Tamara Pasqualina Russo, Luca Borrelli, Alessandro Fioretti, Ludovico Dipineto and Antonio Santaniello
Vet. Sci. 2025, 12(10), 961; https://doi.org/10.3390/vetsci12100961 - 9 Oct 2025
Viewed by 157
Abstract
Social Farming promotes mental and physical health, social inclusion, education and recreational services through agricultural and animal-related activities. The expansion of Social Farming draws attention to its potential health risks, although information on the role of animals and environments as reservoirs of pathogenic [...] Read more.
Social Farming promotes mental and physical health, social inclusion, education and recreational services through agricultural and animal-related activities. The expansion of Social Farming draws attention to its potential health risks, although information on the role of animals and environments as reservoirs of pathogenic or resistant bacteria within Social Farming contexts is still limited. Therefore, this study aimed to assess the presence of potential zoonotic enterobacteria (e.g., Escherichia coli, Klebsiella spp., Salmonella spp.) and their antibiotic-resistance profiles from animals and environmental samples within a Social Farming context in Naples. Samples were collected from 76 animals belonging to 5 species and from 16 environmental surfaces. Bacteriological investigations included isolation of Enterobacteriaceae, identification through MALDI-TOF, and antibiotic susceptibility testing. The most frequently isolated species were E. coli and Klebsiella spp., both from animal (73.7% and 44.7%, respectively) and environmental samples (56.3% and 43.8%, respectively). Notably, 96.9% of tested strains were resistant to amoxicillin-clavulanic acid. These findings suggest that poultry, synanthropic birds and environmental surfaces within a Social Farming context might harbor potentially pathogenic and antibiotic-resistant bacteria. Thus, continuous monitoring, good hygiene, and proper management are required strategies to preserve the health of users, especially vulnerable populations such as children. Full article
(This article belongs to the Section Veterinary Microbiology, Parasitology and Immunology)
Show Figures

Figure 1

16 pages, 727 KB  
Article
LC-MS/MS Method Development and Validation for Clinical Pharmacokinetics and Therapeutic Drug Monitoring of Potassium-Competitive Acid Blocker Vonoprazan-Based Triple Therapy for H. pylori in Human Plasma
by Naser F. Al-Tannak, Hani M. Hafez, Ahmed Hemdan, Abdullah Aldasem and Ibrahim Khadra
Pharmaceuticals 2025, 18(10), 1509; https://doi.org/10.3390/ph18101509 - 8 Oct 2025
Viewed by 298
Abstract
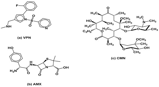
Background: A novel triple therapy regimen for Helicobacter pylori eradication, recently approved by the U.S. FDA, comprises vonoprazan (VPN), a potassium-competitive acid blocker, in combination with amoxicillin (AMX) and clarithromycin (CMN). This study presents the development and full validation of a rapid, selective, [...] Read more.
Background: A novel triple therapy regimen for Helicobacter pylori eradication, recently approved by the U.S. FDA, comprises vonoprazan (VPN), a potassium-competitive acid blocker, in combination with amoxicillin (AMX) and clarithromycin (CMN). This study presents the development and full validation of a rapid, selective, and sensitive LC-MS/MS method for the simultaneous quantification of these three drugs in spiked human plasma. Methods: Sample preparation was performed using a simple and efficient liquid–liquid extraction (LLE) technique. Chromatographic separation was achieved within 5 min using a Phenomenex Kinetex C18 column (100 × 4.6 mm, 2.6 µm) and a gradient elution system consisting of 0.1% formic acid in water and acetonitrile. Moreover, diazepam was used as an internal standard. The mass spectrometric detection was conducted in multiple reaction monitoring (MRM) mode using positive electrospray ionization. Results: The method exhibited excellent linearity over the investigated concentration ranges (2, 5, 10, 20, 50, and 100 ng/mL for amoxicillin and clarithromycin and 5, 10, 20, 30, 50, and 100 ng/mL for vonoprazan). Intra- and inter-day precision and accuracy values met FDA bioanalytical method validation guidelines, with relative standard deviations and relative errors below 15%. Mean absolute recoveries were above 93% for all analytes. Conclusions: The developed method was fully validated, rapid, selective, and sensitive LC-MS/MS and was assessed using the AGREE tool as a greenness assessment approach, confirming its environmental friendliness and alignment with green analytical chemistry principles. Full article
(This article belongs to the Section Pharmaceutical Technology)
Show Figures

Graphical abstract

19 pages, 2265 KB  
Systematic Review
Multifaceted Antibiotic Resistance in Diabetic Foot Infections: A Systematic Review
by Weiqi Li, Oren Sadeh, Jina Chakraborty, Emily Yang, Paramita Basu and Priyank Kumar
Microorganisms 2025, 13(10), 2311; https://doi.org/10.3390/microorganisms13102311 - 6 Oct 2025
Viewed by 350
Abstract
Diabetic foot infections (DFIs) are a significant complication in patients with diabetes, often leading to severe clinical complications including amputation and increased mortality rates. The effective management of these infections is complicated by the rise in antibiotic resistance among the microbial populations involved. [...] Read more.
Diabetic foot infections (DFIs) are a significant complication in patients with diabetes, often leading to severe clinical complications including amputation and increased mortality rates. The effective management of these infections is complicated by the rise in antibiotic resistance among the microbial populations involved. In this paper, we undertake a systematic review and meta-analysis to explore the bacterial profiles, as well as their antibiotic resistance patterns in DFIs, encompassing studies published between 2014 and 2024. A total of 28 studies were selected from several databases, including PubMed, Google Scholar, EBSCOhost, and ScienceDirect, published from 2014 to 2024, specifically focusing on diabetic foot infections and antibiotic resistance. Diabetic foot infections arise from a combination of factors, including peripheral neuropathy, poor circulation, and immune system impairment, making diabetic patients prone to unnoticed injuries, impaired wound healing, and a higher risk of infections. The severity of DFIs often depends on the size and depth of the ulcers, with larger, deeper ulcers posing additional risks of infection and complications, such as osteomyelitis and sepsis. Our study synthesizes information on the total isolates of microbes, their resistance to one or more groups of antibiotics, and resistance panel results across multiple antibiotics, including amoxicillin/clavulanate, trimethoprim/sulfamethoxazole, ciprofloxacin, and others. We meticulously catalog the resistance of key bacterial strains—Escherichia coli, Enterobacter spp., Proteus spp., Pseudomonas spp., Staphylococcus aureus, and others—highlighting patterns of resistance to single and multiple antibiotic groups. This systematic review also analyzes the correlations of various comorbidities reported by the diabetic foot infection patient populations in the included studies with multiple antibiotic resistance patterns. Subsequently, this analytical review study addresses the rising prevalence of antibiotic-resistant pathogens and underscores the need for antibiotic stewardship programs to promote judicious use of antibiotics, reduce the spread of resistant strains, and enhance therapeutic outcomes. In addition, the review discusses the implications of resistance to empirical antibiotic treatments, underscoring the necessity for tailored antibiotic therapy based on culture and sensitivity results to optimize treatment outcomes. Full article
(This article belongs to the Section Antimicrobial Agents and Resistance)
Show Figures

Figure 1

15 pages, 1075 KB  
Article
Synergistic Antibacterial Activity of Azithromycin-Loaded Chitosan Nanoparticles Alone and in Combination with Cetirizine Dihydrochloride Against Resistant Isolates of Respiratory Tract Infections
by Umbreen Anwar, Adeel Sattar, Muhammad Adil Rasheed, Muhammad Abu Bakr Shabbir and Mateen Abbas
Antibiotics 2025, 14(10), 992; https://doi.org/10.3390/antibiotics14100992 - 3 Oct 2025
Viewed by 408
Abstract
Background/Objectives: Antibiotic resistance is a major public health concern, with considerable socio-economic consequences. Researchers are exploring alternative strategies, including nanotechnology, which has shown significance in targeted drug delivery. This study evaluates the synergistic antibacterial activity of azithromycin-loaded chitosan nanoparticles (AZM-CSNPs) against azithromycin-resistant clinical [...] Read more.
Background/Objectives: Antibiotic resistance is a major public health concern, with considerable socio-economic consequences. Researchers are exploring alternative strategies, including nanotechnology, which has shown significance in targeted drug delivery. This study evaluates the synergistic antibacterial activity of azithromycin-loaded chitosan nanoparticles (AZM-CSNPs) against azithromycin-resistant clinical respiratory isolates of methicillin-resistant Staphylococcus aureus (MRSA) and Klebsiella pneumoniae (K. pneumoniae). Methods: A total of 87 sputum samples (n = 87) were collected and analyzed. The ermB gene for K. pneumoniae and the ermA gene for MRSA were used to confirm resistant isolates. Among 87 samples, 29 manifested K. pneumoniae, and 32 exhibited MRSA-positive cultures, confirmed through phenotypic and genotypic methods. The RT-PCR is performed by using a cDNA Kit to determine the gene expression. Results: The results elucidate resistance of K. pneumoniae against several antibiotics, including azithromycin (15 µg), chloramphenicol (30 µg), and amoxicillin (30 µg), while MRSA also showed resistance to cefoxitin (30 µg), azithromycin (15 µg), and gentamycin (10 µg). Reduction in the MIC value of the nanoparticle formulation showed their effectiveness. The AZM-CSNPs combined with cetirizine dihydrochloride helped to down-regulate the resistant genes. Conclusions: Notably, a strong synergistic effect was observed with AZM-CSNPs in combination with cetirizine, significantly enhancing antibacterial efficacy against resistant isolates. Full article
Show Figures

Figure 1

13 pages, 473 KB  
Article
Comparison of Vonoprazan and Low-Dose Amoxicillin Dual Therapy with Bismuth-Containing Quadruple Therapy for Naïve Helicobacter pylori Eradication: A Single-Center, Open-Label, Randomized Control Trial
by Xue Fan, Yanyan Shi, Yuan Li and Xiangchun Lin
Antibiotics 2025, 14(10), 990; https://doi.org/10.3390/antibiotics14100990 - 3 Oct 2025
Viewed by 314
Abstract
Objective: This study aimed to compare the effectiveness and safety of vonoprazan–amoxicillin (VA) dual therapy with modified bismuth-containing quadruple therapy (esomeprazole, bismuth, amoxicillin, and clarithromycin; EBAC) in treatment-naïve patients infected with Helicobacter pylori (H. pylori). Methods: In this single-center, open-label, randomized [...] Read more.
Objective: This study aimed to compare the effectiveness and safety of vonoprazan–amoxicillin (VA) dual therapy with modified bismuth-containing quadruple therapy (esomeprazole, bismuth, amoxicillin, and clarithromycin; EBAC) in treatment-naïve patients infected with Helicobacter pylori (H. pylori). Methods: In this single-center, open-label, randomized controlled trial conducted from July to December 2024, a total of 504 H. pylori-positive patients were randomly allocated to receive either VA (vonoprazan 20 mg and amoxicillin 1000 mg, twice daily for 14 days) or EBAC (esomeprazole 20 mg bid, bismuth potassium citrate 220 mg bid, amoxicillin 1000 mg bid, clarithromycin 500 mg bid, twice daily for 14 days). The primary endpoint was the H. pylori eradication rate, and the secondary endpoint was safety. Results: In the intention-to-treat (ITT) analysis, the eradication rates were 79.4% (200/252) in the VA group and 85.7% (216/252) in the EBAC group (p = 0.060). Per-protocol (PP) analysis showed comparable eradication rates between the two groups (92.1% [197/214] vs. 93.0% [213/229], p = 0.712), confirming the non-inferiority of VA compared to EBAC. The incidence of adverse events was significantly fewer in the VA group (27.2% vs. 42.7%, p < 0.001). Logistic regression identified medication adherence (≥80%) as the only independent predictor of successful eradication (OR 17.557, p < 0.001). Conclusions: VA dual therapy achieved comparable H. pylori eradication rates to EBAC, while offering better safety and a more convenient regimen, supporting it as a preferred first-line treatment for H. pylori infection. Full article
Show Figures

Graphical abstract

18 pages, 1779 KB  
Article
Genomic Characterization of a Rare K30-ST198 Hypervirulent Klebsiella pneumoniae Clone with Distinctive Virulence Features
by Domingo Fernández Vecilla, Jorge Rodríguez Grande, Nuria Fraile Valcárcel, Mary Paz Roche Matheus, Gotzon Iglesias Hidalgo, Cristina Aspichueta Vivanco, José Luis Díaz de Tuesta del Arco, Sergio García-Fernández, María Siller Ruiz, Zaira Moure, Daniela Vallejo Iriarte, Athanasia Varsaki, Jorge Calvo Montes, María Pía Roiz Mesones, María Carmen Fariñas and Alain A. Ocampo-Sosa
Int. J. Mol. Sci. 2025, 26(19), 9601; https://doi.org/10.3390/ijms26199601 - 1 Oct 2025
Viewed by 302
Abstract
Hypervirulent Klebsiella pneumoniae (hvKp) has emerged as a significant public health concern, yet rare sublineages remain poorly characterized. Here, we described a K30-ST198 hvKp sublineage identified in four isolates from two patients, including three sequential strains (K30B1, K30B2, K30B3) recovered over eight months [...] Read more.
Hypervirulent Klebsiella pneumoniae (hvKp) has emerged as a significant public health concern, yet rare sublineages remain poorly characterized. Here, we described a K30-ST198 hvKp sublineage identified in four isolates from two patients, including three sequential strains (K30B1, K30B2, K30B3) recovered over eight months from recurrent liver abscesses and one strain (K30-HUMV1) from a urinary tract infection. All isolates exhibited a yYpermucoviscous phenotype and resistance restricted to ampicillin and amoxicillin. Screening with the eazyplex hvKp assay detected ybt and rmpA in all strains, yielding a virulence score of 1. Biofilm production was strong in K30B1, K30B2, moderate in K30-HUMV1, but weak in K30B3. In the Galleria mellonella infection model, K30B1 showed higher virulence than the other isolates. Whole-genome sequencing identified the ICEKp1 carrying hypervirulence-associated genes (ybt, pagO, rmpAC, iroBCDN) together with additional virulence factors (fim, mrkD, uge, ureA, wabG, wcaJ, mliC), while antibiotic resistance genes were limited to fosA and blaSHV-77. Protein structures and their functional domains were predicted using AlphaFold v3.0.1 and ColabFold v1.5.5, based on pLDDT scores, providing further insights into gene functionality. This work represents one of the first detailed characterizations of K30-ST198 hvKp, underscoring the need for integrated genomic, phenotypic, and structural approaches in hvKp surveillance. Full article
(This article belongs to the Collection Microbial Virulence Factors)
Show Figures

Figure 1

26 pages, 3750 KB  
Article
Engineering Robust, Porous Guar Gum Hydrogels by One-Step Mild Synthesis: Impact of Porogen Choice on Rheology and Sustained Gastroretentive Amoxicillin Delivery
by Fátima Díaz-Carrasco, M.-Violante De-Paz, Matea Katavić, Estefanía García-Pulido, Álvaro Santos-Medina, Lucía Muíña-Ramil, M.-Gracia García-Martín and Elena Benito
Gels 2025, 11(10), 785; https://doi.org/10.3390/gels11100785 - 1 Oct 2025
Viewed by 305
Abstract
This study introduces a single-step method to synthesize guar gum-based interpenetrating polymer network (IPN) hydrogels, achieving simultaneous Diels–Alder crosslinking and amoxicillin (AMOX) encapsulation under mild conditions. To evaluate the influence of porogen addition on IPN structure, drug loading and release, twenty-one formulations were [...] Read more.
This study introduces a single-step method to synthesize guar gum-based interpenetrating polymer network (IPN) hydrogels, achieving simultaneous Diels–Alder crosslinking and amoxicillin (AMOX) encapsulation under mild conditions. To evaluate the influence of porogen addition on IPN structure, drug loading and release, twenty-one formulations were developed, including AMOX loading (25% or 40% w/w relative to the polymer) and biocompatible porogens incorporation [polyethylene glycol (PEG) or sucrose at 5%, 10%, or 50% w/w]. All crosslinked IPN hydrogels formed robust gels, unlike non-crosslinked controls. Porogen choice strongly influenced hydrogel performance: PEG quadrupled the swelling index while enhancing storage modulus (up to 10,054 Pa) and complex viscosity (up to 1302 Pa·s), whereas high sucrose concentrations produced soft, ductile networks with critical strains above 20% and swelling indices up to 1895%. All hydrogels released AMOX at levels above MIC50 for H. pylori. PEG-based IPN provided superior drug delivery profiles, with extended AMOX release (t50 up to 15.5 h at pH 5.0), while sucrose-rich matrices exhibited faster burst release and disintegration. Single-step (pre-loading) AMOX during synthesis improved release control compared to post-loading. These findings highlight the potential of one-pot IPN synthesis with porogen modulation offering a promising gastroretentive platforms for sustained AMOX delivery against H. pylori. Full article
(This article belongs to the Special Issue Recent Advances in Gels for Pharmaceutical Application)
Show Figures

Graphical abstract

16 pages, 581 KB  
Article
Antimicrobial Resistance in Chicken Meat: Comparing Salmonella, Escherichia coli, and Enterococcus from Conventional and Antibiotic-Free Productions
by Camila Koutsodontis Cerqueira-Cézar, Aryele Nunes da Cruz Encide Sampaio, Evelyn Fernanda Flores Caron, Thaisy Tino Dellaqua, Lucas Franco Miranda Ribeiro, Leonardo Ereno Tadielo, José Carlos de Figueiredo Pantoja, Gustavo Guimarães Fernandes Viana, Gabriel Augusto Marques Rossi, Carlo Spanu, Fábio Sossai Possebon and Juliano Gonçalves Pereira
Microorganisms 2025, 13(10), 2227; https://doi.org/10.3390/microorganisms13102227 - 23 Sep 2025
Viewed by 448
Abstract
Chicken meat production is a critical component of the global protein supply, significantly influenced by rearing advancements, including the use of antimicrobial agents. However, the pervasive use of antibiotics has raised concerns regarding the occurrence of antimicrobial resistance (AMR). This study examined the [...] Read more.
Chicken meat production is a critical component of the global protein supply, significantly influenced by rearing advancements, including the use of antimicrobial agents. However, the pervasive use of antibiotics has raised concerns regarding the occurrence of antimicrobial resistance (AMR). This study examined the prevalence and AMR profiles of Salmonella spp., Escherichia coli, and Enterococcus spp. in chicken meat from conventional and antibiotic-free (ABF) production chains. A total of 284 samples were analyzed for Salmonella spp. and E. coli, while 164 samples were tested for Enterococcus spp. From that, 143 were from conventional production chains and 141 were from ABF chains. The results indicated a 10.9% prevalence of Salmonella spp., 22.1% for E. coli, and 93.9% for Enterococcus spp. Regarding production chains, the conventional chain had 18.2% of the isolates for Salmonella spp., 20.3% for E. coli, and 91.6% for Enterococcus spp., while the ABF chain had 3.5% of the isolates for Salmonella spp., 24.1% for E. coli, and 96.3% for Enterococcus spp. In terms of AMR, 86.1% of the Salmonella spp. isolates that underwent the disk diffusion test were resistant to at least one antibiotic tested, 95.1% of E. coli, and 88.4% of Enterococcus spp. Notably, carbapenem resistance was detected in Salmonella spp., with 2.3% of isolates being resistant to imipenem, while resistance to vancomycin and linezolid was detected in Enterococcus spp., all of which are critically important antimicrobials. Comparisons between these production chains revealed significant differences in antibiotic resistance patterns in Salmonella spp. for two antibiotics, amoxicillin/clavulanic acid and nitrofurantoin, while no differences were observed in E. coli. For Enterococcus spp., resistance varied for three antibiotics: streptomycin, penicillin, and tetracycline. For all other antibiotics tested, the resistance profiles were consistent across both conventional and ABF production chains. Multidrug resistance (MDR) was observed in 90.7% of Salmonella spp. isolates, 42.9% of E. coli isolates, and 12.0% of Enterococcus spp. isolates. Statistically significant differences were noted in MDR prevalence between production chains, with conventional production systems exhibiting higher levels of MDR isolates compared to ABF systems. These findings underscore the need for targeted AMR control strategies that consider the complexity of resistance dynamics across production systems. Full article
Show Figures

Figure 1

14 pages, 535 KB  
Article
Hepatotoxicity and Antimicrobial Resistance to Amoxicillin and Amoxicillin/Clavulanic Acid: Data Analysis from EudraVigilance
by Ilaria Ammendolia, Carmen Mannucci, Emanuela Esposito, Gioacchino Calapai, Mariaconcetta Currò, Paola Midiri, Luigi Cardia and Fabrizio Calapai
Molecules 2025, 30(18), 3825; https://doi.org/10.3390/molecules30183825 - 21 Sep 2025
Viewed by 659
Abstract
Amoxicillin is widely prescribed, either as a monotherapy or in combination with clavulanic acid, with its therapeutic indications including a broad range of infections. Its combination with clavulanic acid maintains its known activity against strains producing β-lactamase. There are limited studies on adverse [...] Read more.
Amoxicillin is widely prescribed, either as a monotherapy or in combination with clavulanic acid, with its therapeutic indications including a broad range of infections. Its combination with clavulanic acid maintains its known activity against strains producing β-lactamase. There are limited studies on adverse reactions and antibiotic resistance, with researchers relying primarily on databanks that report spontaneous events caused by amoxicillin or the combination of amoxicillin/clavulanic acid. Antimicrobial resistance is an overlooked adverse event, and pharmacovigilance databases could serve as a tool in tracking resistance. On this basis, a study to define the safety profile of amoxicillin and amoxicillin/clavulanic acid and to increase the knowledge necessary to support the battle against antimicrobial resistance was undertaken through the analysis of pharmacovigilance databases. Suspected adverse reactions to amoxicillin and to the combination of amoxicillin/clavulanic acid in the data system EudraVigilance (2020–2024) were analyzed. The most frequent alerts concerned “Skin and subcutaneous disorders” for both drugs. Disproportionate analysis of cases concerning “Hepatobiliary disorders” or “Drug inefficiency” indicates a significant increase in these alerts with the amoxicillin/clavulanic acid combination compared to amoxicillin. The amoxicillin/clavulanic acid combination has previously been associated with a higher risk of hepatotoxicity and antibiotic resistance to amoxicillin/clavulanic acid; however, this is the first time that a post-marketing surveillance study has shown that antimicrobial resistance is more likely to occur with the combination in comparison to amoxicillin alone. Full article
(This article belongs to the Section Medicinal Chemistry)
Show Figures

Figure 1

12 pages, 1601 KB  
Article
Antimicrobial Resistance of Clostridioides (Clostridium) difficile in Cambodia
by Lengsea Eng, Papanin Putsathit, Su-Chen Lim, Jessica M. Chisholm, Deirdre A. Collins, Archie C. A. Clements, Kefyalew Addis Alene and Thomas V. Riley
Antibiotics 2025, 14(9), 950; https://doi.org/10.3390/antibiotics14090950 - 19 Sep 2025
Viewed by 515
Abstract
Background/Objectives: Antimicrobial resistance (AMR) remains a major topic of interest in infectious disease management. We studied AMR in Clostridioides difficile isolated in Cambodia. Methods: Agar dilution susceptibility testing was performed according to the CLSI guidelines to determine minimal inhibitory concentrations (MICs) of 10 [...] Read more.
Background/Objectives: Antimicrobial resistance (AMR) remains a major topic of interest in infectious disease management. We studied AMR in Clostridioides difficile isolated in Cambodia. Methods: Agar dilution susceptibility testing was performed according to the CLSI guidelines to determine minimal inhibitory concentrations (MICs) of 10 antimicrobials for 192 isolates of C. difficile from four populations in Cambodia: hospitalised adults, hospitalised children, children from an outpatient department (OPD), and healthy adolescents in the community. Results: Using the CLSI MIC breakpoints for anaerobes and EUCAST breakpoints for C. difficile, all isolates were susceptible to vancomycin, metronidazole, fidaxomicin, and amoxicillin/clavulanic acid, and none were resistant to meropenem. The resistance proportions were for clindamycin, 88% (169/192); tetracycline, 50% (96/192); moxifloxacin, 20% (38/192); and rifaximin, 8% (15/192). Among the 169 clindamycin-resistant isolates, 56.8% (96/169) had an erythromycin MIC of >512 mg/L. Multidrug resistance (MDR) occurred in 20% (39/192) of the isolates, of which 82% (32/39) were non-toxigenic strains. The proportion of MDR varied between collections of isolates from different populations: 28.6% (22/77) in hospitalised adults, 29.8% (14/47) in hospitalised children, 5% (3/59) in OPD children, and none (00/07) in healthy adolescents in the community. Conclusions: C. difficile isolates from Cambodia remained susceptible to antimicrobials used to treat C. difficile infection: vancomycin, metronidazole, and fidaxomicin; however, high proportions of resistance to clindamycin and tetracycline were observed. The high number of MDR strains of C. difficile is a threat to AMR management in Cambodia and a factor contributing to the persistent spread of C. difficile in both hospital and community settings. Full article
Show Figures

Figure 1

21 pages, 1183 KB  
Article
Effect of Different Arnica montana L. Plant Parts on the Essential Oil Composition, Antimicrobial Activity, and Synergistic Interactions with Antibiotics
by Piotr Sugier, Danuta Sugier, Małgorzata Miazga-Karska, Aleksandra Nurzyńska, Beata Król, Łukasz Sęczyk and Radosław Kowalski
Molecules 2025, 30(18), 3812; https://doi.org/10.3390/molecules30183812 - 19 Sep 2025
Viewed by 467
Abstract
Arnica montana L. (mountain arnica) is a medicinal plant with diverse biological activities commonly used in pharmacy and cosmetics. The attributes of A. montana are related to e.g., the concentration and chemical composition of its essential oils (EOs). Therefore, the objective of this [...] Read more.
Arnica montana L. (mountain arnica) is a medicinal plant with diverse biological activities commonly used in pharmacy and cosmetics. The attributes of A. montana are related to e.g., the concentration and chemical composition of its essential oils (EOs). Therefore, the objective of this study was to: (i) characterize the chemical composition of EOs obtained from mountain arnica flower heads, rhizomes, and roots used as a pharmacopoeial material, (ii) demonstrate the effects of particular EO types and their combinations on antibacterial activity, and (iii) demonstrate the effect of the presence of A. montana EOs and their combinations with commercial antibiotics on their antibacterial activity. Essential oils obtained by hydrodistillation from different parts of A. montana were screened for their chemical composition and antibacterial properties. The chemical composition of the EOs was determined using the GC–MS technique. E-caryophyllene, caryophyllene oxide, germacrene D, farnesyl acetate, and dodecanal were the main components of the EO distilled from the flower heads. In turn, 2,5-dimethoxy-p-cymene, 2,6-diisopropylanisole, p-methoxyheptanophenone, and thymol methyl ether were the main molecules detected in the EO from the A. montana rhizomes and roots. The data clearly indicate that the presence of mountain arnica EO alone and in the interaction with commercial antibiotics (amoxicillin, ciprofloxacin, metronidazole) has a beneficial effect on their antibacterial activity. Full article
Show Figures

Figure 1

13 pages, 574 KB  
Article
Prevalence and Antimicrobial Resistance Trends of Canine Uropathogens in a Veterinary Teaching Hospital in Northern Italy: A 10-Year Retrospective Study (2014–2023)
by Filippo Tagliasacchi, Jari Zambarbieri, Guido Grilli, Valerio Bronzo, Emanuele Giacobbe Zampollo, Angelica Stranieri, Sara Pansecchi, Piera Anna Martino and Paola Scarpa
Vet. Sci. 2025, 12(9), 910; https://doi.org/10.3390/vetsci12090910 - 19 Sep 2025
Viewed by 690
Abstract
Urinary tract infections (UTIs) are a major driver of antimicrobial use in canine veterinary practice. The International Society for Companion Animal Infectious Diseases (ISCAID) guidelines recommend that empirical antimicrobial therapy be guided by locally updated data on pathogen prevalence and resistance patterns. This [...] Read more.
Urinary tract infections (UTIs) are a major driver of antimicrobial use in canine veterinary practice. The International Society for Companion Animal Infectious Diseases (ISCAID) guidelines recommend that empirical antimicrobial therapy be guided by locally updated data on pathogen prevalence and resistance patterns. This retrospective study analyzed 201 positive urine cultures obtained via cystocentesis from dogs at a veterinary teaching hospital in northern Italy between 2014 and 2023. The aim was to assess uropathogen distribution and antimicrobial resistance trends before and after the 2019 ISCAID guideline release. Escherichia coli was the predominant isolate (47.5%) showing stable prevalence over time. High resistance rates were observed for amoxicillin (62.4%), whereas resistance to trimethoprim–sulfamethoxazole was lower (33.6%). Importantly, resistance to amoxicillin–clavulanate declined significantly from 52.6% to 25.6% (p = 0.0002). These findings suggest amoxicillin alone may be suboptimal for empirical therapy locally, while amoxicillin–clavulanate and trimethoprim–sulfamethoxazole remain suitable first-line agents. Ongoing local surveillance is essential to support evidence-based antimicrobial stewardship. Full article
(This article belongs to the Section Veterinary Internal Medicine)
Show Figures

Figure 1

11 pages, 248 KB  
Article
Cutibacterium acnes Phylotyping and Antibiotic Resistance to Six Antibiotics: A Bulgarian Study
by Lyudmila Boyanova, Georgi Dimitrov, Vessela Raykova, Kircho Patrikov, Raina Gergova and Rumyana Markovska
Microorganisms 2025, 13(9), 2185; https://doi.org/10.3390/microorganisms13092185 - 19 Sep 2025
Viewed by 879
Abstract
Cutibacterium acnes subspecies/phylotypes can cause infections requiring antibiotic therapy. Phylotyping of 73 (55 acneic and 18 non-acneic) C. acnes strains was performed, and antibiotic susceptibility was tested by E tests, breakpoint susceptibility test, or disk diffusion method. The dominant phylotype in both acneic [...] Read more.
Cutibacterium acnes subspecies/phylotypes can cause infections requiring antibiotic therapy. Phylotyping of 73 (55 acneic and 18 non-acneic) C. acnes strains was performed, and antibiotic susceptibility was tested by E tests, breakpoint susceptibility test, or disk diffusion method. The dominant phylotype in both acneic and non-acneic strains was IA1 (56.2%). Phylotype II was >3-fold more frequent in non-acneic than acneic isolates. Resistance in acneic strains was >41% for clindamycin, 36.4% for tetracycline and 15.9% for levofloxacin, and that in non-acneic strains was >38% for clindamycin, 22.2% for tetracycline and 5.6% for levofloxacin. No strain was piperacillin/tazobactam or vancomycin resistant. Amoxicillin resistance was found in both acneic (5.4%) and non-acneic strains (11.1%), and was rare (1.8%) in phylotype I but higher (23.5%) in other strains. Double resistance was found in 32.6% of acneic and 22.2% of the non-acneic strains, and 9.3% of acneic strains displayed multidrug resistance. In conclusion, IA1 phylotype was dominant in both acneic and non-acneic strains, and type II was more frequent in non-acneic isolates. The detection (at >6%) of amoxicillin resistance represents a rare yet important finding. The presence of double/multidrug resistance strongly implies the need of susceptibility-guided therapy of the associated infections. Full article
16 pages, 12268 KB  
Article
Whole-Genome Sequencing and Antibiotic Resistance Profiling of Helicobacter pylori Isolates from a Tertiary Hospital in Southern Thailand
by Chonticha Romyasamit, Apichat Kaewdech, Pimsiri Sripongpun, Naichaya Chamroonkul, Komwit Surachat, Sirikan Suwannasin, Yosita Leepromma, Morteza Saki, Maseetoh Samaeng and Phoomjai Sornsenee
Antibiotics 2025, 14(9), 944; https://doi.org/10.3390/antibiotics14090944 - 18 Sep 2025
Viewed by 455
Abstract
Background: Helicobacter pylori is associated with a wide range of gastroduodenal diseases, including chronic gastritis, peptic ulcer disease, and gastric cancer. Eradication efforts are challenged by increasing antimicrobial resistance rates, particularly in Southeast Asia. We sequenced the whole genomes of clinical H. [...] Read more.
Background: Helicobacter pylori is associated with a wide range of gastroduodenal diseases, including chronic gastritis, peptic ulcer disease, and gastric cancer. Eradication efforts are challenged by increasing antimicrobial resistance rates, particularly in Southeast Asia. We sequenced the whole genomes of clinical H. pylori isolates from Southern Thailand to elucidate their resistance profiles, virulence determinants, and evolutionary relationships. Methods: Three clinical H. pylori isolates (004, 117, and 189) were subjected to whole-genome sequencing, phenotypic antimicrobial susceptibility testing, and comparative genomic analyses. Results: All strains exhibited high-level resistance to metronidazole. Additionally, H. pylori 117 was resistant to both amoxicillin and levofloxacin, classifying it as multidrug-resistant. Genomic analysis revealed mutations in rdxA, frxA, and rpoB, as well as in penicillin-binding protein genes (pbp2 and pbp3), supporting the phenotypic findings. While all isolates harboured clarithromycin resistance mutations (A2142G and A2143G in the 23S rRNA gene), they were phenotypically susceptible, highlighting a potential discordance that requires further investigation. Virulence gene profiling identified 115–118 conserved genes per strain, including cagA, vacA, oipA, babA, and flagellar, urease, and lipopolysaccharide biosynthesis genes. Phylogenetic analysis using core-genome single-nucleotide polymorphisms demonstrated that these strains formed a distinct Southern Thai monophyletic clade, suggesting localised clonal expansion driven by regional selective pressures. Conclusions: Region-specific surveillance strategies and treatment guidelines are urgently needed in Thailand. The combination of high-risk virulence genes and rising antimicrobial resistance in H. pylori strains necessitates tailored therapeutic approaches, the integration of genomic surveillance into clinical diagnostics, and expanded studies linking genotype to clinical outcomes in diverse populations. Full article
Show Figures

Figure 1

Back to TopTop