Asymmetric Synthesis of Tailor-Made Amino Acids Using Chiral Ni(II) Complexes of Schiff Bases. An Update of the Recent Literature
Abstract
1. Introduction
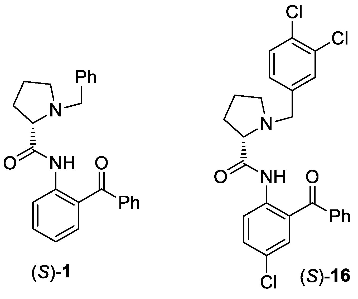
2. Large-Scale Synthesis of Chiral Ligands and Gly Schiff Base Complexes
3. Asymmetric Synthesis of α-Deuterated-α-Amino Acids
4. Alkyl Halide Alkylations
5. Preparation via Second-Order Asymmetric Transformation Control
6. Addition Reactions
7. Coupling Alkylation
8. Dynamic Kinetic Resolution
9. Miscellaneous Reactions
10. Conclusions
Author Contributions
Funding
Acknowledgments
Conflicts of Interest
References
- Soloshonok, V.A.; Cai, C.; Hruby, V.J.; Meervelt, L.V. Asymmetric Synthesis of Novel Highly Sterically Constrained (2S,3S)-3-Methyl-3-Trifluoromethyl- and (2S,3S,4R)-3-Trifluoromethyl-4-Methylpyroglutamic Acids. Tetrahedron 1999, 55, 12045–12058. [Google Scholar] [CrossRef]
- Soloshonok, V.A.; Izawa, K. Asymmetric Synthesis and Application of α-Amino Acids, ACS Symposium Series #1009; Soloshonok, V.A., Izawa, K., Eds.; Oxford University Press: Washington, DC, USA, 2009. [Google Scholar]
- Blaskovich, M.A.T. Unusual amino acids in medicinal chemistry. J. Med. Chem. 2016, 59, 10807–10836. [Google Scholar] [CrossRef] [PubMed]
- Mei, H.; Han, J.; White, S.; Graham, D.J.; Izawa, K.; Sato, T.; Fustero, S.; Meanwell, N.A.; Soloshonok, V.A. Tailor-Made Amino Acids and Fluorinated Motifs as Prominent Traits in the Modern Pharmaceuticals. Chem. Eur. J. 2020. [Google Scholar] [CrossRef]
- Mei, H.; Han, J.; Klika, K.D.; Izawa, K.; Sato, T.; Meanwell, N.A.; Soloshonok, V.A. Applications of Fluorine-Containing Amino Acids for Drug Design. Eur. J. Med. Chem. 2020, 186, 111826. [Google Scholar] [CrossRef]
- Ma, J.S. Unnatural amino acids in drug discovery. Chim. Oggi-Chem. Today 2003, 21, 65–68. [Google Scholar]
- Sato, T.; Izawa, K.; Aceña, J.L.; Liu, H.; Soloshonok, V.A. Tailor-Made α-Amino Acids in the Pharmaceutical Industry: Synthetic Approaches to (1R, 2S)-1-Amino-2-vinylcyclopropane-1-carboxylic Acid (Vinyl-ACCA). Eur. J. Org. Chem. 2016, 2016, 2757–2774. [Google Scholar] [CrossRef]
- Hodgson, D.R.W.; Sanderson, J.M. The synthesis of peptides and proteins containing non-natural amino acids. Chem. Soc. Rev. 2004, 33, 422–430. [Google Scholar] [CrossRef]
- Henninot, A.; Collins, J.C.; Nuss, J.M. The current state of peptide drug discovery: Back to the future? J. Med. Chem. 2018, 61, 1382–1414. [Google Scholar] [CrossRef]
- Fosgerau, K.; Hoffmann, T. Peptide therapeutics: Current status and future directions. Drug Discov. Today 2015, 20, 122–128. [Google Scholar] [CrossRef]
- Craik, D.J.; Fairlie, D.P.; Liras, S.; Price, D. The future of peptide-based drugs. Chem. Biol. Drug Des. 2013, 81, 136–147. [Google Scholar] [CrossRef]
- Stevenazzi, A.; Marchini, M.; Sandrone, G.; Vergani, B.; Lattanzio, M. Amino acidic scaffolds bearing unnatural side chains: An old idea generates new and versatile tools for the life sciences. Bioorg. Med. Chem. Lett. 2014, 24, 5349–5356. [Google Scholar] [CrossRef] [PubMed]
- Kim, Y.; Park, J.; Kim, M.J. Dynamic kinetic resolution of amines and amino acids by enzyme-metal cocatalysis. Chem. Cat. Chem. 2011, 3, 271–277. [Google Scholar] [CrossRef]
- So, S.M.; Kim, H.; Mui, L.; Chin, J. Mimicking nature to make unnatural amino acids and chiral diamines. Eur. J. Org. Chem. 2012, 2012, 229–241. [Google Scholar] [CrossRef]
- D’Arrigo, P.; Cerioli, L.; Servi, S.; Viani, F.; Tessaroa, D. Synergy between catalysts: Enzymes and bases. DKR of non-natural amino acids derivatives. Cat. Sci. Technol. 2012, 2, 1606–1616. [Google Scholar] [CrossRef]
- Soloshonok, V.A.; Sorochinsky, A.E. Practical methods for the synthesis of symmetrically α,α-Disubstituted-α-amino acids. Synthesis 2010, 2319–2344. [Google Scholar] [CrossRef]
- D’Arrigo, P.; Cerioli, L.; Fiorati, A.; Servi, S.; Viani, F.; Tessaroa, D. Naphthyl-l-α-amino acids via chemo-enzymatic dynamic kinetic resolution. Tetrahedron Asymmetry 2012, 23, 938–944. [Google Scholar] [CrossRef]
- Periasamy, M.; Gurubrahamam, R.; Sanjeevakumar, N.; Dalai, M.; Alakonda, L.; Reddy, P.O.; Suresh, S.; Satishkumar, S.; Padmaja, M.; Reddy, M.N.; et al. Convenient methods for the synthesis of chiral amino alcohols and amines. Chimia 2013, 67, 23–29. [Google Scholar] [CrossRef]
- Bera, K.; Namboothiri, I. Asymmetric synthesis of quaternary α-amino acids and their phosphonate analogues. Asian J. Org. Chem. 2014, 3, 1234–1260. [Google Scholar] [CrossRef]
- Metz, A.E.; Kozlowski, M.C. Recent advances in asymmetric catalytic methods for the formation of acyclic α,α-disubstituted α-amino acids. J. Org. Chem. 2015, 80, 1–7. [Google Scholar] [CrossRef]
- He, G.; Wang, B.; Nack, W.A.; Chen, G. Syntheses and transformations of α-amino acids via palladium-catalyzed auxiliary-directed sp3 C-H functionalization. Acc. Chem. Res. 2016, 49, 635–645. [Google Scholar] [CrossRef]
- Han, J.; Sorochinsky, A.E.; Ono, T.; Soloshonok, V.A. Biomimetic Transamination-a Metal-Free Alternative to the Reductive Amination. Application for Generalized Preparation of Fluorine-Containing Amines and Amino Acids. Curr. Org. Synth. 2011, 8, 281–294. [Google Scholar] [CrossRef]
- Romoff, T.T.; Ignacio, B.G.; Mansour, N.; Palmer, A.B.; Creighton, C.J.; Abe, H.; Moriwaki, H.; Han, J.; Konno, H.; Soloshonok, V.A. Large-Scale Synthesis of the Glycine Schiff Base Ni(II) Complex Derived from (S)- and (R)-N-(2-Benzoyl-4-chlorophenyl)-1-[(3,4-dichlorophenyl)methyl]-2-pyrrolidinecarboxamide. Org. Process. Res. Dev. 2020, 24, 294–300. [Google Scholar] [CrossRef]
- Han, J.; Romoff, T.T.; Moriwaki, H.; Konno, H.; Soloshonok, V.A. Development of Hamari Ligands for Practical Asymmetric Synthesis of Tailor-Made Amino Acids. ACS Omega 2019, 4, 18942–18947. [Google Scholar] [CrossRef] [PubMed]
- Belokon, Y.N.; Zel’tzer, I.E.; Bakhmutov, V.I.; Saporovskaya, M.B.; Ryzhov, M.G.; Yanovsky, A.I.; Struchkov, Y.T.; Belikov, V.M. Asymmetric synthesis of threonine and partial resolution and retroracemization of alpha.-amino acids via copper(II) complexes of their Schiff bases with (S)-2-N-(N’-benzylprolyl)aminobenzaldehyde and (S)-2-N-(N’-benzylprolyl)aminoacetophenone. Crystal and molecular structure of a copper(II) complex of glycine Schiff base with (S)-2-N-(N’-benzylprolyl)aminoacetophenone. J. Am. Chem. Soc. 1983, 105, 2010–2017. [Google Scholar]
- Belokon, Y.N.; Bulychev, A.G.; Vitt, S.V.; Struchkov, Y.T.; Batsanov, A.S.; Timofeeva, T.V.; Tsyryapkin, V.A.; Ryzhov, M.G.; Lysova, L.A.; Bakhmutov, V.I.; et al. General method of diastereo- and enantioselective synthesis of β-hydroxy-α-amino acids by condensation of aldehydes and ketones with glycine. J. Am. Chem. Soc. 1985, 107, 4252–4259. [Google Scholar] [CrossRef]
- Belokon, Y.N.; Chernoglazova, N.I.; Kochetkov, C.A.; Garbalinskaya, N.S.; Belikov, V.M. Preparation of optically pure α-methyl-α-amino acids via alkylation of the nickel(II) Schiff base of (R,S)-alanine with (S)-2-N-(N′-benzylprolyl)aminobenzaldehyde. J. Chem. Soc. Chem. Commun. 1985, 171–172. [Google Scholar] [CrossRef]
- Jörres, M.; Chen, X.; Aceña, J.L.; Merkens, C.; Bolm, C.; Liu, H.; Soloshonok, V.A. Asymmetric Synthesis of a-Amino Acids under Operationally Convenient Conditions. Adv. Synth. Catal. 2014, 356, 2203–2208. [Google Scholar] [CrossRef]
- Takeda, R.; Kawamura, A.; Kawashima, A.; Sato, T.; Moriwaki, H.; Izawa, K.; Abe, H.; Soloshonok, V.A. Second-order asymmetric transformation and its application for the practical synthesis of α-amino acids. Org. Biomol. Chem. 2018, 16, 4968–4972. [Google Scholar] [CrossRef]
- Soloshonok, V.A.; Ellis, T.K.; Ueki, H.; Ono, T. Resolution/Deracemization of Chiral α-Amino Acids Using Resolving Reagents with Flexible Stereogenic Centers. J. Am. Chem. Soc. 2009, 131, 7208–7209. [Google Scholar] [CrossRef]
- Takeda, R.; Kawamura, A.; Kawashima, A.; Sato, T.; Moriwaki, H.; Izawa, K.; Akaji, K.; Wang, S.; Liu, H.; Aceña, J.L.; et al. Chemical Dynamic Kinetic Resolution and (S)/(R)-Interconversion of Unprotected α-Amino Acids. Angew. Chem. Int. Ed. 2014, 53, 12214–12217. [Google Scholar] [CrossRef]
- Zhou, S.; Wang, J.; Chen, X.; Aceña, J.L.; Soloshonok, V.A.; Liu, H. Recyclable Ligands for the Non-Enzymatic Dynamic Kinetic Resolution of Challenging α-Amino Acids. Angew. Chem. Int. Ed. 2015, 54, 12918–12922. [Google Scholar]
- Sorochinsky, A.E.; Ueki, H.; Aceña, J.L.; Ellis, T.K.; Moriwaki, H.; Soloshonok, V.A. Chemical approach for interconversion of (S)- and (R)-α-amino acids. Org. Biomol. Chem. 2013, 11, 4503–4507. [Google Scholar] [CrossRef] [PubMed]
- Zhou, S.; Wang, J.; Chen, X.; Aceña, J.L.; Soloshonok, V.A.; Liu, H. Chemical Kinetic Resolution of Unprotected b-Substituted-b-Amino Acids Using Recyclable Chiral Ligands. Angew. Chem. Int. Ed. 2014, 53, 7883–7886. [Google Scholar] [CrossRef] [PubMed]
- Wang, J.; Lin, D.; Zhou, S.; Soloshonok, V.A.; Liu, H. Asymmetric Synthesis of Sterically Constrained Linear Trifluoromethyl Containing Amino Acids via Alkylation of Chiral Equivalents of Nucleophilic Glycine and Alanine. J. Org. Chem. 2011, 76, 684–687. [Google Scholar] [CrossRef]
- Tang, X.; Soloshonok, V.A.; Hruby, V.J. Convenient Asymmetric Synthesis of Enantiomerically Pure 2’,6’-Dimethyltyrosine (DMT) via Alkylation of Chiral Nucleophilic Glycine Equivalent. Tetrahedron: Asymmetry 2000, 11, 2917–2925. [Google Scholar] [CrossRef]
- Ellis, T.K.; Martin, C.H.; Tsai, G.M.; Ueki, H.; Soloshonok, V.A. Efficient Synthesis of Sterically Constrained Symmetrically α,α-Disubstituted α-Amino Acids under Operationally Convenient Conditions. J. Org. Chem. 2003, 68, 6208–6214. [Google Scholar] [CrossRef]
- Ellis, T.K.; Hochla, V.M.; Soloshonok, V.A. Efficient Synthesis of 2-Aminoindane-2-Carboxylic Acid via Dialkylation of Nucleophilic Glycine Equivalent. J. Org. Chem. 2003, 68, 4973–4976. [Google Scholar] [CrossRef]
- Soloshonok, V.A.; Tang, X.; Hruby, V.J.; Meervelt, L.V. Asymmetric Synthesis of α,β-Dialkyl-α-Phenylalanines via Direct Alkylation of Chiral Alanine Derivative with Racemic α-Alkylbenzylbromides. A Case of High Enantiomer Differentiation at Room Temperature. Org. Lett. 2001, 3, 341–343. [Google Scholar] [CrossRef]
- Taylor, S.M.; Yamada, T.; Ueki, H.; Soloshonok, V.A. Asymmetric Synthesis of Enantiomerically Pure 4-Aminoglutamic Acids via Methylenedimerization of Chiral Glycine Equivalents with Dichloromethane under Operationally Convenient Conditions. Tetrahedron Lett. 2004, 45, 9159–9162. [Google Scholar] [CrossRef]
- Ellis, T.K.; Martin, C.H.; Ueki, H.; Soloshonok, V.A. Efficient, Practical Synthesis of Symmetrically α,α-Disubstituted α-Amino Acids. Tetrahedron Lett. 2003, 44, 1063–1066. [Google Scholar] [CrossRef]
- Soloshonok, V.A.; Kukhar, V.P.; Galushko, S.V.; Svistunova, N.Y.; Avilov, D.V.; Kuzmina, N.A.; Raevski, N.I.; Struchkov, Y.T.; Pisarevsky, A.P.; Belokon, Y.N. General Method for the Synthesis of Enantiomerically Pure β-Hydroxy-α-Amino Acids, Containing Fluorine Atoms in the Side Chains. Case of Stereochemical Distinction Between Methyl and Trifluoromethyl Groups. X-Ray Crystal and Molecular Structure of the Nickel(II) Complex of (2S,3S)-2-(Trifluoromethyl)threonine. J. Chem. Soc. Perkin Trans. 1 1993, 3143–3155. [Google Scholar]
- Soloshonok, V.A.; Avilov, D.V.; Kukhar, V.P. Asymmetric Aldol Reactions of Trifluoromethyl Ketones with a Chiral Ni(II) Complex of Glycine: Stereocontrolling Effect of the Trifluoromethyl Group. Tetrahedron 1996, 52, 12433–12442. [Google Scholar] [CrossRef]
- Soloshonok, V.A.; Avilov, D.V.; Kukhar, V.P.; Meervelt, L.V.; Mischenko, N. Highly Diastereoselective aza-Aldol Reactions of a Chiral Ni(II) Complex of Glycine with Imines. An Efficient Asymmetric Approach to 3-Perfluoroalkyl-2,3-Diamino Acids. Tetrahedron Lett. 1997, 38, 4671–4674. [Google Scholar] [CrossRef]
- Kawamura, A.; Moriwaki, H.; Röschenthaler, G.-V.; Kawada, K.; Aceña, J.L.; Soloshonok, V.A. Synthesis of (2S,3S)-β-(trifluoromethyl)-α,β-diamino acid by Mannich addition of glycine Schiff base Ni(II) complexes to N-tert-butylsulfinyl-3,3,3-trifluoroacetaldimine. J. Fluorine Chem. 2015, 171, 67–72. [Google Scholar] [CrossRef]
- Soloshonok, V.A.; Avilov, D.V.; Kukhar, V.P.; Meervelt, L.V.; Mischenko, N. An Efficient Asymmetric Synthesis of (2S,3S)-3-Trifluoromethylpyroglutamic Acid. Tetrahedron Lett. 1997, 38, 4903–4904. [Google Scholar] [CrossRef]
- Soloshonok, V.A.; Cai, C.; Hruby, V.J. Asymmetric Michael Addition Reactions of Chiral Ni(II) Complex of Glycine with N-(Enoyl)oxazolidinones: Improved Reactivity and Stereochemical Outcome. Tetrahedron: Asymmetry 1999, 10, 4265–4269. [Google Scholar] [CrossRef]
- Zhou, S.; Wang, S.; Wang, J.; Nian, Y.; Peng, P.; Soloshonok, V.A.; Liu, H. Configurationally Stable (S)- and (R)-α-Methylproline-Derived Ligands for the Direct Chemical Resolution of Free Unprotected β3-Amino Acids. Eur. J. Org. Chem. 2018, 1821–1832. [Google Scholar] [CrossRef]
- Konno, H.; Han, J.L.; Moriwaki, H.; Oyama, K.; Soloshonok, V.A. Synthesis of Ahod moiety of ralstonin A using amino acid Schiff base Ni(II)-complex chemistry. Helv. Chim. Acta 2020. [Google Scholar] [CrossRef]
- Yamada, T.; Okada, T.; Sakaguchi, K.; Ohfune, Y.; Ueki, H.; Soloshonok, V.A. Efficient Asymmetric Synthesis of Novel 4-Substituted and Configurationally Stable Analogs of Thalidomide. Org. Lett. 2006, 8, 5625–5628. [Google Scholar] [CrossRef]
- Soloshonok, V.A.; Cai, C.; Hruby, V.J. Toward Design of a Practical Methodology for Stereocontrolled Synthesis of χ-Constrained Pyroglutamic Acids and Related Compounds. Virtually Complete Control of Simple Diastereoselectivity in the Michael Addition Reactions of Glycine Ni(II) Complexes with N-(Enoyl)oxazolidinones. Tetrahedron Lett. 2000, 41, 135–139. [Google Scholar]
- Yamada, T.; Sakaguchi, K.; Shinada, T.; Ohfune, Y.; Soloshonok, V.A. Efficient asymmetric synthesis of the functionalized pyroglutamate core unit common to oxazolomycin and neooxazolomycin using Michael reaction of nucleophilic glycine Schiff base with α,β-disubstituted acrylate. Tetrahedron: Asymmetry 2008, 19, 2789–2795. [Google Scholar] [CrossRef]
- Sorochinsky, A.E.; Aceña, J.L.; Moriwaki, H.; Sato, T.; Soloshonok, V.A. Asymmetric synthesis of α-amino acids via homologation of Ni(II) complexes of glycine Schiff bases; Part 1: Alkyl halide alkylations. Amino Acids 2013, 45, 691–718. [Google Scholar] [CrossRef] [PubMed]
- Sorochinsky, A.E.; Aceña, J.L.; Moriwaki, H.; Sato, T.; Soloshonok, V.A. Asymmetric synthesis of α-amino acids via homologation of Ni(II) complexes of glycine Schiff bases. Part 2: Aldol, Mannich addition reactions, deracemization and (S) to (R) interconversion of α-amino acids. Amino Acids 2013, 45, 1017–1033. [Google Scholar] [CrossRef] [PubMed]
- Aceña, J.L.; Sorochinsky, A.E.; Soloshonok, V.A. Asymmetric synthesis of α-amino acids via homologation of Ni(II) complexes of glycine Schiff bases. Part 3: Michael addition reactions and miscellaneous transformations. Amino Acids 2014, 46, 2047–2073. [Google Scholar] [CrossRef]
- Aceña, J.L.; Sorochinsky, A.E.; Moriwaki, H.; Sato, T.; Soloshonok, V.A. Synthesis of fluorine-containing α-amino acids in enantiomerically pure form via homologation of Ni(II) complexes of glycine and alanine Schiff bases. J. Fluorine Chem. 2013, 155, 21–38. [Google Scholar] [CrossRef]
- Popkov, A.; De Spiegeleer, B. Chiral nickel (II) complexes in the preparation of 11C- and 18F-labelled enantiomerically pure α-amino acids. Dalton Trans. 2012, 41, 1430–1440. [Google Scholar] [CrossRef]
- Wang, Y.; Song, X.; Wang, J.; Moriwaki, H.; Soloshonok, V.A.; Liu, H. Recent approaches for asymmetric synthesis of α-amino acids via homologation of Ni(II) complexes. Amino Acids 2017, 49, 1487–1520. [Google Scholar] [CrossRef]
- Romoff, T.T.; Palmer, A.B.; Mansour, N.; Creighton, C.J.; Miwa, T.; Ejima, Y.; Moriwaki, H.; Soloshonok, V.A. Scale-up Synthesis of (R)- and (S)-N-(2-Benzoyl-4-chlorophenyl)-1-(3,4-dichlorobenzyl)pyrrolidine-2-carboxamide Hydrochloride, A Versatile Reagent for the Preparation of Tailor-Made α- and β-Amino Acids in an Enantiomerically Pure Form. Org. Process. Res. Dev. 2017, 21, 732–739. [Google Scholar] [CrossRef]
- Moriwaki, H.; Kawashima, A.; Takeda, R.; Kawamura, A.; Soloshonok, V.A. Method for Synthesizing Optically Activeα-AminoAcid Using Chiral Metal Complex Comprising Axially Chiral N-(2-Acylaryl)-2-[5,7-Dihydro-6H-Dibenzo[c,e]Azepin-6-yl]AcetamideCompound and Amino Acid. U.S. Patent 9,695,112, 4 July 2017. [Google Scholar]
- Takahashi, M.; Moriwaki, H.; Miwa, T.; Hoang, B.; Wang, P.; Soloshonok, V.A. Large Scale Synthesis of Chiral (3Z,5Z)-2,7-Dihydro-1H-azepine-Derived Hamari Ligand for General Asymmetric Synthesis of Tailor-Made Amino Acids. Org. Process. Res. Dev. 2019, 23, 619–628. [Google Scholar] [CrossRef]
- Takeda, R.; Abe, H.; Shibata, N.; Moriwaki, H.; Izawa, K.; Soloshonok, V.A. Asymmetric synthesis of α-deuterated α-amino acids. Org. Biomol. Chem. 2017, 15, 6978–6983. [Google Scholar] [CrossRef]
- Mei, H.; Hiramatsu, T.; Takeda, R.; Moriwaki, H.; Abe, H.; Han, J.; Soloshonok, V.A. Expedient asymmetric synthesis of (S)-2-amino-4,4,4-trifluorobutanoic acid via alkylation of chiral nucleophilic glycine equivalent. Org. Process. Res. Dev. 2019, 23, 629–634. [Google Scholar] [CrossRef]
- Han, J.; Takeda, R.; Liu, X.; Konno, H.; Abe, H.; Hiramatsu, T.; Moriwaki, H.; Soloshonok, V.A. Preparative Method for Asymmetric Synthesis of (S)-2-Amino-4, 4, 4-trifluorobutanoic Acid. Molecules 2019, 24, 4521. [Google Scholar] [CrossRef] [PubMed]
- Mei, H.; Yin, Z.; Miwa, T.; Moriwaki, H.; Abe, H.; Han, J.; Soloshonok, V.A. Convenient Asymmetric Synthesis of Fmoc-(S)-6,6,6-Trifluoro-Norleucine. Symmetry 2019, 11, 578. [Google Scholar] [CrossRef]
- Yin, Z.; Moriwaki, H.; Abe, H.; Miwa, T.; Han, J.; Soloshonok, V.A. Large-Scale Asymmetric Synthesis of Fmoc-(S)-2-Amino-6,6,6-Trifluorohexanoic Acid. ChemistryOpen 2019, 8, 701–704. [Google Scholar] [CrossRef] [PubMed]
- Yamamoto, J.; Kawashima, A.; Kawamura, A.; Abe, H.; Moriwaki, H.; Shibata, N.; Soloshonok, V.A. Operationally Convenient and Scalable Asymmetric Synthesis of (2S)- and (2R)-α-(Methyl)cysteine Derivatives through Alkylation of Chiral Alanine Schiff Base NiII Complexes. Eur. J. Org. Chem. 2017, 2017, 1931–1939. [Google Scholar] [CrossRef]
- Li, B.; Zhang, J.; Xu, Y.; Yang, X.; Li, L. Improved synthesis of unnatural amino acids for peptide stapling. Tetrahedron Lett. 2017, 58, 2374–2377. [Google Scholar] [CrossRef]
- Takeda, R.; Kawashima, A.; Yamamoto, J.; Sato, T.; Moriwaki, H.; Izawa, K.; Abe, H.; Soloshonok, V.A. Tandem Alkylation−Second-Order Asymmetric Transformation Protocol for the Preparation of Phenylalanine-Type Tailor-Made α-Amino Acids. ACS Omega 2018, 3, 9729–9737. [Google Scholar] [CrossRef]
- Watson, M.E.; Jamieson, C.; Kennedy, A.R.; Mason, A.M. A reappraisal of the Ni-[(Benzylprolyl)amino]benzophenone complex in the synthesis of α,α-disubstituted amino acid derivatives. Tetrahedron 2019, 75, 130485. [Google Scholar] [CrossRef]
- Mahindra, A.; Millard, C.J.; Black, I.; Archibald, L.J.; Schwabe, J.W.R.; Jamieson, A.G. Synthesis of HDAC Substrate Peptidomimetic Inhibitors Using Fmoc Amino Acids Incorporating Zinc-Binding Groups. Org. Lett. 2019, 21, 3178–3182. [Google Scholar] [CrossRef]
- Vuong, W.; Mosquera-Guagua, F.; Sanichar, R.; McDonald, T.R.; Ernst, O.P.; Wang, L.; Vederas, J.C. Synthesis of Chiral Spin-Labeled Amino Acids. Org. Lett. 2019, 21, 10149–10153. [Google Scholar] [CrossRef]
- Tong, J.; Zhao, L.; Li, H.; Wu, C.; Han, X.; Wang, J.; Liu, H. Construction of highly enantiopure β,β-diaryl substituted glycine containing two contiguous stereocenters via asymmetric 1,6-conjugate addition. Tetrahedron 2018, 74, 3755–3760. [Google Scholar] [CrossRef]
- Zhao, L.; Zhou, S.; Tong, J.; Wang, J.; Liu, H. Asymmetric Synthesis of Chiral Trifluoromethyl Containing Heterocyclic Amino Acids. Chin. J. Chem. 2017, 35, 1540–1548. [Google Scholar] [CrossRef]
- Levitskiy, O.A.; Grishin, Y.K.; Semivrazhskaya, O.O.; Ambartsumyan, A.A.; Kochetkov, K.A.; Magdesieva, T.V. Individual (f,tA)- and (f,tC)-Fullerene-Based Nickel(II) Glycinates: Protected Chiral Amino Acids Directly Linked to a Chiral π-Electron System. Angew. Chem. Int. Ed. 2017, 56, 2704–2708. [Google Scholar] [CrossRef] [PubMed]
- Larionov, V.A.; Savel’yeva, T.F.; Medvedev, M.G.; Stoletova, N.V.; Smol’yakov, A.F.; Gugkaeva, Z.T.; Cruchter, T.; Maleev, V.I. The Selective N-Functionalization of Indoles via aza-Michael Addition in the Ligand Sphere of a Chiral Nickel(II) Complex: Asymmetric Synthesis of (S)-1H-Indole-Alanine Derivatives. Eur. J. Org. Chem. 2019, 3699–3703. [Google Scholar] [CrossRef]
- Kukhar, V.P.; Sorochinsky, A.E.; Soloshonok, V.A. Practical synthesis of fluorine-containing α-and β-amino acids: Recipes from Kiev, Ukraine. Future Med. Chem. 2009, 1, 793–819. [Google Scholar] [CrossRef] [PubMed]
- Soloshonok, V.A. Highly Diastereoselective Michael Addition Reactions between Nucleophilic Glycine Equivalents and β-substituted-α,β-Unsaturated Carboxylic acid Derivatives; a General Approach to the Stereochemically Defined and Sterically χ-Constrained α-Amino Acids. Curr. Org. Chem. 2002, 6, 341–364. [Google Scholar] [CrossRef]
- Dave, R.; Bader, B.; Meffre, P. G-Fluorinated analogues of glutamic acid and glutamine. Amino Acids 2003, 24, 245–261. [Google Scholar] [CrossRef]
- Soloshonok, V.A.; Cai, C.; Hruby, V.J.; Meervelt, L.V.; Mischenko, N. Stereochemically Defined C-Substituted Glutamic Acids and their Derivatives. 1. An Efficient Asymmetric Synthesis of (2S,3S)-3-Methyl- and -3-Trifluoromethylpyroglutamic Acids. Tetrahedron 1999, 55, 12031–12044. [Google Scholar] [CrossRef]
- Sorochinsky, A.; Voloshin, N.; Markovsky, A.; Belik, M.; Yasuda, N.; Uekusa, H.; Ono, T.; Berbasov, D.O.; Soloshonok, V.A. Convenient Asymmetric Synthesis of β-Substituted α,α-Difluoro-β-Amino Acids via Reformatsky Reaction between Davis’ N-Sulfinylimines and Ethyl Bromodifluoroacetate. J. Org. Chem. 2003, 68, 7448–7454. [Google Scholar] [CrossRef]
- Ueki, H.; Ellis, T.K.; Martin, H.C.; Soloshonok, V.A. Efficient Large-Scale Synthesis of Picolinic Acid Derived Ni(II)-Complexes of Glycine. Eur. J. Org. Chem. 2003, 1954–1957. [Google Scholar] [CrossRef]
- Tokairin, Y.; Soloshonok, V.A.; Konno, H.; Moriwaki, H.; Röschenthaler, G.-V. Convenient synthesis of racemic 4,4-difluoro glutamic acid derivatives via Michael-type additions of Ni(II)-complex of dehydroalanine Schiff bases. J. Fluorine Chem. 2019, 227, 109376. [Google Scholar] [CrossRef]
- Tokairin, Y.; Shigeno, Y.; Han, J.; Röschenthaler, G.-V.; Konno, H.; Moriwaki, H.; Soloshonok, V.A. Asymmetric Synthesis of 4,4-(Difluoro)glutamic Acid via Chiral Ni(II)-Complexes of Dehydroalanine Schiff Bases. Effect of the Chiral Ligands Structure on the Stereochemical Outcome. ChemistryOpen 2020, 9, 93–96. [Google Scholar] [CrossRef] [PubMed]
- Inoue, M.; Shinohara, N.; Tanabe, S.; Takahashi, T.; Okura, K.; Itoh, H.; Mizoguchi, Y.; Iida, M.; Lee, N.; Matsuoka, M. Total synthesis of the large non-ribosomal peptide polytheonamide B. Nature Chem. 2010, 2, 280–285. [Google Scholar] [CrossRef]
- Cai, C.; Soloshonok, V.A.; Hruby, V.J. Michael addition reaction between chiral Ni(II) complex of glycine and 3-(trans-enoyl)ozazolidin-2-ones. A cases of electron donor-acceptor attractive interaction-controlled face diastereoselectivity. J. Org. Chem. 2001, 66, 1339–1350. [Google Scholar] [CrossRef]
- Soloshonok, V.A.; Cai, C.; Hruby, V.J. A unique case of face diastereoselectivity in the Michael addition reactions between Ni(II)-complexes of glycine and chiral 3-(E-enoyl)-1,3-oxazolidin-2-one. Tetrahedron Lett. 2001, 41, 9645–9649. [Google Scholar] [CrossRef]
- Stierhof, M.; Hansen, K.Ø.; Sharma, M.; Feusssner, K.; Subko, K.; Díaz-Rullo, F.F.; Isaksson, J.; Perez-Victoria, I.; Clarkeg, D.; Hansen, E.; et al. New cytotoxic callipeltins from the Solomon Island marine sponge Asteropus sp. Tetrahedron 2016, 72, 6929–6934. [Google Scholar] [CrossRef]
- Tokairin, Y.; Soloshonok, V.A.; Moriwaki, H.; Konno, H. Asymmetric synthesis of (2S,3S)-3-Me-glutamine and (R)-allo-threonine derivatives proper for solid-phase peptide coupling. Amino Acids 2019, 51, 419–432. [Google Scholar] [CrossRef] [PubMed]
- Saghyan, A.S.; Mkrtchyan, A.F.; Mardiyan, Z.Z.; Hayriyan, L.A.; Belokon, Y.N.; Langer, P. Synthesis of Enantiomerically Enriched Non-Proteinogenic α-Amino Acids Using the Suzuki Reaction. ChemistrySelect 2019, 4, 4686–4688. [Google Scholar] [CrossRef]
- Rahman, Y.A.; Podolin, P.L.; Carpenter, D.C.; Jin, Q.; Riflade, B.; Dong, X.; Nevins, N.; Keller, P.M.; Mitchell, L.; Tomaszek, T. Azepanone-based inhibitors of human cathepsin S: Optimization of selectivity via the P2 substituent. Bioorg. Med. Chem. Lett. 2011, 21, 4409. [Google Scholar]
- Risgaard, R.; Nielsen, S.D.; Hansen, K.B.; Jensen, C.M.; Nielsen, B.; Traynelis, S.F.; Clausen, R.P.J. Development of 2′-Substituted (2S,1′R,2′S)-2-(Carboxycyclopropyl)glycine Analogues as Potent N-Methyl-d-aspartic Acid Receptor Agonists. Med. Chem. 2013, 56, 4071. [Google Scholar] [CrossRef][Green Version]
- Larionov, V.A.; Stoletova, N.V.; Kovalev, V.I.; Smol’yakov, A.F.; Savel’yeva, T.F.; Maleev, V.I. A general synthesis of unnatural α-amino acids by iron-catalysed olefin–olefin coupling via generated radicals. Org. Chem. Front. 2019, 6, 1094. [Google Scholar] [CrossRef]
- Levitskiy, O.A.; Grishin, Y.K.; Magdesieva, T.V. Stereoselective Electrosynthesis of beta-Hydroxy-α-Amino Acids in the Form of NiII-Schiff-Base Complexes. Eur. J. Org. Chem. 2019, 3174–3182. [Google Scholar] [CrossRef]
- Jäckel, C.; Seufert, W.; Thust, S.; Koksch, B. Evaluation of the molecular interactions of fluorinated amino acids with native polypeptides. ChemBioChem 2004, 5, 717–720. [Google Scholar]
- Jaäckel, C.; Salwiczek, M.; Koksch, B. Fluorine in a native protein environment how the spatial demand and polarity of fluoroalkyl groups affect protein folding. Angew. Chem. Int. Ed. 2006, 45, 4198–4203. [Google Scholar] [CrossRef]
- Chiu, H.P.; Suzuki, Y.; Gullickson, D.; Ahmad, R.; Kokona, B.; Fairman, R.; Cheng, R.P. Helix propensity of highly fluorinated amino acids. J. Am. Chem. Soc. 2006, 128, 15556–15557. [Google Scholar] [CrossRef]
- Chiu, H.P.; Kokona, B.; Fairman, R.; Cheng, R.P. Effect of highly fluorinated amino acids on protein stability at a solvent-exposed position on an internal strand of protein G B1 domain. J. Am. Chem. Soc. 2009, 131, 13192–13193. [Google Scholar] [CrossRef]
- Salwiczek, M.; Koksch, B. Effects of fluorination on the folding kinetics of a heterodimeric coiled coil. ChemBioChem 2009, 10, 2867–2870. [Google Scholar] [CrossRef]
- Vagt, T.; Nyakatura, E.; Salwiczek, M.; Jaeckel, C.; Koksch, B. Toward identifying preferred interaction partners of fluorinated amino acids within the hydrophobic environment of a dimeric coiled coil peptide. Org. Biomol. Chem. 2010, 8, 1382–1386. [Google Scholar] [CrossRef]
- Nyakatura, E.K.; Reimann, O.; Vagt, T.; Salwiczek, M.; Koksch, B. Accommodating fluorinated amino acids in a helical peptide environment. RSC Adv. 2013, 3, 6319–6322. [Google Scholar] [CrossRef]
- Völler, J.S.; Dulic, M.; Gerling-Driessen, U.I.M.; Biava, H.; Baumann, T.; Budisa, N.; Gruic-Sovulj, I.; Koksch, B. Discovery and investigation of natural editing function against artificial amino acids in protein translation. ACS Cent. Sci. 2017, 3, 73–80. [Google Scholar] [CrossRef]
- Buer, B.C.; Chugh, J.; Al-Hashimi, H.M.; Marsh, E.N.G. Using fluorine nuclear magnetic resonance to probe the interaction of membrane-active peptides with the lipid bilayer. Biochemistry 2010, 49, 5760–5765. [Google Scholar] [CrossRef] [PubMed]
- De Kort, D.W.; Rombouts, W.H.; Hoeben, F.J.M.; Janssen, H.M.; Van As, H.; van Duynhoven, J.P.M. Scaling Behavior of Dendritic Nanoparticle Mobility in Semidilute Polymer Solutions. Macromolecules 2015, 48, 7585–7591. [Google Scholar] [CrossRef]
- Soini, J.; Falschlehner, C.; Liedert, C.; Bernhardt, J.; Vuoristo, J.; Neubauer, P. Norvaline is accumulated after a down-shift of oxygen in Escherichia coli W3110. Microb. Cell Fact. 2008, 7, 30. [Google Scholar] [CrossRef]
- Graham, D.W.; Ashton, W.T.; Barash, L.; Brown, J.E.; Brown, R.D.; Canning, L.F.; Chen, A.; Springer, J.P.; Rogers, E.F. Inhibition of the mammalian β-lactamase renal dipeptidase (dehydropeptidase- I) by Z-2-(acylamino)-3-substituted-propenoic acids. J. Med. Chem. 1987, 30, 1074–1090. [Google Scholar] [CrossRef] [PubMed]
- Tsushima, T.; Kawada, K.; Ishihara, S.; Uchida, N.; Shiratori, O.; Higaki, J.; Hirata, M. Fluorinecontaining amino acids and their derivatives. 7. Synthesis and antitumor activity of α- and γ-substituted methotrexate analogs. Tetrahedron 1988, 44, 5375–5387. [Google Scholar] [CrossRef]
- Ojima, I.; Jameison, F.A.; Pete, B.; Radunz, H.; Schittenhelm, C.; Lindner, H.J.; Emith, A.E. Design, synthesis and enzyme inhibitory activities of new trifluoromethyl-containing inhibitors for angiotensin converting enzyme. Drug Des. Discov. 1994, 11, 91–113. [Google Scholar]
- Hartman, M.C.T.; Josephson, K.; Szostak, J.W. Enzymatic aminoacylation of tRNA with unnatural amino acids. Proc. Natl. Acad. Sci. USA 2006, 103, 4356–4361. [Google Scholar] [CrossRef]
- Shan, W.; Balog, A.; Quesnelle, C.; Gill, P.; Han, W.C.; Norris, D.; Mandal, S.; Thiruvenkadam, R.; Gona, K.B.; Thiyagarajan, K.; et al. BMS-871: A novel orally active pan-Notch inhibitor as an anticancer agent. Bioorg. Med. Chem. Lett. 2015, 25, 1905–1909. [Google Scholar] [CrossRef]
- Zhang, Y.K.; Plattner, J.J.; Easom, E.E.; Jacobs, R.T.; Guo, D.; Freund, Y.R.; Berry, P.; Ciaravino, V.; Erve, J.C.L.; Rosenthal, P.J.; et al. Benzoxaborole Antimalarial Agents. Part 5. Lead Optimization of Novel Amide Pyrazinyloxy Benzoxaboroles and Identification of a Preclinical Candidate. J. Med. Chem. 2017, 60, 5889–5908. [Google Scholar] [CrossRef]
- Oba, T.; Yamamoto, Y.; Nomiyama, S.; Suenaga, H.; Muta, S.; Tashiro, K.; Kuhara, S. Properties of a trifluoroleucine-resistant mutant of Saccharomyces cerevisiae. Biosci. Biotechnol. Biochem. 2006, 70, 1776–1779. [Google Scholar] [CrossRef]
- Mei, H.; Han, J.L.; Takeda, R.; Sakamoto, T.; Miwa, T.; Minamitsuji, Y.; Moriwaki, H.; Abe, H.; Soloshonok, V.A. Practical Method for Preparation of (S)-2-Amino-5,5,5-trifluoropentanoic Acid via Dynamic Kinetic Resolution. ACS Omega 2019, 4, 11844–11851. [Google Scholar] [CrossRef] [PubMed]
- Maximilian Bremerich, Carsten Bolm, Gerhard Raabe, and Vadim, A. Soloshonok Design, Synthesis, and Evaluation of N-(tert-Butyl)-Alanine-Derived Chiral Ligands-Aspects of Reactivity and Diastereoselectivity in the Reactions with α-Amino Acids. Eur. J. Org. Chem. 2017, 3211–3221.
- Samant, M.P.; White, R.; Hong, D.J.; Croston, G.; Conn, P.M.; Janovick, J.A.; Rivier, J. Structure−Activity Relationship Studies of Gonadotropin-Releasing Hormone Antagonists Containing S-Aryl/Alkyl Norcysteines and Their Oxidized Derivatives. J. Med. Chem. 2007, 50, 2067–2077. [Google Scholar] [CrossRef][Green Version]
- Repine, J.T.; Kaltenbronn, J.S.; Doherty, A.M.; Hamby, J.M.; Himmelsbach, R.J.; Kornberg, B.E.; Taylor, M.D.; Lunney, E.A.; Humblet, C.; Rapundalo, S.T.; et al. Renin inhibitors containing.alpha-heteroatom amino acids as P2 residues. J. Med. Chem. 1992, 35, 1032–1042. [Google Scholar] [CrossRef]
- Li, J.; Song, X.; Zhou, S.; Wang, J.; Liu, H. Asymmetric Synthesis of Chiral α-Substituted Mercaptoglycine Derivatives via α-Sulfenylation of Ni(II) Complex of Glycine and S-Substituted 4-Methylbenzenesulfonothioate. Chin. J. Chem. 2017, 35, 1383–1390. [Google Scholar] [CrossRef]
- Levitskiy, O.A.; Grishin, Y.K.; Paseshnichenko, K.A.; Kochetkov, K.A.; Magdesieva, T.V. Stereoselective electrochemical thioalkylation of glycine in Ni(II) coordination environment. Tetrahedron Lett. 2018, 59, 2831–2834. [Google Scholar] [CrossRef]
- Larionov, V.A.; Adonts, H.V.; Gugkaeva, Z.T.; Smol’yakov, A.F.; Saghyan, A.S.; Miftakhov, M.S.; Kuznetsova, S.A.; Maleev, V.I.; Belokon, Y.N. The Elaboration of a General Approach to the Asymmetric Synthesis of 1,4-Substituted 1,2,3-Triazole Containing Amino Acids via Ni(II) Complexes. ChemistrySelect 2018, 3, 3107–3110. [Google Scholar] [CrossRef]
- Collet, S.; Bauchat, P.; Danion-Bougot, R.; Danion, D. Stereoselective, nonracemic synthesis of ω-borono-α-amino acids. Tetrahedron Asymmetry 1998, 9, 2121–2131. [Google Scholar] [CrossRef]
- Nian, Y.; Wang, J.; Moriwaki, H.; Soloshonok, V.A.; Liu, H. Analysis of crystallographic structures of Ni(II) complexes of α-amino acid Schiff bases: Elucidation of the substituent effect on stereochemical preferences. Dalton Trans. 2017, 46, 4191–4198. [Google Scholar] [CrossRef]
- Han, J.L.; Jean, M.; Roussel, C.; Moriwaki, H.; Soloshonok, V.A. Chromatographic approach to study the configurational stability of Ni(II) complexes of amino-acid Schiff bases possessing stereogenic nitrogen. Chirality 2019, 31, 328–335. [Google Scholar] [CrossRef]
- Mei, H.; Jean, M.; Albalat, M.; Vanthuyne, N.; Roussel, C.; Moriwaki, H.; Yin, Z.; Han, J.L.; Soloshonok, V.A. Effect of substituents on the configurational stability of the stereogenic nitrogen in metal (II) complexes of α-amino acid Schiff bases. Chirality 2019, 31, 401–409. [Google Scholar] [CrossRef] [PubMed]
- Nagaoka, K.; Mei, H.; Guo, Y.; Han, J.; Konno, H.; Moriwaki, H.; Soloshonok, V.A. Michael addition reactions of chiral glycine Schiff base Ni (II)-complex with 1-(1-phenylsulfonyl)benzene. Chirality 2020, 32, 855–893. [Google Scholar] [CrossRef] [PubMed]
- Zhou, R.; Pan, Z.; Zhang, Y.; Wu, F.; Jiang, Q.; Guo, L. Base-Promoted Synthesis of β-Substituted-Tryptophans via a Simple and Convenient Three-Component Condensation of Nickel(II) Glycinate. Molecules 2017, 22, 695. [Google Scholar] [CrossRef]
- Wang, J.; Ji, X.; Shi, J.; Sun, H.; Jiang, H.; Liu, H. Diastereoselective Michael reaction of chiral nickel(II) glycinate with nitroalkenes for asymmetric synthesis of β-substituted α,γ-diaminobutyric acid derivatives in water. Amino Acids 2012, 42, 1685–1694. [Google Scholar] [CrossRef]
- Yang, Z.F.; Xu, C.; Zheng, X.; Zhang, X. Nickel-catalyzed carbodifunctionalization of N-vinylamides enables access to γ-amino acids. Chem. Commun. 2020, 56, 2642–2645. [Google Scholar] [CrossRef]
- Gorteau, V.; Bollot, G.; Mareda, J.; Pasini, D.; Tran, D.H.; Lazar, A.N.; Coleman, A.W.; Sakai, N.; Matile, S. Synthetic multifunctional pores that open and close in response to chemical stimulation. Bioorg. Med. Chem. 2005, 13, 5171–5180. [Google Scholar] [CrossRef] [PubMed]
- Baudry, Y.; Pasini, D.; Nishihara, M.; Sakai, N.; Matile, S. The depth of molecular recognition: Voltage-sensitive blockage of synthetic multifunctional pores with refined architecture. Chem. Commun. 2005, 4798–4800. [Google Scholar] [CrossRef] [PubMed]



















































© 2020 by the authors. Licensee MDPI, Basel, Switzerland. This article is an open access article distributed under the terms and conditions of the Creative Commons Attribution (CC BY) license (http://creativecommons.org/licenses/by/4.0/).
Share and Cite
Zou, Y.; Han, J.; Saghyan, A.S.; Mkrtchyan, A.F.; Konno, H.; Moriwaki, H.; Izawa, K.; Soloshonok, V.A. Asymmetric Synthesis of Tailor-Made Amino Acids Using Chiral Ni(II) Complexes of Schiff Bases. An Update of the Recent Literature. Molecules 2020, 25, 2739. https://doi.org/10.3390/molecules25122739
Zou Y, Han J, Saghyan AS, Mkrtchyan AF, Konno H, Moriwaki H, Izawa K, Soloshonok VA. Asymmetric Synthesis of Tailor-Made Amino Acids Using Chiral Ni(II) Complexes of Schiff Bases. An Update of the Recent Literature. Molecules. 2020; 25(12):2739. https://doi.org/10.3390/molecules25122739
Chicago/Turabian StyleZou, Yupiao, Jianlin Han, Ashot S. Saghyan, Anna F. Mkrtchyan, Hiroyuki Konno, Hiroki Moriwaki, Kunisuke Izawa, and Vadim A. Soloshonok. 2020. "Asymmetric Synthesis of Tailor-Made Amino Acids Using Chiral Ni(II) Complexes of Schiff Bases. An Update of the Recent Literature" Molecules 25, no. 12: 2739. https://doi.org/10.3390/molecules25122739
APA StyleZou, Y., Han, J., Saghyan, A. S., Mkrtchyan, A. F., Konno, H., Moriwaki, H., Izawa, K., & Soloshonok, V. A. (2020). Asymmetric Synthesis of Tailor-Made Amino Acids Using Chiral Ni(II) Complexes of Schiff Bases. An Update of the Recent Literature. Molecules, 25(12), 2739. https://doi.org/10.3390/molecules25122739

