Next Article in Journal
Dual Insecticidal Effects of Adenanthera pavonina Kunitz-Type Inhibitor on Plodia interpunctella is Mediated by Digestive Enzymes Inhibition and Chitin-Binding Properties
Next Article in Special Issue
The Generation of Indole-2,3-quinodimethanes from the Deamination of 1,2,3,4-Tetrahydropyrrolo[3,4-b]indoles
Previous Article in Journal
Plant-Mediated Enantioselective Transformation of Indan-1-one and Indan-1-ol. Part 2
Previous Article in Special Issue
[b]-Annulated Halogen-Substituted Indoles as Potential DYRK1A Inhibitors
 
 
Font Type:
Arial Georgia Verdana
Font Size:
Aa Aa Aa
Line Spacing:
Column Width:
Background:
Article

Synthesis of Bis-Glyoxylamide Peptidomimetics Derived from Bis-N-acetylisatins Linked at C5 by a Methylene or Oxygen Bridge

1
Department of Chemistry, Faculty of Mathematics and Natural Sciences, Sebelas Maret University, Jl. Ir. Sutami 36A Surakarta, Jawa Tengah 57126, Indonesia
2
School of Chemistry, The University of New South Wales, Sydney, NSW 2052, Australia
3
Solid State and Elemental Analysis Unit, Mark Wainwright Analytical Centre, Division of Research, The University of New South Wales, Sydney, NSW 2052, Australia
*
Author to whom correspondence should be addressed.
Molecules 2019, 24(23), 4343; https://doi.org/10.3390/molecules24234343
Submission received: 29 October 2019 / Revised: 20 November 2019 / Accepted: 22 November 2019 / Published: 27 November 2019
(This article belongs to the Special Issue Indole Derivatives: Synthesis and Application)

Abstract

The bis-glyoxylamide peptidomimetics have been synthesized from bis-N-acetylisatins linked at C5 by ring-opening with alcohols, amines, and amino acid methyl ester hydrochlorides. X-ray images of single crystals of bis-glyoxylamide peptidomimetics have been obtained.

1. Introduction

Many peptides show strong biological activities and are considered as a potential source of therapeutic agents. Prior work in this field has been well reviewed and describes examples of bioactive compounds [1,2]. However, their use as therapeutics has some limitations, such as poor absorption, low bioavailability, inability to cross cell membranes, and in vivo instability [3,4]. To address these issues, peptidomimetics are designed by mimicking existing peptide structures and/or function but whose backbone is not only based on α-amino acids. The modification of the peptide backbone by incorporation of a large range of non-proteinogenic amino acids enhances the proteolytic stability of the molecules, increasing their function as drugs against diseases, such as viral and bacterial infections, cancer and autoimmune diseases. Thus, synthesis of such peptidomimetics is a critical and promising approach in the development of novel pharmaceutical compounds [5,6,7,8,9,10,11,12,13].
Our group has reported libraries of mono-glyoxylamides derived from N-acylisatins [14,15,16]. Acyclic and cyclic glyoxamide derivatives resulting from ring-opening reactions of N-chloroacetylisatins expressed quorum sensing (QS) inhibition activity against P. aeruginosa MH602 and E. coli MT102 [17]. The ring-opening reactions of N-naphthoylisatins with amines and amino acids have been examined to give guanidine-embedded amphipathic glyoxamide-based peptidomimetics and the example of methyl {2-[2-(2-naphthylamido)phenyl]-2-oxoacetyl}arginylargininate dihydrochloride demonstrated the greatest disruption of established biofilms by 60–65% in S. aureus, P. aeruginosa, and S. marcescens [18]. Related N-sulfonylphenylglyoxamide derivatives have been synthesized as small molecular antimicrobial peptide (AMP) mimics by ring-opening reactions of N-sulfonylisatins with N,N-dimethylethane-1,2-diamine or N,N-dimethylpropane-1,3-diamine and were converted into their hydrochloride or iodide salts [19].
In our previous research, we reported the synthesis of bis-glyoxylamide peptidomimetics from oxalyl-bis-isatins and bis-acylisatins linked through their carbonyl groups and some analogs showed potent QS inhibitory activity against Gram-positive bacteria [20,21]. In order to expand the library of bis-glyoxylamides, we have designed novel bis-glyoxylamide peptidomimetics from bis-N-acetylisatins linked at C5. In this study, we synthesized bis-N-acetylisatins linked by a C5 methylene or oxygen bridge and their nucleophilic ring-opening reactions were examined with alcohols, amines, and amino acid methyl ester hydrochlorides.

2. Results and Discussion

2.1. Synthesis of bis-N-acetylisatins

The bis-isatyl methane 5 and the bis-isatyl ether 6 have been reported many years ago, but without any spectroscopic information [22,23,24]. Therefore, details of our modified syntheses are included here. As a starting point, the intermediate bis-isonitrosoacetanilide 3 was synthesized by applying the Sandmeyer isonitrosoacetanilide isatin synthesis [25]. The starting material of methylene bridged, 4,4’-methylenedianiline 1 was initially dissolved in aqueous hydrochloric acid and heated in the presence of chloral hydrate and hydroxylamine. The product crystallized out after being left overnight at room temperature and was recrystallized from ethyl acetate to give bis-isonitrosoacetanilide 3 in 10% yield as yellow crystals. A consideration of the mechanism shows the generation of a large amount of HCl in the reaction. Therefore, in an attempt to increase the yield, the concentrated HCl solvent was replaced by dioxane. The 4,4’-methylenedianiline 1 was dissolved in the minimum amount of 1,4-dioxane instead of hydrochloric acid and this led to the successful synthesis of the target bis-isonitrosoacetanilide 3 to 55% yield (Scheme 1).
The reaction was continued by dissolving bis-isonitrosoacetanilide 3 in concentrated sulfuric acid and stirring the solution to afford the bis-isatin 5 in high yield (88%). The bis-isatin 5 was then suspended in acetic anhydride and heated at reflux to generate the target bis-N-acetylisatin 7 in 64% yield. In the 1H NMR spectrum of compound 7, the two CH3 groups resonated as a singlet that integrated for 6H at δ 2.59, the CH2 appeared as a singlet at δ 4.11 and the aromatic protons resonated as a singlet at δ 7.69, a doublet of doublet at δ 7.73, and a doublet at δ 8.85.
In the same manner, the structurally similar bis-N-acetylisatins 8 with oxygen as the linkage was generated from 4,4’-oxydianiline 2. The ring closure of intermediate bis-isonitrosoacetanilide 4 gave bis-isatin 6 in 83% yield. The targeted bis-N-acetylisatin 8 was obtained in 55% yield by acetylating bis-isatin 6 with acetic anhydride (Scheme 1). Following the synthesis of bis-N-acetylisatins 7 and 8, their nucleophilic ring-opening reactions were then carried out with alcohols, amines and amino acid methyl ester hydrochlorides, in order to generate the new class of peptide mimics.

2.2. Ring-Opening Reactions of bis-N-acetylisatins with Alcohols

The ring-opening reactions of bis-N-acetylisatins 7 and 8 were initially examined with the alcohols MeOH and EtOH. Bis-N-acetylisatin 7 was dissolved in anhydrous methanol and the solution was stirred for 24 h at room temperature. The resulting yellow crystals were recrystallized with some loss to give methyl bis-glyoxylacetate 9 in 34% yield (Scheme 2). 1H NMR spectrum of bis-glyoxylacetate 9 revealed three singlets at δ 3.89, 3.90, and 10.91 corresponding to CH3, CH2, and two NH protons, respectively. The resonances of aromatic protons appeared as a singlet at δ 7.37 and two doublets at δ 7.35 and 8.66.
The analogous reaction with ethanol did not show the formation of any new products over 24 h, as confirmed by TLC analysis. Thus, the reaction mixture was heated at reflux for 3 h and during that time the solution turned dark yellow. A yellow solid precipitated upon cooling to room temperature and was recrystallized to give bis-glyoxylacetate 10 in 51% as yellow crystals. The analogous reactions of the bis-N-acetylisatin 8 afforded the bis-glyoxylacetates 11 and 12.

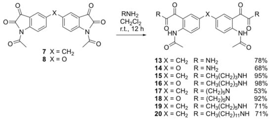
2.3. Ring-Opening Reactions of bis-N-acetylisatins with Amines

The primary and secondary amines, butylamine and piperidine, were reacted with the bis-N-acetylisatins 7 and 8 by stirring the reaction mixtures for 5 h at room temperature. The bis-glyoxylamide products 1518 were obtained in yields of 53–98% (Scheme 3). In the 1H NMR spectrum of bis-glyoxylamide 15, the CH2 linkage was present as a singlet at δ 3.91, the butylamine carbon chain resonated as four multiplets at δ 0.86–0.88, 1.28–1.35, 1.47–1.52, and 3.28–3.32, the aromatic protons appeared as a doublet of doublets at δ 7.33 and two doublets at δ 8.07 and 8.50, and four NH protons resonated as two singlets at δ 6.81 and 10.79.
The ring-opening reactions of bis-N-acetylisatins 8 using primary amines with longer alkyl chains, such as hexylamine and dodecylamine were also investigated, but these reactions did not proceed at room temperature. However, by heating the reaction mixtures at reflux overnight the bis-glyoxylamide products 19 and 20 were obtained as yellow solids in moderate yields.

2.4. Ring-Opening Reactions of bis-N-acetylisatins with Amino Acid Methyl Esters

The reaction mixtures of bis-N-acetylisatins 7 and 8 with amino acid methyl ester hydrochloride salts and sodium hydrogen carbonate in dichloromethane or acetonitrile at room temperature overnight gave the corresponding bis-glyoxylamide peptide mimics 2130 in yields of 26–80% as yellow solids (Scheme 4, Table 1). The 1H NMR spectrum of compound 25 was typical for these peptide mimics and revealed two singlet peaks at δ 7.94 and 10.87, which integrated for 2H each and corresponded to the four NH groups. The valine subunit was identified by two multiplets and one doublet at δ 0.86–0.92, 2.16–2.21, and 4.54 which corresponded to the four methyl groups, the α-proton and the β-proton, respectively. The aromatic protons appeared as a multiplet at δ 7.31–7.41 and a doublet at δ 8.51.
The bis-glyoxylamide peptidomimetics were recrystallized from a range of solvents via slow evaporation of the solvent at room temperature. Crystals suitable for X-ray crystallography were successfully obtained for compounds 2224 from methanol. Single crystal X-ray structure determination was carried out on compounds 2224.
Figure 1 shows the Oak Ridge Thermal Ellipsoid Plot (ORTEP) diagrams for the molecules 22 and for 23 and 24 (only one of the diastereoisomers similar to 22 is shown). In all the compounds, the bulky substituents, probably to avoid a steric clash, adopt trans positions with respect to each other. The side chains are orientationally disordered in 22 and 24, while this is not observed in the structure of 23 that contains heavy sulfur atom. The core of the structure is well ordered. Strong intramolecular N-H···O hydrogen bonds (shown as dotted lines in Figure 1) maintain the planarity of each half of the molecule. Weaker intramolecular C-H···O (C6-H···O1) contacts restrict the planarity of these moieties. However, the overall molecular framework is angled because of the central CH2 link.
There is only one molecule in the asymmetric unit of 22 in orthorhombic space group P21212, whereas there are two molecules (diastereoisomers) in the asymmetric unit of 23 as well as in 24 in monoclinic space group C2 (Figure 2). The ring-opening reaction takes place with retention of configuration, as shown by optical rotation measurements. One point that establishes this issue unambiguously is the space group in which these compounds have crystallized. They are all chiral space groups (P2(1)2(1)2 and two in C2), which by the absence of mirror (or glide) symmetry, allow only one of the enantiomers.

3. Materials and Methods

Melting points were measured using a Reichert microscope (Gallenkamp hot stage apparatus; Mettler-Toledo Ltd, Sydney, Australia) and are uncorrected. Infrared spectra were recorded with a Thermo Nicolet 370 FTIR spectrometer with the sample prepared as a KBr pellet. NMR data were recorded using a Bruker DPX300 instrument (1H 300 MHz, 13C 75.6 MHz) (Bruker Pty Ltd, Preston, Victoria, Australia) at 25 °C and reported as chemical shift (δ) relative to SiMe4. High resolution mass spectrometric analysis was carried out at the Biomedical Mass Spectrometry Facility, UNSW, and the spectra were recorded on Q-TOF Ultima API (Micromass; Waters, Rydalmere, NSW, Australia). Gravity column chromatography was carried out using Merck 230–400 mesh ASTM silica gel. Supplementary Materials contains NMR spectroscopic data.
N,N’-[4,4’-bis(4,1-phenylene)] bis [2-(hydroxyimino)acetamide]methylene (3). Concentrated sodium sulfate aqueous solution (175 mL) and a solution of 4,4′-methylenedianiline 1 (10 g, 50.4 mmol) in dioxane (15 mL) was added to a stirred solution of chloral hydrate (18.5 g, 126.1 mmol) in water (175 mL). The reaction mixture was heated slowly to 75 °C until a yellow precipitate was formed. A solution of hydroxylamine hydrochloride (8.8 g, 126.7 mmol) in water (55 mL) was then added into the resulting suspension. The temperature was increased to 75 °C and the reaction mixture was stirred for a further 2 h. The reaction mixture was cooled to room temperature and left to stand overnight. The crude product was collected by filtration and recrystallized from ethyl acetate to give the title compound as yellow crystals (9.44 g, 55%); mp 272–274 °C; IR (KBr): υmax 3194, 2919, 2613, 1675, 1606, 1547, 1510, 1443, 1412, 1252, 1100, 1023, 999, 820, 765, 622, 510 cm−1; 1H NMR (DMSO-d6, 300 MHz): δ 12.13 (bs, 2H, 2 x OH) (disappears on D2O exchange), 10.14 (bs, 2H, 2 x NH) (disappears on D2O exchange), 7.65 (s, 2H, 2 x CHNOH), 7.59 (d, J = 8.5 Hz, 4H, ArH), 7.16 (d, J = 8.7 Hz, 4H, ArH), 3.85 (s, 2H, ArCH2Ar); 13C NMR (DMSO-d6, 75.6 MHz): δ 160.4 (CO), 144.4 (CHNOH), 137.2 (ArC), 136.8 (ArC), 129.2 (ArC), 120.3 (ArC), 40.2 (ArCH2Ar); HRMS (+ESI) m/z [M + Na]+ calcd for C17H16N4NaO4: 363.1069; found: 363.1055.
N,N’-[4,4’-bis(4,1-phenylene)]bis [2-(hydroxyimino)acetamide]oxide (4). This compound was prepared by the same method as compound 3 from 4,4′-oxydianiline 2 (10 g, 50.0 mmol) as orange needles (11.8 g, 69%); mp 221–223 °C; IR (KBr): υmax 3185, 2931, 2622, 1669, 1596, 1521, 1510, 1433, 1410, 1232, 1096, 1021, 1000, 822, 764, 619 cm−1; 1H NMR (DMSO-d6, 300 MHz): δ 12.22 (bs, 2H, 2 x OH) (disappears on D2O exchange), 10.22 (bs, 2H, 2 x NH) (disappears on D2O exchange), 7.69 (d, J = 9.0 Hz, 4H, ArH), 7.67 (s, 2H, 2 x CHNOH), 6.99 (d, J = 9.0 Hz, 4H, ArH); 13C NMR (DMSO-d6, 75.6 MHz): δ 153.2 (ArC), 160.4 (CO), 144.4 (CHNOH), 137.2 (ArC), 121.9 (ArC), 119.1 (ArC); HRMS (+ESI) m/z [M + Na]+ calcd for C16H14N4NaO5: 365.0862; found: 365.0851.
5,5’-Methylenediindoline-2,3-dione (5). Compound 3 (5 g, 14.7 mmol) in small portions at 60 °C was added to concentrated sulfuric acid (20 mL). The deep red reaction mixture was stirred at 60 °C for a further 30 min. Chilled water (100 mL) was added to quench the reaction. The title compound was collected by filtration as a red solid (3.96 g, 88%); mp > 300 °C; IR (KBr): υmax 3450, 3109, 1622, 1472, 1271, 1200, 1141, 906, 833, 745, 731, 711, 660, 622 cm1; 1H NMR (DMSO-d6, 300 MHz): δ 10.99 (bs, 2H, 2 x NH) (disappears on D2O exchange), 7.51 (dd, J = 1.8, 8.1 Hz, 2H, ArH), 7.42 (s, 2H, ArH), 6.86 (d, J = 8.2 Hz, 2H, ArH), 3.89 (s, 2H, ArCH2Ar); 13C NMR (DMSO-d6, 75.6 MHz): δ 184.8 (COCONH), 159.8 (COCONH), 149.4 (ArC), 138.9 (ArC), 136.2 (ArC), 124.9 (ArC), 118.3 (ArC), 112.7 (ArC), 39.3 (ArCH2Ar); HRMS (+ESI) m/z [M + Na]+ calcd for C17H10N2NaO4: 329.0538; found: 329.0541.
5,5’-Oxydiindoline-2,3-dione (6). This compound was prepared by the same method as compound 8 from compound 4 (5.0 g, 14.6 mmol) as a red solid (4.02 g, 83%); mp > 300 °C; IR (KBr): υmax 3457, 3111, 1743, 1621, 1472, 1199, 1145, 907, 839, 744, 712, 660, 623 cm1; 1H NMR (DMSO-d6, 300 MHz): δ 11.02 (bs, 2H, 2 x NH) (disappears on D2O exchange), 7.30 (dd, J = 2.6, 2H, 8.5 Hz, ArH), 7.09 (s, 2H, ArH), 6.93 (d, J = 8.5 Hz, 2H, ArH); 13C NMR (DMSO-d6, 75.6 MHz): δ 184.4 (COCONH), 159.9 (COCONH), 149.4 (ArC), 147.1 (ArC), 129.0 (ArC), 118.9 (COCONH), 114.7 (ArC), 114.0 (ArC); HRMS (+ESI) m/z [M + Na]+ calcd for C16H8N2NaO4: 331.0331; found: 331.0318.
Bis(1-acetylindoline-2,3-dione)methylene (7). A suspension of compound 5 (2 g, 6.5 mmol) in acetic anhydride (30 mL) was heated to reflux for 4 h. The deep red solution was cooled to room temperature. The excess acetic anhydride was removed under vacuum. The resulting brown oily residue was redissolved in ethyl acetate (20 mL) and washed with water (2 × 20 mL) and brine (2 × 20 mL). The organic layer was dried over anhydrous sodium sulfate and concentrated under vacuum. The crude product was purified by flash column chromatography (dichloromethane) to yield the title compound as a bright yellow solid (1.63 g, 64%); mp 289–291 °C; IR (KBr): υmax 1785, 1712, 1756, 1617, 1588, 1481, 1443, 1371, 1346, 1306, 1294, 1250, 1227, 1201, 1168, 1124, 1042, 996, 659, 598 cm1; 1H NMR (CDCl3, 300 MHz): δ 8.22 (d, J = 8.5 Hz, 2H, ArH), 7.73 (dd, J = 1.9, 8.5 Hz, 2H, ArH), 7.69 (s, 2H, ArH), 4.11 (s, 2H, ArCH2Ar), 2.59 (s, 6H, 2 x COCH3); 13C NMR (CDCl3, 75.6 MHz): δ 180.5 (COCONH), 170.0 (COCH3), 158.7 (COCONH), 146.8 (ArC), 138.3 (ArC), 124.5 (ArC), 124.5 (ArC), 120.5 (ArC), 117.8 (ArC), 39.2 (ArCH2Ar), 26.3 (COCH3); HRMS (+ESI) m/z [M + Na]+ calcd for C21H14N2NaO6: 413.0750; found: 413.0713.
5,5’-Bis(1-acetylindoline-2,3-dione)oxide (8). This compound was prepared by the same method as compound 7 from compound 6 (2.0 g, 6.5 mmol) as a bright yellow solid (1.40 g, 55%); mp > 300 °C; IR (KBr): υmax 3429, 1783, 1747, 1702, 1617, 1470, 1371, 1330, 1312, 1293, 1266, 1241, 1156, 850, 599, 468 cm1; 1H NMR (CDCl3, 300 MHz): δ 8.31 (d, J = 9.2 Hz, 2H, ArH), 7.51 (dd, J = 2.9, 8.9 Hz, 2H, ArH), 7.31 (s, 2H, ArH), 2.57 (s, 6H, 2 x COCH3); 13C NMR (CDCl3, 75.6 MHz): δ 179.9 (COCONH), 170.0 (COCH3), 158.6 (COCONH), 154.1 (ArC), 144.4 (ArC), 128.3 (ArC), 121.8 (ArC), 119.7 (ArC), 113.9 (ArC), 26.2 (COCH3); HRMS (+ESI) m/z [M + Na]+ calcd for C20H12N2NaO7: 415.0542; found: 415.0526.
Dimethyl 2,2’-[5,5’-bis(2-acetamido-5,1-phenylene)]bis(2-oxoacetate)methylene (9). A solution of compound 7 (0.15 g, 0.38 mmol) in anhydrous methanol (20 mL) was stirred at room temperature for 24 h. A massive yellow precipitate formed. The crude compound was collected by filtration and recrystallized from n-hexane/DCM to afford the title compound as a yellow solid (0.059 g, 34%); mp 162–164 °C; IR (KBr): υmax 3303, 1747, 1733, 1702, 1652, 1595, 1528, 1420, 1340, 1295, 1250, 1226, 1160, 1013 cm1; 1H NMR (CDCl3, 300 MHz): δ 10.91 (bs, 2H, 2 x NH) (disappears on D2O exchange), 8.66 (d, J = 8.7 Hz, 2H, ArH), 7.37 (s, 2H, ArH), 7.35 (d, J = 2.1 Hz, 2H, ArH), 3.90 (s, 2H, ArCH2Ar), 3.89 (s, 6H, 2 x COOCH3), 2.18 (s, 6H, 2 x COCH3); 13C NMR (CDCl3, 75.6 MHz): δ 190.4 (COCH3), 169.8 (COCOO), 164.1 (COCOO), 141.7 (ArC), 138.0 (ArC), 134.5 (ArC), 133.6 (ArC), 121.6 (ArC), 117.6 (ArC), 53.4 (COOCH3), 40.2 (ArCH2Ar), 25.9 (COCH3); HRMS (+ESI) m/z [M + Na]+ calcd for C23H22N2NaO8: 477.1274; found: 477.1243.
Diethyl 2,2’-[5,5’-bis(2-acetamido-5,1-phenylene)]bis(2-oxoacetate)methylene (10). A solution of compound 7 (0.15 g, 0.38 mmol) in absolute ethanol (20 mL) was heated to reflux for 12 h. The reaction mixture was allowed to cool to room temperature and a massive yellow precipitate formed. The crude compound was collected by filtration and recrystallized from n-hexane/DCM to afford the title compound as a yellow solid (0.095 g, 51%); mp 162–164 °C; IR (KBr): υmax 3317, 1749, 1738, 1705, 1648, 1617, 1590, 1493, 1399, 1367, 1295, 1243, 1211, 1089, 1007 cm1; 1H NMR (CDCl3, 300 MHz): δ 11.02 (bs, 2H, 2 x NH) (disappears on D2O exchange), 8.73 (d, J = 9.0 Hz, 2H, ArH), 7.44 (s, 2H, ArH), 7.42 (dd, J = 2.2, 9.0 Hz, 2H, ArH), 4.41 (q, J = 7.2 Hz, 4H, 2 x CH2CH3), 3.97 (s, 2H, ArCH2Ar), 2.24 (s, 6H, 2 x COCH3), 1.35 (t, J = 7.1 Hz, 6H, 2 x CH2CH3); 13C NMR (CDCl3, 75.6 MHz): δ 190.2 (COCH3), 169.3 (COCOO), 163.3 (COCOO), 141.2 (ArC), 137.4 (ArC), 134.0 (ArC), 133.1 (ArC), 121.1 (ArC), 117.1 (ArC), 62.6 (CH2CH3), 39.7 (ArCH2Ar), 25.4 (OCH3), 13.9 (CH2CH3); HRMS (+ESI) m/z [M + Na]+ calcd for C25H26N2NaO8: 505.1587; found: 505.1572.
Dimethyl 2,2’-[5,5’-bis(2-acetamido-5,1-phenylene)]bis(2-oxoacetate)oxide (11). Compound 11 was prepared by the same method as compound 9 from compound 8 (0.15 g, 0.38 mmol) as a white solid (0.129 g, 74%); mp 159–161 °C; IR (KBr): υmax 3456, 1750, 1737, 1704, 1655, 1587, 1520, 1488, 1410, 1286, 1257, 1237, 1217, 1154, 1016, 970, 783 cm1; 1H NMR (CDCl3, 300 MHz): δ 10.82 (bs, 2H, 2 x NH) (disappears on D2O exchange), 8.72 (d, J = 9.1 Hz, 2H, ArH), 7.32 (d, J = 2.7 Hz, 2H, ArH), 7.22 (dd, J = 2.9, 9.2 Hz, 2H, ArH), 3.89 (s, 6H, 2 x COOCH3), 2.19 (s, 6H, 2 x COCH3); 13C NMR (CDCl3, 75.6 MHz): δ 189.6 (COCH3), 169.7 (COCOO), 163.7 (COCOO), 151.3 (ArC), 139.2 (ArC), 127.7 (ArC), 123.2 (ArC), 122.9 (ArC), 118.6 (ArC), 53.6 (COOCH3), 25.9 (COCH3); HRMS (+ESI) m/z [M + H]+ calcd for C22H21N2O9: 457.1247; found: 457.1230.
Diethyl 2,2’-[5,5’-bis(2-acetamido-5,1-phenylene)]bis(2-oxoacetate)oxide (12). Compound 12 was prepared by the same method as compound 10 from compound 8 (0.15 g, 0.38 mmol) as a yellow solid (0.143 g, 77%); mp 104–106 °C; IR (KBr): υmax 3307, 2965, 1745, 1655, 1589, 1520, 1437, 1411, 1372, 1267, 1217, 1282, 1160, 1011, 842 cm1; 1H NMR (CDCl3, 300 MHz): δ 10.92 (bs, 2H, 2 x NH) (disappears on D2O exchange), 8.79 (d, J = 9.3 Hz, 2H, ArH), 7.37 (d, J = 2.7 Hz, 2H, ArH), 7.35 (dd, J = 2.9, 9.3 Hz, 2H, ArH), 4.41 (q, J = 7.2 Hz, 4H, 2 x CH2CH3), 2.25 (s, 6H, 2 x COCH3), 1.36 (t, J = 7.1 Hz, 6H, 2 x CH2CH3); 13C NMR (CDCl3, 75.6 MHz): δ 189.6 (COCH3), 169.3 (COCOO), 162.9 (COCOO), 151.0 (ArC), 138.8 (ArC), 127.3 (ArC), 122.8 (ArC), 122.4 (ArC), 118.2 (ArC), 62.9 (CH2CH3), 25.4 (OCH3), 14.0 (CH2CH3); HRMS (+ESI) m/z [M + Na]+ calcd for C24H24N2NaO9: 507.1380; found: 507.1360.
N,N’-{4,4’-bis-[2-(2-acetamidophenyl)-2-oxoacetamide]}methylene (13). To a solution of compound 7 (0.15 g, 0.38 mmol) in dichloromethane (20 mL) was added concentrated ammonia solution (10 mL). The reaction mixture was stirred at room temperature for 30 min. A massive white precipitate formed. The crude product was collected by filtration and purified by recrystallization from methanol to yield the title compound 13 as a white solid (0.127 g, 78%); mp 229–232 °C; IR (KBr): υmax 3310, 2933, 1692, 1641, 1588, 1522, 1466, 1411, 1359, 1310, 1279, 1201, 1177, 1132, 987, 900, 826, 735, 591 cm1; 1H NMR (DMSO-d6, 300 MHz): δ 10.50 (bs, 2H, 2 x NH) (disappears on D2O exchange), 7.79 (s, 4H, 2 x NH2) (disappears on D2O exchange), 8.01 (s, 2H, ArH), 7.50 (d, J = 1.9 Hz, 2H, ArH), 7.44 (dd, J = 2.1, 8.5 Hz, 2H, ArH), 3.99 (s, 2H, ArCH2Ar), 2.04 (s, 6H, 2 x COCH3); 13C NMR (DMSO-d6, 75.6 MHz): δ 169.2 (COCONH2), 192.6 (COCH3), 166.3 (COCONH2), 137.4 (ArC), 136.4 (ArC), 134.8 (ArC), 131.8 (ArC), 124.3 (ArC), 122.3 (ArC), 40.0 (ArCH2Ar), 24.5 (OCH3); HRMS (+ESI) m/z [M + Na]+ calcd for C21H20N4NaO6: 447.1281; found: 447.1252.
N,N’-{4,4’-bis-[2-(2-acetamidophenyl)-2-oxoacetamide]}oxide (14). Compound 14 was prepared by the same method as compound 13 from compound 8 (0.15 g, 0.38 mmol) as a white solid (0.108 g, 66%); mp 183–186 °C; IR (KBr): υmax 3309, 2940, 2859, 1701, 1639, 1588, 1521, 1463, 1416, 1368, 1326, 1285, 1237, 1215, 1181, 1165, 1142, 991, 942, 842, 753, 637 cm1; 1H NMR (DMSO-d6, 300 MHz): δ 10.36 (bs, 2H, 2 x NH) (disappears on D2O exchange), 8.00 (s, 2H, ArH), 7.74 (s, 4H, 2 x NH2) (disappears on D2O exchange), 7.50 (d, J = 1.7 Hz, 2H, ArH), 7.12 (dd, J = 1.7, 8.0 Hz, 2H, ArH), 2.14 (s, 6H, 2 x COCH3); 13C NMR (DMSO-d6, 75.6 MHz): δ 193.4 (COCH3), 169.5 (COCONH2), 166.2 (COCONH2), 137.1 (ArC), 136.3 (ArC), 130.9 (ArC), 128.9 (ArC), 120.5 (ArC), 113.2 (ArC), 26.1 (OCH3); HRMS (+ESI) m/z [M + Na]+ calcd for C20H18N4NaO7: 449.1073; found: 447.1059.
N,N’-{4,4’-bis-[2-(2-acetamidophenyl)-N-butyl-2-oxoacetamide]}methylene (15). A solution of n-butylamine (0.20 mL, 2.0 mmol) in anhydrous dichloromethane (20 mL)was added to a stirred solution of compound 7 (0.15 g, 0.38 mmol) in anhydrous dichloromethane (30 mL). The reaction mixture was stirred at room temperature for 12 h. The organic layer was diluted with dichloromethane (30 mL) and extracted in aqueous hydrochloric acid (0.5 M, 2 × 40 mL) and water (3 x 40 mL). The organic layer was dried over anhydrous sodium sulfate and concentrated under vacuum. The crude compound was purified by gravity column chromatography (dichloromethane-ethyl acetate/3:1) to afford the title compound 15 as a yellow solid (0.196 g, 95%); mp 144–148 °C; IR (KBr): υmax 3309, 2960, 1681, 1650, 1582, 1507, 1402, 1371, 1320, 1288, 1253, 1222, 1180, 1134, 1006, 833, 700 cm1; 1H NMR (CDCl3, 300 MHz): δ 10.79 (bs, 2H, 2 x NH) (disappears on D2O exchange), 8.50 (d, J = 8.7 Hz, 2H, ArH), 8.07 (d, J = 2.0 Hz, 2H, ArH), 7.33 (dd, J = 2.0, 8.6 Hz, 2H, ArH), 6.81 (bs, 2H, 2 x NH butylamine) (disappears on D2O exchange), 3.91 (s, 2H, ArCH2Ar), 3.31 (dd, J = 6.8, 13.2 Hz, 4H, 2 x CH2CH2), 2.14 (s, 6H, 2 x COCH3), 1.47–1.52 (m, 4H, 2 x CH2CH2CH2CH3), 1.28–1.35 (m, 4H, 2 x CH2CH3), 0.87 (t, J = 7.6 Hz, 6H, 2 x CH3); 13C NMR (CDCl3, 75.6 MHz): δ 192.4 (COCH3), 169.5 (COCONH), 163.2 (COCONH), 140.9 (ArC), 137.4 (ArC), 134.9 (ArC), 134.7 (ArC), 121.6 (ArC), 119.4 (ArC), 40.4 (ArCH2Ar), 39.8 (CH2CH2CH2), 31.7 (CH2CH2CH2), 25.8 (OCH3), 20.4 (CH2CH2CH3), 14.1 (CH3); HRMS (+ESI) m/z [M + Na]+ calcd for C29H36N4NaO6: 559.2533; found: 559.2513.
N,N’-{4,4’-bis-[2-(2-acetamidophenyl)-N-butyl-2-oxoacetamide]}oxide (16). Compound 16 was prepared by the same method as compound 15 from compound 8 (0.15 g, 0.38 mmol) and n-butylamine (0.20 mL, 2.0 mmol) as a yellow solid (0.202 g, 98%); mp 188–191 °C; IR (KBr): υmax 3311, 2960, 1686, 1656, 1589, 1513, 1406, 1370, 1324, 1286, 1264, 1222, 1181, 1162, 1008, 847, 699 cm1; 1H NMR (CDCl3, 300 MHz): δ 10.75 (bs, 2H, 2 x NH) (disappears on D2O exchange), 7.99 (d, J = 3.0 Hz, 2H, ArH), 8.58 (d, J = 9.3 Hz, 2H, ArH), 7.25 (dd, J = 3.4, 9.1 Hz, 2H, ArH), 6.97 (bs, 2H, 2 x NH butylamine) (disappears on D2O exchange), 3.34 (dd, J = 6.9, 13.2 Hz, 4H, 2 x CH2CH2), 2.21 (s, 6H, 2 x COCH3), 1.51–1.56 (m, 4H, 2 x CH2CH2CH2CH3), 1.32–1.39 (m, 4H, 2 x CH2CH3), 0.91 (t, J = 7.2 Hz, 6H, 2 x CH3); 13C NMR (CDCl3, 75.6 MHz): δ 191.3 (COCH3), 169.0 (COCONH), 162.4 (COCONH), 151.2 (ArC), 137.7 (ArC), 126.8 (ArC), 123.4 (ArC), 122.7 (ArC), 120.2 (ArC), 39.4 (CH2CH2CH2), 31.2 (CH2CH2CH2), 25.3 (OCH3), 20.0 (CH2CH2CH3), 13.7 (CH3); HRMS (+ESI) m/z [M + Na]+ calcd for C28H34N4NaO7: 561.2325; found: 561.2300.
N,N’-[4,4’-bis-(N-{2-[2-oxo-2-(piperidin-1-yl)acetyl]phenyl}acetamide)]methylene (17). Compound 17 was prepared by the same method as compound 15 from compound 7 (0.15 g, 0.38 mmol) and piperidine (0.20 mL, 2.0 mmol) as a yellow solid (0.114 g, 53%); mp 181–183 °C; IR (KBr): υmax 2939, 2859, 1701, 1642, 1591, 1520, 1451, 1412, 1367, 1326, 1298, 1251, 1182, 1136, 988, 851, 784, 752 cm1; 1H NMR (CDCl3, 300 MHz): δ11.15 (bs, 2H, 2 x NH) (disappears on D2O exchange), 8.66 (d, J = 8.8 Hz, 2H, ArH), 7.35 (dd, J = 1.8, 8.7 Hz, 2H, ArH), 7.28 (d, J = 1.8 Hz, 2H, ArH), 3.89 (s, 2H, ArCH2Ar), 3.55 (t, J = 5.5 Hz, 4H, 2 x NCH2), 3.13 (t, J = 5.5 Hz, 4H, 2 x NCH2), 2.18 (s, 6H, 2 x COCH3), 1.51–1.57 (m, 8H, 2 x CH2CH2CH2CH2CH2), 1.29–1.38 (m, 4H, 2 x CH2CH2CH2); 13C NMR (CDCl3, 75.6 MHz): δ 196.4 (COCH3), 169.8 (COCON), 164.5 (COCON), 141.3 (ArC), 137.6 (ArC), 135.0 (ArC), 133.6 (ArC), 121.4 (ArC), 118.5 (ArC), 47.5 (NCH2), 42.5 (NCH2), 40.1 (ArCH2Ar), 25.7 (NCH2CH2), 25.9 (OCH3), 25.7 (NCH2CH2), 24.6 (CH2CH2CH2); HRMS (+ESI) m/z [M + Na]+ calcd for C31H36N4NaO6: 583.2533; found: 583.2493.
N,N’-[4,4’-bis-(N-{2-[2-oxo-2-(piperidin-1-yl)acetyl]phenyl}acetamide)]oxide (18). Compound 18 was prepared by the same method as compound 15 from compound 8 (0.15 g, 0.38 mmol) and piperidine (0.20 mL, 2.0 mmol) as a yellow solid (0.198 g, 92%); mp 158–160 °C; IR (KBr): υmax 3444, 3288, 1682, 1557, 1489, 1415, 1371, 1335, 1303, 1289, 1253, 1126, 929, 839, 669, 617, 559 cm1; 1H NMR (CDCl3, 300 MHz): δ 11.08 (bs, 2H, 2 x NH) (disappears on D2O exchange), 8.75 (d, J = 8.8 Hz, 2H, ArH), 7.23 (dd, J = 2.8, 9.1 Hz, 2H, ArH), 7.20 (d, J = 1.9 Hz, 2H, ArH), 3.58 (t, J = 5.3 Hz, 4H, 2 x NCH2), 3.23 (t, J = 5.3 Hz, 4H, 2 x NCH2), 2.22 (s, 6H, 2 x COCH3), 1.63–1.65 (m, 4H, 2 x CH2CH2CH2), 1.51–1.57 (m, 8H, 2 x CH2CH2CH2CH2CH2); 13C NMR (CDCl3, 75.6 MHz): δ 195.2 (COCH3), 169.3 (COCON), 163.8 (COCON), 151.3 (ArC), 138.4 (ArC), 127.0 (ArC), 122.6 (ArC), 122.4 (ArC), 119.1 (ArC), 47.1 (NCH2), 42.2 (NCH2), 26.1 (NCH2CH2), 25.4 (OCH3), 25.3 (NCH2CH2), 24.2 (CH2CH2CH2); HRMS (+ESI) m/z [M + Na]+ calcd for C30H34N4NaO7: 585.2325; found: 585.2293.
2,2′-[Methylene-bis(2-acetamido-5,1-phenylene)]bis(N-hexyl-2-oxoacetamide) (19). A mixture of compound 7 (0.24 g, 0.61 mmol) and hexylamine (0.12 g, 1.22 mmol) in dichloromethane (30 mL) was heated at reflux overnight. After cooling to room temperature, the solvent was evaporated in vacuo and the crude product was purified by column chromatography using silica gel and n-hexane/DCM as eluent. The title compound 19 was obtained as an off-white solid (0.26 g, 71%); mp 182–184 °C; IR (KBr): υmax 3305, 3053, 2928, 2855, 1694, 1650, 1585, 1518, 1465, 1411, 1369, 1293, 1223, 1176, 1006, 855, 811 cm1; 1H NMR (CDCl3, 300 MHz): δ 10.89 (s, 2H, 2 x NHCO), 8.56 (d, J = 8.6 Hz, 2H, ArH), 8.16 (d, J = 2.0 Hz, 2H, ArH), 7.42 (dd, J = 8.7, 1.9 Hz, 2H, ArH), 6.98 (t, J = 5.5 Hz, 2H, 2 x CONH), 4.00 (s, 2H, ArCH2Ar), 3.47-3.49 (q, J = 6.7, 6.3 Hz, 4H, 2 x NHCH2CH2(CH2)3CH3), 2.25 (s, 6H, 2 x COCH3), 1.55–1.66 (m, 4H, 2 x NHCH2CH2(CH2)3CH3), 1.30–1.44 (m, 12H, 2 x NHCH2CH2(CH2)3CH3), 0.93 (t, J = 6.6 Hz, 6H, 2 x NHCH2(CH2)4CH3); 13C NMR (CDCl3, 75.6 MHz): δ 162.8, 169.1, 192.0 (6 x C=O), 121.2, 134.5, 136.9 (6 x ArCH), 119.0, 134.3, 140.5 (6 x ArC), 40.0 (2 x NHCH2), 39.7 (ArCH2Ar), 25.4 (2 x COCH3), 31.4 (2 x CH2(CH2)4CH3), 22.5, 26.6, 29.2, 14.0 (2 x CH2(CH2)4CH3); HRMS (ESI) m/z [M + H]+ calcd for C33H45N4O6: 593.3333; found: 593.3326.
2,2′-[Methylene-bis(2-acetamido-5,1-phenylene)]bis(N-dodecyl-2-oxoacetamide) (20). Compound 20 was prepared by the same method as compound 19 from compound 7 (0.24 g, 0.61 mmol) and dodecylamine (0.23 g, 1.22 mmol) as an off-white solid (0.26 g, 69%); mp 162–164 °C; IR (KBr): υmax 3344, 3293, 2919, 2850, 1694, 1650, 1586, 1519, 1467, 1412, 1370, 1294, 1224, 1177, 1014, 855, 721 cm−1; 1H NMR (CDCl3, 300 MHz): δ 10.89 (s, 2H, 2 x NHCO), 8.54 (d, J = 8.5 Hz, 2H, ArH), 8.17 (d, J = 2.1 Hz, 2H, ArH), 7.45 (dd, J = 8.6, 2.12 Hz, 2H, ArH), 6.98 (t, J = 5.9 Hz, 2H, 2 x CONH), 4.03 (s, 2H, ArCH2Ar), 3.37–3.44 (q, J = 6.7, 6.8 Hz, 4H, 2 x NHCH2CH2(CH2)9CH3), 2.28 (s, 6H, 2 x COCH3), 1.56-1.66 (m, 4H, 2 x NHCH2CH2(CH2)9CH3), 1.26–1.40 (m, 36H, 2 x CH2CH2(CH2)9CH3), 0.93 (t, J = 7.0 Hz, 6H, 2 x CH2(CH2)9CH3); 13C NMR (CDCl3, 75.6 MHz): δ 162.8, 169.9, 191.7 (6 x C = O), 121.6, 134.9, 136.9 (6 x ArCH), 120.6, 134.2, 139.9 (6 x ArC), 40.0 (2 x NHCH2), 39.6 (ArCH2Ar), 25.2 (2 x COCH3), 22.7, 26.9, 29.2, 29.2, 29.4, 29.5, 29.6, 29.6, 31.3 (2 x CH2(CH2)10CH3), 14.1 (2 x CH2(CH2)10CH3); HRMS (ESI) m/z [M + Na]+calcd for C45H68N4NaO6: 761.5211; found: 761.5207.
N,N’-(4,4’-bis-{methyl-2-[2-(2-acetamidophenyl)-2-oxoacetamido]acetate}) methane (21). A mixture of the glycine methyl ester hydrochloride (0.24 g, 1.9 mmol) and saturated sodium hydrogen carbonate solution (3 mL) in water (7 mL) was added to a stirred solution of compound 7 (0.15 g, 0.38 mmol)) in dichloromethane (20 mL) was. The reaction mixture was stirred at room temperature for 24 h. The organic layer was diluted with dichloromethane (20 mL) and extracted in aqueous hydrochloric acid (0.5 M, 30 mL) and water (2 × 30 mL). The combined organic extracts were dried over anhydrous sodium sulfate and concentrated under vacuum. The crude compound was purified by gravity column chromatography (dichloromethane-ethyl acetate = 4:1) to afford the title compound as a yellow solid (0.120 g, 55%); mp 204–206 °C; IR (KBr): υmax 3279, 1750, 1698, 1666, 1651, 1592, 1519, 1412, 1367, 1326, 1293, 1234, 1217, 1177, 1005, 688 cm1; 1H NMR (CDCl3, 300 MHz): δ 10.49 (bs, 2H, 2 x NH) (disappears on D2O exchange), 9.07 (d, J = 11.2 Hz, 2H, ArH), 7.74 (s, 2H, ArH), 7.60 (d, J = 1.5 Hz, 2H, 2 x α-NH Gly) (disappears on D2O exchange), 7.49 (dd, J = 2.0, 8.5 Hz, 2H, ArH), 3.97 (d, J = 5.7 Hz, 4H, 2 x NHCH2COOCH3), 3.91 (s, 2H, ArCH2Ar), 3.67 (s, 6H, 2 x COOCH3), 2.05 (s, 6H, 2 x COCH3); 13C NMR (CDCl3, 75.6 MHz): δ 189.8 (COCH3), 169.5 (COCONH), 168.9 (COCONH), 163.2 (COOCH3), 149.8 (ArC), 138.6 (ArC), 127.1 (ArC), 123.5 (ArC), 122.6 (ArC), 119.6 (ArC), 53.1 (COOCH3), 40.9 (NHCH2COOCH3), 38.9 (ArCH2Ar), 24.9 (OCH3); HRMS (+ESI) m/z [M + Na]+ calcd for C27H28N4NaO10: 591.1703; found: 591.1692.
N,N’-(4,4’-bis-{methyl-2-[2-(2-acetamidophenyl)-2-oxoacetamido]-4-methylpentanoate})methane (22). Compound 22 was prepared by the same method as compound 21 from compound 7 (0.15 g, 0.38 mmol) and l-leucine methyl ester hydrochloride (0.30 g, 1.9 mmol) as a yellow solid (0.149 g, 57%); mp 184–186 °C; IR (KBr): υmax 3328, 2958, 1747, 1648, 1592, 1522, 1438, 1415, 1370, 1298, 1253, 1231, 1176 cm1; 1H NMR (CDCl3, 300 MHz): δ 10.84 (bs, 2H, 2 x NH) (disappears on D2O exchange), 8.53 (d, J = 8.8 Hz, 2H, ArH), 8.01 (d, J = 1.9 Hz, 2H, 2 x α-NH Leu) (disappears on D2O exchange), 7.35 (dd, J = 2.1, 8.7 Hz, 2H, ArH), 7.25 (d, J = 8.4 Hz, 2H, ArH), 4.57–4.64 (m, 2H, 2 x NHCHCOOCH3), 3.91 (s, 2H, ArCH2Ar), 3.66 (s, 6H, 2 x COOCH3), 2.14 (s, 6H, 2 x COCH3), 1.56-1.69 (m, 4H, 2 x CH2CH(CH3)2), 1.18–1.20 (m, 2H, 2 x CH(CH3)2), 0.89 (dd, J = 2.6, 5.9 Hz, 12H, 2 x CH(CH3)2); 13C NMR (CDCl3, 75.6 MHz): δ 191.9 (COCH3), 172.9 (COCONH), 169.5 (COCONH), 163.3 (COOCH3), 141.1 (ArC), 137.7 (ArC), 134.8 (ArC), 134.6 (ArC), 121.4 (ArC), 119.0 (ArC), 52.9 (COOCH3), 51.3 (NHCHCOOCH3), 41.7 (CH2CH(CH3)2), 40.3 (ArCH2Ar), 25.8 (OCH3), 25.3 (CH(CH3)2), 23.0 (CH3), 22.2 (CH3); HRMS (+ESI) m/z [M + Na]+ calcd for C35H44N4NaO10: 703.2955; found: 703.2948.
N,N’-(4,4’-bis-{methyl-2-[2-(2-acetamidophenyl)-2-oxoacetamido]-4-(methylthio)butanoate})methane (23). Compound 23 was prepared by the same method as compound 21 from compound 7 (0.15 g, 0.38 mmol) and l-methionine methyl ester hydrochloride (0.38 g, 1.9 mmol) as a yellow solid (0.140 g, 51%); mp 172–174 °C; IR (KBr): υmax 3292, 1746, 1695, 1663, 1642, 1589, 1523, 1433, 1412, 1294, 1250, 1219, 1173 cm1; 1H NMR (CDCl3, 300 MHz): δ 10.80 (bs, 2H, 2 x NH) (disappears on D2O exchange), 8.52 (d, J = 8.5 Hz, 2H, ArH), 8.01 (d, J = 1.9 Hz, 2H, 2 x α-NH Met) (disappears on D2O exchange), 7.49 (d, J = 8.1Hz, 2H, ArH), 7.35 (dd, J = 2.0, 8.7 Hz, 2H, ArH), 4.68–4.77 (m, 2H, 2 x NHCHCOOCH3), 3.91 (s, 2H, ArCH2Ar), 3.70 (s, 6H, 2 x COOCH3), 2.47 (t, J = 7.2 Hz, 4H, 2 x CH2CH2S), 2.15 (s, 6H, 2 x COCH3), 2.03 (s, 6H, 2 x SCH3), 1.05 (t, J = 7.2 Hz, 4H, 2 x CH2CH2S); 13C NMR (CDCl3, 75.6 MHz): δ 191.6 (COCH3), 171.9 (COCONH), 169.6 (COCONH), 163.3 (COOCH3), 141.1 (ArC), 137.7 (ArC), 134.8 (ArC), 134.5 (ArC), 121.5 (ArC), 118.9 (ArC), 53.2 (COOCH3), 52.0 (NHCHCOOCH3), 40.3 (ArCH2Ar), 31.6 (CH2CH2S), 30.3 (CH2CH2S), 25.8 (OCH3), 15.9 (SCH3); HRMS (+ESI) m/z [M + Na]+ calcd for C33H40N4O10NaS2: 739.2084; found: 739.2071.
N,N’-(4,4’-bis-{methyl-2-[2-(2-acetamidophenyl)-2-oxoacetamido]-3-methylbutanoate})methane (24). Compound 24 was prepared by the same method as compound 21 from compound 7 (0.15 g, 0.38 mmol) and l-valine methyl ester hydrochloride (0.32 g, 1.9 mmol) as a yellow solid (0.201 g, 80%); mp 204–207 °C; IR (KBr): υmax 3251, 2962, 1740, 1696, 1666, 1644, 1588, 1521, 1469, 1438, 1413, 1369, 1295, 1245, 1225, 1211, 1176, 1141 cm1; 1H NMR (CDCl3, 300 MHz): δ 10.87 (bs, 2H, 2 x NH) (disappears on D2O exchange), 8.51 (d, J = 8.6 Hz, 2H, ArH), 7.93 (d, J = 1.9 Hz, 2H, 2 x α-NH Val) (disappears on D2O exchange), 7.39 (d, J = 8.8 Hz, 2H, ArH′), 7.32 (dd, J = 2.0, 8.8 Hz, 2H, ArH), 4.54 (dd, J = 4.9, 9.0 Hz, 2H, 2 x NHCHCOOCH3), 3.89 (s, 2H, ArCH2Ar), 3.67 (s, 6H, 2 x COOCH3), 2.18–2.22 (m, 2H, 2 x CH(CH3)2), 2.14 (s, 6H, 2 x COCH3), 0.89 (dd, J = 6.9, 12.7 Hz, 12H, 2 x CH(CH3)2); 13C NMR (CDCl3, 75.6 MHz): δ 192.3 (COCH3), 172.1 (COCONH), 169.6 (COCONH), 163.7 (COOCH3), 141.1 (ArC), 137.7 (ArC), 134.7 (ArC), 134.5 (ArC), 121.4 (ArC), 118.9 (ArC), 57.6 (NHCHCOOCH3), 52.8 (COOCH3), 40.3 (ArCH2Ar), 31.8 (CH(CH3)2), 25.8 (OCH3), 19.4 (2 x CH3), 18.0 (CH3); HRMS (+ESI) m/z [M + Na]+ calcd for C33H40N4NaO10: 675.2642; found: 675.2616.
N,N’-(4,4’-bis-{methyl-2-[2-(2-acetamidophenyl)-2-oxoacetamido]-3-phenylpropanoate})methane (25). Compound 25 was prepared by the same method as compound 21 from compound 7 (0.15 g, 0.38 mmol) and d-phenylalanine methyl ester hydrochloride (0.41 g, 1.9 mmol) as a yellow solid (0.081 g, 28%); mp 200–202 °C; [ α ] D 22 (c 0.1 in MeOH); IR (KBr): υmax 3294, 1749, 1693, 1644, 1590, 1521, 1412, 1293, 1268, 1217, 1173, 701 cm1; 1H NMR (CDCl3, 300 MHz): δ 10.79 (bs, 2H, 2 x NH) (disappears on D2O exchange), 8.50 (d, J = 9.0 Hz, 2H, ArH), 7.88 (s, 2H, 2 x α-NH Phe) (disappears on D2O exchange), 7.16–7.29 (d, 12H, ArH, ArH), 7.05 (d, J = 6.4 Hz, 2H, ArH), 4.86 (dd, J = 6.6, 14.8 Hz, 2H, 2 x NHCHCOOCH3), 3.84 (s, 2H, ArCH2Ar), 3.66 (s, 6H, 2 x COOCH3), 2.99-3.17 (m, 4H, 2 x CH2Ph), 2.11 (s, 6H, 2 x COCH3); 13C NMR (CDCl3, 75.6 MHz): δ 191.7 (COCH3), 171.5 (COCONH), 169.6 (COCONH), 163.0 (COOCH3), 141.1 (ArC), 137.6 (ArC), 135.7 (ArC), 134.7 (ArC), 134.5 (ArC), 129.6 (ArC), 129.1 (ArC), 127.8 (ArC), 121.4 (ArC), 118.8 (ArC), 53.7 (NHCHCOOCH3), 53.0 (COOCH3), 40.3 (ArCH2Ar), 38.3 (CH2Ph), 25.8 (OCH3); HRMS (+ESI) m/z [M + Na]+ calcd for C41H40N4NaO10: 771.2642; found: 771.2610.
N,N’-(4,4’-bis-{methyl-2-[2-(2-acetamidophenyl)-2-oxoacetamido]-3-phenylpropanoate})methane (26). Compound 26 was prepared from compound 7 (1.00 g, 2.56 mmol) and l-phenylalanine methyl ester hydrochloride (1.21 g, 5.64 mmol) in the presence of Et3N (1.04g, 10.2 mmol) as a yellow solid (0.78 mg, 48%); mp 201–202 °C; [ α ] D 23 (c 0.1 in MeOH); IR υmax 3291, 1742, 1690, 1642, 1594, 1523, 1418, 1289, 1272, 1212, 1171, 705 cm−1. 1H NMR (CDCl3, 400 MHz): δ 10.80 (bs, 2H, 2 x NH) (disappears on D2O exchange), 8.51 (d, J = 9.0 Hz, 2H, ArH), 7.89 (s, 2H, 2 x α-NH Phe) (disappears on D2O exchange), 7.14-7.30 (d, 12H, ArH, ArH), 7.06 (d, J = 6.4 Hz, 2H, ArH), 4.88 (dd, J = 6.6, 14.8 Hz, 2H, 2 x NHCHCOOCH3), 3.85 (s, 2H, ArCH2Ar), 3.67 (s, 6H, 2 x COOCH3), 2.98–3.18 (m, 4H, 2 x CH2Ph), 2.12 (s, 6H, 2 x COCH3); 13C NMR (CDCl3, 101 MHz): δ 191.8 (COCH3), 172.1 (COCONH), 169.6 (COCONH), 163.0 (COOCH3), 141.1 (ArC), 137.6 (ArC), 135.7 (ArC), 134.7 (ArC), 135.6 (ArC), 129.9 (ArC), 129.2 (ArC), 128.1 (ArC), 121.2 (ArC), 119.2 (ArC), 54.1 (NHCHCOOCH3), 53.1 (COOCH3), 40.2 (ArCH2Ar), 38.4 (CH2Ph), 25.9 (OCH3); HRMS (+ESI) m/z [M + Na]+ calcd for C41H40N4NaO10: 771.2642; found: 771.2612.
N,N’-(4,4’-bis-{methyl-2-[2-(2-acetamidophenyl)-2-oxoacetamido]acetate})oxide (27). Compound 27 was prepared by the same method as compound 21 from compound 8 (0.15 g, 0.38 mmol) and glycine methyl ester hydrochloride (0.24 g, 1.9 mmol) as a yellow solid (0.061 g, 28%); mp 180–182 °C; IR (KBr): υmax 3354, 3293, 2923, 1747, 1686, 1658, 1588, 1512, 1438, 1408, 1373, 1327, 1286, 1262, 1219, 1183, 1011 cm−1; 1H NMR (CDCl3, 300 MHz): δ 10.69 (bs, 2H, 2 x NH) (disappears on D2O exchange), 8.60 (d, J = 9.3 Hz, 2H, ArH), 7.93 (d, J = 3.0 Hz, 2H, 2 x α-NH Gly) (disappears on D2O exchange), 7.36 (t, J = 5.3 Hz, 2H, ArH), 7.49 (dd, J = 3.0, 9.2 Hz, 2H, ArH), 4.05 (d, J = 5.5 Hz, 4H, 2 x NHCH2COOCH3), 3.68 (s, 6H, 2 x COOCH3), 2.17 (s, 6H, 2 x COCH3); 13C NMR (CDCl3, 75.6 MHz): δ 190.9 (COCH3), 169.8 (COCONH), 169.5 (COCONH), 163.2 (COOCH3), 151.6 (ArC), 138.5 (ArC), 127.8 (ArC), 123.5 (ArC), 123.1 (ArC), 119.9 (ArC), 53.1 (COOCH3), 41.5 (NHCH2COOCH3), 25.8 (OCH3). HRMS (+ESI) m/z [M + Na]+ calcd for C26H26N4NaO11: 593.1496; found: 593.1472.
N,N’-(4,4’-bis-{methyl-2-[2-(2-acetamidophenyl)-2-oxoacetamido]-4-methylpentanoate})oxide (28). Compound 28 was prepared by the same method as compound 21 from compound 8 (0.15 g, 0.38 mmol) and l-leucine methyl ester hydrochloride (0.30 g, 1.9 mmol) as a yellow solid (0.068 g, 26%); mp 106–108 °C; IR (KBr): υmax 3313, 2958, 1748, 1655, 1589, 1519, 1438, 1410, 1370, 1263, 1217, 1182, 1162, 1013, 830, 698 cm−1; 1H NMR (CDCl3, 300 MHz): δ 10.82 (bs, 2H, 2 x NH) (disappears on D2O exchange), 8.64 (d, J = 9.3 Hz, 2H, ArH), 7.83 (d, J = 2.7 Hz, 2H, 2 x α-NH Leu) (disappears on D2O exchange), 7.41 (d, J = 8.5 Hz, 2H, ArH), 7.28 (dd, J = 2.9, 9.2 Hz, 2H, ArH), 4.60–4.67 (m, 2H, 2 x NHCHCOOCH3), 3.67 (s, 6H, 2 x COOCH3), 2.21 (s, 6H, 2 x COCH3), 1.57–1.72 (m, 6H, 2 x CH2CH(CH3)2), 0.93 (d, J = 5.9 Hz, 12H, CH(CH3)2); 13C NMR (CDCl3, 75.6 MHz): δ 191.3 (COCH3), 172.7 (COCONH), 169.0 (COCONH), 162.9 (COOCH3), 151.1 (ArC), 138.0 (ArC), 127.3 (ArC), 122.9 (ArC), 122.6 (ArC), 119.4 (ArC), 52.5 (COOCH3), 50.8 (NHCHCOOCH3), 41.3 (CH2CH(CH3)2), 25.3 (OCH3), 24.9 (CH(CH3)2), 22.8 (CH3), 21.8 (CH3); HRMS (+ESI) m/z [M + Na]+ calcd for C34H42N4NaO11: 705.2748; found: 705.2720.
N,N’-(4,4’-bis-{methyl-2-[2-(2-acetamidophenyl)-2-oxoacetamido]-4-(methylthio)butanoate})oxide (29). Compound 29 was prepared by the same method as compound 21 from compound 8 (0.15 g, 0.38 mmol) and l-methionine methyl ester hydrochloride (0.38 g, 1.9 mmol) as a yellow solid (0.206 g, 75%); mp 102–104 °C; IR (KBr): υmax 3274, 1743, 1658, 1588, 1519, 1489, 1410, 1370, 1271, 1218, 1183, 1162 cm−1; 1H NMR (CDCl3, 300 MHz): δ 10.77 (bs, 2H, 2 x NH) (disappears on D2O exchange), 8.63 (d, J = 9.3 Hz, 2H, ArH), 7.87 (d, J = 2.9 Hz, 2H, 2 x α-NH Met) (disappears on D2O exchange), 7.65 (d, J = 8.1 Hz, 2H, ArH), 7.29 (dd, J = 2.9, 9.2 Hz, 2H, ArH), 4.74 (dd, J = 8.8, 12.9 Hz, 2H, 2 x NHCHCOOCH3), 3.72 (s, 6H, 2 x COOCH3), 2.49–2.56 (m, 4H, 2 x CH2CH2S), 2.21 (s, 6H, 2 x COCH3), 2.07 (s, 6H, 2 x SCH3), 1.03 (t, J = 6.8 Hz, 4H, 2 x CH2CH2S); 13C NMR (CDCl3, 75.6 MHz): δ 190.8 (COCH3), 171.6 (COCONH), 169.1 (COCONH), 162.7 (COOCH3), 151.1 (ArC), 138.0 (ArC), 127.3(ArC), 122.9 (ArC), 122.6 (ArC), 119.5 (ArC), 52.8 (COOCH3), 51.5 (NHCHCOOCH3), 31.1 (CH2CH2S), 29.9 (CH2CH2S), 25.3 (OCH3), 15.5 (SCH3); HRMS (+ESI) m/z [M + Na]+ calcd for C32H38N4O11NaS2: 741.1876; found: 741.1854.
N,N’-(4,4’-bis-{methyl-2-[2-(2-acetamidophenyl)-2-oxoacetamido]-3-methylbutanoate})oxide (30). Compound 30 was prepared by the same method as compound 21 from compound 8 (0.15 g, 0.38 mmol) and l-valine methyl ester hydrochloride (0.32 g, 1.9 mmol) as a yellow solid (0.115 g, 46%); mp 99–101 °C; IR (KBr): υmax 3215, 2992, 1743, 1701, 1660, 1591, 1518, 1485, 1417, 1370, 1289, 1256, 1215, 1210, 1016, 920, 836, 741 cm−1; 1H NMR (CDCl3, 300 MHz): δ 10.80 (bs, 2H, 2 x NH) (disappears on D2O exchange), 8.61 (d, J = 9.2 Hz, 2H, ArH), 7.70 (d, J = 2.8 Hz, 2H, 2 x α-NH Val) (disappears on D2O exchange), 7.47 (d, J = 9.1 Hz, 2H, ArH), 7.24 (dd, J = 2.8, 9.2 Hz, 2H, ArH), 4.54 (dd, J = 4.8, 9.1 Hz, 2H, 2 x NHCHCOOCH3), 3.66 (s, 6H, 2 x COOCH3), 2.16 (s, 6H, 2 x COCH3), 1.18–1.20 (m, 2H, 2 x CH(CH3)2), 0.88 (dd, J = 6.9, 15.3 Hz, 12H, 2 x CH(CH3)2); 13C NMR (CDCl3, 75.6 MHz): δ 192.0 (COCH3), 172.4 (COCONH), 169.4 (COCONH), 163.7 (COOCH3), 151.5 (ArC), 138.5 (ArC), 127.8 (ArC), 123.1 (ArC), 123.0 (ArC), 119.7 (ArC), 57.4 (NHCHCOOCH3), 52.8 (COOCH3), 31.8 (CH(CH3)2), 25.7 (OCH3), 18.0 (CH3), 19.4 (CH3); HRMS (+ESI) m/z [M + Na]+ calcd for C33H40N4NaO10: 677.2435; found: 677.2419.
N,N’-(4,4’-bis-{methyl-2-[2-(2-acetamidophenyl)-2-oxoacetamido]-3-phenylpropanoate})oxide (31). Compound 31 was prepared by the same method as compound 21 from compound 8 (0.15 g, 0.38 mmol) and d-phenylalanine methyl ester hydrochloride (0.41 g, 1.9 mmol) as a yellow solid (0.196 g, 68%); mp 200–202 °C; IR (KBr): υmax 3298, 1745, 1669, 1587, 1518, 1496, 1439, 1410, 1370, 1267, 1218, 1180, 702 cm−1; 1H NMR (CDCl3, 300 MHz): δ 10.78 (bs, 2H, 2 x NH) (disappears on D2O exchange), 8.67 (d, J = 9.3 Hz, 2H, ArH), 7.79 (d, J = 2.9 Hz, 2H, 2 x α-NH Phe) (disappears on D2O exchange), 7.22-7.31 (m, 12H, ArH), 7.11 (dd, J = 1.7, 8.0 Hz, 2H, ArH), 4.86–4.93 (m, 2H, 2 x NHCHCOOCH3), 3.70 (s, 6H, 2 x COOCH3), 3.00–3.19 (m, 4H, 2 x CH2Ph), 2.21 (s, 6H, 2 x COCH3); 13C NMR (CDCl3, 75.6 MHz): δ 190.9 (COCH3), 171.3 (COCONH), 169.0 (COCONH), 162.3 (COOCH3), 151.1 (ArC), 138.1 (ArC), 135.2 (ArC), 129.2 (ArC), 128.8 (ArC), 127.4 (ArC), 127.3 (ArC), 123.0 (ArC), 122.6 (ArC), 119.3 (ArC), 53.2 (NHCHCOOCH3), 52.6 (COOCH3), 37.9 (2 x CH2Ph), 25.4 (OCH3); HRMS (+ESI) m/z [M + Na]+ calcd for C40H38N4NaO11: 773.2435; found: 773.2419.
N,N’-(4,4’-bis-{methyl-2-[2-(2-acetamidophenyl)-2-oxoacetamido]-3-phenylpropanoate})oxide (32). Compound 32 was prepared by the same method as compound 21 from compound 8 (1.00 g, 2.55 mmol), l-phenylalanine methyl ester hydrochloride (1.21 g, 5.61 mmol) and Et3N (1.03 g, 10.20 mmol) as a yellow solid (1.50 g, 78%); mp 201–202 °C; [α]D -12 (c 0.1 in MeOH); IR: υmax 3292, 1743, 1671, 1582, 1520, 1494, 1440, 1411, 1371, 1265, 1211, 1178, 701 cm−1; 1H NMR (CDCl3, 400 MHz): δ 10.74 (bs, 2H, 2 x NH) (disappears on D2O exchange), 8.65 (d, J = 9.2 Hz, 2H, ArH), 7.80 (d, J = 3.0 Hz, 2H, 2 x α-NH Phe) (disappears on D2O exchange), 7.21–7.34 (m, 12H, ArH), 7.10 (dd, J = 1.8, 8.0 Hz, 2H, ArH), 4.87–4.91 (m, 2H, 2 x NHCHCOOCH3), 3.71 (s, 6H, 2 x COOCH3), 3.00–3.20 (m, 4H, 2 x CH2Ph), 2.22 (s, 6H, 2 x COCH3); 13C NMR (CDCl3, 101 MHz): δ 190.8 (COCH3), 171.2 (COCONH), 168.5 (COCONH), 162.0 (COOCH3), 151.2 (ArC), 137.8 (ArC), 135.1 (ArC), 129.1 (ArC), 128.7 (ArC), 127.3 (ArC), 127.1 (ArC), 123.0 (ArC), 122.5 (ArC), 119.0 (ArC), 53.1 (NHCHCOOCH3), 52.5 (COOCH3), 37.7 (2 x CH2Ph), 25.3 (OCH3); HRMS (+ESI) m/z [M + Na]+ calcd for C40H38N4NaO11: 773.2435; found: 773.2428.

Single-Crystal X-Ray Diffraction

The X-ray diffraction measurements for compounds 2224 were carried out at MX1 and MX2 beamlines at the Australian Synchrotron Facility, Melbourne. The procedure for diffraction intensity measurements on both beamlines was similar. The crystal was mounted on the goniometer using a cryo loop for diffraction measurements, and it was coated with paraffin oil and then quickly transferred to the cold stream using cryo stream attachment. Data were collected using Si<111> monochromated synchrotron X-ray radiation (λ = 0.71023 Å) at 100(2) K and were corrected for Lorentz and polarization effects using the XDS software [23]. The structure was solved by direct methods and the full-matrix least-squares refinements were carried out using SHELXL [26]. X-ray crystallographic information files (CIF) for the structures 2224 are CCDC 1505262, 1,505, 263 and 1956306. A copy of the data can be obtained free of charge from CCDC, 12 Union Road, Cambridge CB2 1EZ, UK or email: deposit@ccdc.cam.ac.uk.

4. Conclusions

The synthesis of a library of bis-glyoxylamide peptidomimetics was achieved by nucleophilic ring-opening reactions of bis-N-acetylisatins linked at C5 by a methylene or oxygen bridge with alcohols, amines, and amino acid methyl ester hydrochlorides. The bis-isatins were prepared using a modified Sandmeyer isonitrosoacetanilide isatin synthesis using 1,4-dioxane instead of hydrochloric acid as the reaction solvent. Amines were the most reactive reagents for ring-opening of the bis-N-acetylisatins and the products were obtained in high yields. The addition of sodium bicarbonate was needed for ring-opening of bis-N-acetylisatins with amino acid methyl ester hydrochlorides and the reactions were complete in 24 h. The alcohols were slow to react and heating the reaction mixture at reflux was required for ethanol. The biological activity of these compounds is currently under investigation.

Supplementary Materials

The following are available online at https://www.mdpi.com/1420-3049/24/23/4343/s1, 1H and 13C NMR spectra for the synthesized compounds.

Author Contributions

D.S.B. and N.K. conceived and directed this project. The synthesized and spectroscopic identification of the title compounds 332 were conducted by V.S., R.Z. and V.A. V.S. produced the single crystal of compounds 2224 and prepared the manuscript for publication. M.B. conducted the X-ray analysis of compounds 2224.

Funding

This research was funded by Directorate General of Higher Education, Ministry of Research, Technology and Higher Education, Indonesia through the World Class Professor Program 2019, grant number: T/85/D2.3/KK.04.05/2019.

Acknowledgments

We thank Tom Caradoc-Davies, a Principal Scientist (Australian Synchrotron), for his help in data acquisition.

Conflicts of Interest

The authors declare no conflict of interest.

References

  1. Milroy, L.G.; Grossmann, T.N.; Hennig, S.; Brunsveld, L.; Ottmann, C. Modulators of protein–protein interactions. Chem. Rev. 2014, 114, 4695–4748. [Google Scholar] [CrossRef] [PubMed]
  2. Pelay-Gimeno, M.; Glas, A.; Koch, O.; Grossmann, T.M. Structure-based design of inhibitors of protein–protein interactions: Mimicking peptide binding epitopes. Angew. Chem. 2015, 127, 9022–9054. [Google Scholar] [CrossRef]
  3. Wang, Z.A.; Ding, X.Z.; Chang-Lin Tian, C.-L.; Zhen, J.-S. Protein/peptide secondary structural mimics: design, characterization, and modulation of protein–protein interactions. Rsc Adv. 2016, 6, 61599–61609. [Google Scholar] [CrossRef]
  4. Galdiero, S.; Paula, A.C.; Gomes, P.A.C. Peptide-based drugs and drug delivery systems. Molecules 2017, 22, 2185. [Google Scholar] [CrossRef] [PubMed]
  5. Bruno, B.J.; Miller, G.D.; Lim, C.S. Basics and recent advances in peptide and protein drug delivery. Ther. Deliv. 2013, 4, 1443–1467. [Google Scholar] [CrossRef]
  6. Hruby, V.J.; Cai, M. Design of peptide and peptidomimetic ligands with novel pharmacological activity profiles. Annu. Rev. Pharm. Toxicol. 2013, 53, 557–580. [Google Scholar] [CrossRef] [PubMed]
  7. Whitehead, T.A. A peptide mimic of an antibody. Science 2017, 358, 450–451. [Google Scholar] [CrossRef]
  8. Rotem, S.; Mor, A. Antimicrobial peptide mimics for improved therapeutic properties. Biochim. Biophys. Acta 2009, 1788, 1582–1592. [Google Scholar] [CrossRef]
  9. Ovit, N.; Rubin, S.J.S.; Urban, T.J.; Mochly-Rosen, D.; Gross, E.R. Peptidomimetic therapeutics: scientific approaches and opportunities. Drug Discov. Today 2017, 22, 454–462. [Google Scholar]
  10. Zhang, G.; Andersen, J.; Gerona-Navarro, G. Peptidomimetics targeting protein-protein interactions for therapeutic development. Protein Pept. Lett. 2018, 25, 1076–1089. [Google Scholar] [CrossRef]
  11. Chene, P.; Fuchs, J.; Bohn, J.; Garca-Echeverra, C.; Furet, P.; Fabbro, D. A small synthetic peptide, which inhibits the p53-hdm2 interaction, stimulates the p53 pathway in tumour cell lines. J. Mol. Biol. 2000, 299, 245–253. [Google Scholar] [CrossRef] [PubMed]
  12. Du, L.; Grigsby, S.M.; Yao, A.; Chang, Y.; Johnson, G.; Sun, H.; Nikolovska-Coleska, Z. Peptidomimetics for targeting protein-protein interactions between DOT1L and MLL Oncofusion proteins AF9 and ENL. Acs Med. Chem. Lett. 2018, 9, 895–900. [Google Scholar] [CrossRef] [PubMed]
  13. Mizuno, A.; Matsui, K.; Shuto, S. From Peptidesto peptidomimetics: A strategy based on the structural features of Cyclopropane. Chem. Eur. J. 2017, 23, 14394–14409. [Google Scholar] [CrossRef] [PubMed]
  14. Cheah, W.C.; Black, D.S.; Goh, W.K.; Kumar, N. Synthesis of anti-bacterial peptidomimetics derived from N-acylisatins. Tetrahedron Lett. 2008, 49, 2965–2968. [Google Scholar] [CrossRef]
  15. Suryanti, V.; Bhadbhade, M.; Bishop, R.; Black, D.S.; Kumar, N. Self-assembly of alkyl N-acetylglyoxylic amides of varying chain lenghts. CrystEngComm 2012, 14, 7345–7454. [Google Scholar]
  16. Suryanti, V.; Bhadbhade, M.; Bishop, R.; Black, D.S.; Kumar, N. Chirality of the molecular assembly determined by intra/inter- N-H···O hydrogen bonding in doubly substituted N-octanoylglyoxylic amides. Tetrahedron 2013, 13, 8446–8455. [Google Scholar] [CrossRef]
  17. Nizalapur, S.; Kimyon, O.; Yee, E.; Bhadbhade, M.M.; Manefield, M.; Willcox, M.; Black, D.S.; Kumar, N. Synthesis and biological evaluation of novel acyclic and cyclic glyoxamide based derivatives as bacterial quorum sensing and biofilm inhibitors. Org. Biomol. Chem. 2017, 15, 5743–5755. [Google Scholar] [CrossRef]
  18. Nizalapur, S.; Kimyon, O.; Yee, E.; Ho, K.; Berry, T.; Manefield, M.; Cranfield, C.G.; Willcox, M.; Black, D.S.; Kumar, N. Amphipathic guanidine-embedded glyoxamide-based peptidomimetics as novel antibacterial agents and biofilm disruptors. Org. Biomol. Chem. 2017, 15, 2033–2051. [Google Scholar] [CrossRef]
  19. Yu, T.T.; Nizalapur, S.; Ho, K.K.K.; Yee, E.; Berry, T.; Cranfield, C.G.; Willcox, M.; Black, D.S.; Kumar, N. Design, Synthesis and biological evaluation of N-sulfonylphenyl glyoxamide-based antimicrobial peptide mimics as novel antimicrobial agents. ChemistrySelect 2017, 2, 3452–3461. [Google Scholar] [CrossRef]
  20. Cheah, W.C.; Wood, K.; Black, D.S.; Kumar, N. Facile ring-opening of N-acylisatins for the development of novel peptidomimetics. Tetrahedron 2011, 67, 7603–7610. [Google Scholar] [CrossRef]
  21. Suryanti, V.; Condie, G.C.; Bhadbhade, M.; Bishop, R.; Black, D.S.; Kumar, N. Synthesis, structures and conformations of linked Bis-glyoxylamides derived from Bis-acylisatins. Aust. J. Chem. 2014, 67, 1270–1278. [Google Scholar] [CrossRef]
  22. Schopov, I. C. R. Acad. Bulg. Sci. 1968, 21, 241.
  23. Schopov, I. C. R. Acad. Bulg. Sci. 1968, 21, 439.
  24. Marvel, C.S.; Hiers, G.S. Isatin. Org. Synth. 1941, 1, 327–330. [Google Scholar]
  25. Kabsch, W. Automatic processing of rotation diffraction data from crystals of initially unknown symmetry and cell constants. J. Appl. Cryst. 1993, 26, 795–800. [Google Scholar] [CrossRef]
  26. Sheldrick, G.M. A short history of SHELX. Acta Cryst. A. 2008, 64, 112–122. [Google Scholar] [CrossRef]
Sample Availability: Samples of the synthesized compounds are available from the corresponding authors.
Scheme 1. Synthesis of bis-N-acetylisatins 7 and 8.
Scheme 1. Synthesis of bis-N-acetylisatins 7 and 8.
Molecules 24 04343 sch001
Scheme 2. Ring-opening reactions of bis-N-acetylisatins 7 and 8 with alcohols.
Scheme 2. Ring-opening reactions of bis-N-acetylisatins 7 and 8 with alcohols.
Molecules 24 04343 sch002
Scheme 3. Ring-opening reactions of bis-N-acetylisatins 7 and 8 with amines.
Scheme 3. Ring-opening reactions of bis-N-acetylisatins 7 and 8 with amines.
Molecules 24 04343 sch003
Scheme 4. Ring-opening reactions of bis-N-acetylisatins 7 and 8 with amino acid methyl ester hydrochlorides.
Scheme 4. Ring-opening reactions of bis-N-acetylisatins 7 and 8 with amino acid methyl ester hydrochlorides.
Molecules 24 04343 sch004
Figure 1. ORTEP diagrams of compound 22 (a), compound 23 (b), and compound 24 (c).
Figure 1. ORTEP diagrams of compound 22 (a), compound 23 (b), and compound 24 (c).
Molecules 24 04343 g001
Figure 2. Two molecules in the asymmetric unit of 23 (a) and 24 (b).
Figure 2. Two molecules in the asymmetric unit of 23 (a) and 24 (b).
Molecules 24 04343 g002
Table 1. Bis-glyoxylamide peptidomimetics 21–32.
Table 1. Bis-glyoxylamide peptidomimetics 21–32.
NoProductXAmino Acid Methyl EstersYields (%)
121CH2Gly OMe55
222CH2l-Leu OMe57
323CH2l-Met OMe51
424CH2l-Val OMe80
525CH2d-Phe OMe28
626CH2l-Phe OMe48
727OGly OMe28
828Ol-Leu OMe26
929Ol-Met OMe76
1030Ol-Val OMe46
1131Od-Phe OMe68
1232Ol-Phe OMe78

Share and Cite

MDPI and ACS Style

Suryanti, V.; Zhang, R.; Aldilla, V.; Bhadbhade, M.; Kumar, N.; Black, D.S. Synthesis of Bis-Glyoxylamide Peptidomimetics Derived from Bis-N-acetylisatins Linked at C5 by a Methylene or Oxygen Bridge. Molecules 2019, 24, 4343. https://doi.org/10.3390/molecules24234343

AMA Style

Suryanti V, Zhang R, Aldilla V, Bhadbhade M, Kumar N, Black DS. Synthesis of Bis-Glyoxylamide Peptidomimetics Derived from Bis-N-acetylisatins Linked at C5 by a Methylene or Oxygen Bridge. Molecules. 2019; 24(23):4343. https://doi.org/10.3390/molecules24234343

Chicago/Turabian Style

Suryanti, Venty, Ruonan Zhang, Vina Aldilla, Mohan Bhadbhade, Naresh Kumar, and David StC Black. 2019. "Synthesis of Bis-Glyoxylamide Peptidomimetics Derived from Bis-N-acetylisatins Linked at C5 by a Methylene or Oxygen Bridge" Molecules 24, no. 23: 4343. https://doi.org/10.3390/molecules24234343

APA Style

Suryanti, V., Zhang, R., Aldilla, V., Bhadbhade, M., Kumar, N., & Black, D. S. (2019). Synthesis of Bis-Glyoxylamide Peptidomimetics Derived from Bis-N-acetylisatins Linked at C5 by a Methylene or Oxygen Bridge. Molecules, 24(23), 4343. https://doi.org/10.3390/molecules24234343

Article Metrics

Back to TopTop