Abstract
Herein we present the methodology for obtaining glycosyltransferase inhibitors, analogues of natural enzyme substrates of donor-type: UDP-glucose and UDP-galactose. The synthesis concerned glycoconjugates, nucleoside analogues containing an acyclic ribose mimetic linked to a uracil moiety in their structure. The biological activity of the synthesised compounds was determined on the basis of their ability to inhibit the model enzyme action of β-1,4-galactosyltransferase from bovine milk. The obtained results allowed to expand and supplement the existing library of synthetic compounds that are able to regulate the biological activity of enzymes from the GT class.
1. Introduction
Glycosyltransferases (GTs), a superfamily of enzymes, are involved in synthesising the carbohydrate moieties of glycoproteins, glycolipids, and glycosaminoglycans, which are involved in many important biological functions. These glycoconjugates have various specific roles in cell growth and cell–cell interactions [1], cell adhesion including fertilisation [2,3], modulation of growth factor receptors [4], immune defence [5,6], inflammation [7], host–pathogen interactions [8,9,10], and both viral and parasitic infections [9]. The structures of oligosaccharides are significantly changed during such processes as cellular development, differentiation, and tumorigenesis [11,12,13], and in many disease states [14,15]. Specific glycosyltransferases synthesize oligosaccharides by the sequential transfer of the monosaccharide moiety of an activated sugar donor to an acceptor molecule. One of the most extensively studied and characterised glycosyltransferase is β-1,4-galactosyltransferase I (β4GalT). This enzyme transfers d-galactose moiety from a donor molecule to a hydroxyl group of a specific acceptor molecule which can be an oligosaccharide, a protein or a lipid [16,17]. All of these enzymes use uridine 5′-diphospho-α-d-galactose (UDP-Gal) as the donor, and many of these enzymes require a metal ion cofactor, generally a Mn2+ ion, for activity [18,19]. The catalytic domain of the enzyme has two flexible loops: a small loop and a long loop. The long flexible loop contains the primary metal binding site at its terminal hinge region. Both flexible loops undergo a notable conformational change from an open to a closed conformation upon binding of sugar–nucleotide and metal ion. The enzyme active site is created by an ordered binding of sugar–nucleotide and metal ion, followed by a conformational change that creates the acceptor-binding site. The reaction catalysed by GTs follows a kinetic mechanism in which the sugar nucleotide and metal ion bind to the enzyme active site first, followed by the acceptor [16].
The enzyme activity can be regulated by sugar donor analogues in which a nonionic linker that replaces the pyrophosphate moiety is capable of coordinating a metal ion present in the active site [7]. Small molecule compounds acting as selective glycosyltransferase inhibitors may provide potent drugs by blocking or preventing the synthesis of complex glycoconjugates and pathologies they cause [20].
UDP-sugar analogues (sugar donor analogues) design is based on modifications of one of the three building blocks of these molecules: the nucleoside part, the carbohydrate moiety, or the diphosphate connection [21,22,23,24,25]. The pyrophosphate bridge of the sugar donor molecule binds to a bivalent metal ion (Mn2+ or Mg2+) present in the active site of the enzyme therefore several analogues of UDP-sugar substrates with modifications of the diphosphate moiety have been researched and described [26,27]. However, due to anionic character of such compounds, their ability to efficiently penetrate the cells phospholipid bilayer is limited [12]. Numerous attempts to solve this problem have included synthesis of neutral glycosyltransferase inhibitors modified by monosaccharide moieties [28,29], tartaric or malonic acid derivatives [30], pyridine and/or triazole [31], amino acids [32,33], pyridine connected to succinic acid via amide bond [34], or thiophosphoester as a surrogate of the pyrophosphate part of the sugar donor [35,36].
Taking into account that the acceptor binding site is created by a conformational change after ordered binding of the sugar nucleotide and metal ion in the active site of the enzyme, in our approach to design inhibitors, we focus on the synthesis of the nucleoside part of the inhibitor strongly bonded by a flexible loop and weakly bonded with a metal ion, so as the creation of the catalytic enzyme part will be difficult.
Accepting this assumption, a series of UDP-Gal donor analogues was designed. The designed inhibitors contain components of natural glycosyltransferase donors in their structure: monosaccharide linked through a linker to the acyclic derivative of uridine (Figure 1).
Figure 1.
(A) Natural GTs substrate; (B) structures of synthesised GTs inhibitors.
2. Results and Discussion
The enzyme β-(1,4)-galactosyltransferase (β4GalT) from bovine milk was selected as the subject of the study, which in the acceptor reaction with the glycosyl donor of α-configuration (uridine diphosphate galactose, UDP-Gal), carries the sugar molecule to form a β-(1,4)-glycosidic bond [20]. Based on literature studies, the following assumptions were made to design the inhibitor structures shown in Figure 1: the sugar unit should contain an amino terminal aglycone that will allow the amide linkage to acyclic nucleobase derivatives containing the terminal carboxyl group. Relevant uracil as a nucleic base is a key element of the inhibitor because of its strong affinity for the active enzyme site. The designed inhibitors are S-glycoside derivatives of such monosaccharides as d-glucose and d-galactose, in which the glycosidic bond has an α-configuration as in natural GTs substrates. S-Glycosides were selected because the S-glycosidic bond is well-tolerated by most biological systems and is more stable in hydrolysis reactions catalysed by acids or glycosylhydrolases [37,38,39] compared to O-glycosides. The design of a multistep synthesis of inhibitors is shown in Scheme 1.
Scheme 1.
The general idea of GT inhibitors synthesis.
The first step leading to obtaining the assumed glycoconjugate structures is the synthesis of the 1-thiosugar with the α-configuration, which is converted into the 1-thioglycoside by a reaction with the corresponding nitropyridine derivative, followed by a reduction of the nitro group to the amino group. The next stage is the synthesis of acyclic derivatives of uridine containing a carboxyl group in the terminal position. The final glycoconjugates are obtained by condensing the intermediates to form an amide bond and removing protecting groups.
While the synthesis of 1-β thiosugars is relatively simple to carry out and leads to the desired compounds at a high yield, the synthesis of analogues of the α-configuration poses many difficulties. However numerous reports for the α-glycosylthiol derivatives synthesis have appeared in the literature [40]. Although most of the reaction conditions described suffer from several limitations, including formation of mixture of isomers, multiple reaction and/or purification steps, long reaction time, low yield, use of hazardous gases (e.g., H2S), use of expensive reagents (e.g., (TMS)2S), necessity of use of appropriately functionalised substrates, etc. On the basis of literature studies, a method for transformation of alcohols to thiols using the Lawesson’s reagent was selected [41]. According to the procedure described by Bernardes et al., tetra-O-benzyl protected d-glucose or d-galactose was reacted with a 1.2 molar equivalent of the Lawesson reagent in 1,4-dioxane under argon (Scheme 2, procedure A). [42]. However, due to the low yields of the obtained 1-thioglucose 3 (46%) and 1-thiogalactose 4 (26%), as well as a low stereoselectivity of the reaction and difficulties in the separation of anomers, further attempts to obtain 1-thiosugars with α-configuration were made.
Scheme 2.
Synthesis of 1-thiosugars and the corresponding 1-thioglycosides.
In this research the method using N-methyl thiolcarbamates for the synthesis of glycosyl thiols was applied (Scheme 2) [43]. Corresponding glycosylthiols are easy to obtain by alcoholysis and can be used for the preparation of heteroaryl 1-thioglycosides. Among the numerous methods of synthesising 1-thioglycosides described in the literature [40], for the synthesis of (5-nitro-2-pyridyl) 1-thioglycosides, the procedure of aromatic substitution of nucleophilic halogen in negatively substituted aryl derivatives [44] was used. Treatment of the 2,3,4,6-tetra-O-benzyl-1-thio-d-gluco- or 2,3,4,6-tetra-O-benzyl-1-thio-d-galactopyranose with 2-chloro-5-nitropyridine gives corresponding heteroaryl thioglycosides. The key step in the substitution of the chlorine atom in the 2-chloro-5-nitropyridine molecule was carried out in the field of ultrasound. After purification by column chromatography on silica gel (5-nitro-2-pyridyl) 2,3,4,6-tetra-O-benzyl-1-thio-d-glucopyranoside 5 (79% yield) or (5-nitro-2-pyridyl) 2,3,4,6-tetra-O-benzyl-1-thio-d-galactopyranoside 6 (77% yield) were obtained as mixtures, in which the α-anomer was the main product.
Because a mixture of anomeric 1-thioglycosides was obtained as a result of the described method using N-methyl thiolcarbamates in the next attempt to synthesise α-thioglycosides the ring opening reaction of 1,6-anhydrosugar with thiol catalysed by Lewis acids was applied [45]. The reactions of 2-mercapto-5-nitropyridine with per-O-benzyl-1,6-anhydroglucose 9 or per-O-benzyl-1,6-anhydrogalactose 10 were carried out in the presence of BF3 Et2O under an inert gas atmosphere (Scheme 3, procedure I). The desired compounds were obtained in the form of optically pure α-anomers, but with relatively low yields (36% for the d-glucose derivative 13 and 12% for the d-galactose derivative 14). The undoubted advantage of this method is the creation of products with only the α configuration. Another variant of this method was the synthesis of α- thiosugar in the reaction of (TMS)2S with 1,6-anhydrosugar derivatives, in the presence of a Lewis acid, such as TMSOTf (Scheme 3, procedure G) [46,47]. The obtained thiosugars 11 and 12 in the reaction of aromatic nucleophilic substitution with 2-chloro-5-nitropyridine led to (5-nitro-2-pyridyl)1-thiogluco- (13) or (5-nitro-2-pyridyl)1-thiogalactopyranoside (14) in good yields (Scheme 3, procedure H, Table 1).
Scheme 3.
Application of 1,6-anhydrosugars in α-1-thioglyosides synthesis.
Table 1.
Preparation of compounds 3–14.
In the final step of the sugar derivatives synthesis the nitro group in aglycon of 1-thioglycosides was reduced to the amino group. After the comparison of conventional reduction procedures of (5-nitro-2-pyridyl) 1-thioglycosides, the method that uses iron dust and acetic acid in the THF-methanol 10:1 v/v solvent mixture, carried out in the field of ultrasound, proved to be the most effective [48,49]. The crude products of the nitro group reduction in α-thioglycosides 5, 6, 13, and 14, as well as in their acetylated analogues 15 and 16 with β-configuration at the anomeric centre were purified by column chromatography to give (5-amino-2-pyridyl) 1-thioglycosides 17–22 in good yields (Scheme 1).
In the next step of these studies, a synthesis of carboxylic group-containing uridine acyclic derivatives, intermediates in the construction of final glycoconjugates was carried out. The structure and corresponding procedures for the synthesis of acyclic uridine derivatives are shown in Scheme 4.
Scheme 4.
Synthesis of acyclic uridine derivatives.
The acyclic derivative of uracil, 3-(2,4-dioxo-3,4-dihydropyrimidin-1(2H)-yl) propanoic acid 24 (Scheme 4) was obtained from 3-(2,4-dioxo-3,4-ethyl dihydropyrimidine-1(2H)-yl) propionate 23 by hydrolysis with 5M HCl at an elevated temperature [50]. Next, [(2,4-2-[(2,4-dioxo-3,4-dihydropyrimidin-1-(2H)-yl) methoxy]acetic acid 27 and 2-[(2,4-dioxo-3,4)-dihydropyrimidine-1-(2H)-yl) methoxy]propanoic acid 28 were obtained. The substrates for their preparation, 1-[(2-hydroxyethoxy)methyl]pyrimidine-2,4 (1H,3H)-dione 25 and 1-[(2-hydroxypropoxy)methyl]pyrimidine-2,4(1H,3H)-dione 26, were synthesised according procedure found in the literature using 1,3-dioxolane or 1,3-dioxane [51]. For the oxidation of compounds 25 and 26, the TEMPO/BAIB oxidation system has been implemented to obtain the desired products [52,53]. This oxidation system proved to be able to give the corresponding carboxylic derivatives 27 and 28 in good yields. The next obtained compound was 2-hydroxyethyl 3-(2,4-dioxo-3,4-dihydropyrimidin-1(2H)-yl)propanoate 29 [54], which was subjected to the oxidation of the terminal hydroxy group by a reaction with the TEMPO/BAIB system in a MeCN:H2O solvent mixture in analogy to the procedure for the preparation of compounds 27 and 28. In this case, ([3-(2,4-dioxo-3,4-dihydropyrimidin-1(2H)-yl)propanoyl] oxyacetic acid 30 was obtained in a moderate yield.
The last synthesised intermediate for the synthesis of acyclic uridine derivatives containing the carboxyl group was dimethyl 2-[(2,4-dioxo-3,4-dihydropyrimidin-1(2H)-yl)methyl]succinate 31 [55]. For selective hydrolysis of one of the ester groups, 31 was subjected to the action of a hydrolytic enzyme. Ester-protecting groups can be removed with proteases or esterases; however, lipases are most often used for this purpose. Methods of enzymatic protection and deprotection of organic compounds are very attractive due to the regio- and stereoselectivity [56]. Attempts of selective deprotection were carried out with the use of lipase immobilised on a fixed bed of Novozyme® 435. The reaction was carried out for 48 h at room temperature using water as the solvent. After isolation and purification of the crude product on silica gel, pure 3-[(2,4-dioxo-3,4-dihydropyrimidin-1(2H)-yl)methyl]-4-oxobutanoic acid 32 was obtained in good yield.
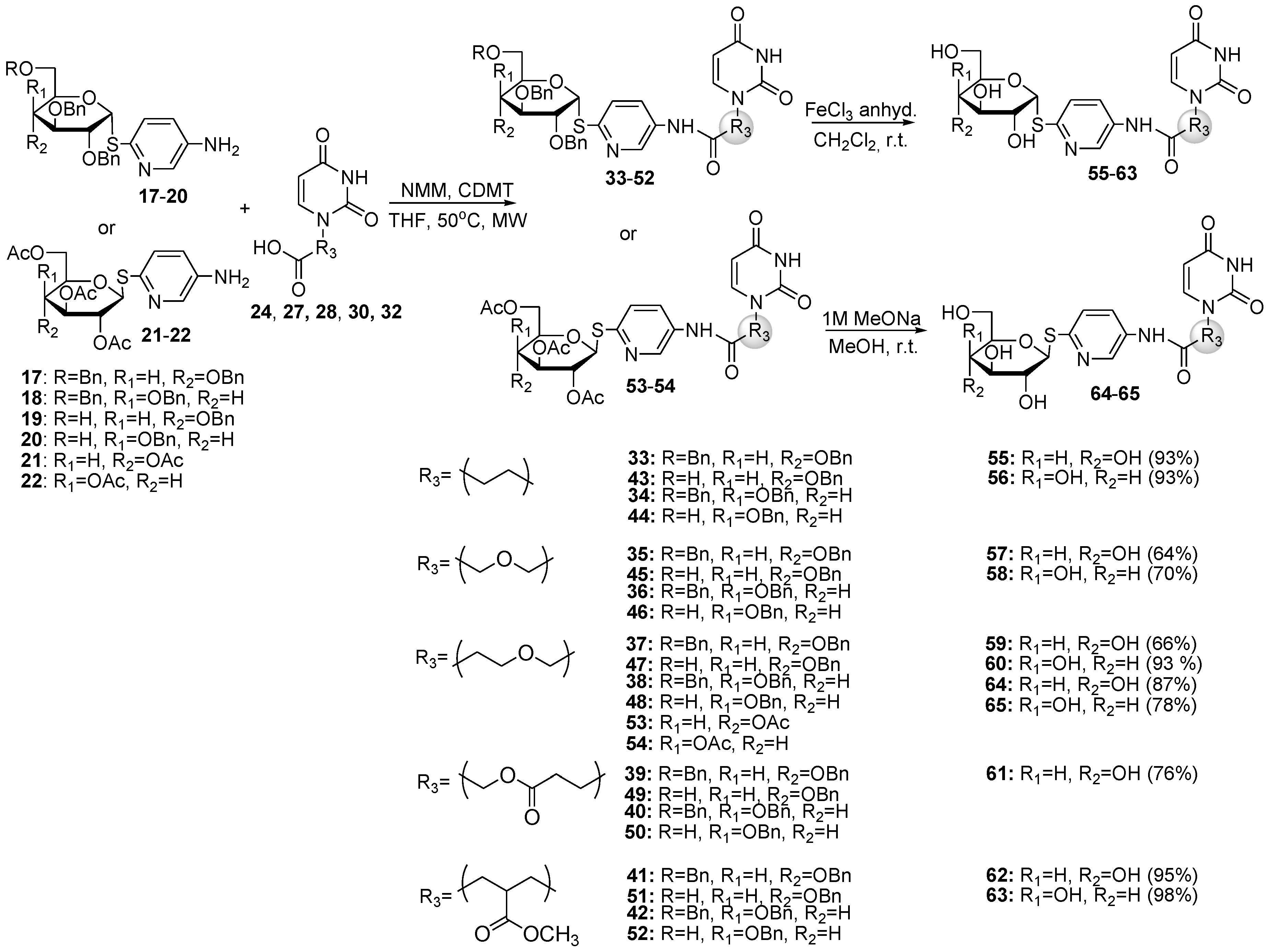
Having all the substrates needed for conjugation, the synthesis of glycoconjugates, the potential donor type inhibitors of the GTs, was performed. A condensation reaction of (5-amino-2-pyridyl) 1-thioglycosides with acyclic uracil derivatives was applied to form an amide bond. Among the many known methods of chemical formation of the amide bond, it was decided to use the method described by Kamiński et al. [57] involving the creation of the so-called superactive esters. This method uses a condensing agent 4-(4,6-dimethoxy-1,3,5-triazin-2-yl)-4-methylmorpholinium chloride (DMTMM), which is obtained in the reaction between 2-chloro-4,6-disubstituted-1,3,5-triazines (CDMT) and N-methylmorpholine (NMM). This reagent can be generated directly in the reaction mixture. In the procedure used for the preparation of glycoconjugates, CDMT and NMM were added to the amine and the acyclic uracil derivative solution in THF. Microwave irradiation allowed for the reduction of the reaction time to a maximum of 4 hours (Scheme 5, Table 2). In order to compare the effect of the opposite configuration at the anomeric centre of the sugar on the final activity of glycoconjugates the synthesis of two glycoconjugates using (5-amino-2-pyridyl) 1-thio-β-d-glycosides 21 and 22 and acyclic uridine derivative 28 was also performed. As a result of the carried out reactions, the desired glycoconjugates 33–54 were obtained in moderate and good yields (Table 2).
Scheme 5.
Synthesis of glycoconjugates of acyclic uridine derivatives.
Table 2.
Yields of glycoconjugates 33–54.
In the glycoconjugates synthesis stages discussed so far, the protection of hydroxyl groups was necessary to ensure high regio- and stereoselectivity of individual steps of the synthesis. However, the obtained glycoconjugates, protected with acetyl or benzyl groups, are poorly soluble in water; therefore, deprotection was necessary before applying glycoconjugates for biological studies. The removal of the acetyl groups in glycoconjugates 53 and 54 was carried out according to Zemplen’s classic reaction conditions by transesterification in methanol with the addition of sodium methoxide [58] allowing the obtainment of glycoconjugates 64 and 65, respectively. In turn, the benzyl group, commonly used in sugar chemistry, is stable in a wide range of reaction conditions and is relatively easy to be removed by catalytic hydrogenation [59,60]. However, due to the presence of a sulphur atom, which is the poison of the catalysts used in the removal reactions of benzyl groups [61,62,63], the deprotection of the obtained glycoconjugates should be carried out using Lewis acids [64]. For this purpose, anhydrous FeCl3 was applied for the deprotection of compounds 33–52 [65]. The reactions were carried out in an inert gas atmosphere. The crude products were purified on silica gel to obtain products 55–63 in moderate and good yields (Scheme 5). Spectroscopic data for a new compounds can be found in Supplementary Materials.
All of the obtained glycoconjugates 33–65 have been tested for their ability to inhibit β-1,4-galactosyltransferase (β4GalT) from bovine milk. The method was developed to perform a preliminary screening for large group of potential inhibitors and is based on the observation of the formation of the product in a reaction catalysed by β4GalT where a d-galactose unit from UDP-Gal molecule is transferred to (6-esculetinyl) β-d-glucopyranoside (esculine) acting as an acceptor molecule. Results are then compared to reactions carried out under the same conditions with the addition of synthesised glycoconjugates. Changes in concentrations of the substrate and the product are determined using RP-HPLC [66].
To determine the inhibition of the enzymatic reaction compounds were screened at 0.8 mM concentrations. To check whether the buffer used in the assay has an effect on the obtained results, several enzymatic reactions with the deprotected glycoconjugates 55–65 were repeated using Hepes buffer and citrate buffer in the pH 5.4. The results of enzymatic reactions were comparable in both cases.
However, none of the protected glycoconjugates demonstrated the ability to inhibit β4GalT. Surprisingly, it was found that the deprotected glycoconjugates 55–63, in which the configuration at the anomeric centre of the sugar unit was the same as in the natural enzyme substrate UDP-Gal, were also not able to inhibit the tested bovine milk β-1,4-galactosyltransferase.
Glycoconjugate 64, which is a β-analogue of the inactive glycoconjugate 59, demonstrated the ability for β4GalT I inhibition with the IC50 value of 0.71 mM, however this value is not low enough for the glycoconjugate to be a potent inhibitor. As an effective inhibitor, a compound showing an IC50 value less than 30 µM would be considered.
It is significant that d-glucose derivative shows the ability to inhibit the enzyme activity, while the corresponding glycoconjugate 65, derivative of d-galactose, is inactive. The presented results indicate that the connection of (5-amino-2-pyridyl) 1-thio-β-d-glucoside with an acyclic uridine derivative 28 via an amide bond allows for the synthesis of the UDP-sugar analogues that can act as glycosyltransferase inhibitors. Because of the relatively low activity of the obtained inhibitor we focused our research on the synthesis of large set of glycoconjugates and not on the mechanism of their action against β4GalT. It cannot be excluded that compound 64 competes with the rest of the glucose used in the acceptor. However, to determine the mechanism of their action further studies are needed.
The next step of the research will be a synthesis of a wide range of glycoconjugates of acyclic derivatives of uridine and 1-thioglycosides with β-configuration at the anomeric center. This will allow us to study the influence of the structure of acyclic uridine derivatives on the inhibitory activity of glycoconjugates and design a new class of inhibitors. In case of outstanding results indicating a high inhibitory activity, the IC50 value determined using the above assay, will be verified by using the procedure described by J.P. Praly and coworkers [26].
3. Materials and Methods
3.1. General Information
NMR spectra were recorded on Agilent Technologies spectrometer at a frequency of 400 MHz using NMR solvents were purchased from ACROS Organics (Geel, Belgium). Coupling constants (J) are in hertz (Hz). Chemical shifts (δ) are expressed in ppm downfield from TMS as an internal standard when CDCl3, DMSO-d6, or CD3OD were used as a solvents or DSS as an internal standard when D2O was used as a solvent. 1H-NMR and 13C-NMR signals of some compounds were assigned with the aid of COSY, HMQC, and HMBC. Microwave irradiation reactions were carried out with Discover BenchMate (CEM Microwave Technology Ltd., Buckingham, United Kingdom). Optical rotations were measured on a JASCO P-2000 polarimeter (JASCO International Co. Ltd., Tokyo, Japan) using a sodium lamp (589.3 nm) at a room temperature. High-resolution mass spectra were obtained using WATERS LCT Premier XE system (high resolution mass spectrometer with TOF analyser). Melting point measurements were performed on OptiMelt (MPA 100) (Stanford Research Systems, Sunnywale, CA, USA). Thin layer chromatography (TLC) reaction controls were performed using fluorescent silica gel 60 F254 (Merck Millipore, Burlington, MA, USA). TLC plates were visualised under UV illumination at 254 nm or charring after spraying with 10% sulphuric acid in ethanol. Crude products were purified using column chromatography performed on Silica Gel 60 (70-230 mesh, Fluka, Bucharest, Romania) developed with CHCl3/MeOH, hexane/EtOAc, or toluene/EtOAc solvent systems. The chromatographic separations (RP-HPLC) were performed using JASCO LC 2000 apparatus equipped with a fluorescence detector on a reverse phase column (Nucleosil 100 C18, 5 µm, 25 × 0.4 cm; mobile phase: H2O/MeCN 90:10, flow rate 0.8 mL/min.). Fluorescence for substrate and product was read at 385 nm excitation/540 nm emission. IC50 value for compound 64 was calculated using the computer program CalcuSyn.
2,3,4,6-Tetra-O-benzyl-d-glucopyranose (1), 2,3,4,6-tetra-O-benzyl-d-galactopyranose (2), 1,6-anhydro-d-glucopyranose (7) and 1,6-anhydro-d-galactopyranose (8) were purchased from Carbosynth Limited. 2,3,4,6-Tetra-O-benzyl-1-O-[N-methyl thionocarbamoyl]-d-glucopyranose (1a), 2,3,4,6-tetra-O-benzyl-1-O-[N-methyl thionocarbamoyl]-d-galactopyranose (2a), 2,3,4,6-tetra-O-benzyl-1-thio-[N-methyl thiolcarbamoyl]-d-glucopyranose (1b), 2,3,4,6-tetra-O-benzyl-1-thio-[N-methyl thiolcarbamoyl]-d-galactopyranose (2b), 2,3,4,6-tetra-O-benzyl-1-thio-d-glucopyranose (3), 2,3,4,6-tetra-O-benzyl-1-thio-d-galactopyranose (4), (5-nitro-2-pyridyl) 2,3,4,6-tetra-O-benzyl-1-thio-d-glucopyranoside (5), (5-nitro-2-pyridyl) 2,3,4,6-tetra-O-benzyl-1-thio-d-galactopyranoside (6) [43], 2,3,4-tri-O-benzyl-1,6-anhydro-β-d-glucopyranose (9), 2,3,4-tri-O-benzyl-1,6-anhydro-β-d-galactopyranose (10) [67], 2,3,4-tri-O-benzyl-1-thio-α-d-glucopyranoside (11), 2,3,4-tri-O-benzyl-1-thio-α-d-galactopyranoside (12) [47], (5-nitro-2-pyridyl) 2,3,4,6-tetra-O-acetyl-1-thio-β-d-glucopyranoside (15), (5-nitro-2-pyridyl) 2,3,4,6-tetra-O-acetyl-1-thio-β-d-galactopyranoside (16) [68], (5-amino-2-pyridyl) 2,3,4,6-tetra-O-acetyl-1-thio-β-d-glucopyranoside (21), (5-amino-2-pyridyl) 2,3,4,6-tetra-O-acetyl-1-thio-β-d-galactopyranoside (22) [34], 3-(2,4-dioxo-3,4-ethyl dihydropyrimidine-1(2H)-yl) propionate (23), 3-(2,4-dioxo-3,4-dihydropyrimidin-1(2H)-yl) propanoic acid (24) [50], 1-[(2-hydroxyethoxy)methyl]pyrimidine-2,4(1H,3H)-dione (25), 1-[(2-hydroxypropoxy)methyl]pyrimidine-2,4(1H,3H)-dione (26) [51], 2-hydroxyethyl 3-(2,4-dioxo-3,4-dihydropyrimidin-1(2H)-yl)propanoate (29) [54], and 2-[(2,4-dioxo-3,4-dihydropyrimidin-1(2H)-yl)methyl]succinate (31) [55] were prepared according to the respective published procedures. 1,6-Anhydro-β-d-glucopyranose (7) and 1,6-anhydro-β-d-galactopyranose (8) were purchased as ready-made compounds. All used chemicals were purchased from Aldrich, Fluka, and ACROS Organics and were used without purification. Bovine milk β-1,4-galactosyltransferase I was purchased from Sigma-Aldrich. Immobilised lipase Novozym® 435 was provided by Novozymes A/S, Bagsvaerd, Denmark.
3.2. Chemistry
3.2.1. Synthesis of (5-nitro-2-pyridyl) 2,3,4-tri-O-benzyl-1-thio-α-d-glycopyranosides 13 and 14
Procedure A. To a solution of 7 or 8 (100 mg, 0.23 mmol) in dry CH2Cl2 (5 mL) 2-mercapto-5-nitropyridine (119 mg, 0.76 mmol) and BF3.Et2O (30 µL, 0.23 mmol) were added. The resulting mixture was heated under reflux for 32–40 h. The reaction progress was monitored on TLC plate in toluene:AcOEt (4:1 v/v) solvent system. After completion, the reaction mixture was filtered through a celite pad, filtrate was diluted with CH2Cl2 (10 mL) and washed with saturated NaHCO3 (10 mL) and brine (10 mL), dried with anhydr. MgSO4, filtered, and concentrated under vacuum. The crude products 13 or 14 were purified by column chromatography.
Procedure B. To a solution of 9 or 10 (466 mg, 1 mmol) in dry acetone (10 mL) 2-chloro-5-nitropyridine (174 mg, 1.1 mmol) and anhydrous K2CO3 (552 mg, 4 mmol) were added. The resulting mixture was stirred at room temperature. The reaction progress was monitored on TLC plate in toluene:AcOEt (4:1 v/v) solvent system. The resulting suspension was stirred for 2 h at room temperature. K2CO3 was filtered off and the filtrate was evaporated. The crude products 13 or 14 were purified by column chromatography (toluene:AcOEt; gradient 12:1 to 4:1 v/v).
(5-Nitro-2-pyridyl) 2,3,4-tri-O-benzyl-1-thio-α-d-glucopyranoside (13): white solid. Procedure A: (49 mg, 36%). Procedure B: (512 mg, 87%): m.p. of 113–115 °C; 77.9 (c 1.0, CHCl3). 1H-NMR (400 MHz, CDCl3): δ 3.64 (dd, 1H, J = 8.9 Hz, J = 9.8 Hz, H-4), 3.69–3.74 (m, 2H, H-6a, H-6b), 3.81 (dd~t, 1H, J < 1 Hz, J = 9.2 Hz, H-3), 3.90 (ddd~dt, 1H, J = 3.2 Hz, J = 9.9 Hz, H-5), 3.96 (dd, 1H, J = 5.4 Hz, J = 9.6 Hz, H-2), 4.69, 4.72 (qAB, 2H, J = 11.4 Hz, CH2Ph), 4.66, 4.89 (qAB, 2H, J = 11.0 Hz, CH2Ph), 4.83, 4.99 (qAB, 2H, J = 10.9 Hz, CH2Ph), 6.67 (d, 1H, J = 5.4 Hz, H-1), 7.25–7.39 (m, 16H, H-Ph, H-3pyr), 8.27 (dd, 1H, J = 2.7 Hz, J = 8.8 Hz, H-4pyr), 9.25 (d, 1H, J = 2.6 Hz, H-6pyr). 13C-NMR (100 MHz, CDCl3): δ 61.91 (C-6), 72.93, 75.21, 75.71 (CH2Ph), 74.10 (C-5); 76.59 (C-4), 78.99 (C-2), 82.75 (C-3), 83.16 (C-1), 122.79 (C-3pyr), 127.75, 127.95, 127.99, 128.01, 128.03, 128.07, 128.39, 128.43, 128.47, 128.52 (C-Ph), 130.97 (C-4pyr), 137.26, 137.89, 138.38 (C-Ph), 141.70 (C-5pyr), 145.03 (C-6pyr), 165.31 (C-2pyr). HRMS (ESI) (m/z): [M + Na]+ calcd for C32H32N2NaO7S, 611.1828; found, 611.1804.
(5-Nitro-2-pyridyl) 2,3,4-tri-O-benzyl-1-thio-α-d-galactopyranoside (14): white solid. Procedure A: (16 mg, 12%). Procedure B: (476 mg, 81%): m.p. of 93–94 °C; 43.6 (c 1.0, CHCl3). 1H-NMR (400 MHz, CDCl3): δ 3.53 (ddd, 1H, J = 5.2 Hz, J = 9.2 Hz, J = 11.6 Hz, H-6a), 3.77 (dd, 1H, J = 2.9 Hz, J = 9.0 Hz, H-3), 3.84 (m, 1H, H-6b), 3.96 (dd, 1H, J < 1 Hz, J = 2.5 Hz, H-4), 4.03 (ddd, 1H, J = 2.0 Hz, J = 5.2 Hz, J = 7.1 Hz, H-5), 4.38 (dd, 1H, J = 4.9 Hz, J = 9.0 Hz, H-2), 4.72 (s, 2H, CH2Ph); 4.76, 4.84 (qAB, 2H, J = 11.8 Hz, CH2Ph), 4.64, 4.91 (qAB, 2H, J = 11.6 Hz, CH2Ph), 6.61 (d, 1H, J = 4.9 Hz, H-1), 7.25–7.38 (m, 16H, H-Ph, H-3pyr), 8.25 (dd, 1H, J = 2.7 Hz, J = 8.8 Hz, H-4pyr), 9.23 (dd, 1H, J = 0.7 Hz, J = 2.7 Hz, H-6pyr). 13C-NMR (100 MHz, CDCl3): δ 61.26 (C-6); 73.07, 73.99, 74.08 (CH2Ph), 73.70 (C-5), 74.16 (C-4); 76.11 (C-2), 78.86 (C-3), 82.67 (C-1), 122.50 (C-3pyr), 127.64, 127.80, 127.90, 127.93, 128.04, 128.32, 128.39, 128.48, 128.51 (C-Ph), 130.91 (C-4pyr), 137.54, 137.94, 138.21 (C-Ph), 141.57 (C-5pyr), 145.05 (C-6pyr), 165.96 (C-2pyr). HRMS (ESI) (m/z): [M + Na]+ calcd for C32H32N2NaO7S, 611.1828; found, 611.1840.
3.2.2. Synthesis of (5-amino-2-pyridyl) O-benzyl-1-thio-α-d-glycosides 17–20
General procedure: Corresponding (5-nitro-2-pyridyl) 1-thioglycoside 5, 6, 13, or 14 (2.83 mmol) was dissolved in THF (56 mL). Then AcOH (1.13 mL, 20.0 mmol) and powdered iron (3.17 g, 56.60 mmol) were added. The resulting suspension was sonicated for 1 h in 50°C and MeOH (28 mL) was added. After complete consumption of the substrate (1.5 h–2 h) the solids were filtered off and the filtrate was evaporated. The residue was dissolved in toluene (100 mL), washed with water (3 × 100 mL) and brine (1 × 50 mL). The organic layer was dried over MgSO4.
(5-Amino-2-pyridyl) 2,3,4,6-tetra-O-benzyl-1-thio-α-d-glucopyranoside (17): The residue was purified by column chromatography with toluene:EtOAc solvents system (16:1 to 6:1 (v/v)) to give an orange syrup (1.596 g, 87%): 20.2 (c 1.0, CHCl3). 1H-NMR (400 MHz, CDCl3): δ 3.64 (bs, 2H, NH2), 3.57 (dd, 1H, J = 1.8 Hz, J = 10.8 Hz, H-6a), 3.66 (dd~t, 1H, J = 9.4 Hz, H-4), 3.73 (dd, 1H, J = 3.9 Hz, J = 10.8 Hz, H-6b), 3.86 (dd~t, 1H, J = 9.2 Hz, H-3), 3.94 (dd, 1H, J = 5.3 Hz, J = 9.6 Hz, H-2), 4.23 (dd, 1H, J = 1.9 Hz, J = 3.7 Hz, J = 9.9 Hz, H-5), 4.37, 4.53 (qAB, 2H, J = 12.1 Hz, CH2Ph), 4.63, 4.83 (qAB, 2H, J = 11.6 Hz, CH2Ph), 4.49, 4.84 (qAB, 2H, J = 11.0 Hz, CH2Ph), 4.78, 4.99 (qAB, 2H, J = 10.9 Hz, CH2Ph), 6.28 (d, 1H, J = 5.3 Hz, H-1), 6.80 (dd, 1H, J = 2.9 Hz, J = 8.4 Hz, H-4pyr), 7.12–7.39 (m, 21H, H-Ph, H-3pyr), 8.01 (d, 1H, J = 2.9 Hz, H-6pyr). 13C-NMR (100 MHz, CDCl3): δ 68.66 (C-6), 71.89 (C-5), 72.01, 73.27, 75.02, 75.65 (CH2Ph), 77.41 (C-4); 79.36 (C-2), 82.80 (C-3), 84.92 (C-1), 122.85 (C-3pyr), 126.39 (C-4pyr), 127.51, 127.52, 127.60, 127.79, 127.82, 127.99, 128.09, 128.25, 128.32 (C-Ph), 137.62 (C-6pyr), 137.80, 138.06, 138.33, 138.76 (C-Ph), 140.78 (C-5pyr), 144.03 (C-2pyr). HRMS (ESI) (m/z): [M + Na]+ calcd for C39H40N2NaO5S, 671.2556; found, 671.2515.
(5-Amino-2-pyridyl) 2,3,4,6-tetra-O-benzyl-1-thio-α-d-galactopyranoside (18): The residue was purified by column chromatography with toluene:EtOAc solvents system (16:1 to 6:1 [v/v]) to give an orange syrup (1.431 g, 78%): 79.1 (c 0.8, CHCl3). 1H-NMR (400 MHz, CDCl3): δ 3.55 (bs, 2H, NH2); 3.46 (dd, 1H, J = 6.1 Hz, J = 9.6 Hz, H-6a), 3.55 (dd, 1H, J = 6.7 Hz, J = 9.6 Hz, H-6b), 3.82 (dd, 1H, J = 2.9 Hz, J = 9.9 Hz, H-3), 3.98 (dd, 1H, J = 1.1 Hz, J = 2.8 Hz, H-4), 4.29–4.42 (m, 4H, H-2, H-5, CH2Ph), 4.66, 4.83 (qAB, 2H, J = 11.6 Hz, CH2Ph), 4.72, 4.86 (qAB, 2H, J = 11.9 Hz, CH2Ph), 4.57, 4.95 (qAB, 2H, J = 11.6 Hz, CH2Ph), 6.25 (d, 1H, J = 5.4 Hz, H-1), 6.73 (dd, 1H, J = 2.9 Hz, J = 8.4 Hz, H-4pyr), 7.12–7.40 (m, 21H, H-Ph, H-3pyr), 7.97 (dd, 1H, J = 0.5 Hz, J = 2.9 Hz, H-6pyr). 13C-NMR (100 MHz, CDCl3): δ 68.76 (C-6); 70.86 (C-5), 72.21, 73.16, 73.37, 74.74 (CH2Ph), 75.15 (C-4), 76.22 (C-2), 79.57 (C-3), 85.53 (C-1), 122.81 (C-3pyr), 126.55 (C-4pyr), 127.43, 127.46, 127.47, 127.49, 127.66, 127.88, 128.04, 128.16, 128.20, 128.25, 128.30 (C-Ph), 137.53 (C-6pyr), 138.14, 138.17, 138.68, 138.74 (C-Ph), 140.73 (C-5pyr), 144.27 (C-2pyr). HRMS (ESI) (m/z): [M + Na]+ calcd for C39H40N2NaO5S, 671.2556; found, 671.2498.
(5-Amino-2-pyridyl) 2,3,4-tri-O-benzyl-1-thio-α-d-glucopyranoside (19): The residue was purified by column chromatography with toluene:EtOAc solvents system (1:1 to 1:4 [v/v]) to give an orange syrup (1.042 g, 66%): 176.0 (c 1.0, CHCl3). 1H-NMR (400 MHz, CDCl3): δ 3.54 (m, 1H, H-4), 3.65 (dd, 1H, J = 4.9 Hz, J = 11.8 Hz, H-6a), 3.72 (bs, 2H, NH2), 3.75 (d, J = 2.4 Hz, 1H, H-6b), 3.84–3.93 (m, 2H, H-2, H-3), 4.17 (ddd, 1H, J = 2.7 Hz, J = 4.8 Hz, J = 9.9 Hz, H-5), 4.64, 4.82 (qAB, 2H, J = 11.6 Hz, CH2Ph), 4.63, 4.87 (qAB, 2H, J = 11.0 Hz, CH2Ph), 4.80, 4.98 (qAB, 2H, J = 10.9 Hz, CH2Ph), 6.23 (d, 1H, J = 4.7 Hz, H-1), 6.89 (dd, 1H, J = 2.9 Hz, J = 8.4 Hz, H-4pyr), 7.16 (d, 1H, J = 7.2 Hz, H-3pyr); 7.25–7.40 (m, 15H, H-Ph), 8.02 (d, 1H, J = 2.9 Hz, H-6pyr). 13C-NMR (100 MHz, CDCl3): δ 61.95 (C-6), 72.58 (C-5), 72.16, 75.03, 75.63 (CH2Ph), 77.32 (C-4), 79.49 (C-2), 82.68 (C-3), 84.51 (C-1), 122.86 (C-4pyr), 126.74 (C-3pyr), 127.57, 127.76, 127.78, 127.81, 127.97, 127.98, 128.09, 128.34, 128.36, 128.43 (C-Ph), 137.69, 138.13, 138.67 (C-Ph), 137.69 (C-6pyr), 141.39 (C-5pyr), 143.49 (C-2pyr). HRMS (ESI) (m/z): [M + Na]+ calcd for C32H34N2NaO5S, 581.2086; found, 581.2094.
(5-Amino-2-pyridyl) 2,3,4-tri-O-benzyl-1-thio-α-d-galactopyranoside (20): The residue was purified by column chromatography with toluene:EtOAc solvents system (4:1 to 1:4 [v/v]) to give an orange syrup (1.216 g, 77%): 124.2 (c 1.0, CHCl3). 1H-NMR (400 MHz, CDCl3): δ 3.48 (dd, 1H, J = 4.1 Hz, J = 11.6 Hz, H-6a), 3.65 (bs, 2H, NH2), 3.84 (dd, 1H, J = 3.0 Hz, J = 8.8 Hz, H-3), 3.89 (dd, 1H, J = 8.0 Hz, J = 11.5 Hz, H-6b), 3.92 (dd~t, J = 2.5 Hz, H-4), 4.26–4.35 (m, 2H, H-2, H-5), 4.61, 4.80 (qAB, 2H, J = 11.7 Hz, CH2Ph), 4.72, 4.82 (qAB, 2H, J = 11.9 Hz, CH2Ph), 4.67, 4.87 (qAB, 2H, J = 11.7 Hz, CH2Ph), 6.11 (d, 1H, J = 4.8 Hz, H-1), 6.87 (dd, 1H, J = 2.6 Hz, J = 8.4 Hz, H-4pyr), 7.17 (d, 1H, J = 8.4 Hz, H-3pyr), 7.26–7.41 (m, 15H, H-Ph), 7.98 (d, 1H, J = 2.6 Hz, H-6pyr). 13C-NMR (100 MHz, CDCl3): δ 61.76 (C-6), 72.52, 73.65, 73.97 (CH2Ph), 72.88 (C-5), 74.85 (C-4), 76.83 (C-2), 78.75 (C-3), 83.85 (C-1), 122.82 (C-3pyr), 126.97 (C-4pyr), 127.61, 127.64, 127.67, 127.82, 127.97, 128.21, 128.30, 128.39 (C-Ph), 137.67 (C-5pyr), 138.02, 138.19, 138.54 (C-Ph), 141.10 (C-6pyr), 143.73 (C-2pyr). HRMS (ESI) (m/z): [M + Na]+ calcd for C32H34N2NaO5S, 581.2086; found, 581.2095.
3.2.3. Synthesis of Acyclic Uridine Derivatives
General procedure for the synthesis of 2-[(2,4-dioxo-3,4-dihydropyrimydine-1(2H)-yl) methoxy] acetic acid (27), 2-[(2,4-dioxo-3,4-dihydropyrimydine-1(2H)-yl)methoxy]propanoic acid (28), and ([3-(2,4-dioxo-3,4-dihydropyrimydin-1(2H)-ylo)propanoil]oxy)acetic acid (30). Corresponding substrate 25, 26, or 29 (1.70 mmol) was dissolved in MeCN:H2O solvent system (1:1 (v/v)) (20 mL). TEMPO (106 mg, 0.34 mmol) and BAIB (747 mg, 3.77 mmol) were added. The resulting mixture was stirred for 120 h at room temperature. After complete consumption of the substrate solution was evaporated. To the residue Et2O (5 mL) was added, stirred for 5 min and the supernatant was decanted. The operation was repeated three times. The crude product was crystallised from ethanol.
2-[(2,4-Dioxo-3,4-dihydropyrimidin-1(2H)-yl)methoxy]acetic acid (27) white solid (284 mg, 78%): m.p. 179–180 °C. 1H-NMR (400 MHz, DMSO): δ 4.14 (s, 2H, CH2COO), 5.14 (s, 2H, CH2N), 5.60 (dd, 1H, J = 7.9 Hz, J = 2.1 Hz, H-5ur); 7.71 (d, 1H, J = 7.9 Hz, H-6ur), 11.30 (bs, 1H, NH), 12.73 (bs, 1H, OH). 13C-NMR (100 MHz, DMSO): δ 66.11 (CH2O), 76.53 (CH2N), 101.68 (C-5ur), 145.00 (C-6ur), 151.22 (C-2ur), 163.15 (C-4ur), 171.06 (COO). HRMS (ESI) (m/z): [M − H]+ calcd for C7H9N2O5, 201.0511; found, 201.0512.
2-[(2,4-Dioxo-3,4-dihydropyrimidin-1(2H)-yl)methoxy]propanoic acid (28) white solid (279 mg, 82%): m.p. 164–166 °C. 1H-NMR (400 MHz, DMSO): δ 2.45 (t, 2H, J = 6.2 Hz, CH2COO), 3.68 (t, 2H, J = 6.2 Hz, CH2O), 5.06 (s, 2H, CH2N), 5.60 (d, 1H, J = 7.9 Hz, H-5ur), 7.68 (d, 1H, J = 7.9 Hz, H-6ur), 11.31 (bs, 1H, NH). 13C-NMR (100 MHz, DMSO): δ 34.46 (CH2COO), 64.53 (CH2O), 76.22 (CH2N), 101.54 (C-5ur), 144.86 (C-6ur), 151.05 (C-2ur), 163.54 (C-4ur), 172.26 (COO). HRMS (ESI) (m/z): [M − H]+ calcd for C8H11N2O5, 215.0668; found, 215.0667.
([3-(2,4-Dioxo-3,4-dihydropyrimydin-1(2H)-ylo)propanoil]oxy)acetic acid (30) white solid (123 mg, 30%): m.p. 176–178 °C. 1H-NMR (400 MHz, DMSO): δ 2.78 (t, 2H, J = 6.8 Hz, CH2CO), 3.90 (t, 2H, J = 6.8 Hz, CH2CO), 4.57 (s, 2H, OCH2CO), 5.51 (dd, 1H, J = 2.0 Hz, J = 7.6 Hz, H-5ur), 7.63 (d, 1H, J = 7.6 Hz, H-6ur), 11.24 (s, 1H, NH). 13C-NMR (100 MHz, DMSO): δ 32.23 (CH2), 43.89 (CH2N), 60.78 (CH2O), 100.63 (C-5ur), 146.04 (C-6ur), 150.81 (C-2ur), 163.69 (C-4ur), 168.86, 170.35 (COO). HRMS (ESI) (m/z): [M − H]− calcd for C9H9N2O6, 241.0461; found, 241.0479.
Synthesis of 3-[(2,4-dioxo-3,4-dihydropyrimidin-1(2H)-yl)methyl]-methoxy-4-oxobutanoic acid (32)
Dimethyl 2-[(2,4-dioxo-3,4-dihydropyrimidin-1(2H)-yl)methyl]succinate (31) (135 mg, 0.50 mmol) was dissolved in distilled water (5 mL). Immobilised lipase (Novozym® 435) was added. The resulting suspension was stirred for 48 h at room temperature. After complete consumption of the substrate the solids were filtered off and the filtrate was evaporated. The residue was dissolved in MeOH (5 mL), the silica gel was added, solvent was evaporated and purified by column chromatography with CHCl3:MeOH solvent system (5:1 to 2:1 [v/v]). Product 32 was obtained as white crystals (93 mg, 80%): m.p. >130 °C with decomposition; 1H-NMR (400 MHz, DMSO): δ 2.30 (dd, 1H, J = 5.2 Hz, J = 16.6 Hz, CHHCOO), 2.40 (dd, 1H, J = 8.6 Hz, J = 16.6 Hz, CHHCOO), 3.03 (m, 1H, CH), 3.53 (s, 3H, CH3), 3.81 (dd, 1H, J = 6.1 Hz, J = 13.7 Hz, CHHN), 3.88 (dd, 1H, J = 8.2 Hz, J = 13.7 Hz, CHHN), 5.53 (d, 1H, J = 7.9 Hz, H-5ur), 7.56 (d, 1H, J = 7.9 Hz, H-6ur), 11.24 (bs, 1H, NH). 13C-NMR (100 MHz, DMSO): δ 36.97 (CH2COO), 41.71 (CH), 49.12 (CH2N), 51.25 (CH3), 100.49 (C-5ur), 146.05 (C-6ur), 150.87 (C-2ur), 163.65 (C-4ur), 172.32, 173.85 (COOH, COOCH3). HRMS (ESI) (m/z): [M − H]− calcd for C10H11N2O6, 255.0617; found, 255.0622.
3.2.4. Synthesis of Glycoconjugates 33–54
General procedure. The corresponding amine derivative 17–22 (0.25 mmol) and acyclic uracil derivative 24, 27, 28, 30, or 32 (0.40 mmol) were dissolved in dry THF (6 mL) and MeOH (1 mL). The CDMT (70 mg, 0.40 mmol) and N-methylmorpholine (55 mg, 0.55 mmol) were added. The resulting mixture was microwaved in a reactor set at 50 °C for 1.5–4 h. The progress of the reaction was monitored on TLC plate in toluene:AcOEt (1:1) solvent system. After completion, the reaction mixtures were concentrated, dissolved in CH2Cl2 (50 mL), washed with water (20 mL), saturated NaHCO3 (20 mL), and with brine (20 mL). The organic layer was dried over MgSO4, the adsorbent was filtered off and the filtrate was concentrated to give crude products 33–54 which were purified directly by column chromatography with an appropriate solvent system as indicated.
Glycoconjugate (33) Starting from amine derivative 17 and uracil derivative 24, purified by column chromatography in CHCl3:MeOH solvent system (100:1 do 25:1 (v/v)) to give thick syrup (75 mg, 37%): 134.5 (c 1.0, CHCl3). 1H-NMR (400 MHz, CDCl3): δ 2.78 (m, 2H, CH2CO), 3.57 (dd, 1H, J = 1.7 Hz, J = 10.7 Hz, H-6a), 3.67 (dd, 1H, J = 8.8 Hz, J = 10.0 Hz, H-4), 3.72 (dd, 1H, J = 3.8 Hz, J = 10.9 Hz, H-6b), 3.81 (dd~t, 1H, J = 9.2 Hz, H-3), 3.92–4.01 (m, 3H, H-2, CH2N), 4.13 (ddd, 1H, J = 2.0 Hz, J = 3.5 Hz, J = 10.1 Hz, H-5), 4.35, 4.51 (qAB, 2H, J = 12.1 Hz, CH2Ph), 4.60, 4.78 (qAB, 2H, J = 11.3 Hz, CH2Ph), 4.48, 4.83 (qAB, 2H, J = 11.0 Hz, CH2Ph), 4.78, 4.97 (qAB, 2H, J = 10.9 Hz, CH2Ph), 5.42 (d, 1H, J = 7.9 Hz, H-5ur), 6.47 (d, 1H, J = 5.4 Hz, H-1), 7.12–7.34 (m, 22H, H-Ph, H-6ur, H-3pyr), 7.95 (dd, 1H, J = 2.5 Hz, J = 8.7 Hz, H-4pyr), 8.54 (d, 1H, J = 2.5 Hz, H-6pyr), 9.14 (s, 1H, NH), 10.68 (bs, 1H, NH). 13C-NMR (100 MHz, CDCl3): δ 35.48 (CH2CO), 46.10 (CH2N), 68.53 (C-6), 72.38 (C-5), 72.17, 73.21, 75.07, 75.64 (CH2Ph), 77.18 (C-4); 79.10 (C-2), 82.83 (C-3), 83.96 (C-1), 101.67 (C-5ur), 124.14 (C-3pyr), 127.60, 127.67, 127.77, 128.80, 127.82, 127.96, 127.98, 128.29, 128.33, 128.34 (C-Ph, C-4pyr), 132.70 (C-5pyr), 137.59, 137.82, 138.14, 138.59 (C-Ph), 141.47 (C-6pyr), 146.42 (C-6ur), 151.19 (C-2pyr), 151.43 (C-2ur), 164.88 (C-4ur), 169.06 (NHCO). HRMS (ESI) (m/z): [M + Na]+ calcd for C46H46N4NaO8S, 837.2934; found, 837.3016.
Glycoconjugate (34) Starting from amine derivative 18 and uracil derivative 24, purified by column chromatography in CHCl3:MeOH solvent system (100:1 to 25:1 (v/v)) to give thick syrup (136 mg, 67%): 70.3 (c 1.0, CHCl3). 1H-NMR (400 MHz, CDCl3): δ 2.71 (m, 2H, CH2CO), 3.47 (dd, 1H, J = 6.1 Hz, J = 9.5 Hz, H-6a), 3.54 (dd, 1H, J = 6.7 Hz, J = 9.6 Hz, H-6b), 3.75 (dd, 1H, J = 2.8 Hz, J = 9.9 Hz, H-3), 3.89 (m, 2H, CH2N), 3.96 (m, 1H, H-4), 4.28 (m, 1H, H-5), 4.29, 4.34 (qAB, 2H, J = 11.7 Hz, CH2Ph), 4.40 (dd, 1H, J = 5.4 Hz, J = 9.9 Hz, H-2), 4.64, 4.75 (qAB, 2H, J = 11.6 Hz, CH2Ph), 4.72, 4.84 (qAB, 2H, J = 11.9 Hz, CH2Ph), 4.55, 4.93 (qAB, 2H, J = 11.4 Hz, CH2Ph), 5.34 (d, 1H, J = 7.9 Hz, H-5ur), 6.44 (d, 1H, J = 5.4 Hz, H-1), 7.12–7.39 (m, 22H, H-Ph, H-6ur, H-3pyr), 7.92 (dd, 1H, J = 2.6 Hz, J = 8.7 Hz, H-4pyr), 8.50 (d, 1H, J = 2.6 Hz, H-6pyr), 9.10 (s, 1H, NH), 10.75 (bs, 1H, NH). 13C-NMR (100 MHz, CDCl3): δ 46.04 (CH2N), 35.44 (CH2CO), 68.64 (C-6), 71.38 (C-5), 72.34, 73.16, 73.31, 74.79 (CH2Ph), 74.88 (C-4), 75.87 (C-2); 79.66 (C-3); 84.67 (C-1), 101.63 (C-5ur), 124.11 (C-3pyr), 127.47, 127.54, 127.57, 127.64, 127.80, 128.09, 128.19, 128.22, 128.29, 128.31 (C-Ph, C-4pyr), 132.61 (C-5pyr), 137.85, 137.97, 138.50, 138.57 (C-Ph), 141.43 (C-6pyr), 143.46 (C-6ur), 151.42 (C-2pyr), 151.56 (C-2ur), 164.89 (C-4ur), 169.03 (NHCO). HRMS (ESI) (m/z): [M + Na]+ calcd for C46H46N4NaO8S, 837.2934; found, 837.2966.
Glycoconjugate (35) Starting from amine derivative 17 and uracil derivative 27, purified by column chromatography in CHCl3:MeOH solvent system (100:1 to 25:1 (v/v)) to give thick syrup (81 mg, 39%): 122.0 (c 1.0, CHCl3). 1H-NMR (400 MHz, CDCl3): δ 3.57 (dd, 1H, J = 1.9 Hz, J = 10.8 Hz, H-6a), 3.65–3.75 (m, 2H, H-6b, H-4), 3.82 (dd~t, 1H, J = 9.2 Hz, H-3), 3.97 (dd, 1H, J = 5.4 Hz, J = 9.6 Hz, H-2), 4.13 (ddd, 1H, J = 1.9 Hz, J = 3.5 Hz, J = 10.1 Hz, H-5), 4.21 (s, 2H, CH2N), 4.37, 4.52 (qAB, 2H, J = 12.0 Hz, CH2Ph), 4.64, 4.77 (qAB, 2H, J = 11.6 Hz, CH2Ph), 4.49, 4.83 (qAB, 2H, J = 10.8 Hz, CH2Ph), 4.79, 4.98 (qAB, 2H, J = 10.9 Hz, CH2Ph), 5.77 (d, 1H, J = 7.9 Hz, H-5ur), 6.51 (d, 1H, J = 5.4 Hz, H-1), 7.13–7.34 (m, 22H, H-Ph, H-6ur, H-3pyr), 8.05 (dd, 1H, J = 2.6 Hz, J = 8.7 Hz, H-4pyr), 8.62 (d, 1H, J = 2.6 Hz, H-6pyr), 8.85 (s, 1H, NH), 9.30 (bs, 1H, NH). 13C-NMR (100 MHz, CDCl3): δ 68.02 (CH2N), 68.51 (C-6), 72.43 (C-5), 72.25, 73.27, 75.07, 75.65 (CH2Ph), 77.18 (C-4), 78.02 (CH2O), 79.13 (C-2), 82.87 (C-3), 83.91 (C-1), 103.61 (C-5ur), 124.21 (C-3pyr), 127.57, 127.61, 127.66, 128.78, 127.83, 127.84, 127.97, 128.03, 128.16, 128.29, 128.33, 128.35 (C-Ph, C-4pyr), 131.78 (C-5pyr), 137.61, 137.85, 138.19, 138.62 (C-Ph), 141.33 (C-6pyr), 143.41 (C-6ur), 151.18 (C-2pyr), 151.84 (C-2ur), 162.94 (C-4ur), 166.86 (NHCO). HRMS (ESI) (m/z): [M + Na]+ calcd for C46H46N4NaO9S, 853.2883; found, 853.2696.
Glycoconjugate (36) Starting from amine derivative 18 and uracil derivative 27, purified by column chromatography in CHCl3:MeOH solvent system (100:1 to 25:1 (v/v)) to give thick syrup (145 mg, 70%): 96.5 (c 1.0, CHCl3). 1H-NMR (400 MHz, CDCl3) δ 3.46 (dd, 1H, J = 6.0 Hz, J = 9.6 Hz, H-6a), 3.55 (dd, 1H, J = 6.8 Hz, J = 9.6 Hz, H-6b), 3.77 (dd, 1H, J = 2.8 Hz, J = 10.0 Hz, H-3), 3.98 (dd, 1H, J = 1.0 Hz, J = 2.8 Hz, H-4), 4.18 (s, 2H, CH2N); 4.29 (dd~t, 1H, J = 6.7 Hz, H-5), 4.30, 4.36 (qAB, 2H, J = 11.7 Hz, CH2Ph), 4.42 (dd, 1H, J = 5.4 Hz, J = 10.0 Hz, H-2), 4.67, 4.78 (qAB, 2H, J = 11.6 Hz, CH2Ph); 4.73, 4.86 (qAB, 2H, J = 11.9 Hz, CH2Ph), 4.56, 4.95 (qAB, 2H, J = 11.4 Hz, CH2Ph), 5.11 (s, 2H, CH2O), 5.75 (d, 1H, J = 7.9 Hz, H-5ur), 6.48 (d, 1H, J = 5.4 Hz, H-1), 7.15–7.38 (m, 22H, H-Ph, H-6ur, H-3pyr), 8.02 (dd, 1H, J = 2.6 Hz, J = 8.7 Hz, H-4pyr), 8.58 (d, 1H, J = 2.6 Hz, H-6pyr), 8.82 (s, 1H, NH), 9.40 (bs, 1H, NH). 13C-NMR (100 MHz, CDCl3) δ 68.00 (CH2N), 68.59 (C-6), 71.40 (C-5), 72.43, 73.22, 73.34, 74.83 (CH2Ph), 74.94 (C-4), 75.91 (C-2), 78.00 (CH2O), 79.70 (C-3), 84.59 (C-1), 103.54 (C-5ur), 124.18 (C-3pyr), 127.49, 127.55, 127.57, 127.60, 127.72, 127.85, 128.10, 128.20, 128.24, 128.30, 128.33 (C-Ph, C-4pyr), 131.69 (C-5pyr), 137.88, 138.00, 138.54, 138.60 (C-Ph), 141.24 (C-6pyr), 143.46 (C-6ur), 151.14 (C-2pyr), 152.26 (C-2ur); 163.07 (C-4ur), 166.86 (NHCO). HRMS (ESI) (m/z): [M + Na]+ calcd for C46H46N4NaO9S, 853.2883; found, 853.2769.
Glycoconjugate (37) Starting from amine derivative 17 and uracil derivative 28, purified by column chromatography in CHCl3:MeOH solvent system (100:1 to 25:1 (v/v)) to give thick syrup (103 mg, 49%): 133.4 (c 1.0, CHCl3). 1H-NMR (400 MHz, CDCl3): δ 2.66 (t, 2H, J = 5.7 Hz, CH2CO), 3.56 (dd, 1H, J = 1.8 Hz, J = 10.8 Hz, H-6a), 3.64–3.75 (m, 2H, H-6b, H-4), 3.82 (dd~t, 1H, J = 9.2 Hz, H-3), 3.88 (t, 2H, J = 5.8 Hz, CH2O), 3.95 (dd, 1H, J = 5.4 Hz, J = 9.5 Hz, H-2), 4.14 (ddd, 1H, J = 1.9 Hz, J = 3.5 Hz, J = 10.0 Hz, H-5), 4.35, 4.51 (qAB, 2H, J = 12.0 Hz, CH2Ph), 4.61, 4.75 (qAB, 2H, J = 11.5 Hz, CH2Ph), 4.48, 4.83 (qAB, 2H, J = 10.8 Hz, CH2Ph), 4.78, 4.97 (qAB, 2H, J = 10.8 Hz, CH2Ph), 5.13 (s, 2H, CH2N), 5.77 (d, 1H, J = 7.9 Hz, H-5ur), 6.45 (d, 1H, J = 5.4 Hz, H-1), 7.11–7.34 (m, 22H, H-Ph, H-6ur, H-3pyr), 8.04 (dd, 1H, J = 2.6 Hz, J = 8.7 Hz, H-4pyr), 8.47 (d, 1H, J = 2.6 Hz, H-6pyr), 8.85 (s, 1H, NH), 9.54 (bs, 1H, NH). 13C-NMR (100 MHz, CDCl3): δ 37.29 (CH2CO), 65.30 (CH2O), 68.50 (C-6), 72.32 (C-5), 72.20, 73.27, 75.07, 75.65 (CH2Ph), 77.18 (C-4); 77.23 (CH2N), 79.13 (C-2), 82.82 (C-3), 84.04 (C-1), 103.25 (C-5ur), 124.36 (C-3pyr), 127.58, 127.62, 127.67, 128.78, 127.83, 127.86, 127.97, 128.00, 128.20, 128.29, 128.33, 128.35 (C-Ph, C-4pyr), 132.80 (C-5pyr), 137.59, 137.79, 138.17, 138.60 (C-Ph), 141.07 (C-6pyr), 143.53 (C-6ur), 151.07 (C-2pyr), 151.33 (C-2ur), 163.33 (C-4ur), 166.29 (NHCO). HRMS (ESI) (m/z) [M + Na]+ calc for C47H48N4NaO9S, 867.3040; found, 867.3086.
Glycoconjugate (38) Starting from amine derivative 18 and uracil derivative 28, purified by column chromatography in CHCl3:MeOH solvent system (100:1 to 25:1 (v/v)) to give thick syrup (126 mg, 60%): 134.8 (c 1.0, CHCl3). 1H-NMR (400 MHz, CDCl3): δ 2.64 (t, 2H, J = 5.7 Hz, CH2CO), 3.45 (dd, 1H, J = 6.0 Hz, J = 9.5 Hz, H-6a), 3.54 (dd, 1H, J = 6.9 Hz, J = 9.5 Hz, H-6b), 3.77 (dd, 1H, J = 2.8 Hz, J = 10.0 Hz, H-3), 3.88 (t, 2H, J = 5.7 Hz, CH2O), 3.97 (dd, 1H, J = 0.9 Hz, J = 2.7 Hz, H-4), 4.26–4.31 (m, 2H, H-5, CHHPh), 4.35 (d, 1H, J = 11.8 Hz, CHHPh), 4.41 (dd, 1H, J = 5.4 Hz, J = 10.0 Hz, H-2), 4.65, 4.76 (qAB, 2H, J = 11.6 Hz, CH2Ph), 4.72, 4.84 (qAB, 2H, J = 11.8 Hz, CH2Ph), 4.55, 4.94 (qAB, 2H, J = 11.4 Hz, CH2Ph), 5.09 (s, 2H, CH2N), 5.68 (d, 1H, J = 7.9 Hz, H-5ur), 6.43 (d, 1H, J = 5.4 Hz, H-1), 7.14–7.38 (m, 22H, H-Ph, H-6ur, H-3pyr), 8.01 (dd, 1H, J = 2.6 Hz, J = 8.7 Hz, H-4pyr), 8.58 (d, 1H, J = 2.6 Hz, H-6pyr), 8.82 (s, 1H, NH), 9.44 (bs, 1H, NH). 13C-NMR (100 MHz, CDCl3): δ 37.30 (CH2CO), 65.28 (CH2O), 68.59 (C-6), 71.30 (C-5), 72.38, 73.22, 73.35, 74.83 (CH2Ph), 74.93 (C-4), 75.91 (C-2), 77.20 (CH2N), 79.67 (C-3), 84.74 (C-1), 103.20 (C-5ur), 124.39 (C-3pyr), 127.49, 127.55, 127.56, 127.61, 127.73, 127.83, 128.10, 128.20, 128.24, 128.30, 128.32 (C-Ph, C-4pyr), 132.70 (C-5pyr), 137.87, 137.99, 138.55, 138.60 (C-Ph), 141.00 (C-6pyr), 143.49 (C-6ur), 152.25 (C-2ur), 151.48 (C-2pyr), 163.28 (C-4ur), 169.25 (NHCO). HRMS (ESI) (m/z): [M + Na]+ calcd for C47H48N4NaO9S, 867.3040; found, 867.3057.
Glycoconjugate (39) Starting from amine derivative 17 and uracil derivative 30, purified by column chromatography in CHCl3:MeOH solvent system (100:1 to 25:1 (v/v)) to give thick syrup (85 mg, 39%): 3.1 (c 1.0, CHCl3). 1H-NMR (400 MHz, CDCl3): δ 2.90 (dd~t, 2H, J = 5.8 Hz, J = 0.7 Hz, CH2CO), 3.57 (dd, 1H, J = 1.9 Hz, J = 10.8 Hz, H-6a), 3.68 (dd, 1H, J = 9.1 Hz, J = 9.9 Hz, H-4), 3.73 (dd, 1H, J = 3.9 Hz, J = 10.9 Hz, H-6b), 3.82 (dd~t, 1H, J = 9.2 Hz, H-3), 3.96 (dd, 1H, J = 5.4 Hz, J = 9.5 Hz, H-2), 4.06 (dd~t, 2H, J = 6.0 Hz, CH2N), 4.13 (ddd, 1H, J = 1.9 Hz, J = 3.7 Hz, J = 10.1 Hz, H-5), 4.37, 4.52 (qAB, 2H, J = 11.9 Hz, CH2Ph), 4.64, 4.77 (qAB, 2H, J = 11.6 Hz, CH2Ph), 4.48, 4.84 (qAB, 2H, J = 10.5 Hz, CH2Ph), 4.79, 4.98 (qAB, 2H, J = 10.9 Hz, CH2Ph), 4.74 (s, 2H, CH2O), 5.69 (d, 1H, J = 7.9 Hz, H-5ur), 6.50 (d, 1H, J = 5.4 Hz, H-1), 7.11–7.35 (m, 22H, H-Ph, H-6ur, H-3pyr), 8.02 (dd, 1H, J = 2.5 Hz, J = 8.7 Hz, H-4pyr), 8.48 (s, 1H, NH), 8.57 (d, 1H, J = 2.5 Hz, H-6pyr), 9.07 (bs, 1H, NH). 13C-NMR (100 MHz, CDCl3): δ 33.56 (CH2CO), 45.09 (CH2N), 63.60 (CH2O), 68.55 (C-6), 72.40 (C-5), 72.28, 73.29, 75.10, 75.68 (CH2Ph), 77.20 (C-4), 79.13 (C-2), 82.87 (C-3), 83.88 (C-1), 102.68 (C-5ur), 124.18 (C-3pyr), 127.60, 127.63, 127.69, 127.81, 127.85, 127.86, 128.04, 128.31, 128.35, 128.38, 128.69 (C-Ph, C-4pyr), 131.62 (C-5pyr), 137.61, 137.83, 138.18, 138.62 (C-Ph), 141.62 (C-6pyr), 144.90 (C-6ur), 151.03 (C-2pyr), 152.13 (C-2ur), 163.20 (C-4ur), 165.28 (NHCO), 169.83 (COO). HRMS (ESI) (m/z): [M + Na]+ calcd for C48H48N4NaO10S, 895.2989; found, 895.2917.
Glycoconjugate (40) Starting from amine derivative 18 and uracil derivative 30, purified by column chromatography in CHCl3:MeOH solvent system (100:1 to 25:1 (v/v)) to give thick syrup (105 mg, 48%): 103.2 (c 1.0, CHCl3). 1H-NMR (400 MHz, CDCl3): δ 2.82 (dd~t, 2H, J = 5.8 Hz, CH2CO), 3.47 (dd, 1H, J = 6.2 Hz, J = 9.6 Hz, H-6a), 3.53 (dd, 1H, J = 6.6 Hz, J = 9.6 Hz, H-6b), 3.76 (dd, 1H, J = 2.9 Hz, J = 10.0 Hz, H-3), 3.91–4.01 (m, 3H, H-4, CH2N), 4.28 (dd~t, 1H, J = 6.7 Hz, H-5), 4.30, 4.36 (qAB, 2H, J = 11.8 Hz, CH2Ph), 4.41 (dd, 1H, J = 5.4 Hz, J = 10.0 Hz, H-2), 4.66, 4.77 (qAB, 2H, J = 11.6 Hz, CH2Ph), 4.73, 4.85 (qAB, 2H, J = 11.8 Hz, CH2Ph), 4.55, 4.94 (qAB, 2H, J = 11.4 Hz, CH2Ph), 4.69 (s, 2H, CH2O), 5.61 (d, 1H, J = 7.9 Hz, H-5ur), 6.46 (d, 1H, J = 5.4 Hz, H-1), 7.14–7.37 (m, 22H, H-Ph, H-6ur, H-3pyr), 7.96 (dd, 1H, J = 2.6 Hz, J = 8.7 Hz, H-4pyr), 8.53 (d, 1H, J = 2.6 Hz, H-6pyr), 8.76 (s, 1H, NH), 9.81 (bs, 1H, NH). 13C-NMR (100 MHz, CDCl3) δ 33.28 (CH2CO), 45.06 (CH2N), 63.47 (CH2O), 68.66 (C-6), 71.39 (C-5), 72.40, 73.22, 73.34, 74.83 (CH2Ph), 74.92 (C-4), 75.86 (C-2), 79.67 (C-3), 84.56 (C-1), 102.33 (C-5ur), 124.09 (C-3pyr), 127.48, 127.50, 127.57, 127.63, 127.73, 127.82, 128.12, 128.21, 128.24, 128.30, 128.32 (C-Ph, C-4pyr), 131.78 (C-5pyr), 137.76, 137.97, 138.49, 138.57 (C-Ph), 141.50 (C-6pyr), 145.26 (C-6ur), 151.16 (C-2pyr), 152.18 (C-2ur), 163.85 (C-4ur), 165.49 (NHCO), 170.09 (COO). HRMS (ESI) (m/z): [M + Na]+ calcd for C48H48N4NaO10S, 895.2989; found, 895.2966.
Glycoconjugate (41) Starting from amine derivative 17 and uracil derivative 32, purified by column chromatography in CHCl3:MeOH solvent system (100:1 to 25:1 (v/v)) to give thick syrup (69 mg, 31%): 123.5 (c 1.0, CHCl3). 1H-NMR (400 MHz, CDCl3): δ 2.77–2.92 (m, 2H, CH2CO), 3.31–3.40 (m, 1H, CH), 3.56 (dd, 1H, J = 1.7 Hz, J = 10.8 Hz, H-6a), 3.64–3.79 (m, 5H, H-6b, H-4, CH3), 3.82 (dd~t, 1H, J = 9.2 Hz, J = 0.8 Hz, H-3), 3.95 (dd, 1H, J = 5.4 Hz, J = 9.6 Hz, H-2), 3.98–4.08 (m, 1H, CHHN), 4.10–4.19 (m, 2H, H-5, CHHN), 4.36 4.51 (qAB, 2H, J = 12.0 Hz, CH2Ph), 4.62, 4.76 (qAB, 2H, J = 11.6 Hz, CH2Ph), 4.50, 4.83 (qAB, 2H, J = 11.4 Hz, CH2Ph), 4.78, 4.98 (qAB, 2H, J = 10.9 Hz, CH2Ph), 5.70 (d, 1H, J = 7.9 Hz, H-5ur), 6.47 (d, 1H, J = 5.4 Hz, H-1), 7.12–7.33 (m, 22H, H-Ph, H-6ur, H-3pyr), 7.99 (dd, 1H, J = 2.8 Hz, J = 8.7 Hz, H-4pyr), 8.49 (d, 1H, J = 2.5 Hz, H-6pyr), 8.81 (s, 1H, NH), 9.96 (bs, 1H, NH). 13C-NMR (100 MHz, CDCl3): δ 35.90 (CH2COO), 41.11 (CH), 49.47 (CH2N), 52.62 (CH3), 68.50 (C-6), 72.32 (C-5), 72.18, 73.27, 75.06, 75.65 (CH2Ph), 77.18 (C-4), 79.12 (C-2), 82.84 (C-3), 83.99 (C-1), 102.67 (C-5ur), 124.27 (C-3pyr), 127.57, 127.61, 127.65, 127.77, 127.82, 127.86, 127.97, 128.02, 128.12, 128.28, 128.32, 128.35 (C-Ph, C-4pyr), 132.73 (C-5pyr), 137.60, 137.80, 138.18, 138.62 (C-Ph), 141.13 (C-6pyr), 145.51 (C-6ur), 151.09 (C-2pyr), 152.16 (C-2ur), 163.67 (C-4ur), 168.92 (NHCO), 172.62 (COOCH3). HRMS (ESI) (m/z): [M + Na]+ calcd for C49H50N4NaO10S, 909.3145; found, 909.3187.
Glycoconjugate (42): Starting from amine derivative 18 and uracil derivative 32, purified by column chromatography in CHCl3:MeOH solvent system (100:1 to 25:1 [v/v]) to give thick syrup (125 mg, 56%): 99.0 (c 1.0, CHCl3). 1H-NMR (400 MHz, CDCl3): δ 3.29–3.38 (m, 1H, CH), 3.46 (dd, 1H, J = 6.0 Hz, J = 9.6 Hz, H-6a), 3.55 (dd, 1H, J = 6.9 Hz, J = 9.6 Hz, H-6b), 3.72 (s, 3H, CH3), 3.77 (dd, 1H, J = 2.8 Hz, J = 10.0 Hz, H-3), 3.98 (dd, 1H, J = 1.1 Hz, J = 2.7 Hz, H-4), 4.04 (m, 1H, CHHN), 4.14 (m, 1H, CHHN), 4.28 (m, 1H, H-5), 4.29, 4.35 (qAB, 2H, J = 11.7 Hz, CH2Ph), 4.42 (dd, 1H, J = 5.4 Hz, J = 10.0 Hz, H-2), 4.66, 4.77 (qAB, 2H, J = 11.6 Hz, CH2Ph), 4.72, 4.85 (qAB, 2H, J = 11.8 Hz, CH2Ph), 4.56, 4.94 (qAB, 2H, J = 11.4 Hz, CH2Ph), 5.70 (d, 1H, J = 7.9 Hz, H-5ur), 6.44 (d, 1H, J = 5.4 Hz, H-1), 7.12–7.39 (m, 22H, H-Ph, H-6ur, H-3pyr), 7.96 (dd, 1H, J = 2.8 Hz, J = 8.7 Hz, H-4pyr), 8.45 (d, 1H, J = 2.8 Hz, H-6pyr), 8.53 (s, 1H, NH), 9.57 (bs, 1H, NH). 13C-NMR (100 MHz, CDCl3): δ 35.96 (CH2COO), 41.09 (CH), 49.49 (CH2N), 52.64 (CH3), 68.60 (C-6), 71.31 (C-5), 72.41, 73.22, 73.37, 74.82 (CH2Ph), 74.93 (C-4), 75.94 (C-2), 79.68 (C-3), 84.67 (C-1), 102.66 (C-5ur), 124.26 (C-3pyr), 127.50, 127.54, 127.57, 127.60, 127.73, 128.87, 128.10, 128.15, 128.20, 128.25, 128.30, 128.33 (C-Ph, C-4pyr), 132.45 (C-5pyr), 137.90, 138.00, 138.56, 138.63 (C-Ph), 141.08 (C-6pyr), 145.39 (C-6ur), 151.73 (C-2pyr), 151.96 (C-2ur), 163.46 (C-4ur), 168.75 (NHCO), 172.58 (COOCH3). HRMS (ESI) (m/z): [M + Na]+ calcd for C49H50N4NaO10S, 909.3145; found, 909.3117.
Glycoconjugate (43) Starting from amine derivative 19 and uracil derivative 24, purified by column chromatography in CHCl3:MeOH solvent system (100:1 to 20:1 (v/v)) to give thick syrup (58 mg, 32%): −23.1 (c 1.0, CHCl3). 1H-NMR (400 MHz, CDCl3): δ 2.65–2.85 (m, 2H, CH2CO), 3.57 (dd~t, 1H, J = 9.2 Hz, H-4), 3.69 (m, 2H, H-6a, H-6b), 3.81 (dd~t, 1H, J = 9.0 Hz, H-3), 3.89 (dd, 1H, J = 5.3 Hz, J = 9.4 Hz, H-2), 3.95–4.07 (m, 3H, CH2N, H-5), 4.61, 4.73 (qAB, 2H, J = 11.6 Hz, CH2Ph), 4.63, 4.86 (qAB, 2H, J = 10.9 Hz, CH2Ph), 4.79, 4.96 (qAB, 2H, J = 11.0 Hz, CH2Ph), 5.45 (d, 1H, J = 7.7 Hz, H-5ur), 6.44 (d, 1H, J = 5.2 Hz, H-1), 7.18–7.34 (m, 17H, H-Ph, H-6ur, H-3pyr), 8.00 (dd, 1H, J = 2.4 Hz, J = 8.6 Hz, H-4pyr), 8.52 (d, 1H, J = 2.4 Hz, H-6pyr), 9.42 (s, 1H, NH), 11.03 (bs, 1H, NH). 13C-NMR (100 MHz, CDCl3): δ 35.65 (CH2CO), 46.29 (CH2N), 61.47 (C-6), 73.35 (C-5), 72.27, 75.08, 75.56 (CH2Ph), 77.05 (C-4), 79.12 (C-2), 82.64 (C-3), 83.48 (C-1), 101.62 (C-5ur), 124.50 (C-3pyr), 127.60, 127.80, 127.83, 127.91, 127.98, 128.01, 128.34, 128.36, 128.44, 128.53 (C-Ph, C-4pyr), 132.68 (C-5pyr), 137.55, 138.06, 138.56 (C-Ph), 141.63 (C-6pyr), 146.56 (C-6ur), 150.99 (C-2pyr), 151.45 (C-2ur), 165.31 (C-4ur), 169.58 (NHCO). HRMS (ESI) (m/z): [M + Na]+ calcd for C39H40N4NaO8S, 747.2465; found, 747.2447.
Glycoconjugate (44) Starting from amine derivative 20 and uracil derivative 24, purified by column chromatography in CHCl3:MeOH solvent system (100:1 to 20:1 (v/v)) to give thick syrup (45 mg, 25%): 48.0 (c 0.5, CHCl3). 1H-NMR (400 MHz, CDCl3) δ 2.64–2.78 (m, 2H, CH2CO), 3.50 (dd, 1H, J = 4.0 Hz, J = 11.5 Hz, H-6a), 3.78 (dd, 1H, J = 2.8 Hz, J = 8.6 Hz, H-3), 3.84–3.96 (m, 4H, H-4, H-6b, CH2N), 4.18 (m, 1H, H-5), 4.26 (dd, 1H, J = 4.5 Hz, J = 8.4 Hz, H-2), 4.63, 4.73 (qAB, 2H, J = 11.6 Hz, CH2Ph), 4.70, 4.79 (qAB, 2H, J = 11.8 Hz, CH2Ph), 4.57, 4.83 (qAB, 2H, J = 11.6 Hz, CH2Ph), 5.41 (d, 1H, J = 7.8 Hz, H-5ur), 6.27 (d, 1H, J = 4.5 Hz, H-1), 7.22–7.37 (m, 16H, H-Ph, H-6ur), 7.19 (d, 1H, J = 8.7 Hz, H-3pyr), 7.94 (dd, 1H, J = 2.3 Hz, J = 8.7 Hz, H-4pyr), 8.46 (d, 1H, J = 2.3 Hz, H-6pyr), 9.25 (s, 1H, NH), 10.60 (bs, 1H, NH). 13C-NMR (100 MHz, CDCl3) δ 35.41 (CH2CO), 46.96 (CH2N), 61.23 (C-6), 73.55 (C-5); 72.62, 73.61, 74.03 (CH2Ph), 74.60 (C-4), 76.54 (C-2), 78.53 (C-3), 82.61 (C-1), 101.71 (C-5ur), 124.57 (C-3pyr), 127.61, 127.64, 127.76, 127.83, 127.96, 128.20, 128.28, 128.33, 128.38, 128.39 (C-Ph, C-4pyr), 132.948 (C-5pyr), 137.81, 138.13, 138.41 (C-Ph), 141.41 (C-6pyr), 146.30 (C-6ur), 151.10 (C-2pyr), 151.45 (C-2ur), 164. 80 (C-4ur), 169.31 (NHCO). HRMS (ESI) (m/z): [M + Na]+ calcd for C39H40N4NaO8S, 747.2465; found, 747.2487.
Glycoconjugate (45) Starting from amine derivative 19 and uracil derivative 27, purified by column chromatography in CHCl3: MeOH solvent system (100:1 to 20:1 (v/v)) to give thick syrup (68 mg, 37%): 133.0 (c 1.0, CHCl3). 1H-NMR (400 MHz, CDCl3): δ 3.56 (dd, 1H, J = 8.7 Hz, J = 9.8 Hz, H-4), 3.67 (dd, 1H, J = 4.6 Hz, J = 12.0 Hz, H-6a), 3.73 (dd, 1H, J = 2.5 Hz, J = 12 Hz, H-6b), 3.85 (dd~t, 1H, J = 9.0 Hz, H-3), 3.92 (dd, 1H, J = 5.3 Hz, J = 9.4 Hz, H-2), 4.05 (ddd, 1H, J = 2.6 Hz, J = 4.5 Hz, J = 9.8 Hz, H-5), 4.22 (s, 2H, CH2N), 4.63, 4.77 (qAB, 2H, J = 11.4 Hz, CH2Ph), 4.64, 4.87 (qAB, 2H, J = 11.4 Hz, CH2Ph), 4.80, 4.98 (qAB, 2H, J = 10.9 Hz, CH2Ph), 5.17 (s, 2H, CH2O), 5.79 (d, 1H, J = 7.9 Hz, H-5ur), 6.48 (d, 1H, J = 5.3 Hz, H-1), 7.24–7.34 (m, 17H, H-Ph, H-6ur, H-3pyr), 8.05 (dd, 1H, J = 2.6 Hz, J = 8.6 Hz, H-4pyr), 8.65 (d, 1H, J = 2.6 Hz, H-6pyr), 8.86 (s, 1H, NH), 9.08 (bs, 1H, NH). 13C-NMR (100 MHz, CDCl3): δ 61.76 (C-6), 68.03 (CH2N), 73.21 (C-5), 72.34, 75.07, 75.62 (CH2Ph), 77.07 (C-4), 78.16 (CH2O), 79.25 (C-2), 82.69 (C-3), 83.48 (C-1), 103.71 (C-5ur), 124.60 (C-3pyr), 127.62, 127.85, 127.96, 128.02, 128.05, 128.17, 128.36, 128.40, 128.45 (C-Ph, C-4pyr), 131.89 (C-5pyr), 137.56, 138.06, 138.58 (C-Ph), 141.42 (C-6pyr), 143.30 (C-6ur), 151.14 (C-2pyr), 151.51 (C-2ur), 162.70 (C-4ur), 166.89 (NHCO). HRMS (ESI) (m/z): [M + Na] + calcd for C39H40N4NaO9S, 763.2414; found, 763.2427.
Glycoconjugate (46) Starting from amine derivative 20 and uracil derivative 27, purified by column chromatography in CHCl3:MeOH solvent system (100:1 to 20:1 (v/v)) to give thick syrup (43 mg, 23%): 51.6 (c 1.0, CHCl3). 1H-NMR (400 MHz, CDCl3): δ 3.52 (dd, 1H, J = 3.9 Hz, J = 11.7 Hz, H-6a), 3.79 (dd, 1H, J = 2.8 Hz, J = 8.6 Hz, H-3), 3.89–4.00 (m, 2H, H-4, H-6b), 4.14 (s, 2H, CH2N), 4.20 (m, 1H, H-5), 4.28 (dd, 1H, J = 4.6 Hz, J = 8.4 Hz, H-2), 4.64, 4.74 (qAB, 2H, J = 11.6 Hz, CH2Ph), 4.70, 4.79 (qAB, 2H, J = 11.8 Hz, CH2Ph), 4.58, 4.83 (qAB, 2H, J = 11.5 Hz, CH2Ph), 5.05 (s, 2H, CH2O), 5.66 (d, 1H, J = 7.9 Hz, H-5ur), 6.29 (d, 1H, J = 4.5 Hz, H-1), 7.17–7.41 (m, 17H, H-Ph, H-6ur, H-3pyr), 8.05 (dd, 1H, J = 2.4 Hz, J = 8.7 Hz, H-4pyr), 8.53 (d, 1H, J = 2.4 Hz, H-6pyr), 9.14 (s, 1H, NH), 10.02 (bs, 1H, NH). 13C-NMR (100 MHz, CDCl3): δ 68.04 (CH2N), 61.23 (C-6), 73.52 (C-5), 72.62, 73.64, 74.05 (CH2Ph), 74.67 (C-4), 76.53 (C-2), 78.07 (CH2O), 78.53 (C-3), 82.67 (C-1), 103.33 (C-5ur), 124.63 (C-3pyr), 127.59, 127.64, 127.75, 127.84, 127.94, 128.19, 128.28, 128.32, 128.38 (C-Ph, C-4pyr), 132.23 (C-5pyr), 137.79, 138.08, 138.38 (C-Ph), 141.31 (C-6pyr), 143.71 (C-6ur), 151.44 (C-2pyr), 151.54 (C-2ur), 163.49 (C-4ur), 167.54 (NHCO). HRMS (ESI) (m/z): [M + Na] + calcd for C39H40N4NaO9S, 763.2414; found, 763.2471.
Glycoconjugate (47) Starting from amine derivative 19 and uracil derivative 28, purified by column chromatography in CHCl3:MeOH solvent system (100:1 to 20:1 (v/v)) to give thick syrup (81 mg, 43%): 126.6 (c 1.0, CHCl3). 1H-NMR (400 MHz, CDCl3): δ 2.62 (t, 2H, J = 5.3 Hz, CH2CO), 3.49 (dd, 1H, J = 8.7 Hz, J = 9.4 Hz, H-4), 3.64 (dd, 1H, J = 5.3 Hz, J = 12.0 Hz, H-6a), 3.73 (dd, 1H, J = 2.1 Hz, J = 12 Hz, H-6b), 3.80–3.94 (m, 4H, H-2, H-3, CH2O), 4.08 (ddd, 1H, J = 2.3 Hz, J = 4.9 Hz, J = 9.5 Hz, H-5), 4.59, 4.74 (qAB, 2H, J = 11.6 Hz, CH2Ph), 4.60, 4.85 (qAB, 2H, J = 11.6 Hz, CH2Ph), 4.78, 4.95 (qAB, 2H, J = 11.0 Hz, CH2Ph), 5.07 (s, 2H, CH2N), 5.65 (d, 1H, J = 7.9 Hz, H-5ur), 6.39 (d, 1H, J = 5.2 Hz, H-1), 7.17–7.36 (m, 17H, H-Ph, H-6ur, H-3pyr), 8.00 (dd, 1H, J = 2.3 Hz, J = 8.7 Hz, H-4pyr), 8.49 (d, 1H, J = 2.3 Hz, H-6pyr), 8.86 (s, 1H, NH), 9.96 (bs, 1H, NH). 13C-NMR (100 MHz, CDCl3): δ 37.29 (CH2CO), 61.68 (C-6), 65.34 (CH2O), 73.23 (C-5), 72.23, 75.01, 75.57 (CH2Ph), 77.00 (C-4), 77.22 (CH2N), 79.24 (C-2), 82.54 (C-3), 83.63 (C-1), 103.04 (C-5ur), 124.96 (C-3pyr), 127.61, 127.81, 127.83, 127.93, 127.97, 128.33, 128.37, 128.42 (C-Ph, C-4pyr), 131.82 (C-5pyr), 137.54, 138.00, 138.50 (C-Ph), 141.15 (C-6pyr), 143.80 (C-6ur), 150.56 (C-2pyr), 151.42 (C-2ur), 163.78 (C-4ur), 169.68 (NHCO). HRMS (ESI) (m/z): [M + Na] + calcd for C40H42N4NaO9S, 777.2570; found, 777.2588.
Glycoconjugate (48) Starting from amine derivative 20 and uracil derivative 28, purified by column chromatography in CHCl3: MeOH solvent system (100:1 to 20:1 (v/v)) to give thick syrup (77 mg, 41%): 84.2 (c 1.0, CHCl3). 1H-NMR (400 MHz, CDCl3): δ 2.57 (t, 2H, J = 5.2 Hz, CH2CO), 3.51 (dd, 1H, J = 3.8 Hz, J = 11.6 Hz, H-6a), 3.75–3.85 (m, 3H, H-3, CH2O), 3.86–3.97 (m, 2H, H-6b, H-4), 4.20 (m, 1H, H-5), 4.29 (dd, 1H, J = 4.7 Hz, J = 8.7 Hz, H-2), 4.64, 4.74 (qAB, 2H, J = 11.6 Hz, CH2Ph), 4.70, 4.79 (qAB, 2H, J = 12.0 Hz, CH2Ph), 4.57, 4.84 (qAB, 2H, J = 11.6 Hz, CH2Ph), 5.02 (s, 2H, CH2N), 5.59 (d, 1H, J = 7.9 Hz, H-5ur), 6.29 (d, 1H, J = 4.6 Hz, H-1), 7.19–7.36 (m, 17H, H-Ph, H-6ur, H-3pyr), 7.99 (dd, 1H, J = 2.4 Hz, J = 8.7 Hz, H-4pyr), 8.42 (d, 1H, J = 2.4 Hz, H-6pyr), 9.03 (s, 1H, NH), 10.09 (bs, 1H, NH). 13C-NMR (100 MHz, CDCl3): δ 37.23 (CH2CO), 55.28 (CH2O), 61.35 (C-6), 73.55 (C-5), 72.53, 73.46, 74.14 (CH2Ph), 74.76 (C-4), 76.43 (C-2), 77.17 (CH2N), 78.70 (C-3), 83.00 (C-1), 102.89 (C-5ur), 124.84 (C-3pyr), 127.55, 127.60, 127.71, 127.80, 127.90, 128.19, 128.29, 128.34, 128.36 (C-Ph, C-4pyr), 132.20 (C-5pyr), 137.81, 138.11, 138.39 (C-Ph); 141.04 (C-6pyr), 143.85 (C-6ur), 150.70 (C-2pyr), 151.38 (C-2ur), 163.89 (C-4ur), 169.80 (NHCO). HRMS (ESI) (m/z): [M + Na]+ calcd for C40H42N4NaO9S, 777.2570; found, 777.2578.
Glycoconjugate (49) Starting from amine derivative 19 and uracil derivative 30, purified by column chromatography in CHCl3:MeOH solvent system (100:1 to 20:1 (v/v)) to give thick syrup (96 mg, 49%): 127.4 (c 1.0, CHCl3). 1H-NMR (400 MHz, CDCl3): δ 2.62 (dd~t, 2H, J = 5.3 Hz, CH2CO), 3.48 (dd, 1H, J = 8.6 Hz, J = 9.8 Hz, H-4), 3.59 (dd, 1H, J = 5.5 Hz, J = 12.0 Hz, H-6a), 3.73 (dd, 1H, J = 2.1 Hz, J = 11.9 Hz, H-6b), 3.80–3.94 (m, 4H, H-2, H-3, CH2N), 4.08 (ddd, 1H, J = 2.3 Hz, J = 4.9 Hz, J = 9.5 Hz, H-5), 4.59, 4.74 (qAB, 2H, J = 11.6 Hz, CH2Ph), 4.60, 4.85 (qAB, 2H, J = 11.6 Hz, CH2Ph), 4.78, 4.96 (qAB, 2H, J = 11.0 Hz, CH2Ph), 5.07 (s, 2H, CH2O), 5.67 (d, 1H, J = 8.0 Hz, H-5ur), 6.51 (d, 1H, J = 5.4 Hz, H-1), 7.17–7.36 (m, 17H, H-Ph, H-6ur, H-3pyr), 7.93 (dd, 1H, J = 2.6 Hz, J = 8.7 Hz, H-4pyr), 8.43 (d, 1H, J = 2.3 Hz, H-6pyr), 8.33 (s, 1H, NH), 10.06 (bs, 1H, NH). 13C-NMR (100 MHz, CDCl3): δ 37.29 (CH2CO), 45.16 (CH2N), 61.60 (C-6), 65.34 (CH2O), 73.04 (C-5), 72.14, 74.95, 75.54 (CH2Ph), 77.20 (C-4), 79.23 (C-2), 82.51 (C-3), 83.66 (C-1), 102.88 (C-5ur), 124.90 (C-3pyr), 127.77, 127.89, 127.83, 127.91, 127.94, 128.28, 128.33, 128.37 (C-Ph, C-4pyr), 132.13 (C-5pyr), 137.52, 137.98, 138.49 (C-Ph), 141.71 (C-6pyr), 144.08 (C-6ur), 150.71 (C-2pyr), 151.06 (C-2ur), 163.48 (C-4ur), 168.10 (COO), 172.40 (NHCO). HRMS (ESI) (m/z): [M + Na]+ calcd for C41H42N4NaO10S, 805.2519; found, 805.2631.
Glycoconjugate (50) Starting from amine derivative 20 and uracil derivative 30, purified by column chromatography in CHCl3:MeOH solvent system (100:1 to 20:1 (v/v)) to give thick syrup (92 mg, 47%): 87.5 (c 1.0, CHCl3). 1H-NMR (400 MHz, CDCl3): δ 2.83 (m, 2H, CH2CO), 3.45 (dd, 1H, J = 3.7 Hz, J = 11.9 Hz, H-6a), 3.84–4.05 (m, 5H, H-3, H-4, H-6b, CH2N), 4.16 (m, 1H, H-5), 4.27 (dd, 1H, J = 4.5 Hz, J = 8.4 Hz, H-2), 4.65, 4.75 (qAB, 2H, J = 11.6 Hz, CH2Ph), 4.70, 4.79 (qAB, 2H, J = 11.9 Hz, CH2Ph), 4.57, 4.83 (qAB, 2H, J = 11.6 Hz, CH2Ph), 4.66 (s, 2H, CH2O), 5.66 (d, 1H, J = 7.8 Hz, H-5ur), 6.24 (d, 1H, J = 4.4 Hz, H-1), 7.20–7.36 (m, 17H, H-Ph, H-6ur, H-3pyr), 7.95 (dd, 1H, J = 2.7 Hz, J = 8.7 Hz, H-4pyr), 8.40 (d, 1H, J = 2.6 Hz, H-6pyr), 8.75 (s, 1H, NH), 10.16 (bs, 1H, NH). 13C-NMR (100 MHz, CDCl3): δ 33.26 (CH2CO), 45.56 (CH2N), 61.46 (C-6), 63.45 (CH2O), 73.35 (C-5), 72.62, 73.55, 74.00 (CH2Ph), 74.57 (C-4), 76.63 (C-2), 78.40 (C-3), 82.99 (C-1), 103.19 (C-5ur), 125.11 (C-3pyr), 127.63, 127.82, 127.93, 128.18, 128.34, 128.37, 128.40, 128.32 (C-Ph, C-4pyr), 132.17 (C-5pyr), 137.81, 138.11, 138.41 (C-Ph), 141.36 (C-6pyr), 143.77 (C-6ur), 150.81 (C-2pyr), 151.30 (C-2ur), 162.97 (C-4ur), 168.09 (NHCO), 171.33 (COO). HRMS (ESI) (m/z): [M + Na]+ calcd for C41H42N4NaO10S, 805.2519; found, 805.2601.
Glycoconjugate (51) Starting from amine derivative 19 and uracil derivative 32, purified by column chromatography in CHCl3:MeOH solvent system (100:1 to 20:1 (v/v)) to give thick syrup (60 mg, 30%): 120.8 (c 1.0, CHCl3). 1H-NMR (400 MHz, CDCl3): δ 2.78 (dd, 1H, J = 6.5 Hz, J = 16.4 Hz, CH2CO), 2.85 (dd, 1H, J = 6.3 Hz, J = 16.3 Hz, CH2CO), 3.34 (m, 1H, CH), 3.57 (dd~t, 1H, J = 9.2 Hz, H-4), 3.65 (dd, 1H, J = 5.0 Hz, J = 12.0 Hz, H-6a), 3.68–3.76 (m, 4H, H-6b, CH3), 3.81 (dd~t, 1H, J = 8.8 Hz, H-3), 3.90 (dd, 1H, J = 5.2 Hz, J = 9.4 Hz, H-2), 4.02–4.13 (m, 3H, CH2N, H-5), 4.61, 4.75 (qAB, 2H, J = 11.8 Hz, CH2Ph), 4.61, 4.86 (qAB, 2H, J = 10.8 Hz, CH2Ph), 4.79, 4.96 (qAB, 2H, J = 10.9 Hz, CH2Ph), 5.67 (d, 1H, J = 7.9 Hz, H-5ur), 6.40 (d, 1H, J = 5.2 Hz, H-1), 7.19–7.34 (m, 17H, H-Ph, H-6ur, H-3pyr), 7.98 (dd, 1H, J = 2.5 Hz, J = 8.6 Hz, H-4pyr), 8.49 (d, 1H, J = 2.5 Hz, H-6pyr); 9.06 (d, 1H, NH), 10.11 (bs, 1H, NH). 13C-NMR (100 MHz, CDCl3): δ 35.80 (CH2COO), 40.97 (CH), 49.25 (CH2N), 52.63 (CH3), 61.71 (C-6), 73.21 (C-5), 72.25, 75.03, 75.59 (CH2Ph), 77.15 (C-4), 79.23 (C-2), 82.58 (C-3), 83.62 (C-1), 102.57 (C-5ur), 124.90 (C-3pyr), 127.61, 127.82, 127.84, 127.94, 127.98, 128.00, 128.34, 128.37, 128.43 (C-Ph, C-4pyr), 133.00 (C-5pyr), 137.53, 138.02, 138.53 (C-Ph), 141.15 (C-6pyr), 145.53 (C-6ur), 150.58 (C-2pyr), 152.02 (C-2ur), 163.90 (C-4ur), 169.09 (NHCO), 172.75 (COOCH3). HRMS (ESI) (m/z): [M + Na]+ calcd for C42H44N4NaO10S, 819.2676; found, 819.2681.
Glycoconjugate (52) Starting from amine derivative 20 and uracil derivative 32, purified by column chromatography in CHCl3:MeOH solvent system (100:1 to 20:1 (v/v)) to give thick syrup (46 mg, 23%): 72.4 (c 1.0, CHCl3). 1H-NMR (400 MHz, CDCl3): δ 2.77 (dd, 1H, J = 6.5 Hz, J = 16.4 Hz, CH2CO), 2.84 (dd, J = 6.0 Hz, J = 16.2 Hz, CH2CO), 3.21 (m, 1H, CH), 3.50 (dd, 1H, J = 4.2 Hz, J = 11.7 Hz, H-6a), 3.70 (s, 3H, CH3), 3.80 (dd, 1H, J = 2.9 Hz, J = 8.6 Hz, H-3), 3.88–3.97 (m, 2H, H-6b, H-4), 4.02–4.07 (m, 2H, CH2N), 4.20 (m, 1H, H-5), 4.27 (dd, 1H, J = 4.5 Hz, J = 8.6 Hz, H-2), 4.64, 4.74 (qAB, 2H, J = 11.5 Hz, CH2Ph), 4.71, 4.80 (qAB, 2H, J = 11.8 Hz, CH2Ph), 4.58, 4.84 (qAB, 2H, J = 11.6 Hz, CH2Ph), 5.64 (d, 1H, J = 7.9 Hz, H-5ur), 6.28 (d, 1H, J = 4.4 Hz, H-1), 7.21 (d, 1H, J = 8.7 Hz, H-3pyr), 7.24–7.36 (m, 16H, H-Ph, H-6ur), 7.99 (dd, 1H, J = 2.5 Hz, J = 8.7 Hz, H-4pyr), 8.46 (d, 1H, J = 2.5 Hz, H-6pyr), 9.02 (s, 1H, NH), 9.88 (bs, 1H, NH). 13C-NMR (100 MHz, CDCl3): δ 35.85 (CH2COO), 40.97 (CH), 49.24 (CH2N), 52.59 (CH3), 61.28 (C-6), 73.54 (C-5), 72.63, 73.59, 74.01 (CH2Ph), 74.64 (C-4), 76.59 (C-2), 78.49 (C-3), 82.64 (C-1), 102.57 (C-5ur), 124.68 (C-3pyr), 127.63, 127.66, 127.76, 127.85, 127.97, 128.21, 128.33, 128.40 (C-Ph, C-4pyr), 132.98 (C-5pyr), 137.82, 138.12, 138.42 (C-Ph), 141.06 (C-6pyr), 145.46 (C-6ur), 150.99 (C-2pyr), 151.86 (C-2ur), 163.72 (C-4ur), 169.07 (NHCO), 172.76 (COOCH3). HRMS (ESI) (m/z): [M + Na]+ calcd for C42H44N4NaO10S, 819.2676; found, 819.2684.
Glycoconjugate (53) Starting from amine derivative 21 and uracil derivative 28, purified by column chromatography in CHCl3:MeOH solvent system (100:1 to 25:1 (v/v)) to give thick syrup (114 mg, 70%): −0.8 (c 0.5, CHCl3). 1H-NMR (400 MHz, CDCl3): δ 2.01, 2.02, 2.03, 2.04 (4s, 12H, CH3CO), 2.70 (t, 2H, J = 5.7 Hz, CH2O), 3.87 (ddd, 1H, J = =2.4 Hz, J = 4.6 Hz, J = 10.0 Hz, H-5), 3.95 (t, 2H, J = 5.8 Hz, CH2O), 4.11 (dd, 1H, J = 2.3 Hz, J = 12.4 Hz, H-6a), 4.25 (dd, 2H, J = 4.7 Hz, J = 12.3 Hz, H-6b), 5.11–5.24 (m, 4H, CH2N, H-2, H-4), 5.34 (dd~t, 1H, J = 9.3 Hz, H-3), 5.60 (d, 1H, J = 10.4 Hz, H-1), 5.75 (d, 1H, J = 7.9 Hz, H-5ur), 7.23 (dd, 1H, J = 0.4 Hz, J = 8.7 Hz, H-3pyr), 7.34 (d, 1H, J = 7.9 Hz, H-6ur), 8.05 (dd, 1H, J = 2.5 Hz, J = 8.7 Hz, H-4pyr), 8.54 (dd, 1H, J = 2.5 Hz, H-6pyr), 8.58 (s, 1H, NH), 9.80 (bs, 1H, NH). 13C-NMR (100 MHz, CDCl3): δ 20.56, 20.57, 20.64, 20.71 (CH3CO), 37.30 (CH2CO), 61.99 (C-6); 65.20 (CH2O), 68.27 (C-4), 69.58 (C-2), 73.98 (C-3), 75.78 (C-5), 77.24 (CH2N), 82.54 (C-1), 103.23 (C-5ur), 123.90 (C-3pyr), 128.23 (C-4pyr), 132.22 (C-5pyr), 141.13 (C-6pyr), 143.63 (C-6ur), 149.40 (C-2pyr), 151.39 (C-2ur), 163.54 (C-4ur), 169.38 (NHCO), 169.42, 169.51, 170.13, 170.73 (CH3CO). HRMS (ESI) (m/z): [M + Na]+ calcd for C27H32N4NaO13S, 675.1584; found, 675.1590.
Glycoconjugate (54) Starting from amine derivative 22 and uracil derivative 28, purified by column chromatography in CHCl3:MeOH solvent system (100:1 to 25:1 (v/v)) to give thick syrup (106 mg, 65%): 0.1 (c 0.5, CHCl3). 1H-NMR (400 MHz, CDCl3): δ 2.00, 2.01, 2.02, 2.16 (4s, 12H, CH3CO), 2.70 (t, 2H, J = 5.7 Hz, CH2CO), 3.96 (t, 2H, J = 5.7 Hz, CH2O), 4.04–4.15 (m, 3H, H-6a, H-6b, H-5), 5.15–5.23 (s, 3H, H-3, CH2N), 5.38 (dd~t, 1H, J = 10.1 Hz, H-2), 5.48 (d, 1H, J = 3.3 Hz, H-4), 5.60 (d, 1H, J = 10.3 Hz, H-1), 5.76 (d, 1H, J = 7.9 Hz, H-5ur), 7.27 (d, 1H, J = 8.7 Hz, H-3pyr), 7.31 (d, 1H, J = 7.9 Hz, H-6ur), 8.08 (dd, 1H, J = 2.6 Hz, J = 8.7 Hz, H-4pyr), 8.40 (s, 1H, NH), 8.51 (d, 1H, J = 2.6 Hz, H-6pyr), 9.47 (bs, 1H, NH). 13C-NMR (100 MHz, CDCl3): δ 20.58, 20.67, 20.75 (CH3CO), 37.35 (CH2CO), 61.26 (C-6), 65.19 (CH2O), 66.92 (C-2), 67.29 (C-4), 72.02 (C-3), 74.44 (C-5), 77.27 (CH2N), 83.06 (C-1), 103.33 (C-5ur), 123.86 (C-3pyr), 128.28 (C-4pyr), 133.09 (C-5pyr), 141.12 (C-6pyr), 143.48 (C-6ur), 149.76 (C-2pyr), 151.30 (C-2ur), 163.25 (C-4ur), 169.29 (NHCO), 169.69, 170.03, 170.24, 170.49 (CH3CO). HRMS (ESI) (m/z): [M + Na]+ calcd for C27H32N4NaO13S, 675.1584; found, 675.1592.
3.2.5. Protecting Groups Removal
Debenzylation: Corresponding glycoconjugate 33–52 (0.06 mmol) was dissolved in dry CH2Cl2 (2 mL) and anhydrous FeCl3 (97 mg, 0.60 mmol) was added. The resulting mixture was stirred under argon. After 30 minutes the reaction mixture was diluted with CH2Cl2 (10 mL) and washed with water. Resulting emulsion was centrifuged (6000 rpm) and the supernatant was collected and evaporated. The residue was dissolved in MeOH (5 mL), the silica gel was added, and solvent was evaporated and purified by column chromatography with CHCl3:MeOH solvent system (10:1 to 3:1 [v/v]).
Glycoconjugate (55) White solid (24 mg, 93%): 149.2 (c 0.3, CH3OH). 1H-NMR (400 MHz, CD3OD): δ 2.83 (t, 2H, J = 6.3 Hz, CH2CO), 3.39 (dd, 1H, J = 8.9 Hz, J = 9.8 Hz, H-4), 3.55 (m, 1H, H-3), 3.66–3.75 (m, 2H, H-6a, H-6b), 3.84 (dd, 1H, J = 5.4 Hz, J = 9.8 Hz, H-2), 3.93 (ddd, J = 3.0 Hz, J = 4.5 Hz, J = 9.8 Hz, 1H, H-5), 4.09 (t, 2H, J = 6.3 Hz, CH2N), 5.62 (d, 1H, J = 7.9 Hz, H-5ur), 6.10 (d, 1H, J = 5.4 Hz, H-1), 7.48 (d, 1H, J = 8.7 Hz, H-3pyr), 7.64 (d, 1H, J = 7.9 Hz, H-6ur), 7.92 (dd, 1H, J = 2.7 Hz, J = 8.7 Hz, H-4pyr), 8.62 (d, 1H, J = 2.7 Hz, H-6pyr). 13C-NMR (100 MHz, CD3OD): δ 36.18 (CH2CO), 46.36 (CH2N), 62.35 (C-6), 71.43 (C-4), 72.93 (C-2), 75.49 (C-5), 76.01 (C-3), 88.12 (C-1), 101.94 (C-5ur), 125.96 (C-3pyr), 129.77 (C-4pyr), 134.75 (C-5pyr), 142.11 (C-6pyr), 147.99 (C-6ur), 152.69 (C-2ur), 153.07 (C-2pyr), 166.75 (C-4ur), 171.33 (NHCO). HRMS (ESI) (m/z): [M + H]+ calcd for C18H23N4O8S, 455.1237; found, 455.1241.
Glycoconjugate (56) White solid (24 mg, 93%): 83.6 (c 0.5, CH3OH). 1H-NMR (400 MHz, CD3OD): δ 2.84 (t, 2H, J = 6.4 Hz, CH2CO), 3.62–3.72 (m, 3H, H-6a, H-6b, H-3), 3.98 (dd, 1H, J = 1.5 Hz, J = 3.4 Hz, H-4), 4.10 (t, 2H, J = 6.4 Hz, CH2N), 4.16–4.20 (m, 1H, H-5), 4.23 (dd, 1H, J = 5.5 Hz, J = 10.2 Hz, H-2), 5.62 (d, 1H, J = 7.9 Hz, H-5ur), 6.13 (d, 1H, J = 5.5 Hz, H-1), 7.51 (d, 1H, J = 8.6 Hz, H-3pyr), 7.65 (d, 1H, J = 7.9 Hz, H-6ur), 7.92 (dd, 1H, J = 2.5 Hz, J = 8.6 Hz, H-4pyr), 8.63 (d, 1H, J = 2.5 Hz, H-6pyr). 13C-NMR (100 MHz, CD3OD) δ 36.21 (CH2CO), 46.35 (CH2N), 62.39 (C-6), 69.57 (C-2), 70.68 (C-4), 72.52 (C-3), 74.07 (C-5), 88.65 (C-1), 101.96 (C-5ur), 126.25 (C-3pyr), 129.79 (C-4pyr), 134.75 (C-5pyr), 142.12 (C-6pyr), 147.98 (C-6ur), 152.70 (C-2ur), 153.21 (C-2pyr), 166.76 (C-4ur), 171.36 (NHCO). HRMS (ESI) (m/z): [M + H]+ calcd for C18H22N4O8S, 455.1237; found, 455.1237.
Glycoconjugate (57) White solid (17 mg, 64%): 145.9 (c 0.3, CH3OH). 1H-NMR (400 MHz, CD3OD): δ 3.40 (dd, 1H, J = 8.9 Hz, J = 9.9 Hz, H-4), 3.55 (m, 1H, H-3), 3.67–3.76 (m, 2H, H-6a, H-6b), 3.84 (dd, 1H, J = 5.4 Hz, J = 9.8 Hz, H-2), 3.93 (ddd, J = 3.1 Hz, J = 4.4 Hz, J = 9.8 Hz, 1H, H-5), 4.30 (s, 2H, CH2N), 5.30 (s, 2H, CH2O), 5.71 (d, 1H, J = 7.9 Hz, H-5ur), 6.13 (d, 1H, J = 5.4 Hz, H-1), 7.50 (dd, 1H, J = 8.7 Hz, H-3pyr), 7.73 (d, 1H, J = 7.9 Hz, H-6ur), 7.99 (dd, 1H, J = 2.4 Hz, J = 8.7 Hz, H-4pyr), 8.70 (d, 1H, J = 2.4 Hz, H-6pyr). 13C-NMR (100 MHz, CD3OD): δ 62.34 (C-6), 69.57 (CH2N), 71.42 (C-4), 72.92 (C-2), 75.52 (C-5), 76.01 (C-3), 79.07 (CH2O), 88.04 (C-1), 103.23 (C-5ur), 125.79 (C-3pyr), 130.25 (C-4pyr), 134.04 (C-5pyr), 142.61 (C-6pyr), 146.42 (C-6ur), 153.19 (C-2ur), 153.69 (C-2pyr), 166.34 (C-4ur), 170.39 (NHCO). HRMS (ESI) (m/z): [M + H]+ calcd for C18H23N4O9S, 471.1186; found, 471.1184.
Glycoconjugate (58) White solid (19 mg, 70%): 107.6 (c 0.5, CH3OH). 1H-NMR (400 MHz, CD3OD): δ 3.63–3.73 (m, 3H, H-6a, H-6b, H-3), 3.98 (dd, 1H, J = 1.2 Hz, J = 3.3 Hz, H-4), 4.18 (ddd, 1H, J = 1.5 Hz, J = 5.3 Hz, J = 6.7 Hz, H-5), 4.24 (dd, 1H, J = 5.5 Hz, J = 10.2 Hz, H-2), 4.30 (s, 2H, CH2N), 5.30 (s, 2H, CH2O), 5.72 (d, 1H, J = 7.9 Hz, H-5ur), 6.16 (d, 1H, J = 5.5 Hz, H-1), 7.52 (dd, 1H, J = 0.6 Hz, J = 8.7 Hz, H-3pyr), 7.69 (d, 1H, J = 7.9 Hz, H-6ur), 7.99 (dd, 1H, J = 2.5 Hz, J = 8.7 Hz, H-4pyr), 8.70 (d, 1H, J = 2.5 Hz, H-6pyr). 13C-NMR (100 MHz, CD3OD): δ 62.40 (C-6), 69.56 (CH2N, C-2), 70.67 (C-4), 72.53 (C-3), 74.12 (C-5), 79.08 (CH2O), 88.56 (C-1), 103.23 (C-5ur), 126.04 (C-3pyr), 130.23 (C-4pyr), 134.02 (C-5pyr), 142.58 (C-6pyr), 146.44 (C-6ur), 153.17 (C-2ur), 153.81 (C-2pyr), 166.32 (C-4ur), 170.39 (NHCO). HRMS (ESI) (m/z): [M + H]+ calcd for C18H23N4O9S, 471.1186; found, 471.1187.
Glycoconjugate (59) White solid (18 mg, 66%): 67.5 (c 0.5, CH3OH). 1H-NMR (400 MHz, CD3OD): δ 2.65 (t, 2H, J = 5.9 Hz, CH2CO), 3.55 (m, 1H, H-3), 3.64–3.76 (m, 2H, H-6a, H-6b), 3.84 (dd, 1H, J = 5.4 Hz, J = 9.8 Hz, H-2), 3.93 (m, 1H, H-5), 5.17 (s, 2H, CH2N), 5.65 (d, 1H, J = 7.9 Hz, H-5ur), 6.10 (d, 1H, J = 5.4 Hz, H-1), 7.49 (dd, 1H, J = 0.7 Hz, J = 8.7 Hz, H-3pyr), 7.61 (d, 1H, J = 7.9 Hz, H-6ur), 7.95 (dd, 1H, J = 2.6 Hz, J = 8.9 Hz, H-4pyr), 8.62 (d, 1H, J = 2.6 Hz, H-6pyr). 13C-NMR (100 MHz, CD3OD): δ 38.08 (CH2CO), 62.38 (C-6), 66.33 (CH2O), 71.43 (C-4), 72.95 (C-2), 75.49 (C-5), 76.01 (C-3), 78.19 (CH2N), 88.15 (C-1), 103.00 (C-5ur), 125.99 (C-3pyr), 129.76 (C-4pyr), 134.87 (C-5pyr), 142.07 (C-6pyr), 146.21 (C-6ur), 152.70 (C-2ur), 153.22 (C-2pyr), 166.45 (C-4ur), 172.12 (NHCO). HRMS (ESI) (m/z): [M + H]+ calcd for C19H25N4O9S, 485.1342; found, 485.1339.
Glycoconjugate (60) White solid (25 mg, 93%): 130.2 (c 1.0, CH3OH). 1H-NMR (400 MHz, CD3OD): δ 2.64 (t, 2H, J = 5.9 Hz, CH2CO), 3.64–3.73 (m, 3H, H-6a, H-6b, H-3), 3.91 (t, 2H, J = 5.9 Hz, CH2O), 3.98 (dd, 1H, J = 1.6 Hz, J = 3.3 Hz, H-4), 4.19 (ddd, 1H, J = 1.5 Hz, J = 5.3 Hz, J = 6.7 Hz, H-5), 4.24 (dd, 1H, J = 5.5 Hz, J = 10.2 Hz, H-2), 5.18 (s, 2H, CH2N), 5.65 (d, 1H, J = 7.9 Hz, H-5ur), 6.14 (d, 1H, J = 5.5 Hz, H-1), 7.51 (dd, 1H, J = 0.6 Hz, J = 8.7 Hz, H-3pyr), 7.62 (d, 1H, J = 7.9 Hz, H-6ur), 7.94 (dd, 1H, J = 2.6 Hz, J = 8.7 Hz, H-4pyr), 8.64 (d, 1H, J = 2.6 Hz, H-6pyr). 13C-NMR (100 MHz, CD3OD): δ 38.07 (CH2CO), 62.42 (C-6), 66.33 (CH2O), 69.57 (C-2), 70.70 (C-4), 72.51 (C-3), 74.07 (C-5), 78.20 (CH2N), 88.66 (C-1), 102.99 (C-5ur), 126.24 (C-3pyr), 129.70 (C-4pyr), 134.88 (C-5pyr), 142.06 (C-6pyr), 146.26 (C-6ur), 152.96 (C-2ur), 153.06 (C-2pyr), 166.44 (C-4ur), 172.13 (NHCO). HRMS (ESI) (m/z): [M + H]+ calcd for C19H25N4O9S, 485.1342, found, 485.1342.
Glycoconjugate (61) White solid (18 mg, 76%): 90.2 (c 0.2, CH3OH). 1H-NMR (400 MHz, CD3OD): δ 2.93 (t, 2H, J = 6.3 Hz, CH2CO), 3.55 (dd, 1H, J = 8.8 Hz, J = 10.0 Hz, H-3), 3.67–3.75 (m, 2H, H-6a, H-6b), 3.84 (dd, 1H, J = 5.4 Hz, J = 9.8 Hz, H-2), 3.93 (ddd, 1H, J = 2.9 Hz, J = 4.6 Hz, J = 9.8 Hz, H-5), 4.07 (t, 2H, J = 6.3 Hz, CH2N), 4.74 (s, 2H, CH2O), 5.61 (d, 1H, J = 7.9 Hz, H-5ur), 6.13 (d, 1H, J = 5.4 Hz, H-1), 7.50 (dd, 1H, J = 0.6 Hz, J = 8.7 Hz, H-3pyr), 7.65 (d, 1H, J = 7.9 Hz, H-6ur), 7.95 (dd, 1H, J = 2.7 Hz, J = 8.7 Hz, H-4pyr), 8.60 (dd, 1H, J = 0.6 Hz, J = 2.7 Hz, H-6pyr). 13C-NMR (100 MHz, CD3OD): δ 33.61 (CH2CO), 46.04 (CH2N), 62.38 (C-6), 63.91 (CH2O), 71.44 (C-4), 72.94 (C-2), 75.54 (C-5), 76.04 (C-3), 88.03 (C-1), 101.97 (C-5ur), 125.84 (C-3pyr), 130.06 (C-4pyr), 134.14 (C-5pyr), 142.34 (C-6pyr), 148.01 (C-6ur), 152.75 (C-2ur), 153.65 (C-2pyr), 166.79 (C-4ur), 168.29 (COO), 172.25 (NHCO). HRMS (ESI) (m/z): [M + H]+ calcd for C20H25N4O10S, 513.1291, found, 513.1294.
Glycoconjugate (62) White solid (29 mg, 95%): 105.4 (c 1.0, CH3OH). 1H-NMR (400 MHz, CD3OD): δ 2.73 (dd, 1H, J = 5.8 Hz, J = 16.2 Hz, CHHCO), 2.84 (dd, 1H, J = 7.7 Hz, J = 16.2 Hz, CHHCO), 3.39 (dd, 1H, J = 8.9 Hz, J = 9.9 Hz, H-4), 3.55 (m, 1H, H-3), 3.68 (s, 3H, CH3), 3.65–3.75 (m, 2H, H-6a, H-6b); 3.83 (dd, 1H, J = 5.4 Hz, J = 9.8 Hz, H-2), 3.93 (ddd, J = 3.0 Hz, J = 4.5 Hz, J = 9.8 Hz, 1H, H-5), 4.05 (ddd, 2H, J = 7.0 Hz, J = 14.0 Hz, J = 24.0 Hz, CH2N), 5.64 (d, 1H, J = 7.9 Hz, H-5ur), 6.10 (d, 1H, J = 5.4 Hz, H-1), 7.48 (dd, 1H, J = 0.5 Hz, J = 8.7 Hz, H-3pyr), 7.57 (d, 1H, J = 7.9 Hz, H-6ur), 7.91 (dd, 1H, J = 2.5 Hz, J = 8.7 Hz, H-4pyr), 8.61 (d, 1H, J = 0.5 Hz, J = 2.5 Hz, H-6pyr). 13C-NMR (100 MHz, CD3OD): δ 36.57 (CH2CO), 41.89 (CH), 50.62 (CH2N), 52.81 (CH3), 62.35 (C-6), 71.43 (C-4), 72.94 (C-2), 75.48 (C-5), 76.00 (C-3), 88.15 (C-1), 102.31 (C-5ur), 125.99 (C-3pyr), 129.66 (C-4pyr), 134.83 (C-5pyr), 142.02 (C-6pyr), 147.51 (C-6ur), 151.77 (C-2ur), 152.94 (C-2pyr), 166.71 (C-4ur), 171.31 (NHCO), 174.57 (COOCH3). HRMS (ESI) (m/z): [M + H] + calcd for C21H27N4O10S, 527.1448; found, 527.1450.
Glycoconjugate (63) White solid (31 mg, 98%): 43.5 (c 0.25, CH3OH). 1H-NMR (400 MHz, CD3OD): δ 2.74 (dd, 1H, J = 5.8 Hz, J = 16.2 Hz, CHHCO), 2.85 (dd, 1H, J = 7.7 Hz, J = 16.2 Hz, CHHCO), 3.37 (m, 1H, CH), 3.64–3.72 (m, 6H, H-6a, H-6b, H-3, CH3), 3.98 (dd, 1H, J = 1.2 Hz, J = 3.3 Hz, H-4), 4.06 (ddd, 2H, J = 7.0 Hz, J = 14.0 Hz, J = 20.1 Hz, CH2N), 4.18 (ddd, 1H, J = 1.3 Hz, J = 5.4 Hz, J = 6.7 Hz, 1H, H-5), 4.23 (dd, 1H, J = 5.5 Hz, J = 10.1 Hz, H-2), 5.64 (d, 1H, J = 7.9 Hz, H-5ur), 6.12 (d, 1H, J = 5.5 Hz, H-1), 7.51 (dd, 1H, J = 0.5 Hz, J = 8.7 Hz, H-3pyr), 7.59 (d, 1H, J = 7.9 Hz, H-6ur), 7.91 (dd, 1H, J = 2.6 Hz, J = 8.7Hz, H-4pyr), 8.61 (dd, 1H, J = 0.5 Hz, J = 2.6 Hz, H-6pyr). 13C-NMR (100 MHz, CD3OD): δ 36.56 (CH2CO), 41.88 (CH), 49.64 (CH2N), 52.83 (CH3), 62.39 (C-6), 69.58 (C-2), 70.68 (C-4), 72.52 (C-3), 74.07 (C-5), 88.68 (C-1), 101.28 (C-5ur), 126.28 (C-3pyr), 129.66 (C-4pyr), 134.84 (C-5pyr), 142.01 (C-6pyr), 147.59 (C-6ur), 152.86 (C-2ur), 153.07 (C-2pyr), 166.60 (C-4ur), 171.32 (NHCO), 174.55 (COOCH3). HRMS (ESI) (m/z): [M + H] + calcd for C21H26N4O10NaS, 549.1267; found, 549.1262.
Deacetylation: The corresponding glycoconjugate 53 or 54 (0.12 mmol) was dissolved in MeOH (10 mL) and 1 M MeONa in MeOH (0.2 mmol, 0.2 mL) was added. The resulting mixture was stirred at room temperature. The progress of the reaction was monitored on TLC plate in MeOH:CHCl3 (2:1) solvent system. After completion (30 min.), the reaction mixture was neutralised with silica gel, the solvent was evaporated purified by column chromatography with CHCl3: MeOH solvent system (10:1 to 2:1 [v/v]).
Glycoconjugate (64) Purified by column chromatography in CHCl3:MeOH solvent system (10:1 to 2:1 (v/v)) to give white solid (50 mg, 87%): −43.4 (c 1.0, CH3OH). 1H-NMR (400 MHz, CD3OD): δ 2.64 (t, 2H, J = 5.9 Hz, CH2O), 3.32–3.47 (m, 4H, H-2, H-3, H4, H-5), 3.66 (dd, 1H, J = 5.6 Hz, J = 12.1 Hz, H-6a), 3.85 (dd, 1H, J = 2.2 Hz, J = 12.1 Hz, H-6b), 3.90 (t, 2H, J = 5.9 Hz, CH2O), 5.08 (d, 1H, J = 9.9 Hz, H-1), 5.17 (s, 2H, CH2N), 5.64 (d, 1H, J = 7.9 Hz, H-5ur), 7.46 (dd, 1H, J = 0.6 Hz, J = 8.7 Hz, H-3pyr), 7.60 (d, 1H, J = 7.9 Hz, H-6ur), 7.97 (dd, 1H, J = 2.6 Hz, J = 8.7 Hz, H-4pyr), 8.60 (dd, 1H, J = 0.6 Hz, J = 2.6 Hz, H-6pyr). 13C-NMR (100 MHz, CD3OD) δ 38.09 (CH2CO), 62.78 (C-6), 66.33 (CH2O), 71.31 (C-4), 73.89 (C-2), 78.18 (CH2N), 79.71 (C-3), 82.16 (C-5), 86.91 (C-1), 103.01 (C-5ur), 125.38 (C-3pyr), 129.77 (C-4pyr), 134.92 (C-5pyr), 141.88 (C-6pyr), 146.18 (C-6ur), 152.85 (C-2pyr), 152.95 (C-2ur), 166.44 (C-4ur), 172.09 (NHCO). HRMS (ESI) (m/z): [M + H]+ calcd for C19H25N4O9S, 485.1342; found 485.1341.
Glycoconjugate (65) Purified by column chromatography in CHCl3:MeOH solvent system (10:1 to 2:1 (v/v)) to give white solid ( 45 mg, 78%): −34. 7 (c 1.0, CH3OH). 1H-NMR (400 MHz, CD3OD): δ 2.64 (t, 2H, J = 5.9 Hz, CH2CO), 3.56 (dd, 1H, J = 3.3 Hz, J = 9.2 Hz, H-3), 3.64–3.78 (m, 4H, H-2, H-5, H-6a, H-6b), 3.90 (t, 2H, J = 5.9 Hz, CH2O), 3.93 (d, 1H, J = 3.1 Hz, H-4), 5.04 (d, 1H, J = 9.9 Hz, H-1), 5.17 (s, 2H, CH2N), 5.65 (d, 1H, J = 7.9 Hz, H-5ur), 7.49 (dd, 1H, J = 0.7 Hz, J = 8.7 Hz, H-3pyr), 7.60 (d, 1H, J = 7.9 Hz, H-6ur), 7.95 (dd, 1H, J = 2.6 Hz, J = 8.7 Hz, H-4pyr), 8.59 (dd, 1H, J = 0.5 Hz, J = 2.6 Hz, H-6pyr). 13C-NMR (100 MHz, CD3OD): δ 38.09 (CH2CO), 62.69 (C-6), 66.34 (CH2O), 70.52 (C-4), 70.90 (C-2), 76.35 (C-3), 78.18 (CH2N), 80.84 (C-5), 87.41 (C-1), 103.01 (C-5ur), 125.06 (C-3pyr), 129.78 (C-4pyr), 134.74 (C-5pyr), 141.78 (C-6pyr), 146.19 (C-6ur), 152.97 (C-2pyr), 153.34 (C-2ur), 166.47 (C-4ur), 172.08 (NHCO). HRMS (ESI) (m/z): [M + H]+ calcd for C19H25N4O9S, 485.1342; found 485.1337.
3.3. Biological Evaluation
Enzymatic Assay
β4GalT activity was assayed using UDP-Gal as a glycosyl donor and (6-esculetinyl) β-d-glucopyranoside (esculine) as a glycosyl acceptor in a total volume of 200 μL. The final concentrations of the reagents in the reaction mixtures were as follows:
- Hepes buffer (pH 5.4) or citrate buffer (pH 5.4)—50 mM
- MnCl2—10 mM,
- BSA—2.0 mg/mL,
- Esculine—200 μM,
- UDP-Gal—40 μM,
- MeOH—10 µL,
- Glycoconjugate 33–65—0.8 mM.
The enzymatic reactions were initiated by the addition of 0.1 mU β4GalT solution and subsequently incubated at 30 °C in a thermoblock. After 60 min. the enzyme was inactivated by heating the reaction mixture to 90 °C for 3 min. Resulting suspension was diluted with freshly distilled water (300 μL) and centrifuged for 20 min. (6000 rpm). The supernatant was filtered through M.E. Cellulose disc filter (0.2 µm × 13 mm) and the filtrate was injected into HPLC column. The inhibitory activity of the compounds was evaluated from the intensity of the peaks on the chromatogram referring to the product of the enzymatic reaction ((6-esculetinyl) 4′-O-β-d-galactopyranosyl-β-d-glucopyranoside). For compound 64 with the enzyme inhibiting activity IC50 value was determined using the same procedure using the reaction mixtures containing inhibitor in the concentrations of: 0.1, 0.2, 0.4, 0.8, and 1.6 mM and calculated using CalcuSyn software.
4. Conclusions
We have shown that it is convenient to steer the activity of small-molecule inhibitors by modifying some elements of their structure. In particular, the change of the linker structure and the glycoside configuration affects the inhibitory properties of the analogues towards the β4GalT.
In our study, we focused on a simple and efficient synthesis of the analogues of a natural glycosyl donor substrate of β4GalT. Within the glycoconjugates structure, we proposed for the ribose to be replaced with an acyclic linkage. Glycoconjugates exhibit improved stability against hydrolytic cleavage thanks to replacing the oxygen atom between the linker and sugar moiety with sulphur. Additionally, the stability of glycoconjugates was enhanced by the introduction of an amide bond between the linker and aminopyridyl 1-thioglycoside moiety.
For the preparation of (5-nitro-2-pyridyl) 1-thio-α-d-glycosides, a number of synthetic procedures were used and, at last, we have applied one that was previously developed in our group. It is worth noting that products 27, 28, 30, and 32 are new compounds not described in the literature so far. Also important is the successful use of lipase to obtain the product 32 in a stereoselective way. As a result of the studies a series of glycoconjugates containing both benzyl and acetyl protections in the sugar unit was obtained. Their deprotection allowed for the obtainment of a series of analogues of natural β4GalT substrates.
The biological activity of glycoconjugates has been checked using commercially available β4GalT. No inhibition against β4GalT when using glycoconjugates 55–63 suggests that the α-d-thiogalacto- and α-d-thioglucopyranoside motif connected with uridine is not sufficient to ensure binding at the active site of the enzyme. Unexpectedly, it turned out that the glucoconjugate 64 with the β configuration at the sugar anomeric centre is able to inhibit the enzyme, and what is particularly interesting, the d-gluco- derivative is more active than d-galacatose conjugate. A similar pattern was observed earlier in the case of uridine glycoconjugate in which the pyrophosphate linker was replaced with O-methylene triazole unit [66]. At the time, it was suspected that this state of affairs is due to the relatively rigid structure of the linker. In the case of currently described glycoconjugates, it was assumed that replacing the rigid O-methylene triazole linker connected with C-5 of the ribose unit by a more flexible aliphatic link would allow a better fit to the active enzyme centre. However, to determine the mechanism of their action further studies are needed.
The results presented in this paper provide evidence for the efficacy of inhibitor mimicking parts of the β4GalT natural substrate structure. Although compound 64 bearing a β-d-glucose fragment is β4GalT inhibitor in vitro, further experiments are needed for testing whether the described results can be extrapolated to other glycosyltransferases.
Supplementary Materials
Supplementary materials are available online. Figure S1–S86: 1H- and 13C-NMR spectra of compounds 13, 14, 17–20, 27, 28, 30, and 30–65.
Author Contributions
R.K. designed, synthesised, and characterised chemical compounds; analysed and interpreted the data, wrote the manuscript, acquired the funding, and participated in the editing of the manuscript. G.P.-G. conceived the study, designed some of the chemical compounds, designed and performed in vitro biological studies on enzymes, participated in the interpretation of the results, supervised the research, wrote the manuscript, and acquired funding for publication. E.K. helped with the interpretation of the biological results. W.S. revised the manuscript. All authors read and approved the final version of the manuscript.
Funding
This work was supported by the Polish National Centre of Science (NCN)—grant number 2012/07/N/ST5/02421. Publication was supported as a part of the postdoctoral habilitation grant from Silesian University of Technology in Gliwice (No. 04/20/RGH17/0051).
Conflicts of Interest
The authors declare no conflicts of interest.
References
- Crocker, P.R.; Feizi, T. Carbohydrate recognition systems: functional triads in cell-cell interactions. Curr. Opin. Struct. Biol. 1996, 6, 679–691. [Google Scholar] [CrossRef]
- Talbot, P.; Shur, B.D.; Myles, D.G. Cell adhesion and fertilization: steps in oocyte transport, sperm-zona pellucida interactions, and sperm-egg fusion. Biol. Reprod. 2003, 68, 1–9. [Google Scholar] [CrossRef] [PubMed]
- Akama, T.O.; Nakagawa, H.; Sugihara, K.; Narisawa, S.; Ohyama, C.; Nishimura, S.-I.; O’Brien, D.A.; Moremen, K.W.; Millán, J.-L.; Fukuda, M.N. Germ Cell Survival Through Carbohydrate-Mediated Interaction with Sertoli Cells. Science 2002, 295, 124–127. [Google Scholar] [CrossRef] [PubMed]
- Takahashi, M.; Tsuda, T.; Ikeda, Y.; Honke, K.; Taniguchi, N. Role of N-glycans in growth factor signaling. Glycoconj. J. 2004, 20, 207–212. [Google Scholar] [CrossRef] [PubMed]
- Rudd, P.M.; Wormald, M.R.; Stanfield, R.L.; Huang, M.; Mattsson, N.; Speir, J.A.; DiGennaro, J.A.; Fetrow, J.A.; Dwek, R.A.; Wilson, I.A. Roles for glycosylation of cell surface receptors involved in cellular immune recognition. J. Mol. Biol. 1999, 293, 351–366. [Google Scholar] [CrossRef] [PubMed]
- Rudd, P.M.; Elliott, T.; Cresswell, P.; Wilson, I.A.; Dwek, R.A. Glycosylation and the Immune System. Science 2001, 291, 2370–2376. [Google Scholar] [CrossRef] [PubMed]
- Lowe, J.B. Glycan-dependent leukocyte adhesion and recruitment in inflammation. Curr. Opin. Cell. Biol. 2003, 5, 531–538. [Google Scholar] [CrossRef]
- Sharon, N. Carbohydrate-Lectin Interactions in Infectious Disease. Adv. Exp. Med. Biol. 1996, 408, 1–8. [Google Scholar] [PubMed]
- Sacks, D.; Kamhawi, S. Molecular Aspects of Parasite-Vector and Vector-Host Interactions in Leishmaniasis. Annu. Rev. Microbiol. 2001, 55, 453–483. [Google Scholar] [CrossRef] [PubMed]
- Sharon, N.; Ofek, I. Fighting Infectious Diseases with Inhibitors of Microbial Adhesion to Host Tissues. Crit. Rev. Food Sci. Nutr. 2002, 42 (Suppl. 3), 267–272. [Google Scholar] [CrossRef] [PubMed]
- Hakomori, S. Glycosylation defining cancer malignancy: New wine in an old bottle. Proc. Natl. Acad. Sci. USA 2002, 99, 10231–10233. [Google Scholar] [CrossRef] [PubMed]
- Couldrey, C.; Green, J.E. Metastases: The glycan connection. Breast Cancer Res. 2000, 2, 321–323. [Google Scholar] [CrossRef] [PubMed]
- Dennis, J.W.; Fernandez, B.; Korczak, B.; Goss, P.; Baker, M. Branching N-Linked Oligosaccharides in Breast Cancer. Adv. Exp. Med. Biol. 1994, 353, 95–104. [Google Scholar]
- Furukawa, K.; Okajima, T. Galactosyltransferase I is a gene responsible for progeroid variant of Ehlers-Danlos syndrome: molecular cloning and identification of mutations. Biochim. Biophys. Acta 2002, 1573, 377–381. [Google Scholar] [CrossRef]
- Hansske, B.; Thiel, C.; Lübke, T.; Hasilik, M.; Höning, S.; Peters, V.; Heidemann, P.H.; Hoffmann, G.F.; Berger, E.G.; Figura, K.; et al. Deficiency of UDP-galactose: N-acetylglucosamine β-1,4-galactosyltransferase I causes the congenital disorder of glycosylation type IId. J. Clin. Invest. 2002, 109, 725–733. [Google Scholar] [CrossRef] [PubMed]
- Qasba, P.K.; Ramakrishnan, B.; Boeggeman, E. Substrate-induced conformational changes in glycosyltransferases. Trends Biochem. Sci. 2005, 30, 53–62. [Google Scholar] [CrossRef] [PubMed]
- Qasba, P.K.; Ramakrishnan, B.; Boeggeman, E. Structure and Function of β-1,4-Galactosyltransferase. Curr. Drug Targets 2008, 9, 292–309. [Google Scholar] [CrossRef] [PubMed]
- Roseman, S. Reflections on Glycobiology. J. Biol. Chem. 2001, 276, 41527–41542. [Google Scholar] [CrossRef] [PubMed]
- Paulson, J.C.; Colley, K.J. Glycosyltransferases. Structure, localization, and control of cell type-specific glycosylation. J. Biol. Chem. 1989, 264, 17615–17618. [Google Scholar] [PubMed]
- Varki, A.; Cummings, R.D.; Esco, J.D.; Freeze, H.H.; Stanley, P.; Bertozzi, C.R.; Hart, G.W.; Etzler, M.E. Essentials of Glycobiology, 2nd ed.; CSHL Press: New York, NY, USA, 2009; ISBN 978-0-87969-770-9. [Google Scholar]
- Compain, P.; Martin, O.R. Carbohydrate mimetics-based glycosyltransferase inhibitors. Bioorg. Med. Chem. 2001, 9, 3077–3092. [Google Scholar] [CrossRef]
- Chung, S.J.; Takayama, S.; Wong, C.-H. Acceptor substrate-based selective inhibition of galactosyltransferases. Bioorg. Med. Chem. Lett. 1998, 8, 3359–3364. [Google Scholar] [CrossRef]
- Devel, L.; Vidal-Cros, A.; Thellend, A. Synthesis of N-acetylxylosamidoxime, a potential transition state analog inhibitor of glycosyltransferases. Tetrahedron Lett. 2000, 41, 299–301. [Google Scholar] [CrossRef]
- Jung, K.-H.; Schmidt, R.R. Glycosylotransferase Inhibitors. In Carbohydrate-Based Drug Discovery, 2nd ed.; Wong, C.-H., Ed.; Wiley-VCh Verlag: Weinheim, Germany, 2003; Volume 1, pp. 609–659. ISBN 3-527-30632-3. [Google Scholar]
- Wang, S.; Vidal, S. Recent design of glycosyltransferase inhibitors. In Carbohydrate Chemistry: Specialist Periodical Reports; Router, A.P., Lindhorst, T.K., Eds.; RSC Publishing: Cambridge, UK, 2013; Volume 39, pp. 78–101. [Google Scholar]
- Vidal, S.; Bruyere, I.; Malleron, A.; Auge, J.; Praly, C.-P. Non-isosteric C-glycosyl analogues of natural nucleotide diphosphate sugars as glycosyltransferase inhibitors. Bioorg. Med. Chem. 2006, 14, 7293–7301. [Google Scholar] [CrossRef] [PubMed]
- Hajduch, J.; Nam, G.; Kim, E.J.; Froehlich, R.; Hanover, J.A.; Kirk, K.L. A convenient synthesis of the C-1-phosphonate analogue of UDP-GlcNAc and its evaluation as an inhibitor of O-linked GlcNAc transferase (OGT). Carbohydr. Res. 2008, 343, 189–195. [Google Scholar] [CrossRef] [PubMed]
- Ballell, L.; Young, R.J.; Field, R.A. Synthesis and evaluation of mimetics of UDP and UDP-α-d-galactose, dTDP and dTDP-α-d-glucose with monosaccharides replacing the key pyrophosphate unit. Org. Biomol. Chem. 2005, 3, 1109–1115. [Google Scholar] [CrossRef] [PubMed]
- Wandzik, I.; Bieg, T.; Czaplicka, M. Synthesis of 2-deoxy-hexopyranosyl derivatives of uridine as donor substrate analogues for glycosyltransferases. Bioorg. Chem. 2009, 37, 211–216. [Google Scholar] [CrossRef] [PubMed]
- Wang, R.; Steensma, D.H.; Takaoka, Y.; Yun, J.W.; Kajimoto, T.; Wong, C.-H. A search for pyrophosphate mimics for the development of substrates and inhibitors of glycosyltransferases. Bioorg. Med. Chem. 1997, 5, 661–672. [Google Scholar] [CrossRef]
- Wang, S.; Cuesta-Seijo, J.A.; Lafont, D.; Palcic, M.M.; Vidal, S. Design of Glycosyltransferase Inhibitors: Pyridine as a Pyrophosphate Surrogate. Chem. Eur. J. 2013, 19, 15346–15357. [Google Scholar] [CrossRef] [PubMed]
- Vembaiyan, K.; Pearcey, J.A.; Bhasin, M.; Lowary, T.L.; Zou, W. Synthesis of sugar–amino acid–nucleosides as potential glycosyltransferase inhibitors. Bioorg. Med. Chem. 2011, 19, 58–66. [Google Scholar] [CrossRef] [PubMed]
- Zhang, Y.; Ren, S.; Sun, D.; Tao, J. Synthesis and Evaluation of the Analogues for Galactosyl Donors as Inhibitors of β-1,4-Galactosyltransferase. Synth. Commun. 2010, 40, 328–336. [Google Scholar] [CrossRef]
- Pastuch-Gawołek, G.; Bieg, T.; Szeja, W.; Flasz, J. 5-Amino-2-pyridyl 1-thioglycosides in synthesis of analogs of glycosyltransferases substrates. Bioorg. Chem. 2009, 37, 77–83. [Google Scholar] [CrossRef] [PubMed]
- Grec, M.; Świerk, P.; Pastuch, G.; Szeja, W. Glycoconjugates, products of uridine derivatives phosphitylation and oxidation as glycosyltransferases potential inhibitors. Acta Poloniae Pharm.-Drug Res. 2010, 67, 652–663. [Google Scholar]
- Grec, M.; Świerk, P.; Pastuch-Gawołek, G.; Szeja, W. Synthesis of galactothiophosphoesters of uridine and preliminary tests to evaluate their activity against selected glycosyltransferases. Acta Poloniae Pharm.-Drug Res. 2012, 69, 1248–1258. [Google Scholar]
- Wilson, J.C.; Kiefel, M.J.; Angus, D.I.; von Itzstein, M. Investigation of the Stability of Thiosialosides toward Hydrolysis by Sialidases Using NMR Spectroscopy. Org. Lett. 1999, 1, 443–446. [Google Scholar] [CrossRef] [PubMed]
- Pachamuthu, K.; Schmidt, R.R. Synthetic Routes to Thiooligosaccharides and Thioglycopeptides. Chem. Rev. 2006, 106, 160–187. [Google Scholar] [CrossRef] [PubMed]
- Stallings-Mann, M.; Jamieson, L.; Regala, R.P.; Weems, C.; Murray, N.R.; Fields, A.P. A Novel Small-Molecule Inhibitor of Protein Kinase Cι Blocks Transformed Growth of Non–Small-Cell Lung Cancer Cells. Cancer Res. 2006, 66, 1767–1774. [Google Scholar] [CrossRef] [PubMed]
- Oscarson, S. S-Glycosylation. In Glycoscience; Fraser-Reid, B., Tatsuta, K., Thiem, J., Eds.; Springer: Berlin/Heidelberg, Germany, 2008; pp. 661–693. ISBN 978-3-540-36154-1. [Google Scholar]
- Nishio, T A novel transformation of alcohols to thiols. J. Chem. Soc. Chem. Comm. 1989, 4, 205–206. [CrossRef]
- Bernardes, G.J.; Gamblin, D.P.; Davis, B.G. The Direct Formation of Glycosyl Thiols from Reducing Sugars Allows One-Pot Protein Glycoconjugation. Angew. Chem. Int. Ed. 2006, 45, 4007–4011. [Google Scholar] [CrossRef] [PubMed]
- Komor, R.; Kasprzycka, A.; Pastuch-Gawołek, G.; Szeja, W. Simple synthesis of glycosylthiols and thioglycosides by rearrangement of O-glycosyl thionocarbamates. Carbohydr. Res. 2014, 396, 37–42. [Google Scholar] [CrossRef] [PubMed]
- Driguez, H.; Szeja, W. Facile Synthesis of 1,2-trans-Nitrophenyl-1-Thioglycopyranosides. Synthesis 1994, 12, 1413–1414. [Google Scholar] [CrossRef]
- Kovác, P.; Lerner, L. Systematic chemical synthesis and n.m.r. spectra of methyl α-glycosides of isomalto-oligosaccharides and related compounds. Carbohydr. Res. 1988, 184, 87–112. [Google Scholar] [CrossRef]
- Dere, R.T.; Kumar, A.; Kumar, V.; Zhu, X.; Schmidt, R.R. Synthesis of Glycosylthiols and Reactivity Studies. J. Org. Chem. 2011, 76, 7539–7545. [Google Scholar] [CrossRef] [PubMed]
- Dere, R.T.; Wang, Y.; Zhu, X. A direct and stereospecific approach to the synthesis of α-glycosyl thiols. Org. Biomol. Chem. 2008, 6, 2061–2063. [Google Scholar] [CrossRef] [PubMed]
- Friedman, H.L.; Braitberg, L.D.; Tolstoouhov, A.V.; Tisza, E.T. Tuberculostatic Compounds. I. Ethers of 2-Hydroxy-5-aminopyridine. J. Am. Chem. Soc. 1947, 69, 1204–1206. [Google Scholar] [CrossRef] [PubMed]
- Gamble, A.B.; Garner, J.; Gordon, C.P.; O’Conner, S.M.; Keller, P.A. Aryl Nitro Reduction with Iron Powder or Stannous Chloride under Ultrasonic Irradiation. Synth. Commun. 2007, 37, 2777–2786. [Google Scholar] [CrossRef]
- Amo-Ochoa, P.; Castillo, O.; Gómez-Garcia, C.J.; Hassanein, K.; Verma, S.; Kumar, J.; Zamora, F. Semiconductive and Magnetic One-Dimensional Coordination Polymers of Cu(II) with Modified Nucleobases. Inorg. Chem. 2013, 52, 11428–11437. [Google Scholar] [CrossRef] [PubMed]
- Sauer, R.; El-Tayeb, A.; Kaulich, M.; Müller, C.E. Synthesis of uracil nucleotide analogs with a modified, acyclic ribose moiety as P2Y(2) receptor antagonists. Bioorg. Med. Chem. 2009, 17, 5071–5079. [Google Scholar] [CrossRef] [PubMed]
- De Nooy, A.E.; Besemer, A.C.; van Bekkum, H. On the Use of Stable Organic Nitroxyl Radicals for the Oxidation of Primary and Secondary Alcohols. Synthesis 1996, 10, 1153–1176. [Google Scholar] [CrossRef]
- Epp, J.B.; Widlański, T.S. Facile Preparation of Nucleoside-5′-carboxylic Acids. J. Org. Chem. 1999, 64, 293–295. [Google Scholar] [CrossRef] [PubMed]
- Boncel, S.; Osyda, D.; Walczak, K.Z. N-1 regioselective Michael-type addition of 5-substituted uracils to (2-hydroxyethyl) acrylate. Beilstein J. Org. Chem. 2007, 3, 40. [Google Scholar] [CrossRef] [PubMed]
- Hattori, M.; Kinoshita, M. Syntheses of polyamides containing uracil and adenine. Makromol. Chem. 1979, 180, 2323–2329. [Google Scholar] [CrossRef]
- Fang, J.-M.; Wong, C.-H. Enzymes in Organic Synthesis: Alteration of Reversible Reactions to Irreversible Processes. Synlett 1994, 6, 393–402. [Google Scholar] [CrossRef]
- Kamiński, Z.J.; Kolesińska, B.; Kolesińska, J.; Sabatino, G.; Chelli, M.; Rovero, P.; Błaszczyk, M.; Główka, M.L.; Papini, A.M. N-Triazinylammonium Tetrafluoroborates. A New Generation of Efficient Coupling Reagents Useful for Peptide Synthesis. J. Am. Chem. Soc. 2005, 127, 16912–16920. [Google Scholar] [CrossRef] [PubMed]
- Zemplén, G.; Pacsu, E. Über die Verseifung acetylierter Zucker und verwandter Substanzen. Ber. Dtsch. Chem. Ges. 1929, 62, 1613–1614. [Google Scholar] [CrossRef]
- Wuts, P.G.; Greene, T.W. Greene’s Protective Groups in Organic Synthesis; John Wiley & Sons: Hoboken, NJ, USA, 2006; pp. 24–221. ISBN 978-0-471-69754-1. [Google Scholar]
- Kocienski, P.J. Protecting Groups; Georg Thieme Verlag: Stuttgart, Germany; New York, NY, USA, 2005; pp. 241–257. ISBN 3-13-135603-0. [Google Scholar]
- Hoyos, L.J.; Primet, M.; Praliaud, H. Sulfur poisoning and regeneration of palladium-based catalysts. Part 1.—Dehydrogenation of cyclohexane on Pd/Al2O3 and Pd/SiO2–Al2O3 catalysts. J. Chem. Soc. Faraday Trans. 1992, 88, 113–119. [Google Scholar] [CrossRef]
- Barbier, J.; Lamy-Pitara, E.; Marecot, P.; Boitiaux, J.; Cosyns, J.; Verna, F. Role of Sulfur in Catalytic Hydrogenation Reactions. Adv. Cat. 1990, 37, 279–318. [Google Scholar] [CrossRef]
- Biswas, J.; Bickle, G.; Gray, P.; Do, D.; Barbier, J. The Role of Deposited Poisons and Crystallite Surface Structure in the Activity and Selectivity of Reforming Catalysts. Catal. Rev. Sci. Eng. 1988, 30, 161–247. [Google Scholar] [CrossRef]
- Akiyama, T.; Shima, H.; Ozaki, S. Trimethylsilyl Chloride-Tin(II) Chloride-Anisole: A Novel Selective p-Methoxybenzyl Ether Cleavage Reagent. Synlett 1992, 415–416. [Google Scholar] [CrossRef]
- Rodebaugh, R.; Debenham, J.S.; Fraser-Reid, B. Debenzylation of complex oligosaccharides using ferric chloride. Tetrahedron Lett. 1996, 37, 5477–5478. [Google Scholar] [CrossRef]
- Pastuch-Gawołek, G.; Pleśniak, M.; Komor, R.; Byczek-Wyrostek, A.; Erfurt, K. Synthesis and preliminary biological assay of uridine glycoconjugate derivatives containing amide and/or 1,2,3-triazole linkers. Bioorg. Chem. 2017, 72, 80–88. [Google Scholar] [CrossRef] [PubMed]
- Fürstner, A.; Albert, M.; Młynarski, J.; Matheu, M.; DeClercq, E. Structure Assignment, Total Synthesis and Antiviral Evaluation of Cycloviracin B1. J. Am. Chem. Soc. 2003, 125, 13132–13142. [Google Scholar] [CrossRef] [PubMed]
- Pastuch, G.; Szeja, W. A Facile and Efficient Synthesis of S-Glycosylated derivatives of 5-Nitropyridine. Carbohydr. Lett. 1997, 2, 281–286. [Google Scholar]
Sample Availability: Samples of the compounds are not available from the authors. |
© 2018 by the authors. Licensee MDPI, Basel, Switzerland. This article is an open access article distributed under the terms and conditions of the Creative Commons Attribution (CC BY) license (http://creativecommons.org/licenses/by/4.0/).





