Triterpenoid Saponins from Anemone rivularis var. Flore-Minore and Their Anti-Proliferative Activity on HSC-T6 Cells
Abstract
:1. Introduction
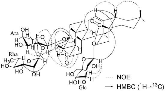
2. Results and Discussion
3. Experimental Section
3.1. General
3.2. Plant Material
3.3. Extraction and Isolation
3.4. Compound Characterization Data
3.5. Acid Hydrolysis and GC Analysis of the Sugar Moieties in 1–5
3.6. HSC-T6 Cell Culture and Cell Viability Assay
4. Conclusions
Supplementary Materials
Acknowledgments
Author Contributions
Conflicts of Interest
References
- Sun, Y.X.; Liu, J.C.; Liu, D.Y. Phytochemicals and bioactivities of Anemone raddeana Regel: A review. Pharmazie 2011, 66, 813–821. [Google Scholar] [PubMed]
- Wang, J.L.; Liu, K.; Gong, W.Z.; Wang, Q.; Xu, D.T.; Liu, M.F.; Bi, K.L.; Song, Y.F. Anticancer, antioxidant, and antimicrobial activities of Anemone (Anemone cathayensis). Food Sci. Biotechenol. 2012, 21, 551–557. [Google Scholar] [CrossRef]
- Zhang, L.T.; Zhang, Y.W.; Takaishi, Y.; Duan, H.Q. Antitumor triterpene saponins from Anemone flaccida. Chin. Chem. Lett. 2008, 19, 190–192. [Google Scholar] [CrossRef]
- Wang, J.R.; Ma, J.Q.; Peng, L.L.; Feng, J.T.; Ding, L.S. Chemical constituents and antifeeding activity of Anemone tomentosa. Acta Bot. Boreali-Occid. Sin. 1998, 18, 643–644. [Google Scholar]
- Ye, W.C.; Zhang, Q.W.; Zhao, S.X.; Che, C.T. Four new oleanane saponins from Anemone anhuiensis. Chem. Pharm. Bull. 2001, 49, 632–634. [Google Scholar] [CrossRef] [PubMed]
- Lu, J.C.; Xu, B.B.; Gao, S.; Fan, L.; Zhang, H.F.; Liu, R.X.; Kodama, H. Structure elucidation of two triterpenoid saponins from rhizome of Anemone raddeana Regel. Fitoterapia 2009, 80, 345–348. [Google Scholar] [CrossRef] [PubMed]
- Wang, M.K.; Wu, F.E.; Chen, Y.Z. Triterpenoid saponins from Anemone hupehensis. Phytochemistry 1997, 44, 333–335. [Google Scholar] [CrossRef]
- Mimaki, Y.; Watanabe, K.; Matsuo, Y.; Sakagami, H. Triterpene glycosides from the tubers of Anemone coronaria. Chem. Pharm. Bull. 2009, 57, 724–729. [Google Scholar] [CrossRef] [PubMed]
- Flora of China Editorial Committee of Chinese Academy of Sciences. Flora of China; Science Press: Beijing, China, 1980; Volume 28, p. 24. [Google Scholar]
- Wang, X.Y.; Chen, X.L.; Tang, H.F.; Gao, H.; Tian, X.R.; Zhang, P.H. Cytotoxic triterpenoid saponins from the rhizomes of Anemone taipaiensis. Planta Med. 2011, 77, 1550–1554. [Google Scholar] [CrossRef] [PubMed]
- Ding, Y.; Tang, H.F.; Wang, J.B.; Liu, D.; Tian, X.R.; Wang, X.Y.; Zhou, X.M. Triterpenoid saponins from Anemone rivularis var. flore-minore. Biochem. Syst. Ecol. 2011, 39, 236–239. [Google Scholar] [CrossRef]
- Ding, Y.; Tian, X.R.; Tang, H.F.; Feng, J.T.; Zhang, W.; Hai, W.L.; Wang, X.Y.; Wang, Y. Two new glycosides from the whole plant of Anemone rivularis var. flore-minore. Phytochem. Lett. 2012, 5, 668–672. [Google Scholar] [CrossRef]
- Wang, Y.; Kang, W.; Hong, L.J.; Hai, W.L.; Wang, X.Y.; Tang, H.F.; Tian, X.R. Triterpenoid saponins from the root of Anemone tomentosa. J. Nat. Med. 2013, 67, 70–77. [Google Scholar] [CrossRef] [PubMed]
- Wang, X.Y.; Zhang, W.; Gao, K.; Lu, Y.Y.; Tang, H.F.; Sun, X.L. Oleanane-type saponins from the rhizomes of Anemone taipaiensis and their cytotoxic activities. Fitoterapia 2013, 89, 224–230. [Google Scholar] [CrossRef] [PubMed]
- Wang, X.Y.; Gao, H.; Zhang, W.; Li, Y.; Cheng, G.; Sun, X.L.; Tang, H.F. Bioactive oleanane-type saponins from the rhizomes of Anemone taipaiensis. Bioorg. Med. Chem. Lett. 2013, 23, 5714–5720. [Google Scholar] [CrossRef] [PubMed]
- Li, H.; Wang, XY.; Wang, X.Y.; Hua, D.; Liu, Y.; Tang, H.F. Two new triterpenoid saponins from the aerial parts of Anemone taipaiensis. J. Asian. Nat. Prod. Res. 2015, 17, 576–582. [Google Scholar] [CrossRef] [PubMed]
- Wang, X.Y.; Wang, M.C.; Xu, M.; Wang, Y.; Tang, H.F.; Sun, X.L. Cytotoxic oleanane-type triterpenoid saponins from the rhizomes of Anemone rivularis var. flore-minore. Molecules 2014, 19, 2121–2134. [Google Scholar] [CrossRef] [PubMed]
- Nie, R.L.; Tanakaa, T.; Miyakoshia, M.; Kasaia, R.; Moritaa, T.; Zhou, J.; Tanaka, O. A triterpenoid saponin from Thladiantha hookeri var. pentadactyla. Phytochemistry 1989, 28, 1711–1715. [Google Scholar] [CrossRef]
- Mahato, S.B.; Kundu, A.P. 13C NMR Spectra of pentacyclic triterpenoids—A compilation and some salient features. Phytochemistry 1994, 37, 1517–1575. [Google Scholar] [CrossRef]
- De Marino, S.; Borbone, N.; Iorizzi, M.; Esposito, G.; McClintock, J.B.; Zollo, F. Bioactive asterosaponins from the starfish Luidia quinaria and Psilaster cassiope. Isolation and structure characterization by two-dimensional NMR spectroscopy. J. Nat. Prod. 2003, 66, 515–519. [Google Scholar] [CrossRef] [PubMed]
- Zheng, Q.; Koike, K.; Han, L.K.; Okuda, H.; Nikaido, T. New biologically active triterpenoid saponins from Scabiosatschiliensis. J. Nat. Prod. 2004, 67, 604–613. [Google Scholar] [CrossRef] [PubMed]
- Xu, T.H.; Xu, Y.J.; Li, H.X.; Han, D.; Zhao, H.F.; Xie, S.X.; Xu, D.M. Two new triterpenoid saponins from Pulsatillacernua (Thunb.) Bercht. etOpiz. J. Asian Nat. Prod. Res. 2007, 9, 705–711. [Google Scholar] [CrossRef] [PubMed]
- Mimaki, Y.; Yokosuka, A.; Kuroda, M.; Hamanaka, M.; Sakuma, C.; Sashida, Y. New bisdesmosidic triterpene saponins from the roots of Pulsatilla chinensis. J. Nat. Prod. 2001, 64, 1226–1229. [Google Scholar] [CrossRef] [PubMed]
- Zhang, X.; Zou, L.H.; He, Y.L.; Peng, C.; Guo, L.; Xiong, L. Triterpenoid saponins from the buds of Lonicera similis. Nat. Prod. Res. 2017, 30, 1–9. [Google Scholar] [CrossRef] [PubMed]
- Werner, S.; Nebojsa, S.; Robert, W.; Robert, S.; Olaf, K. Complete assignments of 1H and 13C NMR resonances of oleanolic acid, 18α-oleanolic acid, ursolic acid and their 11-oxo derivatives. Magn. Reson. Chem. 2003, 41, 636–638. [Google Scholar]
- Zhang, W.; Yao, M.N.; Tang, H.F.; Tian, X.R.; Wang, M.C.; Ji, L.J.; Xi, M.M. Triterpenoid saponins with anti-myocardial ischemia activity from the whole plants of Clematis tangutica. Planta Med. 2013, 79, 673–679. [Google Scholar] [CrossRef] [PubMed]
- Mimaki, Y.; Yokosuka, A.; Hamanaka, M.; Sakuma, C.; Yamori, T.; Sashida, Y. Triterpene saponins from the roots of Clematis chinensis. J. Nat. Prod. 2004, 67, 1511–1516. [Google Scholar] [CrossRef] [PubMed]
- Zhao, M.; Da-Wa, Z.M.; Guo, D.L.; Fang, D.M.; Chen, X.Z.; Xu, H.X.; Gu, Y.C.; Xia, B.; Chen, L.; Ding, L.S.; et al. Cytotoxic triterpenoid saponins from Clematis tangutica. Phytochemistry 2016, 130, 228–237. [Google Scholar] [CrossRef] [PubMed]
- Ye, W.C.; Pan, G.S.; Zhang, Q.W.; Che, C.T.; Wu, H.M.; Zhao, S.X. Five new triterpene saponins from Pulsatilla patens var. multifida. J. Nat. Prod. 1999, 62, 233–237. [Google Scholar] [CrossRef] [PubMed]
- Khalik, S.M.; Miyase, T.; El-Ashaal, H.A.; Melek, F.R. Triterpenoid saponins from Fagonia cretica. Phytochemistry 2000, 54, 853–859. [Google Scholar] [CrossRef]
- Maeda, C.; Ohtani, K.; Kasai, R.; Yamasaki, K.; Nguyen, M.D.; Nguyen, T.N.; Nguyen, K.Q. Oleanane and ursane glycosides from Schefflera octophylla. Phytochemistry 1994, 37, 1131–1137. [Google Scholar] [CrossRef]
- Elias, R.; Lanza, A.M.D.; Vidalollivier, E.; Balansard, G.; Faure, R. Triterpenoid Saponins from the Leaves of Hedera helix. J. Nat. Prod. 1991, 54, 98–103. [Google Scholar] [CrossRef]
- Chen, X.; Lu, J.; He, W.; Chi, H.; Yamashita, K.; Manabe, M.; Kodama, H. Antiperoxidation activity of triterpenoids from rhizome of Anemone raddeana. Fitoterapia 2009, 80, 105–111. [Google Scholar] [CrossRef] [PubMed]
- Yang, H.; Cho, Y.W.; Kim, S.H.; Kim, Y.C.; Sung, S.H. Triterpenoidal saponins of Pulsatilla koreana roots. Phytochemistry 2010, 71, 1892–1899. [Google Scholar] [CrossRef] [PubMed]
- Jiang, D.; Shi, S.P.; Gao, J.J.; Gao, Q.P.; Tu, P.F. Triterpene saponins from the fruits of Akebia quinata. Biochem. Syst. Ecol. 2008, 36, 138–141. [Google Scholar] [CrossRef]
- Friedman, S.L. Hepatic stellate cells: protean, multifunctional, and enigmatic cells of the liver. Physiol. Rev. 2008, 88, 125–172. [Google Scholar] [CrossRef] [PubMed]
- Li, D.; Friedman, S.L. Liver fibrogenesis and the role of hepatic stellate cells: New insights and prospects for therapy. J. Gastroenterol. Hepatol. 1999, 14, 618–633. [Google Scholar] [CrossRef] [PubMed]
- Masullo, M.; Calabria, L.; Gallotta, D.; Pizza, C.; Piacente, S. Saponins with highly hydroxylated oleanane-type aglycones from Silphium asteriscus L. Phytochemistry 2014, 97, 70–80. [Google Scholar] [CrossRef] [PubMed]
Sample Availability: Samples of the compounds 1–13 are available from the authors. |



| C | 1 | 2 | 3 | 4 | 5 | |||||
|---|---|---|---|---|---|---|---|---|---|---|
| δC | δH | δC | δH | δC | δH | δC | δH | δC | δH | |
| 1 | 38.5 | 0.97, 1.55 m | 38.6 | 1.00, 1.59 m | 39.4 | 1.60, 0.89 m | 38.8 | 0.93, 1.45 m | 38.9 | 0.95, 1.46 m |
| 2 | 25.7 | 1.84, 2.09 m | 25.6 | 1.87, 2.10 m | 26.8 | 2.18, 1.86 m | 26.6 | 1.84, 2.06 m | 26.7 | 1.87, 2.08 m |
| 3 | 81.9 | 4.04 m | 81.8 | 4.06 m | 88.7 | 3.34 m | 88.7 | 3.26 dd (3.7, 11.6) | 88.8 | 3.28 dd (3.9, 11.6) |
| 4 | 55.4 | - | 55.6 | - | 39.6 | - | 39.4 | - | 39.5 | - |
| 5 | 47.8 | 1.36 m | 48.0 | 1.37 m | 56.0 | 0.74 m | 56.0 | 0.77 d (11.5) | 56.1 | 0.79 d (11.6) |
| 6 | 20.6 | 0.98, 1.39 m | 20.7 | 0.99, 1.42 m | 18.4 | 1.67, 1.45 m | 18.4 | 1.25, 1.44 m | 18.5 | 1.26, 1.46 m |
| 7 | 32.6 | 1.17, 1.42 m | 32.7 | 1.19, 1.42 m | 34.5 | 1.30, 1.28 m | 33.1 | 1.25, 1.40 m | 33.2 | 1.25, 1.42 m |
| 8 | 40.0 | - | 40.2 | - | 41.1 | - | 39.7 | - | 39.9 | - |
| 9 | 47.8 | 1.69 m | 48.1 | 1.70 m | 50.8 | 1.30 m | 48.1 | 1.66 m | 48.2 | 1.68 m |
| 10 | 36.0 | - | 36.2 | - | 37.1 | - | 36.9 | - | 37.0 | - |
| 11 | 23.2 | 1.90, 1.99 m | 23.4 | 1.91, 2.03 m | 21.1 | 1.31, 1.13 m | 23.7 | 1.86, 1.92 m | 23.8 | 1.87, 1.94 m |
| 12 | 122.7 | 5.41 br s | 122.6 | 5.42 br s | 26.0 | 1.84, 1.13 m | 122.6 | 5.43 br s | 122.8 | 5.44 br s |
| 13 | 144.1 | - | 144.2 | - | 38.3 | 2.64 m | 144.1 | - | 144.3 | - |
| 14 | 41.6 | - | 41.8 | - | 42.7 | - | 42.2 | - | 42.4 | - |
| 15 | 28.1 | 1.13, 2.04 m | 28.3 | 1.15, 2.06 m | 30.1 | 2.00, 1.18 m | 28.5 | 1.15, 2.30 m | 28.6 | 1.16, 2.32 m |
| 16 | 23.2 | 1.77, 2.01 m | 23.3 | 1.78, 2.05 m | 32.4 | 2.63, 1.48 m | 27.0 | 2.35, 3.08 m | 27.1 | 2.37, 3.11 m |
| 17 | 47.2 | - | 47.3 | - | 57.0 | - | 47.1 | - | 47.2 | - |
| 18 | 41.5 | 3.14 dd (3.3, 13.4) | 41.7 | 3.15 dd (3.9, 13.5) | 49.8 | 1.71 m | 41.5 | 3.36 dd (3.3, 14.0) | 41.7 | 3.38 dd (3.4, 13.9) |
| 19 | 46.1 | 1.23, 1.74 m | 46.2 | 1.24, 1.75 m | 47.4 | 3.36 m | 41.3 | 1.70, 1.21 m | 41.5 | 1.73, 1.22 m |
| 20 | 30.6 | - | 30.7 | - | 150.8 | - | 35.6 | - | 35.7 | - |
| 21 | 33.8 | 1.12, 1.34 m | 34.0 | 1.13, 1.36 m | 30.8 | 2.15, 1.40 m | 73.2 | 3.66 br s | 73.4 | 3.67 br s |
| 22 | 32.3 | 1.71, 1.89 m | 32.4 | 1.73, 1.91 m | 37.1 | 2.19, 1.45 m | 39.5 | 2.25, 2.27 m | 39.6 | 2.26, 2.28 m |
| 23 | 206.5 | 9.65 s | 206.6 | 9.66 s | 28.1 | 1.24 s | 28.1 | 1.29 s | 28.2 | 1.30 s |
| 24 | 10.3 | 1.34 s | 10.5 | 1.35 s | 16.3 | 0.77 s | 17.2 | 1.15 s | 17.3 | 1.16 s |
| 25 | 15.6 | 0.89 s | 15.7 | 0.89 s | 16.7 | 0.92 s | 15.5 | 0.87 s | 15.7 | 0.88 s |
| 26 | 17.3 | 1.05 s | 17.5 | 1.06 s | 16.4 | 1.10 s | 17.4 | 1.08 s | 17.6 | 1.10 s |
| 27 | 26.2 | 1.19 s | 26.3 | 1.22 s | 14.8 | 1.03 s | 25.5 | 1.31 s | 25.7 | 1.33 s |
| 28 | 176.6 | - | 176.7 | - | 174.9 | - | 176.4 | - | 176.6 | - |
| 29 | 33.0 | 0.86 s | 33.1 | 0.87 s | 110.1 | 4.85, 4.70(br s) | 28.3 | 1.13 s | 28.5 | 1.14 s |
| 30 | 23.7 | 0.87 s | 23.8 | 0.88 s | 19.4 | 1.70 s | 24.8 | 0.99 s | 25.1 | 1.01 s |
| C | 1 | 2 | 3 | 4 | 5 | |||||
|---|---|---|---|---|---|---|---|---|---|---|
| δC | δH | δC | δH | δC | δH | δC | δH | δC | δH | |
| 3-O-sugar | ||||||||||
| Ara | ||||||||||
| 1 | 104.6 | 5.03 d (7.3) | 104.7 | 5.04 d (7.0) | 107.5 | 4.76 d (7.0) | 107.4 | 4.77 d (6.8) | 104.5 | 5.03 d (7.3) |
| 2 | 75.7 | 4.43 m | 75.5 | 4.53 m | 72.9 | 4.40 m | 72.8 | 4.41 m | 75.5 | 4.43 m |
| 3 | 74.7 | 4.16 m | 75.2 | 4.04 m | 74.6 | 4.13 m | 74.4 | 4.14 m | 74.6 | 4.16 m |
| 4 | 69.3 | 4.20 m | 69.9 | 4.12 m | 69.5 | 4.29 m | 69.5 | 4.27 m | 69.3 | 4.20 m |
| 5 | 65.7 | 3.75, 4.42 m | 66.3 | 3.56, 4.32 m | 67.1 | 3.80, 4.28 m | 67.0 | 3.81, 4.26 m | 65.5 | 3.76, 4.42 m |
| Rha I | ||||||||||
| 1 | 101.6 | 6.17 s | 101.3 | 6.32 s | 101.7 | 6.17 s | ||||
| 2 | 72.3 | 4.71 br s | 71.9 | 4.89 brs | 72.3 | 4.71 br s | ||||
| 3 | 72.5 | 4.59 m | 82.8 | 4.75 m | 72.4 | 4.59 m | ||||
| 4 | 74.1 | 4.28 m | 72.9 | 4.45 m | 74.0 | 4.27 m | ||||
| 5 | 69.6 | 4.61 m | 69.6 | 4.62 m | 69.8 | 4.61 m | ||||
| 6 | 18.5 | 1.62 d (6.2) | 18.4 | 1.52 d (6.2) | 18.6 | 1.62 d (6.2) | ||||
| Xyl | ||||||||||
| 1 | 107.5 | 5.35 d (7.7) | ||||||||
| 2 | 75.6 | 4.05 m | ||||||||
| 3 | 78.4 | 4.15 m | ||||||||
| 4 | 71.1 | 4.19 m | ||||||||
| 5 | 67.4 | 3.69, 4.30 m | ||||||||
| 28-O-sugar | ||||||||||
| Glc I | ||||||||||
| 1 | 95.7 | 6.32 d (8.2) | 95.6 | 6.23 d (8.1) | 95.3 | 6.34 d (8.2) | 95.5 | 6.24 d (8.2) | 95.6 | 6.23 d (8.1) |
| 2 | 74.1 | 4.19 m | 73.8 | 4.08 m | 74.0 | 4.08 m | 73.7 | 4.07 m | 73.8 | 4.10 m |
| 3 | 79.2 | 4.02 m | 78.7 | 4.15 m | 78.7 | 4.20 m | 78.6 | 4.16 m | 78.7 | 4.17 m |
| 4 | 71.1 | 4.34 m | 70.8 | 4.28 m | 70.9 | 4.29 m | 70.8 | 4.27 m | 70.7 | 4.30 m |
| 5 | 78.9 | 4.26 m | 78.0 | 4.08 m | 78.0 | 4.08 m | 77.9 | 4.06 m | 78.0 | 4.09 m |
| 6 | 62.3 | 4.40, 4.43 m | 69.1 | 4.31, 4.63 m | 69.4 | 4.30, 4.66 m | 69.1 | 4.27, 4.64 m | 69.0 | 4.30, 4.63 m |
| Glc II | ||||||||||
| 1 | 104.9 | 4.97 d (7.7) | 105.2 | 4.92 d (7.8) | 104.8 | 4.97 d (7.8) | 104.9 | 4.98 d (7.8) | ||
| 2 | 75.3 | 3.92 m | 75.3 | 3.92 m | 75.2 | 3.91 m | 75.3 | 3.92 m | ||
| 3 | 76.5 | 4.12 m | 76.4 | 4.11 m | 76.4 | 4.12 m | 76.5 | 4.14 m | ||
| 4 | 78.1 | 4.40 m | 78.2 | 4.39 m | 78.1 | 4.37 m | 78.2 | 4.39 m | ||
| 5 | 77.1 | 3.62 m | 77.2 | 3.63 m | 77.0 | 3.64 m | 77.1 | 3.64 m | ||
| 6 | 61.2 | 4.07, 4.18 m | 61.3 | 4.06, 4.18 m | 61.2 | 4.04, 4.19 m | 61.3 | 4.06, 4.20 m | ||
| Rha II | ||||||||||
| 1 | 102.6 | 5.85 s | 102.7 | 5.84 s | 102.6 | 5.84 s | 102.7 | 5.86 s | ||
| 2 | 72.6 | 4.66 m | 72.6 | 4.65 m | 72.5 | 4.63 m | 72.6 | 4.64 m | ||
| 3 | 72.7 | 4.53 m | 72.8 | 4.50 m | 72.7 | 4.50 m | 72.7 | 4.54 m | ||
| 4 | 74.1 | 4.31 m | 74.0 | 4.30 m | 74.0 | 4.30 m | 74.1 | 4.32 m | ||
| 5 | 70.3 | 4.94 m | 70.3 | 4.95 m | 70.3 | 4.92 m | 70.4 | 4.95 m | ||
| 6 | 18.5 | 1.68 d (6.2) | 18.5 | 1.69 m | 18.5 | 1.67 d (6.2) | 18.6 | 1.66 d (6.2) | ||
| Saponins a | IC50 (μM) | Saponins a | IC50 (μM) |
|---|---|---|---|
| 3 | 28.62 ± 0.76 | 10 | 38.62 ± 1.58 |
| 4 | 22.85 ± 2.21 | 11 | 25.43 ± 2.86 |
| 5 | 25.74 ± 1.34 | 12 | 18.21 ± 0.92 |
| 8 | 52.65 ± 3.19 | 13 | 15.56 ± 1.58 |
| 9 | 43.65 ± 2.85 | Colchicine b | 9.35 ± 0.25 |
© 2018 by the authors. Licensee MDPI, Basel, Switzerland. This article is an open access article distributed under the terms and conditions of the Creative Commons Attribution (CC BY) license (http://creativecommons.org/licenses/by/4.0/).
Share and Cite
Wang, X.-Y.; Gao, H.; Xie, X.-J.; Jurhiin, J.; Zhang, M.-Z.-H.; Zhou, Y.-P.; Liu, R.; Ning, M.; Han, J.; Tang, H.-F. Triterpenoid Saponins from Anemone rivularis var. Flore-Minore and Their Anti-Proliferative Activity on HSC-T6 Cells. Molecules 2018, 23, 491. https://doi.org/10.3390/molecules23020491
Wang X-Y, Gao H, Xie X-J, Jurhiin J, Zhang M-Z-H, Zhou Y-P, Liu R, Ning M, Han J, Tang H-F. Triterpenoid Saponins from Anemone rivularis var. Flore-Minore and Their Anti-Proliferative Activity on HSC-T6 Cells. Molecules. 2018; 23(2):491. https://doi.org/10.3390/molecules23020491
Chicago/Turabian StyleWang, Xiao-Yang, Hui Gao, Xiao-Jie Xie, Jirimubatu Jurhiin, Mu-Zi-He Zhang, Yan-Ping Zhou, Rui Liu, Meng Ning, Jin Han, and Hai-Feng Tang. 2018. "Triterpenoid Saponins from Anemone rivularis var. Flore-Minore and Their Anti-Proliferative Activity on HSC-T6 Cells" Molecules 23, no. 2: 491. https://doi.org/10.3390/molecules23020491
APA StyleWang, X.-Y., Gao, H., Xie, X.-J., Jurhiin, J., Zhang, M.-Z.-H., Zhou, Y.-P., Liu, R., Ning, M., Han, J., & Tang, H.-F. (2018). Triterpenoid Saponins from Anemone rivularis var. Flore-Minore and Their Anti-Proliferative Activity on HSC-T6 Cells. Molecules, 23(2), 491. https://doi.org/10.3390/molecules23020491
