A New UPLC-MS/MS Method for the Characterization and Discrimination of Polysaccharides from Genus Ephedra Based on Enzymatic Digestions
Abstract
:1. Introduction
2. Experimental
2.1. Materials and Reagents
2.2. Preparation of Polysaccharides from Genus Ephedra
2.3. Specific Enzymatic Digestion of Ephedra Polysaccharides
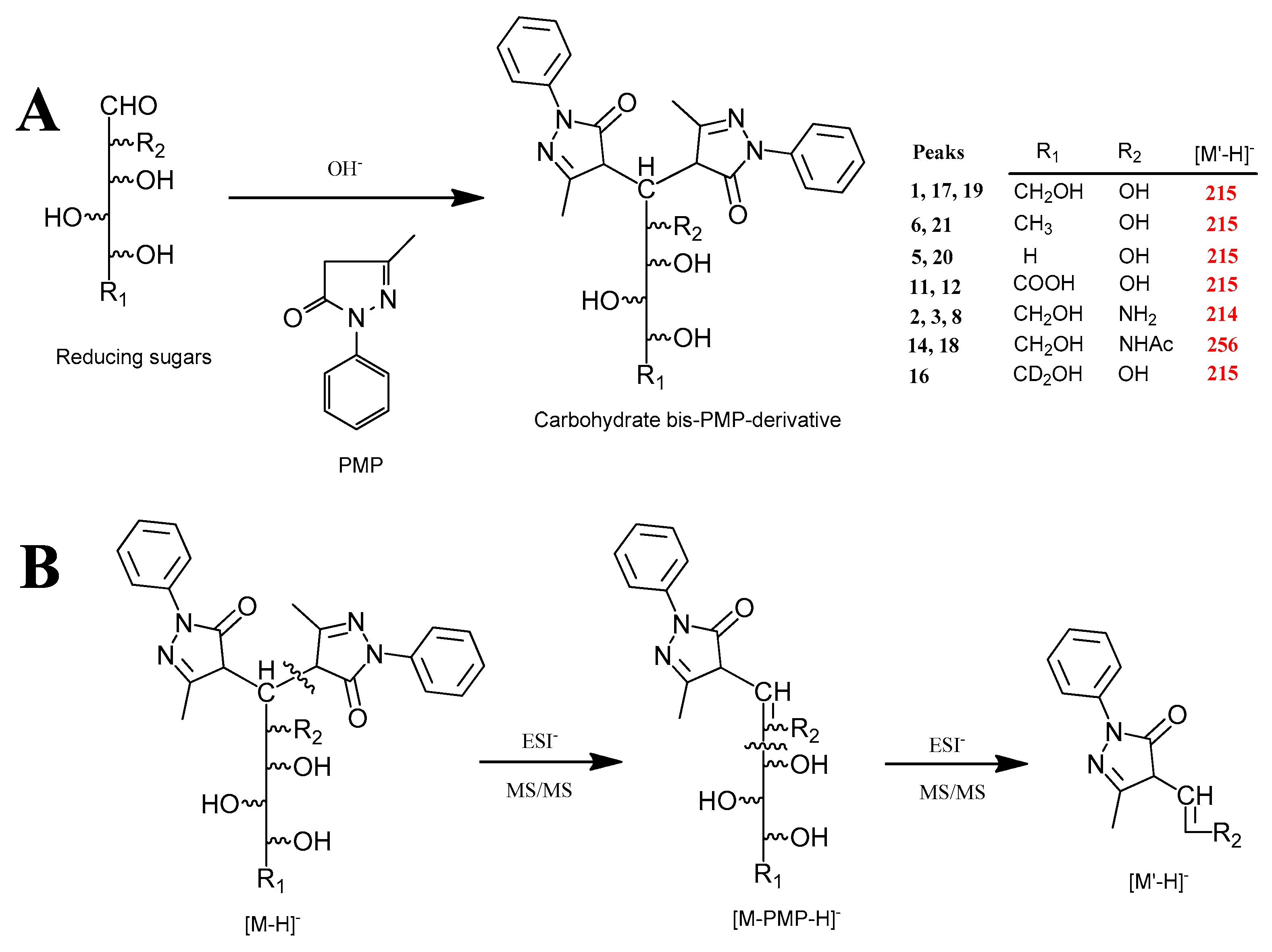
2.4. Derivatization with PMP Reagent
2.5. UPLC Apparatus and Conditions
2.6. MS Apparatus and Conditions
2.7. Data Processing
3. Results and Discussion
3.1. Derivatization and MS Conditions
3.2. Quantification and Validation
3.2.1. Effects of Columns
3.2.2. Effects of Additives
3.2.3. Effects of Column Temperature and Flow Rate
3.3. Method Validations
3.4. Application to Real Samples
3.5. Discrimination of Ephedra Polysaccharides Based on PCA
4. Conclusions
Supplementary Materials
Acknowledgments
Author Contributions
Conflicts of Interest
References
- He, Y.; Zhu, Y.; Zhang, R.; Ge, L.; Wan, H. Simultaneous quantification of nine major active components in traditional Chinese prescription Mahuang decoction and the influence of herbal compatibility on their contents. Pharmacogn. Mag. 2014, 10, 72–79. [Google Scholar]
- Pharmacopoeia Commission. Pharmacopoeia of the People’s Republic of China 2015; China Medical Science and Technology Press: Beijing, China, 2015; p. 320.
- Kuang, H.; Xia, Y.; Liang, J.; Yang, B.; Wang, Q.; Sun, Y. Fast classification and compositional analysis of polysaccharides from TCMs by ultra-performance liquid chromatography coupled with multivariate analysis. Carbohydr. Polym. 2011, 84, 1258–1266. [Google Scholar] [CrossRef]
- Kuang, H.; Xia, Y.; Yang, B.; Wang, Q.; Wang, Y. Screening and comparison of the immunosuppressive activities of polysaccharides from the stems of Ephedra sinica Stapf. Carbohydr. Polym. 2011, 83, 787–795. [Google Scholar] [CrossRef]
- Xia, Y.; Kuang, H.; Yang, B.; Wang, Q.; Liang, J.; Sun, Y.; Wang, Y. Optimum extraction of acidic polysaccharides from the stems of Ephedra sinica Stapf by Box–Behnken statistical design and its anti-complement activity. Carbohydr. Polym. 2011, 84, 282–291. [Google Scholar] [CrossRef]
- Kuang, H.; Xia, Y.; Liang, J.; Yang, B. Structural characteristics of a hyperbranched acidic polysaccharide from the stems of Ephedra sinica and its effect on T-cell subsets and their cytokines in DTH mice. Carbohydr. Polym. 2011, 86, 1705–1711. [Google Scholar] [CrossRef]
- Guadalupe, Z.; Martínez-Pinilla, O.; Garrido, Á.; Carrillo, J.D.; Ayestarán, B. Quantitative determination of wine polysaccharides by gas chromatography–mass spectrometry (GC–MS) and size exclusion chromatography (SEC). Food Chem. 2012, 131, 367–374. [Google Scholar] [CrossRef]
- Hu, Y.; Tong, W.; Yang, X.; Yan, Z. Analysis of compositional monosaccharides in fungus polysaccharides by capillary zone electrophoresis. Carbohydr. Polym. 2014, 102, 481–488. [Google Scholar] [CrossRef] [PubMed]
- Muir, J.G.; Rose, R.; Rosella, O.; Liels, K.; Barrett, J.S.; Shepherd, S.J.; Gibson, P.R. Measurement of short-chain carbohydrates in common Australian vegetables and fruits by high-performance liquid chromatography (HPLC). J. Agric. Food Chem. 2009, 57, 554–565. [Google Scholar] [CrossRef] [PubMed]
- Zhao, R.B.; Liu, M.J.; Ge, W.; Cui, T.; Liu, W.H. Determination of carbohydrates in Chinese Jujube by using HPLC. Food Sci. 2004, 25, 138–142. [Google Scholar]
- Lee, Y.C. High-performance anion-exchange chromatography for carbohydrate analysis. Anal. Biochem. 1990, 189, 151–162. [Google Scholar] [CrossRef]
- Garcia, L.M.; Pauli, E.D.; Cristiano, V.; Da, C.C.; Scarminio, I.S.; Nixdorf, S.L. Chemometric evaluation of adulteration profile in coffee due to corn and husk by determining carbohydrates using HPAEC-PAD. J. Chromatogr. Sci. 2009, 47, 825–832. [Google Scholar] [CrossRef] [PubMed]
- Ghfar, A.A.; Wabaidur, S.M.; Ahmed, A.Y.B.H.; Alothman, Z.A.; Khan, M.R.; Al-Shaalan, N.H. Simultaneous determination of monosaccharides and oligosaccharides in dates using liquid chromatography-electrospray ionization mass spectrometry. Food Chem. 2015, 176, 487–492. [Google Scholar] [CrossRef] [PubMed]
- Leijdekkers, A.G.M.; Sanders, M.G.; Schols, H.A.; Gruppen, H. Characterizing plant cell wall derived oligosaccharides using hydrophilic interaction chromatography with mass spectrometry detection. J. Chromatogr. 2011, 1218, 9227–9235. [Google Scholar] [CrossRef] [PubMed]
Sample Availability: Compounds 1–22 are available from the authors. |





| Peaks | Original Mw | PMP Derivatives (m/z) | Q1 (m/z) | Q3 (m/z) | DP (V) | CE (V) |
|---|---|---|---|---|---|---|
| 1 | 180.2 | [M − H]− | 509.1 | 215.1 | −49.2 | −28.1 |
| 2 | 215.6 | [M − H]− | 508.2 | 214.0 | −65.9 | −29.8 |
| 3 | 215.6 | [M − H]− | 508.4 | 213.7 | −64.5 | −26.0 |
| 4 | 1153.0 | [M − H]− | 1481.9 | 1308.0 | −96.4 | −35.1 |
| 5 | 150.1 | [M − H]− | 478.7 | 215.0 | −58.4 | −29.9 |
| 6 | 164.2 | [M − H]− | 493.2 | 214.9 | −60.6 | −29.0 |
| 7 | 990.9 | [M − H]− | 1319.7 | 869.8 | −99.5 | −61.2 |
| 8 | 215.6 | [M − H]− | 508.2 | 213.8 | −67.9 | −33.2 |
| 9 | 828.7 | [M − H]− | 1157.7 | 707.6 | −90.3 | −51.7 |
| 10 | 666.6 | [M − H]− | 995.6 | 214.8 | −80.8 | −52.6 |
| 11 | 212.2 | [M − H]− | 523.2 | 215.0 | −55.9 | −30.3 |
| 12 | 194.1 | [M − H]− | 523.1 | 215.0 | −57.5 | −47.4 |
| 13 | 504.4 | [M − H]− | 833.6 | 215.3 | −98.4 | −46.8 |
| 14 | 221.2 | [M − H]− | 550.2 | 256.2 | −63.9 | −32.9 |
| 15 | 360.3 | [M − H]− | 671.5 | 214.8 | −61.2 | −34.1 |
| 16 | 182.2 | [M − H]− | 511.2 | 214.6 | −63.7 | −28.0 |
| 17 | 180.2 | [M − H]− | 509.0 | 214.7 | −59.9 | −26.1 |
| 18 | 221.2 | [M − H]− | 550.3 | 256.0 | −69.4 | −34.1 |
| 19 | 180.2 | [M − H]− | 509.2 | 215.0 | −65.0 | −29.9 |
| 20 | 150.1 | [M − H]− | 479.0 | 215.1 | −48.4 | −33.9 |
| 20 | 150.1 | [M − H]− | 479.1 | 215.0 | −63.1 | −28.1 |
| 21 | 164.2 | [M − H]− | 493.1 | 215.1 | −54.5 | −30.4 |
| 22 | 126.1 | [M − H]− | 455.4 | 173.1 | −60.9 | −14.1 |
| No. | Calibration Curves | R2 | Linear Range (μM) | LOD (nM) | LOQ (nM) |
|---|---|---|---|---|---|
| 1 | y = 0.2634x + 0.1916 | 0.9938 | 0.02–49.60 | 3.00 | 8.00 |
| 2 | y = 0.1721x + 0.0360 | 0.9982 | 0.19–49.60 | 24.00 | 58.00 |
| 3 | y = 0.2135x + 0.2631 | 0.9931 | 0.05–49.60 | 12.00 | 34.00 |
| 4 | y = 0.0002x + 0.0002 | 0.9995 | 3.10–49.60 | 780.00 | 2240.00 |
| 5 | y = 0.4846x + 0.2466 | 0.9960 | 0.02–49.60 | 3.00 | 92.00 |
| 6 | y = 0.1496x + 0.1560 | 0.9952 | 0.19–49.60 | 48.00 | 140.00 |
| 7 | y = 0.0012 x + 0.0013 | 0.9938 | 0.78–49.60 | 193.00 | 640.00 |
| 8 | y = 0.1692x + 0.2124 | 0.9920 | 0.05–49.60 | 12.00 | 48.00 |
| 9 | y = 0.0042x + 0.0009 | 0.9985 | 0.19–49.60 | 97.00 | 260.00 |
| 10 | y = 0.0325x − 0.0110 | 0.9952 | 0.10–49.60 | 12.00 | 34.00 |
| 11 | y = 0.0661 x + 0.0919 | 0.9955 | 0.05–49.60 | 24.00 | 48.00 |
| 12 | y = 0.0223x + 0.0342 | 0.9935 | 0.39–49.60 | 32.00 | 96.00 |
| 13 | y = 0.0144x − 0.0040 | 0.9967 | 0.10–49.60 | 48.00 | 16.00 |
| 14 | y = 0.1207x + 0.0956 | 0.9938 | 0.05–49.60 | 12.00 | 34.00 |
| 15 | y = 0.0317x − 0.0026 | 0.9989 | 0.02–49.60 | 48.00 | 14.00 |
| 17 | y = 0.3381x + 0.2201 | 0.9973 | 0.02–49.60 | 3.00 | 6.00 |
| 18 | y = 0.3737x + 0.1974 | 0.9954 | 0.02–49.60 | 12.00 | 36.00 |
| 19 | y = 0.6961x + 0.4415 | 0.9954 | 0.02–49.60 | 3.00 | 10.00 |
| 20 | y = 0.6961x + 0.4415 | 0.9954 | 0.02–49.60 | 3.00 | 10.00 |
| 21 | y = 0.3787x + 0.4894 | 0.9925 | 0.19–49.60 | 24.00 | 72.00 |
| 22 | y = 0.4953x − 0.2220 | 0.9972 | 0.05–49.60 | 2.00 | 5.00 |
© 2017 by the authors. Licensee MDPI, Basel, Switzerland. This article is an open access article distributed under the terms and conditions of the Creative Commons Attribution (CC BY) license (http://creativecommons.org/licenses/by/4.0/).
Share and Cite
Xia, Y.-G.; Wang, T.-L.; Sun, L.-M.; Liang, J.; Yang, B.-Y.; Kuang, H.-X. A New UPLC-MS/MS Method for the Characterization and Discrimination of Polysaccharides from Genus Ephedra Based on Enzymatic Digestions. Molecules 2017, 22, 1992. https://doi.org/10.3390/molecules22111992
Xia Y-G, Wang T-L, Sun L-M, Liang J, Yang B-Y, Kuang H-X. A New UPLC-MS/MS Method for the Characterization and Discrimination of Polysaccharides from Genus Ephedra Based on Enzymatic Digestions. Molecules. 2017; 22(11):1992. https://doi.org/10.3390/molecules22111992
Chicago/Turabian StyleXia, Yong-Gang, Tian-Long Wang, Li-Ming Sun, Jun Liang, Bing-You Yang, and Hai-Xue Kuang. 2017. "A New UPLC-MS/MS Method for the Characterization and Discrimination of Polysaccharides from Genus Ephedra Based on Enzymatic Digestions" Molecules 22, no. 11: 1992. https://doi.org/10.3390/molecules22111992
APA StyleXia, Y.-G., Wang, T.-L., Sun, L.-M., Liang, J., Yang, B.-Y., & Kuang, H.-X. (2017). A New UPLC-MS/MS Method for the Characterization and Discrimination of Polysaccharides from Genus Ephedra Based on Enzymatic Digestions. Molecules, 22(11), 1992. https://doi.org/10.3390/molecules22111992
