Next Article in Journal
Inhibitory Effect of Camptothecin against Rice Bacterial Brown Stripe Pathogen Acidovorax avenae subsp. avenae RS-2
Next Article in Special Issue
Copper Ion Attenuated the Antiproliferative Activity of Di-2-pyridylhydrazone Dithiocarbamate Derivative; However, There Was a Lack of Correlation between ROS Generation and Antiproliferative Activity
Previous Article in Journal
Corynoline Isolated from Corydalis bungeana Turcz. Exhibits Anti-Inflammatory Effects via Modulation of Nfr2 and MAPKs
Previous Article in Special Issue
Synthesis, Characterization and Anti-Cancer Activity of Hydrazide Derivatives Incorporating a Quinoline Moiety
 
 
Font Type:
Arial Georgia Verdana
Font Size:
Aa Aa Aa
Line Spacing:
Column Width:
Background:
Article

Hybrid Molecules Containing a 7-Chloro-4-aminoquinoline Nucleus and a Substituted 2-Pyrazoline with Antiproliferative and Antifungal Activity

1
Grupo de Investigación de Compuestos Heterocíclicos, Departamento de Química, Universidad del Valle, A. A. 25360 Cali, Colombia
2
Área Farmacognosia, Facultad de Ciencias Bioquímicas y Farmacéuticas, Universidad Nacional de Rosario, Suipacha 531, 2000 Rosario, Argentina
3
Department of Chemistry, University of Texas at El Paso, 799689, 500 W. University Ave. El Paso, TX 79902, USA
*
Authors to whom correspondence should be addressed.
Molecules 2016, 21(8), 969; https://doi.org/10.3390/molecules21080969
Submission received: 19 May 2016 / Revised: 18 July 2016 / Accepted: 18 July 2016 / Published: 27 July 2016

Abstract

:
Twenty-four new hybrid analogues (1538) containing 7-chloro-4-aminoquinoline and 2-pyrazoline N-heterocyclic fragments were synthesized. Twelve of the new compounds were evaluated against 58 human cancer cell lines by the U.S. National Cancer Institute (NCI). Compounds 25, 30, 31, 36, and 37 showed significant cytostatic activity, with the most outstanding GI50 values ranging from 0.05 to 0.95 µM. The hybrid compounds (1538) were also evaluated for antifungal activity against Candida albicans and Cryptococcus neoformans. From the obtained results some structure–activity relationships were outlined.

Graphical Abstract

1. Introduction

The substituted 2-pyrazoline moiety (II, Scheme 1) represents a structural component of significant interest in the field of Medicinal Chemistry, due to their prominent pharmacological effects, such as antimicrobial, antimycobacterial, antifungal, antiamoebic, anti-inflammatory, analgesic, antidepressant, and anticancer activities [1,2,3]. Compounds with this moiety also possess other biological properties like Nitric Oxide Synthase (NOS) inhibition and Cannabinoid CB1 receptor antagonism, among others [4].
On the other hand, structure–activity relationship studies on 4-aminoquinolines showed that the 7-chloro-4-aminoquinoline nucleus (I, Scheme 1) that is present in pharmacologically active substances displays a broad range of biological activities [5,6,7,8]. Therefore, the incorporation of this active pharmacophore into the structure of new heterocyclic compounds might improve their biological activity.
Based on the above considerations and as a part of our current project devoted to the synthesis of novel nitrogen-containing heterocyclic compounds with biological activity [9,10,11,12,13], we decided to attempt the synthesis of hybrid compounds composed of both the 7-chloro-4-aminoquinoline nucleus and the substituted 2-pyrazoline moiety in a single structure (1538, Scheme 1) looking for compounds with significant biological activities.
The synthesized compound were tested against an ample panel of cancer cell lines within the Developmental Therapeutics Program (DTP) at the National Cancer Institute (NCI) due to the fact that the moiety 2-pyrazoline [11,12] has demonstrated antitumor activities. Furthermore, considering that several antineoplastic compounds have proven valuable antifungal activities [14,15], we tested them as antifungals against two clinically important fungi, Candida albicans and Cryptococcus neoformans. It is important to take into account the limited number of efficacious antifungal drugs, which are not completely effective for the eradication of mycoses. There is, therefore, an urgent need for new antifungal chemical structures as alternatives to the existing ones [16].

2. Results and Discussion

2.1. Chemistry

The α,β-unsaturated carbonyl compounds 112 were prepared using a previously reported methodology (Scheme 2) [15]. These compounds were used as starting materials for the synthesis of the target products 1538 (Scheme 2) of varied structures (1538) that were obtained in good yields, as shown in Table 1.
Even though the precursors 112 for the synthesis of these pyrazolines are very similar, different reaction conditions had to be used for the synthesis of each particular series, as shown in Scheme 2. It was observed that the electron density of the substituents on the aryl ring next to the α,β-unsaturated ketone highly influenced the rates of the cyclocondensation reactions. Electron-donating groups (EDG) increased the reaction time, while electron-withdrawing groups (EWG) favored the reaction; this may be due to the fact that EWG increased the electrophilic character of the carbonyl carbon atom, while the EDG decreased it.
The effective cyclocondensation of the 1,3-dielectrophilic system (C=C-C=O) in compounds 112 was confirmed by means of NMR spectroscopy (see Experimental section). For the discussion, we will take N-phenyl pyrazoline 27 as an example (Figure 1).
In the 1H-NMR spectrum (DMSO-d6) of the compound 27, the signals corresponding to the three chemically and magnetically non-equivalent protons of the pyrazoline ring B appeared as a spin coupling system AMX. Three double-doublets are observed at 3.13, 3.93, and 5.52 ppm. They belong to methylenic protons on the diastereotopic center C-4′ (HA and HM) and to the methine proton H-5′ (HX) of the pyrazoline ring, with coupling constants of 2JAM = 17.4, 3JAX = 6.1 and 3JMX = 12.1 Hz. Downfield, 13 signals with multiplicity according to their substitution pattern were assigned; eight of them correspond to the aromatic protons of the three aryl rings A, C, and D and the H-3 quinoline proton between 6.73 and 7.76 ppm; four signals between 7.59 and 8.49 ppm belong to the quinoline protons H-2, H-5, H-6, and H-8, and the N-H proton was observed at 9.19 ppm. Additionally, the 26 magnetically different carbons were found at their respective chemical shifts in the 13C-NMR spectrum of compound 27.
In addition, the structures of compounds 1538 were also confirmed through electron impact mass spectrometry (EIMS). The molecular ion peaks (M) of all compounds were observed at their respective molecular mass and the fragmentation pattern was in good agreement with the already reported for 2-pyrazoline derivatives [17]. Furthermore, the molecular ion peak of each compound was found to be the most stable fragment or base peak in 75% of the synthesized compounds. Mass spectrometry data on all the synthesized pyrazoline derivatives 1538 are provided in the Experimental Section.

2.2. Antiproliferative Activity

As a preliminary screening, compounds 1538 were submitted to the Developmental Therapeutics Program (DTP) at the National Cancer Institute (NCI) for evaluation of their antiproliferative activity against different human tumor cell lines. Twelve (16, 18, 19, 22, 24, 25, 28, 30, 31, 34, 36, and 37) of the submitted compounds were selected and subjected to a preliminary evaluation against 58 tumor cell lines at a single dose of 10 µM and 48 h of incubation. The output from the single dose screening was reported as a mean graph available for analysis by the COMPARE program (data not shown). The results of this first assay showed that only compounds 25, 30, 31, 36, and 37 were active. It was observed that none of the pyrazolines containing EWG or weakly activating groups like methyl at R and R′ position (see Scheme 2) were active in the cancer cell lines.
The active compounds 25, 30, 31, 36, and 37 passed to a second evaluation step in order to determine their cytostatic activity against 58 tumor cell lines of leukemia, melanoma, lung, colon, brain, breast, ovary, kidney, and prostate. The results were expressed in the following parameters according to previously published protocols [18,19,20,21]: GI50, which is the molar concentration of the compounds required to inhibit 50% of the growth of cell lines (relative to untreated cells), and LC50, which is a parameter of cytotoxicity that reflects the molar concentration needed to kill 50% of the cells [22]. The active compounds were evaluated at five concentration levels (100, 10, 1.0, 0.1, and 0.01 µM) and the test consisted of a 48-h continuous drug exposure protocol using sulforhodamine B (SRB) protein assay to estimate cell growth [18,19,20,21]. As an interesting result, compounds 25, 30, 31, 36, and 37 exhibited significant cytostatic activity, with GI50 values lower than 1.0 × 10−6 M against several human cancer cell lines. The biological response elicited by these compounds could be attributed, in part, to the EDG on ring C (4-OCH3 and 3,4,5-triOCH3). With the exception of compound 31, compounds 30, 36, and 37 were more active (in terms of the average number of cell lines) than compound 25, which is presumably due to the meta substitution on ring A.
A comparison between the values of GI50 of compounds 25, 30, 31, 36, 37, and the standard drug (adriamycin) against several tumor cell lines showed that all of these compounds have similar or even better cytostatic activity than the reference drug, as observed in Table 2. In comparison to adriamycin (GI50 = 0.12 μM), compound 30 showed better activity against the UACC-62 cell line with a GI50 = 0.05 μM. Compound 30 was also potent against KAKI-1 (GI50 = 0.68 μM) as compared to adriamycin (GI50 = 0.95 μM). Interestingly, all of the compounds previously mentioned (25, 30, 31, 36, 37) showed better cytostatic activity than adriamycin (GI50 = 6.46 μM) by a remarkable difference in GI50 values, going from 0.34 to 2.30 μM against HCT-15 tumor cell line. In Table 2, the compounds that exhibited promising cytostatic activity against different cell lines are highlighted in gray.

2.3. Antifungal Activity

In order to have a look into the potential usefulness of these compounds as candidates for the developments of new antifungal drugs, we investigated the antifungal properties of compounds 1538 against two clinically important fungal species, C. neoformans and C. albicans. The selection of C. neoformans was due to the fact that this opportunistic fungus is the main cause of cryptococcal meningoencephalitis, which has a high incidence among HIV patients with impaired defenses [23]. High rates of fungal persistence and frequent disease relapse have motivated the search for new compounds that display antifungal properties against this fungus [24].
Moreover, C. albicans is the fourth leading cause of nosocomial bloodstream infection (BSI) in intensive care units, causing fatal invasive candidiasis in a high percentage of patients [25]. For this reason, the development of new potential anticandidal drugs is crucial.
To assess antifungal activities, the standardized microbroth dilution method M-27A3 for yeasts of the Clinical and Laboratory Standards Institute was used [26]. Percentages of growth inhibition of each fungus were found using all compounds 1538 with a concentration range within 250–3.9 µg/mL, which allowed for the determination of MIC100, MIC80, and MIC50.
For a more comprehensive analysis of the results, we grouped all compounds (1538) into two series (i, ii) that differ only in the position of the diaryl–azole substituent on the A ring (Table 3): series (i) includes compounds 1526 with the diaryl–azole moiety in the p-position of ring A; series (ii) includes compounds 2738 with the same moiety in the m-position. Each series was sub-divided into two sub-groups, (i.1) and (ii.1), which comprise compounds with an un-substituted ring D (1520 and 2732, respectively), and (i.2) and (ii.2), which include compounds with a p-Cl substituted ring D (2126 and 3338, respectively). Table 3 shows the MIC100, MIC80, and MIC50 of each compound. It can be observed that MIC50 values displayed by several compounds (i.e., 25, 32, 36) were highly promising.
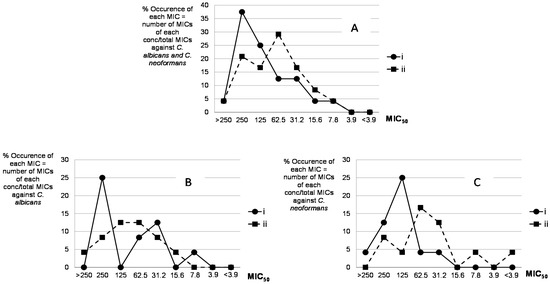
To gain insight into the structure–activity relationships of the whole series, we compared first the antifungal behavior of all compounds of series (i) with those of series (ii) against both fungi. We focused on the last column (MIC50) of Table 3. This column contains 24 MIC50 values (against both fungi) for compounds 1526 of group (i), and 24 MIC50 values of compounds 2738 of group (ii). Then, the concentration values of MIC50 within group (i) (>250, 250, 125, 62.5, 31.2, 15.6. 7.8, 3.9, and <3.9 µg/mL) were analyzed to determine the number of times they were repeated within this series against both fungi and a percentage of occurrence of each MIC50 value was calculated (respective to the 24 total MIC50 values obtained in this group). The same analysis was applied to the compounds in group (ii). With these data, a comparative graph was produced (Figure 2A). Lastly, the antifungal properties of all compounds in series (i) (1526) and those in series (ii) (2738) were analyzed against each fungus separately; these data are presented in Figure 2B,C.
As can be seen in Figure 2A, within group (i) 40% of all MIC50 values fall into the value 250 µg/mL, while no compounds produced MIC50 values of 7.8 µg/mL or lower. Instead, 21% of the compounds within group (ii) fall into the 250 µg/mL concentration, while 4% fall into 7.8 and <3.9 µg/mL. From these results, it is clear that compounds of series (ii) exhibit better antifungal properties than those of series (i) against both fungi. Regarding the behavior against each fungus separately, series (ii) showed a higher percentage of lower MIC50 values over (i) against C. neoformans (Figure 2C). Also, the same trend can be observed against C. albicans, where compounds of series (i) showed a much higher percentage of MIC50 values at 250 µg/mL than compounds in series (ii). These results indicate that the position of the azole moiety does play a role in the antifungal activity and that compounds with this moiety in the m-position are better antifungal candidates than those with the azole moiety in the p-position.
From the previous analyses, it was determined that within the whole series of hybrids of N-aryl-substituted pyrazolines with 7-chloro-4-aminoquinoline nucleus tested (1538), compounds of the sub-series (ii.2) with the aryl-azole moiety in m-position of ring A and a p-Cl substituted ring D were the most active, mainly against C. neoformans. To corroborate the higher antifungal activity of these (ii-2) compounds against C. neoformans over C. albicans, a MIC50 values’ comparison of 3338 against both fungi is shown in Figure 3.
As can be observed in Figure 3, the MIC50 values of compounds 3338 in C. neoformans are much lower than those exhibited by C. albicans, thus suggesting a higher sensitivity of C. neoformans against this group of compounds. In this figure, it is evidenced that among the compounds of (ii.2) sub-group, compound 36 was by far the most active one, mainly against C. neoformans, and thus it is the best anti-cryptococcal candidate of the compounds in this work.

3. Materials and Methods

3.1. General Information

Commercially available starting materials, reagents, and solvents were used as supplied. Microwave irradiation reactions were performed in glass vessels (10 mL) using a CEM Discover Focused Microwave Synthesis System™ apparatus (Matthews, NC, USA), with power output from 0 to 300 W. TLC analyses were performed on Merck (EMD Millipore, Billerica, MA, USA) silica gel 60 F254 aluminum plates. Melting points were determined in a Büchi (Instrumart, South Burlington, VT, USA) melting point apparatus and are uncorrected. IR spectra were performed on a Shimadzu (Scientific Instruments, Seattle, WA, USA) FTIR 8400 spectrophotometer in KBr disks. The 1H- and 13C-NMR spectra were run on a Bruker (Karlsruhe, Germany) DPX 400 spectrophotometer operating at 400 MHz and 100 MHz respectively, using dimethylsulfoxide-d6 as solvents and tetramethylsilane as internal reference. The mass spectra were obtained on a Hewlett Packard (Scientific Instrument Services, Ringoes, NJ, USA) HP Engine-5989 spectrometer (equipped with a direct inlet probe) operating at 70 eV. The elemental analyses were obtained using a Thermo-Finnigan Flash EA1112 CHN (Elemental Microanalysis Ltd., (Okehampton, Devon, UK) elemental analyzer.

3.2. Synthesis

3.2.1. General Procedure for the Synthesis of the Precursors 112

Using the same previously reported method [15], precursors 112 were obtained.

3.2.2. General Procedure for the Preparation of Compounds 1520

A mixture of 4-(7-chloroquinolin-4-yl) amino chalcone 1–6 (0.11 mmol), phenylhydrazine 13 (0.33 mmol) in glacial acetic acid (10 mL) was submitted to microwave irradiation for 12 min at 250 W and 120 °C. Once the reaction mixture was cooled to room temperature, the resulting solution was neutralized with concentrated ammonium hydroxide. Then, crushed ice was added to the solution and a solid was precipitated, collected by vacuum filtration, washed thoroughly with water, dried, and recrystallized from ethanol.
N-(4-(5-(4-Bromophenyl)-1-phenyl-4,5-dihydro-1H-pyrazol-3-yl)phenyl)-7-chloroquinolin-4-amine (15). Yellow solid; 90% yield; mp: 97–99 °C. FTIR (KBr) υ(cm−1): 3350 (NH), 3054 (=C-H), 1599 and 1576 (C=N and C=C). 1H-NMR (400 MHz, DMSO-d6) δ ppm 3.12 (dd, J = 17.4, 6.1 Hz, 1H, H-4′a), 3.92 (dd, J = 17.4, 12.1 Hz, 1H, H-4′b), 5.49 (dd, J = 12.1, 6.1 Hz, 1H, H-5′), 6.72 (t, J = 7.6 Hz, 1H, Ar-H), 6.99 (d, J = 7.6 Hz, 2H, Ar-H), 7.07 (d, J = 5.4 Hz, 1H, H-3), 7.12–7.19 (m, 2H, Ar-H), 7.26 (d, J = 8.4 Hz, 2H, Ar-H), 7.41 (d, J = 8.7 Hz, 2H, Ar-H), 7.54 (d, J = 8.4 Hz, 2H, Ar-H), 7.59 (dd, J = 9.1, 2.3 Hz, 1H, H-6), 7.77 (d, J = 8.7 Hz, 2H, Ar-H), 7.92 (d, J = 2.3 Hz, 1H, H-8), 8.42 (d, J = 9.1 Hz, 1H, H-5), 8.51 (d, J = 5.4 Hz, 1H, H-2), 9.24 (br s, 1H, NH). 13C-NMR (100 MHz, DMSO-d6) δ ppm 43.3 (CH2), 63.0, 100.0 (C), 103.3, 113.4, 119.1 (C), 119.2, 120.9 (C), 122.2, 125.0, 125.7, 127.4, 127.9 (C), 128.0, 128.7, 129.4, 132.4, 131.9 (C), 134.6 (C), 142.4 (C), 144.6 (C), 147.6 (C), 149.5 (C), 152.0. MS (70 eV) m/z (%): 552 (100, M+), 397 (17), 368 (34), 313 (32), 271 (35), 236 (47), 123 (34), 98 (47), 91 (67), 83 (54), 57 (81), 44 (67). Anal. Calcd. For C30H22BrClN4: C, 65.05; H, 4.00; N, 10.12. Found: C, 65.20; H, 3.98; N, 10.15.
7-Chloro-N-(4-(5-(4-chlorophenyl)-1-phenyl-4,5-dihydro-1H-pyrazol-3-yl)phenyl)quinolin-4-amine (16). Yellow solid; 92% yield; mp: 121–124 °C. FTIR (KBr) υ(cm−1): 3263 (NH), 3056 (=C-H), 1597 and 1572 (C=N and C=C). 1H-NMR (400 MHz, DMSO-d6) δ ppm 3.09 (dd, J = 17.4, 6.1 Hz, 1H, H-4′a), 3.90 (dd, J = 17.4, 11.9 Hz, 1H, H-4′b), 5.48 (dd, J = 11.9, 6.1 Hz, 1H, H-5′), 6.71 (t, J = 7.5 Hz, 1H, Ar-H), 6.98 (d, J = 7.5 Hz, 2H, Ar-H), 7.06 (d, J = 5.1 Hz, 1H, H-3), 7.15 (t, J = 7.5 Hz, 2H, Ar-H), 7.31 (d, J = 8.5 Hz, 2H, Ar-H), 7.36–7.44 (m, 4H, Ar-H), 7.57 (dd, J = 9.0, 2.1 Hz, 1H, H-6), 7.76 (d, J = 8.5 Hz, 2H, Ar-H), 7.91 (d, J = 2.1 Hz, 1H, H-8), 8.41 (d, J = 9.0 Hz, 1H, H-5), 8.50 (d, J = 5.1 Hz, 1H, H-2), 9.25 (br s, 1H, NH). 13C-NMR (100 MHz, DMSO-d6) δ ppm 42.9 (CH2), 62.4, 63.1 (C), 102.8, 112.9, 118.6, 121.6, 124.5, 125.2, 126.9, 127.3 (C), 127.6, 127.9, 128.9, 129.0, 131.9 (C), 134.1 (C), 140.9 (C), 141.5 (C), 144.2 (C), 147.1 (C), 147.2 (C), 149.5 (C), 152.0. MS (70 eV) m/z (%): 508 (100, M+), 397 (19), 368 (9), 279 (23), 254 (15), 243 (14), 91 (47), 77 (17). Anal. Calcd. For C30H22Cl2N4: C, 70.73; H, 4.35; N, 11.00. Found: C, 70.79; H, 4.37; N, 10.89.
7-Chloro-N-(4-(1,5-diphenyl-4,5-dihydro-1H-pyrazol-3-yl)phenyl)quinolin-4-amine (17). Yellow solid; 83% yield; mp: 109–111 °C. FTIR (KBr) υ(cm−1): 3270 (NH), 3060 (=C-H), 1598 and 1573 (C=N and C=C). 1H-NMR (400 MHz, DMSO-d6) δ ppm 3.11 (dd, J = 17.4, 6.2 Hz, 1H, H-4′a), 3.93 (dd, J = 17.4, 12.2 Hz, 1H, H-4′b), 5.48 (dd, J = 12.2, 6.2 Hz, 1H, H-5′), 6.65–6.73 (m, 2H, Ar-H), 7.00 (d, J = 7.8 Hz, 2H, Ar-H), 7.06–7.18 (m, 3H, Ar-H and H-3), 7.23–7.38 (m, 4H, Ar-H) 7.42 (d, J = 8.6 Hz, 2H, Ar-H), 7.60 (dd, J = 9.1, 2.2 Hz, 1H, H-6), 7.78 (d, J = 8.6 Hz, 2H, Ar-H), 7.92 (d, J = 2.2 Hz, 1H, H-8), 8.43 (d, J = 9.1 Hz, 1H, H-5), 8.52 (d, J = 5.3 Hz, 1H, H-2), 9.27 (s, 1H, NH). 13C-NMR (100 MHz, DMSO-d6) δ ppm 43.6 (CH2), 63.6, 112.5, 113.3, 118.8, 122.1, 125.1, 125.6, 126.4, 127.4, 127.9, 128.2, 129.2, 129.4, 134.5 (C), 141.4 (C), 143.1 (C), 144.8 (C), 147.5 (C), 147.8 (C), 150.0 (C), 150.1 (C), 152.5, 169.5 (C). MS (70 eV) m/z (%): 474 (100, M+), 397 (19), 279 (15), 121 (35), 105 (68), 91 (42), 77 (52), 57 (33), 43 (31). Anal. Calcd. For C30H23ClN4: C, 75.86; H, 4.88; N, 11.80. Found: C, 75.81; H, 4.65; N, 11.73.
7-Chloro-N-(4-(5-(4-methoxyphenyl)-1-phenyl-4,5-dihydro-1H-pyrazol-3-yl)phenyl)quinolin-4-amine (18) [27]. Yellow solid; 77% yield; mp: 111–112 °C. FTIR (KBr) υ(cm−1): 3312 (NH), 3040 (=C-H), 1597 and 1572 (C=N and C=C). 1H-NMR (400 MHz, DMSO-d6) δ ppm 3.06 (dd, J = 17.3, 6.2 Hz, 1H, H-4′a), 3.70 (s, 3H, OCH3), 3.87 (dd, J = 17.3, 12.0 Hz, 1H, H-4′b), 5.40 (dd, J = 12.0, 6.2 Hz, 1H, H-5′), 6.69 (t, J = 7.3 Hz, 1H, Ar-H), 6.88 (d, J = 8.8 Hz, 2H, Ar-H), 7.00 (d, J = 8.0 Hz, 2H, Ar-H), 7.06 (d, J = 5.3 Hz, 1H, H-3), 7.10–7.17 (m, 2H, Ar-H), 7.20 (d, J = 8.5 Hz, 2H, Ar-H), 7.40 (d, J = 8.5 Hz, 2H, Ar-H), 7.57 (dd, J = 9.0, 1.9 Hz, 1H, H-6), 7.76 (d, J = 8.5 Hz, 2H, Ar-H), 7.91 (d, J = 1.9 Hz, 1H, H-8), 8.40 (d, J = 9.0 Hz, 1H, H-5), 8.49 (d, J = 5.3 Hz, 1H, H-2), 9.25 (br, 1H, NH). 13C-NMR (100 MHz, DMSO-d6) δ ppm 43.5 (CH2), 55.5 (OCH3), 63.1, 103.1, 113.4, 114.5, 114.8, 118.9 (C), 119.0, 122.3, 124.8, 125.8, 127.3, 127.6, 128.2 (C), 129.4, 134.8 (C), 134.9 (C), 141.0 (C), 144.7 (C), 147.4 (C), 148.1 (C), 149.5 (C), 152.3, 158.9 (C). MS (70 eV) m/z (%): 504 (100, M+), 399 (10), 279 (18), 121 (18), 91 (34), 77 (13), 57 (10). Anal. Calcd. For C31H25ClN4O: C, 73.73; H, 4.99; N, 11.09. Found: C, 73.42; H, 4.87; N, 11.07.
7-Chloro-N-(4-(1-phenyl-5-(3,4,5-trimethoxyphenyl)-4,5-dihydro-1H-pyrazol-3-yl)phenyl)quinolin-4-amine (19). Yellow solid; 76% yield; mp: 99–102 °C. FTIR (KBr) υ(cm−1): 3240 (NH), 3056 (=C-H), 1598 and 1575 (C=N and C=C). 1H-NMR (400 MHz, DMSO-d6) δ ppm 3.15 (dd, J = 17.4, 7.3 Hz, 1H, H-4′a), 3.63 (s, 3H, OCH3), 3.71 (s, 6H, 2 × OCH3), 3.91 (dd, J = 17.4, 12.1 Hz, 1H, H-4′b), 5.34 (dd, J = 12.1, 7.3 Hz, 1H, H-5′), 6.64 (s, 2H, Ar-H), 6.74 (t, J = 7.2 Hz, 1H, Ar-H), 7.02–7.10 (m, 3H, Ar-H and H-3), 7.15–7.21 (m, 2H, Ar-H), 7.42 (d, J = 8.8 Hz, 2H, Ar-H), 7.60 (dd, J = 9.1, 2.2 Hz, 1H, H-6), 7.79 (d, J = 8.8 Hz, 2H, Ar-H), 7.92 (d, J = 2.2 Hz, 1H, H-8), 8.43 (d, J = 9.1 Hz, 1H, H-5), 8.52 (d, J = 5.3 Hz, 1H, H-2), 9.25 (s, 1H, NH). 13C-NMR (100 MHz, DMSO-d6) δ ppm 43.7 (CH2), 56.4 (2 × OCH3), 60.5 (OCH3), 64.4, 103.5, 113.6, 119.2, 120.2 (C), 122.1, 125.1, 125.7, 127.5, 127.9 (C), 128.2 (C), 128.8 (C), 129.4, 132.2, 133.3 (C), 134.6 (C), 137.1, 139.0 (C), 141.4 (C), 145.4 (C), 147.9 (C), 152.4, 153.8 (C). MS (70 eV) m/z (%): 564 (100, M+), 397 (35), 279 (18), 243 (12), 91 (32), 77 (12). Anal. Calcd. For C33H29ClN4O3: C, 70.14; H, 5.17; N, 9.92. Found: C, 70.09; H, 5.11; N, 9.82.
7-Chloro-N-(4-(1-phenyl-5-(p-tolyl)-4,5-dihydro-1H-pyrazol-3-yl)phenyl)quinolin-4-amine (20). Yellow solid; 86% yield; mp: 89–92 °C. FTIR (KBr) υ(cm−1): 3230 (NH), 3052 (=C-H), 1599 and 1577 (C=N and C=C). 1H-NMR (400 MHz, DMSO-d6) δ ppm 2.25 (s, 3H, CH3), 3.07 (dd, J = 17.3, 6.3 Hz, 1H, H-4′a), 3.89 (dd, J = 17.3, 12.2 Hz, 1H, H-4′b), 5.41 (dd, J = 12.2, 6.3 Hz, 1H, H-5′), 6.66–6.72 (m, 1H, Ar-H), 7.00 (d, J = 7.8 Hz, 2H, Ar-H), 7.07 (d, J = 5.3 Hz, 1H, H-3), 7.11–7.15 (m, 4H, Ar-H), 7.17–7.21 (m, 2H, Ar-H), 7.41 (d, J = 8.6 Hz, 2H, Ar-H), 7.58 (dd, J = 9.0, 2.2 Hz, 1H, H-6), 7.77 (d, J = 8.6 Hz, 2H, Ar-H), 7.92 (d, J = 2.2 Hz, 1H, H-8), 8.43 (d, J = 9.0 Hz, 1H, H-5), 8.51 (d, J = 5.3 Hz, 1H, H-2), 9.24 (s, 1H, NH). 13C-NMR (100 MHz, DMSO-d6) δ ppm 21.2 (CH3), 43.6 (CH2), 63.5, 103.3, 112.6, 113.4, 118.9, 122.1, 125.3, 126.3, 127.3, 128.0 (C), 128.2, 129.2, 130.0, 134.5 (C), 137.0 (C), 140.1 (C), 141.4 (C), 144.5 (C), 147.5 (C), 147.7 (C), 149.9 (C), 150.2 (C), 152.5. MS (70 eV) m/z (%): 488 (11, M+), 368 (31), 236 (47), 210 (61), 150 (60), 108 (100), 97 (49), 83 (60), 69 (56), 43 (39). Anal. Calcd. For C31H25ClN4: C, 76.14; H, 5.15; N, 11.46. Found: C, 76.12; H, 5.09; N, 11.36.

3.2.3. General Procedure for the Preparation of Compounds 2126

A mixture of the corresponding chalcone 1–6 (0.11 mmol), 4-chlorophenylhydrazine hydrochloride 14 (0.22 mmol), BF3·OEt2 (0.2 mL, molar excess) as catalyst, and EtOH (8 mL) was heated under reflux for 7 h. After this time, the product was observed as a precipitate and was filtered and washed three times with the EtOH/H2O (1:0.5) mixture. No further purification was required.
N-(4-(5-(4-Bromophenyl)-1-(4-chlorophenyl)-4,5-dihydro-1H-pyrazol-3-yl)phenyl)-7-chloroquinolin-4-amine (21). Yellow solid; 80% yield; mp: >300 °C. FTIR (KBr) υ(cm−1): 3410 (NH), 3020 (=C-H), 1613 and 1589 (C=N and C=C). 1H-NMR (400 MHz, DMSO-d6) δ ppm 3.18 (dd, J = 17.5, 5.8 Hz, 1H, H-4′a), 3.97 (dd, J = 17.5, 12.1 Hz, 1H, H-4′b), 5.59 (dd, J = 12.1, 5.8 Hz, 1H, H-5′), 6.94 (d, J = 6.7 Hz, 1H, H-3), 7.00 (d, J = 8.9 Hz, 2H, Ar-H), 7.21 (d, J = 8.9 Hz, 2H, Ar-H), 7.30 (d, J = 8.3 Hz, 2H, Ar-H), 7.42 (d, J = 8.3 Hz, 2H, Ar-H), 7.54 (d, J = 8.4 Hz, 2H, Ar-H), 7.84 (dd, J = 9.2, 1.3 Hz, 1H, H-6), 7.89 (d, J = 8.4 Hz, 2H, Ar-H), 8.16 (d, J = 1.3 Hz, 1H, H-8), 8.55 (d, J = 6.7 Hz, 1H, H-2), 8.86 (d, J = 9.2 Hz, 1H, H-5), 11.07 (br s, 1H, NH). 13C-NMR (100 MHz, DMSO-d6) δ ppm 43.3 (CH2), 62.9, 101.5, 114.9, 117.0 (C), 120.9, 123.0 (C), 125.2, 126.5, 127.6, 127.7, 128.4, 129.3, 129.6, 130.8 (C), 132.6 (C), 138.3 (C), 138.5 (C), 141.1 (C), 141.4 (C), 143.2 (C), 145.2, 148.0 (C), 154.0 (C). MS (70 eV) m/z (%): 586 (55, M+), 368 (24), 346 (28), 313 (33), 236 (31), 125 (37), 97 (53), 71 (59), 57 (100), 43 (94). Anal. Calcd. For C30H21BrCl2N4: C, 61.25; H, 3.60; N, 9.52. Found: C, 61.15; H, 3.78; N, 9.63.
N-(4-(1,5-bis(4-Chlorophenyl)-4,5-dihydro-1H-pyrazol-3-yl)phenyl)-7-chloroquinolin-4-amine (22). Yellow solid; 87% yield; mp: >300 °C. FTIR (KBr) υ(cm−1): 3418 (NH), 3025 (=C-H), 1614 and 1569 (C=N and C=C). 1H-NMR (400 MHz, DMSO-d6) δ ppm 3.19 (dd, J = 17.6, 5.7 Hz, 1H, H-4′a), 3.97 (dd, J = 17.6, 12.2 Hz, 1H, H-4′b), 5.59 (dd, J = 12.2, 5.7 Hz, 1H, H-5′), 6.95 (d, J = 6.8 Hz, 1H, H-3), 7.01 (d, J = 8.8 Hz, 2H, Ar-H), 7.21–7.26 (m, 4H, Ar-H), 7.53–7.57 (m, 4H, Ar-H), 7.83–7.96 (m, 3H, Ar-H and H-6), 8.11 (d, J = 1.4 Hz, 1H, H-8), 8.56 (d, J = 6.8 Hz, 1H, H-2), 8.80 (d, J = 9.2 Hz, 1H, H-5), 11.00 (br s, 1H, NH). 13C-NMR (100 MHz, DMSO-d6) δ ppm 43.3 (CH2), 63.0, 101.3, 114.9, 116.8 (C), 120.4, 121.2 (C), 123.0 (C), 125.5, 126.4, 127.8, 127.9, 128.7, 129.3, 131.1 (C), 132.5, 138.1 (C), 138.8 (C), 140.2 (C), 141.7 (C), 143.1 (C), 144.7, 147.9 (C), 154.6 (C). MS (70 eV) m/z (%): 542 (100, M+), 431 (15), 368 (13), 279 (20), 125 (14). Anal. Calcd. For C30H21Cl3N4: C, 66.25; H, 3.89; N, 10.30. Found: C, 66.40; H, 4.00; N, 10.52.
7-Chloro-N-(4-(1-(4-chlorophenyl)-5-phenyl-4,5-dihydro-1H-pyrazol-3-yl)phenyl)quinolin-4-amine (23). Yellow solid; 73% yield; mp: >300 °C. FTIR (KBr) υ(cm−1): 3429 (NH), 3021 (=C-H), 1613 and 1591 (C=N and C=C). 1H-NMR (400 MHz, DMSO-d6) δ ppm 3.18 (dd, J = 17.5, 6.0 Hz, 1H, H-4′a), 3.98 (dd, J = 17.5, 12.3 Hz, 1H, H-4′b), 5.56 (dd, J = 12.3, 6.0 Hz, 1H, H-5′), 6.94 (d, J = 6.8 Hz, 1H, H-3), 7.01 (d, J = 8.9 Hz, 2H, Ar-H), 7.20 (d, J = 8.9 Hz, 2H, Ar-H), 7.24–7.32 (m, 3H, Ar-H), 7.35 (d, J = 7.2 Hz, 2H, Ar-H), 7.55 (d, J = 8.4 Hz, 2H, Ar-H), 7.85 (dd, J = 9.0, 1.9 Hz, 1H, H-6), 7.91 (d, J = 8.4 Hz, 2H, Ar-H), 8.16 (d, J = 1.9 Hz, 1H, H-8), 8.55 (d, J = 6.8 Hz, 1H, H-2), 8.90 (d, J = 9.0 Hz, 1H, H-5), 11.17 (br s, 1H, NH). 13C-NMR (100 MHz, DMSO-d6) δ ppm 43.6 (CH2), 63.7, 101.6, 114.9, 117.1 (C), 121.3, 122.8 (C), 125.0, 126.3, 126.5, 127.5, 127.6, 128.1, 129.2, 129.6, 130.7 (C), 136.4 (C), 138.1 (C), 138.6 (C), 142.5 (C), 143.4 (C), 145.5, 147.9 (C), 153.6 (C). MS (70 eV) m/z (%): 508 (100, M+), 431 (16), 369 (12), 279 (20), 254 (17), 125 (35), 90 (14). Anal. Calcd. For C30H22Cl2N4: C, 70.73; H, 4.35; N, 11.00. Found: C, 70.69; H, 4.42; N, 10.95.
7-Chloro-N-(4-(1-(4-chlorophenyl)-5-(4-methoxyphenyl)-4,5-dihydro-1H-pyrazol-3-yl)phenyl)quinolin-4-amine (24). Yellow solid; 67% yield; mp: >300 °C. FTIR (KBr) υ(cm−1): 3421 (NH), 2679 (=C-H), 1616 and 1597 (C=N and C=C). 1H-NMR (400 MHz, DMSO-d6) δ ppm 3.15 (dd, J = 17.6, 5.8 Hz, 1H, H-4′a), 3.72 (s, 3H, OCH3), 3.94 (dd, J = 17.6, 12.1 Hz, 1H, H-4′b), 5.51 (dd, J = 12.1, 5.8 Hz, 1H, H-5′), 6.86–6.97 (m, 3H, Ar-H and H-3), 7.02 (d, J = 8.8 Hz, 2H, Ar-H), 7.18–7.21 (m, 4H, Ar-H), 7.54 (d, J = 8.4 Hz, 2H, Ar-H), 7.82–7.95 (m, 3H, Ar-H and H-6), 8.14 (d, J = 1.6 Hz, 1H, H-8), 8.55 (d, J = 6.8 Hz, 1H, H-2), 8.83 (d, J = 9.0 Hz, 1H, H-5), 11.06 (br s, 1H, NH). 13C-NMR (100 MHz, DMSO-d6) δ ppm 43.5 (CH2), 55.6 (OCH3), 63.2, 101.4, 114.9, 115.0, 116.9 (C), 120.6, 122.7 (C), 125.4, 126.4, 127.6, 127.7, 127.8, 129.2, 131.2 (C), 134.3 (C), 138.1 (C), 138.6 (C), 140.6 (C), 143.3 (C), 145.0, 147.8 (C), 154.3 (C), 159.1 (C). MS (70 eV) m/z (%): 538 (100, M+). Anal. Calcd. For C31H24Cl2N4O: C, 69.02; H, 4.48; N, 10.39. Found: C, 69.08; H, 4.44; N, 10.51.
7-Chloro-N-(4-(1-(4-chlorophenyl)-5-(3,4,5-trimethoxyphenyl)-4,5-dihydro-1H-pyrazol-3-yl)phenyl)quinolin-4-amine (25). Yellow solid; 63% yield; mp: 218–220 °C. FTIR (KBr) υ(cm−1): 3434 (NH), 2969 (=C-H) and 1595 (C=N and C=C). 1H-NMR (400 MHz, DMSO-d6) δ ppm 3.22 (dd, J = 17.6, 6.9 Hz, 1H, H-4′a), 3.64 (s, 3H, OCH3), 3.72 (s, 6H, 2 × OCH3), 3.96 (dd, J = 17.6, 12.1 Hz, 1H, H-4′b), 5.42 (dd, J = 12.1, 6.9 Hz, 1H, H-5′), 6.95 (d, J = 7.0 Hz, 1H, H-3), 7.05 (d, J = 9.0 Hz, 2H, Ar-H), 7.21–7.29 (m, 4H, Ar-H), 7.55 (d, J = 8.6 Hz, 2H, Ar-H), 7.86 (dd, J = 9.0, 1.8 Hz, 1H, H-6), 7.91 (d, J = 8.6 Hz, 2H, Ar-H), 8.15 (d, J = 1.8 Hz, 1H, H-8), 8.55 (d, J = 7.0 Hz, 1H, H-2), 8.85 (d, J = 9.0 Hz, 1H, H-5), 11.08 (br s, 1H, NH). 13C-NMR (100 MHz, DMSO-d6) δ ppm 43.7 (CH2), 56.4 (2 × OCH3), 60.5 (OCH3), 64.4, 101.3, 103.4, 114.8, 115.1, 116.9 (C), 122.8 (C), 123.0 (C), 125.3, 126.5, 127.0, 127.7, 129.2, 131.1 (C), 137.2 (C), 138.2 (C), 140.2 (C), 141.0 (C), 143.8 (C), 144.7, 145.4 (C), 148.2 (C), 153.9 (C). MS (70 eV) m/z (%): 598 (7, M+), 420 (100), 294 (43), 281 (21), 166 (20), 125 (39). Anal. Calcd. For C33H28Cl2N4O3: C, 66.11; H, 4.71; N, 9.35. Found: C, 66.13; H, 4.94; N, 9.36.
7-Chloro-N-(4-(1-(4-chlorophenyl)-5-(p-tolyl)-4,5-dihydro-1H-pyrazol-3-yl)phenyl)quinolin-4-amine (26). Yellow solid; 70% yield; mp: 296–298 °C. FTIR (KBr) υ(cm−1): 3424 (NH), 2974 (=C-H), 1614 and 1590 (C=N and C=C). 1H-NMR (400 MHz, DMSO-d6) δ ppm 2.26 (s, 3H, CH3), 3.15 (dd, J = 17.6, 5.9 Hz, 1H, H-4′a), 3.95 (dd, J = 17.6, 12.3 Hz, 1H, H-4′b), 5.51 (dd, J = 12.3, 5.9 Hz, 1H, H-5′), 6.94 (d, J = 6.8 Hz, 1H, H-3), 7.01 (d, J = 9.2 Hz, 2H, Ar-H), 7.12–7.24 (m, 6H, Ar-H), 7.55 (d, J = 8.6 Hz, 2H, Ar-H), 7.85 (dd, J = 9.1, 2.0 Hz, 1H, H-6), 7.90 (d, J = 8.6 Hz, 2H, Ar-H), 8.18 (d, J = 2.0 Hz, 1H, H-8), 8.55 (d, J = 6.8 Hz, 1H, H-2), 8.89 (d, J = 9.1 Hz, 1H, H-5), 11.05 (br s, 1H, NH). 13C-NMR (100 MHz, DMSO-d6) δ ppm 21.2 (CH3), 43.5 (CH2), 63.5, 101.3, 114.9, 116.9 (C), 120.3, 122.8 (C), 125.4, 126.3, 126.6, 127.6, 127.7, 129.2, 130.1, 131.2 (C), 137.3 (C), 138.1 (C), 138.6 (C), 139.5 (C), 140.4 (C), 143.3 (C), 144.5, 147.8 (C), 154.4 (C). MS (70 eV) m/z (%): 522 (100, M+), 279 (20), 243 (13), 125 (38). Anal. Calcd. For C31H24Cl2N4: C, 71.13; H, 4.62; N, 10.70. Found: C, 71.09; H, 4.56; N, 10.71.

3.2.4. General Procedure for the Preparation of Compounds 2732

A mixture of chalcone 7–12 (0.11 mmol), phenylhydrazine 13 (0.22 mmol), glacial acetic acid (0.8 mL, molar excess) and EtOH (8 mL) was heated under reflux for 3 h until complete consumption of the chalcone (monitored by TLC). The product was observed as a precipitate and was filtered and washed with EtOH/H2O (1:0.5) mixture. No further purification was required.
N-(3-(5-(4-Bromophenyl)-1-phenyl-4,5-dihydro-1H-pyrazol-3-yl)phenyl)-7-chloroquinolin-4-amine (27). Yellow solid; 83% yield; mp: 228–231 °C. FTIR (KBr) υ(cm−1): 3354 (NH), 3053 (=C-H), 1602 and 1569 (C=N and C=C). 1H-NMR (400 MHz, DMSO-d6) δ ppm 3.13 (dd, J = 17.4, 6.1 Hz, 1H, H-4′a), 3.93 (dd, J = 17.4, 12.1 Hz, 1H, H-4′b), 5.52 (dd, J = 12.1, 6.1 Hz, 1H, H-5′), 6.73 (t, J = 7.6 Hz, 1H, Ar-H), 6.98–7.03 (m, 3H, Ar-H and H-3), 7.16 (t, J = 7.6 Hz, 2H, Ar-H), 7.25 (d, J = 8.3 Hz, 2H, Ar-H), 7.39–7.41 (m, 1H, Ar-H), 7.47 (d, J = 4.5 Hz, 2H, Ar-H), 7.54 (d, J = 8.3 Hz, 2H, Ar-H), 7.59 (dd, J = 9.0, 1.7 Hz, 1H, H-6), 7.76 (s, 1H, Ar-H), 7.91 (d, J = 1.7 Hz, 1H, H-8), 8.44 (d, J = 9.0 Hz, 1H, H-5), 8.49 (d, J = 5.0 Hz, 1H, H-2), 9.19 (br s, 1H, NH). 13C-NMR (100 MHz, DMSO-d6) δ ppm 43.2 (CH2), 63.0, 79.7 (C), 102.6, 113.5, 119.4, 119.9, 121.0 (C), 122.0, 123.1, 124.9, 125.6, 128.2, 128.7, 129.5, 130.2, 132.4, 134.0 (C), 134.5 (C), 135.9 (C), 141.1 (C), 144.4 (C), 147.5 (C), 148.3 (C), 150.1 (C), 152.5. MS (70 eV) m/z (%): 552 (100, M+), 397 (62), 280 (40), 218 (24), 91 (33), 77 (45). Anal. Calcd. For C30H22BrClN4: C, 65.05; H, 4.00; N, 10.12. Found: C, 65.05; H, 4.11; N, 10.25.
7-Chloro-N-(3-(5-(4-chlorophenyl)-1-phenyl-4,5-dihydro-1H-pyrazol-3-yl)phenyl)quinolin-4-amine (28). Yellow solid; 81% yield; mp: 187–188 °C. FTIR (KBr) υ(cm−1): 3263 (NH), 3056 (=C-H), 1597 and 1569 (C=N and C=C). 1H-NMR (400 MHz, DMSO-d6) δ ppm 3.13 (dd, J = 17.6, 6.0 Hz, 1H, H-4′a), 3.94 (dd, J = 17.6, 12.1 Hz, 1H, H-4′b), 5.55 (dd, J = 12.1, 6.0 Hz, 1H, H-5′), 6.73 (t, J = 7.2 Hz, 1H, Ar-H), 6.97–6.99 (m, 3H, Ar-H and H-3), 7.12–7.20 (m, 2H, Ar-H), 7.32 (d, J = 8.3 Hz, 2H, Ar-H), 7.37–7.43 (m, 3H, Ar-H), 7.48 (d, J = 4.8 Hz, 2H, Ar-H), 7.59 (dd, J = 8.8, 1.6 Hz, 1H, H-6), 7.77 (s, 1H, Ar-H), 7.91 (d, J = 1.6 Hz, 1H, H-8), 8.44 (d, J = 8.8 Hz, 1H, H-5), 8.50 (d, J = 5.3 Hz, 1H, H-2), 9.19 (br s, 1H, NH). 13C-NMR (100 MHz, DMSO-d6) δ ppm 42.7 (CH2), 62.5, 76.5 (C), 102.1, 113.0, 118.9, 119.4, 121.5 (C), 122.6, 124.5, 125.1, 127.7, 127.9, 129.0, 129.8, 132.8, 133.5 (C), 134.0 (C), 135.9 (C), 140.6 (C), 143.9 (C), 147.8 (C), 148.5, 148.9 (C), 149.6 (C), 152.1. MS (70 eV) m/z (%): 508 (100, M+), 397 (45), 296 (36), 281 (28), 218 (59), 43 (51). Anal. Calcd. For C30H22Cl2N4: C, 70.73; H, 4.35; N, 11.00. Found: C, 70.77; H, 4.39; N, 10.91.
7-Chloro-N-(3-(1,5-diphenyl-4,5-dihydro-1H-pyrazol-3-yl)phenyl)quinolin-4-amine (29). Yellow solid; 73% yield; mp: 202–203 °C. FTIR (KBr) υ(cm−1): 3342 (NH), 3051 (=C-H), 1598 and 1567 (C=N and C=C). 1H-NMR (400 MHz, DMSO-d6) δ ppm 3.12 (dd, J = 17.5, 6.3 Hz, 1H, H-4′a), 3.94 (dd, J = 17.5, 12.2 Hz, 1H, H-4′b), 5.50 (dd, J = 12.2, 6.3 Hz, 1H, H-5′), 6.71 (t, J = 7.3 Hz, 1H, Ar-H), 6.97–7.03 (m, 3H, Ar-H and H-3), 7.10–7.17 (m, 2H, Ar-H), 7.23–7.41 (m, 6H, Ar-H), 7.45–7.49 (m, 2H, Ar-H), 7.59 (dd, J = 9.0, 2.0 Hz, 1H, H-6), 7.78 (s, 1H, Ar-H), 7.91 (d, J = 2.0 Hz, 1H, H-8), 8.45 (d, J = 9.0 Hz, 1H, H-5), 8.49 (d, J = 5.3 Hz, 1H, H-2), 9.19 (br s, 1H, NH). 13C-NMR (100 MHz, DMSO-d6) δ ppm 43.0 (CH2), 63.2, 99.5 (C), 102.1, 113.0, 118.4 (C), 119.4, 121.5, 122.6, 124.5, 125.1, 125.3, 125.8, 127.6, 128.9, 129.0, 129.1, 129.7, 133.6 (C), 134.0 (C), 142.4 (C), 144.1 (C), 146.8 (C), 147.9 (C), 149.5 (C), 152.0. MS (70 eV) m/z (%): 474 (100, M+), 397 (77), 280 (21), 218 (17), 91 (35), 77 (40). Anal. Calcd. For C30H23ClN4: C, 75.86; H, 4.88; N, 11.80. Found: C, 75.78; H, 4.92; N, 11.85.
7-Chloro-N-(3-(5-(4-methoxyphenyl)-1-phenyl-4,5-dihydro-1H-pyrazol-3-yl)phenyl)quinolin-4-amine (30). Yellow solid; 68% yield; mp: 189–191 °C. FTIR (KBr) υ(cm−1): 3274 (NH), 3057 (=C-H), 1620 and 1599 (C=N and C=C). 1H-NMR (400 MHz, DMSO-d6): δ ppm = 3.09 (dd, J = 17.3, 6.2 Hz, 1H, H-4′a), 3.71 (s, 3H, OCH3), 3.90 (dd, J = 17.3, 12.2 Hz, 1H, H-4′b), 5.45 (dd, J = 12.2, 6.2 Hz, 1H, H-5′), 6.71 (t, J = 7.3 Hz, 1H, Ar-H), 6.89 (d, J = 8.7 Hz, 2H, Ar-H), 6.97–7.03 (m, 3H, Ar-H and H-3), 7.11–7.17 (m, 2H, Ar-H), 7.21 (d, J = 8.7 Hz, 2H, Ar-H), 7.39–7.41 (m, 1H, Ar-H), 7.45–7.48 (m, 2H, Ar-H), 7.57–7.60 (m, 1H, Ar-H), 7.77 (s, 1H, Ar-H), 7.91 (d, J = 2.0 Hz, 1H, H-8), 8.45 (d, J = 9.0 Hz, 1H, H-5), 8.49 (d, J = 5.3 Hz, 1H, H-2), 9.19 (s, 1H, NH). 13C-NMR (100 MHz, DMSO-d6): δ ppm = 43.0 (CH2), 55.0 (OCH3), 62.8, 102.1, 113.1, 114.3, 118.7, 119.3, 121.5, 122.5, 124.4, 125.0, 127.1, 127.7, 128.8, 129.7, 133.7 (C), 134.0 (C), 134.3 (C), 135.9 (C), 140.6 (C), 144.1 (C), 146.8 (C), 147.8 (C), 149.6 (C), 152.1, 158.5 (C). MS (70 eV) m/z (%): 504 (100, M+), 397 (57), 280 (25), 218 (21), 77 (29). Anal. Calcd. For C31H25ClN4O: C, 73.73; H, 4.99; N, 11.09. Found: C, 73.67; H, 4.89; N, 11.16.
7-Chloro-N-(3-(1-phenyl-5-(3,4,5-trimethoxyphenyl)-4,5-dihydro-1H-pyrazol-3-yl)phenyl)quinolin-4-amine (31). Yellow solid; 65% yield; mp: 183–186 °C. FTIR (KBr) υ(cm−1): 3285 (NH), 3028 (=C-H), 1665 (C=N and C=C). 1H-NMR (400 MHz, DMSO-d6) δ ppm 3.16 (dd, J = 17.5, 7.3 Hz, 1H, H-4′a), 3.72 (s, 3H, OCH3), 3.86 (s, 6H, 2 × OCH3), It is not observed (dd, 1H, H-4′b), 5.37 (dd, J = 12.2, 7.3 Hz, 1H, H-5′), 6.72–6.77 (m, 1H, Ar-H), 6.98–7.07 (m, 3H, Ar-H), 7.10–7.21 (m, 4H, Ar-H), 7.36–7.42 (m, 1H, Ar-H), 7.45–7.51 (m, 2H, Ar-H), 7.59 (dd, J = 9.1, 2.2 Hz, 1H, H-6), 7.78 (s, 1H, Ar-H), 7.92 (d, J = 2.2 Hz, 1H, H-8), 8.40–8.54 (m, 2H, H-5 and H-2), 9.62 (br s, 1H, NH). 13C-NMR (100 MHz, DMSO-d6) δ ppm 43.6 (CH2), 56.3 (2 x OCH3), 60.4 (OCH3), 64.4, 100.0 (C), 102.5, 113.7, 119.3 (C), 119.4, 119.8, 121.0 (C), 122.0, 123.1, 125.0, 125.6, 128.1, 129.4, 129.5, 130.3, 134.1 (C), 134.5 (C), 137.0 (C), 138.8 (C), 145.1 (C), 147.7 (C), 148.3 (C), 150.1 (C), 152.5. MS (70 eV) m/z (%): 564 (100, M+), 397 (65), 279 (14), 91 (37), 77 (14). Anal. Calcd. For C33H29ClN4O3: C, 70.14; H, 5.17; N, 9.92. Found: C, 69.97; H, 5.25; N, 10.03.
7-Chloro-N-(3-(1-phenyl-5-(p-tolyl)-4,5-dihydro-1H-pyrazol-3-yl)phenyl)quinolin-4-amine (32). Yellow solid; 72% yield; mp: 210–212 °C. FTIR (KBr) υ(cm−1): 3187 (NH), 3058 (=C-H), 1617 and 1594 (C=N and C=C). 1H-NMR (400 MHz, DMSO-d6) δ ppm 2.30 (s, 3H, CH3), 3.11 (dd, J = 17.4, 6.2 Hz, 1H, H-4′a), 3.91 (dd, J = 17.4, 12.2 Hz, 1H, H-4′b), 5.48 (dd, J = 12.2, 6.2 Hz, 1H, H-5′), 6.75 (t, J = 7.1 Hz, 1H, Ar-H), 6.83 (d, J = 7.0 Hz, 1H, H-3), 7.16–7.24 (m, 2H, Ar-H), 7.24–7.29 (m, 2H, Ar-H), 7.41 (d, J = 7.9 Hz, 2H, Ar-H), 7.57 (d, J = 7.9 Hz, 2H, Ar-H), 7.77–7.82 (m, 1H, Ar-H), 7.85 (d, J = 8.3 Hz, 2H, Ar-H), 7.87 (dd, J = 9.2, 2.2 Hz, 1H, H-6), 7.90 (s, 1H, Ar-H), 8.21 (d, J = 2.2 Hz, 1H, H-8), 8.52 (d, J = 7.0 Hz, 1H, H-2), 8.92 (d, J = 9.2 Hz, 1H, H-5), 9.19 (br s, 1H, NH). 13C-NMR (100 MHz, DMSO-d6) δ ppm 13.4 (CH3), 43.0 (CH2), 63.0, 100.9, 113.4, 114.5, 119.6, 119.7, 121.5, 122.4, 124.7, 125.0, 126.8, 127.8, 129.4, 130.4, 133.7 (C), 135.9 (C), 137.6 (C), 138.9 (C), 139.6 (C), 139.8 (C), 141.7 (C), 143.8, 144.1 (C), 146.3 (C), 155.5 (C). MS (70 eV) m/z (%): 488 (78, M+), 490 (100), 397 (52), 280 (23), 218 (19), 77 (14). Anal. Calcd. For C31H25ClN4: C, 76.14; H, 5.15; N, 11.46. Found: C, 76.10; H, 5.15; N, 11.52.

3.2.5. General Procedure for the Preparation of Compounds 3338

A mixture of the corresponding 3-(7-chloroquinolin-4-yl)amino chalcone 7–12 (0.11 mmol), 4-chlorophenylhydrazine hydrochloride 14 (0.22 mmol), glacial acetic acid (0.2 mL, molar excess), and EtOH (8 mL) was heated under reflux for 8 h, until the reaction is complete and the product precipitated. Afterward, the solid product was filtered, washed with water, and recrystallized from ethanol.
N-(3-(5-(4-Bromophenyl)-1-(4-chlorophenyl)-4,5-dihydro-1H-pyrazol-3-yl)phenyl)-7-chloroquinolin-4-amine (33). Yellow solid; 75% yield; mp: 201–203 °C. FTIR (KBr) υ(cm−1): 3166 (NH), 3049 (=C-H), 1618 and 1595 (C=N and C=C). 1H-NMR (400 MHz, DMSO-d6) δ ppm 3.18 (dd, J = 17.6, 6.0 Hz, 1H, H-4′a), 3.96 (dd, J = 17.6, 12.4 Hz, 1H, H-4′b), 5.59 (dd, J = 12.4, 6.0 Hz, 1H, H-5′), 6.86 (d, J = 6.9 Hz, 1H, H-3), 6.99 (d, J = 8.8 Hz, 2H, Ar-H), 7.17–7.26 (m, 4H, Ar-H), 7.51 (d, J = 7.8 Hz, 1H, Ar-H), 7.55 (d, J = 8.3 Hz, 2H, Ar-H), 7.62 (t, J = 7.8 Hz, 1H, Ar-H), 7.74 (d, J = 7.8 Hz, 1H, Ar-H), 7.85–7.92 (m, 2H, Ar-H and H-6), 8.21 (d, J = 2.0 Hz, 1H, H-8), 8.53 (d, J = 6.9 Hz, 1H, H-2), 8.91 (d, J = 9.0 Hz, 1H, H-5), 11.28 (br s, 1H, NH). 13C-NMR (100 MHz, DMSO-d6) δ ppm 42.8 (CH2), 62.4, 100.5, 114.5, 116.0 (C), 119.3, 122.4, 122.6 (C), 124.9, 125.6, 126.2, 127.4, 127.8, 128.8, 129.1, 130.3, 132.1 (C), 133.8 (C), 137.5 (C), 138.4 (C), 139.2 (C), 140.7 (C), 142.5 (C), 143.5, 147.3 (C), 154.8 (C). MS (70 eV) m/z (%): 588 (100), 586 (84, M+), 431 (52), 279 (32), 243 (26), 218 (20), 125 (68), 111 (25), 90 (34). Anal. Calcd. For C30H21BrCl2N4: C, 61.25; H, 3.60; N, 9.52. Found: C, 61.32; H, 3.76; N, 10.01.
N-(3-(1,5-bis(4-Chlorophenyl)-4,5-dihydro-1H-pyrazol-3-yl)phenyl)-7-chloroquinolin-4-amine (34). Yellow solid; 71% yield; mp: 206–207 °C. FTIR (KBr) υ(cm−1): 3160 (NH), 3049 (=C-H), 1617 and 1588 (C=N and C=C). 1H-NMR (400 MHz, DMSO-d6) δ ppm 3.17 (dd, J = 17.6, 6.0 Hz, 1H, H-4′a), 3.96 (dd, J = 17.6, 12.2 Hz, 1H, H-4′b), 5.60 (dd, J = 12.2, 6.0 Hz, 1H, H-5′), 6.85 (d, J = 7.0 Hz, 1H, H-3), 6.98 (d, J = 9.0 Hz, 2H, Ar-H), 7.19 (d, J = 9.0 Hz, 2H, Ar-H), 7.29 (d, J = 8.5 Hz, 2H, Ar-H), 7.41 (d, J = 8.5 Hz, 2H, Ar-H), 7.50 (dd, J = 8.0, 0.9 Hz, 1H, Ar-H), 7.61 (t, J = 8.0 Hz, 1H, Ar-H), 7.73 (d, J = 8.0 Hz, 1H, Ar-H), 7.84–7.91 (m, 2H, Ar-H and H-6), 8.21 (d, J = 2.0 Hz, 1H, H-8), 8.53 (d, J = 7.0 Hz, 1H, H-2), 8.93 (d, J = 9.0 Hz, 1H, H-5), 11.30 (br s, 1H, NH). 13C-NMR (100 MHz, DMSO-d6) δ ppm 41.2 (CH2), 49.8, 100.0 (C), 100.6, 116.5 (C), 119.8, 120.4 (C), 125.2, 126.6, 128.0, 128.1, 130.5, 130.7, 131.0, 131.2, 131.4, 132.4, 137.6 (C), 137.7 (C), 138.1 (C), 138.9 (C), 139.1 (C), 139.6 (C), 144.1, 155.4 (C), 198.2 (C). MS (70 eV) m/z (%): 542 (100, M+), 431 (49), 279 (26), 125 (18), 90 (13). Anal. Calcd. For C30H21Cl3N4: C, 66.25; H, 3.89; N, 10.30. Found: C, 66.27; H, 3.95; N, 10.36.
7-Chloro-N-(3-(1-(4-chlorophenyl)-5-phenyl-4,5-dihydro-1H-pyrazol-3-yl)phenyl)quinolin-4-amine (35). Yellow solid; 61% yield; mp: 245–246 °C. FTIR (KBr) υ(cm−1): 3354 (NH), 3056 (=C-H), 1615 and 1591 (C=N and C=C). 1H-NMR (400 MHz, DMSO-d6) δ ppm 3.17 (dd, J = 17.6, 6.1 Hz, 1H, H-4′a), 3.97 (dd, J = 17.6, 12.3 Hz, 1H, H-4′b), 5.58 (dd, J = 12.3, 6.1 Hz, 1H, H-5′), 6.88 (d, J = 6.9 Hz, 1H, H-3), 7.00 (d, J = 9.0 Hz, 2H, Ar-H), 7.19 (d, J = 9.0 Hz, 2H, Ar-H), 7.28 (m, 3H, Ar-H), 7.33–7.39 (m, 2H, Ar-H), 7.50 (dd, J = 8.0, 0.8 Hz, 1H, Ar-H), 7.61 (t, J = 7.8 Hz, 1H, Ar-H), 7.72 (d, J = 7.8 Hz, 1H, Ar-H), 7.86 (dd, J = 9.1, 2.0 Hz, 1H, H-6), 7.90 (s, 1H, Ar-H), 8.18 (d, J = 2.0 Hz, 1H, H-8), 8.54 (d, J = 6.9 Hz, 1H, H-2), 8.89 (d, J = 9.1 Hz, 1H, H-5), 11.14 (br s, 1H, NH). 13C-NMR (100 MHz, DMSO-d6) δ ppm 43.5 (CH2), 63.6, 101.1, 114.9, 116.7 (C), 120.5, 122.6, 122.9 (C), 125.1, 125.8, 126.3, 126.6, 127.7, 128.1, 129.2, 129.6, 130.8, 134.3 (C), 138.3 (C), 138.5 (C), 140.5 (C), 142.3 (C), 143.2 (C), 144.8, 147.7 (C), 154.7 (C). MS (70 eV) m/z (%): 508 (100, M+), 431 (28), 279 (16), 236 (24), 125 (33), 111 (26), 97 (19), 83 (22), 57 (35), 43 (27). Anal. Calcd. For C30H22Cl2N4: C, 70.73; H, 4.35; N, 11.00. Found: C, 70.64; H, 4.38; N, 11.12.
7-Chloro-N-(3-(1-(4-chlorophenyl)-5-(4-methoxyphenyl)-4,5-dihydro-1H-pyrazol-3-yl)phenyl)quinolin-4-amine (36). Yellow solid; 47% yield; mp: 216–218 °C. FTIR (KBr) υ(cm−1): 3189 (NH), 3060 (=C-H), 1617 and 1594 (C=N and C=C). 1H-NMR (400 MHz, DMSO-d6) δ ppm 3.20 (dd, J = 17.6, 7.0 Hz, 1H, H-4′a), 3.71 (s, 3H, OCH3), 3.95 (dd, J = 17.6, 12.3 Hz, 1H, H-4′b), 5.43 (dd, J = 12.3, 7.0 Hz, 1H, H-5′), 6.89 (d, J = 7.0 Hz, 1H, H-3), 6.98 (d, J = 9.0 Hz, 2H, Ar-H), 7.04 (d, J = 9.0 Hz, 2H, Ar-H), 7.22 (d, J = 8.8 Hz, 2H, Ar-H), 7.35 (d, J = 8.8 Hz, 2H, Ar-H), 7.51 (d, J = 8.0 Hz, 1H, Ar-H), 7.64 (t, J = 8.0 Hz, 1H, Ar-H), 7.76 (d, J = 8.0 Hz, 1H, Ar-H), 7.85 - 7.92 (m, 2H, Ar-H and H-6), 8.14 (d, J = 2.0 Hz, 1H, H-8), 8.53 (d, J = 7.0 Hz, 1H, H-2), 8.85 (d, J = 9.0 Hz, 1H, H-5), 11.20 (br s, 1H, NH). 13C-NMR (100 MHz, DMSO-d6) δ ppm 43.4 (CH2), 55.0 (OCH3), 63.8, 100.5, 114.3, 116.1 (C), 119.6, 121.8, 122.4 (C), 124.3, 124.4, 125.9, 127.3, 128.7, 129.2, 129.6, 130.0, 134.3 (C), 137.1 (C), 138.3 (C), 138.5 (C), 139.5 (C), 140.4 (C), 140.9 (C), 143.8, 144.7 (C), 154.7 (C). MS (70 eV) m/z (%): 538 (1, M+), 419 (100), 280 (22), 243 (18), 218 (54), 126 (24), 99 (24). Anal. Calcd. For C31H24Cl2N4O: C, 69.02; H, 4.48; N, 10.39. Found: C, 69.11; H, 4.55; N, 10.41.
7-Chloro-N-(3-(1-(4-chlorophenyl)-5-(3,4,5-trimethoxyphenyl)-4,5-dihydro-1H-pyrazol-3-yl)phenyl)quinolin-4-amine (37). Yellow solid; 53% yield; mp: 200–201 °C. FTIR (KBr) υ(cm−1): 3204 (NH), 3053 (=C-H), 1615 and 1589 (C=N and C=C). 1H-NMR (400 MHz, DMSO-d6) δ ppm 3.08–3.19 (m, 1H, H-4′a), 3.71 (s, 3H, OCH3), 3.79 (s, 6H, 2 × OCH3), 3.92 (dd, J = 17.7, 12.2 Hz, 1H, H-4′b), 5.51 (dd, J = 12.2, 6.0 Hz, 1H, H-5′), 6.82–6.93 (m, 1H, H-3), 6.99 (m, 2H, Ar-H), 7.17–7.20 (m, 4H, Ar-H), 7.51 (d, J = 7.8 Hz, 1H, Ar-H), 7.57–7.72 (m, 1H, Ar-H), 7.83–7.93 (m, 3H, Ar-H), 8.15 (d, J = 9.2 Hz, 1H, H-6), 8.54 (d, J = 6.8 Hz, 1H, H-2), 8.85 (d, J = 9.2 Hz, 1H, H-5), 11.19 (br s, 1H, NH). 13C-NMR (100 MHz, DMSO-d6) δ ppm 43.5 (CH2), 56.4 (2 × OCH3), 60.5 (OCH3), 64.3, 100.0 (C), 101.0, 103.4, 114.1, 114.5, 115.1, 116.4 (C), 119.7, 122.8, 123.2 (C), 126.4, 128.1, 129.0, 129.2, 134.4 (C), 136.4 (C), 137.1 (C), 137.2 (C), 138.1 (C), 139.4 (C), 143.9, 148.1 (C), 153.8 (C), 155.5 (C). MS (70 eV) m/z (%): 598 (100, M+), 431 (59), 279 (16), 125 (39), 90 (10). Anal. Calcd. For C33H28Cl2N4O3: C, 66.11; H, 4.71; N, 9.35. Found: C, 66.15; H, 4.78; N, 9.45.
7-Chloro-N-(3-(1-(4-chlorophenyl)-5-(p-tolyl)-4,5-dihydro-1H-pyrazol-3-yl)phenyl)quinolin-4-amine (38). Yellow solid; 60% yield; mp: 207–208 °C. FTIR (KBr) υ(cm−1): 3174 (NH), 3050 (=C-H), 1618 and 1590 (C=N and C=C). 1H-NMR (400 MHz, DMSO-d6) δ ppm 2.25 (s, 3H, CH3), 3.13 (dd, J = 17.6, 6.0 Hz, 1H, H-4′a), 3.94 (dd, J = 17.6, 12.3 Hz, 1H, H-4′b), 5.52 (dd, J = 12.3, 6.0 Hz, 1H, H-5′), 6.86 (d, J = 6.9 Hz, 1H, H-3), 6.99 (d, J = 8.8 Hz, 2H, Ar-H), 7.11–7.21 (m, 6H, Ar-H), 7.50 (d, J = 7.9 Hz, 1H, Ar-H), 7.62 (t, J = 7.9 Hz, 1H, Ar-H), 7.73 (d, J = 7.9 Hz, 1H, Ar-H), 7.84–7.92 (m, 2H, Ar-H and H-6), 8.20 (s, 1H, H-8), 8.53 (d, J = 6.9 Hz, 1H, H-2), 8.91 (d, J = 9.0 Hz, 1H, H-5), 11.27 (br s, 1H, NH). 13C-NMR (100 MHz, DMSO-d6) δ ppm 20.7 (CH3), 43.0 (CH2), 63.0, 100.5, 114.5, 116.0 (C), 119.3, 122.3, 122.4 (C), 124.9, 125.5, 125.8, 126.2, 127.4, 128.7, 129.6, 130.4, 134.0 (C), 136.8 (C), 137.5 (C), 138.4 (C), 138.9 (C), 139.1 (C), 142.7 (C), 143.5, 147.2 (C), 154.9 (C). MS (70 eV) m/z (%): 522 (100, M+), 431 (24), 279 (16), 125 (30), 91 (12), 44 (14). Anal. Calcd. For C31H24Cl2N4: C, 71.13; H, 4.62; N, 10.70. Found: C, 71.18; H, 4.74; N, 10.80.

3.3. Antiproliferative Activity

The human tumor cell lines of the cancer screening panel were grown in an RPMI-1640 medium containing 5% fetal bovine serum and 2 mM l-glutamine. For a typical screening experiment, cells were inoculated into 96-well microtiter plates. After cell inoculation, the microtiter plates were incubated at 37 °C, 5% CO2, 95% air, and 100% relative humidity for 24 h prior to the addition of the tested compounds. After 24 h, two plates of each cell line were fixed in situ with TCA, to represent a measurement of the cell population for each cell line at the time of sample addition (Tz). The samples were solubilized in dimethyl sulfoxide (DMSO) at 400-fold the desired final maximum test concentration and stored frozen prior to use. At the time of compound addition, an aliquot of frozen concentrate was thawed and diluted to twice the desired final maximum test concentration with complete medium containing 50 μg/mL gentamicin. An additional four 10-fold or ½ log serial dilutions were made to provide a total of five drug concentrations plus the control. Aliquots of 100 μL of these different sample dilutions were added to the appropriate microtiter wells already containing 100 μL of medium, resulting in the required final sample concentrations [19]. After the tested compounds were added, the plates were incubated for an additional 48 h at 37 °C, 5% CO2, 95% air, and 100% relative humidity. For adherent cells, the assay was terminated by the addition of cold TCA. Cells were fixed in situ by the gentle addition of 50 μL of cold 50% (w/v) TCA (final concentration, 10% TCA) and incubated for 60 min at 4 °C. The supernatant was discarded, and plates were washed five times with tap water and air dried. Sulforhodamine B (SRB) solution (100 μL) at 0.4% (w/v) in 1% acetic acid was added to each well, and plates were incubated for 10 min at room temperature. After staining, unbound dye was removed by washing five times with 1% acetic acid and the plates were air dried. Bound stain was subsequently solubilized with 10 mM trizma base, and the absorbance was read on an automated plate reader at a wavelength of 515 nm. Using the seven absorbance measurements [time zero (Tz), control growth in the absence of drug (C), and test growth in the presence of drug at the five concentration levels (Ti)], the percentage growth was calculated at each of the drug concentrations levels. Percentage growth inhibition was calculated as: [(Ti − TZ)/(C − TZ)] × 100 for concentrations for which Ti > Tz, and [(Ti − TZ)/TZ] × 100 for concentrations for which Ti < Tz. Two dose-response parameters were calculated for each compound. Growth inhibition of 50% (GI50) was calculated from [(Ti − TZ)/(C − TZ)] × 100 = 50, which is the drug concentration resulting in a 50% lower net protein increase in the treated cells (measured by SRB staining) as compared to the net protein increase seen in the control cells and the LC50 (concentration of drug resulting in a 50% reduction in the measured protein at the end of the drug treatment as compared to that at the beginning), indicating a net loss of cells; calculated from [(Ti − TZ)/TZ] × 100 = −50). Values were calculated for each of these two parameters if the level of activity is reached; however, if the effect was not reached or was exceeded, the value for that parameter was expressed as greater or less than the maximum or minimum concentration tested [19,20,21].

3.4. Antifungal Activity

3.4.1. Microorganisms and Media

For the antifungal evaluation, strains from the American Type Culture Collection (ATCC, Rockville, MD, USA), C. albicans ATCC 10231 and C. neoformans ATCC 32264, were used. Strains were grown on Sabouraud-chloramphenicol agar slants for 48 h at 30 °C, maintained on slopes of Sabouraud-dextrose agar (SDA, Oxoid, Basingstoke Hampshire, UK), and sub-cultured every 15 days to prevent pleomorphic transformations. Inocula were obtained according to reported procedures [26] and adjusted to 1–5 × 103 cells with colony-forming units (CFU)/mL.

3.4.2. Fungal Growth Inhibition Percentage Determination

Yeast broth microdilution technique M27-A3 of CLSI [26] was performed in 96-well microplates. For the assay, compound test-wells (CTWs) were prepared with stock solutions of each compound in DMSO (maximum concentration ≤1%), diluted with RPMI-1640 to final concentrations of 250–3.9 μg/mL. An inoculum suspension (100 μL) was added to each well (final volume in the well = 200 μL). A growth control well (GCW) (containing medium, inoculum, and the same amount of DMSO used in a CTW, but compound-free) and a sterility control well (SCW) (sample, medium, and sterile water instead of inoculum) were included for each fungus tested. Microtiter trays were incubated in a moist, dark chamber at 30 °C for 48 h for both yeasts. Microplates were read in a VERSA Max microplate reader (Molecular Devices, Sunnyvale, CA, USA). Amphotericin B (Sigma-Aldrich, St. Louis, MO, USA) was used as a positive control. Tests were performed in triplicate. Reduction of growth for each compound concentration was calculated as follows: % of inhibition = 100 − (OD 405 CTW − OD 405 SCW)/(OD 405 GCW − OD 405 SCW). The means ± SD (standard deviations) were used for constructing the dose–response curves. Representing % inhibition vs. concentration of each compound. Dose–response curves were constructed with SigmaPlot 11.0 software (Systat Software Inc., San Jose, CA, USA).

3.4.3. MIC100, MIC80, and MIC50 Determinations

Three endpoints were defined from the dose–response curves. Minimum Inhibitory concentration (MIC) resulting in total fungal growth inhibition was named MIC100 while MIC80 and MIC50 were defined as the minimum concentration that inhibits 80% or 50% of the fungal growth, respectively.

3.4.4. Statistical Analysis

Comparisons of activities were statistically analyzed by applying the Student t-test. Values of p < 0.05 were considered to be significant.

4. Conclusions

In this article, we report the synthesis of a novel series of N-aryl-substituted pyrazolines under mild reaction conditions, easy work-up, short reaction times, and good yields. The antiproliferative evaluation data against 58 cancer cell lines revealed that compounds with an m-substitution in ring A and EDG (4-OCH3 and 3,4,5-tri-OCH3) in ring C exhibited the highest activity, with GI50 values lower than 1.0 µM for several of the cell lines tested (Compounds 25, 30, 31, 36, and 37). Furthermore, these compounds displayed higher cytostatic activity against several cell lines compared to the standard drug, adriamycin. Regarding the antifungal activity, compounds 1538 showed activity against C. albicans and C. neoformans with varied MIC50 values between <3.9 and 250 µg/mL. However, among the different sub-groups, the compounds in series (ii) showed better activity than those in group (i) against both fungi, These results indicate that the position of the azole moiety does play a role in the antifungal activity and that compounds with this moiety in the m-position are better antifungal candidates than those with the azole moiety in the p-position. Within the two sub-groups in series (ii), the best activity was displayed by compounds with a p-Cl moiety in the aryl ring D. It could be showed that C. neoformans had higher sensitivity to these compounds than the other fungus tested (C. albicans). Compound 36 exhibited the highest antifungal properties, becoming an interesting candidate for new antifungal studies.

Acknowledgments

The authors wish to credit the Developmental Therapeutics Program (DTP) of the National Cancer Institute of the United States for performing the screening of compounds. This work was financially supported by Colciencias and Universidad del Valle, Colombia Projects # 112-201201-00444 and PIP2015/17 # 1122015 0100524 CO. Maximiliano Sortino Marcos Derita, and Susana Zacchino acknowledge the National University of Rosario (UNR, Project BIO 381), ANPCyT (PICT N° 2014-1170), CONICET (PIP2013/15)), and for funds from Argentina. Marcos Derita and Maximiliano Sortino are members of the Researcher career of CONICET.

Author Contributions

Alba Montoya, Jairo Quiroga, Rodrigo Abonía, Maxiniliano Sortino, Marcos Derita, Alfredo Ornelas, Susana Zacchino, and Braulio Insuasty designed and accomplished the research. Also, they analyzed the data and wrote the paper together. Finally, all authors read and approved the final manuscript.

Conflicts of Interest

The authors declare no conflict of interest.

References

  1. Shaaban, M.R.; Mayhoub, A.S.; Farag, A.M. Recent advances in the therapeutic applications of pyrazolines. Expert Opin. Ther. Pat. 2012, 22, 253–291. [Google Scholar] [CrossRef] [PubMed]
  2. Marella, A.; Ali, R.; Alam, T.; Saha, R.; Tanwar, O.; Akhter, M.; Shaquiquzzaman, M.; Mumtaz Alam, M. Pyrazolines: A biological review. Mini-Rev. Med. Chem. 2013, 13, 921–931. [Google Scholar] [CrossRef] [PubMed]
  3. Sharma, S.; Kaur, S.; Bansal, T.; Gaba, J. Review on synthesis of bioactive pyrazoline derivatives. Chem. Sci. Trans. 2014, 3, 861–875. [Google Scholar]
  4. Kumar, S.; Bawa, S.; Drabu, S.; Kumar, R.; Gupta, H. Biological activities of pyrazoline derivatives—A recent development. Recent Pat. Antiinfect. Drug Discov. 2009, 4, 154–163. [Google Scholar] [CrossRef] [PubMed]
  5. Sahu, N.K.; Sharma, M.C.; Mourya, V.; Kohli, D.V. QSAR studies of some side chain modified 7-chloro-4-aminoquinolines as antimalarial agents. Arab. J. Chem. 2014, 7, 701–707. [Google Scholar] [CrossRef]
  6. Sharma, R.; Pandey, A.K.; Shivahare, R.; Srivastava, K.; Gupta, S.; Chauhan, P.M. Triazino indole–quinoline hybrid: A novel approach to antileishmanial agents. Bioorg. Med. Chem. Lett. 2014, 24, 298–301. [Google Scholar] [CrossRef] [PubMed]
  7. Casagrande, M.; Barteselli, A.; Basilico, N.; Parapini, S.; Taramelli, D.; Sparatore, A. Synthesis and antiplasmodial activity of new heteroaryl derivatives of 7-chloro-4-aminoquinoline. Bioorg. Med. Chem. 2012, 20, 5965–5979. [Google Scholar] [CrossRef] [PubMed]
  8. Rudrapal, M.; Chetia, D. Synthesis and antibacterial activity evaluation of some novel 7-chloro-4-aminoquinoline derivatives. Int. J. ChemTech Res. 2010, 2, 1606–1611. [Google Scholar]
  9. Ramírez, J.; Rodríguez, M.V.; Quiroga, J.; Abonia, R.; Sortino, M.; Zacchino, S.A.; Insuasty, B. Efficient synthesis of novel 3-aryl-5-(4-chloro-2-morpholinothiazol-5-yl)-4,5-dihydro-1H-pyrazoles and their antifungal activity alone and in combination with commercial antifungal agents. Arch. Pharm. 2014, 347, 566–575. [Google Scholar] [CrossRef] [PubMed]
  10. Ramírez, J.; Svetaz, L.; Quiroga, J.; Abonia, R.; Raimondi, M.; Zacchino, S.; Insuasty, B. Synthesis of novel thiazole-based 8, 9-dihydro-7H-pyrimido [4, 5-b][1,4] diazepines as potential antitumor and antifungal agents. Eur. J. Med. Chem. 2015, 92, 866–875. [Google Scholar] [CrossRef] [PubMed]
  11. Montoya, A.; Quiroga, J.; Abonia, R.; Nogueras, M.; Cobo, J.; Insuasty, B. Synthesis and in vitro antitumor activity of a novel series of 2-pyrazoline derivatives bearing the 4-aryloxy-7-chloroquinoline fragment. Molecules 2014, 19, 18656–18675. [Google Scholar] [CrossRef] [PubMed]
  12. Insuasty, B.; Montoya, A.; Becerra, D.; Quiroga, J.; Abonia, R.; Robledo, S.; Vélez, I.D.; Upegui, Y.; Nogueras, M.; Cobo, J. Synthesis of novel analogs of 2-pyrazoline obtained from [(7-chloroquinolin-4-yl) amino] chalcones and hydrazine as potential antitumor and antimalarial agents. Eur. J. Med. Chem. 2013, 67, 252–262. [Google Scholar] [CrossRef] [PubMed]
  13. Insuasty, B.; Ramírez, J.; Becerra, D.; Echeverry, C.; Quiroga, J.; Abonia, R.; Robledo, S.M.; Velez, I.D.; Upegui, Y.; Muñoz, J. An efficient synthesis of new caffeine-based chalcones, pyrazolines and pyrazolo[3,4-b][1,4]diazepines as potential antimalarial, antitrypanosomal and antileishmanial agents. Eur. J. Med. Chem. 2015, 93, 401–413. [Google Scholar] [CrossRef] [PubMed]
  14. Chandrasekar, K.; Shyla, J.H.; Malathi, R. Can antitumor platinum compounds be effective against Candida albicans?—A screening assay using disk diffusion method. J. Clin. Microbiol. 2000, 38, 3905. [Google Scholar] [PubMed]
  15. Watanabe, T.; Takano, M.; Ogasawara, A.; Mikami, T.; Kobayashi, T; Watabe, M.; Matsumoto, T. Anti-Candida activity of a new platinum derivative. Antimicrob. Agents Chemother. 2000, 44, 2853–2854. [Google Scholar] [CrossRef] [PubMed]
  16. Armstrong-James, D.; Meintjes, G.; Brown, G.D. A neglected epidemic: Fungal infections in HIV/AIDS. Trends Microbiol. 2014, 22, 120–127. [Google Scholar] [CrossRef] [PubMed]
  17. Abbas, A.; Hussain, S.; Hafeez, N.; Naseer, M.M. Synthesis and spectral characterization of new homologous 1,3,5-triaryl-2-pyrazolines: Influence of alkyloxy chain length on fluorescence. Spectrochim. Acta A Mol. Biomol. Spectrosc. 2014, 133, 182–189. [Google Scholar] [CrossRef] [PubMed]
  18. Hubbard, W.C.; Alley, M.C.; Gray, G.N.; Green, K.C.; McLemore, T.L.; Boyd, M.R. Evidence for prostanoid biosynthesis as a biochemical feature of certain subclasses of non-small cell carcinomas of the lung as determined in established cell lines derived from human lung tumors. Cancer Res. 1989, 49, 826–832. [Google Scholar] [PubMed]
  19. Monks, A.; Scudiero, D.; Skehan, P.; Shoemaker, R.; Paull, K.; Vistica, D.; Hose, C.; Langley, J.; Cronise, P.; Vaigro-Wolff, A. Feasibility of a high-flux anticancer drug screen using a diverse panel of cultured human tumor cell lines. J. Natl. Cancer Inst. 1991, 83, 757–766. [Google Scholar] [CrossRef] [PubMed]
  20. Weinstein, J.N.; Myers, T.G.; O′Connor, P.M.; Friend, S.H.; Fornace, A.J.; Kohn, K.W.; Fojo, T.; Bates, S.E.; Rubinstein, L.V.; Anderson, N.L. An information-intensive approach to the molecular pharmacology of cancer. Science 1997, 275, 343–349. [Google Scholar] [CrossRef] [PubMed]
  21. Grever, M.R.; Schepartz, S.A.; Chabner, B.A. The National Cancer Institute: Cancer drug discovery and development program. Semin. Oncol. 1992, 19, 622–638. [Google Scholar] [PubMed]
  22. Boyd, M.R.; Paull, K.D. Some practical considerations and applications of the National Cancer Institute in vitro anticancer drug discovery screen. Drug. Dev. Res. 1995, 34, 91–109. [Google Scholar] [CrossRef]
  23. Trpković, A.; Pekmezović, M.; Barać, A.; Radović, L.C.; Arsenijević, V.A. In vitro antifungal activities of amphotericin B, 5-fluorocytosine, fluconazole and itraconazole against Cryptococcus neoformans isolated from cerebrospinal fluid and blood from patients in Serbia. J. Mycol. Med. 2012, 22, 243–248. [Google Scholar] [CrossRef] [PubMed]
  24. Pfaller, M.A.; Messer, S.A.; Boyken, L.; Rice, C.; Tendolkar, S.; Hollis, R.J.; Doern, G.V.; Diekema, D.J. Global trends in the antifungal susceptibility of Cryptococcus neoformans (1990 to 2004). J. Clin. Microbiol. 2005, 43, 2163–2167. [Google Scholar] [CrossRef] [PubMed]
  25. Pfaller, M.; Diekema, D. Epidemiology of invasive candidiasis: A persistent public health problem. Clin. Microbiol. Rev. 2007, 20, 133–163. [Google Scholar] [CrossRef] [PubMed]
  26. CLSI. Clinical and Laboratory Standards Institute. In Reference Method for Broth Dilution Antifungal Susceptibility Testing for Yeasts M27-A3, 3rd ed.; Approved Standard; CLSI: Wayne, PA, USA, 2008; Volume 28, pp. 1–25.
  27. Dave, M.A.; Desai, N.S.; Naidu, A.V. Synthesis and biological activities of substituted 7-chloroquinoline derivatives, Part II. Asian J. Chem. 2001, 13, 465–469. [Google Scholar]
  • Sample Availability: Samples of the compounds 138 are available from the authors.
Scheme 1. Designed synthetic strategy for the preparation of the target compounds 1538. Within structures, I represents the starting material with the 7-chloro-4-aminoquinoline nucleus and II is the desired product with the 2-pyrazoline moiety.
Scheme 1. Designed synthetic strategy for the preparation of the target compounds 1538. Within structures, I represents the starting material with the 7-chloro-4-aminoquinoline nucleus and II is the desired product with the 2-pyrazoline moiety.
Molecules 21 00969 sch001
Scheme 2. General scheme for the synthesis of new N-phenyl and N-4-chlorophenylpyrazolines 1538 (methodology previously described in full in [15]).
Scheme 2. General scheme for the synthesis of new N-phenyl and N-4-chlorophenylpyrazolines 1538 (methodology previously described in full in [15]).
Molecules 21 00969 sch002
Figure 1. Structure of compound 27 showing the numbering of most carbons.
Figure 1. Structure of compound 27 showing the numbering of most carbons.
Molecules 21 00969 g001
Figure 2. % Occurrence of each MIC value = number of MICs of each conc/total MICs acting against [(A) C. albicans + C. neoformans (Ca + Cn) (24 MIC50 values were considered 100%); (B) C. albicans (12 MIC50 values were considered 100%); (C) C. neoformans (12 MIC50 values were considered 100%]; (i) includes compounds 1526 with the diaryl-azole moiety in the p-position of ring A; (ii) includes compounds 2738 with the same moiety in the m-position.
Figure 2. % Occurrence of each MIC value = number of MICs of each conc/total MICs acting against [(A) C. albicans + C. neoformans (Ca + Cn) (24 MIC50 values were considered 100%); (B) C. albicans (12 MIC50 values were considered 100%); (C) C. neoformans (12 MIC50 values were considered 100%]; (i) includes compounds 1526 with the diaryl-azole moiety in the p-position of ring A; (ii) includes compounds 2738 with the same moiety in the m-position.
Molecules 21 00969 g002
Figure 3. Comparison of MIC50 values of each compound of the (ii.2) sub-series against C. albicans or C. neoformans.
Figure 3. Comparison of MIC50 values of each compound of the (ii.2) sub-series against C. albicans or C. neoformans.
Molecules 21 00969 g003
Table 1. Synthesis of pyrazolines (1538) via cyclocondensation reactions.
Table 1. Synthesis of pyrazolines (1538) via cyclocondensation reactions.
R, R′Br, HCl, HH, HOCH3, HOCH3, OCH3CH3, H
Compound Number and Isolated Yield (%)15 (90)16 (92)17 (83)18 (77)19 (76)20 (86)
21 (80)22 (87)23 (73)24 (67)25 (63)26 (70)
27 (83)28 (81)29 (73)30 (68)31 (65)32 (72)
33 (75)34 (71)35 (61)36 (47)37 (53)38 (60)
Table 2. In vitro cytotoxic activities of compounds 25, 30, 31, 36, and 37, expressed as growth inhibition and lethal concentration of cancer cell lines and compared with the standard drug adriamycin a.
Table 2. In vitro cytotoxic activities of compounds 25, 30, 31, 36, and 37, expressed as growth inhibition and lethal concentration of cancer cell lines and compared with the standard drug adriamycin a.
Panel Cell LineCompoundsDoxorubicin (adriamycin) NSC 123127
2530313637100 µM d
GI50 b (µM)LC50 c (µM)GI50 (µM)LC50 (µM)GI50 (µM)LC50 (µM)GI50 (µM)LC50 (µM)GI50 (µM)LC50 (µM)GI50 (µM)LC50 (µM)
Leukemia
CCRF-CEM2.50>1000.55>1006.40>1001.84>1004.84>1000.08100.00
HL-60(TB)4.68>1000.28>1005.37>1004.78>1004.18>1000.1289.33
K-5620.86>1000.49>1003.75>1002.75>1000.76>1000.19100.00
MOLT-43.86>1000.43>1007.98>1003.18>1003.68>1000.03100.00
RPMI-8226--------1.2799.15.33>1004.70>1003.69>1000.08100.00
SR1.20>1001.1789.75.49>1004.29>1002.54>1000.03100.00
Non-small Cell Lung
A549/ATCC4.15>1002.00>1008.87>1004.70>1002.72>1000.06100.00
HOP-622.14>1000.95>1003.81>1002.44>1001.39>1000.0767.61
HOP-921.64>1003.93>1003.60>10010.8>1001.85>1000.1042.27
NCI-H2264.77>10011.3>10041.2>10014.2>1008.46>1000.056.40
NCI-H238.82>1008.78>10064.4>10017.5>10017.5>1000.1513.15
NCI-H322M13.2>1006.39>10053.3>10015.2>10022.2>1000.5467.76
NCI-H4603.16>1000.4247.03.27>1003.04>1000.77>1000.0251.29
NCI-H5221.85>1000.9557.03.60>1004.0980.81.57>1000.032.80
Colon Cancer
COLO 2053.28>1001.4348.515.7>1003.78>1003.13>1000.184.33
HCC-29982.09>1000.5447.35.32>1003.4180.43.14>1000.2621.68
HCT-1163.08>1001.1243.36.51>1002.2756.41.68>1000.0854.58
HCT-150.88>1000.3457.62.91>1002.30>1001.28>1006.46100.00
HT292.66>100--------------------------------0.1267.45
KM121.67>1000.23>1002.00>1000.71>1000.82>1000.2792.68
SW-6202.55>1000.2847.12.44>1000.5393.60.67>1000.0958.61
CNS Cancer
SF-2685.49>1004.19>10075.5>10015.5>1008.16>1000.1030.48
SF-2952.02>1001.6260.43.55>1005.8065.21.71>1000.1069.98
SF-5391.74>1001.159.233.08>1001.8023.01.7134.20.1227.23
SNB-194.91>1006.90>100>100>10015.9>10030.3>1000.0449.77
SNB-751.11>1003.34>1006.60>10012.5>1002.22>1000.073.30
U2512.91>100--------------------------------0.0430.62
Melanoma
LOX IMVI1.66>1000.3434.82.30>1001.3044.30.65>1000.0750.35
MALME-3M>100>10010.7>100>100>10022.7>10021.9>1000.123.97
M142.01>1000.33>1002.60>1000.7547.80.63>1000.184.05
MDA-MB-4350.33>1000.22>1001.47>1000.72>1000.80>1000.259.57
SK-MEL-22.35>1002.07>1008.78>10011.5>1004.65>1000.171.06
SK-MEL-282.66>1004.41>10010.4>1007.07>1004.54>1000.2115.92
SK-MEL-52.68>1001.4618.74.5696.63.0133.41.3718.50.080.49
UACC-2572.72>1001.36>10010.5>1006.40>1003.45>1000.148.15
UACC-621.17>1000.0554.90.87>1000.6054.00.31>1000.120.74
Ovarian Cancer
IGROV14.81>10011.6>10029.2>10018.8>1003.89>1000.17100.00
OVCAR-31.88>1003.20>1008.64>10011.0>1003.72>1000.3984.33
OVCAR-56.08>10011.8>100>100>10015.6>10013.2>1000.41100.00
OVCAR-84.19>1002.85>1007.68>1005.00>1005.36>1000.1043.25
NCI/ADR-RES1.70>1001.51>1005.97>1009.51>1003.18>1007.16100.00
SK-OV-33.26>1009.62>100>100>10015.0>10017.3>1000.22100.00
Renal Cancer
786-02.88>1003.95>1005.88>1002.94>1002.05>1000.1351.64
A4981.66>1002.87>100->1004.64>1004.65>1000.101.90
ACHN1.85>1003.50>1003.52>1004.63>1001.48>1000.08100.00
CAKI-12.12>1000.68>1002.52>1002.38>1000.69>1000.95100.00
RXF 3931.34>1008.91>1008.37>10017.5>1002.42>1000.104.69
SN12C7.56>1007.19>100>100>10013.0>1007.24>1000.0772.44
TK-105.05>1003.76>1009.57>10012.9>1003.27>1000.1886.70
UO-311.58>1000.48>1001.68>1001.87>1000.49>1000.4926.18
Prostate Cancer
PC-31.47>1000.45>1001.71>1001.18>1000.82>1000.3287.10
DU-1458.08>10014.0>100>100>10028.4>10017.1>1000.11100.00
Breast Cancer
MCF70.86>1001.52>1002.74>1003.45>1002.31>1000.0351.29
MDA-MB-231/ATCC1.93>1001.31>1004.77>1004.84>1002.97>1000.5134.75
HS 578T2.18>1006.79>1009.22>10014.7>1002.45>1000.3385.70
BT-5492.93>1007.42>10013.9>1002.67>1004.63>1000.2321.33
T-47D2.13>1000.17>1001.44>1000.70>1000.69>1000.0685.70
MDA-MB-4680.91>1002.13>10020.1>1004.45>1006.29>1000.052.52
a Data obtained from NCI’s in vitro disease-oriented human tumor cell lines screen; b GI50 was the drug concentration resulting in a 50% reduction in the net protein increase (as measured by SRB staining) in control cells during the drug incubation. Determined at five concentration levels (100, 10, 1.0, 0.1, and 0.01 µM); c LC50 a parameter of cytotoxicity and reflects the molar concentration needed to kill 50% of the cells; d The values of activity against human tumor cell lines displayed by mycin correspond to the reported by NCI at highest concentration of 10 4 M. Please visit: http://dtp.nci.nih.gov/dtpstandard/cancerscreeningdata/index.jsp. The most active compounds were highlighted in grey.
Table 3. Antifungal activity (MIC100, MIC80, MIC50 values) obtained for compounds 1538 against the fungi Candida albicans and Cryptococcus neoformans.
Table 3. Antifungal activity (MIC100, MIC80, MIC50 values) obtained for compounds 1538 against the fungi Candida albicans and Cryptococcus neoformans.
Molecules 21 00969 i001
TypeSub-TypeCompoundPosition on Ring ARFungusMIC100MIC80MIC50
ii.1154 Molecules 21 00969 i002Ca>250250250
Cn>250250125
164 Molecules 21 00969 i003Ca>250250250
Cn>250250125
174 Molecules 21 00969 i004Ca>250250250
Cn>250250125
184 Molecules 21 00969 i005Ca>250250250
Cn>250250250
194 Molecules 21 00969 i006Ca>25025062.5
Cn>250>250250
204 Molecules 21 00969 i007Ca>25012531.2
Cn>250250125
i.2214 Molecules 21 00969 i008Ca>25025062.5
Cn>250250125
224 Molecules 21 00969 i009Ca>250>250250
Cn>25025062.5
234 Molecules 21 00969 i010Ca>25062.531.2
Cn>250250250
244 Molecules 21 00969 i011Ca25025031.2
Cn>250>250>250
254 Molecules 21 00969 i012Ca25012515.6
Cn62.531.215.6
264 Molecules 21 00969 i013Ca>250>250250
Cn250125125
iiii.1273 Molecules 21 00969 i014Ca25012562.5
Cn>250>250125
283 Molecules 21 00969 i015Ca>25025062.5
Cn>250>25062.5
293 Molecules 21 00969 i016Ca>250>250125
Cn>250>250250
303 Molecules 21 00969 i017Ca250250125
Cn25025031.2
313 Molecules 21 00969 i018Ca>250>250250
Cn>250>250250
323 Molecules 21 00969 i019Ca62.562.515.6
Cn31.215.67.8
ii.2333 Molecules 21 00969 i020Ca>250>250250
Cn25025062.5
343 Molecules 21 00969 i021Ca>250>250>250
Cn>25025031.2
353 Molecules 21 00969 i022Ca>250250125
Cn>25025062.5
363 Molecules 21 00969 i023Ca62.562.515.6
Cn<3.9<3.9<3.9
373 Molecules 21 00969 i024Ca12531.231.2
Cn12562.531.2
383 Molecules 21 00969 i025Ca12512562.5
Cn12562.562.5
Amphotericin BCa1.000.500.50
Cn1.250.500.50

Share and Cite

MDPI and ACS Style

Montoya, A.; Quiroga, J.; Abonia, R.; Derita, M.; Sortino, M.; Ornelas, A.; Zacchino, S.; Insuasty, B. Hybrid Molecules Containing a 7-Chloro-4-aminoquinoline Nucleus and a Substituted 2-Pyrazoline with Antiproliferative and Antifungal Activity. Molecules 2016, 21, 969. https://doi.org/10.3390/molecules21080969

AMA Style

Montoya A, Quiroga J, Abonia R, Derita M, Sortino M, Ornelas A, Zacchino S, Insuasty B. Hybrid Molecules Containing a 7-Chloro-4-aminoquinoline Nucleus and a Substituted 2-Pyrazoline with Antiproliferative and Antifungal Activity. Molecules. 2016; 21(8):969. https://doi.org/10.3390/molecules21080969

Chicago/Turabian Style

Montoya, Alba, Jairo Quiroga, Rodrigo Abonia, Marcos Derita, Maximiliano Sortino, Alfredo Ornelas, Susana Zacchino, and Braulio Insuasty. 2016. "Hybrid Molecules Containing a 7-Chloro-4-aminoquinoline Nucleus and a Substituted 2-Pyrazoline with Antiproliferative and Antifungal Activity" Molecules 21, no. 8: 969. https://doi.org/10.3390/molecules21080969

APA Style

Montoya, A., Quiroga, J., Abonia, R., Derita, M., Sortino, M., Ornelas, A., Zacchino, S., & Insuasty, B. (2016). Hybrid Molecules Containing a 7-Chloro-4-aminoquinoline Nucleus and a Substituted 2-Pyrazoline with Antiproliferative and Antifungal Activity. Molecules, 21(8), 969. https://doi.org/10.3390/molecules21080969

Article Metrics

Back to TopTop