Abstract
A simple synthetic route affording 27%–85% yields of benzo[6,7][1,5]diazocino[2,1-a]isoindol-12(14H)-one ring systems from readily available 3-(2-oxo-2-phenylethyl) isobenzofuran-1(3H)-ones and 2-(aminomethyl)aniline starting materials in toluene and catalysed by p-toluene-sulfonic acid is developed. The 1H- and 13C-NMR spectra of the final products were assigned using a variety of one and two-dimensional NMR experiments. The distinction between the two potential isomers of the final products was made on the basis of heteronuclear multiple bond connectivity (HMBC) NMR spectra.
1. Introduction
In recent years the synthesis and chemistry of medium ring heterocycles has attracted considerable attention because they are often present in biologically active natural products and because of their broad pharmacological profile [1]. Nitrogen-containing eight-membered heterocycles such as azocines and diazocines are known to exhibit a number of important biological properties [2,3,4,5]. The general strategies towards the synthesis of eight-membered heterocycles remain an active area of research and the most common synthetic approach to construct diazocine rings involves the conventional condensation reaction of 2-aminobenzophenones. However, this method is time-consuming, and the yield varies with different substrates. Furthermore, the syntheses of 2-aminobenzophenones can be fairly complicated and expensive [6]. As a result, synthetic strategies for diazocines preparation are limited [7].
The isoindole ring system plays a key role in many pharmaceutical agents owing to their broad range of biological activities [8,9,10,11,12,13,14]. Isoindolinones are the core of many natural products and biologically active compounds such as the benzazepine alkaloids lennoxamine (1) and jamtine (2) (Figure 1). The literature shows that the occurrence of medium-sized rings with two nitrogen atoms in bio-active compounds increases the pharmaceutical strength and activities of the compounds. The [1,5]benzodiazocines are known as homologs of 1,4-benzodiazepines and inhibitors of 17β-hydroxysteroid dehydrogenase type 3. The 17β-hydroxysteroid dehydrogenases play key roles in the formation of active intracellular sex steroids [15]. Impairment of this testosterone-converting enzyme has been shown to be responsible for male pseudohermaphroditism [16], moreover, [1,5]benzodiazocine derivatives showed low to moderate ability to inhibit the 17β-hydroxysteroid dehydrogenase type 3 enzyme which can be used in the treatment of hormone-dependent cancer. Interest and research in the preparation of compounds containing eight-membered rings has increased considerably in recent years. However, the formation of these ring systems is a challenge for synthetic chemistry researchers. Due to unfavourable entropic and enthalpic effects, the ring closure to form eight-membered rings by intramolecular cyclisation reactions is often difficult in comparison to smaller sized rings. As a result, the usual synthetic strategies for the preparation of other ring systems cannot always be applied to eight-membered rings. Several conventional approaches such as intramolecular cyclization, intermolecular cyclization, palladium-catalyzed, Ugi Four-Center Three-Component coupling reaction (U-4C-3CR), use of microwave radiation, Morita–Baylis–Hillman reaction and intramolecular Friedel–Crafts strategies have been reported in the literature [17,18,19,20,21,22,23,24,25,26,27]. Despite the large number of literature reports on the conventional synthesis of diazocine skeletons, these conventional methods suffer from some drawbacks such as long reaction times, harsh reaction conditions, low-product yields, high cost, toxic by-products and use of toxic catalysts. Therefore, there is a need to introduce new and more efficient methods in order to develop the synthesis of medium-sized rings in the pharmaceutical industry. Interesting biological activities are shown by compounds containing five or six membered heterocyclic rings fused to diazocines [28,29,30,31,32,33,34]. Compound 3, a potent and orally bioavailable Smac mimetic, inhibits cell growth and induces apoptosis in cancer cells and has been shown to be a potent antagonist of inhibitor of apoptosis proteins (IAPs). It is in phase 1 clinical trials for the treatment of human cancer [35,36,37].
Figure 1.
Biologically active isoindoles and fused diazocines 1–3.
2. Results and Discussion
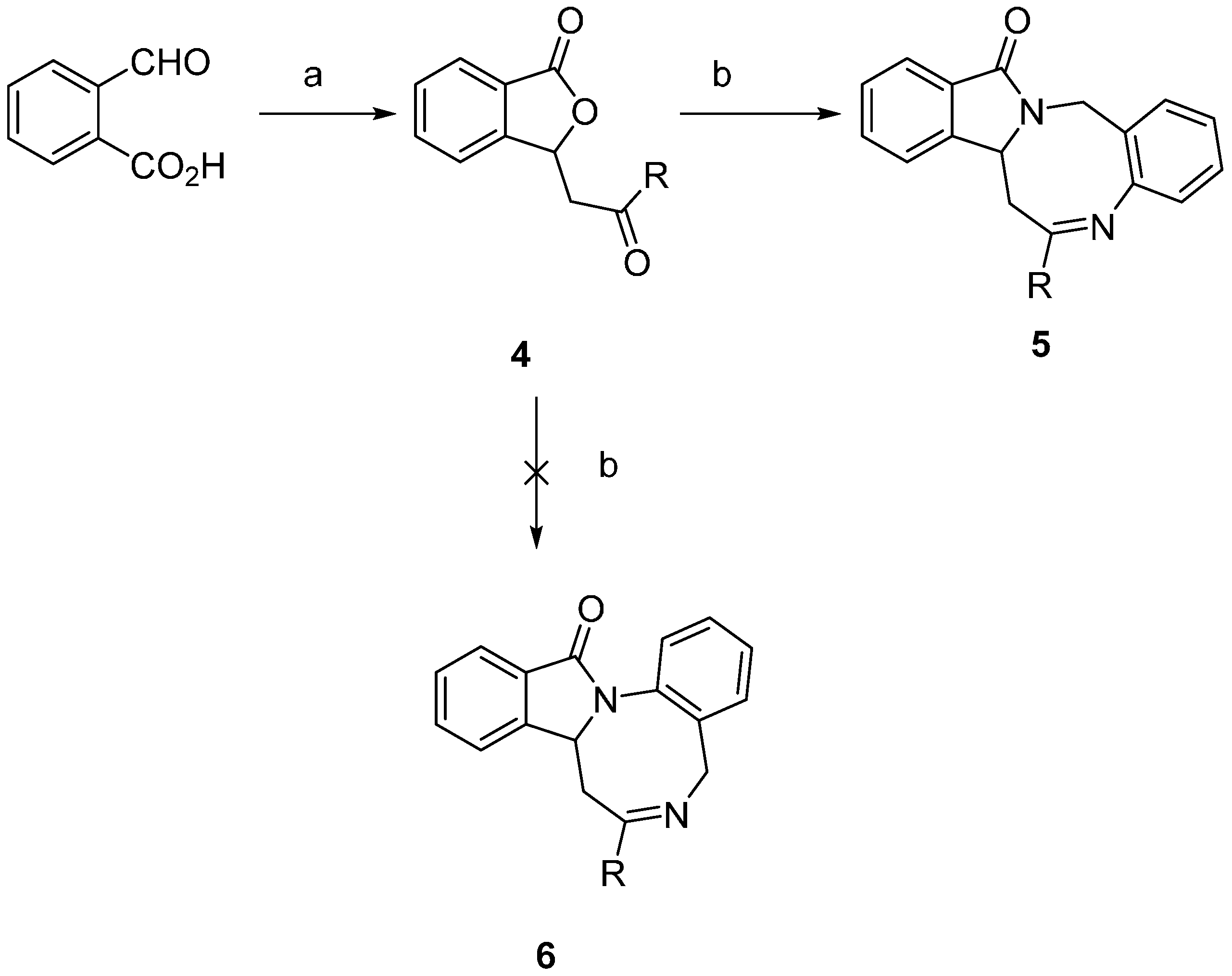
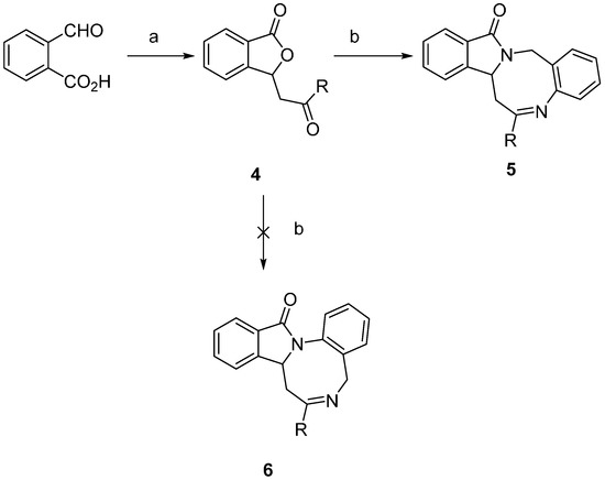
Our interest in the synthesis of heterocyclic rings fused to medium sized rings led us to envisage a straightforward synthetic approach to the benzo[6,7][1,5]diazocine[2,1-a]isoindol-12-(14H)-one ring system [38,39]. A number of 3-(2-oxo-2-phenylethyl) isobenzofuran-1(3H)-ones 4a–m were synthesized following the reported literature procedures [40,41,42,43,44,45,46,47,48,49,50,51] (Table 1).
Table 1.
Formation of isobenzofuran-1(3H)-ones 4a–4m.
All isobenzofuran-1(3H)-ones synthesized in this work, except compounds 4g and 4k, are known and their melting points and spectral characterization showed good agreement with the literature values. Compounds 4g and 4k were fully characterized by spectral data. Previous work had reported the reaction of hydrazine with a number of 3-(2-oxo-2-phenylethyl) isobenzofuran-1(3H)-ones to yield pyrazolo[5,1-a]isoindol-8-ones [52]. More recently the reaction of o-phenylenediamine with 3-(2-oxo-2-phenylethyl) isobenzofuran-1(3H)-ones has been reported to yield 7,7a-dihydro-12H-isoindolo[2,1-a][1,5]benzodiazepin-12-one derivatives [53]. We anticipated that the reaction of 3-(2-oxo-2-phenylethyl) isobenzofuran-1(3H)-ones 4 with 2-aminobenzylamine could yield either compound 5 or 6 (Scheme 1).
Scheme 1.
Synthesis of benzo[6,7][1,5]diazocine[2,1-a]isoindol-12(14H)-one 5a–5m. Reagents and conditions: (a) RCOCH3, NaOH, RT. (b) 2-aminobenzylamine, p-TsOH, toluene, reflux 24 h.
Benzo[6,7][1,5]diazocine[2,1-a]isoindol-12(14H)-one 5a–5m were prepared in a simple two-step sequence. In the first step 3-(2-oxo-2-phenylethyl) isobenzofuran-1(3H)-ones 4a–4m were prepared in moderate to good yields following a known reported literature method [47]. Reaction of 4a–4m with 2-aminobenzylamine afforded 5a–5m in moderate to good yields (27%–85%) (Table 2). We envisaged that either regioisomer 5 or 6 could form, depending upon the mechanistic pathway followed.
Table 2.
Formation of benzo[6,7][1,5]diazocine[2,1-a]isoindol-12(14H)-ones 5a–5m.
To investigate the regiochemistry of the reaction (Scheme 1), a full characterisation by NMR spectroscopy and assignment of compounds 5a, 5b, 5f and 5h were undertaken (Table 3 and Table 4). The numbering scheme is presented in Figure 2 and assignments of the proton and carbon spectra are summarized in Table 3 and Table 4, respectively.
Table 3.
Proton NMR assignments of compounds 5a, 5b, 5f and 5h (chemical shift, ppm) [a].
Table 4.
Carbon NMR assignments of compounds 5a, 5b, 5f and 5h (chemical shifts, ppm) [a].
Figure 2.
Numbering scheme of 5a for the purpose of NMR assignments.
The assignments were based on a combination of proton and carbon homo- and heteronuclear 2D NMR experiments. There is potential to form two isomers (compounds 5 and 6, Scheme 1) in the final step of the reaction and the chemical shift assignments were made to establish the structure of the products formed. Many of the long range proton-carbon correlations observed in the heteronuclear multiple bond connectivity spectra (HMBC: see supplementary material) fit either of the two isomers (Figure 3).
Figure 3.
Potential reaction products formed.
However, correlations from the methylene group protons H14 to the carbonyl group C12 are indicative of structure 5. The assignment of C12 is confirmed by the long range proton-carbon correlation between H11 and C12.
Protons H7 and H14 from the methylene groups correlate with carbon 7a. Typically, correlations spanning two to three bonds are observed in the HMBC experiment and the methylene group protons next to the nitrogen in structure 6 are too far removed from carbon atoms C7a and C12 and, therefore, highly unlikely to be observed if structure 6 were formed in the reaction. The NMR analyses fully support the conclusion that isomer 5 was formed in this reaction. Other derivatives, where no 2D-NMR data were acquired follow the proton and carbon chemical shifts patterns of the fully characterized derivatives 5a, 5b, 5f and 5h and, therefore, the same regiochemistry was inferred.
3. Materials and Methods
3.1. General Information
All chemicals were purchased form Sigma Aldrich (Dorset, UK) or Merck (Nottingham, UK) and were used without further purification. Melting points were determined using a Gallenkamp melting point apparatus (Thermo Fisher Scientific, Paisley, UK) and are uncorrected. NMR spectra (at 600 MHz for protons and 151 MHz for 13C) were recorded on a ECA 600 MHz NMR instrument (JEOL Co Ltd., Tokyo, Japan) equipped with a 5 mm gradient broadband probe. Tetramethylsilane was used as internal standard and solvents as indicated. Chemical shifts were measured in ppm (δ) relative to TMS (0.00 ppm) or the residual solvent peaks. Coupling constants (J) are reported in Hertz (Hz). LC-MS spectra were obtained with a spectrometer equipped with an ESI source (Varian: 210 LC pumps × 2, 1200 L Quadrapole MS/MS, 410 autosampler) (Varian (now Agilent), Oxford, UK) using a gradient solvent system of A: Water/0.1% formic acid and B: acetonitrile/0.1% formic acid. Infrared spectra were recorded with a Varian 800 FT-IR spectrophotometer (Varian).
3.2. General Procedure for the Synthesis of 3-(2-Oxo-2-phenylethyl)isobenzofuran-1(3H)-ones 4a–4m
To a stirred solution of 2-carboxybenzaldehyde (15.0 g; 0.1 mol) dissolved in ethanol (50 mL) in a 1 L three-necked round bottom flask was added the relevant acetophenone (0.1 mol). The flask was immersed in a bath of crushed ice. Sodium hydroxide (75 mL, 1.75 M) was added dropwise and the mixture was stirred mechanically for 4 h. The resulting mixture was neutralized with dilute hydrochloric acid. Diethyl ether (approximately 50 mL) was added to precipitate the product. The crude product was filtered, washed with a small volume of distilled water and recrystallized from dichloromethane and ethanol.
3-(2-Oxo-2-phenylethyl)isobenzofuran-1(3H)-one (4a). White powder, yield 74%, m.p. 142–144 °C (lit. 146–147 °C [42]). IR (KBr) cm−1 1685 (C=O), 1742 (C=O). 1H-NMR (CDCl3): δ (ppm) 7.91 (d, J = 7.6 Hz, 1H), 7.68 (t, J = 7.6 Hz, 1H), 7.49–7.62 (m, 4H), 7.44 (d, J = 1.4 Hz, 1H), 7.29–7.40 (m, 1H), 6.10 (t, J = 6.5 Hz, 1H), 3.64 (dd, J = 17.2, 6.9 Hz, 1H), 3.46 (dd, J = 17.9, 6.2 Hz, 1H). 13C-NMR (CDCl3) δ 195.74 (C=O), 169.87 (C=O), 149.47, 135.91, 134.04, 133.60, 129.17, 128.56, 127.91, 125.61, 125.42, 122.53, 76.80, 43.38. MS (ESI, m/z) 251.05 [M]+.
3-(2-(4-Chlorophenyl)-2-oxoethyl)isobenzofuran-1(3H)-one (4b). White powder, yield 65%, m.p. 139–141 °C (lit. 146 °C [48]). IR (KBr) cm−1 1691 (C=O), 1742 (C=O). 1H-NMR (CDCl3): δ (ppm) 7.82–8.01 (m, 3H), 7.66 (t, J = 7.3 Hz, 1H), 7.54 (t, J = 6.9 Hz, 2H), 7.45 (d, J = 8.3 Hz, 2H), 6.15 (t, J = 6.9 Hz, 1H), 3.72 (dd, J = 17.4, 5.5 Hz, 1H), 3.36 (dd, J = 17.4, 6.4 Hz, 1H). 13C-NMR (CDCl3) δ 194.80 (C=O), 169.99 (C=O), 149.52, 140.46, 134.48, 134.31, 129.57, 129.53, 129.19, 125.89, 125.82, 122.70, 76.79, 43.66. MS (ESI m/z) 285.0 [M]+.
3-(2-(3-Chlorophenyl)-2-oxoethyl)isobenzofuran-1(3H)-one (4c). White powder, yield 76%, m.p. 126–127 °C (lit. 142–144 °C [51]). IR (KBr) cm−1 1691 (C=O), 1747 (C=O). 1H-NMR (CDCl3): δ (ppm) 7.84–7.97 (m, 1H), 7.59–7.75 (m, 4H), 7.51–7.59 (m, 2H), 7.46 (td, J = 8.0, 5.0 Hz, 1H), 7.27–7.35 (m, 1H), 6.15 (t, J = 6.4 Hz, 1H), 3.73 (dd, J = 17.4, 6.0 Hz, 1H), 3.33–3.45 (m, 1H). 13C-NMR (CDCl3) δ 194.76 (C=O), 169.95 (C=O), 149.44, 137.63, 135.25, 134.31, 133.78, 130.18, 129.54, 128.23, 126.25, 125.83, 122.66, 76.79, 43.79. MS (ESI m/z) 285.0 [M]+.
3-(2-(2-Chlorophenyl)-2-oxoethyl)isobenzofuran-1(3H)-one (4d). White powder, yield 79%, m.p. 95–96 °C (lit. 91–92 °C [47]). IR (KBr) cm−1 1678 (C=O), 1735 (C=O). 1H-NMR (CDCl3): δ (ppm) 7.85–7.95 (m, 1H), 7.62–7.74 (m, 1H), 7.48–7.62 (m, 3H), 7.38–7.48 (m, 2H), 7.29–7.38 (m, 1H), 6.07–6.17 (m, 1H), 3.59–3.77 (m, 1H), 3.44–3.58 (m, 1H). 13C-NMR (CDCl3) δ 198.52 (C=O), 169.95 (C=O), 149.27, 137.93, 134.30, 132.65, 131.31, 30.77, 129.64, 129.49, 127.21, 125.90, 125.82, 122.45, 76.79, 47.74. MS (ESI m/z) 286.9 [M]+.
3-(2-(4-Bromophenyl)-2-oxoethyl)isobenzofuran-1(3H)-one (4e). White powder, yield 45%, m.p. 144–146 °C (lit. 147–149 °C [42]). IR (KBr) cm−1 1679 (C=O), 1740 (C=O). 1H-NMR (CDCl3): δ (ppm) 7.86–7.98 (m, 1H), 7.74–7.86 (m, 2H), 7.58–7.73 (m, 3H), 7.47–7.58 (m, 2H), 6.14 (t, J = 6.5 Hz, 1H), 3.71 (ddd, J = 17.7, 6.0, 1.4 Hz, 1H), 3.35 (ddd, J = 17.5, 7.0, 1.4 Hz, 1H). 13C-NMR (CDCl3) δ 195.00 (C=O), 169.98 (C=O), 149.51, 134.88, 134.31, 132.19, 129.64, 129.53, 129.22, 125.89, 125.83, 122.69, 76.79, 43.63. MS (ESI m/z) 331.1 [M]+.
3-(2-(3-Bromophenyl)-2-oxoethyl)isobenzofuran-1(3H)-one (4f). White crystals, yield 75%, m.p. 127–129 °C (lit. 124–127 °C [52]). IR (KBr) cm−1 1688 (C=O), 1729 (C=O). 1H-NMR (CDCl3): δ (ppm) 8.08 (t, J = 1.8 Hz, 1H), 7.89–7.96 (m, 1H), 7.79–7.89 (m, 1H), 7.69–7.79 (m, 1H), 7.60–7.69 (m, 1H), 7.48–7.60 (m, 2H), 7.30–7.45 (m, 1H), 6.15 (t, J = 6.4 Hz, 1H), 3.68–3.80 (m, 1H), 3.37 (dd, J = 17.7, 7.1 Hz, 1H). 13C-NMR (CDCl3) δ 194.68 (C=O), 169.95 (C=O), 149.45, 137.82, 136.71, 134.32, 131.20, 130.42, 129.55, 126.70, 125.89, 125.84, 123.23, 122.67, 76.79, 43.77. MS (ESI m/z) 332.8 [M]+.
3-(2-(2-Bromophenyl)-2-oxoethyl)isobenzofuran-1(3H)-one (4g). White powder, yield 67%, m.p. 107–108 °C. IR (KBr) cm−1 1684 (C=O), 1749 (C=O). 1H-NMR (CDCl3): δ (ppm) 7.78–7.97 (m, 1H), 7.63–7.78 (m, 1H), 7.49–7.63 (m, 3H), 7.42–7.49 (m, 1H), 7.34–7.42 (m, 1H), 7.31 (td, J = 7.8, 1.8 Hz, 1H), 6.03–6.17 (m, 1H), 3.61 (dd, J = 17.7, 6.6 Hz, 1H), 3.41–3.54 (m, 1H). 13C-NMR (CDCl3) δ 199.38 (C=O), 169.88 (C=O), 149.14, 140.13, 134.27, 133.90, 132.37, 129.47, 129.11, 127.65, 125.81, 125.73, 122.47, 118.87, 76.78, 47.25. MS (ESI m/z) 329.0 [M]+. Anal. Calcd. For: C16H11BrO3: C, 58.03; H, 3.35%. Found: C, 57.85; H, 3.59%.
3-(2-(4-Fluorophenyl)-2-oxoethyl)isobenzofuran-1(3H)-one (4h). White powder, yield 81%, m.p. 135–136 °C (lit. 130–133 °C [52]). IR (KBr) cm−1 1680 (C=O), 1745 (C=O). 1H-NMR (CDCl3): δ (ppm) 7.94–8.06 (m, 2H), 7.91 (dd, J = 7.6, 1.1 Hz, 1H), 7.60–7.72 (m, 1H), 7.50–7.60 (m, 2H), 7.12–7.23 (m, 2H), 6.15 (t, J = 6.5 Hz, 1H), 3.73 (dd, J = 17.5, 5.8 Hz, 1H), 3.36 (dd, J = 17.7, 7.1 Hz, 1H). 13C-NMR (CDCl3) δ 194.40 (C=O), 170.03 (C=O), 167.01, 149.59, 134.30, 132.65, 130.93, 130.86, 129.50, 125.89, 125.80, 122.74, 116.10, 115.95, 76.79, 43.60. MS (ESI m/z) 268.3 [M]+.
3-(2-(3-Fluorophenyl)-2-oxoethyl)isobenzofuran-1(3H)-one (4i). White powder, yield 62%, m.p. 116–117 °C (lit. 114 °C [47]). IR (KBr) cm−1 1684 (C=O), 1744 (C=O). 1H-NMR (CDCl3): δ (ppm) 7.86–8.02 (m, 2H), 7.61–7.74 (m, 1H), 7.49–7.61 (m, 3H), 7.20–7.34 (m, 1H), 7.10–7.20 (m, 1H), 6.12–6.22 (m, 1H), 3.66–3.81 (m, 1H), 3.45 (dd, J = 6.4, 3.2 Hz, 1H). 13C-NMR (CDCl3) δ 193.92 (C=O), 170.11 (C=O), 163.04, 161.34, 149.62, 135.50, 134.23, 130.68, 129.40, 126.00, 125.78, 124.74, 122.60, 116.20, 76.79, 48.44. MS (ESI m/z) 268.8 [M]+.
3-(2-Oxo-2-(m-tolyl)ethyl)isobenzofuran-1(3H)-one (4j). White powder, yield 56%, m.p. 108–109 °C (lit. 104–105 °C [47]). IR (KBr) cm−1 1676 (C=O), 1768 (C=O). 1H-NMR (CDCl3): δ (ppm) 7.85–7.96 (m, 1H), 7.69–7.82 (m, 2H), 7.60–7.69 (m, 1H), 7.47–7.60 (m, 2H), 7.31–7.47 (m, 2H), 6.17 (dd, J = 7.6, 5.7 Hz, 1H), 3.76 (dd, J = 17.7, 5.7 Hz, 1H), 3.32–3.44 (m, 1H), 2.40 (s, 3H). 13C-NMR (CDCl3) δ 196.23 (C=O), 170.13(C=O), 149.81, 138.71, 136.22, 134.63, 134.24, 129.40, 128.69, 128.66, 125.74, 125.39, 122.83, 76.79, 43.76, 21.32. MS (ESI m/z): 265.1 [M]+.
3-(2-Oxo-2-(o-tolyl)ethyl)isobenzofuran-1(3H)-one (4k). White powder, yield 63%, m.p. 102–103 °C. IR (KBr) cm−1 1688 (C=O), 1740 (C=O). 1H-NMR (CDCl3): δ (ppm) 7.88–7.99 (m, 1H), 7.75–7.88 (m, 2H), 7.60–7.74 (m, 1H), 7.48–7.60 (m, 2H), 7.21–7.33 (m, 2H), 6.10–6.22 (m, 1H), 3.75 (dd, J = 17.5, 5.6 Hz, 1H), 3.35 (dd, J = 17.5, 7.5 Hz, 1H), 2.41 (s, 3H). 13C-NMR (CDCl3) δ 199.24 (C=O), 170.10 (C=O), 149.71, 139.00, 136.45, 134.24, 132.33, 132.21, 129.41, 128.97, 125.96, 125.91, 125.80, 122.58, 76.79, 46.15, 21.63. MS (ESI m/z) 264.6 [M]+. Anal. Calcd. For: C17H14O3: C, 76.68; H, 5.30%. Found: C, 76.53; H, 5.22%.
3-(2-(3-Methoxyphenyl)-2-oxethyl)isobenzofuran-1(3H)-one (4l). White powder, yield 68%, m.p. 110–111 °C (lit. 134–135 °C [42]). IR (KBr) cm−1 1676 (C=O), 1768 (C=O). 1H-NMR (CDCl3): δ (ppm) 7.91 (dd, J = 7.7, 1.0 Hz, 1H), 7.60–7.80 (m, 1H), 7.48–7.60 (m, 4H), 7.30–7.44 (m, 1H), 7.13 (dd, J = 8.3, 2.5, Hz, 1H), 6.14–6.22 (m, 1H), 3.85–4.02 (m, 3H), 3.73–3.79 (m, 1H), 3.35–3.44 (m, 1H). 13C-NMR (CDCl3) δ 196.23 (C=O), 170.13(C=O), 149.81, 138.71, 136.22, 134.63, 134.24, 129.40, 128.69, 128.66, 125.74, 125.39, 122.83, 76.79, 43.76, 21.32. MS (ESI m/z) 265.1 [M]+.
3-(2-Oxo-2-(thiophen-2-yl)ethyl)isobenzofuran-1(3H)-one (4m). White powder, yield 54%, m.p. 125–127 °C (lit. 125–127 °C) [49]. IR (KBr) cm−1 1645 (C=O), 1767 (C=O). 1H-NMR (CDCl3): δ (ppm) 7.90 (d, J = 7.6 Hz, 1H), 7.73–7.84 (m, 1H), 7.58–7.73 (m, 2H), 7.48–7.58 (m, 1H), 7.32–7.48 (m, 1H), 7.19–7.32 (m, 1H), 7.02–7.19 (m, 1H), 6.11 (t, J = 6.5 Hz, 1H), 3.60–3.79 (m, 1H), 3.38–3.57 (m, 1H). 13C-NMR (CDCl3) δ 188.73 (C=O), 170.18 (C=O), 149.50, 143.44, 134.99, 134.46, 133.07, 129.61, 128.57, 125.84, 122.80, 44.18. MS (ESI m/z) 256.8 [M]+.
3.3. General Procedure for the Synthesis of Benzo[6,7][1,5]diazocino[2,1-a]isoindol-12(14H)-ones 5a–5m
3-(2-Oxo-2-phenylethyl)isobenzofuran-1(3H)-ones 4a–4m (4.0 × 10−3 mol) were added to 2-aminobenzylamine (8.0 × 10−3 mol) dissolved in toluene (40 mL). To the mixture was added p-toluenesulfonic acid monohydrate (70 mg; 3.5 × 10−4 mol) as a catalyst. The mixture was refluxed with stirring for 24 h and the reaction monitored using TLC. The solution was left to cool to room temperature and the excess solvent was removed on a rotary evaporator. The resulting solid was filtered, dried and recrystallized from ethanol.
(E)-6-Phenyl-7,7a-dihydrobenzo[6,7][1,5]diazocino[2,1-a]isoindol-12(14H)-one (5a). Light yellow crystals, yield 74%, m.p. 203–204 °C. IR (KBr) cm−1 1700 (C=O), 1623 (C=N). 1H-NMR (CDCl3): δ (ppm) 8.12–8.21 (m, 2H), 7.83 (d, J = 7.2 Hz, 1H), 7.76 (dd, J = 7.7, 1.5 Hz, 1H), 7.51–7.64 (m, 4H), 7.37–7.51 (m, 2H), 7.22–7.33 (m, 1H), 7.07–7.16 (m, 1H), 7.01 (dd, J = 7.7, 1.2 Hz, 1H), 5.25–5.34 (m, 1H), 4.53 (d, J = 10.7 Hz, 1H), 3.60–3.74 (m, 2H), 2.25–2.35 (m, 1H). 13C-NMR (CDCl3) δ 167.16, 165.68, 148.78, 143.90, 137.18, 132.62, 131.78, 131.64, 131.42, 129.13, 129.00, 128.84, 128.80, 127.80, 127.74, 126.16, 125.09, 123.99, 121.91, 121.14, 56.11, 42.02, 36.28. MS (ESI m/z) 339.3 [M]+. Anal. Calcd. For: C23H18N2O: C, 81.63; H, 5.36; N, 8.28%. Found: C, 81.55; H, 5.66; N, 8.21%.
(E)-6-(4-Chlorophenyl)-7,7a-dihydrobenzo[6,7][1,5]diazocino[2,1-a]isoindol-12(14H)-one (5b). Light yellow crystals, yield 75%, m.p. 198–199 °C. IR (KBr) cm−1 1695 (C=O), 1653 (C=N). 1H-NMR (CDCl3): δ (ppm) 8.10 (d, J = 8.3 Hz, 2H), 7.78–7.88 (m, 1H), 7.65–7.78 (m, 1H), 7.50–7.64 (m, 4H), 7.46 (ddd, J = 7.8, 6.0, 2.3 Hz, 1H), 7.22–7.34 (m, 1H), 7.07–7.17 (m, 1H), 6.96–7.05 (m, 1H), 5.29 (d, J = 14.7 Hz, 1H), 4.50 (d, J = 10.5 Hz, 1H), 3.64 (d, J = 14.2 Hz, 1H), 3.57 (d, J = 13.3 Hz, 1H), 2.28 (dd, J = 13.8, 11.0 Hz, 1H). 13C-NMR (CDCl3) δ 167.13, 164.43, 148.50, 143.69, 137.76, 135.58, 132.59, 131.85, 131.68, 129.40, 129.34, 129.08, 129.04, 128.94, 128.84, 126.08, 125.28, 124.07, 121.84, 121.14, 56.30, 42.00, 36.19. MS (ESI m/z) 373.2 [M]+. Anal. Calcd. For: C23H17ClN2O: C, 74.09; H, 4.60; N, 7.51%. Found: C, 73.85; H, 4.50; N, 7.45%.
(E)-6-(3-Chlorophenyl)-7,7a-dihydrobenzo[6,7][1,5]diazocino[2,1-a]isoindol-12(14H)-one (5c). Light yellow crystals, 73%, m.p. 107–108 °C. IR (KBr) cm−1 1699 (C=O), 1653 (C=N). 1H-NMR (CDCl3): δ (ppm) 8.18 (t, J = 2.1 Hz, 1H), 8.00 (dt, J = 7.8, 1.4 Hz, 1H), 7.81 (d, J = 7.6 Hz, 1H), 7.74 (dd, J = 7.7, 1.5 Hz, 1H), 7.43–7.62 (m, 5H), 7.22–7.35 (m, 1H), 7.13 (td, J = 7.6, 1.4 Hz, 1H), 7.00 (dd, J = 7.9, 1.4 Hz, 1H), 5.30 (d, J = 14.4 Hz, 1H), 4.51 (d, J = 10.7 Hz, 1H), 3.65 (d, J = 14.4 Hz, 1H), 3.57 (dd, J = 13.7, 1.4 Hz, 1H), 2.28 (dd, J = 13.6, 10.8 Hz, 1H). 13C-NMR (CDCl3) δ 167.03, 164.24, 148.26, 143.57, 138.90, 135.35, 132.47, 131.77, 131.59, 131.27, 130.20, 128.85, 128.77, 127.95, 125.93, 125.56, 125.29, 123.97, 121.80, 121.00, 56.13, 41.89, 36.23. MS (ESI m/z) 373.2 [M]+. Anal. Calcd. For: C23H17ClN2O: C, 74.09; H, 4.60; N, 7.51%. Found: C, 74.20; H, 4.55; N, 7.50%.
(E)-6-(2-Chlorophenyl)-7,7a-dihydrobenzo[6,7][1,5]diazocino[2,1-a]isoindol-12(14H)-one (5d). Light brown crystals, yield 73%, m.p. 191–192 °C. IR (KBr) cm−1 1685 (C=O), 1552 (C=N). 1H-NMR (CDCl3,): δ (ppm) 7.74–7.87 (m, 1H), 7.31–7.50 (m, 5H), 7.18–7.31 (m, 2H), 6.99–7.18 (m, 2H), 6.56–6.74 (m, 2H), 4.98–5.15 (m, 2H), 4.37 (d, J = 15.1 Hz, 1H), 3.75 (dd, J = 17.5, 3.8 Hz, 1H), 3.23 (dd, J = 17.4, 8.1 Hz, 1H). 13C-NMR (CDCl3) δ 168.49, 167.14, 147.49, 143.58, 139.17, 132.35, 131.77, 131.60, 131.53, 130.83, 130.71, 130.19, 128.77, 128.65, 127.34, 126.00, 125.50, 123.76, 122.03, 121.20, 55.05, 41.81, 40.23. MS (ESI m/z) 373.2 [M]+. Anal. Calcd. For: C23H17ClN2O: C, 74.09; H, 4.60; N, 7.51%. Found: C, 74.00; H, 4.55; N, 7.50%.
(E)-6-(4-Bromophenyl)-7,7a-dihydrobenzo[6,7][1,5]diazocino[2,1-a]isoindol-12(14H)-one (5e). Light yellow crystals, yield 85%, m.p. 196–197 °C. IR (KBr) cm−1 1691 (C=O), 1662 (C=N). 1H-NMR (CDCl3): δ (ppm) 7.68–7.88 (m, 2H), 7.51–7.68 (m, 2H), 7.33–7.51 (m, 4H), 7.20–7.33 (m, 2H), 7.14 (td, J = 7.6, 1.4 Hz, 1H), 7.03 (dd, J = 7.9, 1.4 Hz, 1H), 5.38 (d, J = 14.8 Hz, 1H), 4.46 (d, J = 10.7 Hz, 1H), 4.02 (d, J = 14.4 Hz, 1H), 3.51 (dd, J = 13.2, 1.5 Hz, 1H), 2.35 (dd, J = 13.2, 11.2 Hz, 1H). 13C-NMR (CDCl3) δ 167.05, 164.48, 148.39, 143.58, 135.93, 134.33, 132.47, 132.23, 132.04, 131.76, 131.58, 129.46, 129.14, 128.85, 128.76, 127.49, 125.20, 121.75, 121.56, 121.01, 56.19, 41.90, 36.05. MS (ESI m/z) 417.1[M]+. Anal. Calcd. For: C23H17BrN2O: C, 66.20; H, 4.11; N, 6.71%. Found: C, 66.22; H, 4.11; N, 6.70%.
(E)-6-(3-Bromophenyl)-7,7a-dihydrobenzo[6,7][1,5]diazocino[2,1-a]isoindol-12(14H)-one (5f). White crystals, yield 72%, m.p. 219–220 °C. IR (KBr) cm−1 1698 (C=O), 1625 (C=N). 1H-NMR (CDCl3): δ (ppm) 8.34 (t, J = 1.8 Hz, 1H), 8.01–8.10 (m, 1H), 7.81 (d, J = 7.3 Hz, 1H), 7.66–7.78 (m, 2H), 7.52–7.65 (m, 2H), 7.37–7.52 (m, 2H), 7.22–7.35 (m, 1H), 7.10–7.18 (m, 1H), 6.98–7.09 (m, 1H), 5.29 (d, J = 14.7 Hz, 1H), 4.51 (d, J = 10.5 Hz, 1H), 3.65 (d, J = 14.7 Hz, 1H), 3.56 (d, J = 13.8 Hz, 1H), 2.28 (dd, J = 13.8, 11.0 Hz, 1H). 13C-NMR (CDCl3) δ 167.12, 164.23, 148.35, 143.66, 139.20, 134.29, 132.57, 131.88, 131.69, 131.02, 130.54, 128.96, 128.87, 126.09, 125.95, 125.40, 124.06, 123.57, 121.89, 121.11, 56.22, 41.99, 36.30. MS (ESI m/z) 417.1 [M]+. Anal. Calcd. For: C23H17BrN2O: C, 66.20; H, 4.11; N, 6.71%. Found: C, 66.15; H, 4.10; N, 6.65%.
(E)-6-(2-Bromophenyl)-7,7a-dihydrobenz[6,7][1,5]diazocino[2,1-a]isoindol-12(14H)-one (5g). Colourless needles, yield 27%, m.p. 137–138 °C. IR (KBr) cm−1 1683 (C=O), 1653 (C=N). 1H-NMR (CDCl3): δ (ppm) 7.78–7.85 (m, 1H), 7.53–7.63 (m, 1H), 7.36–7.52 (m, 3H), 7.20–7.34 (m, 2H), 7.06–7.20 (m, 3H), 6.59–6.70 (m, 2H), 5.00–5.12 (m, 2H), 4.38 (d, J = 15.5 Hz, 1H), 3.74 (dd, J = 17.7, 3.6 Hz, 1H), 3.22 (dd, J = 17.5, 7.9 Hz, 1H). 13C-NMR (CDCl3) δ 168.75, 145.90, 145.47, 140.60, 133.83, 132.12, 131.92, 131.31 130.95, 129.54, 128.71, 128.50, 127.52, 123.79, 122.92, 119.63, 117.21, 115.75, 55.88, 44.71, 42.10. MS (ESI m/z) 419.1 [M]+. Anal. Calcd. For: C23H17BrN2O: C, 66.20; H, 4.11; N, 6.71%. Found: C, 66.15; H, 4.05; N, 6.58%.
(E)-6-(4-Fluorophenyl)-7,7a-dihydrobenzo[6,7][1,5]diazocino[2,1-a]isoindol-12(14H)-one (5h). Colourless needles, yield 72%, m.p. 136–137 °C. IR (KBr) cm−1 1696 (C=O), 1662 (C=N). 1H-NMR (CDCl3): δ (ppm) 8.17 (dd, J = 8.9, 5.3 Hz, 2H), 7.81 (d, J = 7.8 Hz, 1H), 7.66–7.78 (m, 1H), 7.52–7.66 (m, 2H), 7.37–7.52 (m, 1H), 7.22–7.37 (m, 3H), 7.05–7.17 (m, 1H), 6.97–7.05 (m, 1H), 5.29 (d, J = 14.2 Hz, 1H), 4.51 (d, J = 10.5 Hz, 1H), 3.66 (d, J = 14.2 Hz, 1H), 3.58 (d, J = 13.8 Hz, 1H), 2.29 (dd, J = 13.5, 10.8 Hz, 1H). 13C-NMR (CDCl3) δ 167.13, 164.80, 164.35, 148.58, 143.75, 133.38, 132.60, 131.782, 131.66, 129.92, 129.86, 128.92, 128.83, 126.14, 125.19, 124.06, 121.84, 121.19, 116.23, 116.09, 56.33, 42.01, 36.24. MS (ESI m/z) 557.3 [M]+. Anal. Calcd. For: C23H17FN2O: C, 77.51; H, 4.81; N, 7.86%. Found: C, 77.34; H, 4.85; N, 7.76%.
(E)-6-(3-Fluorophenyl)-7,7a-dihydrobenzo[6,7][1,5]diazocino[2,1-a]isoindol-12(14H)-one (5i). Colourless crystals, yield 55%, m.p. 187–189 °C. IR (KBr) cm−1 1701 (C=O), 1620 (C=N). 1H-NMR (CDCl3): δ (ppm) 8.12–8.20 (m, 2H), 7.81 (d, J = 7.2 Hz, 1H), 7.66–7.78 (m, 1H), 7.51–7.63 (m, 4H), 7.41–7.51 (m, 1H), 7.23–7.33 (m, 1H), 7.07–7.16 (m, 1H), 6.97–7.05 (m, 1H), 5.29 (d, J = 14.4 Hz, 1H), 4.53 (d, J = 11.0 Hz, 1H), 3.60–3.74 (m, 2H), 2.28 (dd, J = 13.6, 10.8 Hz, 1H). 13C-NMR (CDCl3) δ 168.78, 163.25, 167.15, 162.80, 147.68, 146.09, 145.87, 143.98, 131.87, 135.21, 131.69, 131.36, 130.90, 129.41, 128.35, 123.74, 122.91, 117.38, 115.69, 55.59, 45.80, 41.91. MS (ESI m/z) 357.3 [M]+. Anal. Calcd. For: C23H17FN2O: C, 77.51; H, 4.81; N, 7.86%. Found: C, 77.45; H, 4.75; N, 7.75%.
(E)-6-(m-Tolyl)-7,7a-dihydrobenzo[6,7][1,5]diazocino[2,1-a]isoindol-12(14H)-one (5j). Colourless crystals, yield 68%, m.p. 150–151 °C. IR (KBr) cm−1 1706 (C=O), 1680 (C=N); 1H-NMR (CDCl3): δ (ppm) 7.89 (d, J = 7.6 Hz, 2H), 7.52–7.70 (m, 3H), 7.09–7.21 (m, 2H), 6.93 (td, J = 7.5, 1.2 Hz, 1H), 6.80 (d, J = 7.9 Hz, 2H), 5.51 (d, J = 4.1 Hz, 1H), 5.21 (d, J = 17.2 Hz, 1H), 4.57 (d, J = 16.8 Hz, 1H), 4.12–4.30 (m, 1H), 3.48 (s, 2H), 0.95–1.13 (m, 1H). 13C-NMR (CDCl3) δ 166.38, 149.79, 148.69, 143.84, 132.14, 131.85, 131.51, 128.83, 128.70, 128.42, 126.07, 125.73, 125.39, 124.96, 124.64, 124.13, 123.88, 122.81, 121.14, 55.59, 45.80, 41.91, 21.31. MS (ESI m/z) 353.3 [M]+. Anal. Calcd. For: C24H20N2O: C, 81.79; H, 5.72; N, 7.95%. Found: C, 81.54; H, 5.53; N, 7.68%.
(E)-6-(o-Tolyl)-7,7a-dihydrobenzo[6,7][1,5]diazocino[2,1-a]isoindol-12(14H)-one (5k). Light yellow crystals, yield 40%, m.p. 155–156 °C. IR (KBr) cm−1 1687 (C=O), 1298 (C-O), 1623 (C=N). 1H-NMR (CDCl3): δ (ppm) 8.05 (d, J = 8.2 Hz, 2H), 7.77–7.88 (m, 2H), 7.73 (dd, J = 7.6, 1.7 Hz, 1H), 7.50–7.61 (m, 1H), 7.40–7.50 (m, 2H), 7.36 (d, J = 8.2 Hz, 1H), 7.21–7.32 (m, 1H), 7.10 (td, J = 7.6, 1.4 Hz, 1H), 7.00 (dd, J = 7.7, 1.2 Hz, 1H), 5.27 (d, J = 14.4 Hz, 1H), 4.52 (d, J = 10.7 Hz, 1H), 3.68 (d, J = 14.4 Hz, 1H), 3.61 (dd, J = 13.7, 1.4 Hz, 1H), 2.43–2.54 (m, 3H), 2.26 (dd, J = 13.6, 10.8 Hz, 1H). 13C-NMR (CDCl3) δ 167.08, 165.44, 148.78, 143.86, 141.81, 134.22, 131.66, 131.50, 129.72, 129.38, 128.67, 128.27, 127.63, 126.14, 125.71, 124.85, 123.87, 122.84, 121.80, 121.17, 56.44, 41.92, 36.06, 21.43. MS (ESI m/z) 353.3. Anal. Calcd. For: C24H20N2O: C, 81.79; H, 5.72; N, 7.95%. Found: C, 81.50; H, 5.58; N, 7.90%.
(E)-6-(3-Methoxyphenyl)-7,7a-dihydrobenzo[6,7][1,5]diazocino[2,1-a]isoindol-12(14H)-one (5l). Light yellow crystals, yield 62%, m.p. 210–211 °C. IR (NKBr) cm−1 1692 (C=O), 1265 (C-O), 1616 (C=N). 1H-NMR (CDCl3): δ (ppm) 7.80 (d, J = 7.6 Hz, 1H), 7.71–7.78 (m, 2H), 7.63–7.71 (m, 1H), 7.52–7.63 (m, 2H), 7.38–7.52 (m, 3H), 7.22–7.34 (m, 1H), 7.06–7.17 (m, 1H), 7.01 (dd, J = 7.9, 1.4 Hz, 1H), 5.29 (d, J = 14.4 Hz, 1H), 4.54 (d, J = 10.7 Hz, 1H), 3.92 (s, 3H), 3.69 (d, J = 14.4 Hz, 1H), 3.61 (dd, J = 13.7, 1.4 Hz, 1H), 2.27 (dd, J = 13.6, 10.8 Hz, 1H). 13C-NMR (CDCl3) δ 167.06, 165.36, 160.20, 148.62, 143.81, 138.49, 132.51, 131.70, 131.55, 129.91, 128.73, 128.70, 126.08, 125.01, 123.88, 121.82, 121.08, 119.90, 117.40, 112.80, 56.40, 55.50, 41.92, 36.29. MS (ESI m/z) 369.3 [M]+. Anal. Calcd. For: C24H20N2O2: C, 78.24; H, 5.47; N, 7.60%. Found: C, 78.15; H, 5.45; N, 7.55%.
(E)-6-(Thiophen-2-yl)-7,7a-dihydrobenzo[6,7][1,5]diazocino[2,1-a]isoindol-12(14H)-one (5m). Light yellow crystals, yield 32%, m.p. 279–280 °C. IR (KBr) cm−1 1694 (C=O), 1661 (C=N). 1H-NMR (CDCl3): δ (ppm) 7.78–7.86 (m, 1H), 7.33–7.52 (m, 3H), 7.15–7.30 (m, 2H), 7.04–7.15 (m, 2H), 6.56–6.69 (m, 2H), 4.95–5.13 (m, 2H), 4.36–4.54 (m, 1H), 3.67–3.78 (m, 1H), 3.21 (dd, J = 17.4, 8.0 Hz, 1H). 13C-NMR (CDCl3) δ 167.10, 160.69, 144.47, 143.90, 143.73, 132.62, 131.82, 131.66, 131.50, 128.90, 128.77, 128.50, 128.09, 126.80, 125.34, 124.04, 121.90, 121.61, 56.95, 42.08, 37.31. MS (ESI m/z) 345.2 [M]+. Anal. Calcd. For: C21H16N2OS: C, 73.23; H, 4.68; N, 8.13%. Found: C, 73.05; H, 4.55; N, 8.05%.
4. Conclusions
In conclusion, we have developed a simple two-step synthetic route to the benzo[6,7][1,5]diazocino [2,1-a]isoindole fused ring system from readily available starting materials. A number of 3-(2-oxo-2-phenylethyl)isobenzofuran-1(3H)-ones 4a–4m were reacted in boiling toluene with 2-aminobenzylamine under para-toluenesulfonic acid catalysis to yield the fused diazocine derivatives 5a–5m in 27%–85% yields. The structure of the regioisomer formed has been confirmed unambiguously by rigorous multinuclear HMBC measurements. Biological evaluation of the synthesized compounds are currently under investigation and will be reported in future communications.
Supplementary Materials
The following are available online at www.mdpi.com/1420-3049/21/8/967/s1.
Acknowledgments
Authors are grateful to Virendra P. Shah for assistance with some of the synthetic work. The authors are grateful to the University of Hertfordshire for providing funds for Open Access.
Author Contributions
J.P.B., M.G., C.B., B.A. and M.H. planned, designed and carried out the synthetic work, discussed results, wrote and reviewed the manuscript. U.G. contributed with the collection and analysis of the spectral data and contributed in the preparation of the manuscript.
Conflicts of Interest
The authors declare no conflict of interest.
References
- Wang, X.; Li, J.; Zhao, N.; Wan, X. A rapid and efficient access to diaryldibenzo[b,f][1,5] diazocines. Org. Lett. 2011, 13, 709–711. [Google Scholar] [CrossRef] [PubMed]
- Zankowskajasinska, W.; Ostrowska, K. The synthesis of some derivatives of the new ring system Pyrrolo [3,4-f][1,5] diazocine. J. Prakt. Chem. 1989, 331, 700–704. [Google Scholar] [CrossRef]
- Fink, B.E.; Gavai, A.V.; Tokarski, J.S.; Goyal, B.; Misra, R.; Xiao, H.-Y.; Kimball, S.D.; Han, W.-C.; Norris, D.; Spires, T.E.; et al. Identification of a novel series of tetrahydrodibenzazocines as inhibitors of 17β-hydroxysteroid dehydrogenase type 3. Bioorg. Med. Chem. Lett. 2006, 16, 1532–1536. [Google Scholar] [CrossRef] [PubMed]
- Mazurov, A.A.; Andronati, S.A.; Korotenko, T.I.; Sokolenko, N.I.; Dyadenko, A.I.; Shapiro, Y.E.; Gorbatyuk, V.Y.; Voronina, T.A. Design of a novel cognitive enhancer (8S,10aS)-8-carbamoyl-1,2,3,6,7,8,9,10a-octahydro-5H,10H-pyrrolo[1,2-a][1,4]diazocin-5,10-dione. Bioorg. Med. Chem. Lett. 1996, 6, 2595–2600. [Google Scholar] [CrossRef]
- Kulsi, G.; Ghorai, A.; Chattopadhyay, P. Tandem one pot synthesis of 1,5-benzodiazocine-2-one by isocyanide based Ugi multicomponent reaction. Tetrahedron Lett. 2012, 53, 3619–3622. [Google Scholar] [CrossRef]
- Mishra, J.K.; Panda, G. Diversity-oriented synthetic approach to naturally abundant S-amino acid based benzannulated enantiomerically pure medium ring heterocyclic scaffolds employing inter- and intramolecular Mitsunobu reactions. J. Comb. Chem. 2007, 9, 321–338. [Google Scholar] [CrossRef] [PubMed]
- Boruah, R.C.; Sandhu, J.S. A facile synthesis of 2,4,8,10-tetrahalo-6,12-diaryldibenzo[b,f][1,5]diazocines. J. Heterocycl. Chem. 1988, 25, 459–462. [Google Scholar] [CrossRef]
- Csende, F.; Miklos, F.; Stajer, G. Recent Developments in the Synthesis of Heterocycle-Fused Isoindoles. Curr. Org. Chem. 2012, 16, 1005–1050. [Google Scholar] [CrossRef]
- Zhuang, Z.P.; Kung, M.P.; Mu, M.; Kung, H.F. Isoindol-1-one analogues of 4-(2′-methoxyphenyl)-1-2′-N-(2″-pyridyl)-p-iodobenzamido ethyl piperazine (p-MPPI) as 5-HT1A receptor ligands. J. Med. Chem. 1998, 41, 157–166. [Google Scholar] [CrossRef] [PubMed]
- Link, J.T.; Raghavan, S.; Danishefsky, S.J. Total synthesis of staurosporine and ent- staurosporine. J. Am. Chem. Soc. 1995, 117, 552–553. [Google Scholar] [CrossRef]
- Comins, D.L.; Schilling, S.; Zhang, Y.C. Asymmetric synthesis of 3-substituted isoindolinones: Application to the total synthesis of (+)-lennoxamine. Org. Lett. 2005, 7, 95–98. [Google Scholar] [CrossRef] [PubMed]
- Padwa, A.; Beall, L.S.; Eidell, C.K.; Worsencroft, K.J. An approach toward isoindolobenzazepines using the ammonium ylide/Stevens 1,2-rearrangement sequence. J. Org. Chem. 2001, 66, 2414–2421. [Google Scholar] [CrossRef] [PubMed]
- Neumann, H.; Strubing, D.; Lalk, M.; Klaus, S.; Hubner, S.; Spannenberg, A.; Lindequist, U.; Beller, M. Synthesis and antimicrobial activity of N-analogous corollosporines. Org. Biomol. Chem. 2006, 4, 1365–1375. [Google Scholar] [CrossRef] [PubMed]
- Wu, X.-F.; Neumann, H.; Neumann, S.; Beller, M. Palladium-catalyzed synthesis of phthalazinones: Efficient carbonylative coupling of 2-bromobenzaldehydes and hydrazines. Chem. Eur. J. 2012, 18, 8596–8599. [Google Scholar] [CrossRef] [PubMed]
- Dufort, I.; Rheault, P.; Huang, X.F.; Soucy, P.; Luu-The, V. Characteristics of a highly labile human type 5 17β-hydroxysteroid dehydrogenase. Endocrinology 1999, 140, 568–574. [Google Scholar] [PubMed]
- Bilbao, J.R.; Loridan, L.; Audi, L.; Gonzalo, E.; Castano, L. A novel missense (R80W) mutation in 17-β-hydroxysteroid dehydrogenase type 3 gene associated with male pseudohermaphroditism. Eur. J. Endocrinol. 1998, 139, 330–333. [Google Scholar] [CrossRef] [PubMed]
- Pessoa-Mahana, H.; Aranguiz, K.G.M.; Araya-Maturana, R.; Pessoa-Mahana, C.D. A facile approach for new dibenzo[b,f][1,5]diazocinones. Synth. Commun. 2005, 35, 1493–1500. [Google Scholar] [CrossRef]
- Majumdar, K.C.; Ray, K.; Ganai, S. Intramolecular Azide-Alkyne [3+2] Cycloaddition: A Versatile Route for the Synthesis of 1,2,3-Triazole Fused Dibenzo 1,5 diazocine Derivatives. Synthesis 2010, 12, 2101–2105. [Google Scholar] [CrossRef]
- Das Adhikary, N.; Chattopadhyay, P. Palladium-Catalyzed Intramolecular Aryl Amination Reaction: An Expeditious Approach to the Synthesis of Chiral Benzodiazocine Derivatives. Eur. J. Org. Chem. 2010, 9, 1754–1762. [Google Scholar] [CrossRef]
- Gruit, M.; Michalik, D.; Krueger, K.; Spannenberg, A.; Tillack, A.; Pews-Davtyan, A.; Beller, M. Synthesis of pyrroloazepinones: Platinum- and gold-catalyzed cyclization reactions of alkynes. Tetrahedron 2010, 66, 3341–3352. [Google Scholar] [CrossRef]
- Gruit, M.; Michalik, D.; Tillack, A.; Beller, M. Platinum-Catalyzed Intramolecular Cyclizations of Alkynes: Efficient Synthesis of Pyrroloazepinone Derivatives. Angew. Chem. Int. Ed. 2009, 48, 7212–7216. [Google Scholar] [CrossRef] [PubMed]
- Volland, S.; Gruit, M.; Regnier, T.; Viau, L.; Lavastre, O.; Vioux, A. Encapsulation of Pd(OAc)2 catalyst in an ionic liquid phase confined in silica gels. Application to Heck-Mizoroki reaction. New J. Chem. 2009, 33, 2015–2021. [Google Scholar] [CrossRef]
- Potapov, V.V.; Fetisova, N.A.; Nikitin, A.V.; Ivachtchenko, A.V. One-step assembly of novel carbamoyl substituted 6-oxo-4,5,6,11-tetrahydropyrrolo [1,2-b][2,5] benzodiazocine. Tetrahedron Lett. 2009, 50, 2790–2792. [Google Scholar] [CrossRef]
- Basavaiah, D.; Rao, K.V.; Reddy, R.J. The Baylis-Hillman reaction: A novel source of attraction, opportunities, and challenges in synthetic chemistry. Chem. Soc. Rev. 2007, 36, 1581–1588. [Google Scholar] [CrossRef] [PubMed]
- Basavaiah, D.; Reddy, B.S.; Badsara, S.S. Recent Contributions from the Baylis-Hillman Reaction to Organic Chemistry. Chem. Rev. 2010, 110, 5447–5674. [Google Scholar] [CrossRef] [PubMed]
- Jung, D.-I.; Song, J.-H.; Lee, E.-J.; Kim, Y.-Y.; Lee, D.-H.; Lee, Y.-G.; Hahn, J.-T. Simple synthesis of quinolines and dibenzo [b,f][1,5] diazocines under microwave irradiation. Tetrahedron Lett. 2009, 50, 5805–5807. [Google Scholar] [CrossRef]
- BouzBouz, S.; Sanselme, M. A rapid and efficient synthesis of a new pyrrolobenzodiazocines via an intramolecular Friedel-Crafts reaction. Tetrahedron Lett. 2009, 50, 5884–5887. [Google Scholar] [CrossRef]
- Cho, H.I.; Lee, S.W.; Lee, K.J. A new synthesis of 1,2,3,5-tetrahydroimidazo [2,3-b][1,3] benzodiazocines. J. Heterocycl. Chem. 2004, 41, 799–802. [Google Scholar] [CrossRef]
- Cliffe, I.A.; Heatherington, K.; White, A.C. Rearrangements of pyrimido [1,2-a] indoles and diazepino [1,2-a] indoles-synthesis of 1,5-benzodiazonines. J. Chem. Soc.-Perkin Trans. 1 1991, 1975–1979. [Google Scholar] [CrossRef]
- Korakas, D.; Varvounis, G. Synthesis of 5,6-dihydro-4H-pyrrolo [1,2-a][1,4] benzodiazepine and 10,11-dihydro-5H,12H-pyrrolo [2,1-c][1,4] benzodiazocine derivatives via cyclization of 2-aminomethylpyrroles. J. Heterocycl. Chem. 1994, 31, 1317–1320. [Google Scholar] [CrossRef]
- Mishra, A.; Batra, S. Expeditious Synthesis of Imidazole- and Pyrrole-Fused Benzodiazocines. Eur. J. Org. Chem. 2010, 25, 4832–4840. [Google Scholar] [CrossRef]
- Othman, M.; Pigeon, P.; Netchitailo, P.; Daich, A.; Decroix, B. Quinoxalines, benzodiazepines and benzodiazocines fused to pyrrole and isoindole via N-acyliminium ion aromatic cyclization. Heterocycles 2000, 52, 273–281. [Google Scholar]
- Sharp, J.T.; Wilson, P.; Parsons, S.; Gould, R.O. Reactions of triene-conjugated diazo-compounds: Reaction paths from o-(1,3-dienyl)aryldiazomethanes to 3,8-methano-1,2-diazocines and to pyrrolo [2,1-a] phthalazines via intramolecular [3 + 2] and 1,1-cycloaddition reactions. J. Chem. Soc.-Perkin Trans. 1 2000, 7, 1139–1148. [Google Scholar] [CrossRef]
- King, F.D.; Aliev, A.E.; Caddick, S.; Tocher, D.A. A novel synthesis of (di)-benzazocinones via an endocyclic N-acyliminium ion cyclisation. Org. Biomol. Chem. 2011, 9, 1547–1554. [Google Scholar] [CrossRef] [PubMed]
- Cai, Q.; Sun, H.; Peng, Y.; Lu, J.; Nikolovska-Coleska, Z.; McEachern, D.; Liu, L.; Qiu, S.; Yang, C.-Y.; Miller, R.; et al. A Potent and Orally Active Antagonist (SM-406/AT-406) of Multiple Inhibitor of Apoptosis Proteins (IAPs) in Clinical Development for Cancer Treatment. J. Med. Chem. 2011, 54, 2714–2726. [Google Scholar] [CrossRef] [PubMed]
- Fulda, S.; Wick, W.; Weller, M.; Debatin, K.M. Smac agonists sensitize for Apo2L/TRAIL- or anticancer drug-induced apoptosis and induce regression of malignant glioma in vivo. Nat. Med. 2002, 8, 808–815. [Google Scholar] [CrossRef] [PubMed]
- Arnt, C.R.; Chiorean, M.V.; Heldebrant, M.V.; Gores, G.J.; Kaufmann, S.H. Synthetic Smac/DIABLO peptides enhance the effects of chemotherapeutic agents by binding XIAP and cIAP1 in situ. J. Biol. Chem. 2002, 277, 44236–44243. [Google Scholar] [CrossRef] [PubMed]
- Bassin, J.P.; Shah, V.P.; Martin, L.; Horton, P.N. Racemic 9,10-dimethoxy-3-methyl-6-phenyl-7,7a-dihydrobenzo[b]benzo 4,5 isothiazo lo [2,3-d][1,4] diazepine 12,12-dioxide. Acta Cryst. 2011, E67, o684–o685. [Google Scholar]
- Bassin, J.P.; Frearson, M.J.; Al-Nawwar, K. Synthesis of benzo d benzo[2,3][1,4] diazepino 1,7-(b)under-bar isothiazole, a new heterocyclic ring system. Synth. Commun. 2000, 30, 2961–2965. [Google Scholar] [CrossRef]
- Nandi, D.; Ghosh, D.; Chen, S.-J.; Kuo, B.-C.; Wang, N.M.; Lee, H.M. One-Step Synthesis of Isocoumarins and 3-Benzylidenephthalides via Ligandless Pd-Catalyzed Oxidative Coupling of Benzoic Acids and Vinylarenes. J. Org. Chem. 2013, 78, 3445–3451. [Google Scholar] [CrossRef] [PubMed]
- Landge, S.M.; Berryman, M.; Torok, B. Microwave-assisted solid acid-catalyzed one-pot synthesis of isobenzofuran-1(3H)-ones. Tetrahedron Lett. 2008, 49, 4505–4508. [Google Scholar] [CrossRef]
- Goncalves, C.J.; Lenoir, A.S.; Padaratz, P.; Correa, R.; Niero, R.; Cechinel-Filho, V.; Buzzi, F.D. Benzofuranones as potential antinociceptive agents: Structure-activity relationships. Eur. J. Med. Chem. 2012, 56, 120–126. [Google Scholar] [CrossRef] [PubMed]
- Paradkar, M.V.; Gadre, S.Y.; Pujari, T.A.; Khandekar, P.P.; Kumbhar, V.B. One-pot synthesis of 3-phenacylphthalides. Synth. Commun. 2005, 35, 471–474. [Google Scholar] [CrossRef]
- Rendy, R.; Zhang, Y.; McElrea, A.; Gomez, A.; Klumpp, D.A. Superacid-catalyzed reactions of cinnamic acids and the role of superelectrophiles. J. Org. Chem. 2004, 69, 2340–2347. [Google Scholar] [CrossRef] [PubMed]
- Pinto, D.; Silva, A.M.S.; Cavaleiro, J.A.S.; Elguero, J. New bis(chalcones) and their transformation into bis(pyrazoline) and bis(pyrazole) derivatives. Eur. J. Org. Chem. 2003, 4, 747–755. [Google Scholar] [CrossRef]
- Lee, D.Y.; Cho, C.S.; Jiang, L.H.; Wu, X.; Shim, S.C.; Oh, D.H. Palladium-catalyzed synthesis of 3-alkylphthalides via carbonylative cyclization of o-bromobenzaldehyde with 1,3-dicarbonyl compounds. Synth. Commun. 1997, 27, 3449–3455. [Google Scholar] [CrossRef]
- Houbion, J.A. Synthesis of 3-phenactlidenephthalides, 3-phenacylidenephtalimidines and 3-phenacylidenethiophthalides. Am. Chem. Soc. 1981, 181, 229. [Google Scholar]
- Sangshetti, J.N.; Ansari, S.A.M.K.; Shinde, D.B. ZrOCl2 center dot H2O catalyzed solvent-free synthesis of isobenzofuran-1(3H)-ones. Chin. Chem. Lett. 2011, 22, 163–166. [Google Scholar] [CrossRef]
- Limaye, R.A.; Kumbhar, V.B.; Natu, A.D.; Paradkar, M.V.; Honmore, V.S.; Chauhan, R.R.; Gample, S.P.; Sarkar, D. One pot solvent free synthesis and in vitro antitubercular screening of 3-Aracylphthalides against Mycobacterium tuberculosis. Bioorg. Med. Chem. Lett. 2013, 23, 711–714. [Google Scholar] [CrossRef] [PubMed]
- Houbion, J.A.; Schafer, D.E. Treating Rice Seeds and Plants to Prevent Herbicidal Damage by Application of 3-Acyl-methyl-phthalide. U.S. Patent US4185989-A, 28 July 1978. [Google Scholar]
- Rahmani, F.; Mohammadpoor-Baltork, I.; Khosropour, A.R.; Moghadam, M.; Tangestaninejad, S.; Mirkhani, V. Propylphosphonium hydrogen carbonate ionic liquid supported on nano-silica as a reusable catalyst for the efficient multicomponent synthesis of fully substituted pyridines and bis-pyridines. RSC Adv. 2015, 5, 39978–39991. [Google Scholar] [CrossRef]
- Bousquet, E.W.; Moran, M.D.; Harmon, J.; Johnson, A.L.; Summers, J.C. Synthesis of 3,3a-dihydro-8H-pyrazolo [5,1-a] isoindolo-8-ones and 8H-pyrazolo[5,1-a]isoindol-8-ones. J. Org. Chem. 1975, 40, 2208–2211. [Google Scholar] [CrossRef]
- Yaremenko, A.G.; Shelyakin, V.V.; Volochnyuk, D.M.; Rusanov, E.B.; Grygorenko, O.O. An approach to dihydroisoindolobenzodiazepinones-three-dimensional molecular frameworks. Tetrahedron Lett. 2013, 54, 1195–1197. [Google Scholar] [CrossRef]
- Sample Availability: Samples of the compounds 4a–4m and 5a–5m are available from the authors.
© 2016 by the authors. Licensee MDPI, Basel, Switzerland. This article is an open access article distributed under the terms and conditions of the Creative Commons Attribution (CC-BY) license ( http://creativecommons.org/licenses/by/4.0/).



